Главная // Актуальные документы // РуководствоСПРАВКА
Источник публикации
М.: Стройиздат, 1976
Примечание к документу
Взамен Инструкции по проектированию и возведению каменных сводов двоякой кривизны. М., Стройиздат, 1957 г.
Название документа
"Руководство по проектированию и возведению каменных сводов двоякой кривизны"
"Руководство по проектированию и возведению каменных сводов двоякой кривизны"
ПО ПРОЕКТИРОВАНИЮ И ВОЗВЕДЕНИЮ КАМЕННЫХ СВОДОВ
ДВОЯКОЙ КРИВИЗНЫ
В Руководстве содержатся указания по проектированию и возведению каменных сводов двоякой кривизны.
Руководство предназначено для инженерно-технических работников проектных и строительных организаций.
Для кладки сводов двоякой кривизны (предложенных канд. техн. наук А.И. Рабиновичем) используются местные строительные материалы (кирпич, бетонные камни из тяжелого, легкого или ячеистого бетонов, пиленые природные камни и т.п.), что наряду с хорошими технико-экономическими показателями этих сводов позволяет рекомендовать их к применению в строительстве в качестве покрытий производственных, складских, общественных, сельскохозяйственных и других зданий.
В настоящем Руководстве, предназначенном для строителей - проектировщиков и производственников, содержатся необходимые данные по проектированию и возведению каменных сводов двоякой кривизны.
При составлении Руководства учитывался опыт проектирования, строительства и эксплуатации зданий различного назначения с каменными сводчатыми покрытиями двоякой кривизны, а также результаты экспериментально-теоретических исследований несущей способности и жесткости этих сводов.
Руководство составлено лабораторией прочности крупнопанельных и каменных конструкций ЦНИИСК им. В.А. Кучеренко Госстроя СССР взамен ранее изданной "Инструкции по проектированию и возведению каменных сводов двоякой кривизны". М., Стройиздат, 1957 г.
1.1. Тонкостенные своды двоякой кривизны из кирпича или камней прямоугольной формы применяются в качестве покрытий производственных, складских, общественных, сельскохозяйственных и тому подобных зданий.
1.2. Своды двоякой кривизны с открытыми стальными затяжками относятся к группе несгораемых конструкций II степени огнестойкости. При отсутствии затяжек или при условии защиты их от действия высоких температур (обетонированием или другими способами) своды двоякой кривизны имеют I степень огнестойкости.
1.3. Своды двоякой кривизны допускаются к применению в зданиях с мостовыми кранами или легким подвесным оборудованием (см.
п. 4.17), а также в помещениях с повышенной влажностью воздуха (см.
пп. 3.2 и
4.18).
1.4. В сводах двоякой кривизны допускается устройство проемов для световых фонарей, вентиляционных труб, вытяжных шахт и др. (см.
п. 4.16).
1.5. Своды двоякой кривизны допускается применять в сейсмических районах для покрытий одноэтажных зданий при расчетной сейсмичности 7 и 8 баллов. При этом должны учитываться требования главы
СНиП "Строительство в сейсмических районах. Нормы проектирования", а также указания, приведенные в
п. 4.19.
2.1. Своды двоякой кривизны имеют волнообразную поверхность, обладающую большой жесткостью
(рис. 1), что позволяет резко уменьшить их толщину и увеличить размеры перекрываемых пролетов по сравнению с массивными каменными сводчатыми покрытиями.
2.2. В зависимости от величины перекрываемого пролета, нагрузки и стрелы подъема свода в ключе кирпичные своды двоякой кривизны имеют толщину в
1/
4 кирпича (6,5 см) или в
1/
2 кирпича (120 мм). При пролетах до 21 м толщина сводов обычно принимается равной
1/
4 кирпича.
Кирпичи в своде толщиной в
1/
4 кирпича укладывают плашмя и располагают длинной стороной в направлении перекрываемого пролета здания. Перевязка кирпичей достигается смещением смежных рядов на
1/
4 кирпича
(рис. 2).
Кирпичи в своде толщиной в
1/
2 кирпича укладывают на ребро и располагают длинной стороной в направлении, перпендикулярном к перекрываемому пролету здания
(рис. 3).
Вместо увеличения толщины кирпичных сводов до
1/
2 кирпича площадь поперечного сечения сводов толщиной в
1/
4 кирпича может быть увеличена заполнением пазух между волнами тяжелым бетоном марок 100 - 150 (своды комплексной конструкции), что повышает их несущую способность и величины перекрываемых пролетов. Высота заполнения принимается не более половины высоты волн
(рис. 4).
2.3. Своды двоякой кривизны, выкладываемые из камней, выполняют аналогично сводам толщиной в
1/
4 кирпича. На
рис. 5 показана перевязка смежных рядов кладки свода двоякой кривизны, выполненного из сплошных камней с размером 390 x 188 x 90 мм.
При выполнении сводов из камней, изготовленных из легкого или автоклавного цементного ячеистого бетона, совмещающего несущие и теплоизоляционные функции, толщина сводов принимается в зависимости от требуемого термического сопротивления покрытия.
Примечание. Камни, изготовленные из ячеистого бетона, не допускается применять для кладки сводов пролетом более 18 м.
2.4. Для лучшего заполнения швов верхнюю поверхность сводов толщиной в 1/4 кирпича в процессе кладки затирают раствором.
При большей толщине сводов из кирпича или камней швы кладки дополнительно заливают жидким раствором, при этом затирка раствором верхней поверхности свода не производится.
1 - затирка раствором; 2 - свод толщиной 1/4 кирпича
Рис. 2. Перевязка кладки свода толщиной
1/
4 кирпича
а - кладка нечетных рядов; б - кладка четных рядов;
1 - затирка раствором
Рис. 3. Перевязка кладки сводов толщиной
1/
2 кирпича
а - кладка нечетных рядов; б - кладка четных рядов
Рис. 4. Свод комплексной конструкции
1 - тяжелый бетон
Рис. 5. Перевязка кладки сводов из камней толщиной 90 мм
а - кладка нечетных рядов; б - кладка четных рядов
Толщина швов кладки не должна превышать 10 - 12 мм.
2.5. Ширину волн сводов принимают в пределах от 2 до 2,5 м (обычно 2 м) при толщине сводов в
1/
4 кирпича и до 3 м при большей толщине.
Высоту поперечного сечения волн сводов в зависимости от величины пролетов, нагрузки и стрелы подъема в ключе принимают от 1/2,5 до 1/5 ширины волны. С увеличением высоты поперечного сечения волн сводов возрастает жесткость их поперечного сечения.
2.6. Стрелу подъема сводов в ключе принимают в пределах от 1/2 до 1/7 величины перекрываемого пролета в зависимости от назначения перекрываемого помещения, способов восприятия распора, архитектурных требований и других условий.
Очертание сводов и поперечного сечения их волн принимают согласно
п. 5.5.
3.1. Для кладки сводов двоякой кривизны применяются обыкновенный глиняный кирпич (полнотелый или пустотелый), силикатный кирпич, сплошные камни из тяжелого или легкого бетона (керамзитобетона и т.п.), из автоклавного цементного ячеистого бетона (пено- или газобетона) или другие искусственные камни, а также пиленые природные камни прямоугольной формы.
Кирпич и камни, применяемые для кладки сводов, должны удовлетворять требованиям ГОСТов или технических условий.
Бетонные камни, применяемые для кладки сводов, изготовляют на тяжелых заполнителях (гравии или щебне) и на естественных или искусственных легких заполнителях (керамзит, пемза, доменный гранулированный шлак, агломерированный топливный шлак и т.п.). Применение бетонных камней, изготовленных на топливных шлаках от сжигания бурых и смешанных углей, не допускается.
Кладку сводов ведут из целого кирпича или камней, приколка по месту допускается только в ключе свода при замыкании кладки каждой волны.
3.2. Для кладки сводов двоякой кривизны, перекрывающих помещения с повышенной влажностью воздуха (относительная влажность более 60%), не допускается применение: глиняного кирпича полусухого прессования, силикатного кирпича, шлакового и трепельного кирпича, камней из ячеистого бетона и из шлакобетона на котельных шлаках.
3.3. Материалы, применяемые для кладки сводов, должны иметь марки:
а) по прочности:
кирпич - не ниже 75, а при пролетах сводов более 18 м - не ниже 100; камни из тяжелого бетона - не ниже 100; камни из легкого бетона, а также природные камни - не ниже 50, камни из ячеистого бетона - не ниже 35;
раствор - не ниже марки 50, а при пролетах сводов более 18 м - не ниже марки 75;
б) по морозостойкости не ниже Мрз 15.
Примечания: 1. Камни, изготовленные из ячеистого бетона, должны иметь марку по морозостойкости не ниже Мрз 25.
2. При пролетах сводов до 12 м допускается применение природных камней марки не ниже 25. При этом толщина сводов должна быть не менее 90 мм.
3.4. Кладку сводов надлежит вести на цементных растворах с введением пластифицирующих добавок (известь, глина и др.).
Пяты сводов (верхние части стен) в пределах 6 - 7 рядов кладки ниже уровня примыкания свода следует выкладывать на растворе марки не ниже 50.
Для кладки сводов и их пят следует применять растворы на обычном портландцементе. Применение шлакового и пуццоланового портландцементов, а также других видов цементов, медленно твердеющих при пониженных положительных температурах, для кладки сводов не допускается.
4.1. Распор сводов может восприниматься:
а) стальными затяжками;
б) контрфорсами или поперечными стенами помещений, примыкающих с обеих сторон к перекрываемому сводом пролету;
в) фундаментами в случаях, когда пяты сводов расположены в уровне земли.
Способ восприятия распора выбирают в зависимости от назначения здания, от конструктивной схемы и других условий.
4.2. На
рис. 6 -
9 изображены примерные схемы применения сводов двоякой кривизны для зданий различных типов и назначения.
На
рис. 6 показаны одно-, двух- и трехпролетные производственные здания. В зданиях этого типа распор сводов обычно воспринимается стальными затяжками.
На
рис. 7 показан свод двоякой кривизны в качестве покрытия двухэтажного производственного или гражданского здания.
На
рис. 8 показана схема применения сводов двоякой кривизны для перекрытия залов общественных зданий (кинозалов, клубов, выставочных павильонов и т.п.). Так как применение открытых затяжек в таких помещениях нежелательно, распор свода в этих случаях воспринимается поперечными стенами примыкающих к залу помещений (коридоров, фойе и т.п.).
Для покрытия складов, зерно- и овощехранилищ, резервуаров и т.п., а также некоторых типов производственных помещений целесообразно пяты сводчатых покрытий располагать в уровне земли
(рис. 9), при этом распор свода передается на фундаменты или воспринимается затяжками, расположенными ниже уровня пола. Такое решение весьма экономично, так как оно позволяет значительно сократить расход материалов по сравнению со зданиями обычного типа, имеющими стены.
На
рис. 10 изображен внутренний вид помещения, перекрытого сводом, распор которого воспринимается стальными затяжками, а на
рис. 11 показан свод двоякой кривизны, опирающийся на фундаменты и примененный в качестве покрытия складского здания.
Примечание. В сводах, опирающихся на фундаменты, допускается устройство проемов для ворот в пределах ширины одной или двух волн свода. При этом должна быть обеспечена передача усилий, действующих в ослабленных проемами волнах, на примыкающие к своду стены, окаймляющие проем. Примерная схема устройства в своде проема для ворот показана на
рис. 9, а.
Рис. 6. Схемы производственных зданий,
перекрываемых сводами двоякой кривизны
а - однопролетные; б - двухпролетные; в и г - трехпролетные
1 - поперечные фонари
Рис. 7. Схема двухэтажного здания,
перекрываемого сводом двоякой кривизны
Рис. 8. Схема общественного здания,
перекрываемого сводом двоякой кривизны
1 - поперечные стены через 4 - 6 м
Рис. 9. Схема здания, перекрываемого сводом
двоякой кривизны, опирающимся на фундаменты
а - примерная схема устройства в своде проема для ворот
1 - цилиндрический свод; 2 - армированная перемычка;
3 - металлические затяжки
Рис. 10. Свод двоякой кривизны, распор
которого воспринимается затяжками
Рис. 11. Складское здание, перекрытое
сводом двоякой кривизны
Рис. 12. Опорный узел свода, распор которого
воспринимается контрфорсами
1 - кладка свода; 2 - пароизоляция; 3 - утеплитель;
4 - цементная или асфальтовая стяжка; 5 - рулонный ковер;
6 - контрфорс; 7 - забутка пазух
4.3. Пяты свода имеют наклонные поверхности, нормальные к оси свода в опорных узлах
(рис. 12). Наклонные пяты образуются путем ступенчатой кладки кирпичей или камней и последующей затирки раствором в местах примыкания к ним свода. Ширина поверхности пяты должна обеспечить опирание свода во всех точках его поперечного сечения.
В опорных узлах сводов следует устраивать выносные пяты, образующие карниз с внутренней стороны помещения. Выносные пяты повышают устойчивость опорных узлов при действии распора сводов.
4.4. При восприятии распора затяжками в опорных узлах под гранями примыкания смежных волн свода должны быть установлены на растворе железобетонные элементы из бетона марки не ниже 200, армированные конструктивной арматурой диаметром 6 - 8 мм, или стальные элементы из уголков, листовой и полосовой стали
(рис. 13), позволяющие увеличить вынос пят до требуемых размеров
(п. 5.13). Сквозь эти элементы пропускают концы затяжек. При стальных элементах отверстия для затяжек образуются раздвижкой кирпичей в тычковом ряду кладки. Во избежание сдвига пяты свода по горизонтальным растворным швам, расположенным выше затяжек, в железобетонных элементах устраивают выступ прямоугольного сечения. При стальных элементах сдвигу пяты препятствуют вертикальные уголки.
В пятах сводов, расположенных над промежуточными опорами двухпролетных или многопролетных зданий, устанавливают парные железобетонные или стальные элементы
(рис. 14). В этом случае концы затяжек с шайбами и гайками, закрепленными сваркой, пропускают сквозь опорные элементы до их установки и соединяют с затяжками при помощи стяжных муфт.
Примечание. Размеры железобетонных и стальных элементов должны быть кратны высоте и ширине рядов кирпичной или каменной кладки. Ширина железобетонных элементов в направлении вдоль стены при кирпичной кладке принимается равной: 510 мм при ширине волн 2 м и 640 - 770 мм при ширине волн 2,5 и 3 м. Ширина стальных элементов соответственно 530, 660 и 790 мм.
4.5. Затяжки изготовляют, как правило, из круглой арматурной стали класса А-I или из арматурной стали периодического профиля классов А-II или А-III и располагают под гранями примыкания смежных волн свода
(рис. 13). Стальные опорные элементы, а также шайбы изготовляют из прокатной стали класса С38/23.
Затяжки пропускают через отверстия в выступах опорных железобетонных элементов или в пластинах стальных элементов и закрепляют шайбами толщиной не менее 12 мм, установленными на цементном растворе, гайками и контргайками.
Примечание. При отсутствии для затяжек стали требуемого диаметра, а также при ширине волн сводов более 2 м допускаются парные затяжки, располагаемые симметрично относительно граней примыкания смежных волн свода. При этом в опорных железобетонных или стальных элементах должно быть предусмотрено устройство двух отверстий для затяжек или должны быть установлены парные опорные элементы.
4.6. Затяжки состоят из нескольких звеньев, длину которых определяют в зависимости от пролета свода и имеющегося в наличии металла
(рис. 15).
Звенья затяжек, выполняемые из круглых стержней или стержней периодического профиля, шарнирно скрепляют между собой при помощи приваренных к ним петель, изготовляемых из предварительно разогретой круглой стали класса А-I, что облегчает транспортирование и установку затяжек.
Крайние звенья затяжек (длиной 1,2 - 1,5 м), ослабленные нарезкой для гаек или стяжных муфт, следует изготовлять из круглой стали класса А-I большего диаметра.
Натяжение затяжек в однопролетных зданиях производят путем завертывания гаек с наружной стороны стен, а в многопролетных зданиях - при помощи стяжных муфт, расположенных у промежуточных опор сводов (см.
рис. 14).
Примечание. Сварку элементов затяжек, выполненных из стали класса А-I, производят электродами типа Э-42. При сварке петель затяжек (сталь класса А-I) со звеньями, изготовленными из стали периодического профиля классов А-II или А-III, применяют электроды типа Э-42А.
4.7. При пролете сводов более 18 м затяжки поддерживают двумя подвесками из круглой стали диаметром 10 - 12 мм, прикрепленными к петлям в стыках затяжек и располагаемыми примерно в третях пролета (
рис. 15, г). В случаях, когда затяжки предохраняют от действия высоких температур путем их обетонирования или другими способами, при которых значительно повышается собственный вес затяжек, число подвесок следует увеличить, в этом случае подвески устанавливают также и в сводах с пролетами до 18 м.
Рис. 13. Конструкция опорных узлов сводов,
распор которых воспринимается затяжками
а - железобетонный опорный элемент; б - стальной опорный
элемент; 1 - рулонный ковер; 2 - цементная или асфальтовая
стяжка; 3 - утеплитель; 4 - пароизоляция; 5 - кладка свода;
6 - затяжка; 7 - железобетонный элемент; 8 - стальной
элемент из уголков 75 x 75 или 63 x 63 мм; 9 - забутка
пазух; 10 - паз для затяжки; 11 - отверстие для затяжки;
12 - конструктивная арматура; 13 - подъемные петли;
14
- пластина,

; 15
- полосовая сталь,

;
16 - полоска толя или рубероида, перекрывающая паз
Рис. 14. Опорный узел свода над промежуточными опорами
1 - железобетонные или стальные элементы с установленными
заранее концами затяжек; 2 - стяжная муфта
а - затяжка; б - деталь стыка затяжки; в - конец затяжки
у промежуточных опор многопролетных зданий; г - подвеска
1 - утолщенный конец затяжки; 2 - звено затяжки; 3 - петли;
4
- стяжная муфта; 5
- подвеска

; 6 - отверстие
для подвески оставляется при кладке свода; 7 - шайба,

; 8 - квадратная шайба,

; 9
- сварка
4.8. Крайние волны сводов вплотную примыкают к торцовым стенам и соединяются с ними анкерами из круглой стали диаметром 6 - 8 мм, расположенными в швах кладки
(рис. 16). Расстояние между анкерами должно быть не более 3 м.
4.9. В тех случаях, когда элементы, воспринимающие распор сводов, расположены реже, чем грани примыкания смежных волн (через две или три волны), например при восприятии распора поперечными стенами примыкающих помещений, в пятах сводов должны быть расположены железобетонные пояса, воспринимающие распор сводов на участках между поперечными стенами.
Рис. 16. Примыкание свода к торцовой стене
1 - анкер

; 2
- цементный раствор
4.10. При наличии затяжек наружные стены и промежуточные опоры (в многопролетных зданиях) воспринимают вертикальную реакцию сводов. Наружные каменные стены из кирпича или камней выполняют такой же конструкции, как и при других типах покрытий; допускается также каркасная конструкция стен: железобетонный, кирпичный или каменный каркас с заполнением.
Промежуточные опоры сводов выполняют в виде сплошных стен или колонн.
По колоннам в продольном направлении должна быть устроена кирпичная или каменная аркада (при колоннах из кирпича или камней) или уложен железобетонный прогон, воспринимающие вертикальную реакцию сводов на участке между колоннами. При устройстве аркады распор арок на промежуточных колоннах взаимно погашается, а в крайних пролетах аркады воспринимается каменной кладкой или металлическими затяжками
(рис. 17).
В последнем случае крайние пролеты с затяжками образуют жесткие рамы с криволинейным ригелем, воспринимающие действие одностороннего распора от смежных арок.
4.11. Температурные швы в сводах двоякой кривизны и в их пятах устраивать не требуется. При наличии температурных швов в стенах над ними в пятах сводов следует прокладывать арматуру из стали диаметром 4 - 6 мм. Арматуру располагают в двух-трех горизонтальных растворных швах в нижней части пяты свода (ниже уровня расположения затяжек) и пропускают на 2 - 3 м в каждую сторону от температурного шва; общая площадь сечения арматуры должна составлять не менее 2 см2.
Рис. 17. Промежуточные опоры (аркады) сводов
а - распор аркады воспринимается каменной кладкой
(заполнение крайнего проема аркады); б - распор аркады
воспринимается жесткой рамой со стальной затяжкой;
1 - затяжки сводов
Рис. 18. Конструкция осадочного шва
1 - утеплитель; 2 - арматура

в швах кладки
свода через 50 - 75 см; 3 - арматура

; 4
- цементный
раствор; 5 - стержни

; 6 - засыпка шлаком; 7 - доски;
8 - деревянные пробки; 9 - компенсатор из оцинкованной стали
Рис. 19. Раскрой рулонных кровельных материалов и порядок
наклейки их по поверхности свода
1 - подтяжки шириной 1/2 рулона; 2 - надкарнизная полоса
в три слоя; 3 - рядовое покрытие в два слоя
4.12. Осадочные швы в сводах должны совпадать со швами в стенах и устраиваться вдоль линии взаимного примыкания смежных волн свода. Конструкцию швов рекомендуется выполнять в соответствии с
рис. 18.
При восприятии распора свода затяжками в местах расположения осадочных швов устанавливают парные затяжки и опорные железобетонные или стальные элементы по обе стороны шва.
4.13. По сводам устраивают кровлю из рулонных материалов.
В неутепленных покрытиях рулонный кровельный ковер наклеивают непосредственно по верхней поверхности свода, а в утепленных покрытиях - по слою асфальта, цементного раствора или другому виду выравнивающего слоя, нанесенного на поверхность утеплителя.
Примерный раскрой и порядок наклейки рулонных кровельных материалов по поверхности свода показан на
рис. 19.
Для гидроизоляции сводов со стрелой подъема в ключе, превышающей 1/5 пролета, допускается применение мастичных кровель.
Для уменьшения влияния солнечной радиации на кровлю рекомендуется окраска ее битумным лаком с добавкой алюминиевой пудры, что обеспечит светлый цвет кровельного покрытия.
4.14. Своды утепляют плитными теплоизоляционными материалами (минераловатные плиты, фибролит и др.) или засыпками (керамзитовый гравий, шлак и т.п.). При применении жестких плитных утеплителей размеры плит должны быть невелики, что обеспечивает возможность укладки их по криволинейной поверхности свода.
До укладки утеплителя на верхнюю поверхность сводов должен быть нанесен пароизоляционный слой из битумной мастики или (при значительной влажности воздуха в перекрываемых помещениях) из рулонных кровельных материалов. Пазухи ендов в опорных узлах сводов заполняются кирпичным щебнем, шлаком или другими материалами с проливкой раствором
(рис. 13).
4.15. В многопролетных зданиях, перекрытых сводами двоякой кривизны, воду отводят в ендовы между сводами, которым путем забутки придают 1,5 - 2%-ный продольный уклон. В зданиях длиной до 60 м (что соответствует длине ската ендов до 30 м) воду, собираемую в ендовах, отводят к торцам здания (рис. 20, а). При большей длине здания воду по уклону ендов отводят к воронкам внутренних водостоков (рис. 20, б).
Рис. 20. Схема водостоков в многопролетных зданиях
со сводчатыми покрытиями
а - здание с наружными водостоками; б - здание
с внутренними водостоками; 1 - воронки
внутренних водостоков
Рис. 21. Поперечные фонари верхнего света
в сводах двоякой кривизны
1 - световой фонарь; 2 - затяжки свода
Рис. 22. Стальная рамка из уголков,
окаймляющая проемы в сводах
1 - уголки; 2 - сварка
4.16. В сводах двоякой кривизны допускается устройство поперечных фонарей верхнего света.
Поперечные фонари располагают не чаще чем через две смежные волны
(рис. 21). Примыкающие к фонарным проемам края волн свода должны быть усилены арматурой таким же образом, как при устройстве осадочных швов. Основанием для фонарей служат армированные кирпичные стенки толщиной в
1/
2 кирпича, выкладываемые на своде по периметру фонарных проемов (см.
рис. 18).
Продольная арматура, расположенная в швах кладки стенок и под ними, выпускается в пазухи между волнами свода, которые на участках между фонарями и опорными узлами заполняются тяжелым бетоном марок M100 - M150. Высота заполнения пазух бетоном должна быть не более половины высоты волн свода (см.
рис. 4).
Проемы небольших размеров для освещения, пропуска вентиляционных шахт, вытяжных труб и др., меньших ширины волны свода, окаймляют по периметру стальными уголками
(рис. 22). Окаймляющие рамки заготовляют заранее и закладывают в процессе кладки свода. Пробивка проемов в законченном своде, как правило, не допускается.
4.17. Своды двоякой кривизны допускаются к применению в качестве покрытий зданий с мостовыми кранами грузоподъемностью до 10 тс.
Допускается подвеска к сводам легкого грузоподъемного или другого оборудования.
В сводах толщиной в
1/
4 кирпича при величинах сосредоточенных нагрузок, не превышающих 0,5 тс, и в сводах большей толщины при величинах нагрузок, не превышающих 0,8 тс, подвески пропускаются сквозь отверстия в гребнях волн свода (
рис. 23, а) и закрепляются гайками и шайбами толщиной не менее 12 мм и площадью не менее 200 см
2, установленными на цементном растворе. При

величинах сосредоточенных нагрузок подвески должны быть заанкерены в тяжелом бетоне марок M100 - M150, которым заполняются пазухи между волнами свода в пределах всего перекрываемого пролета (
рис. 23, б). Высота заполнения пазух должна быть не более указанной в
п. 2.2. При нагрузках, превышающих 0,8 тс, бетонное заполнение пазух должно быть усилено расчетной или конструктивной арматурой.
Рис. 23. Схемы подвески к сводам грузоподъемного
или другого оборудования
а - при усилиях в подвесках: в сводах толщиной
1/4 кирпича до 0,5 т, в сводах большей толщины до 0,8 т;
б - при усилиях в подвесках, больших 0,5 и 0,8 т;
1 - путь для грузоподъемного оборудования; 2 - затяжки
свода; 3 - подвески; 4 - бетонные ребра;
5 - шайбы,

4.18. В перекрываемых сводами помещениях с повышенной влажностью воздуха (относительная влажность более 60%) должно быть уделено особое внимание тщательному устройству пароизоляционного слоя по верхней поверхности свода под утеплителем (см.
п. 4.14).
Стальные затяжки и подвески периодически (не реже одного раза в год) следует покрывать масляной краской, асфальтовым лаком или каменноугольным лаком (кузбасслаком). Вместо окраски рекомендуется антикоррозионная защита затяжек и подвесок алюминием, наносимым по способу металлизации распылением в мастерских, где они изготовляются. Такое покрытие не требует возобновления в течение всего периода эксплуатации здания.
4.19. Своды двоякой кривизны допускается применять в сейсмических районах в покрытиях одноэтажных зданий при расчетной сейсмичности 7 и 8 баллов.
При расчетной сейсмичности 7 баллов высота перекрываемых зданий от пола до пят свода должна быть не более 8,5 м и пролет не более 18 м, а при расчетной сейсмичности 8 баллов высота должна быть не более 7 м и пролет не более 12 м. Устройство фонарей в сводах зданий, строящихся в сейсмических районах, не допускается.
Опорные элементы сводов должны выполняться только из железобетона
(п. 4.4). Между ними в пределах толщины стены следует устанавливать сборные или монолитные железобетонные вставки, выполняемые из бетона марки не ниже M200. Вставки, соединяемые с опорными элементами с помощью выпусков арматуры, образуют антисейсмические пояса, расположенные в уровне опор сводов. Площадь сечения продольной арматуры антисейсмических поясов должна составлять не менее 0,8% площади сечения пояса.
Примечание. При расположении опор сводов в уровне земли допускается увеличение пролета сводов на 25% более величин, указанных в
п. 4.19, а также разрешается устройство проемов для ворот (
рис. 9, а).
5.1. В сводчатом покрытии подлежат расчету свод, затяжка и опорный узел.
Статический расчет свода двоякой кривизны производят по условной расчетной схеме как плоской двухшарнирной арки. В расчет вводят поперечное сечение одной волны свода.
5.2. Своды рассчитывают на основные сочетания расчетных нагрузок:
1) постоянной (собственный вес свода, утеплителя, гидроизоляционного ковра и т.п.);
2) временной - от снега.
В однопролетных зданиях временная нагрузка от снега принимается по главе
СНиП "Нагрузки и воздействия" и распределяется равномерно на половине пролета свода.
В многопролетных зданиях нагрузка от снега распределяется по покрытию невыгоднейшим образом согласно указанной выше главе
СНиП с учетом загружения половины пролета сводов и образования снеговых мешков.
При расчете сводов постоянную нагрузку принимают с коэффициентами перегрузки,

единицы.
При расчете затяжек и опорных узлов опорные реакции свода определяют при снеговой нагрузке, равномерно распределенной по всему пролету свода. При расчете сводов ветровую нагрузку учитывают для сводов с большой стрелой подъема в ключе

, а также при больших величинах напора ветра (для V - VII районов).
Расчет сводов на температурные воздействия не производят.
f/l | Значения y и  при x/l, равном | Множитель |
0 | 0,05 | 0,1 | 0,15 | 0,2 | 0,25 | 0,3 | 0,35 | 0,4 | 0,45 | 0,5 |
По цепной линии |
1/2 | y = 0,00 | 0,22 | 0,40 | 0,55 | 0,68 | 0,79 | 0,87 | 0,93 | 0,97 | 0,99 | 1,00 | f |
| | 2,04 | 1,70 | 1,40 | 1,14 | 0,90 | 0,70 | 0,51 | 0,33 | 0,16 | 0,00 | - |
1/3 | y = 0,00 | 0,21 | 0,39 | 0,54 | 0,67 | 0,77 | 0,85 | 0,92 | 0,96 | 0,99 | 1,00 | f |
| | 1,29 | 1,10 | 0,93 | 0,78 | 0,63 | 0,49 | 0,36 | 0,24 | 0,12 | 0,00 | - |
1/4 | y = 0,00 | 0,20 | 0,38 | 0,53 | 0,66 | 0,76 | 0,85 | 0,92 | 0,96 | 0,99 | 1,00 | f |
| | 0,94 | 0,82 | 0,70 | 0,59 | 0,48 | 0,38 | 0,28 | 0,19 | 0,09 | 0,00 | - |
1/5 | y = 0,00 | 0,20 | 0,37 | 0,52 | 0,65 | 0,76 | 0,85 | 0,91 | 0,96 | 0,99 | 1,00 | f |
| | 0,75 | 0,65 | 0,56 | 0,48 | 0,39 | 0,31 | 0,23 | 0,15 | 0,08 | 0,00 | - |
По окружности |
1/6 | y = 0,00 | 0,209 | 0,386 | 0,538 | 0,665 | 0,770 | 0,854 | 0,918 | 0,964 | 0,991 | 1,00 | f |
| | 0,641 | 0,547 | 0,464 | 0,386 | 0,315 | 0,247 | 0,183 | 0,121 | 0,061 | 0,00 | - |
1/7 | y = 0,00 | 0,202 | 0,379 | 0,530 | 0,658 | 0,765 | 0,850 | 0,917 | 0,963 | 0,991 | 1,00 | f |
| | 0,540 | 0,467 | 0,399 | 0,335 | 0,274 | 0,216 | 0,160 | 0,107 | 0,053 | 0,00 | - |
По квадратной параболе |
| y = 0,00 | 0,19 | 0,36 | 0,51 | 0,64 | 0,75 | 0,84 | 0,91 | 0,96 | 0,99 | 1,00 | f |
| | 3,60 | 3,20 | 2,80 | 2,40 | 2,00 | 1,60 | 1,20 | 0,80 | 0,40 | 0,00 | f/l |
Примечание. При очертании сводов по цепной линии и по окружности величины y и  для промежуточных значений отношения f/l определяют по линейной интерполяции. |
5.3. Сосредоточенные нагрузки от вентиляционных шахт, подвесного грузоподъемного или другого оборудования следует располагать по возможности симметрично по очертанию свода. Величину каждой из сосредоточенных нагрузок условно распределяют на две волны свода.
5.4. При расчете сводов со стрелой подъема в ключе

следует учитывать увеличение постоянной нагрузки, распределенной по горизонтальной проекции свода, в направлении от ключа к пятам
(рис. 24) по кривой:

(1)
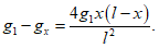
где g - постоянная нагрузка в ключе свода, кгс/м;
gx - дополнительная постоянная нагрузка, вызываемая уклоном покрытия в сечениях, отстоящих на расстоянии x от опоры, кгс/м;

- угол наклона к горизонту касательной к оси свода в рассматриваемом сечении.
Рис. 24. Расчетная схема свода
5.5. Очертание оси свода и граней примыкания смежных волн для сводов со стрелой подъема
f/
l >=
1/
5 принимают по цепной линии, а для сводов со стрелой подъема
f/
l <
1/
5, распор которых обычно воспринимается затяжками, по дуге окружности. Очертание поперечного сечения волн сводов принимают по квадратной параболе. Величины ординат и тангенсы углов наклона к горизонту касательных к цепной линии, к дуге окружности и к параболе через

пролета
(рис. 24) приведены в
табл. 1.
5.6. Формулы для определения опорных реакций в двухшарнирной арке параболического очертания при равномерно распределенной, параболической и односторонней нагрузках с учетом влияния смещения опор и упругого обжатия арки на величину распора приведены в табл. 2 <*>.
--------------------------------
<*> В табл. 2 косинусоидальная нагрузка (см.
п. 5.4) заменена близкой к ней параболической.
Схема загружения |
| | |
Вертикальные реакции |
VA = VB = 0,5gl | VA = VB = 0,167g1l | VA = 0,375pl; |
| | VB =0,125pl |
Распор |
| | |
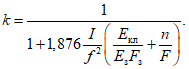
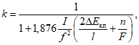
При наличии затяжек коэффициент k учитывает влияние упругого удлинения затяжек и обжатия свода:
При отсутствии затяжек коэффициент k учитывает влияние смещения опор и обжатия свода
где F и I - площадь (см2) и момент инерции (см4) поперечного сечения свода;
Eкл - модуль деформаций кладки свода, кгс/см
2 (см.
п. 5.9);
Fз и Eз - площадь (см2) поперечного сечения и модуль упругости (кгс/см2) затяжки;
n - коэффициент, принимаемый в зависимости от подъема свода в ключе
f/l | 1/2 | 1/3 | 1/4 | 1/5 | 1/6 | 1/7 |
n | 0,554 | 0,696 | 0,785 | 0,843 | 0,881 | 0,911 |

- горизонтальное смещение опоры у пяты свода (см) при
H = 1 кгс.
Для сводов, очерченных по цепной линии и по дуге окружности, величины опорных реакций принимают как для сводов параболического очертания.
При других случаях загружения свода (распределенными и сосредоточенными нагрузками) опорные реакции следует определять по таблицам, приведенным в "Справочнике проектировщика промышленных, жилых и общественных зданий и сооружений. Расчетно-теоретический". Книга 1, М., Стройиздат, 1972.
При нагрузке от собственного веса кладки свода влияние смещения опор и обжатия свода не учитывают и при определении опорных реакций от этой нагрузки коэффициент
k (табл. 2) принимают равным единице.
Примечание. При определении опорных реакций сводов со стрелой подъема в ключе f >= l/3 коэффициент k при всех нагрузках принимают равным единице.
5.7. Изгибающие моменты и нормальные силы в поперечных сечениях свода определяют по формулам:

(3)
где M0 и Q0 - изгибающий момент и поперечная сила в соответствующем сечении простой балки пролетом l;
y и

- ордината оси свода и угол наклона к горизонту касательной к оси в рассматриваемом сечении
(рис. 24), принимаемые по
табл. 1.
Изгибающие моменты и поперечные силы в простой балке при параболической нагрузке в сечении, расположенном на расстоянии
x от левой опоры
(рис. 24), определяются по формулам:

(4)

(5)
В приведенных формулах
VA = 0,167
g1l; величина
g1 - gx (см.
табл. 2) вычисляется по коэффициентам, определяющим ординаты квадратной параболы (см.
табл. 1), или по формуле

(6)
5.8. Прочность свода при снеговой нагрузке, равномерно распределенной на половине пролета, проверяют в сечениях, расположенных в обеих четвертях пролета, в которых возникают наибольшие положительные и отрицательные изгибающие моменты.
При наличии сосредоточенных нагрузок проверяют сечения с наибольшими положительными и отрицательными изгибающими моментами.
При устройстве в сводах поперечных фонарей верхнего света изгибающие моменты в пределах участков, ослабленных проемами, учитывают при расчете смежных цельных волн свода, в сечение которых включают стенки, расположенные под фонарями, и бетонное заполнение пазух на участках между фонарями и опорными узлами сводов
(п. 4.16).
5.9. Прочность свода при внецентренном сжатии в сечениях с наибольшими изгибающими моментами проверяют по главе
СНиП "Каменные и армокаменные конструкции. Нормы проектирования". Расчетные характеристики различных поперечных сечений волн сводов приведены в
табл. 3 <*>.
--------------------------------
<*> Пример определения расчетных характеристик поперечного сечения волны свода приведен в
приложении 1.
Наибольшая величина эксцентрицитета приложения нормальной силы в сводах

не должна превышать: для основных сочетаний нагрузок 0,7
y, где
y - расстояние от оси
x0-x0, проходящей через центр тяжести сечения до края сечения в сторону эксцентрицитета (при положительном изгибающем моменте
y = h - y0, при отрицательном моменте
y = y0, см.
табл. 3).
Величину площади сжатой зоны сечения Fс определяют последовательным приближением из условия совпадения центра тяжести сжатой зоны с точкой приложения силы N (рис. 25).
Рис. 25. Сжатая зона поперечного сечения свода
а - при приложении нормальной силы выше оси, проходящей
через центр тяжести сечения; б - при приложении нормальной
силы ниже оси, проходящей через центр тяжести сечения
При приложении нормальной силы выше оси, проходящей через центр тяжести поперечного сечения волны свода (при положительном изгибающем моменте,
рис. 25 а), величину площади сжатой зоны
Fс определяют как разность площадей, ограниченных параболами 1, 2, 3 и 4, 5, 6 <*>, задаваясь расстоянием от нижней грани сечения до границы сжатой зоны
y1.
--------------------------------
<*> Площадь, ограниченная параболой, равна 2/3 произведения основания параболы на ее высоту.
Расстояние от центра тяжести сжатой зоны до нижней грани сечения z определяется как отношение разности статических моментов площадей, ограниченных параболами 1, 2, 3 и 4, 5, 6, относительно нижней грани сечения к площади Fс <**>. Если центр тяжести площади Fс не совпадает с точкой приложения нормальной силы, отстоящей на расстоянии y0 + e0 от нижней грани сечения, то задаются другим значением y1 и вновь определяют площадь сжатой зоны и положение ее центра тяжести.
--------------------------------
<**> Расстояние центра тяжести площади, ограниченной параболой от ее основания, равно 0,4 высоты параболы.
При расчете сечения принимают то значение площади Fс, при котором ее центр тяжести достаточно близко совпадает с точкой приложения нормальной силы (z ~= y0 + e0). Для первого приближения можно принять y1 = 2,8e0.
При приложении нормальной силы ниже оси, проходящей через центр тяжести поперечного сечения волны (при отрицательном изгибающем моменте,
рис. 25, б), площадь сжатой зоны сечения
Fс и статический момент ее относительно нижней грани сечения при принятом значении
y1 определяют как сумму и разность следующих площадей и их статических моментов: 1, 2, 4, 5 (прямоугольник) + 2, 3, 4 - 6, 3, 7 + 8, 9, 10 - 1, 9, 5.
Тип сводов | Расчетное сечение свода (размеры в см) | Площадь поперечного сечения F, см2 | Положение центра тяжести сечения y0, см | Момент инерции сечения относительно нейтральной оси x0-x0 I, см4 | Радиус инерции сечения r, см | Полная высота сечения свода h, см | Предельные пролеты сводов, м (см. п. 5.10) |
|
b | f0 | |
Своды кирпичные | 200 | 40 | 6,5 | 1410 | 29,4 | 204 000 | 12 | 46,5 | 12 |
200 | 50 | 6,5 | 1470 | 35,4 | 344 000 | 15,3 | 56,5 | 15 |
250 | 50 | 6,5 | 1780 | 35,7 | 409 000 | 15,2 | 56,5 | 15 |
200 | 60 | 6,5 | 1540 | 41,5 | 503 700 | 18,1 | 66,5 | 18 |
250 | 60 | 6,5 | 1830 | 42,1 | 592 200 | 18 | 66,5 | 18 |
200 | 70 | 6,5 | 1610 | 47 | 726 400 | 21,2 | 76,5 | 21 |
250 | 70 | 6,5 | 1900 | 48,2 | 844 500 | 21,1 | 76,5 | 21 |
200 | 70 | 12 | 2980 | 50,4 | 1 299 000 | 20,9 | 82 | 24 |
250 | 70 | 12 | 3500 | 51 | 1 555 400 | 21,1 | 82 | 24 |
300 | 70 | 12 | 4040 | 51,8 | 1 825 000 | 21,3 | 82 | 24 |
Своды из тяжелых бетонных и природных камней | 200 | 50 | 9 | 2040 | 36,9 | 463 600 | 15,1 | 59 | 15 |
250 | 50 | 9 | 2460 | 37,1 | 566 600 | 15,2 | 59 | 15 |
200 | 60 | 9 | 2130 | 43 | 694 700 | 16,1 | 69 | 18 |
250 | 60 | 9 | 2530 | 43,3 | 842 600 | 18,2 | 69 | 18 |
200 | 70 | 9 | 2230 | 48,6 | 976 500 | 20,9 | 79 | 21 |
250 | 70 | 9 | 2600 | 49,5 | 1 159 200 | 21,1 | 79 | 21 |
300 | 70 | 9 | 3040 | 49,5 | 1 336 500 | 21 | 79 | 21 |
Своды из камней, изготовленных из легкого или ячеистого бетона | 200 | 50 | 16 | 3630 | 41,1 | 854 500 | 15,3 | 66 | 15 |
250 | 50 | 16 | 4360 | 41,1 | 1 037 100 | 15,4 | 66 | 15 |
200 | 60 | 16 | 3800 | 47,6 | 1 237 500 | 18,1 | 76 | 18 |
250 | 60 | 16 | 4520 | 47,3 | 1 488 000 | 18,1 | 76 | 18 |
250 | 70 | 16 | 4670 | 54 | 2 129 000 | 21,1 | 86 | 21 |
300 | 70 | 16 | 5400 | 54 | 2 421 000 | 21,2 | 86 | 21 |
300 | 80 | 16 | 5550 | 60 | 3 169 000 | 23,9 | 96 | 24 |
Расстояние от центра тяжести площади Fс до нижней грани сечения z определяется как отношение сумм и разностей статических моментов указанных выше площадей к площади Fс.
Значение y1 подбирается таким, чтобы обеспечивалось близкое совпадение центра тяжести площади Fс с точкой приложения нормальной силы (z ~= y0 - e0). Для первого приближения можно принять y1 = h - e0.
Размеры оснований парабол определяют по формулам:

(7)

(8)
Обозначения величин, входящих в формулы (7) и (8), приведены на
рис. 25.
Угол

, необходимый для вычисления высоты параболы 2, 3, 4

, и величины

определяются по величине
Расчетные сопротивления кладки сводов, модули упругости кладки (начальные модули деформации) и коэффициенты продольного изгиба принимают по главе
СНиП "Каменные и армокаменные конструкции. Нормы проектирования". При этом расчетные сопротивления кладки кирпичных сводов толщиной
1/
4 кирпича увеличивают путем умножения на коэффициент 1,25. Модуль деформаций кладки сводов принимается
Eкл = 0,5
E0, где
E0 - модуль упругости кладки.
Расчетную длину сводов l0 при определении коэффициентов продольного изгиба принимают равной 0,5S, где S - длина оси свода, определяемая по табл. 4.
Радиус инерции поперечного сечения волн сводов принимают по
табл. 3 или для сечений, не включенных в
табл. 3, вычисляют в соответствии с примером, приведенным в
приложении 1.
При f/l =1/2 | 1/3 | 1/4 | 1/5 | 1/6 | 1/7 |
S = 1,50l | 1,25l | 1,15l | 1,10l | 1,07l | 1,05l |
Примечания: 1. При применении сводов с размерами поперечных сечений, не включенных в
табл. 3, необходимо, чтобы размеры сечений удовлетворяли требованиям
п. 2.5 настоящего Руководства.
2. При промежуточных значениях отношения f/l длину оси свода определяют по линейной интерполяции.
3. При расчете сводов коэффициент условий работы кладки mк независимо от площади сечения волны принимают равным единице.
4. Влияние длительного действия нагрузки при расчете сводов не учитывают и коэффициент
mдл принимают равным единице.
5.10. Для однопролетных зданий при стреле подъема сводов в ключе
f =
l/7, нормативной нагрузке от утеплителя и кровли до 150 кгс/м
2, отсутствии фонарей верхнего света и сосредоточенных нагрузок и нормативной снеговой нагрузке для III района сечения сводов в зависимости от величины пролета разрешается принимать без расчета по
табл. 3.
Во всех остальных случаях прочность сводов должна быть проверена расчетом.
5.11. Для сводов комплексной конструкции (см.
п. 2.2) момент инерции поперечного сечения определяется относительно оси
x0' - x0', проходящей через центр тяжести сечения, включающего бетонное заполнение пазух между волнами свода
(рис. 26). Поперечное сечение бетонного заполнения разрешается принимать в расчете в виде двух равных прямоугольных треугольников, а сечение кирпичного свода - по
табл. 3. Расчетное сопротивление бетона при расчете свода в запас прочности принимается равным расчетному сопротивлению кирпичной кладки свода <*>.
--------------------------------
<*> Пример определения расчетных характеристик поперечного сечения волны свода комплексной конструкции приведен в
приложении 1.
5.12. При расчете затяжек, выполняемых, как правило, из арматурной стали классов А-I, А-II или А-III (см.
п. 4.5), расчетное сопротивление стали принимают по главе
СНиП "Бетонные и железобетонные конструкции. Нормы проектирования".
Рис. 26. Расчетное поперечное сечение свода
комплексной конструкции
Площадь сечения (брутто) концов затяжек, изготовляемых из круглой стали класса А-I и ослабленных нарезкой для гаек (см.
рис. 12), определяют по формуле

(9)
Площадь сечения круглой стали класса А-I, из которой изготовляют петли для стыков затяжек, определяют по формуле

(10)
Fз - площадь сечения средних звеньев затяжек;
Rа - расчетное сопротивление стали средних звеньев.
Размеры шайб определяют из условия прочности бетона опорных элементов при местном сжатии под шайбами затяжек, принимая
где Rсм - расчетное сопротивление бетона при местном сжатии;
Rпр - расчетное сопротивление бетона при осевом сжатии.
При стальных опорных элементах прочность кладки под шайбами при местном сжатии принимается
где R - расчетное сопротивление кладки при сжатии.
Независимо от результатов расчета размер шайб принимают не менее 150 x 150 мм и толщиной не менее 12 мм. При

размерах шайб толщина их должна быть не менее 16 мм.
При стальных опорных элементах шайбами являются включенные в их конструкцию пластины, сквозь которые пропускаются затяжки. С наружной стороны пластин, под гайками затяжек, должны устанавливаться дополнительные шайбы размером не менее 150 x 150 мм.
Рис. 27. Расчетная схема опорного узла
свода двоякой кривизны
1 - ось, проходящая через центр тяжести поперечного
сечения свода; 2 - ось стены; 3 - расчетное сечение;
в - ширина волны свода; 4 - очертание пяты
между железобетонными или стальными элементами
5.13. При расчете опорных узлов сводов с затяжками следует учитывать изгибающий момент, возникающий вследствие смещения затяжки относительно пересечения осей свода и стены
(рис. 27). В расчетном сечении стены 3-3
, расположенном под затяжками, величина эксцентрицитета приложения нормальной силы

(где
N - вертикальная опорная реакция свода и вес верхней части стены, расположенной выше расчетного сечения) должна быть не более 0,7
y, где
y - расстояние от оси стены до ее наружной грани. Для соблюдения этого условия вынос опорных железобетонных или стальных элементов относительно оси стены
a следует определять по формуле

(13)
Вынос пяты свода на участках между опорными элементами относительно оси стены определяется по формуле

(14)
Прочность стены в расчетном сечении при внецентренном сжатии должна быть проверена по главе
СНиП "Каменные и армокаменные конструкции. Нормы проектирования".
Примечание. Горизонтально направленное усилие, действующее на стены вследствие удлинения затяжек, при расчете стен не учитывается.
5.14. При отсутствии затяжек опоры, воспринимающие распор сводов
(рис. 12), должны быть рассчитаны на внецентренное сжатие и на срез по горизонтальным неперевязанным швам кладки. Величина эксцентрицитета приложения нормальной силы

ни в одном из сечений не должна превышать 0,7y
, где y - расстояние от оси сечения до наружной его грани.
В расчетную площадь среза включается только площадь сжатой зоны Fс, определяемая при расчете на внецентренное сжатие. Предельная величина усилия, воспринимаемого при срезе, уменьшается путем умножения на коэффициент 0,8.
5.15 Сводчатые покрытия рассматриваются как жесткие опоры для стен или колонн при расстояниях между поперечными устойчивыми конструкциями, приведенных в главе
СНиП "Каменные и армокаменные конструкции. Нормы проектирования", для покрытий из железобетонных настилов. При

расстояниях продольные стены и колонны рассчитываются как стойки рам, заделанные в грунт и шарнирно связанные сводчатыми покрытиями. В этом случае сводчатое покрытие является упругой опорой для стен и колонн.
При расчете торцовых стен на ветровую нагрузку сводчатое покрытие рассматривают как неподвижную опору.
6. УКАЗАНИЯ ПО ВОЗВЕДЕНИЮ СВОДОВ
6.1. К кладке сводов следует приступать не ранее 7 дней после окончания устройства их пят (верхних частей стен) при температуре наружного воздуха выше 10 °C. При температуре воздуха от 10 до 5 °C этот срок увеличивается в 1,5 раза, а при температуре от 5 до 1 °C - в 2 раза. Кладку сводов с затяжками, в пятах которых установлены железобетонные или стальные опорные элементы
(рис. 13), допускается начинать сразу же после окончания устройства их пят.
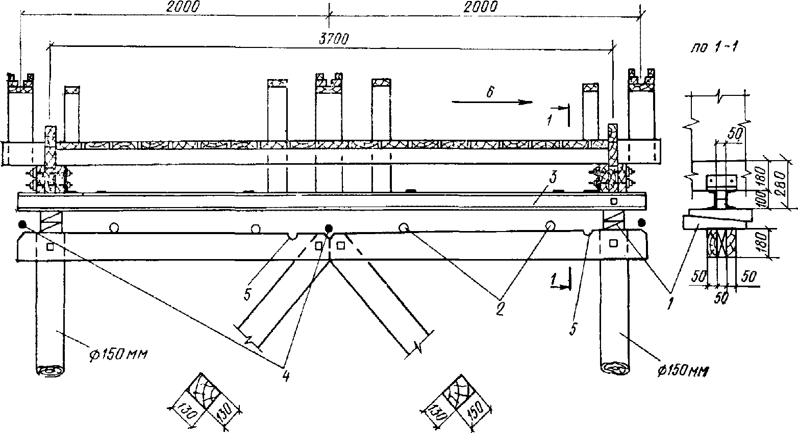
6.2. Кладку сводов выполняют по передвижной, инвентарной, сборно-разборной деревянной или металлодеревянной опалубке, служащей для кладки двух волн свода. Опалубка состоит из двух трехшарнирных деревянных или стальных арок с затяжками, соединенных между собой поперечными связями, обеспечивающими жесткость опалубки при ее передвижке и кладке сводов. Опалубка служит одновременно подмостями для работы каменщиков на всем пролете свода. Рабочие чертежи опалубки должны быть включены в состав проекта сводчатого покрытия.
6.3. Примерная конструкция деревянной опалубки для свода пролетом 21 м приведена на
рис. 28, а вариант конструкции металлодеревянной опалубки для этого же пролета - на
рис. 29. В этом варианте из одиночных уголков изготовлены только несущие трехшарнирные арки опалубки. Все остальные элементы изготовлены из дерева по такому же типу, как в деревянной опалубке. Использование металлических несущих арок значительно увеличивает оборачиваемость опалубки. Лотки из гнутых реек, расположенные по верхнему ряду поперечных связей, служат опалубкой для кладки граней взаимного примыкания смежных волн свода. По нижнему ряду поперечных связей укладывают сплошной дощатый щитовой настил, служащий подмостями для каменщиков.
Деревянные или металлические затяжки опалубки располагают таким образом, чтобы они не мешали передвижке опалубки над установленными затяжками свода.
Верхние и нижние элементы поперечных связей соединяют дощатыми подкосами и подвесками, образующими поперечные фермы жесткости (
рис. 28, разрез по A
-A). Жесткость опалубки должна быть обеспечена также диагональными связями из досок, расположенных в плоскости настила и затяжек, и вертикальными связями, прибитыми к подвескам, поддерживающим затяжку.
Опалубку рассчитывают на нагрузку от веса кладки двух волн свода и собственного веса.
При большой стреле подъема свода щиты верхнего пояса арок опалубки, образующие трехшарнирную арку, выполняют в виде решетчатых ферм с ломаным верхним поясом. Вследствие большого угла наклона нижнего пояса ферм подмости для каменщиков выполняют в виде площадок из щитов, уложенных по горизонтально расположенным раскосам несущих ферм
(рис. 30).
Отклонения размеров опалубки сводов от проектных не должны превышать: по стреле подъема в любой точке свода 1/200 величины подъема; по смещению опалубки от вертикальной плоскости в среднем сечении 1/200 стрелы подъема свода; по ширине волн свода - 10 мм.
6.4. Кладку волн свода производят по шаблонам, представляющим собой сегмент, изготовленный из досок толщиной 19 мм.
Верхнюю поверхность шаблонов обшивают кровельной сталью по фанере (
рис. 28 и
31). При кладке сводов из кирпича ширину шаблонов принимают равной 250 мм. При кладке сводов из камней ширина шаблонов увеличивается в соответствии с размерами камней.
Шаблоны для кладки сводов устанавливают на клиньях и передвигают по гнутым доскам, прибитым к верхнему ряду поперечных связей параллельно лоткам.
При кладке сводов с большой стрелой подъема на участках с крутыми уклонами шаблоны поддерживают противовесами (см. схему на
рис. 30, а).
Распор волн свода в поперечном направлении, возникающий в процессе кладки, передается на лотки из гнутых реек и воспринимается верхним рядом поперечных связей опалубки.
После замыкания кладки волн в ключе свода и опускания опалубки они работают в направлении перекрываемого сводом пролета как арки криволинейного тонкостенного поперечного сечения, распор которых воспринимается стальными затяжками или другими элементами. Это дает возможность производить распалубливание законченных кладкой волн свода без постановки каких-либо креплений, обеспечивающих жесткость их поперечного сечения.
6.5. Опалубку обычно собирают на земле и поднимают в собранном виде.
При опирании сводов на стены опалубку поддерживают двумя рядами стоек, расположенных вдоль внутренней грани стен с уложенными по ним обвязочными брусьями, по которым передвигают опалубку вдоль перекрываемого здания
(рис. 32).
Для экономии древесины стойки, поддерживающие опалубку, рекомендуется устанавливать лишь на небольшой длине перекрываемого здания и переставлять их по мере передвижки опалубки.
В сельскохозяйственных постройках при небольшой высоте стен рекомендуется для поддержания опалубки применять передвижные рамы, примерная конструкция которых изображена на
рис. 28 и
33. Передвижные рамы устанавливают попарно вдоль продольных стен и прикрепляют их к стенам при помощи распорок и болтов, пропущенных в оконные проемы. При отсутствии оконных проемов устойчивость передвижных рам обеспечивают распорками и подкосами, установленными внутри перекрываемого помещения. Для того чтобы опалубка опиралась только на одну пару переносных рам (что позволяет производить перестановку использованной пары рам), расстояние между несущими арками опалубки должно быть меньше длины верхней обвязки рам, равной ширине двух волн свода. Крайние лотки опалубки прибивают к концам верхних поперечных связей, выступающих за пределы несущих арок (рис. 28, разрезы
А-
А и
Б-Б).
Рис. 28. Передвижная деревянная опалубка
1 - щит опалубки из досок сечением 50 x 150;
2 - доски затяжки сечением 50 x 180; 3 - доски сечением
50 x 150; 4 - болты М16; 5 - затяжка свода;
6 - выдвижной лоток из кровельной стали; 7 - накладки
и прокладки стыка; 8 - стойки (80 x 80) и раскосы
(40 x 100) щита опалубки; 9 - связи; 10 - подвески
сечением 40 x 100; 11 - шаблон для кладки свода;
12 - лоток опалубки; 13 - гнутые доски,

;
14 - клинья; 15 - кровельная сталь по фанере;
16 - доски,

; 17 - бруски сечением 40 x 40;
18 - бруски сечением 80 x 80; 19 - тяжи М16;
20 -

; 21 - винт d >= 40; 22 - колеса;
23 - распорки; 24 - съемные щиты настила; 25 - шпалы
Рис. 29. Несущие арочные фермы металлодеревянной опалубки
1 - затяжка свода; 2 - затяжка опалубки

;
3 - уголок

; 4 - уголок

; 5 - уголок

;
6 - пластина 100 x 300,

; 7 - прокладка,

,
приваривается к одной из половин арочной фермы; 8 - обрезок
трубы; 9
- подвеска затяжки

; 10
- накладки
из полосовой стали сечением 10 x 50, перекрывающие
стык затяжки; 11 - доски сечением 50 x 150;
12 - связи из досок; 13 - накладка;
14 - клиновидная прокладка
Рис. 30. Передвижная опалубка для кладки сводов
с большой стрелой подъема
1 - несущие арки опалубки; 2 - лоток из гнутых реек;
3 - гнутые доски; 4 - связи; а - схема закрепления
передвижного шаблона на крутых уклонах; 5 - шаблон
для кладки свода; 6 - противовес
Рис. 31. Шаблон для кладки сводов двоякой кривизны
1 - доски толщиной 19 мм; 2 - кровельное железо по фанере;
3 - клинья; 4 - лоток из гнутых реек; 5 - гнутая доска
Рис. 32. Схема производства работ по кладке
сводов двоякой кривизны
1 - опалубка для кладки двух волн свода; 2 - колеса
или катки из обрезков металлических труб, d = 50 - 60 мм,
заполненных цементным раствором; 3 - положение опалубки
после передвижки; 4 - лебедка или ворот для передвижки
опалубки; 5 - обвязочный брус, по которому производится
передвижка опалубки; 6 - трос; 7 - винтовые домкраты
или клинья; 8 - затяжки свода
Рис. 33. Передвижные рамы, поддерживающие опалубку
а - схема перестановки передвижных рам; 1 - лебедка
или ворот для передвижки опалубки; 2 - трос; 3 - колеса
или катки; 4 - винтовые домкраты или клинья; 5 - затяжки
свода; 6 - тяж; 7 - распорки; 8 - опора для лебедки
или ворота; 9 - направление передвижки опалубки
При наличии подкрановых балок стойки, поддерживающие опалубку, целесообразно устанавливать на балках, что позволяет уменьшить их высоту.
В сводах, опирающихся на фундаменты (при отсутствии стен), опалубку передвигают по брусьям, уложенным на подкладки или на обрез фундамента.
6.6. Возведение сводов двоякой кривизны производится в следующем порядке:
а) устанавливают опалубку для кладки первых двух волн свода, примыкающих к торцу здания. Опалубку устанавливают на винтовых домкратах или клиньях. Край первой волны и первую затяжку свода располагают у торцовой стены. Торцовые стены выкладывают сначала только до уровня опорных узлов свода. Закладку фронтонов производят после возведения примыкающих к торцовым стенам волн сводов и передвижки опалубки. При кладке крайних волн свода выпускают анкеры из круглой стали диаметром 5 - 6 мм, обеспечивающие соединение свода с торцовыми стенами (см.
п. 4.8);
б) выполняют кладку обеих волн свода по передвижным шаблонам одновременно с двух сторон в направлении от пят к ключу свода.
Толщину швов между рядами кладки в пределах средних участков поперечного сечения волн свода (вдоль гребней волн) следует увеличивать по сравнению с участками, примыкающими к лоткам опалубки. При этом надо следить за тем, чтобы край поперечного сечения выкладываемой волны свода совпадал с боковой гранью передвижного шаблона.
При одинаковой толщине швов искривляется край выкладываемой волны. Искривление это возрастает по мере приближения кладки к ключу свода, что может затруднить пользование передвижными шаблонами.
По краям выкладываемых волн свода через один ряд выпускают кирпичи или камни, образующие штрабу для примыкания смежных волн
(рис. 34).
После окончания кладки свода в пределах ширины шаблона верхнюю поверхность сводов толщиной в 1/4 кирпича (6,5 см) затирают тонким слоем того же раствора, на котором производится кладка (при большей толщине сводов вместо затирки швы кладки дополнительно заливают жидким раствором). Немедленно после затирки раствором поверхности свода или заливки швов шаблон опускают путем удаления клиньев и передвигают для кладки следующего участка свода;
в) после замыкания обеих волн в ключе свода, которое производится с приколкой кирпича или камней по месту, устанавливают и натягивают затяжки в пределах запалубленной части свода.
Затяжки натягивают подвертыванием гаек с наружной стороны стен. После натяжения концы затяжек закрепляют контргайками;
г) с момента окончания кладки обеих волн свода их выдерживают на опалубке не менее 12 ч (при температуре выше 10 °C), после чего на винтовых домкратах или клиньях опускают опалубку на колеса или катки (
рис. 28,
32,
33,
35), опускают шаблоны на настил опалубки и передвигают ее над затяжками для кладки следующих двух волн свода. Во избежание перекоса опалубки при раскружаливании необходимо опускать ее одновременно на всех четырех опорах. При температуре от 10 до 5 °C продолжительность выдерживания сводов на опалубке увеличивают в 1,5 раза, а при температуре от 5 до 1 °C - в 2 раза.
Опалубку передвигают на колесах или катках при помощи лебедок или простейших воротов (
рис. 32,
33,
35).
При передвижке опалубки по каткам в обвязочных брусьях перед затяжками свода (в направлении движения опалубки) устраивают углубления, облегчающие перестановку катков
(рис. 35);
д) при установке опалубки для кладки следующих двух волн свода крайний лоток опалубки подводят под край законченной кладкой волны свода; в противном случае не будет воспринят распор волн свода в поперечном направлении, возникающий во время их кладки.
В дальнейшем порядок производства работ по кладке сводов повторяется.
6.7. При указанной в
п. 6.6 последовательности производства работ и сроках выдерживания волн свода на опалубке весь комплекс работ по кладке двух волн свода (каменная кладка, выдерживание на опалубке и передвижка опалубки) выполняется в летних условиях в зависимости от величины пролета и толщины свода в течение 1 - 2 сут.
Рис. 34. Штраба для примыкания смежной волны свода
1 - кирпичи (или камни) выпускаются в виде штрабы
для примыкания смежной волны свода
Рис. 35. Установка опалубки на клиньях
с передвижкой по каткам
1 - клинья; 2 - катки из обрезков труб

,
заполненных цементным раствором; 3 - два швеллера N 10;
4 - затяжки свода; 5 - углубления, облегчающие
перестановку катков; 6 - направление
движения опалубки
Рис. 36. Порядок передвижки опалубки в своде с проемами
1 - проемы
6.8. При устройстве в сводах двоякой кривизны фонарей верхнего света или других проемов значительных размеров, превышающих
1/
4 ширины волны свода, опалубку передвигают таким образом, чтобы при распалубке волны с проемами всегда были расположены между двумя неослабленными волнами свода
(рис. 36).
6.9. Вертикальный транспорт материалов для кладки свода осуществляют при помощи обычных подъемных механизмов (автокраны, транспортеры и т.п.). Во избежание перегрузки подмостей подачу материалов следует производить в небольших количествах.
6.10. При температуре воздуха выше 20 °C кирпич или другие каменные материалы, применяемые для кладки сводов, обильно смачивают водой, а поверхность выложенных сводов защищают от воздействия солнечных лучей и поливают водой в течение первых трех дней после окончания кладки.
6.11. Укладку утеплителя, устройство кровли, а также заполнение бетоном пазух между волнами сводов комплексной конструкции (см.
п. 2.2) производят не ранее 7 дней после окончания кладки свода при температуре выше 10 °C. При более низких положительных температурах этот срок увеличивается в соответствии с указаниями, приведенными в
п. 6.1. Утеплитель по сводам и бетон в пазухах между волнами в сводах комплексной конструкции следует укладывать симметрично по пролету свода, от опор к ключу, не допуская односторонних нагрузок.
Примечание. В сводах комплексной конструкции пазухи между волнами, непосредственно перед бетонированием, следует промывать водой.
6.12. Возведение сводов и их пят в зимних условиях допускается при среднесуточных температурах не ниже -15 °C на растворах с противоморозными химическими добавками, обеспечивающими нарастание прочности растворов на морозе без прогрева.
Волны сводов, выложенных при отрицательной температуре, на растворах с противоморозными химическими добавками выдерживают на опалубке в течение трех суток, после чего они могут быть раскружалены и опалубка передвинута.
Примечания: 1. Применение растворов с противоморозными химическими добавками допускается с соблюдением указаний, приведенных в главе СНиП "Каменные конструкции. Правила производства и приемки работ".
2. Каменные материалы, применяемые для кладки, должны быть тщательно очищены от льда и снега.
3. В сводах комплексной конструкции пазухи между волнами заполняют бетоном при положительной температуре.
4. До начала кладки сводов в зимних условиях прочность раствора в пятах сводов (верхних частях стен) должна составлять не менее 50% требуемой марки, что должно быть проверено путем испытания контрольных кубиков раствора.
7. ТЕХНИКО-ЭКОНОМИЧЕСКИЕ ПОКАЗАТЕЛИ
7.1. Расход кирпича и цемента в деле (без учета потерь) для кладки кирпичных сводов на 1 м2 поверхности свода, а также собственный вес сводов из полнотелого кирпича приведены в табл. 5.
Толщина свода в кирпичах | Кирпич, шт. | | Вес 1 м2 свода, кг |
при марке раствора |
100 | 75 | 50 |
1/4 | 29 | 5 | 4 | 2,5 | 125 |
1/2 | 50 | 8 | 6,5 | 4 | 215 |
--------------------------------
<*> При определении расхода цемента принимался цемент марки М400.
Примечания: 1. При определении среднего расхода материалов и веса на 1 м
2 горизонтальной проекции сводчатого покрытия данные, приведенные в
табл. 5, следует увеличить путем умножения на два коэффициента, принимаемые по
табл. 4 в зависимости от отношений стрелы подъема свода к его пролету и высоты поперечного сечения волны свода к ее ширине.
2. Расход цемента и вес сводов толщиной в 1/4 кирпича приведен с учетом затирки раствором верхней поверхности свода.
3. При восприятии распора сводов затяжками расход стали для сводов с пролетами от 12 до 24 м составляет 2 - 4 кг/м2 горизонтальной проекции свода.
4. Расход пиломатериалов на один комплект передвижной опалубки для кладки двух волн сводов с пролетами от 12 до 24 м составляет от 3 до 9 м3.
5. При кладке сводов из камней расход материалов определяется в зависимости от размеров и типов камней.
7.2. Выработка звена каменщиков (звено в составе одного каменщика и одного подручного) при кладке кирпичных сводов составляет в среднем 600 - 800 шт. кирпичей в рабочую смену, что в зависимости от толщины свода соответствует 20 - 27 м2 свода толщиной в 1/4 кирпича и 12 - 16 м2 свода толщиной в 1/2 кирпича.
ПРИМЕРЫ ОПРЕДЕЛЕНИЯ РАСЧЕТНЫХ ХАРАКТЕРИСТИК
ПОПЕРЕЧНОГО СЕЧЕНИЯ ВОЛНЫ СВОДА ДВОЯКОЙ КРИВИЗНЫ
1. ОПРЕДЕЛЕНИЕ РАСЧЕТНЫХ ХАРАКТЕРИСТИК ПОПЕРЕЧНОГО СЕЧЕНИЯ
ВОЛНЫ КИРПИЧНОГО СВОДА ТОЛЩИНОЙ В
1/
4 КИРПИЧА
(рис. 37)
Очертание поперечного сечения волны свода принято по квадратной параболе.
Площадь, ограниченная параболой:
где b - основание, f0 - высота параболы.
Расстояние центра тяжести параболы от ее основания
y = 0,4f0.
Момент инерции параболы относительно горизонтальной оси, проходящей через ее центр тяжести,

;

;
Определение площади поперечного сечения волны свода
Площадь, ограниченная параболой 2, 3, 4,
Площадь, ограниченная прямоугольником 1, 2, 4, 5,
F2 = 11,2·200 = 2240 см2;
F1 + F2 = 10 940 см2.
Рис. 37. Поперечное сечение волны кирпичного свода
Площадь, ограниченная параболой 1, 6, 5,
Площадь поперечного сечения волны свода
F = F1 + F2 - F3 = 1610 см2.
Определение положения центра тяжести
поперечного сечения волны свода
Расстояние центра тяжести поперечного сечения волны свода от нижней грани сечения равно:
где y1, y2 и y3 - расстояния центров тяжести площадей от нижней грани сечения
Определение момента инерции поперечного сечения волны свода
Момент инерции поперечного сечения волны свода относительно горизонтальной оси, проходящей через ее центр тяжести, равен
I1, I2 и I3 - моменты инерции площадей F1, F2 и F3 относительно горизонтальных осей, проходящих через центры тяжести этих площадей; a1, a2 и a3 - расстояния от центров тяжести площадей F1, F2 и F3 до центра тяжести поперечного сечения волны свода
Радиус инерции поперечного сечения волны свода
2. ОПРЕДЕЛЕНИЕ РАСЧЕТНЫХ ХАРАКТЕРИСТИК
ПОПЕРЕЧНОГО СЕЧЕНИЯ ВОЛНЫ СВОДА
Для свода комплексной конструкции принимаем поперечное сечение кирпичного свода, приведенное на
рис. 37. Площадь поперечного сечения кирпичного свода
F = 1610 см
2, момент инерции
I = 726 400 см
4.
Принимаем, что высота заполнения бетоном пазух между волнами свода составляет

(см.
п. 2.2 Руководства).
Определение площади комплексного поперечного сечения
Суммарная ширина бетонного заполнения пазух в пределах ширины волны свода (см.
формулу 8 Руководства)
Площадь поперечного сечения бетонного заполнения (см.
п. 5.11 Руководства):
Fб = 63,6·35·0,5 = 1110 см2.
Площадь комплексного поперечного сечения
Fк = F + Fб = 1610 + 1110 = 2720 см2.
Определение положения центра тяжести
комплексного поперечного сечения
где yб - расстояние центра тяжести бетонного заполнения от нижней грани сечения:
Рис. 38. Поперечное сечение волны
свода комплексной конструкции
Определение момента инерции комплексного
поперечного сечения
где Iб - момент инерции бетонного заполнения относительно горизонтальной оси, проходящей через его центр тяжести;
a и aб - расстояния от центров тяжести площадей F и Fб до центра тяжести комплексного поперечного сечения
Радиус инерции комплексного поперечного сечения
ПРИМЕР РАСЧЕТА ТОНКОСТЕННОГО КИРПИЧНОГО
СВОДА ДВОЯКОЙ КРИВИЗНЫ
Расчетный пролет свода
l = 21 м, стрела подъема оси свода в ключе

.
Толщина свода

(
1/
4 кирпича). Ширина волн свода
b = 2 м, высота поперечного сечения волн
h = 76,5 см. Распор свода воспринимается затяжками из арматурной стали периодического профиля класса А-III, расположенными под гранями взаимного примыкания волн на расстоянии 2 м друг от друга. Очертание свода принято по дуге окружности. Свод выкладывается из глиняного кирпича пластического прессования марки 100 на растворе марки 100 и опирается на кирпичные стены толщиной 51 см (2 кирпича). Утеплитель - два слоя фибролитовых плит марки M300. Толщина каждого слоя плит 75 мм.
В фибролитовых плитах делаются надрезы, позволяющие выгибать их по очертанию поперечного сечения волн свода.
По фибролитовым плитам сделана стяжка толщиной 2 см из цементного раствора, служащая основанием для рубероидной кровли.
Район строительства - Московская обл.
Нагрузки:
Нормативная постоянная нагрузка:
собственный вес свода, включая затирку раствором толщиной 0,5 см (0,065 + 0,005)1800 = 126 кгс/м2;
пароизоляционный слой (битумная обмазка) - 5 кгс/м2;
утеплитель 0,15·300 = 45 кгс/м2;
стяжка из цементного раствора толщиной 2 см - 0,02 x 1800 = 36 кгс/м2;
двухслойная рубероидная кровля - 10 кгс/м2
----------.
Всего - 222 кгс/м2
Расчетная постоянная нагрузка принимается с коэффициентами перегрузки 1,1; 1,2 и 1,3 (см. СНиП II-6-74 "Нагрузки и воздействия",
табл. 1):
126·1,1 + 45·1,2 + (5 + 36 + 10)1,3 =
= 138,6 + 54 + 66,3 = 259 кгс/м2.
Нормативная снеговая нагрузка на 1 м
2 горизонтальной проекции (по
СНиП II-6-74) для Московской области (III район) при весе снегового покрова
p0 = 100 кгс/м
2, равна:
При отношении нормативного собственного веса покрытия к нормативному весу снегового покрова

коэффициент перегрузки для снеговой нагрузки
n = 1,4.
Расчетная снеговая нагрузка p = 88·1,4 = 123 кгс/м2.
Согласно
п. 5.2 Руководства, при расчете свода ветровая нагрузка не учитывается.
Расчетные нагрузки на волну свода
При отношении стрелы подъема волны свода

к ее ширине
длина очертания поперечного сечения волны свода, определенная по
табл. 4 Руководства:
S = 1,28·2 = 2,56 м.
Нагрузка от собственного веса кладки свода:
g1 = 138,6·2,56 = 355 кгс/м.
Нагрузка от веса утеплителя стяжки и кровли:
g2 = (54 + 66,3)2,56 = 308 кгс/м.
Снеговая нагрузка p = 123·2 = 246 кгс/м.
Так как в данном случае

, то, согласно
п. 5.4 Руководства, увеличение постоянной нагрузки в направлении от ключа к пятам свода не учитывается.
Определение усилий, действующих
в поперечных сечениях волны свода
Опорные реакции волны свода определяем по
табл. 2 Руководства.
1) От собственного веса кладки свода:
вертикальные опорные реакции
VA = VB = 0,5g1l = 0,5·355·21 = 3725 кгс;
распор
(коэффициент k = 1).
2) От веса утеплителя, стяжки и кровли:
вертикальные опорные реакции
VA = VB = 0,5g2l = 0,5·308·21 = 3234 кгс;
распор
3) От односторонней снеговой нагрузки, равномерно распределенной на левой половине пролета свода:
вертикальные опорные реакции
VA = 0,375pl = 0,375·246·21 = 1937 кгс;
VB = 0,125pl = 0,125·246·21 = 646 кгс;
распор
4) От снеговой нагрузки, распределенной на всем пролете свода:
вертикальные опорные реакции
VA = VB = 0,5pl = 0,5·246·21 = 2583 кгс;
распор
При определении площади сечения затяжек, необходимой для вычисления коэффициента k, учитывающего влияние упругого удлинения затяжек и обжатия свода на величину распора, принимаем k = 1, в этом случае распор волны свода от постоянной нагрузки и снеговой нагрузки, распределенной на всем пролете свода:
H = 6520 + 5659 + 4520 = 16 699 кгс.
При изготовлении затяжек из арматурной стали периодического профиля класса А-III (Rа = 3400 кгс/см2) необходимая площадь поперечного сечения затяжек:
Принимаем диаметр затяжек d = 25 мм, Fз = 4,91 см2.
Коэффициент
k вычисляем по формуле, приведенной в
табл. 2 Руководства. Момент инерции и площадь поперечного сечения волны кирпичного свода толщиной 6,5 см при высоте волны свода
h = 76,5 см и ширине волны, равной 200 см, принимаем по
табл. 3 Руководства:
I = 726 400 см4, F = 1610 см2.
Модуль деформации кладки свода (см.
п. 5.9 Руководства):
где упругая характеристика кладки

и

- средний предел прочности сжатию кладки. Расчетное сопротивление кладки свода толщиной
1/
4 кирпича из кирпича марки 100 на растворе марки 100
R = 18·1,25 = 22,5 кгс/см2
Eкл = 0,5·1000·45 = 22 500 кгс/см2.
--------------------------------
<*> См.
СНиП II-В.2-71 "Каменные и армокаменные конструкции. Нормы проектирования".
Модуль упругости стали класса А-III
Eз = 2 000 000 кгс/см
2. При
f/
l = 1/7 коэффициент
n = 0,911 (
п. 5.6 Руководства)
Распор волны свода от веса утеплителя, стяжки и кровли с учетом коэффициента k:
H = 5659·0,959 = 5427 кгс.
Распор волны свода от односторонней снеговой нагрузки, равномерно распределенной на левой половине пролета свода с учетом коэффициента k:
H = 2260k = 2260·0,959 = 2167 кгс.
Распор волны свода от снеговой нагрузки, распределенной на всем пролете свода:
H = 4520k = 4520·0,959 = 4335 кгс.
По
формулам (2) и
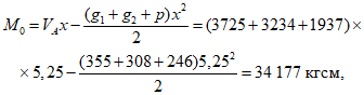
(3) Руководства определяем максимальный положительный изгибающий момент, возникающий в сечении волны, расположенном в
1/
4 пролета на левой половине свода, загруженной снеговой нагрузкой, и нормальную силу в этом сечении.
Определяем изгибающий момент
M0 и поперечную силу
Q0 в
1/
4 пролета простой балки. Сечение, расположенное в
1/
4 пролета, отстоит на расстоянии

от левой опоры:
Q0 = VA - (g1 + g2 + p)x = 3725 + 3234 + 1937 -
- (355 + 308 + 246)5,25 = 4124 кгс.
По
табл. 1 Руководства определяем ординату оси свода в
1/
4 пролета и

в этом сечении:
y = 0,765·3 = 2,29 м;

;

;

;

.
Максимальный положительный изгибающий момент в 1/4 пролета на левой половине свода
M = M0 - Hy = 34177 - (6520 + 5427 + 2167)2,29 = 1856 кгсм.
Нормальная сила в 1/4 пролета на левой половине свода
Определяем максимальный отрицательный изгибающий момент в 1/4 пролета на правой половине свода
Q0 = VB - (g1 + g2)x = (3725 + 3234 + 646) -
- (355 + 308)5,25 = 4124 кгс;
M = 30 789 - (6520 + 5427 + 2167)2,29 = -1532 кгсм.
N = 14695 кгс.
Проверка прочности волны свода при внецентренном сжатии
в сечениях с максимальными положительным и отрицательным
"Каменные и армокаменные конструкции. Нормы проектирования")
--------------------------------
<*> При введении в действие новой редакции главы СНиП расчет свода на внецентренное сжатие производится по измененной редакции.
а) Расчет волны свода на левой половине пролета в сечении с максимальным положительным моментом:
расчет производим по формуле
Расчетное сопротивление кладки свода R = 22,5 кгс/см2.
Коэффициент продольного изгиба при внецентренном сжатии определяется по формуле
Длина оси свода при

определяется по
табл. 4 Руководства
S = 1,05l = 1,05·21 = 22,05 м.
Расчетная длина свода при продольном изгибе (
п. 5.9 Руководства)
l0 = 0,5S = 0,5·22,05 = 11,03 м.
Радиус инерции поперечного сечения свода принимается по
табл. 3 Руководства
r = 21,2 см.
Гибкость
Коэффициент продольного изгиба при центральном сжатии

.
Эксцентрицитет приложения нормальной силы
Расстояние от оси, проходящей через центр тяжести сечения до края сечения в сторону эксцентриситета (см.
табл. 3 Руководства)
y = h - y0 = 76,5 - 47 = 29,5 см,
hэ = 3,5r = 3,5·21,2 = 74,2 см;
Коэффициент

определяется по формуле
Если 3y <= 1,5h, то вместо 3y принимается 1,5h. В данном случае 3y = 3·29,5 = 88,5 см < 1,5h = 1,5·76,5 = 114,8 см, поэтому
Величину площади сжатой зоны сечения
Fс, центр тяжести которой совпадает с точкой приложения нормальной силы, отстоящей на расстоянии
y0 +
e0 = 47 + 12,6 = 59,6 см от нижнего края сечения, определяем последовательным приближением (см.
п. 5.9 Руководства).
Для первого приближения принимаем, что расстояние от нижнего края сечения до границы сжатой зоны
y1 = 2,8
e0 = 2,8·12,6 = 35,3 см (см.
п. 5.9 рис. 25, а Руководства).
Высота сжатой зоны сечения:
hс = h - y1 = 76,5 - 35,3 = 41,2 см;
Площадь, ограниченная параболой 1, 2, 3:
Площадь, ограниченная параболой 4, 5, 6:
Площадь сжатой зоны сечения:
Fс = F1 - F2 = 4364,3 - 3257,2 = 1107,1 см2.
Проверяем точность приближенного определения площади Fс.
Расстояние центра тяжести площади Fс от нижнего края сечения:
z ~= y0 + e0 = 59,6 см.
Несущая способность сечения
0,68·22,5·1107,1·1,11 = 18 800 кгс > N = 14 695 кгс.
Несущая способность сечения обеспечивается с запасом.
б) Расчет волны свода на правой половине пролета в сечении с максимальным отрицательным моментом.
Эксцентрицитет приложения нормальной силы:
Расстояние от оси, проходящей через центр тяжести сечения до края сечения в сторону эксцентрицитета y0 = 47 см:
В данном случае 3y = 3·47 = 141 см > 1,5h = 1,5·76,5 = 114,8 см.
Площадь сжатой зоны сечения
Fс, центр тяжести которой совпадает с точкой приложения нормальной силы, отстоящей на расстоянии
y0 - e0 = 47 - 10,4 = 36,6 см от нижнего края сечения (см.
п. 5.9 и
рис. 25, б Руководства); определяем последовательным приближением.
Для первого приближения принимаем, что расстояние от нижнего края сечения до границы сжатой зоны (высота сжатой зоны):
y1 = h - e0 = 76,5 - 10,4 = 66,1 см,
Площадь прямоугольника 1, 2, 4, 5:
F1 = 200·11,2 = 2240 см2.
Площадь, ограниченная параболой 2, 3, 4:
Площадь, ограниченная параболой 6, 3, 7:
Площадь, ограниченная параболой 8, 9, 10:
Площадь, ограниченная параболой 1, 9, 5:
Fс = F1 + F2 - F3 + F4 - F5 = 2240 + 8706,7 -
- 553,3 + 122,7 - 9333 = 1183,1 см2.
Проверяем точность приближенного определения площади Fс.
Расстояние центра тяжести площади Fс от нижнего края сечения
Ввиду значительной разницы между положением центра тяжести площади Fс и точкой приложения нормальной силы принимаем новое значение y1 = 63 см и по приведенной выше методике повторно определяем величину площади Fс и положение ее центра тяжести z.
При y1 = 63 см Fс = 1090,5 см2 и z = 36,3 см ~= y0 - e0 = 36,6 см.
Несущая способность сечения
0,7·22,5·1090,5·1,07 = 18 377 кгс > N = 14 695 кгс.
Несущая способность сечения обеспечивается с запасом.
Расчет затяжек свода
Распор волны свода при снеговой нагрузке, распределенной на всем пролете свода, воспринимаемый одной затяжкой:
H = 6520 + 5427 + 4335 = 16 282 кгс.
Диаметр промежуточных звеньев затяжек, изготовляемых из арматурной стали класса А-III, принят d = 25 мм, Fз = 4,91 см2.
Расчетное сопротивление стали класса А-III Rа = 3400 кгс/см2.
Напряжение в промежуточных звеньях затяжек
Площадь сечения крайних звеньев затяжек, изготовляемых из круглой стали класса А-I и ослабленных нарезкой для гаек, определяем по
формуле (9) Руководства:
Принимаем d = 40 мм, Fк.з = 12,57 см2 > 11,10 см2.
Площадь сечения петель затяжек, изготовляемых из круглой стали класса А-I, определяем по
формуле (10) Руководства:
Принимаем d = 28 мм, Fп.з = 6,16 см2 > 5,56 см2.
Определение размеров шайб затяжек
1. При железобетонных опорных элементах (см.
рис. 13 Руководства)
Расчетное сопротивление бетона марки M200 при осевом сжатии Rпр = 80 кгс/см2.
По
формуле (11) Руководства расчетное сопротивление бетона при местном сжатии под шайбами затяжек:
Rсм = 1,5Rпр = 1,5·80 = 120 кгс/см2.
Требуемая площадь шайб:
Принимаем минимальный допускаемый размер шайб (см.
п. 5.12 Руководства) 150 x 150 мм, толщиной 12 мм.
Площадь шайбы за вычетом отверстия диаметром 45 мм для пропуска затяжки:
Fш = 15·15 - 16 = 209 см2 > 135 см2.
2. При стальных опорных элементах
Кладка верхней части стен в пределах опорных узлов свода выполнена из кирпича марки 100 на растворе марки 50. Расчетное сопротивление кладки при сжатии R = 15 кгс/см2.
По
формуле (12) Руководства расчетное сопротивление кладки при местном сжатии под шайбами затяжек
Rсм = 2R = 2·15 = 30 кгс/см2.
Требуемая площадь шайб:
Ширина стальной пластины в опорных элементах 300 мм, толщина пластины 12 мм.
Принимаем, что по длине пластины давление на кладку передается на участке длиной 300 мм.
Площадь пластины, с которой передается давление на кладку, за вычетом отверстия диаметром 45 мм, для пропуска затяжки Fпл = 30·30 - 16 = 884 см2 > 542 см2.
Для обеспечения большей равномерности передачи давления на кладку с наружной стороны пластины под гайками затяжки устанавливаем квадратную шайбу размером 150 x 150 мм, толщиной 12 мм.
Определение размеров опорных элементов свода
Величину выноса опорных железобетонных или стальных элементов относительно оси стены определяем по
формуле (13) и
рис. 27 Руководства.
Вертикальные опорные реакции свода при загружении его снеговой нагрузкой, распределенной по всему пролету:
VA = VB = 3725 + 3234 + 2583 = 9542 кгс.
Расчетная нагрузка от веса верхней части стены, расположенной выше рассчитываемого сечения 3-3 на участке длиной 2 м (равном ширине волны свода), составляет 2300 кгс. Полная вертикальная расчетная нагрузка в уровне рассчитываемого сечения
N = 9542 + 2300 = 11 842 кгс.
Распор H = 16 282 кгс.
Тангенс угла наклона касательной к оси свода в опорном узле при
y0 = 47 см.
При толщине стены в рассчитываемом сечении 51 см
Вынос опорных элементов относительно оси стены
Вынос пят свода на участках, расположенных между опорными железобетонными элементами, относительно оси стены определяется по
формуле (14) Руководства:
Прочность стены в сечении 3-3 при действии вертикальной расчетной нагрузки N = 11 842 кгс, приложенной с эксцентрицитетом e0 = 0,7y = 0,7·25,5 = 17,9 см проверяется по формулам расчета на внецентренное сжатие.