Главная // Актуальные документы // РуководствоСПРАВКА
Источник публикации
М.: Стройиздат, 1979
Примечание к документу
Название документа
"Руководство по проектированию бетонных и железобетонных конструкций из плотного силикатного бетона"
"Руководство по проектированию бетонных и железобетонных конструкций из плотного силикатного бетона"
РУКОВОДСТВО
ПО ПРОЕКТИРОВАНИЮ БЕТОННЫХ И ЖЕЛЕЗОБЕТОННЫХ КОНСТРУКЦИЙ
ИЗ ПЛОТНОГО СИЛИКАТНОГО БЕТОНА
Рекомендовано к изданию Секцией бетонов автоклавного твердения и вяжущих материалов Ученого совета ВНИИСтром им. П.П. Будникова Минстройматериалов СССР.
| | ИС МЕГАНОРМ: примечание. Здесь и далее в официальном тексте документа, видимо, допущена опечатка: Инструкция имеет номер СН 165-76, а не СН 165-75. | |
Руководство содержит методы расчета конструкций согласно требованиям Инструкции
СН 165-75 и главы
СНиП II-21-75, а также примеры расчета отдельных сечений и элементов.
Предназначено для инженерно-технических работников проектных и строительных организаций, а также для студентов строительных вузов.
Табл. 22, ил. 14.
Руководство содержит положения по проектированию сборных бетонных и железобетонных (как с ненапрягаемой, так и с напрягаемой арматурой) конструкций из мелкозернистого плотного силикатного бетона на известково-песчаном или известково-шлаковом вяжущем и плотных заполнителях.
В Руководстве приведены требования Инструкции по проектированию бетонных и железобетонных конструкций из плотного силикатного бетона
СН 165-75 и главы
СНиП II-21-75 "Бетонные и железобетонные конструкции", относящиеся к проектированию конструкций из плотного силикатного бетона, а также положения, детализирующие эти требования, приближенные методы расчета.
Формулы, в которых коэффициенты при расчете конструкций из плотного силикатного бетона имеют однозначную величину (в том числе величину, равную 1), приведены с заменой буквенных обозначений коэффициентов конкретными их значениями.
В каждом разделе Руководства даны примеры расчета, охватывающие наиболее типичные случаи, встречающиеся в практике проектирования.
В Руководстве не приведены особенности проектирования ряда конструкций, которые в настоящее время редко выполняются из плотного силикатного бетона. В частности, в Руководстве не приводятся формулы для расчета круглых и кольцевых сечений, внецентренно-сжатых элементов непрямоугольного сечения и т.п. Расчет таких сечений следует производить на основе общих расчетных положений. В Руководстве также не приводятся особенности проектирования статически неопределимых, сборно-монолитных конструкций и конструкций с жесткой арматурой из плотного силикатного бетона. Проектирование этих конструкций следует вести по специальным руководствам и литературным источникам с учетом особенностей свойств и технологии изготовления сборных элементов из плотного силикатного бетона.
Руководство разработано ВНИИСтромом им. П.П. Будникова Минстройматериалов СССР (кандидаты техн. наук В.Н. Гусаков, Е.Л. Розовский) и ЦНИИПромзданий Госстроя СССР (инженеры И.К. Никитин, Л.Л. Лемыш, А.Г. Королькова) совместно с НИИСК Госстроя СССР (канд. техн. наук В.И. Скатынский, инженеры Л.Н. Шевелева, В.А. Критов), НИПИСиликатобетоном Минстройматериалов СССР (канд. техн. наук И.Б. Сивитски, инженеры И.Э. Роони, М.М. Планкен), ЦНИИСК им. Кучеренко Госстроя СССР (канд. техн. наук В.А. Камейко, инж. Л.М. Ломова) и НИИЖБ Госстроя СССР (канд. техн. наук Л.К. Руллэ).
ОСНОВНЫЕ БУКВЕННЫЕ ОБОЗНАЧЕНИЯ
Усилия от внешних нагрузок и воздействий в поперечном
сечении элемента
M - изгибающий момент или момент внешних сил относительно центра тяжести приведенного сечения;
N - продольная сила;
Q - поперечная сила;
Mк - крутящий момент.
Характеристики предварительного напряжения элемента
N0 - усилие предварительного обжатия, определяемое с учетом потерь предварительного напряжения в арматуре, соответствующих рассматриваемой стадии работы элемента;
N01 и N02 - то же, с учетом соответственно первых потерь и всех потерь напряжений;

и

- предварительные напряжения соответственно в напрягаемой арматуре
A и
A' до обжатия бетона (при натяжении арматуры на упоры) либо в момент снижения величины предварительного напряжения в бетоне до нуля воздействием на элемент внешних фактических или условных сил, определяемые с учетом потерь предварительного напряжения в арматуре, соответствующих рассматриваемой стадии работы элемента;

и

- напряжения

с учетом соответственно первых потерь и всех потерь напряжения;

- сжимающие напряжения в бетоне в стадии предварительного обжатия, определяемые с учетом потерь предварительного напряжения в арматуре, соответствующих рассматриваемой стадии работы элемента;
mт - коэффициент точности натяжения арматуры.
Характеристики материалов
Rпр и RпрII - расчетные сопротивления бетона осевому сжатию для предельных состояний соответственно первой и второй группы;
Rр и RрII - расчетные сопротивления бетона осевому растяжению для предельных состояний соответственно первой и второй группы;
Rа - расчетное сопротивление арматуры растяжению для предельных состояний первой группы:
а) продольной;
б) поперечной - при расчете сечений, наклонных к продольной оси элемента, на действие изгибающего момента;
Rа.х - расчетное сопротивление поперечной арматуры растяжению для предельных состояний первой группы при расчете сечений, наклонных к продольной оси элемента, на действие поперечной силы;
Rа.с - расчетное сопротивление арматуры сжатию для предельных состояний первой группы;
Rа.II - расчетное сопротивление арматуры растяжению для предельных состояний второй группы;
Eб - начальный модуль упругости бетона при сжатии и растяжении;
Eа - модуль упругости арматуры;
n - отношение соответствующих модулей упругости арматуры Eа и бетона Eб;
m - предельное значение характеристики ползучести бетона.
Характеристика положения продольной арматуры
в поперечном сечении элемента
A - обозначение продольной арматуры:
а) при наличии сжатой и растянутой от действия внешней нагрузки зон сечения - всей арматуры (напрягаемой и ненапрягаемой), расположенной в растянутой зоне;
б) при полностью сжатом от действия внешней нагрузки сечении - то же, расположенной у менее сжатой грани сечения;
в) при полностью растянутом от действия внешней нагрузки сечении внецентренно-растянутых элементов - расположенной у более растянутой грани сечения;
A' - обозначение продольной арматуры:
а) при наличии сжатой и растянутой от действия внешней нагрузки зон сечения - расположенной в сжатой зоне;
б) при полностью сжатом от действия внешней нагрузки сечении - расположенной у более сжатой грани сечения;
в) при полностью растянутом от действия внешней нагрузки сечении внецентренно-растянутых элементов - расположенной у менее растянутой грани сечения.
Геометрические характеристики

- ширина прямоугольного сечения, ширина ребра таврового и двутаврового сечений;

и

- ширина полки таврового и двутаврового сечения соответственно в растянутой и сжатой зоне;

- высота сечения;

и

- высота полки таврового и двутаврового сечения соответственно в растянутой и сжатой зоне;

и

- расстояние от равнодействующей усилий соответственно в арматуре
A и
A' до ближайшей грани сечения;

и

- расстояние от равнодействующей усилий в арматуре
A площадью соответственно
Fн и
Fа до ближайшей грани сечения;

и

- то же, в арматуре
A' площадью соответственно

и

;

и

- рабочая высота сечения, равная соответственно

и

;
x - высота сжатой зоны бетона;

- относительная высота сжатой зоны бетона, равная
x/
h0;
u - расстояние между хомутами, измеренное по длине элемента;
u0 - расстояние между плоскостями отогнутых (наклонных) стержней, измеренное по нормали к ним;
e0 - эксцентрицитет продольной силы N относительно центра тяжести приведенного сечения, определяемый без учета прогиба элемента (начальный эксцентрицитет);
e0н - эксцентрицитет усилия предварительного обжатия N0 относительно центра тяжести приведенного сечения;
e0с - эксцентрицитет равнодействующей продольной силы N и усилия предварительного обжатия N0 относительно центра тяжести приведенного сечения;
e и e' - расстояние от точки приложения продольной силы N до равнодействующей усилий соответственно в арматуре A и A';
eа и eа.н - расстояние от точки приложения соответственно продольной силы N и усилия предварительного обжатия N0 до центра тяжести площади сечения арматуры A;
l - пролет элемента;
l0 - расчетная длина элемента, подвергающегося действию продольной сжимающей силы N;
r - радиус инерции поперечного сечения элемента относительно центра тяжести сечения;
d - номинальный диаметр стержней арматурной стали;

и

- площадь сечения соответственно арматуры
A и
A';

и

- площадь сечения напрягаемой части соответственно арматуры
A и
A';

и

- площадь сечения ненапрягаемой части соответственно арматуры
A и
A';
Fх - площадь сечения хомутов, расположенных в одной нормальной к продольной оси элемента плоскости, пересекающей наклонное сечение;
F0 - площадь сечения отогнутых (наклонных) стержней, расположенных в одной наклонной к продольной оси элемента плоскости, пересекающей наклонное сечение;
fх - площадь сечения одного стержня хомута;
fа - площадь сечения одного стержня продольной арматуры;
F - площадь всего бетона в поперечном сечении;
Fб - площадь сечения сжатой зоны бетона;
Fб.р - площадь сечения растянутой зоны бетона;
Fп - площадь приведенного сечения элемента;
I - момент инерции сечения бетона относительно центра тяжести сечения элемента;
Iп - момент инерции приведенного сечения элемента относительно его центра тяжести;
Iа - момент инерции площади сечения арматуры относительно центра тяжести сечения элемента.
1.1. Руководство распространяется на проектирование сборных бетонных и железобетонных конструкций как с напрягаемой, так и с ненапрягаемой арматурой, предназначенных для работы при систематическом воздействии температур не выше 50 и не ниже минус 70 °C и изготовляемых из мелкозернистого плотного силикатного бетона с объемным весом 1700 кгс/м3 и более на известково-песчаном или известково-шлаковом вяжущих и плотных заполнителях.
Плотный силикатный бетон - бетон плотной структуры на известковых вяжущих, подвергнутый автоклавной обработке.
Примечания: 1. Величины объемного веса в Руководстве указаны для бетона, высушенного до постоянного веса.
2. В конструкциях, проектируемых в соответствии с Руководством, цементный бетон применяется только для заполнения швов в сборных конструкциях, для защиты от коррозии и обеспечения сцепления с бетоном напрягаемой арматуры, расположенной в каналах, пазах и на поверхности конструкций, а также для защиты от коррозии стальных закладных деталей.
1.2. Расчетная зимняя температура наружного воздуха принимается как средняя температура воздуха наиболее холодной пятидневки, в зависимости от района строительства, согласно главе СНиП по строительной климатологии и геофизике. Расчетные технологические температуры устанавливаются заданием на проектирование.
1.3. Влажностный режим эксплуатации конструкций характеризуется:
в отапливаемых зданиях - относительной влажностью внутреннего воздуха помещений;
в неотапливаемых зданиях, а также сооружениях, находящихся на открытом воздухе, - зонами влажности согласно главе СНиП по строительной теплотехнике.
1.4. Конструкции из плотного силикатного бетона, на проектирование которых распространяется действие настоящего Руководства, следует применять при строительстве жилых домов и общественных зданий, производственных и вспомогательных зданий и сооружений промышленных и сельскохозяйственных предприятий (в том числе животноводческих и птицеводческих зданий) в зависимости от влажностного режима эксплуатации и агрессивности среды:
в неагрессивных средах или при воздействии агрессивных газов группы А, а также групп Б и В по концентрации углекислого газа, аммиака и сероводорода, - независимо от влажностного режима эксплуатации конструкций;
при воздействии газовых (кроме газов группы А, а также групп Б и В по концентрации углекислого газа, аммиака и сероводорода) или твердых агрессивных сред - при относительной влажности внутреннего воздуха помещений до 75% или в сухой и нормальной зонах влажности;
при воздействии неагрессивных и агрессивных вод - в безнапорных сооружениях.
Примечание. Классификация агрессивных газов по группам должна производиться согласно главе СНиП по защите строительных конструкций от коррозии.
1.5. Степень агрессивного воздействия газовых и твердых сред следует определять согласно главе СНиП по защите строительных конструкций от коррозии как для силикатного кирпича. При этом воздействие газов группы А, а также групп Б и В по концентрации углекислого газа, аммиака и сероводорода считается неагрессивным.
Степень агрессивного воздействия жидких сред следует определять по
табл. 1 настоящего Руководства.
Признаки агрессивности жидких сред | Степень агрессивного воздействия жидких сред на конструкции |
не агрессивная | слабоагрессивная | средне- и сильноагрессивная |
1. Общекислотная агрессивность, водородный показатель pH | Свыше 4 | От 1 до 4 | Менее 1 |
2. Содержание магнезиальных солей (магнезиальная агрессивность), концентрация ионов Mg2+, мг/л | До 300 | От 300 до 500 | Свыше 500 |
3. Содержание свободной (агрессивной) углекислоты CO2, мг/л | До 20 | От 20 до 50 | Свыше 50 |
4. Щелочная агрессивность, концентрация едких щелочей в расчете на Na1++K1+, г/л | До 100 | От 100 до 150 | Свыше 150 |
5. Содержание сульфатов (сульфатная агрессивность) в пересчете на ионы  мг/л | До 10 000 | От 10 000 до 20 000 | Свыше 20 000 |
Примечания: 1. Жидкая среда считается слабоагрессивной, если глубина разрушения бетона за 50 лет эксплуатации находится в пределах 1 - 2 см.
2. Нормы агрессивности жидких сред в
табл. 1 приняты для интервала температур среды от 0 до +25 °C. При температуре среды вне пределов данного интервала заключение об агрессивности вод дается на основе результатов специальных исследований.
3. Проточная и непроточная мягкая или жесткая вода (выщелачивающая агрессивность) по отношению к плотному силикатному бетону является неагрессивной.
4. При неполном погружении (в условиях капиллярного подсоса воды) или периодическом воздействии растворов едких щелочей или сульфатных растворов с концентрацией сульфат-ионов более 600 мг/л, т.е. при возможности накопления в порах бетона солей, оказывающих разрушающее действие на бетон, среда является сильноагрессивной по отношению к плотному силикатному бетону.
5. При содержании в жидкой среде веществ, не предусмотренных настоящей таблицей, степень агрессивного воздействия среды следует устанавливать на основании результатов специальных исследований.
1.6. При проектировании конструкций, эксплуатируемых в агрессивных средах, необходимо предусматривать их защиту в соответствии с требованиями главы СНиП по защите строительных конструкций от коррозии, при этом в связи с обязательной защитой арматуры в указанных условиях обмазками (см.
п. 1.7 настоящего Руководства) приведенные в этой главе требования к ширине раскрытия трещин, толщине защитного слоя бетона и плотности бетона учитывать не следует.
Примечание. Степень агрессивного воздействия сред следует определять по
п. 1.5 настоящего Руководства.
1.7. Защиту арматуры от коррозии в конструкциях из плотного силикатного бетона следует предусматривать в зависимости от условий эксплуатации:
при относительной влажности внутреннего воздуха до 60%, или в сухой зоне влажности, специальных мер по защите арматуры от коррозии предусматривать не следует;
при относительной влажности внутреннего воздуха свыше 60 до 75%, или в нормальной зоне влажности, необходимо обеспечить сохранность арматуры в бетоне антикоррозионными обмазками арматуры или паронепроницаемыми покрытиями конструкций в виде масляной окраски, возобновляемой не реже одного раза в пять лет, или введением дополнительных требований к бетону согласно указаниям
пп. 2.2;
2.5 и
2.6 настоящего Руководства;
при относительной влажности внутреннего воздуха более 75%, или во влажной зоне, а также при наличии агрессивных сред и усиленном воздействии атмосферных осадков и отрицательных температур арматуру необходимо защищать от коррозии латексно-минеральным покрытием по рекомендациям НИПИСиликатобетона. Допускается предусматривать другие виды покрытий после специальной проверки их технологических и защитных свойств и сцепления арматуры с бетоном.
1.8. Выбор конструктивных решений должен производиться исходя из технико-экономической целесообразности их применения в конкретных условиях строительства с учетом максимального снижения материалоемкости, трудоемкости и стоимости строительства, а также с учетом условий эксплуатации конструкций.
1.9. При проектировании зданий и сооружений должны приниматься конструктивные схемы, обеспечивающие необходимую прочность, устойчивость и пространственную неизменяемость зданий и сооружений в целом, а также отдельных конструкций на всех стадиях возведения и эксплуатации.
1.10. Элементы сборных конструкций должны отвечать условиям механизированного изготовления на специализированных предприятиях.
Целесообразно укрупнять элементы сборных конструкций насколько это позволяют грузоподъемность монтажных механизмов, а также условия изготовления и транспортирования.
1.11. В сборных конструкциях особое внимание должно быть обращено на прочность и долговечность соединений.
Конструкция узлов и соединений элементов должна обеспечивать надежную передачу усилий, прочность самих элементов в зоне стыка, а также связь дополнительно уложенного бетона в стыке с бетоном конструкции с помощью различных конструктивных мероприятий.
1.12. При проектировании конструкций, систематически подвергающихся воздействию атмосферных осадков (плиты балконов и лоджий, карнизы, парапеты и т.п.), следует предусматривать конструктивные мероприятия, обеспечивающие постоянный отвод воды с этих конструкций и исключающие затекание воды на нижнюю поверхность.
1.13. В наружных ограждающих конструкциях, на внутренней поверхности которых допускается конденсация водяного пара или внутренние поверхности которых по технологическим условиям производства промываются водой (например, в банях), необходимо предусматривать устройство с внутренней стороны водонепроницаемого слоя согласно требованиям главы СНиП по строительной теплотехнике.
1.14. Бетонные элементы применяются в конструкциях, работающих преимущественно на сжатие, когда эксцентрицитеты продольной силы относительно центра тяжести сечения не превышают величин, указанных в
п. 3.4 Руководства по проектированию бетонных и железобетонных конструкций из тяжелого бетона (без предварительного напряжения).
Изгибаемые бетонные элементы допускается применять в том случае, когда они лежат на сплошном основании, а также в качестве исключения, в других случаях при условии, что они рассчитываются на нагрузку только от собственного веса и под ними не могут находиться люди и оборудование.
Примечание. Конструкции рассматриваются как бетонные, если их прочность в стадии эксплуатации обеспечивается одним бетоном.
1.15. Численные значения приведенных в настоящем Руководстве расчетных характеристик бетона и арматуры, предельно допустимых величин ширины раскрытия трещин и прогибов применяются только при проектировании. Для оценки качества конструкций следует руководствоваться требованиями соответствующих государственных стандартов и нормативных документов.
ОСНОВНЫЕ РАСЧЕТНЫЕ ТРЕБОВАНИЯ
1.16. При проектировании бетонных и железобетонных конструкций из плотного силикатного бетона следует руководствоваться основными расчетными требованиями, приведенными в
пп. 1.8 -
1.20 Руководства по проектированию предварительно-напряженных железобетонных конструкций из тяжелого бетона с учетом дополнительных требований, указанных в
пп. 1.17 -
1.20 настоящего Руководства.
1.17. Категории требований к трещиностойкости железобетонных конструкций и величины предельно допустимой ширины раскрытия трещин, приведенные в
табл. 1 Руководства по проектированию предварительно-напряженных железобетонных конструкций из тяжелого бетона, следует относить к конструкциям из плотного силикатного бетона, эксплуатируемым как в неагрессивной, так и в агрессивной среде (
п. 1.6 настоящего Руководства).
1.18. Предусмотренное в
п. 1.12 Руководства по проектированию предварительно-напряженных железобетонных конструкций из тяжелого бетона ограничение величины сжимающих напряжений в бетоне в стадии предварительного обжатия следует учитывать по
п. 1.25 настоящего Руководства.
1.19. Для предварительно-напряженных элементов с арматурой без анкеров длину зоны передачи напряжений, в пределах которой не допускается образование трещин, следует определять по
п. 2.16 настоящего Руководства.
1.20. Величины
Mпр,

и

при определении необходимости увеличения армирования слабоармированных элементов, предусмотренных
п. 1.15 Руководства по проектированию предварительно-напряженных железобетонных конструкций из тяжелого бетона, следует определять по
разд. 3 настоящего Руководства, а величину
Mт - по
п. 4.1 настоящего Руководства.
ПРЕДВАРИТЕЛЬНОЕ НАПРЯЖЕНИЕ В ЖЕЛЕЗОБЕТОННЫХ КОНСТРУКЦИЯХ
1.21. Предварительное напряжение железобетонных конструкций применяется в соответствии с указаниями
п. 1.3. Руководства по проектированию предварительно-напряженных железобетонных конструкций из тяжелого бетона и создается двумя основными способами: натяжением арматуры на упоры формы; натяжением арматуры на затвердевший бетон.
Натяжение арматуры на упоры производится механическим и электротермическим способами. Натяжение арматуры на затвердевший бетон производится только механическим способом.
При натяжении на упоры применяется стержневая арматура и высокопрочная проволока диаметром более 4 мм в виде пакетов. При натяжении на бетон применяется высокопрочная проволока диаметром более 4 мм в виде пучков.
1.22. Величину предварительного напряжения

(а также

) соответственно в напрягаемой арматуре
A и
A' без учета потерь следует назначать таким образом, чтобы выполнялись условия:
при механическом способе натяжения:
а) для стержневой арматуры

; (1)
б) для проволочной арматуры

; (2)
при электротермическом способе натяжения для стержневой арматуры

; (3)
где p - допустимые отклонения предварительного напряжения, кгс/см2, при электротермическом способе натяжения, равные

; (4)
l - длина натягиваемого стержня (расстояние между наружными гранями упоров), м.
Кроме того, при электротермическом способе натяжения величину

следует назначать с учетом допустимых температур нагрева согласно
Руководству по технологии изготовления предварительно-напряженных железобетонных конструкций; при этом в случае отсутствия данных о технологии изготовления конструкций величина

принимается не более 7000 кгс/см
2.
При наличии перегибов проволочной арматуры напряжения

не должны превышать 0,7
RаII.
1.23. При расчете предварительно-напряженных элементов следует учитывать потери предварительного напряжения арматуры.
При натяжении арматуры на упоры учитывают:
а) первые потери - от релаксации напряжений в арматуре, деформации анкеров, деформаций форм (при неодновременном натяжении арматуры на форму), влияния автоклавной обработки, быстронатекающей ползучести бетона, проявляющейся в процессе обжатия;
б) вторые потери - от усадки и ползучести бетона.
При натяжении арматуры на бетон учитывают:
а) первые потери - от деформации анкеров, трения арматуры о стенки канала или о поверхность конструкций;
б) вторые потери - от усадки и ползучести бетона, релаксации напряжения в арматуре, деформации стыков между блоками (для конструкций, состоящих из блоков).
Величины потерь должны определяться по
табл. 2 настоящего Руководства. При наличии специальных опытных данных эти потери допускается принимать по результатам опытов.
N позиции | Факторы, вызывающие потери предварительного напряжения арматуры | Условное обозначение | Величина потерь предварительного напряжения, кгс/см2, при натяжении арматуры |
на упоры | на бетон |
А. Первые потери |
| Релаксация напряжений арматуры: при механическом способе натяжения арматуры: | | | |
проволочной | | | - |
стержневой | | | - |
при электротерми ческом способе натяжения стержне вой арматуры | | 0,2  - 500 (здесь  принимается без учета потерь в кгс/см 2). Если вычисленные значения потерь от релаксации напряжений оказываются отрицательными, их следует принимать равными нулю. Для арматуры классов А-III и А-IIIв потери  равны нулю | - |
2 | Автоклавная обработка изделий | | 200 | - |
3 | Деформация анкеров, расположенных у натяжных устройств | | Принимается по табл. 4, поз. 3, Руководства по проектированию предварительно-напряженных железобетонных конструкций из тяжелого бетона |
4 | Трение арматуры о стенки каналов, поверхность бетона конструкций или об огибающие приспособления (при натяжении на упоры) | | Принимается по табл. 4, поз. 4, Руководства по проектированию предварительно-напряженных железобетонных конструкций из тяжелого бетона |
| Деформация стальной формы при неодновременном натяжении арматуры на упоры формы | | Принимается по табл. 4, поз. 5 Руководства по проектированию предварительно-напряженных железобетонных конструкций из тяжелого бетона | - |
| Быстронатекающая ползучесть бетона | |  , где k - коэффициент, определяемый по формуле  ;  - сжимающие напряжения в бетоне в стадии предварительного обжатия, определяемые по п. 1.25 настоящего Руководства на уровне центров тяжести продольной арматуры A и A' с учетом потерь по поз. 1 - 5 настоящей таблицы;  - нормативная призменная прочность бетона. При растягивающих напряжениях  потери  принимаются равными нулю | - |
Б. Вторые потери |
7 | Релаксация напряжений арматуры | | - | Принимается по табл. 4, поз. 7 Руководства по проектированию предварительно-напряженных железобетонных конструкций из тяжелого бетона |
| Усадка бетона (см. п. 1.24 настоящего Руководства) | | 300 | 300 |
| Ползучесть бетона | |  , где  - см. поз. 6 настоящей таблицы;  ,  и Ф - коэффициенты, определяемые, п. 1.26 настоящего Руководства;  - потери по поз. 6 настоящей таблицы. При растягивающих напряжениях  потери  принимаются равными нулю |
10 | Деформация обжатия стыков между блоками (для конструкций, состоящих из блоков) | | - | Принимается по табл. 4, поз. 11, Руководства по проектированию предварительно-напряженных железобетонных конструкций из тяжелого бетона |
Примечание. Потери предварительного напряжения в арматуре A' определяются так же, как и в арматуре A.
Суммарную величину потерь при проектировании конструкций следует принимать не менее 1000 кгс/см2.
Если суммарная величина потерь, вычисленных по
табл. 2 настоящего Руководства, окажется меньше 1000 кгс/см
2, величину потерь следует дополнить "прочими потерями" до 1000 кгс/см
2. "Прочие потери" рекомендуется распределять поровну между первыми и вторыми потерями.
1.24. При определении потерь предварительного напряжения арматуры для расчета элементов в стадии обжатия бетона, а также при испытании конструкций ранее, чем через 100 сут после изготовления, величину потерь от усадки бетона по
табл. 2, поз. 8 настоящего Руководства следует умножать на коэффициент

, определяемый по формуле

, (5)
где t - время в сутках, отсчитываемое со дня изготовления конструкции;
e - основание натуральных логарифмов.
Примечание. Допускается использовать более точные методы для определения величины потерь от усадки бетона, обоснованные в установленном порядке, если известны состав бетона, условия изготовления и эксплуатации конструкций и т.п.
1.25. Коэффициент точности натяжения арматуры
mт, предварительные напряжения арматуры в стадии изготовления, транспортирования, возведения и эксплуатации, усилие предварительного обжатия
N0 и его положение
e0.н, значения

на длине зоны передачи напряжений, напряжения в бетоне

в сечениях, нормальных к продольной оси элемента, а также величины напряжений в напрягаемой арматуре
A и
A', контролируемые по окончании натяжения на упоры (

и

) и в месте приложения натяжного усилия при натяжении арматуры на бетон (

и

) следует определять по
пп. 1.24 -
1.31 Руководства по проектированию предварительно-напряженных железобетонных конструкций из тяжелого бетона, принимая:
значения

с учетом указаний
п. 1.22 настоящего Руководства;
потери напряжений по
табл. 2 настоящего Руководства;
значение
lп.н с учетом указаний
п. 2.16 настоящего Руководства;
допустимые сжимающие напряжения в бетоне в стадии предварительного обжатия при замене
величины
R0 на величину нормативной призменной прочности бетона

(см.
табл. 8 настоящего Руководства).
1.26. Значение коэффициента
Ф при определении потерь напряжения от ползучести бетона (см.
табл. 2, поз. 9, настоящего Руководства) следует вычислять по формуле

, (6)
где e - основание натуральных логарифмов;
n - отношение модулей упругости напрягаемой арматуры и бетона;

- коэффициент армирования сечения напрягаемой арматурой, определяемый по формуле

; (6а)

- коэффициент, определяемый по формуле

, (7)
(здесь
N0 - усилие обжатия с учетом потерь напряжения по
поз. 1 -
5 табл. 2 настоящего Руководства);

- характеристика ползучести бетона, определяемая по формуле

. (8)
В формуле (8):
m - предельное значение характеристики ползучести бетона, определяемое согласно
п. 2.11 настоящего Руководства;
kн - коэффициент нелинейности, принимаемый по
табл. 3 настоящего Руководства;

- коэффициент, учитывающий продолжительность действия напряжений

, определяемый по
табл. 4 настоящего Руководства или по формуле

, (9)
где e - основание натуральных логарифмов;
t - время в сутках от обжатия бетона до загружения или испытания конструкций; если этот срок неизвестен, величину

следует принимать при
t = 100 сут.
Степень обжатия бетона  | <= 0,4 | 0,5 | 0,6 | 0,7 | от 0,8 до 1 |
Значения коэффициента kн | 0,8 | 0,9 | 1,0 | 1,12 | 1,25 |
t, сут | 3 | 7 | 14 | 28 | 60 | 90 | 100 | 120 | 180 | 240 | 300 | 360 | 720 |
Значение коэффициента  | 0,03 | 0,07 | 0,13 | 0,25 | 0,451 | 0,593 | 0,632 | 0,699 | 0,835 | 0,909 | 0,95 | 0,973 | 0,999 |
Если потери напряжения

определяются для сечения, в котором изгибающий момент
M равен нулю, величину

рекомендуется определять по формуле

, (10)
где
y - расстояние от центра тяжести приведенного сечения до волокна, на уровне которого определяется

; если рассматриваемое волокно и усилие обжатия находятся по разные стороны от центра тяжести сечения, величина y принимается со знаком минус.
Значения коэффициента
Ф могут определяться по
табл. 5 настоящего Руководства в зависимости от величин

и

.
К1 | Значение Ф при величине  |
0,4 | 0,8 | 1,2 | 1,6 | 2,0 | 2,4 |
0,0 | 0 | 0 | 0 | 0 | 0 | 0 |
0,1 | 0,035 | 0,07 | 0,103 | 0,135 | 0,166 | 0,196 |
0,2 | 0,065 | 0,125 | 0,181 | 0,234 | 0,284 | 0,33 |
0,3 | 0,088 | 0,169 | 0,211 | 0,309 | 0,37 | 0,378 |
0,4 | 0,108 | 0,205 | 0,29 | 0,368 | 0,436 | 0,444 |
0,5 | 0,124 | 0,234 | 0,33 | 0,413 | 0,486 | 0,55 |
0,6 | 0,139 | 0,259 | 0,362 | 0,451 | 0,528 | 0,593 |
0,7 | 0,150 | 0,285 | 0,386 | 0,489 | 0,557 | 0,624 |
0,8 | 0,163 | 0,3 | 0,413 | 0,509 | 0,589 | 0,657 |
0,9 | 0,173 | 0,316 | 0,434 | 0,531 | 0,612 | 0,68 |
1 | 0,181 | 0,33 | 0,451 | 0,551 | 0,632 | 0,699 |
1,1 | 0,189 | 0,342 | 0,467 | 0,567 | 0,65 | 0,716 |
1,2 | 0,196 | 0,353 | 0,48 | 0,582 | 0,664 | 0,73 |
1,3 | 0,202 | 0,364 | 0,492 | 0,595 | 0,677 | 0,743 |
1,4 | 0,208 | 0 372 | 0,503 | 0,607 | 0,69 | 0,753 |
1,5 | 0,213 | 0,381 | 0,513 | 0,617 | 0,699 | 0,763 |
1,6 | 0,218 | 0,389 | 0,522 | 0,626 | 0,708 | 0,772 |
1,7 | 0,223 | 0,396 | 0,530 | 0,636 | 0,716 | 0,779 |
1,8 | 0,227 | 0,402 | 0,537 | 0,643 | 0,722 | 0,786 |
Примечание. При промежуточных значениях величин

и
K1 значение
Ф следует определять интерполяцией.
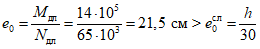
Пример 1. Дано: плита перекрытия размером 2,4 x 6 м; поперечное сечение - по рис. 1; бетон на известково-песчаном вяжущем марки М 300 (

;

); напрягаемая арматура класса Ат-V (
RаII = 8000 кгс/см
2;

), площадь сечения
Fн = 19,23 см
2 (

); ненапрягаемая сжатая арматура класса B-I (

) площадью сечения 0,879 см
2 (

); натяжение арматуры производится на упоры формы электротермическим способом (расстояние между наружными гранями упоров 6,3 м); вес плиты 4,75 тс.
Рис. 1. Поперечное сечение элемента
к примеру I (размеры в см)
Требуется определить величину и точку приложения усилия предварительного обжатия с учетом первых потерь напряжений N01 и с учетом всех потерь N02 для сечения в середине пролета плиты при хранении плиты в течение 30 дней, принимая максимально допустимое натяжение арматуры.
Расчет. Определяем геометрические характеристики приведенного сечения по
п. 1.28 Руководства по проектированию предварительно-напряженных железобетонных конструкций из тяжелого бетона, принимая для напрягаемой арматуры:
и для ненапрягаемой арматуры:

.
Площадь:

.
Статический момент относительно нижней грани:
Расстояния от центра тяжести сечения:
до нижней грани

;
до центра тяжести напрягаемой арматуры

;
до центра тяжести ненапрягаемой арматуры

.
Момент инерции:
Максимально допустимое напряжение

без учета потерь определяем по
п. 1.22 настоящего Руководства. При длине натягиваемого стержня 6,3 м имеем:

;

.
Потери от релаксации напряжений стержневой арматуры при электротермическом способе натяжения:

.
Потери от автоклавной обработки:

.
Потери от деформации анкеров

и формы

при электротермическом способе натяжения равны нулю. Поскольку арматура не отгибается, потери от трения арматуры

также равны нулю.
Таким образом, усилие обжатия
N0I с учетом потерь напряжения по
табл. 2, поз. 1 -
5, равно:

,
а его эксцентрицитет равен e0.нI = yн = 5,7 см.
В соответствии с
п. 1.25 настоящего Руководства проверим максимальное сжимающее напряжение в бетоне

от действия силы
N0I, вычисляя его для наиболее обжатого волокна по
п. 1.28 Руководства по проектированию предварительно-напряженных железобетонных конструкций из тяжелого бетона при
y0 =
yц:
(момент от собственного веса не учитывается).
Поскольку

(см.
табл. 7 Руководства по проектированию предварительно-напряженных железобетонных конструкций из тяжелого бетона и
п. 1.25 настоящего Руководства), ограничение сжимающих напряжений в бетоне не нарушается.
Определяем потери от быстронатекающей ползучести бетона по
табл. 2, поз. 6, настоящего Руководства. Для этого вычисляем напряжения в бетоне

в середине пролета от действия силы
N0I и изгибающего момента от собственного веса плиты, равного
(l = 590 - расстояние между подкладками при хранении плиты).
Напряжение

на уровне центра тяжести арматуры
A (при
y0 =
yн = 5,7 см) равно
Напряжение

на уровне центра тяжести арматуры
A' (при

) равно

.
Потери от быстронатекающей ползучести равны:
на уровне арматуры A

;
на уровне арматуры A'

.
Напряжение

с учетом первых потерь равно

.
Напряжение

принимаем равным потерям напряжений от быстронатекающей ползучести, т.е.

.
Определяем усилие обжатия с учетом первых потерь
N0I и его эксцентрицитет
e0н по
п. 1.26 Руководства по проектированию предварительно-напряженных железобетонных конструкций из тяжелого бетона:

;

.
Определим вторые потери по
табл. 2, поз. 8 и
9, настоящего Руководства. Потери от усадки бетона при
t = 30 сут:

.
Потери от ползучести бетона определяем по формуле
табл. 2, поз. 9. Для этого находим

.
На уровне арматуры A:

.
Поскольку

, принимаем по
табл. 3 настоящего Руководства
kн = 0,8.
При t = 30 сут

.
Согласно
п. 2.11 настоящего Руководства, при

и

:

;

;

;

.
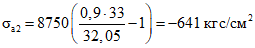
На уровне арматуры A':
kн = 0,8;
m = 1,5;
Суммарная величина потерь напряжений:
следовательно, прочие потери, согласно
п. 1.23, не вводим.
Напряжение

с учетом всех потерь равно:
Усилие обжатия с учетом всех потерь определяем с учетом напряжений в арматуре A', равных сумме потерь от усадки и ползучести, т.е.

;

.
Эксцентрицитет усилия N02 равен:

.
2. МАТЕРИАЛЫ ДЛЯ БЕТОННЫХ И ЖЕЛЕЗОБЕТОННЫХ КОНСТРУКЦИЙ
2.1. Для бетонных и железобетонных конструкций, на проектирование которых распространяются требования настоящего Руководства, должны предусматриваться следующие проектные марки бетона:
по прочности на сжатие - М 150, М 200, М 250, М 300, М 400, М 500, М 600;
по морозостойкости - Мрз 25, Мрз 35, Мрз 50, Мрз 75, Мрз 100, Мрз 150, Мрз 200, Мрз 300, Мрз 400, Мрз 500;
по водонепроницаемости - B 2, B 4, B 6, B 8.
Примечания: 1. За проектную марку бетона по прочности на сжатие принимается сопротивление осевому сжатию R, кгс/см2, эталонного образца-куба размером 15 x 15 x 15 см, изготовленного из той же смеси, что и изделия, прошедшего автоклавную обработку одновременно с изделиями и испытанного по ГОСТ 10180-74 в остывшем до температуры 20 +/- 2 °C состоянии.
2. Проектная марка бетона по морозостойкости Мрз означает число выдерживаемых циклов замораживания и оттаивания образцов, испытываемых в соответствии с ГОСТ 10060-76; должна назначаться для конструкций, подвергающихся воздействию отрицательных температур наружного воздуха.
3. Проектная марка бетона по водонепроницаемости В означает предельное давление воды в кгс/см2, при котором еще не наблюдается ее просачивание через эталонный образец, испытываемый по ГОСТ 4800-59; должна назначаться для конструкций, к которым предъявляются требования по водонепроницаемости или для конструкций, к бетону которых предъявляются требования по плотности.
2.2. Бетон марки М 150 следует принимать только для бетонных и плоских (не стержневых) железобетонных конструкций (за исключением плит перекрытий над санузлами), эксплуатируемых при относительной влажности внутреннего воздуха помещений до 60%, или в сухой зоне влажности.
Конструкции из бетона марки М 150 в агрессивных средах применять не допускается.
Для сильнонагруженных сжатых стержневых элементов (например, колонн, воспринимающих крановые нагрузки) проектная марка бетона должна приниматься не ниже М 300.
2.3. Для предварительно-напряженных элементов проектную марку бетона по прочности на сжатие необходимо принимать не ниже величин, указанных в
табл. 6 настоящего Руководства.
N позиции | Вид и класс напрягаемой арматуры | Минимальная проектная марка бетона, конструкций, подвергающихся действию нагрузок |
статических | многократно повторяющихся |
1 | Проволочная арматура диаметром 5 мм и более, классов: | | |
В-II с анкерами | М 250 | М 300 |
Вр-II без анкеров при диаметре проволоки: | | |
5 мм | М 250 | М 300 |
6 " и более | М 400 | М 500 |
2 | Стержневая арматура без анкеров диаметром: | | |
от 10 до 18 мм (включительно), классов: | | |
А-III, А-IIIв, А-IV и Ат-IV | М 200 | М 250 |
А-V, Ат-V, Атп-V | М 250 | М 300 |
Ат-VI | М 400 | М 400 |
20 мм и более, классов: | | |
А-III, А-IIIв, А-IV и Ат-IV | М 250 | М 300 |
А-V, Ат-V, Атп-V и Ат-VI | М 400 | М 400 |
При проектировании отдельных видов конструкций допускается обоснованное в установленном порядке снижение минимальной проектной марки бетона на одну ступень.
2.4. Проектные марки бетона по морозостойкости и водонепроницаемости железобетонных и бетонных конструкций в зависимости от режима эксплуатации и значений расчетных зимних температур наружного воздуха в районе строительства следует принимать:
для конструкций зданий и сооружений (кроме наружных стен отапливаемых зданий) не ниже указанных в
табл. 7 настоящего Руководства;
для наружных стен отапливаемых зданий не ниже указанных в
табл. 10 Руководства по проектированию предварительно-напряженных железобетонных конструкций из тяжелого бетона.
N позиции | Условия эксплуатации конструкций | Минимальные проектные марки бетона |
Характеристика режима | Расчетная зимняя температура наружного воздуха | по морозостойкости | по водонепроницаемости |
конструкций (кроме наружных стен отапливаемых зданий) для зданий и сооружений класса: |
I | II | III | I | II | III |
1 | Попеременное замораживание и оттаивание в водонасыщенном состоянии (например, конструкции, расположенные в сезонно-оттаивающем слое грунта в районах вечной мерзлоты) | Ниже минус 40 °C | Мрз 300 | Мрз 200 | Мрз 150 | В 6 | В 4 | В 2 |
Ниже минус 20 °C до минус 40 °C включительно | Мрз 200 | Мрз 150 | Мрз 100 | В 4 | В 2 | Не нормируется |
Ниже минус 5 °C до минус 20 °C включительно | Мрз 150 | Мрз 100 | Мрз 75 | В 2 | Не нормируется | То же |
Минус 5 °C и выше | Мрз 100 | Мрз 75 | Мрз 50 | Не нормируется | То же | " |
2 | Попеременное замораживание и оттаивание в условиях эпизодического водонасыщения (например, надземные конструкции, постоянно подвергающиеся атмосферным воздействиям) | Ниже минус 40 °C | Мрз 200 | Мрз 150 | Мрз 100 | В 4 | В 2 | Не нормируется |
Ниже минус 20 °C до минус 40 °C включительно | Мрз 100 | Мрз 75 | Мрз 50 | В 2 | Не нормируется | То же |
Ниже минус минус 5 °C до минус 20 °C включительно | Мрз 75 | Мрз 50 | Мрз 35 | Не нормируется | То же | " |
Минус 5 °C и выше | Мрз 50 | Мрз 35 | Мрз 25 | То же | " | " |
3 | Попеременное замораживание и оттаивание в условиях воздушно-влажностного состояния при отсутствии эпизодического водонасыщения (например, конструкции, постоянно подвергающиеся воздействию окружающего воздуха, защищенные от воздействия атмосферных осадков) | Ниже минус 40 °C | Мрз 150 | Мрз 100 | Мрз 75 | В 4 | В 2 | Не нормируется |
Ниже минус 20 °C до минус 40 °C включительно | Мрз 75 | Мрз 50 | Мрз 35 | В 2 | Не нормируется | То же |
Ниже минус 5 °C до минус 20 °C включительно | Мрз 50 | Мрз 35 | Мрз 25 | Не нормируется | То же | " |
Минус 5 °C и выше | Мрз 35 | Мрз 25 | Мрз 25 | То же | " | " |
4 | Возможное эпизодическое воздействие температур ниже 0 °C в водонасыщенном состоянии (например, конструкции, находящиеся в грунте или под водой) | Ниже минус 40 °C | Мрз 150 | Мрз 100 | Мрз 75 | Не нормируется | Не нормируется | Не нормируется |
Ниже минус 20 °C до минус 40 °C включительно | Мрз 75 | Мрз 50 | Мрз 35 | То же | То же | То же |
Ниже минус 5 °C до минус 20 °C включительно | Мрз 50 | Мрз 35 | Мрз 25 | " | " | " |
Минус 5 °C и выше | Мрз 35 | Мрз 25 | Мрз 25 | " | " | " |
5 | Возможное эпизодическое воздействие температур ниже 0 °C в условиях воздушно-влажностного состояния (например, внутренние конструкции отапливаемых зданий в период строительства и монтажа) | Ниже минус 40 °C | Мрз 75 | Мрз 50 | Мрз 35 | Не нормируется | Не нормируется | Не нормируется |
Ниже минус 20 °C до минус 40 °C включительно | Мрз 35 | Мрз 35 | Мрз 25 | То же | То же | То же |
Ниже минус 5 °C до минус 20 °C включительно | Мрз 35 | Мрз 25 | Мрз 25 | " | " | " |
Минус 5 °C и выше | Мрз 25 | Мрз 25 | Мрз 25 | " | " | " |
Примечания: 1. Расчетные зимние температуры наружного воздуха принимаются согласно указаниям
п. 1.2 настоящего Руководства.
2. Проектные марки бетона по водонепроницаемости для конструкций сооружений водоснабжения и ирригации следует принимать не ниже марки В 4, а проектные марки бетона по морозостойкости - согласно требованиям соответствующих глав СНиП и государственных стандартов как для тяжелого бетона.
3. Проектная марка бетона по водонепроницаемости для конструкций, эксплуатируемых в агрессивных средах, должна быть не ниже В 6.
2.5. Объемный вес бетона, бетонных и железобетонных конструкций в зависимости от режима их эксплуатации должен быть не ниже:
для наружных ограждающих конструкций и стен подвалов зданий, за исключением эксплуатируемых при относительной влажности внутреннего воздуха более 75% или во влажной зоне (см.
п. 1.3 настоящего Руководства), - 1800 кгс/м
3;
для внутренних конструкций зданий и сооружений, эксплуатируемых при относительной влажности внутреннего воздуха свыше 60 до 75% или в нормальной зоне влажности, а также для перекрытий санузлов жилых зданий - 1800 кгс/м3;
для всех конструкций, эксплуатируемых при относительной влажности внутреннего воздуха более 75% или во влажной зоне, а также для перекрытий санузлов общественных зданий, для плит балконов и лоджий, карнизов, поясков и других выступающих деталей фасадов - 1900 кгс/м3;
для конструкций, эксплуатируемых в агрессивных средах, - 1900 кгс/м3.
2.6. Для конструкций, эксплуатируемых в агрессивных средах, применять бетон на полностью гидратированном вяжущем, как правило, не следует.
2.7. Проектные марки цементного бетона, применяемого при возведении конструкций из плотного силикатного бетона (см.
п. 1.1 примеч. 2 настоящего Руководства), следует принимать по
пп. 2.4,
2.5 и
2.7 Руководства по проектированию предварительно-напряженных железобетонных конструкций из тяжелого бетона.
Нормативные и расчетные характеристики бетона
2.8. Нормативными сопротивлениями бетона являются:
сопротивление осевому сжатию кубов (кубиковая прочность),

;
сопротивление осевому сжатию призм (призменная прочность),

;
сопротивление осевому растяжению,

.
Нормативное сопротивление осевому растяжению

принимается в зависимости от проектной марки бетона по прочности на сжатие.
Нормативные сопротивления бетона приведены в
табл. 8 настоящего Руководства.
Вид сопротивления | Нормативные сопротивления бетона  и  , расчетные сопротивления для предельных состояний второй группы  и  , кгс/см 2, при проектной марке бетона по прочности на сжатие |
| М 150 | М 200 | М 250 | М 300 | М 400 | М 500 | М 600 |
Сжатие осевое (призменная прочность)  и  | 95 | 125 | 155 | 185 | 245 | 300 | 360 |
Растяжение осевое  и  | 9,3 | 11,5 | 13 | 15 | 18 | 20 | 22 |
2.9. Расчетные сопротивления бетона для предельных состояний первой группы - Rпр и Rр определяются путем деления нормативных сопротивлений на коэффициенты безопасности по бетону, принимаемые равными: при сжатии kб.с = 1,4; при растяжении kб.р = 1,55.
Расчетные сопротивления бетона Rпр и Rр снижаются (или повышаются) путем умножения на коэффициенты условий работы бетона mб, учитывающие особенности свойств бетонов, длительность действия нагрузки и ее многократную повторяемость, условия работы конструкций, способ ее изготовления, размеры сечения и т.д.
Расчетные сопротивления бетона для предельных состояний второй группы Rпр.II и Rр.II принимаются равными нормативным сопротивлениям и вводятся в расчет с коэффициентом условий работы бетона mб = 1.
Величины расчетных сопротивлений (с округлением) приведены: для предельных состояний первой группы - в
табл. 9, для предельных состояний второй группы - в
табл. 8 настоящего Руководства.
N позиции | Вид конструкций | Вид сопротивления | Коэффициент условной работы бетона, mб1 | Расчетные сопротивления бетона для предельных состояний первой группы Rпр и Rр, кгс/см2, при проектной марке бетона по прочности на сжатие |
М 150 | М 200 | М 250 | М 300 | М 400 | М 500 | М 600 |
1 | Железобетонные | Сжатие осевое (призменная прочность), Rпр | 0,8 1 | 48 60 | 60 75 | 76 95 | 88 110 | 110 140 | 130 165 | 148 185 |
Растяжение осевое, Rр | 0,8 1 | 4,1 5,1 | 5 6,3 | 5,7 7,2 | 6,6 8,3 | 7,9 9,9 | 8,8 11 | 9,7 12,1 |
2 | Бетонные | Сжатие осевое (призменная прочность), Rпр | 0,8 1 | 43 54 | 54 67 | 68 85 | 79 99 | 99 125 | 127 148 | 133 166 |
Растяжение осевое, Rр | 0,8 1 | 3,7 4,6 | 4,5 5,7 | 5,1 6,5 | 5,9 7,4 | 7,1 8,9 | 7,9 9,9 | 8,7 10,9 |
В расчетные сопротивления, приведенные в
табл. 9, включены следующие коэффициенты условий работы бетона
mб:
а) для бетона всех марок в расчетные сопротивления сжатию и растяжению - коэффициент mб = 0,85;
б) для бетона проектных марок М 400, М 500 и М 600 в расчетные сопротивления сжатию - коэффициент mб, равный соответственно 0,95; 0,9 и 0,85;
в) для бетонных конструкций в расчетные сопротивления бетона сжатию и растяжению - коэффициент mб.5, равный 0,9;
г) в расчетные сопротивления сжатию и растяжению - коэффициент mб.1 учитывающий влияние длительности действия нагрузок.
Порядок использования коэффициента
mб.1 в расчете указан в п.
3.1 настоящего Руководства.
Расчетные сопротивления бетона, приведенные в
табл. 9, в соответствующих случаях следует умножать на коэффициенты условий работы бетона согласно
табл. 10 настоящего Руководства.
N позиции | Факторы, обусловливающие введение коэффициентов условий работы бетона | Коэффициенты условий работы бетона |
условное обозначение | величина коэффициента |
| Многократно повторяющаяся нагрузка | mб2 | |
2 | Попеременное замораживание и оттаивание | mб3 | См. табл. 14 Руководства по проектированию предварительно-напряженных железобетонных конструкций из тяжелого бетона |
3 | Расчет в стадии предварительного обжатия конструкций с напрягаемой арматурой: | | |
проволочной | mб4 | 1,1 |
стержневой | | 1,2 |
4 | Бетонирование в вертикальном положении при высоте слоя бетонирования более 1 м | mб6 | 0,85 |
5 | Сжатые элементы с содержанием арматуры A и A' менее 0,3% площади бетона сечения при эксцентрицитете продольного усилия e0 > 0,2h | mб7 | 0,85 |
6 | Простенки площадью сечения менее 0,1 м2 в стеновых панелях | mб8 | 0,8 |
Примечания: 1. Коэффициент условий работы бетона по
поз. 1 настоящей таблицы должен учитываться при определении расчетных сопротивлений бетона
Rпр и
Rр, а по остальным позициям - только при определении
Rпр.
2. Для конструкций, находящихся под действием многократно повторяющейся нагрузки, коэффициент mб2 учитывается только при расчете на выносливость и по образованию трещин.
2.10. Начальный модуль упругости бетона при сжатии и растяжении
Eб следует принимать по
табл. 11 настоящего Руководства.
Вид вяжущего | Начальные модули упругости бетона при сжатии и растяжении Eб, тыс. кгс/см2, при проектной марке бетона по прочности на сжатие |
М 150 | М 200 | М 250 | М 300 | М 400 | М 500 | М 600 |
Известково-песчаное | 110 | 140 | 160 | 180 | 210 | 230 | 240 |
Известково-шлаковое | 130 | 160 | 190 | 210 | 250 | 270 | 280 |
Примечание. При расчете слоистых конструкций по предельным состояниям первой группы в тех случаях когда в расчете учитываются слои не только из плотного силикатного бетона, но и из других материалов, приведенные в данной таблице величины модуля упругости плотного силикатного бетона следует увеличивать или уменьшать на 30% исходя из отклонения в неблагоприятную для расчета сторону.
При наличии данных о составе бетона и условиях изготовления конструкций допускается принимать другие величины Eб, согласованные в установленном порядке.
2.11. Предельное значение характеристики ползучести силикатного бетона следует определять в зависимости от влажностного режима эксплуатации конструкций по формуле

, (11)
где
mс - предельное значение характеристики ползучести бетона, принимаемое по
табл. 12 настоящего Руководства;

- коэффициент, принимаемый равным при влажности воздуха окружающей среды: более 70% - 1,1; от 40 до 70% - 1,0; 40% и менее - 0,9.
При наличии данных о составе бетона и условиях изготовления конструкций допускается принимать другие величины m, согласованные в установленном порядке.
Примечание. Влажность воздуха окружающей среды, используемая в настоящем пункте, для конструкций отапливаемых зданий принимается согласно
п. 1.3 настоящего Руководства, а для конструкций неотапливаемых зданий и конструкций, находящихся на открытом воздухе, определяется как средняя относительная влажность наружного воздуха наиболее жаркого месяца в зависимости от района строительства согласно главе СНиП по строительной климатологии и геофизике.
2.12. Коэффициент линейной температурной деформации бетона

при изменении температуры от минус 50 до плюс 50 °C принимается равным 1·10
-5 град
-1.
При наличии данных о минералогическом составе заполнителей, составе и водонасыщении бетона и т.п. допускается принимать другие значения

, обоснованные в установленном порядке.
Для расчетной температуры ниже минус 50 °C величина

принимается по экспериментальным данным.
2.13. Начальный коэффициент поперечной деформации бетона (коэффициент Пуассона)

принимается равным 0,2, а модуль сдвига бетона
G - равным 0,4 от соответствующих значений
Eб, указанных в
табл. 11 настоящего Руководства.
2.14. Нормативную нагрузку от собственного веса при расчете конструкций следует определять исходя из объемного веса бетонных конструкций 2000 кгс/м3, а железобетонных - 2100 кгс/м3.
Допускается принимать другие величины объемного веса, согласованные в установленном порядке, учитывая особенности технологии на конкретных заводах.
2.15. Для армирования железобетонных конструкций из плотного силикатного бетона, а также для закладных деталей в этих конструкциях должна применяться арматура, предусмотренная
пп. 2.15 -
2.21 Руководства по проектированию предварительно-напряженных железобетонных конструкций из тяжелого бетона, за исключением высокопрочной арматурной проволоки классов В-II и Вр-II, диаметром 4 мм и менее, а также арматурных канатов.
Примечание. Разделение арматуры на арматуру с физическим и арматуру с условным пределом текучести в настоящем Руководстве принято в соответствии с
п. 2.16 Руководства по проектированию предварительно-напряженных железобетонных конструкций из тяжелого бетона.
Вид вяжущего | Предельные значения характеристики ползучести бетона mс при проектной марке бетона по прочности на сжатие |
М 150 | М 200 | М 250 | М 300 | М 400 | М 500 | М 600 |
Известково-песчаное | 2 | 1,75 | 1,5 | 1,5 | 1,25 | 1 | 1 |
Известково-шлаковое | 1 | 1 | 1 | 1 | 1 | 1 | 1 |
2.16. Нормативные и расчетные характеристики арматуры следует определять согласно
пп. 2.22 -
2.27 Руководства по проектированию предварительно-напряженных железобетонных конструкций из тяжелого бетона, с учетом следующих указаний:
а) расчетные сопротивления растяжению поперечной арматуры при расчете наклонных сечений на действие поперечной силы Rа.х следует умножать на коэффициент условий работы mа.х = 1,25;
б) коэффициент условий работы арматуры
mа.1, учитывающий влияние многократного повторения нагрузки, следует умножать на коэффициент, равный

(где
d - диаметр арматуры);
в) при определении длины зоны передачи напряжений
lп.н для напрягаемой арматуры без анкеров величину
R0 следует заменить на

по
табл. 8 настоящего Руководства, а величину

принимать с учетом первых потерь по
табл. 2, поз. 1 -
5, настоящего Руководства.
3. РАСЧЕТ БЕТОННЫХ И ЖЕЛЕЗОБЕТОННЫХ КОНСТРУКЦИЙ
ПО ПРЕДЕЛЬНЫМ СОСТОЯНИЯМ ПЕРВОЙ ГРУППЫ
3.1. С целью учета влияния вероятной длительности действия нагрузок на прочность бетона расчет бетонных и железобетонных элементов по прочности в общем случае производится:
а) на действие постоянных, длительных и кратковременных нагрузок, кроме нагрузок, суммарная длительность действия которых мала (ветровые нагрузки, нагрузки от транспортных средств; нагрузки, возникающие при изготовлении, транспортировании и возведении, и т.д.); а также на действие особых нагрузок, вызванных деформациями просадочных, набухающих, вечномерзлых и так далее грунтов; в этом случае расчетные сопротивления бетона сжатию и растяжению (
Rп.р и
Rр) принимаются по
табл. 9 настоящего Руководства при
mб1 = 0,8;
б) на действие всех нагрузок, в этом случае расчетные сопротивления бетона
Rп.р и
Rр принимаются по
табл. 9 настоящего Руководства при
mб1 = 1.
При отсутствии нагрузок с малой суммарной длительностью действия, а также аварийных нагрузок расчет прочности производится только по
случаю "а".
При наличии нагрузок с малой суммарной длительностью действия или аварийных нагрузок расчет сечений только по
случаю "б" производится:
в стадии изготовления:
при учете особых нагрузок, если, согласно соответствующим нормативным документам, вводится дополнительный коэффициент условий работы (например, при учете сейсмических нагрузок);
в остальных случаях, если выполняется условие
где
PI и
PII - усилия (моменты и силы) от нагрузок, учитываемых при расчете соответственно по
случаю "а" и по
случаю "б"; при расчете сечений, нормальных к продольной оси внецентренно-нагруженного элемента,
PI и
PII - моменты внешних сил относительно оси, проходящей через наиболее растянутый (или наименее сжатый) стержень арматуры.
Допускается производить расчет только по
случаю "б" и при невыполнении
условия (12), вводя в расчетные сопротивления бетона
Rпр и
Rр (при
mб.1 = 1) коэффициент
mб.д = 0,8
PII/
PI.
Для внецентренно-сжатых элементов, рассчитываемых по недеформированной схеме, значения PI и PII можно определять без учета прогиба элемента.
РАСЧЕТ БЕТОННЫХ ЭЛЕМЕНТОВ ПО ПРОЧНОСТИ
3.2. Расчет бетонных элементов из плотного силикатного бетона по прочности следует производить согласно требованиям
пп. 3.2 -
3.10 Руководства по проектированию бетонных и железобетонных конструкций из тяжелого бетона (без предварительного напряжения), принимая величину условной критической силы
Nкр по формуле

, (13)
которая для прямоугольных сечений принимает вид:

. (13а)
kдл и
l0 - обозначения те же, что и в
п. 3.7 Руководства по проектированию бетонных и железобетонных конструкций из тяжелого бетона (без предварительного напряжения);
t - коэффициент, принимаемый равным e0/h, но не менее величины

(14)
и не менее величины 0,01.
РАСЧЕТ ЖЕЛЕЗОБЕТОННЫХ ЭЛЕМЕНТОВ ПО ПРОЧНОСТИ
3.3. Расчет по прочности элементов железобетонных конструкций должен производиться для сечений, нормальных к их продольной оси, а также для наклонных к ней сечений наиболее опасного направления; при наличии крутящих моментов следует проверить прочность пространственных сечений, ограниченных в растянутой зоне спиральной трещиной наиболее опасного из возможных направлений. Кроме того, должен производиться расчет элементов на местное действие нагрузки (смятие, продавливание, отрыв).
Расчет сечений, нормальных к продольной оси элемента
3.4. Расчет симметричных сечений, нормальных к продольной оси элемента, когда внешнее усилие действует в плоскости оси симметрии сечения и арматура сосредоточена у перпендикулярных к указанной плоскости граней элемента, должен производиться согласно пп.
3.6 -
3.32 настоящего Руководства в зависимости от соотношения между относительной высотой сжатой зоны бетона

, определяемой из соответствующих условий равновесия, и граничным значением относительной высоты сжатой зоны бетона

(см.
п. 3.6 настоящего Руководства), при котором предельное состояние элемента наступает одновременно с достижением в растянутой арматуре напряжения, равного расчетному сопротивлению
Rа.
К элементам, рассчитываемым, согласно вышеуказанным пунктам, следует относить изгибаемые элементы прямоугольного, таврового и двутаврового сечений с напрягаемой и ненапрягаемой одиночной или двойной арматурой, а также внецентренно-сжатые и внецентренно-растянутые элементы прямоугольного сечения только с напрягаемой или только с ненапрягаемой арматурой, причем сечения перечисленных элементов должны удовлетворять условию

, (15)
а для элементов, имеющих полку в сжатой зоне, дополнительно условию

. (16)
Если часть арматуры
A или
A' с условным пределом текучести (см.
примеч. к п. 2.15 настоящего Руководства) применяется без предварительного напряжения, то всю эту арматуру можно рассматривать как напрягаемую с усредненным предварительным напряжением, равным

(или

).
Расчет нормальных сечений, не оговоренных в настоящем пункте, следует производить по формулам общего случая расчета нормальных сечений согласно указаниям
п. 3.33 настоящего Руководства.
При расчете элемента с помощью ЭВМ рекомендуется во всех случаях пользоваться указаниями
п. 3.33 настоящего Руководства.
3.5. Расчет сечений центрально-растянутых элементов следует производить по
п. 3.55 Руководства по проектированию предварительно-напряженных железобетонных конструкций из тяжелого бетона.
3.6. Граничное значение относительной высоты сжатой зоны бетона

определяется по формуле

, (17)
где

- характеристика сжатой зоны бетона, определяемая по формуле

; (18)
при Rпр в кгс/см2 и принимаемая не более 0,85;

- напряжение, кгс/см
2, в арматуре растянутой зоны, принимаемое равным:
для арматуры с условным пределом текучести

;
для арматуры с физическим пределом текучести
(величина

определяется при коэффициенте точности натяжения
mт, меньшем единицы);

- предельное напряжение, кгс/см
2, в арматуре сжатой зоны при

, принимаемое для всех видов арматуры равным: 8750 - при использовании коэффициента условий работы бетона
mб.1 = 0,8 (см.
п. 3.1 настоящего Руководства) или 7000 - при использовании коэффициента
mб.1 = 1.
При наличии напрягаемой и ненапрягаемой арматуры

определяется по напрягаемой арматуре. При напрягаемой арматуре разных классов допускается принимать наибольшее значение
.
Значения

, определенные при расчетных сопротивлениях бетона
Rпр по
табл. 9 настоящего Руководства, и

, определенные при расчетных сопротивлениях арматуры по
табл. 20 и
21 Руководства по проектированию предварительно-напряженных железобетонных конструкций из тяжелого бетона, даны в
табл. 13 настоящего Руководства.
Коэффициент условий работы, mб.1 | Класс растянутой арматуры | Обозначение | | Значения  ,  , AR и  для бетона марок |
М 150, М 200 | М 250 | М 300 | М 400 | М 500 | М 600 |
| Любой | | Любое | 0,85 | 0,85 | 0,842 | 0,802 | 0,766 | 0,734 |
0,8 | А-I | | - | 0,685 | 0,685 | 0,679 | 0,647 | 0,618 | 0,592 |
AR | - | 0,451 | 0,451 | 0,448 | 0,438 | 0,427 | 0,417 |
| - | - | - | - | - | - | - |
А-II | | - | 0,65 | 0,65 | 0,643 | 0,613 | 0,585 | 0,561 |
AR | - | 0,439 | 0,439 | 0,436 | 0,425 | 0,414 | 0,404 |
| - | - | - | - | - | - | - |
А-III (  5 мм) | | 1 | 0,85 | 0,85 | 0,842 | 0,802 | 0,766 | 0,734 |
0,7 | 0,761 | 0,761 | 0,754 | 0,718 | 0,686 | 0,657 |
0,4 | 0,689 | 0,689 | 0,683 | 0,650 | 0,621 | 0,595 |
0 | 0,612 | 0,612 | 0,606 | 0,578 | 0,552 | 0,529 |
AR | 1 | 0,488 | 0,488 | 0,488 | 0,48 | 0,473 | 0,465 |
0,7 | 0,472 | 0,472 | 0,47 | 0,46 | 0,451 | 0,441 |
0,4 | 0,452 | 0,452 | 0,45 | 0,439 | 0,428 | 0,418 |
0 | 0,425 | 0,425 | 0,422 | 0,411 | 0,399 | 0,389 |
| - | - | - | | - | - | - |
А-IIIв | | 1 | 0,85 | 0,85 | 0,842 | 0,802 | 0,766 | 0,734 |
0,7 | 0,736 | 0,736 | 0,729 | 0,695 | 0,664 | 0,636 |
0,4 | 0,65 | 0,65 | 0,643 | 0,613 | 0,585 | 0,561 |
0 | 0,561 | 0,561 | 0,556 | 0,53 | 0,506 | 0,485 |
AR | 1 | 0,489 | 0,489 | 0,488 | 0,480 | 0,473 | 0,465 |
0,7 | 0,465 | 0,465 | 0,463 | 0,453 | 0,443 | 0,434 |
0,4 | 0,439 | 0,439 | 0,436 | 0,425 | 0,414 | 0,404 |
0 | 0,404 | 0,404 | 0,401 | 0,389 | 0,378 | 0,367 |
| - | - | - | - | - | - | - |
А-IV АТ-IV | | 1 | 0,583 | 0,583 | 0,578 | 0,55 | 0,526 | 0,504 |
0,7 | 0,522 | 0,522 | 0,517 | 0,482 | 0,47 | 0,451 |
0,4 | 0,472 | 0,472 | 0,468 | 0,446 | 0,426 | 0,408 |
0 | 0,419 | 0,419 | 0,415 | 0,395 | 0,378 | 0,362 |
AR | 1 | 0,413 | 0,413 | 0,411 | 0,399 | 0,388 | 0,377 |
0,7 | 0,386 | 0,386 | 0,383 | 0,371 | 0,36 | 0,349 |
0,4 | 0,361 | 0,361 | 0,358 | 0,346 | 0,335 | 0,325 |
0 | 0,331 | 0,331 | 0,329 | 0,317 | 0,306 | 0,296 |
| 1 | 0,96 | 0,96 | 0,951 | 0,905 | 0,865 | 0,829 |
0,7 | 0,804 | 0,804 | 0,797 | 0,759 | 0,725 | 0,694 |
0,4 | 0,692 | 0,692 | 0,685 | 0,653 | 0,623 | 0,597 |
0 | 0,583 | 0,583 | 0,578 | 0,55 | 0,526 | 0,504 |
| А-V АТ-V АТП-V | | 1 | - | 0,583 | 0,578 | 0,55 | 0,526 | 0,504 |
0,7 | - | 0,507 | 0,502 | 0,478 | 0,457 | 0,438 |
0,4 | - | 0,448 | 0,444 | 0,423 | 0,404 | 0,387 |
AR | 1 | - | 0,413 | 0,411 | 0,399 | 0,388 | 0,377 |
0,7 | - | 0,378 | 0,376 | 0,364 | 0,353 | 0,342 |
0,4 | - | 0,348 | 0,345 | 0,334 | 0,322 | 0,312 |
| 1 | - | 0,996 | 0,965 | 0,939 | 0,897 | 0,86 |
0,7 | - | 0,792 | 0,768 | 0,747 | 0,714 | 0,684 |
0,4 | - | 0,658 | 0,637 | 0,62 | 0,593 | 0,568 |
АТ-VI | | 1 | - | - | - | 0,55 | 0,526 | 0,504 |
0,7 | - | - | - | 0,463 | 0,442 | 0,424 |
0,4 | - | - | - | 0,4 | 0,382 | 0,366 |
AR | 1 | - | - | - | 0,399 | 0,388 | 0,377 |
0,7 | - | - | - | 0,356 | 0,345 | 0,334 |
0,4 | - | - | - | 0,32 | 0,309 | 0,299 |
| 1 | - | - | - | 0,981 | 0,937 | 0,898 |
0,7 | - | - | - | 0,735 | 0,702 | 0,673 |
0,4 | - | - | - | 0,587 | 0,561 | 0,537 |
В-I | | - | 0,625 | 0,625 | 0,619 | 0,59 | 0,563 | 0,54 |
AR | - | 0,43 | 0,43 | 0,427 | 0,415 | 0,405 | 0,394 |
| - | - | - | - | - | - | - |
В-II (  6 мм) Вр-II (  5 мм) | | 1 | - | 0,583 | 0,578 | 0,55 | 0,526 | 0,504 |
0,7 | - | 0,47 | 0,465 | 0,443 | 0,423 | 0,405 |
0,4 | - | 0,393 | 0,389 | 0,371 | 0,354 | 0,339 |
AR | 1 | - | 0,413 | 0,411 | 0,399 | 0,388 | 0,377 |
0,7 | - | 0,359 | 0,357 | 0,345 | 0,334 | 0,323 |
0,4 | - | 0,316 | 0,313 | 0,302 | 0,291 | 0,282 |
| 1 | - | 1,112 | 1,101 | 1,049 | 1,002 | 0,96 |
0,7 | - | 0,76 | 0,753 | 0,718 | 0,685 | 0,657 |
0,4 | - | 0,578 | 0,572 | 0,545 | 0,521 | 0,499 |
1 | Любой | | Любое | 0,85 | 0,829 | 0,802 | 0,748 | 0,703 | 0,667 |
А-I | | - | 0,654 | 0,638 | 0,617 | 0,575 | 0,541 | 0,513 |
AR | - | 0,44 | 0,434 | 0,427 | 0,41 | 0,395 | 0,381 |
| - | - | - | - | - | - | - |
А-II | | - | 0,613 | 0,598 | 0,579 | 0,54 | 0,507 | 0,481 |
AR | - | 0,425 | 0,419 | 0,411 | 0,394 | 0,379 | 0,366 |
| - | - | - | - | - | - | - |
А-III (  5 мм) | | 1 | 0,85 | 0,829 | 0,802 | 0,748 | 0,703 | 0,667 |
0,7 | 0,742 | 0,724 | 0,7 | 0,653 | 0,614 | 0,582 |
0,4 | 0,658 | 0,642 | 0,621 | 0,579 | 0,544 | 0,516 |
0 | 0,572 | 0,558 | 0,54 | 0,503 | 0,473 | 0,449 |
AR | 1 | 0,489 | 0,485 | 0,48 | 0,468 | 0,456 | 0,445 |
0,7 | 0,467 | 0,462 | 0,455 | 0,44 | 0,425 | 0,413 |
0,4 | 0,442 | 0,436 | 0,428 | 0,411 | 0,396 | 0,383 |
0 | 0,408 | 0,402 | 0,394 | 0,377 | 0,361 | 0,348 |
| - | - | - | - | - | - | - |
А-IIIв | | 1 | 0,85 | 0,829 | 0,802 | 0,748 | 0,703 | 0,667 |
0,7 | 0,713 | 0,695 | 0,672 | 0,627 | 0,589 | 0,559 |
0,4 | 0,613 | 0,598 | 0,579 | 0,54 | 0,507 | 0,481 |
0 | 0,517 | 0,505 | 0,488 | 0,455 | 0,428 | 0,406 |
AR | 1 | 0,489 | 0,485 | 0,48 | 0,468 | 0,456 | 0,445 |
0,7 | 0,459 | 0,453 | 0,446 | 0,430 | 0,416 | 0,403 |
0,4 | 0,425 | 0,419 | 0,411 | 0,394 | 0,379 | 0,366 |
0 | 0,384 | 0,377 | 0,369 | 0,351 | 0,336 | 0,324 |
| - | - | - | - | - | - | - |
А-IV АТ-IV | | 1 | 0,541 | 0,528 | 0,51 | 0,476 | 0,447 | 0,424 |
0,7 | 0,476 | 0,464 | 0,449 | 0,419 | 0,394 | 0,374 |
0,4 | 0,425 | 0,415 | 0,401 | 0,374 | 0,352 | 0,334 |
0 | 0,372 | 0,363 | 0,351 | 0,327 | 0,308 | 0,292 |
AR | 1 | 0,395 | 0,388 | 0,38 | 0,363 | 0,347 | 0,334 |
0,7 | 0,363 | 0,356 | 0,348 | 0,331 | 0,316 | 0,304 |
0,4 | 0,335 | 0,329 | 0,321 | 0,304 | 0,29 | 0,278 |
0 | 0,302 | 0,297 | 0,289 | 0,274 | 0,26 | 0,249 |
| 1 | 0,992 | 0,967 | 0,936 | 0,873 | 0,82 | 0,778 |
0,7 | 0,793 | 0,774 | 0,749 | 0,698 | 0,656 | 0,623 |
0,4 | 0,661 | 0,645 | 0,624 | 0,582 | 0,547 | 0,519 |
0 | 0,541 | 0,528 | 0,51 | 0,476 | 0,447 | 0,424 |
| А-V АТ-V АТП-V | | 1 | - | 0,528 | 0,51 | 0,476 | 0,447 | 0,424 |
0,7 | - | 0,449 | 0,435 | 0,405 | 0,381 | 0,361 |
0,4 | - | 0,391 | 0,378 | 0,353 | 0,332 | 0,314 |
AR | 1 | - | 0,388 | 0,38 | 0,363 | 0,374 | 0,334 |
0,7 | - | 0,348 | 0,34 | 0,323 | 0,308 | 0,296 |
0,4 | - | 0,315 | 0,306 | 0,291 | 0,277 | 0,265 |
| 1 | - | 1,014 | 0,981 | 0,915 | 0,86 | 0,816 |
0,7 | - | 0,76 | 0,735 | 0,685 | 0,644 | 0,611 |
0,4 | - | 0,607 | 0,578 | 0,548 | 0,515 | 0,488 |
АТ-VI | | 1 | - | - | - | 0,476 | 0,447 | 0,424 |
0,7 | - | - | - | 0,391 | 0,367 | 0,348 |
0,4 | - | - | - | 0,331 | 0,311 | 0,296 |
AR | 1 | - | - | - | 0,363 | 0,374 | 0,334 |
0,7 | - | - | - | 0,314 | 0,3 | 0,288 |
0,4 | - | - | - | 0,276 | 0,263 | 0,252 |
| 1 | - | - | - | 0,97 | 0,911 | 0,865 |
0,7 | - | - | - | 0,671 | 0,631 | 0,599 |
0,4 | - | - | - | 0,513 | 0,482 | 0,458 |
В-I | | - | 0,586 | 0,572 | 0,553 | 0,516 | 0,485 | 0,46 |
AR | - | 0,414 | 0,408 | 0,4 | 0,383 | 0,367 | 0,354 |
| - | - | - | - | - | - | - |
В-II (  6 мм) Вр-II (  5 мм) | | 1 | - | 0,528 | 0,51 | 0,476 | 0,447 | 0,424 |
0,7 | - | 0,412 | 0,398 | 0,372 | 0,349 | 0,331 |
0,4 | - | 0,338 | 0,327 | 0,305 | 0,286 | 0,272 |
AR | 1 | - | 0,388 | 0,38 | 0,363 | 0,374 | 0,334 |
0,7 | - | 0,327 | 0,319 | 0,303 | 0,288 | 0,267 |
0,4 | - | 0,281 | 0,273 | 0,258 | 0,245 | 0,235 |
| 1 | - | 1,175 | 1,136 | 1,06 | 0,996 | 0,945 |
0,7 | - | 0,723 | 0,699 | 0,652 | 0,613 | 0,581 |
0,4 | - | 0,522 | 0,505 | 0,471 | 0,443 | 0,42 |
<*>  - предварительное напряжение при коэффициенте mт, меньшем единицы. <**> Арматуру класса Вр-I следует применять только в качестве ненапрягаемой арматуры:  ;  ;  ;  ;  и  - см. п. 3.6 настоящего Руководства. Примечания: 1. При подборе арматуры, когда неизвестно напряжение  , допускается принимать  . 2. При использовании коэффициента mб из табл. 10 настоящего Руководства применение табличных значений  ,  ,  и  не допускается. 3. При использовании коэффициента mб.д, согласно п. 3.1 настоящего Руководства, табличные значения  ,  ,  и  принимаются при mб.1 = 1. |
3.7. При расчете по прочности железобетонных элементов, если соблюдается условие

, расчетное сопротивление арматуры следует умножать на коэффициент условий работы
mа.4 согласно
п. 3.7 Руководства по проектированию предварительно-напряженных железобетонных конструкций из тяжелого бетона.
3.8. Для напрягаемой арматуры, расположенной в сжатой от действия внешних сил зоне и имеющей сцепление с бетоном, расчетное сопротивление сжатию
Rа.с должно быть заменено напряжением

, равным

, где

определяется при коэффициенте
mт, большем единицы. Если в расчете учитывается коэффициент условий работы бетона
mб.1 = 0,8, то значение

принимается равным

, но не более
Rа.с.
3.9. Если при расчете изгибаемых и внецентренно-сжатых элементов, перечисленных в
п. 3.4 настоящего Руководства, учитывается арматура, расположенная в сжатой зоне, и при этом не соблюдается условие

, то расчетное сопротивление сжатой арматуры следует умножать на коэффициент условий работы

, определяемый по формуле

, (19)
где
x - подсчитывается с учетом коэффициента

.
Если величина

оказывается отрицательной, следует принимать

.
При определении

для напрягаемой арматуры, расположенной в сжатой зоне (см.
п. 3.8 настоящего Руководства), коэффициент

к величине

вводиться не должен.
При расчете элементов по общему случаю (см.
п. 3.33 настоящего Руководства) коэффициент

не учитывается.
3.10. Изгибаемые элементы рекомендуется проектировать так, чтобы обеспечить выполнение условий

. Невыполнение этого условия можно допустить лишь в случае, когда площадь сечения растянутой арматуры определена из расчета по предельным состояниям второй группы или принята по конструктивным соображениям. Расчет изгибаемых элементов, перечисленных в
п. 3.4 настоящего Руководства, следует производить:
при

- согласно указаниям
пп. 3.11 -
3.19 настоящего Руководства;
при

- по общему случаю согласно
п. 3.33 настоящего Руководства.
Прямоугольные сечения
3.11. Проверку прочности прямоугольных сечений, перечисленных в
п. 3.4 настоящего Руководства
(рис. 2), следует производить следующим образом в зависимости от высоты сжатой зоны, определяемой по формуле
Рис. 2. Поперечное прямоугольное сечение изгибаемого
железобетонного элемента (сжатая зона сечения заштрихована)

: (20)
а) при

и

- из условия

, (21)
б) при

и

- из условия

, (22)
в котором величину x определяют по формуле

, (23)
при этом, если не соблюдается условие

, проверку прочности следует производить по
формулам (20) и
(21) без учета арматуры
A';
допускается, если из
формулы (20) x <= 0, проверку прочности производить из условия

; (24)
в) при

:
если в сечении имеется только напрягаемая или только ненапрягаемая растянутая арматура - из
условия (21), в котором величину
x определяют по формуле
, (25)
где

; (26)

; (27)
при этом если арматура
A имеет условный предел текучести, величина
x по
формуле (25) должна удовлетворять условию

(см.
табл. 13 настоящего Руководства); при невыполнении этого условия величину
x следует определять по формуле

; (28)
если в сечении имеется как напрягаемая, так и ненапрягаемая растянутая арматура, расчет рекомендуется производить по общему случаю согласно
п. 3.33 настоящего Руководства;
допускается проверку прочности при

производить приближенно из условия
, (29)
где AR1 принимается равным:
для элементов с растянутой арматурой, имеющей физический предел текучести,
AR1 = 0,8
AR + 0,2
A0; (30)
для элементов с растянутой арматурой, имеющей условный предел текучести,
для элементов с напрягаемой растянутой арматурой, имеющей условный предел текучести, при большом количестве растянутой ненапрягаемой арматуры с физическим пределом текучести (при
RаFа >= 0,2
RаFн) по
формуле (30) при
AR, принятом по ненапрягаемой арматуре.
При сопоставлении

с

величину
x по
формуле (20) допускается определять при
mа.4 = 1, а величину

следует принимать по напрягаемой арматуре (если она имеется в растянутой зоне).
В формулах настоящего пункта:

и

- см.
п. 3.7 настоящего Руководства;

,
AR и

- см.
табл. 13 настоящего Руководства;

- см.
п. 3.6 настоящего Руководства;
Значения

,

и
A0
| | A0 | | | A0 | | | A0 |
0,01 | 0,995 | 0,01 | 0,26 | 0,87 | 0,226 | 0,51 | 0,745 | 0,38 |
0,02 | 0,99 | 0,02 | 0,27 | 0,865 | 0,234 | 0,52 | 0,74 | 0,385 |
0,03 | 0,985 | 0,03 | 0,28 | 0,86 | 0,241 | 0,53 | 0,735 | 0,39 |
0,04 | 0,98 | 0,039 | 0,29 | 0,855 | 0,248 | 0,54 | 0,73 | 0,394 |
0,05 | 0,975 | 0,049 | 0,3 | 0,85 | 0,255 | 0,55 | 0,725 | 0,399 |
0,06 | 0,97 | 0,058 | 0,31 | 0,845 | 0,262 | 0,56 | 0,72 | 0,403 |
0,07 | 0,965 | 0,068 | 0,32 | 0,84 | 0,269 | 0,57 | 0,715 | 0,407 |
0,08 | 0,96 | 0,077 | 0,33 | 0,835 | 0,276 | 0,58 | 0,71 | 0,412 |
0,09 | 0,955 | 0,086 | 0,34 | 0,83 | 0,282 | 0,59 | 0,705 | 0,416 |
0,1 | 0,95 | 0,095 | 0,35 | 0,825 | 0,289 | 0,6 | 0,7 | 0,42 |
0,11 | 0,945 | 0,104 | 0,36 | 0,82 | 0,295 | 0,62 | 0,69 | 0,428 |
0,12 | 0,94 | 0,113 | 0,37 | 0,815 | 0,302 | 0,64 | 0,68 | 0,435 |
0,13 | 0,935 | 0,122 | 0,38 | 0,81 | 0,308 | 0,66 | 0,67 | 0,442 |
0,14 | 0,93 | 0,13 | 0,39 | 0,805 | 0,314 | 0,68 | 0,66 | 0,449 |
0,15 | 0,925 | 0,139 | 0,4 | 0,8 | 0,32 | 0,7 | 0,65 | 0,455 |
0,16 | 0,92 | 0,147 | 0,41 | 0,795 | 0,326 | 0,72 | 0,64 | 0,461 |
0,17 | 0,915 | 0,156 | 0,42 | 0,79 | 0,332 | 0,74 | 0,63 | 0,466 |
0,18 | 0,91 | 0,164 | 0,43 | 0,785 | 0,338 | 0,76 | 0,62 | 0,471 |
0,19 | 0,905 | 0,172 | 0,44 | 0,78 | 0,343 | 0,78 | 0,61 | 0,476 |
0,2 | 0,9 | 0,18 | 0,45 | 0,775 | 0,349 | 0,8 | 0,6 | 0,48 |
0,21 | 0,895 | 0,188 | 0,46 | 0,77 | 0,354 | 0,85 | 0,575 | 0,489 |
0,22 | 0,89 | 0,196 | 0,47 | 0,765 | 0,36 | 0,9 | 0,55 | 0,495 |
0,23 | 0,885 | 0,204 | 0,48 | 0,76 | 0,365 | 0,95 | 0,525 | 0,499 |
0,24 | 0,88 | 0,211 | 0,49 | 0,755 | 0,37 | 1 | 0,5 | 0,5 |
0,25 | 0,875 | 0,219 | 0,5 | 0,75 | 0,375 | - | - | - |
Для изгибаемых элементов прямоугольного сечения:

;
;
; 
.
2. Если арматура
A' отсутствует или не учитывается в расчете, проверку по
подпункту "б" настоящего пункта не производят.
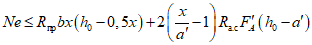
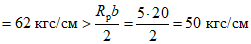
3.12. Подбор продольной арматуры для прямоугольных сечений производится следующим образом:
Вычисляется значение

. (32)
Если
A0 <=
AR (см.
табл. 13 настоящего Руководства), то сжатой арматуры не требуется. В этом случае (при отсутствии сжатой арматуры) площадь сечения растянутой арматуры определяется из условия

, (33)
где значение

определяется по
табл. 14 настоящего Руководства в зависимости от величины
A0.
Если
A0 >
AR, то требуется или увеличить сечение, или повысить марку бетона, или установить сжатую арматуру согласно
п. 3.13 настоящего Руководства.
Примечания: 1. При ненапрягаемой арматуре с физическим пределом текучести, когда выполняется условие
RаFа > 0,2
RаFн, значения

и

определяются по ненапрягаемой арматуре.
2. Если сжатая арматура по расчету не требуется, но она установлена (например, из условия ограничения начальных трещин), подбор необходимой растянутой арматуры следует производить согласно
п. 3.14 настоящего Руководства.
3.13. Площадь сечения сжатой арматуры, если она требуется по расчету (см.
п. 3.12 настоящего Руководства), определяется из условия

. (34)
Если принятая площадь сечения арматуры
A' близка к ее значению, определенному из
условия (34), то требуемая площадь сечения растянутой арматуры определяется из условия

. (35)
Если принятая площадь сечения арматуры
A' значительно превышает ее значение, требуемое из
условия (34), то площадь сечения растянутой арматуры определяется согласно
п. 3.14 настоящего Руководства.
3.14. Площадь сечения растянутой арматуры в тех случаях, когда площадь сечения сжатой арматуры значительно превышает ее значение, требуемое из
условия (34), а также когда сжатая арматура принята по конструктивным соображениям, несмотря на то, что она по расчету не требуется (см.
п. 3.12 настоящего Руководства), определяется с учетом фактического значения площади сечения сжатой арматуры следующим образом в зависимости от величины

. (36)
При

площадь сечения растянутой арматуры определяют из условия

, (37)
где

- определяется по
табл. 14 настоящего Руководства в зависимости от величины
A0.
При

вычисляется значение

по формуле

, (38)
где

; (39)

. (40)
Если величина

по
формуле (38) удовлетворяет условию

, площадь сечения растянутой арматуры определяют из условия:

, (41)
Допускается при A0 <= 0 площадь растянутой арматуры определять из условия

. (42)
Тавровые и двутавровые сечения
3.15. Расчет сечений, имеющих полку в сжатой зоне (тавровых, двутавровых и т.п.) и указанных в
п. 3.4 настоящего Руководства, следует производить по
пп. 3.16 -
3.19 настоящего Руководства, причем вводимую в расчет ширину сжатой полки

следует принимать из условия, что ширина свеса в каждую сторону от ребра должна быть не более
1/
6 пролета элемента и не более:
а) при наличии поперечных ребер или при

- половины расстояния в свету между продольными ребрами;
б) при отсутствии поперечных ребер (или при расстояниях между ними, больших, чем расстояния между продольными ребрами) и при

;
в) при консольных свесах полки:
при

;
при

;
при

- свесы не учитываются.
Примечание. При переменной высоте свесов полки допускается принимать значение

равным средней высоте свесов.
3.16. Проверку прочности сечений, имеющих полку в сжатой зоне, следует производить в зависимости от положения границы сжатой зоны:
а) если граница сжатой зоны проходит в полке
(рис. 3, а), т.е. соблюдается условие

, (43)
где -
mа.4 определяется при

, то расчет производится как для прямоугольного сечения шириной

в соответствии с
п. 3.11 настоящего Руководства;
Рис. 3. Поперечное двутавровое сечение изгибаемого
железобетонного элемента (сжатая зона сечения заштрихована)
а - при расположении границы сжатой зоны в полке;
б - то же, в ребре
б) если граница сжатой зоны проходит в ребре
(рис. 3, б), т.е.
условие (43) не соблюдается, расчет производится следующим образом в зависимости от высоты сжатой зоны:

. (44)
При

- из условия

(45)
При

;
если в сечении имеется только напрягаемая или только ненапрягаемая растянутая арматура - из
условия (45), в котором величину
x определяют по
формуле (25) при значениях
B1 и
D1, равных:

; (46)

; (47)
при этом если арматура
A имеет условный предел текучести, величина
x по
формуле (25) при значениях
B1 и
D1 по
формулам (46) и
(47) должна удовлетворять условию

(см.
табл. 13 настоящего Руководства); при невыполнении этого условия величину
x следует определять по формуле

; (48)
если в сечении имеется как напрягаемая, так и ненапрягаемая растянутая арматура, расчет рекомендуется производить по общему случаю согласно
п. 3.33 настоящего Руководства.
Допускается проверку прочности при

производить приближенно из условия

, (49)
где
AR1 - принимается по
п. 3.11 настоящего Руководства с учетом величины
x по
формуле (44) при определении
A0.
При сопоставлении

с

величину
x по
формуле (44) допускается определять при
mа.4 = 1, а величину

следует принимать по напрягаемой арматуре (если она имеется в растянутой зоне).
3.17. Подбор продольной арматуры для тавровых и двутавровых сечений производится следующим образом в зависимости от выполнения условия

, (50)
Если
условие (50) выполняется, то сжатой арматуры не требуется. В этом случае площадь сечения растянутой арматуры определяется:
а) когда граница сжатой зоны проходит в полке, т.е. когда выполняется условие
, (51)
как для прямоугольного сечения шириной

по
п. 3.12 настоящего Руководства;
б) когда граница сжатой зоны проходит в ребре, т.е. когда
условие (51) не выполняется, из условия

, (52)
где

- определяется по
табл. 14 настоящего Руководства в зависимости от величины

.
Если
условие (50) не выполняется, то требуется или увеличить сечение, или повысить марку бетона, или установить сжатую арматуру согласно
п. 3.18 настоящего Руководства.
Если сжатая арматура по расчету не требуется, т.е.
условие (50) выполняется, но она установлена (например, из условия ограничения начальных трещин), то необходимая площадь сечения растянутой арматуры определяется по
п. 3.19 настоящего Руководства.
3.18. Площадь сечения сжатой арматуры, если она требуется по расчету (см.
п. 3.17 настоящего Руководства), определяется из условия

. (53)
Если принятая площадь сечения арматуры
A' близка к ее значению, определенному из
условия (53), то требуемая площадь сечения растянутой арматуры определяется из условия

. (54)
Если принятая площадь сечения арматуры
A' значительно превышает ее значение, требуемое из
условия (53), то площадь сечения растянутой арматуры определяется по
п. 3.19 настоящего Руководства.
3.19. Площадь сечения растянутой арматуры в тех случаях, когда площадь сечения сжатой арматуры значительно превышает ее значение, требуемое из
условия (53), а также когда сжатая арматура по расчету не требуется, но установлена в сечении, определяется с учетом фактического значения площади сечения арматуры
A' следующим образом в зависимости от выполнения условия:

. (55)
Когда
условие (55) выполняется, т.е. граница сжатой зоны проходит в полке, площадь сечения арматуры
A определяется как для прямоугольного сечения шириной
b =
bП согласно
п. 3.14 настоящего Руководства.
Когда
условие (55) не выполняется, т.е. граница сжатой зоны проходит в ребре, площадь сечения арматуры
A определяется из условия

, (56)
где

- определяется по
табл. 14 настоящего Руководства в зависимости от величины

. (57)
Примеры расчета
Пример 2. Дано: размеры сечения
b = 20 см;
h = 40 см;

;

; нагрузки малой суммарной длительности отсутствуют; бетон марки М 300
(Rпр = 88 кгс/см
2 при
mб.1 = 0,8); арматура ненапрягаемая из горячекатаной стали класса А-III (
Rа =
Rа.а = 3400 кгс/см
2); площадь сечения растянутой арматуры
Fа = 18,47 см
2 (3

28); сжатой арматуры
F'а = 1,51 см
2 (3

8); расчетный изгибающий момент
M = 10 тс·м.
Требуется проверить прочность сечения.
Расчет: h0 = 40 - 5 = 35 см.
Проверку прочности сечения производим по
п. 3.11. По
формуле (20) вычисляем высоту сжатой зоны:

.
По
табл. 13 при
mб = 0,8 и

для бетона марки М 300 и арматуры класса А-III находим

.

;

;
(величина

= 8750 принята согласно
п. 3.6, а величина

- по
табл. 13 при m
б.1 = 0,8).

= 88·20·23(35 - 0,5·23) + 3400·1,51(35 - 3) = 1120000 кгс·см = 11,2 тс·м >
M = 10 тс·м, т.е.
условие (21) выполняется, и прочность сечения обеспечена.
Пример 3. Дано: размеры сечения
b = 20 см;
h = 40 см;

; бетон марки М 200 (
Rпр = 60 кгс/см
2 при m
б1 = 0,8); расчетный изгибающий момент
M = 6,5 тс·м; арматура ненапрягаемая из горячекатаной стали класса А-II (
Rа = 2700 кгс/см
2).
Требуется определить площадь сечения продольной арматуры.
Расчет:
h0 = 40 - 4 = 36 см.

.
По
табл. 13 при
mб.1 = 0,8 и

для бетона марки М 200 находим
AR =0,429.
Так как A0 = 0,42 < AR = 0,429, сжатой арматуры по расчету не требуется.

.
Принимаем 2

25
(Fа = 9,82 см
2).
Пример 4. Дано: размеры сечения
b = 20 см;
h = 40 см;

;

; бетон марки М 400 (
Rпр = 110 кгс/см
2 при
mб.1 = 0,8); арматура ненапрягаемая из горячекатаной стали класса А-III (
Rа =
Rа.с = 3400 кгс/см
2); площадь сечения сжатой арматуры

см
2 (2

16); расчетный изгибающий момент
M = 13,8 тс·м.
Требуется определить площадь сечения растянутой арматуры.
Расчет:
h0 = 40 - 4 = 36 см.

.
По
табл. 13 при
mб.1 = 0,8 и

находим
AR = 0,411.
Так как
A0 = 0,484 >
AR = 0,411, требуется сжатая арматура, площадь которой из
условия (34) п. 3.13 равна:

.
Так как принятая площадь сечения арматуры
A' (4,02 см
2) значительно превышает ее требуемое значение (1,86 см
2), то площадь сечения растянутой арматуры определяем по
п. 3.14.

.
Так как

,
по
табл. 14 при
A0 = 0,326 находим

= 0,41, а площадь сечения растянутой арматуры определяем из
условия (37):

.
Принимаем 3

25 (
Fа = 14,73 см
2).
Пример 5. Дано: размеры сечения

см;

см;
b = 15 см;
h = 50 см; бетон марки М 200 (
Rпр = 60 кгс/см
2 при
mб.1 = 0,8); арматура ненапрягаемая из горячекатаной стали класса А-III (
Rа = 3400 кгс/см
2); расчетный изгибающий момент
M = 10 тс·м.
Требуется определить площадь сечения продольной арматуры.
Расчет:
h0 = 50 - 5 = 45 см.
Расчет ведем согласно
п. 3.17 настоящего Руководства. По
табл. 13 находим
AR = 0,425.
т.е.
условие (50) выполняется и сжатой арматуры не требуется.
т.е.
условие (51) не выполняется и граница сжатой зоны проходит в ребре.
Вычисляем:

.
Площадь растянутой арматуры определяем из
условия (52) при отсутствии напрягаемой арматуры:
Принимаем 2

18 + 1

20 (
Fa = 8,23 см
2).
Пример 6. Дано: размеры сечения
b = 30 см;
h = 50 см;
a = 3,5 см;
a' = 3 см; бетон марки М 400 (
Rпр = 110 кгс/см
2 при
mб.1 = 0,8); предварительно-напряженная арматура класса Вр-II диаметром 5 мм (
Rа = 10300 кгс/см
2); предварительное напряжение с учетом всех потерь для арматуры
A равно

, а для арматуры
A' равно

; натяжение арматуры механическое; площадь сечения арматуры
A -
Fн = 9,8 см
2 (50

5), арматуры

(20

5); изгибающий момент
M = 22 тс·м.
Требуется проверить прочность сечения.
Расчет:
h0 = 50 - 3,5 = 46,5 см.
Определяем напряжение в предварительно-напряженной арматуре сжатой зоны

по
п. 3.8 настоящего Руководства, принимая в соответствии с
п. 1.25 mт = 1,1.
Так как mб.1 = 0,8, имеем

.

.
Напряжение

в напрягаемой арматуре
A, с учетом коэффициента
mт = 0,9, равно

.
Из
табл. 13 при
mб.1 = 0,8 и

для бетона марки М 400 и арматуры класса Вр-II находим:

.
Так как

и в сечении имеется только напрягаемая растянутая арматура, проверку прочности производим из
условия (21) при величине
x по
формуле (25):
(величина

принята согласно
п. 3.6, а величина

- по
табл. 13 при
mб.1 = 0,8);
т.е.
условие (21) выполняется и прочность сечения обеспечена.
Прочность сечения можно проверить из
условия (29). Для этого по
табл. 14 при

=
x/
h0 = 35,1/46,5 = 0,756 находим
т.е.
условие (29) выполняется и прочность сечения обеспечена.
Пример 7. Дано: размеры сечения
b = 30 см;
h = 50 см;

; бетон марки М 300 (
Rпр = 88 кгс/см
2 при
mб.1 = 0,8); предварительно-напряженная арматура
A класса А-IV
(Rа = 5000 кгс/см
2); ненапрягаемая арматура
A' класса А-III (
Rа = 3400 кгс/см
2) площадью сечения

= 6,28 см
2 (2

20); изгибающий момент
M = 15 тс·м.
Требуется определить площадь сечения продольной напрягаемой арматуры.
Расчет:
h0 = 50 - 4 = 46 см.
По
табл. 13 при
mб.1 = 0,8 и

(см.
примеч. 1 к табл. 13) для бетона марки М 300 и арматуры класса А-IV находим:
AR = 0,383;
A0 = 0,269 <
AR = 0,383 и сжатой арматуры не требуется, но так как эта арматура имеется, площадь сечения растянутой арматуры определяем по
п. 3.14 настоящего Руководства.
Так как

Так как

, площадь сечения растянутой арматуры определяем из
условия (41). Предварительно вычисляем:
(здесь

найдено по
табл. 13 при
mб.1 = 0,8 и

для бетона марки М 300 и арматуры класса А-IV);
Принимаем 4

14 (
Fн = 6,16 см
2).
Пример 8. Дано: размеры сечения

;

;
b = 10 см;
h = 30 см;
a = 3 см; бетон марки М 250 (
Rпр = 76 кгс/см
2 при
mб.1 = 0,8); напрягаемая арматура
A класса А-IV (
Rа = 5000 кгс/см
2); изгибающий момент
M = 9 тс·м.
Требуется определить площадь сечения арматуры.
Расчет: h0 = 30 - 3 = 27 см.
Поскольку
условие (50) не выполняется, а установка сжатой арматуры нецелесообразна из-за малой толщины полки, требуется повысить марку бетона. Значение необходимого расчетного сопротивления бетона сжатию
Rпр определяем из
условия (50) по формуле
Принимаем бетон марки М 300 (
Rпр = 88 кгс/см
2 при
mб.1 = 0,8). Теперь
условие (50) выполняется и сжатой арматуры не требуется.
т.е.
условие (51) не выполняется и граница сжатой зоны проходит в ребре.

.
Площадь сечения растянутой арматуры определяем из
условия (52) при отсутствии ненапрягаемой арматуры:
Принимаем 2

22 (
Fн = 7,6 см
2) и бетон марки М 300.
Внецентренно-сжатые элементы
3.20. При расчете прочности внецентренно-сжатых элементов должны приниматься во внимание случайный эксцентрицитет

и прогиб элемента, согласно указаниям
пп. 3.41 и
3.42 Руководства по проектированию предварительно-напряженных железобетонных конструкций из тяжелого бетона, причем влияние прогиба элемента следует учитывать согласно требованиям
п. 3.22 настоящего Руководства.
3.21. Расчет внецентренно-сжатых элементов, перечисленных в
п. 3.4 настоящего Руководства, следует производить по пп.
3.22 -
3.29 настоящего Руководства, причем предусмотренный
п. 3.7 коэффициент условий работы арматуры
mа.4 при гибкости элемента
l0/r > 35 (для прямоугольных сечений при
l0/h > 10
) должен приниматься равным единице.
Расчет элементов, не перечисленных в
п. 3.4 настоящего Руководства, следует производить по общему случаю согласно
п. 3.33 настоящего Руководства.
3.22. Влияние прогиба на величину эксцентрицитета продольного усилия следует учитывать, как правило, путем расчета конструкций по деформированной схеме, принимая во внимание неупругие деформации материалов и наличие трещин.
Допускается производить расчет конструкций по недеформированной схеме, учитывая влияние прогиба элемента путем умножения эксцентрицитета
e0 на коэффициент

, определяемый по формуле

. (58)
где Nкр - условная критическая сила, определяемая по формулам:
для элементов любой формы сечения

, (59)
здесь I и Iа - моменты инерции соответственно бетонного сечения и сечения всей арматуры относительно центра тяжести бетонного сечения;
для элементов прямоугольного сечения при одинаковых величинах

и


. (60)
kдл - коэффициент, учитывающий влияние длительного действия нагрузки на прогиб элемента в предельном состоянии, определяемый по формуле

, (61)
где

и

- моменты внешних сил относительно оси, параллельной линии, ограничивающей сжатую зону и проходящей через центр тяжести наиболее растянутого (менее сжатого) арматурного стержня соответственно от действия полной нагрузки и от действия постоянных и длительных нагрузок;
t - коэффициент, принимаемый по
п. 3.2 настоящего Руководства;
l0 - расчетная длина элемента, принимаемая по
п. 3.59 Руководства по проектированию бетонных и железобетонных конструкций из тяжелого бетона (без предварительного напряжения);

;
kн - коэффициент, учитывающий влияние предварительного напряжения арматуры на жесткость элемента; при равномерном обжатии сечения напрягаемой арматурой kн определяется по формуле

, (62)
где

- определяется при коэффициенте
mт, меньшем единицы;
e0/h - принимается не более 0,25.
Эксцентрицитет e0, используемый в настоящем пункте, допускается определять относительно центра тяжести бетонного сечения.
При гибкости элемента
l0/
r < 14 (для прямоугольных сечений при
l0/
h < 4) допускается принимать

.
При N >= Nкр следует увеличить размеры сечения.
При расчетных эксцентрицитетах в двух направлениях коэффициент

определяется отдельно для каждого направления и умножается на соответствующий эксцентрицитет.
При расчете элементов, имеющих несмещаемые опоры, значения коэффициента

принимаются по
формуле (58) настоящего пункта с учетом
п. 3.58 Руководства по проектированию бетонных и железобетонных конструкций из тяжелого бетона (без предварительного напряжения).
3.23. Расчет элементов с косвенным армированием следует производить по
пп. 3.25 -
3.29 настоящего Руководства по сечению, ограниченному осями крайних стержней поперечной арматуры (ядро сечения), подставляя в расчетные формулы вместо
Rпр приведенную призменную прочность

и вычисляя характеристику сжатой зоны бетона

с учетом влияния косвенного армирования по формуле

(63)
(величина

принимается не более 0,9).
Значения

,

и условия учета косвенного армирования следует принимать по
п. 3.60 Руководства по проектированию бетонных и железобетонных конструкций из тяжелого бетона (без предварительного напряжения).
Наряду с расчетом по прочности, согласно указаниям настоящего пункта, следует проверять трещиностойкость защитного слоя по
п. 3.62 Руководства по проектированию бетонных и железобетонных конструкций из тяжелого бетона (без предварительного напряжения).
Влияние прогиба элемента с косвенным армированием на эксцентрицитет продольной силы следует учитывать по
п. 3.24 настоящего Руководства.
3.24. При расчете элементов с косвенным армированием влияние прогиба элемента на эксцентрицитет продольной силы следует учитывать по
п. 3.22 настоящего Руководства, причем при расчете элементов по недеформированной схеме значение
tмин в
формулах (59) и
(60) принимается по формуле

, (64)
а полученная величина Nкр умножается на коэффициент
(hя - высота бетонного ядра сечения).
Кроме того, при определении Nкр размеры сечения принимаются по ядру бетонного сечения.
Прямоугольные сечения
3.25. Расчет прямоугольных сечений, перечисленных в
п. 3.4 настоящего Руководства
(рис. 4), производится следующим образом в зависимости от высоты сжатой зоны
Рис. 4. Схема усилий в прямоугольном сечении
внецентренно-сжатого железобетонного элемента
(сжатая зона заштрихована)

: (65)
а) при

(см.
табл. 13 настоящего Руководства) и

- из условия

; (66)
б) при

и

- из условия

, (67)
где величина x определяется по формуле:

(68)
и должна удовлетворять условию

: если условие не выполняется, расчет сечения должен производиться по
формулам (65) и
(66) без учета арматуры
A' (при

);
в) при

- из
условия (66), в котором величина
x определяется по формулам:
для элементов с арматурой, имеющей условный предел текучести,

, (69)
где

и

- см.
табл. 13 настоящего Руководства; при этом величина
x должна удовлетворять условию

;
для элементов с арматурой, имеющей физический предел текучести, а также с арматурой, имеющей условный предел текучести, когда при использовании
формулы (69) оказывается


, (70)
где

; (71)

; (72)
при этом величина
x должна удовлетворять условию

; если это условие не соблюдается, величину
x в
условии (66) следует определять по формуле

, (73)

; (74)

. (75)
Здесь

- предельное напряжение, кгс/см
2, в арматуре при центральном сжатии, принимаемое равным:
5000 - при использовании коэффициента mб1 = 0,8;
4000 - при использовании коэффициента mб1 = 1.
При этом величина
x по
формуле (73) должна удовлетворять условию

, где

- относительная высота сжатой зоны, при которой напряжение в арматуре
A равно
Rа.с (для напрягаемой арматуры

), определяемая по
табл. 15 настоящего Руководства; при невыполнении этого условия величину
x в
условии (66) определяют по формуле

. (76)
mб1 | Класс растянутой арматуры | | | Значения  при бетоне марки |
М 150, М 200 | М 250 | М 300 | М 400 | М 500 | М 600 |
0,8 | А-I | - | 1 | 0,891 | 0,891 | 0,885 | 0,856 | 0,83 | 0,806 |
1,1 | 0,966 | 0,966 | 0,958 | 0,923 | 0,891 | 0,862 |
1,2 | 1,038 | 1,038 | 1,03 | 0,986 | 0,948 | 0,913 |
А-II | - | 1 | 0,905 | 0,905 | 0,9 | 0,874 | 0,852 | 0,831 |
1,1 | 0,982 | 0,982 | 0,976 | 0,945 | 0,916 | 0,891 |
1,2 | 1,057 | 1,057 | 1,049 | 1,011 | 0,977 | 0,947 |
А-III (  5 мм) | >= 0,47 | Любое | Принимается равным h/h0 |
0,3 | 1 | 0,961 | 0,961 | 0,959 | 0,948 | 0,939 | 0,931 |
1,1 | 1,048 | 1,048 | 1,046 | 1,032 | 1,02 | 1,009 |
1,2 | 1,134 | 1,134 | 1,13 | 1,112 | 1,096 | 1,082 |
0 | 1 | 0,924 | 0,924 | 0,92 | 0,9 | 0,881 | 0,865 |
1,1 | 1,005 | 1,005 | 0,999 | 0,974 | 0,951 | 0,931 |
1,2 | 1,083 | 1,083 | 1,076 | 1,045 | 1,017 | 0,992 |
А-III в | >= 0,22 | Любое | Принимается равным h/h0 |
0 | 1 | 0,965 | 0,965 | 0,963 | 0,953 | 0,945 | 0,938 |
1,1 | 1,053 | 1,053 | 1,051 | 1,038 | 1,027 | 1,017 |
1,2 | 1,139 | 1,139 | 1,136 | 1,119 | 1,105 | 1,092 |
А-IV Ат-IV | >= 0,1 | Любое | Принимается равным h/h0 |
0 | 1 | 0,965 | 0,965 | 0,963 | 0,953 | 0,945 | 0,938 |
1,1 | 1,053 | 1,053 | 1,051 | 1,038 | 1,027 | 1,017 |
1,2 | 1,139 | 1,139 | 1,136 | 1,119 | 1,105 | 1,092 |
А-V Ат-V Атп-V Ат-VI Атп-VI В-II Вр-II | Любое | Любое | Принимается равным h/h0 |
В-I | - | 1 | 0,917 | 0,917 | 0,912 | 0,89 | 0,87 | 0,852 |
1,1 | 0,996 | 0,996 | 0,991 | 0,963 | 0,938 | 0,916 |
1,2 | 1,073 | 1,073 | 1,066 | 1,032 | 1,002 | 0,975 |
1 | А-I | - | 1 | 0,903 | 0,889 | 0,869 | 0,837 | 0,808 | 0,785 |
1,1 | 0,98 | 0,963 | 0,939 | 0,899 | 0,863 | 0,834 |
1,2 | 1,055 | 1,034 | 1,005 | 0,956 | 0,912 | 0,877 |
А-II | - | 1 | 0,923 | 0,912 | 0,895 | 0,871 | 0,848 | 0,829 |
1,1 | 1,004 | 0,99 | 0,969 | 0,938 | 0,909 | 0,886 |
1,2 | 1,082 | 1,065 | 1,04 | 1,001 | 0,966 | 0,937 |
В-I | - | 1 | 0,941 | 0,933 | 0,918 | 0,901 | 0,883 | 0,87 |
1,1 | 1,025 | 1,015 | 0,996 | 0,974 | 0,952 | 0,934 |
1,2 | 1,106 | 1,093 | 1,071 | 1,043 | 1,015 | 0,992 |
А-III (  5 мм) | >= 0,18 | Любое | Принимается равным h/h0 |
0 | 1 | 0,953 | 0,947 | 0,932 | 0,922 | 0,908 | 0,897 |
1,1 | 1,04 | 1,031 | 1,014 | 0,998 | 0,98 | 0,966 |
1,2 | 1,123 | 1,112 | 1,092 | 1,071 | 1,048 | 1,029 |
А-IIIв А-IV Ат-IV А-V Ат-V Атп-V Ат-VI Атп-VI В-II Вр-II | Любое | Любое | Принимается равным h/h0 |
<*>  - предварительное напряжение при коэффициенте mт, меньшем единицы. <**> Арматуру класса Вр-I следует применять только в качестве ненапрягаемой арматуры. Примечания: 1. При коэффициенте mб1 = 0,8 расчетные сопротивления Rа.с арматуры классов А-IV, Ат-IV, А-V, Ат-V, Атп-V, Ат-VI, Атп-VI, В-II и Вр-II приняты повышенными согласно п. 2.24 Руководства по проектированию предварительно-напряженных железобетонных конструкций из тяжелого бетона. 2. При использовании коэффициентов mб из табл. 10 настоящего Руководства применение табличных значений  не допускается. 3. При использовании коэффициента mб.д согласно п. 3.1 настоящего Руководства табличные значения  принимаются при mб1 = 1. 4. Значения  вычислены по формуле  , где  ;  ; |
Допускается для элементов из бетона марок М 400 и ниже с ненапрягаемой арматурой классов А-I, А-II и А-III при

высоту сжатой зоны в
условии (66) определять по формуле

, (77)
которая при

приводятся к виду

. (77а)

. (78)
При этом эксцентрицитет
e0 определяется с учетом прогиба элемента по
пп. 3.22 и
3.24 настоящего Руководства.
Примечание. При расчете элементов с напрягаемой арматурой должны учитываться указания
п. 3.8 настоящего руководства.
3.26. Расчет элементов с симметричной ненапрягаемой арматурой классов А-I, А-II и А-III при
l0/
h <= 20 и при величине эксцентрицитета
e0, принятого по
п. 3.20 настоящего Руководства равным случайному эксцентрицитету

, допускается производить из условия

, (79)
где m - коэффициент, принимаемый равным:
при h > 20 см - 1;
при h <= 20 см - 0,9.

- коэффициент, определяемый по
табл. 16 настоящего Руководства;

- площадь сечения всей продольной арматуры.
| Коэффициенты  при l0/ h |
6 | 8 | 10 | 12 | 14 | 16 | 18 | 20 |
А. При отсутствии промежуточных стержней у граней, параллельных рассматриваемой плоскости, или при площади сечения этих стержней менее  |
0 | 0,92 | 0,92 | 0,91 | 0,91 | 0,9 | 0,88 | 0,87 | 0,85 |
0,5 | 0,92 | 0,92 | 0,91 | 0,9 | 0,88 | 0,86 | 0,84 | 0,8 |
1 | 0,92 | 0,92 | 0,9 | 0,89 | 0,87 | 0,84 | 0,79 | 0,74 |
Б. При площади сечения промежуточных стержней, расположенных у граней, параллельных рассматриваемой плоскости, равной или более  |
0 | 0,92 | 0,92 | 0,91 | 0,9 | 0,89 | 0,87 | 0,85 | 0,82 |
0,5 | 0,92 | 0,91 | 0,9 | 0,89 | 0,87 | 0,84 | 0,8 | 0,75 |
1 | 0,92 | 0,91 | 0,9 | 0,88 | 0,84 | 0,80 | 0,74 | 0,67 |
| 1-1 - рассматриваемая плоскость; 2 - промежуточные стержни; Nдл - продольная сила от действия постоянных и длительных нагрузок; N - продольная сила от действия всех нагрузок. |
3.27. Определение требуемого количества симметричной ненапрягаемой арматуры производится следующим образом в зависимости от относительной величины продольной силы

:
а) при

(см.
табл. 13 настоящего Руководства)

, (80)
при этом положение арматуры
A' должно назначаться из условия

;
б) при


, (81)

.
Значение
e вычисляется по
формуле (78) п. 3.25 настоящего Руководства.
Если значение

не превышает 0,15, необходимое количество растянутой арматуры можно определить с помощью графика
рис. 5 при

, используя формулу

, (82)
где

определяется по графику в зависимости от значений:

и

,
при этом значение момента
M относительно центра тяжести сечения определяется с учетом прогиба элемента по
п. 3.22 настоящего Руководства.
Рис. 5. Графики несущей способности внецентренно-сжатых
элементов прямоугольного сечения с симметричной арматурой.
Сплошная линия - при

; пунктирная - при

;
Примечания: 1. Графиками допускается пользоваться при

.
2. При

значения

определяются линейной экстраполяцией.
При статическом расчете по недеформированной схеме и при использовании коэффициента

подбор арматуры по вышеприведенным формулам и графику производится в общем случае путем последовательных приближений.
Для элементов из бетона марок от М 200 до М 500 при

и при

подбор арматуры можно производить без последовательных приближений по
формуле (82) с помощью графиков (см.
рис. 5), используя значения
M без учета коэффициента

.
3.28. Проверку прочности сечений с ненапрягаемой арматурой, симметрично распределенной по высоте сечения, допускается производить по
п. 3.65 Руководства по проектированию бетонных и железобетонных конструкций из тяжелого бетона (без предварительного напряжения), определяя значения

и

по
табл. 13 настоящего Руководства.
3.29. Расчет элементов прямоугольного сечения на косое внецентренное сжатие допускается производить с помощью графиков на
рис. 6 настоящего Руководства в соответствии с указаниями
п. 3.76 Руководства по проектированию бетонных и железобетонных конструкций из тяжелого бетона (без предварительного напряжения).
Рис. 6. Графики несущей способности элементов
прямоугольного сечения с симметричной арматурой,
рассчитываемых на косое внецентренное сжатие
Примеры расчета
Пример 9. Дано: колонна рамного каркаса с размерами сечения
b = 40 см;
h = 50 см;

; бетон марки М 300
(Eб = 1,8·10
5 кгс/см
2); арматура класса А-III
(Rа =
Rа.с = 3400 кгс/см
2;
Eа = 2·10
6 кгс/см
2) площадью сечения

(2

28); продольные силы и изгибающие моменты от постоянных и длительных нагрузок
Nдл = 65 тс;
Mдл = 14 тс·м; от ветровой нагрузки
Nк = 5 тс;
Mк = 7,3 тс·м; расчетная длина колонны
l0 = 6 м.
Требуется проверить прочность сечения колонны.
Расчет: h0 = 50 - 4 = 46 см.
а) Расчет ведем на действие всех нагрузок, принимая
Rпр = 110 кгс/см
2, при
mб.1 = 1:
M = 14 + 7,3 = 21,3 тс·м и
N = 65 + 5 = 70 тс. Так как
l0/h = 600/50 = 12 > 4, расчет ведем с учетом прогиба колонны по
п. 3.22, вычисляя
Nкр по
формуле (60).
(см.
п. 3.20), следовательно, случайный эксцентрицитет не учитываем;
t определяем по
п. 3.2.
Так как

, а также

, принимаем

.

.
Обозначения:

;

.

.
mа.4 = 1 и

находим

.
По
табл. 13 при
mб.1 = 1 и

для бетона марки М 300 и арматуры класса A-III определяем

. Так как

, проверку прочности производим из
условия (66):
т.е. прочность сечения обеспечена.
б) Расчет ведем на действие постоянных и длительных нагрузок:
Nдл = 65 тс;
Mдл = 14 тс·м;
Rпр = 110 - 0,8 = 88 кгс/см
2.
kдл = 2;

;

.
Так как

и

,
принимаем t =0,43.

;

;

;

= 88·40·18,5(46 - 0,5·18,5) + 3400·12,32(46 - 4) = 41,5 тс·м >
Ne = 65·0,45 = 29,3 тс·м, т.е. прочность сечения обеспечена.
Пример 10. Дано: колонна связевого каркаса с размерами
b = 40 см;
h = 40 см и длиной 6 м;

; бетон марки М 300 (
Eб = 1,8·10
5 кгс/см
2); арматура из горячекатаной стали класса А-III (
Rа =
Rа.с = 3400 кгс/см
2;
Eа = 2·10
6 кгс/см
2) площадью сечения

(2

28); расчетные продольная сила и изгибающий момент в опорном сечении от постоянных и длительных нагрузок
N = 110 тс,
M = 10 тс·м, прочие нагрузки не учитываются.
Требуется проверить прочность опорного сечения.
Расчет: h0 = 40 - 4 = 36 см.
Поскольку нагрузки малой суммарной длительности отсутствуют, расчет производим по
п. 3.1 "а" настоящего Руководства, принимая
Rпр = 88 кгс/см
2 при
mб.1 = 0,8.
Согласно
п. 3.22 настоящего Руководства, для опорного сечения колонны связевого каркаса принимаем

. Определяем величину случайного эксцентрицитета по
п. 3.20:

;

.
Следовательно, случайный эксцентрицитет не учитываем.

.
при
mа.4 = 1 и


.
Так как

и арматура класса А-III имеет физический предел текучести, величину
x определяем по
формуле (70) при

(см.
п. 3.6) и

(см.
табл. 13 при
mб.1 = 0,8):

;

;

.
что практически совпадает с ранее выполненным точным расчетом. Так как

, проверку прочности производим из
условия (66) при
x = 25,35 см:
т.е. прочность сечения обеспечена.
Пример 11. Дано: размеры сечения элемента
b =
h = 40 см;

; бетон марки М 300 (
Eб = 1,8·10
5 кгс/см
2); арматура симметричная класса А-III (
Rа =
Rа.с = 3400 кгс/см
2;
Eа = 2 x 10
6 кгс/см
2); продольные силы и изгибающие моменты: от длительных и постоянных нагрузок
Nдл = 150 тс;
Mдл = 4 тс·м, от ветровых нагрузок
Nк = 10 тс;
Mк = 11 тс·м; расчетная длина
l0 = 6,4 м.
Требуется определить площадь сечения арматуры.
Расчет: h0 = 40 - 4 = 36 см.
Поскольку имеет место усилие от ветровой нагрузки, проверим
условие (12) п. 3.1. Для этого вычислим:

;

;

;

.
Так как 0,8
PII = 0,8·40,6 = 32,5 тс·м >
PI = 28 тс·м,
условие (12) соблюдается и расчет производим только на действие всех нагрузок, принимая
Rпр = 110 кгс/см
2 (при
mб.1 = 1).

;

.
(см.
п. 3.20), т.е. случайный эксцентрицитет не учитываем.
tмин = 0,5 - 0,01 l0/h - 0,0012
Rпр = 0,5 - 0,01·16 - 0,0012·110 = 0,208.
Так как

, принимаем

.
В первом приближении принимаем

;

.
Тогда

.

.
Необходимое армирование определяем по
п. 3.27 настоящего Руководства. Вычисляем значение

.
По
табл. 13 настоящего Руководства при
mб.1 = 1 и

для бетона марки М 300 и арматуры класса А-III находим

.
Так как

, определяем ориентировочное значение
Fа по
формуле (80) при
и

;

.

;

;
что соответствует

.
Поскольку полученное армирование существенно превышает армирование, принятое при определении
Nкр (

), значение
Fа = 28,3 см
2 определено с запасом, и его можно несколько уменьшить, уточнив значение

.
Принимаем

и повторяем расчет:

;

;

.

.

;

;

.

,
что соответствует

.
Окончательно принимаем

(2

36).
Пример 12. По данным
примера 11 определить требуемую площадь арматуры, используя график на
рис. 5.
N = 160 тс;
M = 15 тс·м;

;

.
Определяем значения

и

:

;

.
Значение

, соответствующее

, находим линейной интерполяцией:

.

.
Принимаем 2

32 и 1

25
(Fа = 21 см
2).
Пример 13. Дано: колонна с размерами сечения 40 x 40 см; расчетная длина, равная фактической l = l0 = 6 м; бетон марки М 300 (Rпр = 88 кгс/см2 при mб.1 = 0,8); продольная арматура класса А-III (Rа.с = 3400 кгс/см2); центрально-приложенные силы от постоянных и длительных нагрузок Nдл = 166 тс, от кратковременной нагрузки Nк =44 тс.
Требуется определить площадь сечения продольной арматуры.
Расчет. Согласно
п. 3.20, расчет производим с учетом случайного эксцентрицитета

. Поскольку
l = 6 м < 20
h = 20·0,4 = 8 м, расчет производим по
п. 3.26:
N = Nдл + Nк = 166 + 44 = 210 тс.

;

и предполагая отсутствие промежуточных стержней, находим:

= 0,86;
m = 1 (
h > 20 см).

.
Принимаем 4

32 (
Fа = 32,17 см
2).
Внецентренно-растянутые элементы
3.30. Расчет внецентренно-растянутых элементов, перечисленных в
п. 3.4 настоящего Руководства, должен производиться в зависимости от положения продольной силы
N:
а) если продольная сила
N приложена между равнодействующими усилий в арматуре
A и
A' (рис. 7, а), т.е. при

из условий

(83)

, (84)
Рис. 7. Схема усилий в прямоугольном поперечном сечении
внецентренно-растянутого железобетонного элемента
(сжатая зона сечения заштрихована)
а - продольная сила N приложена между
равнодействующими усилий в арматуре A и A';
б - то же, за пределами расстояния между
равнодействующими усилий в арматуре A и A'
где

- см.
п. 3.7 настоящего Руководства;
б) если продольная сила
N приложена за пределами расстояния между равнодействующими усилий в арматуре
A и
A' (рис. 7, б), т.е. при

- в зависимости от высоты сжатой зоны

: (85)
при

(см.
табл. 13 настоящего Руководства) - из условия

; (86)
при

- из условия

, (87)
в котором величина x определяется по формуле

(88)
и должна удовлетворять условию

; если это условие не выполняется, расчет следует производить по
формулам (85) и
(86) без учета арматуры
A' (при

);

.
Примечание. Для элементов с напрягаемой арматурой должны учитываться указания
п. 3.8 настоящего Руководства.
3.31. Определение требуемого количества продольной арматуры производится следующим образом:
а) при

площадь сечения арматуры
A и
A' определяется соответственно по формулам:

; (89)

; (90)
б) при

площадь сечения растянутой арматуры определяется по формуле

, (91)
где

- определяется по
табл. 14 настоящего Руководства в зависимости от значения

. (92)
При этом должно удовлетворяться условие
A0 <=
AR (см.
табл. 13 настоящего Руководства); в противном случае следует увеличить сечение сжатой арматуры

, повысить марку бетона или увеличить размеры сечения.
При использовании
формул (91) и
(92) положение сжатой арматуры должно удовлетворять условию

. Если это условие выполнить невозможно, а также если по
формуле (92) A0 <= 0, площадь арматуры
A следует определять по формуле

, (93)
где

- определяется по
формуле (38), в которой при вычислении
D2 принимается
M = -
Ne; при этом если

не удовлетворяет условию

, площадь сечения арматуры
A должна определяться по
формулам (91) и
(92) без учета арматуры
A' (при

). Допускается при
A0 <= 0 площадь сечения арматуры
A определять по
формуле (89).
Подбор симметричной ненапрягаемой арматуры с физическим пределом текучести (см. примеч. к
п. 2.15 настоящего Руководства) можно производить независимо от величины
e' по
формуле (89).
Примечание. Величина
Rа.с в
формулах (91) -
(93) настоящего пункта должна назначаться с учетом указаний
п. 3.8 настоящего Руководства.
Расчет на воздействие предварительного обжатия
3.32. Расчет элементов на воздействие предварительного обжатия следует производить по
пп. 3.50 -
3.54 Руководства по проектированию предварительно-напряженных железобетонных конструкций из тяжелого бетона, принимая:
предварительное напряжение арматуры с учетом первых потерь по
п. 1.23 настоящего Руководства;
расчетное сопротивление бетона

- равным расчетному сопротивлению
Rпр по
табл. 9 настоящего Руководства, отвечающему проектной марке бетона при коэффициенте
mб.1 = 1 с учетом коэффициента
mб.4 по
табл. 10 настоящего Руководства;
учет влияния прогиба элемента с арматурой, способной смещаться по поперечному сечению элемента по
п. 3.22 настоящего Руководства;
значения

- по
п. 3.6 настоящего Руководства при
mб.1 = 1 и проектной марке бетона;
высоту сжатой зоны
x при необходимости повышения несущей способности, когда

для сечений только с напрягаемой или только с ненапрягаемой арматурой в наименее обжатой зоне сечения по
формулам (60) -
(76) настоящего Руководства без учета напрягаемой арматуры в наиболее обжатой зоне сечения и при замене величины
N на величину
Nн (см.
п. 3.50 Руководства по проектированию предварительно-напряженных железобетонных конструкций из тяжелого бетона) при прямоугольном сечении и на величину

при сечении с полкой в наиболее обжатой зоне; для сечений с арматурой разных видов в наименее обжатой зоне - по
п. 3.33 настоящего Руководства.
Примеры расчета
Пример 14. По данным
примера 1 проверить прочность плиты в стадии предварительного обжатия при расположении монтажных петель на расстоянии 40 см от торца плиты.
Расчет. Из
примера 1 имеем: в наиболее обжатой зоне расположена только напрягаемая арматура класса Ат-V с площадью сечения 19,23 см
2, расположенная на расстоянии 2 см от нижней грани (

);
предварительное напряжение этой арматуры с учетом первых потерь при

в менее обжатой зоне располагается ненапрягаемая арматура с физическим пределом текучести 7

4B1
(Fа = 0,879 см
2) на расстоянии 1,7 см от верхней грани (
h0 = 16 - 1,7 = 14,3 см).
Расчетное усилие обжатия при mт = 1,1

.
Определим значение
e по
формуле (121) Руководства по проектированию предварительно-напряженных железобетонных конструкций из тяжелого бетона. Поскольку монтажные петли расположены на расстоянии 40 см от торца плиты, невыгоднейший момент от собственного веса, растягивающий верхнюю грань, будет возникать при подъеме плиты. Этот момент с учетом коэффициента динамичности 1,5 равен

.
Тогда

.
Расчетное сопротивление бетона при
mб.1 = 1 и
mб.4 = 1,2 (см.
табл. 10 настоящего Руководства):
Rпр = 1,2·110 = 132 кгс/см2.
Определяем высоту сжатой зоны по
формуле (112) Руководства по проектированию предварительно-напряженных железобетонных конструкций из тяжелого бетона:

.
Определяем величину

. Поскольку в расчете используется коэффициент
mб.4 из
табл. 10, то
табл. 13 настоящего Руководства пользоваться нельзя, поэтому по
формуле (17) вычисляем

,

.
Так как

,
прочность сечения проверяем из
условия (113) Руководства по проектированию предварительно-напряженных железобетонных конструкций из тяжелого бетона при
x = 1,91 см:
Rпр b x(h0 - 0,5 x) = 132·236·1,91(14,3 - 0,5·1,91) =
= 794032 кгс·см > N e = 56627·12,48 = 706705 кгс·см,
т.е. прочность в стадии изготовления обеспечена.
Общий случай расчета нормальных сечений
3.33. Расчет нормальных сечений по прочности в общем случае <*> должен производиться:
--------------------------------
<*> При любых формах сечения, внешних усилиях и армировании.

, (94)
где

- проекция момента внешних сил (без учета усилия обжатия
N0) на плоскость перпендикулярную к прямой, ограничивающей сжатую зону сечения;
Sб и Sа.i - статические моменты соответственно площади сечения сжатой зоны бетона и i-го стержня продольной арматуры относительно оси, параллельной прямой, ограничивающей сжатую зону, и проходящей через центр тяжести наиболее растянутого (наименее сжатого) стержня продольной арматуры;

- напряжение в
i-м стержне продольной арматуры;
б) для внецентренно-сжатых элементов
(рис. 8, б) из условия

, (95)
где

- расстояние от продольной силы
N до оси, параллельной прямой, ограничивающей сжатую зону, и проходящей через центр тяжести наиболее растянутого (наименее сжатого) стержня продольной арматуры; определяется с учетом указаний
п. 3.22 настоящего Руководства;
в) для внецентренно-растянутых элементов
(рис. 9) из условия

, (96)
где

- расстояние от продольной силы
N до оси, параллельной прямой, ограничивающей сжатую зону, и проходящей через точку сжатой зоны, наиболее удаленную от указанной прямой;
Sб и Sа.i - статические моменты площади сечения соответственно сжатой зоны бетона и i-го стержня продольной арматуры относительно той же оси;
Рис. 8. Схема усилий в поперечном сечении железобетонного
элемента в общем случае расчета его по прочности
а - при изгибе; б - при внецентренном сжатии; I-I - плоскость,
параллельная плоскости действия изгибающего момента;
А - точка приложения равнодействующей усилий
в сжатой арматуре и в бетоне сжатой зоны;
Б - точка приложения равнодействующей усилий
в растянутой арматуре; В - точка приложения продольной силы N
Рис. 9. Схема усилий в поперечном сечении железобетонного
элемента в общем случае расчета его по прочности
при внецентренном растяжении (обозначения см. на
рис. 8)
Высота сжатой зоны
x и напряжения

определяются из совместного решения уравнения

, (97)
где знак минус принимается при внецентренном сжатии, а знак плюс при внецентренном растяжении, и уравнений:
при


; (98)
при


, (99)
при


. (100)

- см.
п. 3.7 настоящего Руководства;

- относительная высота сжатой зоны, отвечающая напряжениям в
i-м стержне арматуры, равным
Rа, и определяемая по формуле

; (101)

и

- см.
п. 3.6 настоящего Руководства;
h0.i - расстояние от наиболее сжатого волокна бетона до центра тяжести сечения i-го стержня продольной арматуры, измеренное по перпендикуляру к границе сжатой зоны;

- см.
п. 3.25 настоящего Руководства;

- предварительное напряжение
i-го стержня продольной арматуры, определяемое при коэффициенте
mт, меньшем единицы, если рассматриваемый стержень расположен в растянутой зоне (
h0.i >
x) и при
mт, большем единицы, если стержень расположен в сжатой зоне
(h0.i <=
x).
Напряжения

, определенные по
формулам (99) или
(100), вводятся в расчетные формулы со своими знаками (знак плюс означает растягивающие, а знак минус - сжимающие напряжения) и принимаются не менее -
Rа.с.i (для напрягаемых стержней
Rа.с.i заменяется на

по
п. 3.8 настоящего Руководства). Кроме того, если для какого-либо стержня арматуры с условным пределом текучести величина

по
формуле (99) оказывается больше, чем 0,8
Rа.i, напряжения в этом стержне следует определять по формуле

, (102)
где

- относительная высота сжатой зоны

;

- относительная высота сжатой зоны, отвечающая напряжению в данном стержне, равному 0,8
Rа.i, и определяемая по формуле

. (103)
При определении положения границы сжатой зоны кроме
уравнений (97) -
(103) необходимо учитывать следующие условия:
при косом изгибе плоскости действия моментов внешних и внутренних сил должны быть параллельны;
при косом внецентренном сжатии или растяжении точки приложения внешней продольной силы, равнодействующей сжимающих усилий в бетоне и арматуре и равнодействующей усилий в растянутой арматуре должны лежать на одной прямой (см.
рис. 8 и
9).
Расчет сечений по общему случаю рекомендуется проводить в следующем порядке:
1. Выбирают взаимно перпендикулярные оси x и y, проходящие через центр тяжести сечения наиболее растянутого стержня арматуры. Если в сечении можно выявить характерную ось (например, ось симметрии или ось ребра Г-образного сечения), одну из осей x и y целесообразно принять параллельной этой характерной оси.
2. Задаются углом

между границей сжатой зоны и осью
y (или
x) и определяют величины
h0i. В первом приближении угол

можно принять как для сечения из упругих материалов.
3. Подбирают последовательными приближениями, не меняя угла

, положение границы сжатой зоны так, чтобы удовлетворить
равенство (97) после подстановки в него значений

, определенных по
формулам (98) -
(103).
4. Определяют положение равнодействующих внутренних усилий в сжатой и растянутой зонах сечения по формулам:

; (104)

; (105)

; (106)

. (107)
yс, xс и yр, xр - координаты точки приложения равнодействующих усилий соответственно в сжатой и растянутой зонах сечения относительно выбранных осей x и y;
yi и Xi - координаты центра тяжести сечения i-го стержня продольной арматуры относительно тех же осей;
ki и mi - коэффициенты, принимаемые равными:
5. Проверяют параллельность плоскостей действия моментов внутренних и внешних сил при косом изгибе или принадлежность внешнего усилия плоскости действия момента внутренних усилий при внецентренном сжатии и растяжении. Если эти условия не выполняются, подбирают угол

последовательными приближениями, повторяя расчет по
поз. 2 -
4.
Наряду с изложенным выше порядком расчета можно использовать порядок, приведенный в
п. 3.18 Руководства по проектированию предварительно-напряженных железобетонных конструкций из тяжелого бетона.
Расчет сечений, наклонных к продольной оси элемента
3.34. Расчет по прочности наклонных сечений железобетонных элементов производится на действие поперечной силы и на действие изгибающего момента по
пп. 3.19 -
3.40 и
3.60 Руководства по проектированию предварительно-напряженных железобетонных конструкций из тяжелого бетона, с учетом следующих изменений:
коэффициент
k1 в
формуле (62) п. 3.21 указанного Руководства следует умножать на дополнительный коэффициент 0,835;
поперечное усилие, воспринимаемое бетоном в наклонном сечении
Qб следует определять по
формуле (64) указанного Руководства с умножением на дополнительный коэффициент 0,9 и принимать не более величины 2,25
Rрbh0;
максимальные расстояния между хомутами и отгибами
uмакс следует определять по
формуле (67) указанного Руководства с умножением на дополнительный коэффициент 0,9;
коэффициенты
k2 и
k3, приведенные в
п. 3.34 указанного Руководства, следует принимать равными:
для сплошных плоских плит: k2 = 1,55; k3 = 1,25;
для балок и ребер, многопустотных настилов: k2 = 1,25; k3 = 1;
расчетное сопротивление поперечной арматуры
Rа.х следует принимать с учетом указаний
п. 2.16 настоящего Руководства;
высоту сжатой зоны при расчете наклонных сечений по изгибающему моменту следует определять по
пп. 3.11 и
3.16 настоящего Руководства, при этом в случае наличия отгибов в числители
выражений (20),
(23),
(26),
(28),
(44),
(46) и
(48) добавляется величина

, где

- угол наклона отгибов к продольной оси элемента; при

допускается принимать

;
длину зоны передачи напряжений для напрягаемой арматуры без анкеров следует определять с учетом указаний
п. 2.16 настоящего Руководства;
длину зоны анкеровки ненапрягаемой арматуры без анкеров для крайних свободных опор элементов следует определять по
п. 3.46 Руководства по проектированию бетонных и железобетонных конструкций из тяжелого бетона (без предварительного напряжения).
Примеры расчета
Пример 15. Дано: железобетонная балка с размерами поперечного сечения b = 10 см; h = 30 см; h0 = 27 см; бетон марки М 200 (Rпр = 60 кгс/см2; Rр = 5 кгс/см2 с учетом mб.1 = 0,8); балка армирована двумя плоскими сварными каркасами, поперечные стержни из обыкновенной арматурной проволоки класса В-I (Rа.х = 1,25·2200 = 2750 кгс/см2) диаметром 5 мм (Fх = 0,39 см2) с шагом u = 9,5 см; поперечная сила на опоре Q = 5000 кгс; нагрузки малой суммарной длительной отсутствуют.
Требуется проверить прочность наклонных сечений балки по поперечной силе.
Расчет. Поскольку нагрузки малой суммарной длительности отсутствуют, согласно
п. 3.1 настоящего Руководства, расчет ведем только по случаю
"а", принимая
mб.1 = 0,8. Согласно
табл. 9 настоящего Руководства, для бетона марки М 200 при
mб.1 = 0,8 имеем
Rпр = 60 кгс/см
2;
Rр = 5 кгс/см
2.
Проверяем
условие (61) Руководства по проектированию предварительно-напряженных железобетонных конструкций из тяжелого бетона: 0,35
Rпрbh0 = 0,35·60·10·27 = 56700 кгс >
Q = 5000 кгс, т.е. условие выполняется.
Проверяем необходимость расчета на действие поперечной силы по
условию (62) того же Руководства с учетом указаний
п. 3.34 настоящего Руководства: 0,835
k1Rрhb0 = 0,835·0,6·5·10·27 = 675 кгс <
Q = 5000 кгс, т.е. условие не соблюдается и расчет необходим.
Проверяем допустимость учета хомутов в расчете балки по
условиям (66) и
(67) Руководства по проектированию предварительно-напряженных железобетонных конструкций из тяжелого бетона:

;

,
т.е. условия соблюдаются. Конструктивные требования
п. 5.44 указанного Руководства:
u = 9,5 см < 0,5
h = 0,5·30 = 15 см и
u = 9,5 см < 15 см - также соблюдаются, следовательно, хомуты могут учитываться в расчете.
Поскольку отогнутые стержни в балке отсутствуют, проверку прочности производим из
условия (68) указанного Руководства. Для этого определяем:

;

,
т.е. прочность наклонного сечения обеспечена.
Пример 16. Дано: железобетонная балка пролетом l = 5,5 м; нагруженная равномерно распределенной нагрузкой p = 3,2 тс/м; с размерами поперечного сечения b = 20 см; h = 40 см; h0 = 37 см; бетон марки М 200 (Rпр = 60 кгс/см2; Rр = 5 кгс/см2 с учетом mб.1 = 0,8); хомуты сварные из горячекатаной стали класса А-I (Rа.х = 1,25·1700 = 2100 кгс/см2); поперечная сила на опоре Q = 8,8 тс.
Требуется определить диаметр и шаг хомутов у опоры, а также выяснить, на каком расстоянии от опоры и насколько может быть увеличен их шаг.
Расчет. Проверяем
условие (61) Руководства по проектированию предварительно-напряженных железобетонных конструкций из тяжелого бетона:
0,35Rпрbh0 = 0,35·60·20·37 = 15540 кгс > Q = 8,8 тс.
Так как 0,835
k1Rрbh0 = 0,835·0,6·5·20·37 = 1850 кгс <
Q, согласно
п. 3.21 того же Руководства, поперечную арматуру подбираем из расчета по прочности.
Согласно
п. 5.44 указанного Руководства, шаг
u1 у опоры должен быть не более 0,5
h = 20 см и не более 15 см, а в пролете - не более 3
h/4 = 30 см и не более 50 см.
Принимаем шаг хомутов у опоры u1 = 15 см, а в пролете u2 = 2u1 = 30 см.
Максимально допустимый шаг хомутов, согласно
формуле (67) того же Руководства, равен:

.
По
формуле (72), с учетом
п. 3.27 того же Руководства, определим требуемую интенсивность хомутов приопорного участка с учетом разгружающего влияния нагрузки
p1 =
p/2 = 0,5·32 = 16 кгс/см;

,
т.е. условия для хомутов, устанавливаемых по расчету, соблюдаются.
Площадь сечения хомутов в одной вертикальной плоскости определяем из
формулы (70) указанного Руководства:

.
Принимаем в поперечном сечении два хомута диаметром 6 мм (Fх = 0,57 см2).
Интенсивность хомутов в пролете определим по формуле

.
Так как интенсивность хомутов
qx.2 не удовлетворяет
условию (66), минимальную длину участка с шагом хомутов
u1 = 15 см определяем по
формуле (74) с заменой
Qх.б.2 на
Q = 0,835k1Rpbh0 = 0,835·0,6·5·20·37 = 1850 кгс = 1,85 тс.

.
Принимаем длину участка с шагом хомутов u = 15 см равной 2,17 м.
Пример 17. Дано: сплошная плита перекрытия без поперечной арматуры пролетом l = 3 м, толщиной h = 16 см; нагруженная равномерно распределенной нагрузкой q = 4 тс/м2; a = 2 см; бетон марки М 300 (Rр = 6,6 кгс/см2 при mб.1 = 0,8).
Требуется проверить прочность плиты на действие поперечной силы.
Расчет. h0 = 16 - 2 = 14 см.
Расчет ведем для полосы плиты шириной b = 100 см. Поперечная сила на опоре равна при p = qb = 4·1 = 4 тс/м:

.
Проверяем
условие (62) Руководства по проектированию предварительно-напряженных железобетонных конструкций из тяжелого бетона, принимая с учетом указаний
п. 3.34 настоящего Руководства:
k1 = 0,835·0,75 = 0,625;
k1Rpbh0 = 0,625·6,6·100·14 = 5780 кгс < Qмакс = 6 тс.
Следовательно, расчет по прочности необходим.
Прочность проверяем по
п. 3.34 Руководства по проектированию предварительно-напряженных железобетонных конструкций из тяжелого бетона, принимая, согласно
п. 3.34 настоящего Руководства,
k2 = 1,55 и
k3 = 1,25.
k2Rрbh0 = 1,55·6,6·100·14 = 14320 кгс > Qмакс = 6000 кгс,
p1 = p/2 = 0,5·4 = 2 тс/м = 20 кгс/см;

.
Так как
Qмакс = 6000 кгс <
k1Rрbh0 + 2
p1h0 = 6340 кгс,
условие (84) выполнено и прочность плиты по поперечной силе обеспечена.
Пример 18. Дано: железобетонная балка пролетом
l = 5,5 м; нагруженная равномерно распределенной нагрузкой
p = 2,5 тс/м; конструкция приопорного участка балки по
рис. 10; нагрузки малой суммарной длительности отсутствуют; бетон марки М 200
(Rпр = 60 кгс/см
2;
Rр = 5 кгс/см
2 при
mб.1 = 0,8); продольная арматура без анкеров из стали класса А-III (
Rа = 3400 кгс/см
2);
Fа = 9,82 см
2 (2

25);

= 7,6 см
2 (2

22); хомуты из стали класса А-I (
Rа = 2100 кгс/см
2) диаметром 6 мм и шагом
u = 15 см.
Рис. 10. К примеру расчета 18 (размеры, см)
Требуется проверить прочность наклонного сечения по изгибающему моменту.
Расчет. h0 = 40 - 4 = 36 см.
Поперечная сила на опоре (реакция) равна

.
Проверяем необходимость расчета наклонного сечения по изгибающему моменту. Для этого определим длину зоны анкеровки по
п. 3.46 Руководства по проектированию бетонных и железобетонных конструкций из тяжелого бетона (без предварительного напряжения) с учетом наличия хомутов, охватывающих продольную арматуру (
fх = 0,283 см
2):

;

,
mа.н = 0,5 (как для стержней периодического профиля);
Определяем расположение начала невыгоднейшего наклонного сечения, т.е. расположение нормального сечения, в котором

.
Момент трещинообразования Mт равен

.
Решая вышеприведенное квадратное уравнение, находим расстояние l1 от равнодействующей опорной реакции до сечения, в котором M = Mт:

.
Так как
l1 = 5 см < 9 см (см.
рис. 10), т.е. искомое нормальное сечение оказалось в пределах площадки опирания, принимаем начало наклонного сечения по грани опоры. Отсюда
l1 = 9 см;
lх =
lа =
lоп - 1 = 28 - 1 = 27 см.
Поскольку lх > l1, то Mх > Mт, и расчет наклонного сечения по изгибающему моменту необходим. Коэффициент условия работы продольной арматуры при этом равен

,
а расчетное сопротивление арматуры равно Rа = 3400·0,322 = 1095 кгс/см2.
Определяем длину проекции невыгоднейшего наклонного сечения. Для этого вычисляем:

;

,
тогда

.
Внешний изгибающий момент в нормальном сечении, проходящем через равнодействующую усилий сжатой зоны наклонного сечения (т.е. в сечении, расположенном на расстоянии l1 + c = 0,09 + 0,638 = 0,728 м от опорной реакции), равен

.
Высоту сжатой зоны определим по
п. 3.11 настоящего Руководства:

;
принимаем

.
Проверяем прочность сечения:
т.е. прочность наклонного сечения по изгибающему моменту обеспечена.
Расчет пространственных сечений
3.35. Расчет пространственных сечений по прочности следует производить по
пп. 3.61 -
3.69 Руководства по проектированию предварительно-напряженных железобетонных конструкций из тяжелого бетона, с учетом следующих изменений:
величину предельной поперечной силы
Qх.б следует определять по
п. 3.34 настоящего Руководства;
граничные значения высоты сжатой зоны

следует определять согласно
п. 3.6 настоящего Руководства;
проверку прочности нормальных сечений при

следует производить согласно
п. 3.11 настоящего Руководства;
расчетные сопротивления поперечной арматуры
Rа.х следует принимать по
п. 2.16 настоящего Руководства.
Расчет железобетонных элементов на местное действие нагрузки
3.36. Расчет элементов на местное действие нагрузки (на местное сжатие, на продавливание и на отрыв) следует производить по
пп. 3.95 -
3.101 Руководства по проектированию бетонных и железобетонных конструкций из тяжелого бетона (без предварительного напряжения), принимая:
расчетные сопротивления бетона
Rпр и
Rр - по
табл. 9 настоящего Руководства;
расчетные сопротивления поперечной арматуры
Ra.x - с учетом указаний
п. 2.16 настоящего Руководства;
при расчете (в случае необходимости) консольных частей фундаментов на действие поперечной силы должны быть учтены указания
п. 3.34 настоящего Руководства.
3.37. Короткие консоли следует рассчитывать по
пп. 3.102 и
3.103 Руководства по проектированию бетонных и железобетонных конструкций из тяжелого бетона (без предварительного напряжения), принимая коэффициент 1,2 в
условии (198) равным 1 и принимая правую часть этого условия не более 2,25
Rрbh0.
При

вместо
условия (198) указанного Руководства рекомендуется использовать условие

, (109)
где

- определяется по
табл. 17 настоящего Руководства;
k4 - коэффициент, определяемый согласно
п. 3.102 указанного Руководства.
| Коэффициент  при значении a/ h0 |
0,3 | 0,4 | 0,5 | 0,6 | 0,7 | 0,8 | 0,9 |
0,05 | 0,122 | 0,09 | 0,071 | 0,059 | 0,05 | 0,043 | 0,038 |
0,1 | 0,25 | 0,187 | 0,148 | 0,122 | 0,104 | 0,09 | 0,079 |
0,15 | 0,36 | 0,279 | 0,225 | 0,187 | 0,159 | 0,138 | 0,122 |
0,2 | 0,446 | 0,36 | 0,297 | 0,25 | 0,214 | 0,187 | 0,165 |
0,25 | 0,512 | 0,427 | 0,36 | 0,308 | 0,267 | 0,234 | 0,208 |
0,3 | 0,563 | 0,481 | 0,415 | 0,36 | 0,316 | 0,279 | 0,25 |
0,35 | 0,602 | 0,526 | 0,461 | 0,406 | 0,36 | 0,321 | 0,289 |
0,4 | 0,634 | 0,563 | 0,5 | 0,446 | 0,4 | 0,36 | 0,326 |
0,45 | 0,659 | 0,593 | 0,534 | 0,481 | 0,435 | 0,395 | 0,36 |
0,5 | 0,681 | 0,619 | 0,563 | 0,512 | 0,467 | 0,427 | 0,391 |
Расчет закладных деталей и соединений элементов
| | ИС МЕГАНОРМ: примечание. В официальном тексте документа, видимо, допущена опечатка: пункт 3.144 в "Руководстве по проектированию бетонных и железобетонных конструкций из тяжелого бетона (без предварительного напряжения)" отсутствует. Возможно, имеется в виду пункт 3.114. | |
3.38. Расчет закладных деталей и соединений элементов (стыков сборных колонн и бетонных шпонок) следует производить по
пп. 3.104 -
3.144 Руководства по проектированию бетонных и железобетонных конструкций из тяжелого бетона (без предварительного напряжения) с учетом следующих указаний:
а) расчет замоноличенных стыков колонн, предусмотренный
п. 3.112 указанного Руководства, следует производить по
пп. 3.25 -
3.27 и
3.33 настоящего Руководства, определяя значение

по
формуле (18) или
(63) настоящего Руководства;
б) расчет стыков, осуществляемых насухо без замоноличивания (сферические стыки колонн и т.п.), следует рассчитывать с учетом косвенного армирования по
пп. 3.23 и
3.24 настоящего Руководства и коэффициента условий работы 0,65, вводимого на расчетное сопротивление бетона

.
Примечание. Расчетные сопротивления бетона замоноличивания следует принимать согласно
Руководству по проектированию бетонных и железобетонных конструкций из тяжелого бетона (без предварительного напряжения).
Примеры расчета
Пример 19. Дано: стык колонны
(рис. 11); бетон колонны марки М 400 (
Rпр = 110 кгс/см
2 при
mб.1 = 0,8); бетон замоноличивания - цементный марки М 300 (
Rпр = 115 кгс/см
2 при
mб.1 = 0,85); арматурные выпуски класса А-III (
Rа =
Rас = 3400 кгс/см
2) площадью сечения

(4

36); сетки косвенного армирования из стержней класса А-III диаметром 8 мм расположены с шагом
s1 = 7 см как в бетоне колонны, так и в бетоне замоноличивания; продольная сила в стадии эксплуатации
N = 380 тс; ее эксцентрицитет в перпендикулярном к подрезкам направлении с учетом прогиба колонн
e0 = 5,4 см.
Требуется проверить прочность стыка в стадии эксплуатации.
Расчет. Размеры сечения принимаем по осям крайних стержней сеток, т.е.
b =
h = 36 см;
h0 = 33 см (см.
рис. 11).
(размеры, см)
В соответствии с указаниями
п. 3.23 настоящего Руководства, определяем расчетные сопротивления бетона колонны и бетона замоноличивания по
п. 3.60 Руководства по проектированию бетонных и железобетонных конструкций из тяжелого бетона (без предварительного напряжения).
Для бетона колонны

;
n1 = 5;
l1 = 17 см;
n2 = 3;
l2 = 36 см;
fс1 =
fс2 = 0,503 см
2 (

8);

;

;

.
Отсюда значение

, с учетом коэффициента условий работы

, равно:

.
Для бетона замоноличивания в одной из подрезок:

:
n1 = 5;
l1 = 6,5 см;
n2 = 2;
l2 = 36 см;
fc1 =
fc2 = 0,503 (

8);

;

;

.
Значение

, с учетом коэффициента условий работы

, равно

.
Значение

определяем по
формуле (63) по марке бетона замоноличивания, поскольку подрезка располагается по всей ширине наиболее сжатой грани колонны, при этом принимаем минимальное значение

:

- принимаем

;

- принимаем

.
Приводим сечение стыка к бетону колонны, при этом ширина подрезки становится равной:

,
Прочность стыка проверяем по
п. 3.33 настоящего Руководства (учитывая непрямоугольную форму приведенного сечения), принимая границу сжатой зоны параллельной подрезке (угол

).
Принимаем для арматуры, расположенной у наиболее сжатой грани i = 1, а для арматуры, расположенной у растянутой (наименее сжатой) грани i = 2.

.
Определяем высоту сжатой зоны x.
Первое приближение. Принимаем

.

кгс/см
2.
Принимаем

.
Площадь бетона сжатой зоны:

.

,
т.е.
условие (97) не соблюдается, поэтому надо увеличить высоту сжатой зоны.
Второе приближение. Принимаем

. Так как
x = 32,4 см >

,

находим по
формуле (99):

;

.
Так как x > h - hп = 36 - 8 = 28 см, величина Fб равна:
Fб = 34,9·8 + 36·20 + 34,9(x - 28) = 999,2 + 34,9(32,4 - 28) = 1152 см2.
Проверяем
условие (97): 189·1152 - 40,7(-729 - 3400) - 380000 = 5778 > 0,
т.е.
условие (97) не соблюдается и высоту сжатой зоны необходимо уменьшить.
Третье приближение. Принимаем

.

;

;
Так как x > h - hп = 36 - 8 = 28 см.
Fб = 34,9·8 + 36·20 + 34,9(32,05 - 28) = 1140,5 см2.
Проверяем
условие (97): 189·1140,5 - 40,7 (-641 - 3400) - 380000 = 23 кгс.
Так как погрешность очень мала

, принимаем окончательно
x = 32,05 см.
Прочность стыка проверяем по
условию (95). Для этого вычисляем:

;
S
a2 = 0;

;
т.е. прочность сечения обеспечена.
РАСЧЕТ ЖЕЛЕЗОБЕТОННЫХ КОНСТРУКЦИЙ НА ВЫНОСЛИВОСТЬ
3.39. Расчет железобетонных конструкций на выносливость следует производить по
пп. 3.72 -
3.75 и
3.77 Руководства по проектированию предварительно-напряженных железобетонных конструкций из тяжелого бетона, принимая:
расчетные сопротивления бетона - по
табл. 9 настоящего Руководства при
mб1 = 1 с умножением на коэффициент условий работы
mб2, определяемый по
п. 3.40 настоящего Руководства;
расчетное сопротивление арматуры - с учетом указаний
п. 2.16 "б" настоящего Руководства;
коэффициент приведения арматуры к бетону
n' - по
табл. 18 настоящего Руководства.
Значения коэффициента приведения n' при проектной марке бетона |
М 200 | М 250 | М 300 | М 350 | М 400 | М 450 | М 500 | М 600 |
40 | 35 | 30 | 27,5 | 25 | 22,5 | 20 | 17 |
3.40. Коэффициенты условий работы бетона
mб2, применяемые при расчете конструкций на действие многократно повторяющейся нагрузки, определяются в зависимости от коэффициента асимметрии цикла напряжений в бетоне

:

, (110)
где

и

- соответственно наименьшее и наибольшее значения напряжений в бетоне в пределах цикла изменения нагрузки, определяемые по
пп. 3.73 и
3.74 Руководства по проектированию предварительно-напряженных железобетонных конструкций из тяжелого бетона, с учетом указаний
п. 3.39 настоящего Руководства; напряжения принимаются со своими алгебраическими знаками, причем при расчете на выносливость сечений, нормальных к продольной оси элемента, за положительные принимаются напряжения сжатия.
Коэффициент
mб2 принимается по
табл. 19 настоящего Руководства.
Значения коэффициента условий работы mб2 при коэффициенте асимметрии цикла напряжений в бетоне  |
<= 0,1 | 0,2 | 0,3 | 0,4 | 0,5 | 0,6 | 0,7 |
0,5 | 0,55 | 0,6 | 0,7 | 0,75 | 0,8 | 0,85 |
При

расчет на выносливость сжатого бетона можно не производить.
При проверке образования наклонных трещин коэффициенты условий работы mб2, вводимые в расчетные сопротивления Rр(RрII) и Rпр(RпрII), определяются, соответственно, в зависимости от величин:

и

, (111)
где

,

,

,

- соответственно минимальные и максимальные главные сжимающие и главные растягивающие напряжения в бетоне в пределах цикла изменения нагрузки, определяемые по
п. 4.12 Руководства по проектированию предварительно-напряженных железобетонных конструкций из тяжелого бетона, по полному приведенному сечению.
При определении напряжений бетона, входящих в
формулы (110) и
(111) настоящего пункта, используются те же нагрузки, что и при расчете на выносливость.
Если число циклов повторения нагрузок значительно превышает 2·106 (т.е. порядка 10k, где k >= 7), коэффициент условий работы mб2 следует уменьшить на величину 0,03 (k - 6).
4. РАСЧЕТ ЭЛЕМЕНТОВ ЖЕЛЕЗОБЕТОННЫХ КОНСТРУКЦИЙ
ПО ПРЕДЕЛЬНЫМ СОСТОЯНИЯМ ВТОРОЙ ГРУППЫ
РАСЧЕТ ЖЕЛЕЗОБЕТОННЫХ ЭЛЕМЕНТОВ ПО ОБРАЗОВАНИЮ ТРЕЩИН
4.1. Расчет железобетонных элементов по образованию трещин, нормальных и наклонных к продольной оси, следует производить согласно
пп. 4.1 -
4.16 Руководства по проектированию предварительно-напряженных железобетонных конструкций из тяжелого бетона с учетом следующих указаний:
а) в расчет по образованию нормальных трещин вместо модуля упругости бетона
Eб, вводится модуль
, где
p - коэффициент, учитывающий неупругие деформации бетона сжатой и растянутой зон, принимаемый равным 0,9, в соответствии с чем под величиной
n следует понимать
n =
Eа/0,9
Eб;
б) напряжения в бетоне сжатой зоны распределяются по линейному закону (при двузначной эпюре напряжений - по треугольнику), в соответствии с чем расстояние от центра тяжести приведенного сечения до ядровой точки (условной), наиболее удаленной от растянутой зоны, трещинообразование которой проверяется, rу для изгибаемых и внецентренно-сжатых элементов следует определять по формуле

; (112)
в) расчетное сопротивление бетона растяжению

следует заменить на расчетное сопротивление бетона растяжению

, определяемое по
табл. 8 настоящего Руководства в зависимости от проектной марки бетона;
г) при проверке по образованию нормальных трещин для элементов с ненапрягаемой арматурой усилие
N0 рассматривают как внешнюю растягивающую силу, величина и положение которой определяются по
п. 1.26 Руководства по проектированию предварительно-напряженных железобетонных конструкций из тяжелого бетона, принимая напряжения

и

численно равными величине потерь от усадки бетона по
табл. 2, поз. 8 настоящего Руководства; при

допускается принимать усилие от усадки бетона равным нулю при одновременном принятии

;
д) коэффициент условий работы бетона
mб2 при расчете по образованию трещин при действии многократно повторяющейся нагрузки следует определять по
п. 3.38 настоящего Руководства;
е) значение коэффициента k1 при проверке необходимости расчета изгибаемых элементов по образованию наклонных трещин следует умножать на дополнительный коэффициент, равный 0,835.
Допускается принимать без расчета, что изгибаемые элементы прямоугольного и таврового со сжатыми полками сечений с ненапрягаемой арматурой имеют на наиболее напряженных участках трещины, нормальные к продольной оси, если требуемый по расчету коэффициент армирования сечения

больше 0,005.
Пример 20. Дано: плита перекрытия (см.
рис. 1) из бетона марки М 300 (
RрII = 15 кгс/см
2), пролетом 5,9 м, загруженная равномерно распределенной нагрузкой
q = 1160 кгс/м
2, в том числе от собственного веса 336 кгс/см
2. Геометрические характеристики приведенного сечения, с учетом указаний
п. 4.1 "а" настоящего Руководства:
Fп = 4012 см
2; расстояние от центра тяжести сечения до растянутой (нижней) грани
yц = 7,7 см; момент инерции приведенного сечения
Iп = 88725 см
4. Усилие предварительного обжатия, с учетом первых потерь и
mт = 1,
N01 = 109,2 тс; его эксцентрицитет
eон1 = 5,7 см; усилие предварительного обжатия, с учетом всех потерь и
mт = 1,
N01 = 102 тс; его эксцентрицитет
eон2 = 5,73 см; требования к трещиностойкости 3-й категории.
Требуется рассчитать плиту по образованию нормальных трещин в верхней и нижней зонах сечения в середине пролета.
Расчет. Определяем моменты сопротивления для растянутой грани и ядровые расстояния по
формуле (112) настоящего Руководства при действии внешней нагрузки (растянутая грань - нижняя) и предварительного обжатия (предполагаемая растянутая грань - верхняя):

;

;

;

.
Находим моменты сопротивления

и

:

;
(

- см.
табл. 35 Руководства по проектированию предварительно-напряженных железобетонных конструкций из тяжелого бетона).
Находим изгибающие моменты в середине пролета от полной нагрузки M и от собственного веса Mс.в:

;

.
Здесь 5,7 м - расстояние между подкладками при хранении плиты.
Проверяем трещиностойкость нижней зоны сечения в предположении отсутствия верхних (начальных) трещин:
т.е. трещины в нижней зоне плиты образуются.
Проверяем образование верхних трещин:
т.е. верхние трещины не образуются и уточнения Mт не требуется.
Пример 21. Дано: плита покрытия (см.
рис. 12) из бетона марки М 300 (
RрII = 15 кгс/см
2). Геометрические характеристики приведенного сечения, с учетом
п. 4.1 настоящего Руководства: площадь
Fп = 599 см
2; расстояние от нижней грани до центра тяжести
yц = 21,4 см; момент сопротивления для нижней (растянутой от внешней нагрузки) грани

, для верхней грани -

; усилие предварительного обжатия, с учетом первых потерь и
mт = 1
, N01 = 20,12 тс; его эксцентрицитет
e0н1 = 16,1 см; усилие предварительного обжатия, с учетом всех потерь и
mт = 1,
N02 = 15 тс; его экцентрицитет
e0н2 = 16 см; нагрузка от собственного веса
p = 110 кгс/м; требования к трещиностойкости 3-й категории: монтажные петли расположены на расстоянии 80 см от края плиты.
Требуется рассчитать плиту по образованию верхних трещин и определить величину Mт в сечении с монтажными петлями при подъеме плиты.
Расчет. Определяем ядровые расстояния
rу.в и
rу.н и моменты сопротивления

и

, необходимые для проверки трещиностойкости соответственно нижней и верхней зон сечения:

;

;

;
(

и

- из
табл. 35 Руководства по проектированию предварительно-напряженных железобетонных конструкций из тяжелого бетона).
Вычисляем величину Mт в предположении отсутствия верхних (начальных) трещин:

.
Проверяем образование верхних трещин. Для этого вычисляем момент от собственного веса при подъеме плиты в сечении, где установлены монтажные петли, с учетом коэффициента динамичности 1,5:

;
(l = 0,8 м - вылет консоли при подъеме плиты).
Этот момент в рассматриваемом сечении растягивает верхнюю грань, поэтому его следует прибавлять к моменту от усилия обжатия:
Таким образом, верхние трещины образуются.
Уточним значение
Mт в связи с наличием верхних трещин (уточненное значение
Mт требуется, например, для выяснения необходимости расчета ширины раскрытия наклонных трещин на уровне центра тяжести растянутой арматуры согласно
п. 4.2 настоящего Руководства).
Для этого вычисляем:

;

;
принимаем cт = 1,4;
и уточненное значение Mт:

.
Пример 22. Дано: плита перекрытия с исходными данными по
примеру 20 с арматурой периодического профиля класса Ат-V диаметром 12 мм без анкеров.
Требуется проверить, обеспечено ли отсутствие наклонных трещин в пределах длины зоны передачи напряжений, а также установить необходимость расчета по раскрытию наклонных трещин.
Расчет. По данным
примера 20 определяем
Qмакс как опорную реакцию:

.
Поскольку
Qмакс = 8080 кгс < 0,835
k1RpIIbh0 = 0,835·0,75·15·236·14 = 31036 кгс, наклонные трещины отсутствуют и расчет ширины их раскрытия производить не требуется (см
п. 4.12 Руководства по проектированию предварительно-напряженных железобетонных конструкций из тяжелого бетона).
Пример 23. Дано: плита покрытия (см.
рис. 12); напрягаемая арматура без анкеров; расстояние от центра тяжести приведенного сечения до нижней грани
yц = 21,1 см; момент инерции приведенного сечения
Iп = 82457 см
4; предварительное напряжение, с учетом потерь по
поз. 1 -
5 табл. 2 настоящего Руководства,

; поперечная сила в опорном сечении от внешней нагрузки при
n = 1
Qмакс = 6 тс; расстояние от опорной реакции до сечения, в котором
M =
Mт = 4,4 тс·м,
lтр = 74,2 см; остальные данные по
примеру 21.
Требуется проверить, обеспечено ли отсутствие трещин в пределах длины зоны передачи напряжений, а также установить необходимость расчета по раскрытию наклонных трещин.
Расчет. Определяем длину зоны передачи напряжений
lп.н согласно
п. 2.16 настоящего Руководства, имея в виду, что

:
(
mп.н = 0,3 и

- из
табл. 23 Руководства по проектированию предварительно-напряженных железобетонных конструкций из тяжелого бетона).
Поскольку сечение, в котором M = Mт находится вне пределов зоны передачи напряжений (lтр = 74,2 см > lп.н = 41,8 см), нормальные трещины в пределах зоны передачи напряжений отсутствуют.
Так как
Qмакс = 6000 кгс > 0,835 k1RрIIbh0 = 0,835·0,6·15·9,5·30 = 2140 кгс,
необходим расчет по образованию наклонных трещин.
Для проверки образования этих трещин в пределах длины зоны передачи напряжений рассмотрим сечение
I на грани опоры и сечение
II на расстоянии
lп.н от торца плиты (см.
рис. 13). Согласно
п. 1.16 настоящего Руководства, расчет в обоих сечениях производим на уровне центра тяжести приведенного сечения.
Определяем значения N02 в рассматриваемых сечениях.
Для сечения
I lx = 20 см <
lп.н = 41,8 см и величина

рассчитывается с учетом коэффициента
mа.з по
табл. 22 Руководства по проектированию предварительно-напряженных железобетонных конструкций из тяжелого бетона;

;

.
Для сечения
II lx =
lп.н и, следовательно,

.
Определяем нормальные напряжения

на уровне центра тяжести сечения, т.е. при
y0 = 0:

;

.
Определяем скалывающие напряжения

на этом же уровне. Для этого вычисляем статический момент части площади приведенного сечения, расположенной выше рассматриваемого волокна относительно оси, проходящей через центр тяжести сечения:
Примем, что величина Q в обоих сечениях равна Qмакс.
Тогда

.
Для сечения
I, которое расположено от сосредоточенной силы (опорной реакции) на расстоянии 6,5 см < 0,7
h = 0,7·35 = 24,5 см, согласно
п. 4.13 Руководства по проектированию предварительно-напряженных железобетонных конструкций из тяжелого бетона, необходимо учесть влияние местного действия
Qмакс. Вычисляем:

;

;
(знак минус означает, что напряжение

сжимающее).
Для сечения
II при
xII = 28,3 см > 0,7
h = 24,5 см напряжение

.
Определяем главные растягивающие и главные сжимающие напряжения:
для сечения I:

;

;
для сечения II:

;

;

.
Так как в обоих сечениях

и

, то трещиностойкость зоны передачи напряжений обеспечена.
Для выяснения необходимости расчета по раскрытию наклонных трещин согласно
пп. 4.2 и
4.10 настоящего Руководства, проверяем, образуются ли наклонные трещины в сечении
III на расстоянии
h0 = 30 см от точки приложения опорной реакции и в сечении
IV, где
M =
Mт (см.
рис. 13).
Поскольку в сечениях
III и
IV величина
Q несколько меньше, а величины
N02,

и геометрические характеристики такие же, как в сечении II, то на уровне центра тяжести наклонные трещины в сечениях
III и
IV не образуются.
Проверяем условия образования наклонных трещин на уровне примыкания сжатой полки к ребру (при y0 = 8,9 см).
Для упрощения расчета примем: QIII = QIV = Qмакс = 6 тс,

;

.
Нормальные напряжения

определяем по формуле:

;

;

.
Скалывающие напряжения при

.
определяем по формуле

.
Определяем главные растягивающие и главные сжимающие напряжения:

;

;

;

;

;

.
Так как в сечениях
III и
IV 
и

, то трещины на уровне примыкания сжатой полки к ребру также не образуются. Следовательно, расчет рассматриваемого элемента по раскрытию наклонных трещин не производится.
Пример 24. Дано: балка таврового сечения из бетона марки М 200 (
RрII = 11,5 кгс/см
2) с размерами
b = 10 см;
h = 30 см;
h0 = 27 см;

;

, загруженная сосредоточенной силой в середине пролета; арматура ненапрягаемая класса А-III: растянутая 2

20 (
Fа = 6,28 см
2) на расстоянии

от нижней грани сечения; сжатая 2

10 (

) на расстоянии

от верхней грани сечения; поперечная арматура 2

3BI с шагом
u = 15 см; максимальный изгибающий момент
M = 4,7 тс·м; максимальная поперечная сила на опоре
Qмакс = 2 тс; требования к трещиностойкости 3-й категории.
Требуется проверить необходимость расчета по раскрытию нормальных и наклонных трещин.
Расчет. Коэффициент армирования сечения

, следовательно, согласно
п. 4.1 настоящего Руководства, нормальные трещины образуются и расчет их раскрытия необходим.
Для проверки необходимости расчета по раскрытию наклонных трещин проверяем образование таких трещин согласно
п. 4.1 настоящего Руководства и
п. 4.5 Руководства по проектированию бетонных и железобетонных конструкций из тяжелого бетона (без предварительного напряжения), имея в виду, что величина
Q практически не изменяется по длине балки.
Qмакс = 2000 кгс > 0,835 k1RрIIbh0 = 0,835·0,6·11,5·10·27 = 1556 кгс,
следовательно, наклонные трещины образуются по всей длине элемента и расчет ширины их раскрытия, необходим как на уровне центра тяжести растянутой арматуры, так и в средней части высоты сечения.
РАСЧЕТ ЖЕЛЕЗОБЕТОННЫХ КОНСТРУКЦИЙ ПО РАСКРЫТИЮ ТРЕЩИН
4.2. Железобетонные элементы рассчитываются по раскрытию трещин, нормальных к продольной оси и наклонных к продольной оси.
Расчет ширины раскрытия трещин, нормальных к продольной оси элемента, производится по
пп. 4.4 -
4.8 настоящего Руководства на участках элемента, где

(см.
п. 4 настоящего Руководства). При этом влияние поперечных сил на ширину раскрытия трещин не учитывается.
Расчет ширины раскрытия трещин, наклонных к продольной оси элемента, производится:
а) на уровне центра тяжести продольной растянутой арматуры по
п. 4.9 настоящего Руководства в сечениях, где, согласно расчету (см.
п. 4.1 настоящего Руководства), образуются наклонные трещины и
M =
Mт. При этом учитывается влияние и изгибающего момента, и поперечных сил на ширину раскрытия трещин;
б) в средней части высоты сечения - по
п. 4.10 настоящего Руководства на участках, где, согласно расчету, образуются наклонные трещины. При этом влияние изгибающего момента на ширину раскрытия трещин не учитывается.
4.3. Расчет по раскрытию трещин производится по
п. 1.16 настоящего Руководства, причем для элементов 2-й категории трещиностойкости ширина кратковременного раскрытия трещин определяется от кратковременного действия нагрузок, указанных в
табл. 2 Руководства по проектированию предварительно-напряженных железобетонных конструкций из тяжелого бетона, а для элементов 3-й категории ширина длительного раскрытия трещин определяется от длительного действия нагрузок, указанных в той же таблице, а ширина кратковременного раскрытия трещин - как сумма ширины их раскрытия от длительного действия постоянных и длительных нагрузок и приращения ширины раскрытия от действия кратковременной нагрузки - по формуле

, (113)
где

- ширина раскрытия трещин от кратковременного действия всей (полной) нагрузки;

- начальная (кратковременная) ширина раскрытия трещин от постоянных и длительных нагрузок (при кратковременном их действии);

- ширина длительного раскрытия трещин от действия постоянных и длительных нагрузок.
Расчет по раскрытию трещин,
нормальных к продольной оси элемента
4.4. Ширина раскрытия трещин, нормальных к продольной оси элемента,
aт должна определяться по формуле

, (114)
где cд - коэффициент, принимаемый равным при учете:
кратковременных нагрузок и кратковременного действия постоянных и длительных нагрузок - 1; длительного действия постоянных и длительных нагрузок, а также при действии многократно повторяющихся нагрузок - 1,5;

- коэффициент, принимаемый равным:
при стержневой арматуре:
периодического профиля . . . . . . . . . . . . 1;
гладкой. . . . . . . . . . . . . . . . . . . . 1,3;
при проволочной арматуре:
периодического профиля . . . . . . . . . . . . 1,2;
гладкой. . . . . . . . . . . . . . . . . . . . 1,4;
K - коэффициент, определяемый по формуле

; (115)
при однозначной эпюре напряжений в сечении величину K допускается определять по формуле

, (116)
величина K в обоих случаях принимается не менее 0,4;

- напряжения в растянутой арматуре (для предварительно-напряженных элементов - приращение напряжений), определяемые по
п. 4.5 настоящего Руководства;
Gа - модуль деформаций смещения арматуры и бетона на участках между трещинами, принимаемый равным:
для бетона на известково-песчаном вяжущем - 0,67

;
" на известково-шлаковом " - 0,62

;
Fа и Pа - соответственно площадь и периметр всех стержней растянутой арматуры.

и

- безразмерные характеристики сечения, определяемые по
формуле (147) настоящего Руководства;

- относительная высота сжатой зоны бетона, определяемая как при расчете по деформациям согласно
п. 4.21 с учетом указаний
п. 4.6 настоящего Руководства и принимаемая

.
4.5. Напряжения (или их приращения для предварительно-напряженных элементов) в растянутой арматуре следует определять по формулам:
для центрально-растянутых элементов

; (117)
для внецентренно-растянутых при e0с >= 0,8h0, изгибаемых и внецентренно-сжатых элементов

; (118)
для внецентренно-растянутых элементов при e0c < 0,8h0

. (119)
Nс и
Mз - соответственно суммарная продольная сила и заменяющий момент, определяемые согласно указаниям в
п. 4.19 настоящего Руководства;
z1 - величина, характеризующая положение внутренних усилий в сечении, определяемая как при расчете по деформациям согласно
п. 4.22 с учетом указаний
п. 4.6 настоящего Руководства;
zа - расстояние между центрами тяжести растянутой и сжатой арматуры.
4.6. При определении ширины раскрытия трещин для элементов 3-й категории трещиностойкости с использованием
формулы (113) (см.
п. 4.3 настоящего Руководства) значения

и
z1, входящие в
формулы (115) и
(118), следует вычислять по значениям
p и

, отвечающим кратковременному нагружению, при этом значения
e1 при определении

и

должны отвечать действию всей нагрузки (постоянной, длительной и кратковременной), а при определении

- действию постоянной и длительной нагрузки.
Допускается при определении
, 
и

принимать величины

и
z1 из расчета по деформациям такими же, как при определении соответственно

,

и

(см.
п. 4.23 настоящего Руководства).
4.7. При расположении растянутой арматуры в несколько рядов по высоте растянутой зоны ширина раскрытия трещин на уровне стержней, наиболее удаленных от нейтральной линии, определяется по
формуле (114) настоящего Руководства с умножением полученной величины на коэффициент

, (120)
где c - расстояние от центра тяжести всей растянутой арматуры до центра тяжести стержней, наиболее удаленных от нейтральной линии.
Величина напряжения

с учетом коэффициента

не должна превышать
RаII для стержневой и 0,8
RаII для проволочной арматуры.
4.8. В элементах, имеющих начальные трещины в сжатой зоне, ширину раскрытия трещин, вычисленную по
формуле (114), следует увеличивать на 15%.
Глубина начальных трещин в сжатой зоне hт, образующихся при предварительном обжатии, транспортировании или монтаже элементов, должна определяться по формуле

(121)
и должна быть не более 0,5
h (здесь

- высота сжатой зоны при нагрузках, учитываемых в стадии изготовления).
При
m > 0,5 (см.
п. 4.9 Руководства по проектированию предварительно-напряженных железобетонных конструкций из тяжелого бетона)
условие (121) можно не проверять.
Раскрытие начальных трещин в стадии изготовления следует определять по
формулам (114) и
(118) с учетом указаний
п. 4.21 Руководства по проектированию предварительно-напряженных железобетонных конструкций из тяжелого бетона.
Расчет по раскрытию трещин,
наклонных к продольной оси элемента
Расчет по раскрытию наклонных трещин на уровне
центра тяжести продольной растянутой арматуры
4.9. Ширину раскрытия наклонных трещин на уровне центра тяжести продольной растянутой арматуры следует определять по формуле

; (122)
где M и Q - изгибающий момент и поперечная сила в сечении, где M = Mт;
cд,

,
Gа,
Pа и
K - обозначения те же, что и в
формуле (114) настоящего Руководства;
z1 - обозначение то же, что и в
п. 4.5 настоящего Руководства;
Iп - момент инерции приведенного сечения, определяемый без учета наличия трещин;
S - статический момент площади приведенного сечения растянутой арматуры и площади растянутого бетона высотой

относительно оси, перпендикулярной к плоскости изгиба и проходящей через центр тяжести приведенного сечения;
b - ширина сечения на уровне центра тяжести продольной арматуры.
Расчет по раскрытию наклонных трещин
в средней части высоты сечения
4.10. Ширину раскрытия наклонных трещин в средней части высоты сечения изгибаемых элементов, армированных поперечной арматурой, следует определять по
п. 4.23 Руководства по проектированию предварительно-напряженных железобетонных конструкций из тяжелого бетона, принимая:
значения
cд - согласно
п. 4.4 настоящего Руководства;
значения
u0 - с учетом указаний
п. 4.12 Руководства по проектированию бетонных и железобетонных конструкций из тяжелого бетона (без предварительного напряжения).
Пример 25. Дано: плита перекрытия с исходными данными по
примеру 20.
Требуется рассчитать плиту по ширине раскрытия нормальных трещин в стадии эксплуатации с учетом того, что кратковременная часть нагрузки составляет 150 кгс/м2.
Расчет. Согласно
пп. 1.16 и
1.17 настоящего Руководства, для рассматриваемой плиты необходимо определить ширину раскрытия трещин от действия постоянных и длительных нагрузок

и ширину раскрытия трещин от действия постоянных, длительных и кратковременных нагрузок

. Расчет производим для сечения в середине пролета, где в данном случае раскрытие нормальных трещин наибольшее (элемент постоянного сечения по длине, максимальный изгибающий момент в середине пролета).
Заметим, что в этом же сечении должна определяться кривизна при расчете элемента по деформациям, поэтому величины

и
z1, необходимые для определения

и

, принимаем как при расчете по деформациям, что допускается
п. 4.6 настоящего Руководства.
Определение 
Расчет производим по
пп. 4.4 и
4.5 настоящего Руководства. Согласно этим указаниям, для определения напряжений в арматуре

и коэффициента
K, входящих в
формулу (114), необходимо определить относительную высоту сжатой зоны по
формуле (146) настоящего Руководства. Для этого вычисляем коэффициенты
, p,

,

,

,

,

и

по
п. 4.21 настоящего Руководства:
Nc =
N02 = 102 тс;

;

;
(

- см.
п. 2.11 настоящего Руководства);

;

;

;

.
Коэффициент

определяем по
п. 4.20 настоящего Руководства:
Wб.т = 0,292bh2 = 0,292·236·162 = 17641 см3;
Mб.т = 1,4Wб.тRрII = 1,4·17641·15 = 370471 кгс·см;
Mс = M3 - 0,65Nсh0 = 1188000·0,65·102000·14 = 259800 кгс·см
(здесь
M3, согласно
п. 4.20, определено от действия постоянной, длительной и кратковременной нагрузок);
(здесь

= 0,35 - из
табл. 22 настоящего Руководства). Принимаем

.

.
Определим значения
, b и
c, имея в виду, что

:

;
Таким образом

.
Решаем это уравнение методом Ньютона, имея в виду, что первая производная

равна:

.
Примем

, тогда в первом приближении
При втором приближении, принимая

, получим:

;

.
Принимаем окончательно

.
Так как эпюра напряжений в сечении двузначна (имеется сжатая и растянутая зоны), коэффициент
K вычисляем по
формуле (115) при

;

.

,
принимая: cд = 1,5 (длительное действие нагрузки);

(стержневая арматура периодического профиля);

;

(известково-песчаное вяжущее);

,
что не превышает предельно допустимого значения 0,3 мм (см.
табл. 1 Руководства по проектированию предварительно-напряженных железобетонных конструкций из тяжелого бетона).
Определение 
Величину

определяем по
формуле (113), имея в виду, что величина

совпадает с ранее определенной величиной

, т.е.

.
Согласно
п. 4.6 настоящего Руководства, при определении

и

используются одинаковые значения относительной высоты сжатой зоны

, вычисленные из
уравнения (146). Для определения

находим:

;

;

;

;

(здесь

- из
табл. 22 настоящего Руководства). Принимаем

.
Остальные параметры для
уравнения (146) такие же, как при определении

для вычисления

.
Определяем коэффициенты
, b и
c:

;
Получаем уравнение

.
Решая это уравнение, например, методом Ньютона, как при определении

, находим

.
Величина K равна:
Величина z1 равна:

.
Ширину раскрытия трещин при кратковременном действии всей нагрузки

и при кратковременном действии постоянной и длительной нагрузок

вычисляем по
формуле (114) при значении
cд = 1.
Определяем

:
Mз = 1188000 кгс·см;

;

.
Определяем

;

;

.
Определяем

по
формуле (113):

, что не превышает предельно допустимого значения 0,4 мм (см.
табл. 1 Руководства по проектированию предварительно-напряженных железобетонных конструкций из тяжелого бетона).
Пример 26. Дано: балка с исходными данными по
примеру 24; расстояние от нижней грани до центра тяжести приведенного сечения
yц + 16,03 см; момент инерции полного приведенного сечения
Iп = 58114 см
4; площадь приведенного сечения
Fп = 545 см
2; изгибающий момент и поперечная сила от кратковременной нагрузки составляют 20% полных величин; поперечная сила по длине пролета постоянная.
Требуется рассчитать балку по ширине раскрытия наклонных трещин.
Расчет. Так как по данным
примера 24 в пролете балки имеются как нормальные, так и наклонные трещины, то по
п. 4.2 настоящего Руководства ширину раскрытия наклонных трещин определяем дважды: на уровне центра тяжести растянутой арматуры в сечении, где
M =
Mт, и в средней части высоты сечения. При этом, поскольку рассматривается элемент 3-й категории трещиностойкости, в обоих случаях расчет производится с использованием
формулы (113) настоящего Руководства.
Определение ширины раскрытия наклонных трещин
на уровне центра тяжести растянутой арматуры
Вычисляем величину
Mт по
п. 4.1 настоящего Руководства, причем для упрощения расчета используем формулы
п. 4.3 Руководства по проектированию бетонных и железобетонных конструкций из тяжелого бетона (без предварительного напряжения):
(здесь

- см.

по
табл. 2 настоящего Руководства);

;

;

;

.
Для определения величин
K и
z1, входящих в
формулу (122) настоящего Руководства, необходимо определить относительную высоту сжатой зоны

в рассматриваемом сечении по
формуле (145) настоящего Руководства. При этом, согласно
п. 4.6 настоящего Руководства, величину

необходимо вычислить по значениям
p и

, отвечающим кратковременному действию нагрузки.

;

;

;

;

;
p = 0,9.
Для определения

, согласно
п. 4.20 настоящего Руководства, вычисляем:

;

;

;
Mc = M = Mт = 38385 кгс·см (изгибаемый элемент с ненапрягаемой арматурой).

.
Принимаем

.

.
Определим значения коэффициентов

и
b:

;

.
Таким образом, значения

находим из уравнения

,
откуда

.
Так как эпюра напряжений в сечении двузначна (имеется как сжатая, так и растянутая зона), величину
K определяем по
формуле (115) при

:
Принимаем K = 0,4.

;

.
Для определения S и Iп вычисляем:

;

;
Величины

,

и

вычисляем по
формуле (122) настоящего Руководства при

(стержневая арматура периодического профиля).
Величину

определяем при
cд = 1 (кратковременное действие нагрузки);
M = M
т = 38385 кгс·см;
Q =
Qмакс = 2000 кгс:
Величину

определяем при
cд = 1 (кратковременное действие нагрузки);
M = 0,8
Mт = 0,8·38385 = 30708 кгс·см;
Q = 0,8
Qмакс = 0,8·2000 = 1600 кгс. Следовательно,


.
Величину

определяем при
cд = 1,5 (длительное действие нагрузки);
M = 30708 кгс·см;
Q = 1600 кгс:

.
Ширину кратковременного раскрытия трещин определяем по
формуле (113) настоящего Руководства:

,
что не превышает предельно допустимой ширины 0,4 мм.
Ширина длительного раскрытия трещин равна

:

,
что также не превышает предельно допустимой ширины 0,3 мм.
Определение ширины раскрытия наклонных трещин
в средней части высоты сечения
Расчет производим согласно указаниям
п. 4.10 настоящего Руководства с использованием
формулы (113) настоящего Руководства. Величины
, 
и

вычисляем по
формуле (238) Руководства по проектированию предварительно-напряженных железобетонных конструкций из тяжелого бетона.
Определяем входящие в эту формулу коэффициенты
k,

,

,
cд, t:

;

(отгибы отсутствуют);

;
;

(стержневая арматура периодического профиля);
cд = 1,5 при определении

;
cд = 1 при определении

и

;

;
при определении

кгс/см
2;
при определении

и

кгс/см
2.
что не превышает предельно допустимой ширины длительного раскрытия 0,3 мм;
что меньше предельно допустимой величины 0,4 мм.
РАСЧЕТ ЖЕЛЕЗОБЕТОННЫХ ЭЛЕМЕНТОВ ПО ЗАКРЫТИЮ ТРЕЩИН
4.11. Расчет железобетонных элементов по закрытию трещин, нормальных и наклонных к продольной оси, следует производить по
пп. 4.24,
4.25 и
4.27 Руководства по проектированию предварительно-напряженных железобетонных конструкций из тяжелого бетона, с учетом следующих указаний:
величину

в условиях
(248) и
(249) указанного Руководства следует определять согласно
п. 4.5 настоящего Руководства с учетом коэффициента

по
формуле (120) настоящего Руководства;
величину

в условии
(249) указанного Руководства следует принимать численно равной сумме потерь по
табл. 2, поз. 6,
8 и
9, настоящего Руководства;
для участков элементов с начальными трещинами в сжатой зоне величину
N02 в
формуле (245) указанного Руководства следует умножать на коэффициент 0,935.
Пример 27. Дано: плита перекрытия (см.
рис. 1). Наибольший изгибающий момент от постоянных и длительных нагрузок
Mдл = 6,5 тс·м. Усилие предварительного обжатия, с учетом всех потерь и
mт < 1,
N0 = 92 тс. Требования к трещиностойкости 2-й категории. Остальные данные по
примерам 1,
20 и
25.
Требуется рассчитать плиту по закрытию нормальных трещин.
Расчет. Согласно указаниям
п. 4.11 настоящего Руководства, проверяем выполнение условий
(244) и
(248) Руководства по проектированию предварительно-напряженных железобетонных конструкций из тяжелого бетона.
MЯ = Mдл = 6,5 тс·м = 650000 кгс·см;
(здесь
e0.н2 = 5,73 см - из
примера 1;

см - из
примера 20). Следовательно, условие (244) выполняется.
Проверяем условие (248):
(здесь

- из
примера 1;

= 475 кгс/см
2 - из
примера 25). Следовательно, условие (248) также выполняется и закрытие нормальных трещин обеспечено.
РАСЧЕТ ЭЛЕМЕНТОВ ЖЕЛЕЗОБЕТОННЫХ КОНСТРУКЦИЙ
ПО ДЕФОРМАЦИЯМ
4.12. Деформации (прогибы, углы поворота) железобетонных элементов следует вычислять по формулам строительной механики, определяя входящие в них кривизны согласно указаниям настоящего раздела.
Кривизну и деформации железобетонных элементов необходимо отсчитывать от их начального состояния (для предварительно-напряженных элементов - от состояния до обжатия бетона).
4.13. Кривизну железобетонных элементов следует определять по средним деформациям в сжатой и растянутой зонах исходя из следующих основных положений
(рис. 14):
сечения после деформирования остаются плоскими как на участках, где в растянутой зоне имеются трещины, нормальные к продольной оси элемента, так и на участках, где эти трещины не образуются либо они закрыты;
напряжения в бетоне распределяются по линейному закону (треугольная форма эпюры напряжений) и определяются с учетом неупругих деформаций бетона (см.
п. 4.15 настоящего Руководства);
на участках элемента, где трещины в растянутой зоне не образуются либо они закрыты, сечения рассматриваются сплошными, состоящими из бетона и арматуры в сжатой и растянутой зонах;
на участках элемента, где в растянутой зоне имеются трещины, нормальные к продольной оси, сечения рассматриваются состоящими в сжатой зоне из бетона и сжатой арматуры (если она имеется), а в растянутой зоне - только из арматуры, напряжения в которой определяются с учетом стесняющего воздействия растянутого бетона путем деления модуля упругости арматуры
Eа на коэффициент

(см.
п. 4.20 настоящего Руководства).
а)
б)
Рис. 14. Схема усилий и эпюры деформаций и напряжений
в поперечном сечении железобетонного элемента
при расчете его по деформациям
(бетонная часть сечения заштрихована)
а - на участках без трещин в растянутой зоне;
б - на участках с трещинами в растянутой зоне;
1 - сечения; 2 - эпюры деформаций; 3 - схемы усилий
и эпюры напряжений
4.14. Элементы или их участки следует рассматривать работающими без трещин в растянутой зоне, если, согласно расчету по образованию трещин при действии постоянных, длительных и кратковременных нагрузок (при коэффициенте перегрузки
n = 1), трещины не образуются или они при действии нагрузок, учитываемых при расчете по деформациям (когда по указаниям
табл. 2 Руководства по проектированию предварительно-напряженных железобетонных конструкций из тяжелого бетона учитываются не все действующие на элемент нагрузки), надежно закрыты согласно расчету по закрытию трещин.
4.15. Неупругие деформации бетона сжатой и растянутой зон на участках элемента без трещин и бетона сжатой зоны на участках с трещинами должны учитываться умножением величины начального модуля упругости бетона
Eб на коэффициент
p, принимаемый равным:
при кратковременном действии нагрузки p = 0,9;
при длительном действии нагрузки

, (123)
где
m - предельное значение характеристики ползучести бетона, определяемое по
п. 2.11 настоящего Руководства;
при расчете по деформациям элементов, воспринимающих многократно повторяющуюся нагрузку, независимо от длительности действия нагрузки

, (124)
где
n' - коэффициент приведения арматуры к бетону при многократно повторяющихся нагрузках, определяемый по
табл. 17 настоящего Руководства.
Значения коэффициента
p при длительном действии статической нагрузки приведены в
табл. 20, а при действии многократно повторяющейся нагрузки - в
табл. 21 настоящего Руководства.
Вид вяжущего | Относительная влажность окружающего воздуха, % | Коэффициент p при длительном действии статической нагрузки и проектной марке бетона |
М 150 | М 200 | М 250, М 300 | М 400 | М 500, М 600 |
Известково-песчаное | Более 70 | 0,313 | 0,342 | 0,377 | 0,421 | 0,476 |
Более 40 до 70 включительно | 0,333 | 0,364 | 0,4 | 0,444 | 0,5 |
40 и менее | 0,357 | 0,388 | 0,426 | 0,471 | 0,526 |
Известково-шлаковое | Более 70 | 0,476 |
Более 40 до 70 включительно | 0,5 |
40 и менее | 0,526 |
Вид вяжущего | Коэффициент p при многократно повторяющейся нагрузке и проектной марке бетона |
М 200 М 250 | М 300 | М 400 | М 500 | М 600 |
Известково-песчаное | 0,357 | 0,37 | 0,381 | 0,435 | 0,49 |
Известково-шлаковое | 0,312 | 0,317 | 0,32 | 0,37 | 0,42 |
4.16. Если при изготовлении, транспортировании и монтаже конструкций в зоне, которая впоследствии под действием нагрузки будет сжата, могут возникнуть трещины, наличие этих трещин должно быть учтено согласно требованиям
пп. 4.18 и
4.23 настоящего Руководства.
Определение кривизны железобетонных элементов
на участках без трещин в растянутой зоне
4.17. На участках элемента, где отсутствуют нормальные к продольной оси трещины, кривизны изгибаемых, внецентренно-сжатых и внецентренно-растянутых железобетонных элементов различных сечений, следует определять как для сплошного упругого тела по формуле

, (125)
где M - момент всех внешних сил (включая усилия предварительного обжатия) относительно оси, нормальной к плоскости действия изгибающего момента и проходящей через центр тяжести приведенного сечения;
p - коэффициент, учитывающий неупругие деформации бетона, определяемый по ч.
4.15 настоящего Руководства.
Примечание. При определении приведенного сечения арматуру следует приводить к бетону с модулем деформаций pEб.
4.18. При учете как кратковременно, так и длительно действующих нагрузок полную величину кривизны на участках без трещин в растянутой зоне следует определять по формуле

, (126)
где

- кривизна от кратковременной нагрузки;

- кривизна от постоянных и длительных нагрузок (включая усилие обжатия
N0);

- кривизна, обусловленная выгибом вследствие ползучести бетона от усилия предварительного обжатия.

, (127)
| | ИС МЕГАНОРМ: примечание. В официальном тексте документа, видимо, допущена опечатка: имеется в виду табл. 2, а не табл. 8. | |
где

и

- относительные деформации ползучести бетона от усилия обжатия
N0 (с учетом потерь по
табл. 8, поз. 1 -
5, настоящего Руководства, проявляющихся за время от обжатия до загружения элемента), соответственно на уровне центра тяжести арматуры
A и на уровне наиболее сжатого волокна, определяемые по формулам:

;

. (128)
Здесь

- принимается численно равной сумме потерь предварительного напряжения в арматуре
A от ползучести бетона по
табл. 2, поз. 6 и
9, настоящего Руководства;

- то же, для напрягаемой арматуры, если бы она имелась на уровне наиболее сжатого волокна бетона.
На участках, где нормальные трещины образуются, но при действии учитываемых в расчете по деформациям нагрузок обеспечено их закрытие (см.
п. 4.14 настоящего Руководства), полная кривизна должна быть увеличена на 20% по сравнению с расчетной.
При расчете элементов с начальными трещинами в сжатой зоне (см.
п. 4.16 настоящего Руководства) полная кривизна должна быть увеличена на 15% по сравнению с расчетной.
Определение кривизны железобетонных элементов
на участках с трещинами в растянутой зоне
4.19. На участках элемента, где образуются нормальные к продольной оси трещины в растянутой зоне, кривизну изгибаемых, внецентренно-сжатых и внецентренно-растянутых элементов следует определять по формуле

, (129)
где Mз - момент относительно оси, нормальной к плоскости действия изгибающего момента, и проходящей через центр тяжести площади арматуры A, от всех внешних сил, расположенных по одну сторону от сечения, включая усилие предварительного обжатия N0 (заменяющий момент). Для изгибаемых элементов с ненапрягаемой арматурой Mз = M. За положительные принимаются моменты, вызывающие растяжение в арматуре A;
Nc - равнодействующая продольной силы N и усилия предварительного обжатия N0 (при внецентренном растяжении сила N принимается со знаком минус); для изгибаемых элементов с ненапрягаемой арматурой Nc = 0;

- относительная высота сжатой зоны элемента, определяемая по
п. 4.21 настоящего Руководства;

- коэффициент, учитывающий работу бетона растянутой зоны, определяемый по
п. 4.20 настоящего Руководства;
z1 - величина, характеризующая положение внутренних усилий в сечении, определяемая по
п. 4.22 настоящего Руководства.
Для гибких внецентренно-сжатых элементов при l0/h > 10 Mз следует определять с учетом влияния прогиба на эксцентрицитет силы N, определяя деформации таких элементов методом последовательных приближений.
4.20. Значение коэффициента

, учитывающего работу бетона растянутой зоны, следует определять по формуле

, (130)
где

- коэффициент, принимаемый по
табл. 22 настоящего Руководства;
Mс - момент внешних сил (постоянной, длительной и кратковременной нагрузки и усилия предварительного обжатия N0) относительно оси, перпендикулярной к плоскости изгиба и проходящей через точку приложения равнодействующей усилий в бетоне сжатой зоны непосредственно перед образованием трещин;
Mб.т - момент внутренних усилий в бетонной части сечения (без учета усилий в растянутой и сжатой арматуре) непосредственно перед образованием трещин относительно той же оси, определяемой по формуле

. (131)
Здесь
RрII - принимается по
табл. 8 настоящего Руководства;
Wб.т - момент сопротивления для крайнего растянутого волокна, с учетом неупругих деформаций растянутого бетона, определяемый по формуле

, (132)
[
x - высота сжатой зоны непосредственно перед появлением трещин, определяемая из расчета по образованию трещин (см.
п. 4.1 настоящего Руководства)].
Допускается величину Wб.т определять по формулам:
для элементов прямоугольного сечения
Wб.т = 0,292bh2; (133)
для элементов таврового сечения с полкой в сжатой зоне

; (134)
где

(135)
определяется с учетом указаний
п. 3.15 настоящего Руководства;
для элементов таврового сечения с полкой в растянутой зоне

, (136)
где

(137)
принимается не более

(это требование не относится к многопустотным панелям и элементам с продольными ребрами, расстояние между которыми не превышает 4
h);
для элементов двутаврового сечения

. (138)
Допускается для элементов прямоугольного, таврового и двутаврового сечения величину Mс определять по формулам:
для изгибаемых элементов с ненапрягаемой арматурой
Mс = M, (139)
где значение M рекомендуется определять с учетом момента от усадки бетона (см. п. 4.1.2 настоящего Руководства);
для изгибаемых предварительно-напряженных, внецентренно-сжатых и внецентренно-растянутых элементов при

; (140)
то же, при


. (141)
Значения коэффициента

, вычисленные по
формуле (130), должны приниматься не менее 0,25 при учете кратковременного действия нагрузок и не менее 0,55 при учете длительного действия нагрузок.
При расчете элементов, подвергающихся воздействию многократно повторяющейся нагрузки, значение коэффициента

следует принимать равным 1 независимо от формы поперечного сечения, наличия предварительного напряжения арматуры или длительности действия статических нагрузок.
Вид арматуры | Коэффициент  при учете действия нагрузок |
кратковременного | длительного |
Периодического профиля | 0,7 | 0,35 |
Гладкая | 0,6 | 0,3 |
4.21. Относительную высоту сжатой зоны

следует определять из уравнений равновесия внешних и внутренних усилий, составленных с учетом положений, приведенных в
п. 4.12 настоящего Руководства. В общем случае величину

рекомендуется определять из уравнений:
для изгибаемых элементов с ненапрягаемой арматурой (при Nc = 0)

; (142)
в остальных случаях (при

)

, (143)
где
e1 = эксцентрицитет равнодействующей
Nс (см.
п. 4.19 настоящего Руководства) относительно оси, нормальной к плоскости изгиба и проходящей через центр тяжести площади арматуры
A, отвечающий заменяющему моменту
Mз (см.
п. 4.19 настоящего Руководства) и определяемый по формуле

. (144)
Для элементов прямоугольного, таврового и двутаврового сечений при действии изгибающего момента в плоскости симметрии
уравнение (142) приводится к виду

, (145)

,

,

,
, 
- безразмерные геометрические характеристики сечения, определяемые по формулам:
p - принимается по указаниям
п. 4.15 настоящего Руководства;

- принимается по указаниям
п. 4.20 настоящего Руководства.
Если для элементов с полкой в сжатой зоне величина

, определяемая из
уравнений (145) или
(146), не удовлетворяет условию

, величину

следует определить вновь как для элемента прямоугольного сечения шириной

[приняв в
формулах (147) 
и

].
Для элементов, не имеющих полки в сжатой зоне, в
формулах (147) следует принимать

и

.
4.22. Величину
z1, характеризующую положение внутренних усилий в сечении, следует определять исходя из положений, приведенных в
п. 4.12 настоящего Руководства, как отношение момента всех внутренних сил в сечении относительно оси, нормальной к плоскости изгиба и расположенной на расстоянии

от наиболее сжатой грани, к величине равнодействующей внутренних усилий в растянутой зоне. В общем случае величину
z1 рекомендуется определять по формуле

. (148)
Для элементов прямоугольного, таврового и двутаврового сечений при действии изгибающего момента в плоскости симметрии величина z1 определяется по формуле

. (149)
Примечание. Для элементов прямоугольного сечения без сжатой арматуры величина z1 представляет собой расстояние между равнодействующими внутренних усилий в сжатой и растянутой зонах сечения.
4.23. Полную величину кривизны на участке с трещинами в растянутой зоне следует определять по формуле

, (150)
где

- кривизна от кратковременного действия всей нагрузки, учитываемой при расчете по деформациям (см.
табл. 2 Руководства по проектированию предварительно-напряженных железобетонных конструкций из тяжелого бетона);

- кривизна от кратковременного действия постоянных и длительных нагрузок;

- кривизна от длительного действия постоянных и длительных нагрузок;

- кривизна, обусловленная выгибом вследствие ползучести бетона от усилия предварительного обжатия, определяемая по
формуле (127).
при определении

и

значения коэффициента
e1 следует вычислять при действии всех учитываемых нагрузок, а коэффициенты
p и

(см.
пп. 4.15 и
4.20 настоящего Руководства) должны отвечать кратковременному нагружению;
при определении

коэффициент
e1 следует вычислять при действии постоянных и длительных нагрузок, а коэффициенты
p и

должны отвечать длительному нагружению.
Если кратковременные нагрузки отсутствуют или не учитываются при определении прогибов, полную величину кривизны следует принимать равной величине

.
Если значения

и

оказываются отрицательными, их следует считать равными нулю.
При расчете элементов с начальными трещинами в сжатой зоне полную кривизну, определенную по
формуле (150), следует увеличивать на 15%.
4.24. Полный прогиб железобетонных элементов определяется как сумма прогиба
fM, обусловленного деформацией изгиба, и прогиба
fQ, обусловленного деформацией сдвига, причем для элементов с
l/h > 10 величину
fQ следует принимать равной нулю. Значения
fM и
fQ следует определять по указаниям
пп. 4.25 и
4.26 настоящего Руководства.
4.25. Прогиб
fM, обусловленный деформацией изгиба, определяется по формуле

, (151)
где

- изгибающий момент в сечении
x от действия единичной силы, приложенной по направлению искомого перемещения элемента в сечении по длине пролета, для которого определяется прогиб;

- полная величина кривизны элемента в сечении
x от нагрузки, при которой определяется прогиб; величины

определяются по
формулам (126) и
(150) настоящего Руководства соответственно для участков без трещин и с трещинами; знак

принимается в соответствии с эпюрой кривизны.
При определении прогиба в середине пролета
формула (151) может быть приведена к виду

, (152)
где

и

- кривизны элемента соответственно на левой и правой опорах;

,

и

- кривизны элемента в сечении
i, в сечении, симметричном сечению
i, и в середине пролета;
n - четное число равных участков, на которое разделяется пролет элемента;
l - пролет элемента.
Число n рекомендуется принимать не менее 6.
Допускается при определении прогиба в середине пролета элемента при l/h >= 10 величину fM определять следующим образом:
а) для элементов постоянного сечения, работающих как свободно-опертые или консольные балки, - по формуле

, (153)
где
S - коэффициент, учитывающий схему загружения элемента и определяемый по
табл. 42 Руководства по проектированию предварительно-напряженных железобетонных конструкций из тяжелого бетона.
Для свободно-опертых элементов с напрягаемой арматурой, когда прогиб по
формуле (153) превышает предельно допустимый, рекомендуется использовать формулу

, (154)
где

определяется по формуле

(155)
(здесь величину Iп принимают как при определении потерь напряжения);
б) для элементов с защемленными опорами - по формуле

; (156)
в) если прогиб, определенный по
подпункту "а", превышает допустимый, то его рекомендуется уточнить за счет учета переменной по длине элемента жесткости; при этом наличие участков без трещин для свободно-опертых балок учитывается формулой

, (157)
где
m1 и
m2 - коэффициенты, определяемые по
табл. 43 Руководства по проектированию предварительно-напряженных железобетонных конструкций из тяжелого бетона;

- кривизна элемента в середине пролета, определяемая как для сплошного упругого тела по формуле

. (158)
Здесь M - момент всех сил, от действия которых определяется прогиб, относительно оси, проходящей через центр тяжести приведенного сечения.
Более точно величина
fM может быть найдена по
формуле (159) за счет учета как участков без трещин, так и переменной жесткости по длине элемента;
г) для элементов переменного сечения, а также в тех случаях, когда требуется более точное, чем по
формулам (153) -
(157), определение прогибов, а сами элементы и нагрузка симметричны относительно середины пролета, прогиб
fM определяется по формуле

, (159)
где

,

,

и

- кривизны соответственно на опоре, на расстоянии

,

от опоры и в середине пролета, принимаемые со своими знаками согласно эпюре кривизн.
Для сплошных плит толщиной менее 25 см, армированных ненапрягаемой арматурой в виде плоских сеток, с трещинами в растянутой зоне значения прогибов, подсчитанных по
формуле (151), умножаются на коэффициент

, принимаемый не более 1,5, где
h0 в см.
4.26. Прогиб
fQ, обусловленный деформацией сдвига, определяется по формуле

, (160)
где

- поперечная сила в сечении
x от действия по направлению искомого перемещения единичной силы, приложенной в сечении, где определяется прогиб;
p - коэффициент, определяемый по
п. 4.15 настоящего Руководства;

. (161)
Здесь Q(x) - поперечная сила в сечении x от действия внешней нагрузки;
G - модуль сдвига бетона, принимаемый по
п. 2.13 настоящего Руководства;

- коэффициент, учитывающий влияние трещин на деформации сдвига и принимаемый равным:
на участках по длине элемента, где отсутствуют нормальные и наклонные к продольной оси элемента трещины, - 1;
на участках, где имеются только наклонные к продольной оси элемента трещины, - 4,8;
на участках, где имеются только нормальные или нормальные и наклонные к продольной оси элемента трещины, - по формуле

. (162)
В
формуле (162) M(
x) и

- соответственно момент и полная кривизна в сечении
x от нагрузки, при которой определяется прогиб.
Определение продольных деформаций
4.27. Относительные деформации

(удлинение или укорочение) в направлении продольной оси элементов определяются:
а) Для сечений на участках без трещин в растянутой зоне - по формуле

, (163)
где

- кривизна в данном сечении, определяемая по
формуле (125) настоящего Руководства;
y0 - расстояние от центра тяжести приведенного сечения до рассматриваемого волокна; принимается положительным для волокон, расположенных со стороны сжатой зоны от центра тяжести сечения;
p - см.
п. 4.15 настоящего Руководства;
Nс - см.
п. 4.19 настоящего Руководства;
Fп - определяется с учетом примечания к
п. 4.17 настоящего Руководства;
б) для сечений на участках с трещинами в растянутой зоне - по формуле

, (164)
где

- кривизна в данном сечении, определяемая по
формуле (129) настоящего Руководства;
y - расстояние от нулевой линии до рассматриваемого волокна; принимается положительным для волокон, расположенных со стороны сжатой зоны;
величина деформаций в растянутой арматуре

может быть найдена из
выражения (129) настоящего Руководства по формуле

, (165)
после чего деформации

вместо
формулы (164) могут быть определены по формуле

. (166)
При одновременном действии кратковременных и длительных нагрузок порядок вычисления

аналогичен определению полной кривизны (см.
пп. 4.18 и
4.23 настоящего Руководства).
Примечания: 1. Деформации

со знаком плюс отвечают укорочению, а со знаком минус - удлинению.
2. При определении деформаций на уровне наиболее сжатого волокна бетона

, сжатой арматуры

и растянутой арматуры

величины
y0 и
y в
формулах (163),
(164) и
(166) настоящего пункта соответственно равны:
при определении

:

;

;
при определении

:

;

;
при определении

:

;

.
Здесь Sп - статический момент площади полного приведенного сечения относительно оси, проходящей через наиболее растянутое (наименее сжатое) волокно сечения.
Пример 28. Дано: панель перекрытия, рассмотренная в
примерах 1,
20,
22,
25. Прогибы ограничиваются эстетическими требованиями.
Требуется рассчитать плиту по деформациям.
Расчет. Так как прогибы панели ограничиваются эстетическими требованиями, кратковременную нагрузку при расчете по деформациям не учитываем. Поскольку по данным
примера 20 от действия полной нагрузки образуются трещины в растянутой зоне, кривизну в середине пролета определяем как для сечения с трещинами по
формулам (129) и
(150) и
пп. 4.19 и
4.23 настоящего Руководства. Входящие в
формулу (129) величины при длительном действии постоянных и длительных нагрузок вычислены в
примере 25.
Mз = 1034000 кгс·см;
Nc = 102000 кгс;

= 0,931;

= 0,55;
z1 = 10,49 см;;
Ea = 1,9·106 кгс/см2;
Fa = 19,23 см2;
Согласно указаниям
п. 4.23 настоящего Руководства, вычисляем величину

.
Сумма потерь предварительного напряжения от ползучести бетона на уровне центра тяжести арматуры
A 
(см.
пример 1).
Величину

на уровне наиболее сжатого волокна определяем по формуле
(см.
табл. 2 настоящего Руководства).
Определяем напряжения

на уровне верхней грани сечения по формуле

,
где y0 - расстояние от центра тяжести приведенного сечения до верхней грани сечения y0 = h - yц.

;

.
Вычисляем:

;

.
Таким образом:

.

;

;

.
Согласно указаниям
п. 4.23, определяем полную кривизну в середине пролета панели:

.
и по
табл. 42 Руководства по проектированию предварительно-напряженных железобетонных конструкций из тяжелого бетона определяем
S = 5/48. Тогда
что не превышает предельно допустимый прогиб

.
5. КОНСТРУКТИВНЫЕ ТРЕБОВАНИЯ
5.1. При проектировании бетонных и железобетонных конструкций из плотного силикатного бетона для обеспечения условий их экономичного и качественного изготовления, требуемой долговечности и совместной работы арматуры и бетона следует выполнять конструктивные требования, изложенные в
Руководстве по проектированию бетонных и железобетонных конструкций из тяжелого бетона (без предварительного напряжения) и в
Руководстве по проектированию предварительно-напряженных железобетонных конструкций из тяжелого бетона, с учетом указаний
пп. 5.2 -
5.4 настоящего Руководства.
5.2. Минимальную толщину защитного слоя бетона для продольной, поперечной (хомутов и отогнутых стержней) и распределительной арматуры в конструкциях, предназначенных для эксплуатации при относительной влажности внутреннего воздуха отапливаемых помещений более 75% или во влажной климатической зоне (см.
п. 1.3 настоящего Руководства), а также в агрессивных средах, следует увеличивать на 5 мм по сравнению с требованиями для конструкций из тяжелого бетона. При этом соответствующие требования главы
СНиП II-28-73 "Защита строительных конструкций от коррозии" учитывать не следует (см.
п. 1.6 настоящего Руководства).
5.3. Конструктивное армирование бетонных панелей несущих стен, как правило, должно назначаться двусторонним независимо от того, в какой степени используется их несущая способность, причем площадь вертикальной и горизонтальной арматуры с каждой стороны панели должна составлять не менее 0,3 см2 на 1 м длины соответствующего поперечного сечения панели.
Допускается для панелей длиной до 4 м принимать меньшую площадь горизонтальной арматуры, но не менее 0,15 см2 на 1 м вертикального сечения с каждой стороны панели, если это подтверждено опытом изготовления и применения изделий.
5.4. Для конструктивного армирования элементов следует применять арматуру возможно меньших диаметров, но не менее 4 мм, причем в элементах, бетонируемых в горизонтальном положении, верхняя (при изготовлении) конструктивная арматура для сохранения ее в проектном положении при бетонировании должна быть снабжена связями, установленными вдоль толщины изделия не реже, чем через 85
d по длине стержней.