Главная // Актуальные документы // РуководствоСПРАВКА
Источник публикации
М.: Стройиздат, 1981
Примечание к документу
Название документа
"Руководство по применению прямоугольных светоаэрационных и зенитных фонарей в производственных зданиях"
"Руководство по применению прямоугольных светоаэрационных и зенитных фонарей в производственных зданиях"
ПО ПРИМЕНЕНИЮ ПРЯМОУГОЛЬНЫХ СВЕТОАЭРАЦИОННЫХ
И ЗЕНИТНЫХ ФОНАРЕЙ В ПРОИЗВОДСТВЕННЫХ ЗДАНИЯХ
Рекомендовано к изданию решением секции ограждающих конструкций научно-технического совета ЦНИИПромзданий.
Содержит материалы по применению прямоугольных светоаэрационных и зенитных фонарей в производственных зданиях и технико-экономической оценке их эффективности.
Для работников проектных и строительных организаций, научно-исследовательских и учебных институтов.
Табл. 19, ил. 11.
Разработано на основе результатов научно-исследовательских и проектно-экспериментальных работ, выполненных ЦНИИПромзданий, НИИСФ, ГПИ Сантехпроект, ГПИ Тяжпромэлектропроект и другими организациями.
Составлено кандидатами техн. наук Ю.П. Александровым и Т.И. Смирновой.
1.1. Настоящее руководство следует использовать при применении прямоугольных светоаэрационных и зенитных фонарей для освещения и вентиляции или только освещения производственных зданий различного назначения.
1.2. Конструкции фонарей при проектировании производственных зданий следует выбирать в соответствии с рекомендациями настоящего Руководства, учитывая при этом требования действующих стандартов, а также нормативных документов, утвержденных или согласованных Госстроем СССР.
Прямоугольные светоаэрационные и зенитные фонари могут применяться в производственных зданиях с покрытиями из железобетонных или легких металлических конструкций.
2. Проектирование фонарей в производственных зданиях
2.1. При проектировании зданий выбор типов фонарей, параметров их конструкций, материалов светопропускающего заполнения, а также определение необходимой общей площади световых и аэрационных проемов и способов расположения фонарей в покрытии следует производить на основании настоящего Руководства, обеспечивая при этом:
требуемые для данного производства условия зрительной работы (
пп. 2.16 -
2.21 настоящего Руководства);
требуемые прочностные качества конструкции;
необходимый воздухообмен через светоаэрационные фонари (
пп. 2.28 -
2.31);
защиту помещений от вредного воздействия солнечной радиации (
пп. 2.32,
2.33);
художественную выразительность интерьеров;
удобство и безопасность обслуживания конструкций;
Типы и координационные размеры фонарей, рекомендуемых для применения в производственных зданиях, приведены в табл. 1.
Таблица 1
Тип фонаря | Координационные размеры фонаря, м | Схемы поперечного сечения фонаря |
ширина | длина | высота яруса переплетов |
Прямоугольный светоаэрационный с одним ярусом переплетов | 6 | Не более 84 | 1,8 | |
То же | 12 | 1,8 | |
Прямоугольный светоаэрационный с двумя ярусами переплетов | 12 | 2 x 1,2 | |
Зенитный с одно-двух- или трехслойным остеклением | 1,5 | 1,5 | - | |
1,5 | 6 | - |
3 | 3 | - | |
3 | 6 | - |
3 | 12 | - |
2.2. Одноярусные прямоугольные светоаэрационные фонари шириной 6 м следует, как правило, применять в помещениях производственных зданий с пролетами шириной 18 м, а фонари шириной 12 м - в зданиях с пролетами шириной 24 м, если суммарные избытки тепла, образующиеся от технологических процессов и поступлений от солнечной радиации (см.
п. 2.30), составляют от 20 до 100 ккал/(м
3·ч) [от 84 до 420 кДж/(м
3·ч)]. Фонари шириной 12 м могут применяться в зданиях с шириной пролетов 30, 36 и 42 м, в которых суммарные избытки тепла составляют от 20 до 60 ккал/(м
3·ч) [от 84 до 252 кДж/(м
3·ч)].
Светоаэрационные прямоугольные фонари с двумя ярусами переплетов следует применить, как правило, в неотапливаемых производственных зданиях с пролетами шириной 24, 30, 36 и 42 м, если суммарные избытки тепла составляют от 60 до 100 ккал/(м3·ч), [от 252 до 420 кДж/(м3·ч)].
В зданиях, где суммарные избытки тепла превышают указанные выше значения, следует применять аэрационные фонари.
2.3. Зенитные фонари следует, как правило, применять в помещениях с нормальным температурно-влажностным режимом, в которых суммарные избытки тепла составляют до 20 ккал/(м3·ч) [84 кДж/(м3·ч)] и технологические выделения пыли, копоти и других аэрозолей не превышают 10 мг/м3.
Число слоев светопропускающего заполнения зенитных фонарей должно приниматься в соответствии с указаниями
пп. 2.23 -
2.25.
2.4. Прямоугольные светоаэрационные одноярусные фонари шириной 6 и 12 м могут применяться в помещениях с суммарными избытками тепла до 20 ккал/м3·ч [84 кДж/м3·ч] при соответствующем технико-экономическом обосновании.
2.5. Прямоугольные светоаэрационные фонари рекомендуется проектировать, как правило, длиной не более 84 м. Расстояния между торцами фонарей, а также до наружных стен или до стен в местах перепада высот здания, должны приниматься равными шагу стропильных конструкций.
2.6. Для остекления прямоугольных светоаэрационных фонарей следует, как правило, применять оконное стекло. Толщина стекла принимается по расчету, но не менее 4 мм. Крепление стекол в переплетах фонарей должно предусматриваться на упругих прокладках.
2.7. Для устройства светопропускающих заполнений зенитных фонарей может применяться стекло листовое оконное, витринное, теплозащитное, профильное, клееные стеклопакеты, а также изделия из полимерных материалов в виде куполов, сводов и панелей. Уклон элементов светопропускающего заполнения фонарей из листового стекла или изделий из него рекомендуется принимать равным 12° к горизонту.
Элементы светопропускающего заполнения рекомендуется крепить в конструкциях фонарей через эластичные прокладки. Стыки между элементами светопропускающего заполнения должны располагаться вдоль ската и перекрываться нащельниками, закрепляемыми со стороны кровли. При этом должны быть обеспечены свободные температурные деформации отдельных элементов фонарей. Для уплотнения стыков в конструкциях фонарей могут применяться различные виды листовой резины, резиновые профили, пороизол, гернит. Стыки между элементами светопропускающего заполнения рекомендуется герметизировать мастиками. Прокладки, уплотнители и герметики необходимо защищать от прямого солнечного облучения.
2.8. Для изготовления опорных контуров зенитных фонарей могут использоваться: листовая сталь, асбестовые листы, дерево, полимерные материалы. Стенки опорных контуров со стороны помещения рекомендуется отделывать материалами, имеющими коэффициент отражения не менее 0,7. Опорные контуры должны возвышаться над кровлей не менее чем на 0,3 м.
2.9. При применении в качестве светопропускающего заполнения зенитных фонарей силикатного стекла или изделий из него рекомендуется предусматривать устройство под всей плоскостью остекления металлической защитной сетки. Длина стороны ячейки защитной сетки и ширина зазора между контуром сетки и примыкающими элементами покрытия не должны превышать 50 мм.
В прямоугольных светоаэрационных фонарях защитную сетку следует устраивать в плоскости несущих стоек на высоту не менее 1/3 высоты светового проема.
2.10. Для освещения помещений высотой до низа несущих конструкций Hн <= 6 м следует применять зенитные фонари с площадью световых проемов до 3 м2. Зенитные фонари с большей площадью световых проемов рекомендуется применять для освещения помещений, имеющих высоту свыше 6 м.
2.11. При соответствующем технико-экономическом обосновании и обеспечении незадуваемости проемов зенитные фонари могут использоваться для вентиляции производственных помещений.
2.12. Фонари, используемые для вентиляции помещений, должны быть оборудованы механизмами открывания с дистанционным управлением из помещения. В зданиях, строящихся в районах с устойчивыми погодными условиями (Средняя Азия и др.), фонари разрешается открывать вручную с фиксацией светопропускающего заполнения специальными приспособлениями.
2.13. В неотапливаемых зданиях с кровлей из волнистых асбестоцементных или профилированных металлических листов для устройства естественного освещения помещений могут (при соблюдении соответствующих правил пожарной безопасности) применяться светопропускающие вставки из стеклопластиков или других полимерных материалов с размерами и формой поперечного сечения, соответствующими размерам и форме основных материалов кровли.
2.14. В помещениях с подвесными потолками при устройстве естественного освещения с помощью зенитных фонарей следует применять световые шахты. Для отделки внутренних поверхностей шахт рекомендуется использовать материалы с коэффициентом отражения не ниже 0,7. Стенки шахт можно применять наклонными. Угол наклона стенок к вертикали должен быть не более 30°.
2.15. В помещениях, где по условиям технологического процесса требуется обеспечение постоянного уровня и направленности светового потока в рабочей зоне, рекомендуется предусматривать устройства для автоматического регулирования освещенности.
2.16. Фонари могут применяться для устройства естественного или совмещенного освещения помещений производственных зданий.
2.17. Применение фонарей для устройства совмещенного освещения согласно главе
СНиП II-4-79 "Естественное и искусственное освещение" допускается предусматривать:
а) в производственных помещениях, в которых выполняются зрительные работы I и II разрядов (см.
табл. 2);
б) в производственных и других помещениях в случаях, когда по условиям технологии, организации производства или климатическим особенностям в месте строительства требуются объемно-планировочные решения, которые не позволяют обеспечить нормированные значения КЕО;
в) в соответствии с нормативными документами по строительному проектированию зданий и сооружений отдельных отраслей промышленности, утвержденными в установленном порядке.
2.18. При проектировании естественного или совмещенного освещения нормированное значение коэффициента естественной освещенности (КЕО),
eн, следует принимать по
табл. 2.
В помещениях зданий, где выполняются зрительные работы I - II разрядов, а также в помещениях зданий, строящихся в Северной строительно-климатической зоне, в которых выполняются зрительные работы I - VII разрядов, допускается при проектировании совмещенного освещения снижать приведенные в
табл. 2 нормированные значения КЕО для совмещенного освещения до величин, указанных в
табл. 3.
2.19. Совмещенное освещение следует проектировать с учетом требований обеспечения ультрафиолетового облучения согласно Санитарным нормам проектирования промышленных предприятий.
Характеристика зрительной работы в помещении | Наименьшие размеры объекта различения, мм | Разряды зрительной работы | Нормированные значения  , %, при верхнем или верхнем и боковом освещении |
естественном | совмещенном |
Наивысшей точности | Менее 0,15 | I | 10 | 6 |
Очень высокой точности | От 0,15 до 0,3 | II | 7 | 4,2 |
Высокой точности | Св. 0,3 до 0,5 | III | 5 | 3 |
Средней точности | Св. 0,5 до 1 | IV | 4 | 2,4 |
Малой точности | Св. 1 до 5 | V | 3 | 1,8 |
Грубая (очень малой точности) | Св. 5 | VI | 2 | 1,2 |
Со светящимися материалами и изделиями в горячих цехах | - | VII | 3 | 1,8 |
Общее наблюдение за ходом производственного процесса: | | | | |
а) постоянное | - | VIII | 1 | 0,7 |
б) периодическое при постоянном пребывании людей в помещении | - | VIII | 0,7 | 0,5 |
в) то же, при периодическом пребывании людей в помещении | - | VIII | 0,5 | 0,3 |
Примечание. В таблице приведены нормированные значения КЕО

для зданий, расположенных в III поясе светового климата СССР
(рис. 1). Для зданий, расположенных в I, II, IV и V поясах светового климата, значения
eн определяются по формуле

, (1)
где

- значение КЕО, принимаемое по
табл. 2
m и
C - соответственно коэффициенты светового климата и солнечности, принимаемые по
табл. 4.
Рис. 1. Карта светового климата СССР
Разряды зрительной работы | Наименьшие нормированные значения КЕО  , %, при совмещенном освещении |
I | 3 |
II | 2,5 |
III | 2 |
IV | 1,5 |
V и VII | 1 |
VI | 0,7 |
Пояса светового климата | Значения коэффициентов |
C | m |
Тип фонаря |
прямоугольный светоаэрационный | зенитный |
I | 1 | 1 | 1,2 |
II | 1 | 1 | 1,1 |
III | 1 | 1 | 1 |
IV: | | | |
а) севернее 50° с. ш. | 0,9 | 0,9 | 0,9 |
б) 50° с. ш. и южнее | 0,85 | 0,85 | 0,9 |
V: | | | |
а) севернее 40° с. ш. | 0,8 | 0,75 | 0,8 |
б) 40° с. ш. и южнее | 0,75 | 0,65 | 0,8 |
2.20. Ориентировочно среднее (расчетное) значение КЕО на условной рабочей поверхности в многопролетных производственных зданиях,
eср, в зависимости от конструктивного решения и площади остекления фонаря, ширины пролета и высоты помещения может быть определено по графикам, указанным на рис. 2 и
3 или по
формуле, приведенной в прил. 1 настоящего Руководства.
Рис. 2. Графики для определения средних значений КЕО
на условной рабочей поверхности для помещений
с прямоугольными светоаэрационными фонарями
а - шириной 6 м с одним ярусом одинарного
остекления высотой 1,8 м;
б - шириной 12 м с одним ярусом одинарного
остекления высотой 1,8 м;
в - шириной 12 м с двумя ярусами одинарного
остекления высотой 2 x 1,2 м;
I - здания с пролетами шириной 18 м; II - то же, 24 м;
III - то же, 30 м; IV - то же, 36 м и V - то же, 42 м
Рис. 3. График для определения средних значений КЕО
на условной рабочей поверхности для помещений с зенитными
фонарями, имеющими двойное остекление
I - здания высотой Hн = 7,2 м; II - то же, Hн = 10,8 м;
1 - фонари с площадью проема 2,5 - 3 м2;
2 - то же, 8 - 9 м2; 3 - то же, 16 - 18 м2
Среднее значение КЕО не должно превышать следующие допустимые пределы
0,9eн <= eср <= 1,05eн. (2)
2.21. Неравномерность естественного освещения (
eср:
eмин) в производственных помещениях, где выполняются зрительные работы I - VI разрядов, не должна превышать 3:1. В помещениях, где выполняются зрительные работы VII и VIII разрядов, неравномерность естественного освещения не нормируется.
2.22. Конструктивное решение фонарей должно обеспечивать необходимые сопротивления теплопередаче и воздухопроницанию.
2.23. Сопротивление теплопередаче светопропускающего заполнения проемов фонарей
Rо должно быть не менее требуемого

, устанавливаемого главой
СНиП II-3-79 "Строительная теплотехника" в зависимости от разности температур внутреннего и наружного воздуха.
2.24. Требуемое сопротивление теплопередаче

светопропускающего заполнения проемов фонарей, применяемых в отапливаемых зданиях, в зависимости от разности температур внутреннего и наружного воздуха следует принимать по табл. 5.
Таблица 5
Характеристика производственной среды | Разность между температурой внутреннего воздуха и средней температурой наиболее холодной пятидневки, °C | Значения  светопропускающих заполнений, м 2·ч·°C/ккал, фонарей |
светоаэрационных прямоугольных | зенитных |
1. С незначительными избытками явного тепла (менее 20 ккал/(м3·ч) и сухим или нормальным режимом воздуха в помещении | До 35 | 0,18 | 0,18 |
От 35 до 49 | - | 0,36 |
Св. 49 | - | 0,56 |
2. Со значительными избытками явного тепла [более 20 ккал/(м3·ч)] и расчетной относительной влажностью воздуха не более 50% | Любая | 0,18 | - |
Примечание. В неотапливаемых производственных помещениях значения

для светопропускающих заполнений проемов фонарей не нормируются.
2.25. Сопротивление теплопередаче светопропускающего заполнения
Rо фонарей, выполненных в металлических переплетах, в зависимости от конструктивного решения следует принимать по табл. 6.
Таблица 6
Вид светопропускающего заполнения фонаря | Сопротивление теплопередаче, Rо, м2·ч·°C/ккал |
Силикатное стекло: | |
одинарное | 0,18 |
двойное (в спаренных переплетах) | 0,36 |
двойное (в раздельных переплетах) | 0,4 |
Стеклопакеты: | |
двухслойные | 0,36 |
трехслойные | 0,56 |
Криволинейные элементы из органического стекла: | |
одинарные | 0,22 |
двойные | 0,42 |
тройные | 0,6 |
2.26. Сопротивление воздухопроницанию фонарей
Rи должно быть не менее требуемого

(табл. 7), устанавливаемого главой
СНиП II-3-79 в зависимости от особенностей производственной среды помещений.
Таблица 7
Характеристика производственной среды помещения | Требуемое сопротивление воздухопроницанию фонарей, м2·ч (мм вод. ст.)2/3/кг |
прямоугольных светоаэрационных (в закрытом положении) | зенитных |
Со значительными избытками явного тепла [более 20 ккал/(м3·ч)] | 0,012 | - |
С незначительными избытками явного тепла [20 ккал/(м3·ч) и менее] | 0,025 | 0,35 |
С кондиционированием воздуха | - | 0,35 |
2.27. Сопротивление воздухопроницанию заполнений световых проемов фонарей в зависимости от их вида следует принимать по табл. 8.
Таблица 8
Вид светопропускающего заполнения | Сопротивление воздухопроницанию заполнений световых проемов фонарей, Rи, м2·ч (мм вод. ст.)2/3/кг |
зенитных | прямоугольных светоаэрационных без уплотненных притворов |
глухих | открывающихся |
Одинарное остекление и двух- или трехслойные стеклопакеты в одинарном переплете | 0,5 | 0,29 | 0,03 |
Двойное или тройное (одинарное + двухслойный стеклопакет) остекление в раздельных переплетах | 0,5 | - | - |
2.28. Проектирование фонарей, используемых для вентиляции помещений, рекомендуется производить с учетом обеспечения требуемого воздухообмена и их незадуваемости в соответствии с указаниями пп. 2.29 -
2.31.
2.29. Для обеспечения требуемого воздухообмена выбор ширины прямоугольных светоаэрационных фонарей и числа ярусов переплетов следует производить в зависимости от суммарных избытков тепла в помещениях
Q и в соответствии с
п. 2.2.
2.30. Суммарные избытки тепла Q, ккал/(м
3·ч), поступающего от производственных процессов
Qп и солнечной радиации, проникающей через покрытия и фонари
Qсол, для помещений, освещаемых прямоугольными светоаэрационными или зенитными фонарями, могут быть приближенно определены по формуле

, (3)
где
qсол - количество тепла от солнечной радиации, проникающего через фонари и покрытие здания, ккал/(м
2·ч), принимаемое в зависимости от вида фонаря по графикам на
рис. 4 и
5;
c - коэффициент, учитывающий неравномерность поступления тепла в рабочую зону помещений от проникающей солнечной радиации и принимаемый по
табл. 9;
k - коэффициент, учитывающий снижение теплопоступлений за счет применения средств солнцезащиты. При расчетах фонарей, в которых не применяются средства солнцезащиты, коэффициент k принимается равным 1.
Рис. 4. График для определения количества тепла
от солнечной радиации, проникающей в помещение
через прямоугольные светоаэрационные фонари и покрытие
1 - фонари одноярусные шириной 6 м; 2 - то же, 12 м;
3 - фонари двухъярусные шириной 12 м
I - здания с пролетами шириной 18 м; II - то же, 24 м;
III - то же, 30 м; IV - то же, 36 м и V - то же, 42 м
Рис. 5. График для определения количества тепла
от солнечной радиации, проникающей в помещение
через зенитные фонари и покрытие
1 - фонари с одинарным остеклением; 2 - то же, с двойным
остеклением; 3 - то же, с тройным остеклением
Высота помещения до низа покрытия H, м | Коэффициент c |
До 6 | 0,6 |
От 6 до 8 | 0,35 |
Св. 8 до 15 | 0,25 |
Св. 15 | 0,1 |
2.31. Для обеспечения в помещениях многопролетных зданий устойчивой вытяжной вентиляции через проемы прямоугольных светоаэрационных фонарей необходимо выполнение условия
Lс <= 5Hф, (4)
где Lс - расстояние между фонарями (в свету), м;
Hф - высота фонаря, м.
Если Lс > 5Hф, то следует применять специальные устройства для обеспечения незадуваемости фонарей.
2.32. При проектировании зенитных фонарей в зданиях, строящихся в III и IV климатических районах, в помещениях с постоянным пребыванием работающих, в которых выполняются зрительные работы I - IV разрядов, следует предусматривать устройства средств солнцезащиты.
При соответствующем технико-экономическом обосновании средства солнцезащиты в зенитных фонарях могут применяться и при строительстве зданий в других климатических районах СССР.
2.33. В зенитных фонарях в качестве средств солнцезащиты могут использоваться:
опорные контуры или световые шахты;
стационарные или регулируемые жалюзи, решетки, козырьки и др.;
теплоотражающее стекло.
2.34. По условиям обеспечения пожарной безопасности зенитные фонари со светопропускающими заполнениями из сгораемых полимерных материалов (органического стекла, полиэфирных стеклопластиков, винипласта и др.) разрешается применять в зданиях не ниже 2-й степени огнестойкости, в которых размещаются производства, относимые по пожарной опасности к категориям "Г" и "Д".
2.35. Площадь элементов светопропускающего заполнения зенитных фонарей, выполняемых из сгораемых полимерных материалов, должна составлять не более 15% общей площади покрытия здания, при этом площадь светопропускающего заполнения одного фонаря не должна превышать 10 м2, а его масса - 20 кг/м2.
2.36. Расстояние (в свету) между зенитными фонарями со светопропускающими заполнениями из полимерных материалов следует принимать не менее 3 м при площади световых проемов до 5 м
2 и не менее 4,5 м при площади световых проемов более 5 м
2.
Примечание. При размещении в покрытии зенитных фонарей с площадью светового проема от 5 до 10 м2 допускается уменьшать расстояние между фонарями в поперечном направлении до 3 м, если расстояние между фонарями в продольном направлении составляет 6 м и более. При этом через каждые четыре фонаря в поперечном направлении должны быть устроены разрывы шириной (в свету) не менее 6 м.
2.37. Зенитные фонари со светопропускающими элементами из полимерных материалов разрешается совмещать в группы, принимая их за один фонарь, причем общая площадь элементов светопропускающего заполнения этих фонарей не должна превышать 10 м
2. Расстояние между группами фонарей принимается в соответствии с
п. 2.36 в зависимости от суммарной площади их светопропускающего заполнения.
2.38. В покрытиях с зенитными фонарями, имеющими светопропускающее заполнение из полимерных материалов, через каждые 54 м следует устраивать между фонарями противопожарные разрывы шириной не менее 6 м.
Расстояние по горизонтали от противопожарных стен до зенитных фонарей со светопропускающим заполнением из полимерных материалов должно составлять не менее 5 м.
2.39. При устройстве зенитных фонарей в покрытиях из профилированного настила, ребра которого не заполнены теплоизоляционным несгораемым материалом на всю длину, следует предусматривать по периметру фонарного проема заполнение ребер настила несгораемыми материалами (минеральной ватой и др.) на ширину 0,25 м.
2.40. При устройстве покрытий зданий с зенитными фонарями, светопропускающее заполнение которых выполняется из полимерных материалов, следует применять утеплители из несгораемых или трудносгораемых материалов. В зданиях с рулонными кровлями, имеющими уклон до 10%, необходимо предусматривать устройство защитного слоя толщиной 10 - 15 мм из гравия с зернами крупностью 5 - 10 мм.
Примечание. В покрытиях с рулонными кровлями, имеющих уклон 10% и более, где в соответствии с нормами проектирования защитный слой не устраивается, светопропускающее заполнение зенитных фонарей рекомендуется выполнять из несгораемых материалов.
2.41. При проектировании зданий с зенитными фонарями часть фонарей с общей площадью световых проемов не менее 0,2% площади пола должна быть оборудована устройствами ручного или автоматического открывания для удаления дыма из помещения в случае пожара. Такие фонари должны быть равномерно распределены по площади покрытия.
2.42. Оценку технико-экономической эффективности применения фонарей в производственных зданиях рекомендуется производить по показателям приведенных затрат и расхода тепловой и электрической энергии. Приведенные затраты учитывают единовременные капиталовложения и эксплуатационные расходы на конструкции и оборудование зданий в части, зависящей от решения освещения. При этом следует руководствоваться указаниями "Инструкции по определению экономической эффективности капитальных вложений в строительстве"
(СН 423-71).
2.43. При сравнительных технико-экономических расчетах эффективности применения фонарей суммарные приведенные затраты
П, руб/(м
2·год), рекомендуется определять с учетом приведенных затрат на покрытие здания и фонари
Пс системы отопления
По, вентиляции
Пв и искусственного освещения
Пи по формуле
П = Пс + По + Пв + Пи. (5)
Расход тепловой энергии Т, ккал/(м2·год), рекомендуется определять по формуле
Т = ТО + ТВ,
где ТО и ТВ - соответственно расход тепловой энергии на системы отопления и вентиляции, ккал/(м2·год).
Расход электрической энергии Э, кВт/(м2·год), рекомендуется определять по формуле
Э = ЭО + ЭВ + ЭИ,
где ЭО, ЭВ и ЭИ - соответственно расход электрической энергии на системы отопления, вентиляции и искусственного освещения, кВт/(м2·год).
Примечание. Методы определения суммарных приведенных затрат и расхода тепловой и электрической энергии при применении фонарей в одноэтажных многопролетных производственных зданиях приводятся в
прил. 2 и
3.
РАСЧЕТ ЕСТЕСТВЕННОГО ОСВЕЩЕНИЯ
Среднее значение КЕО,
eср, в помещениях, освещаемых фонарями, определяется согласно главы
СНиП II-4-79 по формуле

,
где Sф - площадь световых проемов фонарей (в свету), м2;

- общий коэффициент светопропускания заполнения проемов, определяемый по формуле

,
здесь

- коэффициент светопропускания материала;

- коэффициент, учитывающий потери света в переплетах светопроема;

- коэффициент, учитывающий потери света при прохождении через несущие конструкции.
Значения коэффициентов

,

и

приведены в
табл. 4 настоящего приложения;

- коэффициент, учитывающий потери света в солнцезащитных устройствах. Для фонарей без солнцезащитных устройств

;

- коэффициент, учитывающий потери света в защитной сетке, принимаемый равным 0,9;
r2 - коэффициент, учитывающий отраженный свет от поверхностей помещения, принимаемый по
табл. 5 настоящего приложения;
Kф - коэффициент, учитывающий отраженный свет от конструктивных элементов фонаря, принимаемый для прямоугольных светоаэрационных фонарей с вертикальным двусторонним остеклением, равным 1,2 и для зенитных фонарей - 1,1.
Sп - площадь пола помещения, м2;
Kз - коэффициент запаса, принимаемый по
табл. 1 настоящего приложения;

- световая характеристика фонаря, принимаемая по
табл. 2 и
3 настоящего приложения;
Таблица 1
Значения коэффициента запаса Kз
Характеристика производственной среды | Примеры зданий и помещений | Коэффициент запаса Kз при расположении материала |
вертикально | горизонтально |
Содержание пыли, дыма и копоти, мг/м3: | | | |
св. 5 | Агломерационные фабрики, цементные заводы и обрубные отделения литейных цехов | 1,5 | 2 |
от 1 до 5 | Цехи кузнечные, литейные, мартеновские, сварочные, сборного железобетона. | 1,4 | 1,8 |
менее 1 | Цехи инструментальные, сборочные, механические, механосборочные, пошивочные, ткацкие, прядильные, деревообрабатывающие | 1,3 | 1,5 |
Значительные концентрации паров, кислот, щелочей, газов, способных при соприкосновении с влагой образовывать слабые растворы кислот, щелочей, обладающих большой коррозирующей способностью. | Цехи химических заводов по выработке кислот, щелочей, едких химических реактивов, ядохимикатов, удобрений. Цехи гальванических покрытий и гальванопластики различных отраслей промышленности с применением электролиза | 1,5 | 2 |
Таблица 2
Значения световой характеристики
светоаэрационных прямоугольных фонарей 
Число пролетов в помещении | Отношение длины помещения к ширине пролета |
от 1 до 2 | от 2 до 4 | св. 4 |
Отношение высоты (от условной рабочей поверхности до низа несущих конструкций) к ширине пролета |
от 0,2 до 0,4 | от 0,4 до 0,7 | от 0,7 до 1 | от 0,2 до 0,4 | от 0,4 до 0,7 | от 0,7 до 1 | от 0,2 до 0,4 | от 0,4 до 0,7 | от 0,7 до 1 |
1 | 5,8 | 9,4 | 16 | 4,6 | 6,8 | 10,5 | 4,4 | 6,4 | 9,1 |
2 | 5,2 | 7,5 | 12,8 | 4 | 5,1 | 7,8 | 3,7 | 6,4 | 6,5 |
3 и более | 4,8 | 6,7 | 11,4 | 3,8 | 4,5 | 6,9 | 3,4 | 4 | 5,6 |
Таблица 3
Значения световой характеристики зенитных фонарей 
Схема фонаря | Отношение площади нижнего светового проема фонаря S2 к сумме площадей верхнего проема S1 и поверхности стенок опорного контура Sб | Индекс помещения <*> |
0,5 | 0,7 | 1 | 1,25 | 1,5 | 2 | 2,5 | 3 | 4 | 5 |
| 0,05 | 25 | 19 | 16 | 14,3 | 13,3 | 12 | 11,5 | 11 | 10,5 | 10 |
0,1 | 13 | 10,3 | 8,5 | 7,7 | 7 | 6,3 | 6 | 5,8 | 5,5 | 5,4 |
0,2 | 7 | 5,6 | 4,6 | 4,2 | 3,8 | 3,4 | 3,3 | 3,1 | 3 | 2,9 |
0,3 | 5 | 4 | 3,3 | 2,9 | 2,7 | 2,4 | 2,3 | 2,2 | 2,1 | 2 |
0,4 | 4,2 | 3,3 | 2,7 | 2,4 | 2,2 | 2 | 1,9 | 1,85 | 1,8 | 1,7 |
0,5 | 3,7 | 2,9 | 2,4 | 2,1 | 2 | 1,8 | 1,7 | 1,6 | 1,55 | 1,5 |
0,6 | 3,3 | 2,6 | 2,1 | 1,9 | 1,8 | 1,6 | 1,5 | 1,45 | 1,4 | 1,3 |
0,7 | 3,1 | 2,4 | 2 | 1,8 | 1,6 | 1,5 | 1,4 | 1,35 | 1,3 | 1,25 |
0,8 | 2,9 | 2,3 | 1,9 | 1,7 | 1,55 | 1,4 | 1,35 | 1,3 | 1,2 | 1,2 |
0,9 | 2,8 | 2,2 | 1,8 | 1,6 | 1,5 | 1,35 | 1,3 | 1,25 | 1,2 | 1,15 |
--------------------------------
<*>
lп - длина помещения вдоль оси пролетов;
b - ширина помещения;
Hрп - высота от условной рабочей поверхности до покрытия.
Таблица 4
Значения коэффициентов
,
, 
Вид светопропускающего материала | | Переплеты | | Вид несущих конструкций | |
Стекло листовое плоское или криволинейное: | | Стальные из прокатных профилей: | | Фермы: | |
одинарное | 0,9 | одинарные открывающиеся | 0,75 | стальные | 0,9 |
двойное | 0,8 | " глухие | 0,9 | железобетонные или деревянные | 0,8 |
тройное | 0,75 | двойные открывающиеся | 0,6 | Балки: | |
Одинарное армированное | 0,6 | " глухие | 0,8 | высотой 50 см и более | 0,8 |
Солнцезащитное | 0,65 | Стальные из прямоугольных труб, одинарные открывающиеся | 0,9 | менее 50 см | 0,9 |
Органическое стекло: | | | | структурные конструкции | 0,95 |
прозрачное | 0,9 | | | | |
молочное | 0,6 | | | | |
Таблица 5
Отношение расстояния от рабочей поверхности до низа светового проема к ширине пролета | Средневзвешенный коэффициент отражения потолка, стен и пола  |
0,5 | 0,4 | 0,3 |
Число пролетов |
1 | 2 | 3 и более | 1 | 2 | 3 и более | 1 | 2 | 3 и более |
2 | 1,7 | 1,5 | 1,15 | 1,6 | 1,4 | 1,1 | 1,4 | 1,1 | 1,05 |
1 | 1,5 | 1,4 | 1,14 | 1,4 | 1,3 | 1,1 | 13 | 1,1 | 1,05 |
0,75 | 1,45 | 1,35 | 1,15 | 1,35 | 1,25 | 1,1 | 1,25 | 1,1 | 1,05 |
0,5 | 1,4 | 1,3 | 1,15 | 1,3 | 1,2 | 1,1 | 1,2 | 1,1 | 1,05 |
0,29 | 1,35 | 1,25 | 1,15 | 1,25 | 1,15 | 1,1 | 1,15 | 1,1 | 1,05 |
МЕТОД ОПРЕДЕЛЕНИЯ СУММАРНЫХ ПРИВЕДЕННЫХ ЗАТРАТ
ПРИ ПРИМЕНЕНИИ ФОНАРЕЙ В ОДНОЭТАЖНЫХ МНОГОПРОЛЕТНЫХ
ПРОИЗВОДСТВЕННЫХ ЗДАНИЯХ
Суммарные приведенные затраты П, руб./(м2·год), при сравнительной технико-экономической оценке эффективности применения фонарей в одноэтажных многопролетных производственных зданиях определяются по формуле
П = Пс + По + Пв + Пи,
где
Пс = 0,173(Sп.фИф + Sп.пИп.п) + Sо.фИоч;
Примечание. Если разность

,
то при определении По она принимается равной нулю.
Пи = 41·10-4E + Eт(7·10-7 + 66·10-6Иэ),
где Sп.ф - отношение площади горизонтальной проекции конструкций фонарей к площади пола зданий;
Sп.п - отношение площади горизонтальной проекции покрытия к площади пола здания;
Sо.ф - отношение общей площади остекления фонарей к площади пола здания;
Иф - сметная стоимость фонаря, отнесенная к 1 м2 горизонтальной проекции его конструкции, руб.;
Ип.п - сметная стоимость покрытия, отнесенная к 1 м2 его проекции, руб.;
Иоч - стоимость очистки остекления фонаря, руб/(м2·год), принимаемая по табл. 1 настоящего приложения.
Таблица 1
Стоимость очистки остекления фонаря
Условия производственной среды | Иоч, руб/м2·год |
Нормальные (содержание пыли, копоти в воздухе до 2 мг/м3) | 0,31 |
Средние (то же, от 2 до 5 мг/м3) | 0,46 |
Тяжелые (то же, св. 5 мг/м3) | 0,62 |
Примечания: 1. В таблице указана стоимость очистки остекления для условий эксплуатации зданий в Москве и Московской области. Для зданий, расположенных в других районах СССР, стоимость очистки остекления определяют умножением значений
Иоч на коэффициент
Ст, принимаемый по
табл. 2 настоящего приложения.
2. Стоимость очистки остекления дана для двухсменного режима работы в помещениях. При односменной работе указанные значения следует умножать на коэффициент 0,7, а при трехсменной - на коэффициент 1,3.
Таблица 2
Территориальные коэффициенты
Территориальный район <1> | Коэффициент Ст |
1, 6, 10 | 1 |
8, 9, 12, 13, 19 | 1,1 |
7, 11, 14, 15, 18 | 1,15 |
16 | 1,25 |
17 | 1,35 |
--------------------------------
<1> Распределение территориальных районов СССР приведено в
прил. 4.
Иэ - стоимость электроэнергии, руб/(кВт·ч), принимаемая по действующим тарифам;
Ит - стоимость тепловой энергии, руб/Гкал, принимаемая по действующим тарифам;
Ив.в - стоимость устройства вытяжной вентиляции, ориентировочно принимаемая равной 0,02 руб/(м3·ч) (учитывается только в расчетах зданий с зенитными фонарями);
Rо, Rп.п - сопротивление теплопередаче соответственно светопропускающего заполнения и покрытия здания, м2·ч·°C/ккал;
В - величина, учитывающая изменение расчетной температуры внутреннего воздуха за счет избытков явного тепла, определяемая по формуле
где tн - средняя температура наиболее холодной пятидневки, °C, принимаемая по главе II-А.6-72 СНиП "Строительная климатология и геофизика";
tср - средняя расчетная температура воздуха в отопительный период, принимаемая по главе СНиП II-А.6-72;
Kг - годовая продолжительность отопительного периода, сутки, принимаемая в зависимости от района строительства по главе СНиП II-А.6-72;
Kр - продолжительность рабочего времени в сутки, ч;
Kд - продолжительность работы дежурного отопления в сутки, ч;
H - высота помещения до покрытия, м;
Q - суммарные избытки тепла в помещении, ккал/(м
3·ч), определяемые согласно
п. 2.30;
Qп - избытки тепла, поступающего от производственных процессов, ккал/м3·ч;
tр - разница между температурой воздуха в рабочей зоне помещения и температурой приточного воздуха, °C. При Q <= 20 ккал/(м3·ч) tр = 3 °C, а при Q > 20 ккал/(м3·ч) tр = 5 °C;
z = 0,42 кВт/(м3·год) - расход электроэнергии на вытяжную вентиляцию (учитывается только в расчетах зданий со световыми зенитными фонарями);
A - расход тепловой энергии на эксплуатацию системы вентиляции здания, ккал/(м2·ч), определяемый по формуле

,
здесь
tв - допустимая температура воздуха в рабочей зоне, °C, принимаемая в зависимости от суммарных избытков тепла в помещении и категории работ по
табл. 3 настоящего приложения;
tв.з - средняя температура воздуха наиболее холодного периода, °C, принимаемая по главе СНиП II-А.6-72;
Суммарные избытки тепла в производственных помещениях | Категория работ | Допустимая температура воздуха в рабочей зоне tв, °C, в холодный и переходный периоды |
Незначительные [до 20 ккал/(м3·ч)] | Легкая | 17 - 22 |
Средней тяжести | 15 - 20 |
Тяжелая | 13 - 18 |
Значительные [св. 20 ккал/(м3·ч)] | Легкая | 17 - 24 |
Средней тяжести | 16 - 22 |
Тяжелая | 13 - 17 |
E - нормированный уровень искусственной освещенности, лк, принимаемый в зависимости от разряда зрительной работы по
табл. 1 СНиП II-4-79;
т - время использования установок искусственного освещения, ч/год, определяемое по предложению НИИСФ по формуле
т = 103(Tо + Tиeср-u),
где eср - расчетное значение КЕО в помещении, %;
Tо - продолжительность использования установок искусственного освещения при естественном освещении, создаваемом светом полностью открытого небосвода, тыс. ч/год, принимаемая по
табл. 4;
Tи - дополнительное время использования установок искусственного освещения для обеспечения КЕО, равного 1%, тыс. ч/год, принимаемое по
табл. 4;
u - коэффициент, учитывающий время работы в помещении в зависимости от числа рабочих смен, принимаемый по табл. 4.
Число рабочих смен в сутки | Нормированный уровень искусственной освещенности, лк | Пояс светового климата |
I | II | III | IV | V |
u | Tо | Tи | u | Tо | Tи | u | Tо | Tи | u | Tо | Tи | u | Tо | Tи |
1 | 150 | 1,1 | 0,47 | 1 | 1,1 | 0,38 | 1 | 1,1 | 0,15 | 1 | 1,3 | 0,02 | 1 | 2,1 | 0,02 | 1 |
200 | 1,39 | 1,39 | 1,39 | 1,39 | 1,39 |
300 | 1,88 | 2,01 | 2,28 | 2,62 | 3,02 |
400 | 3,24 | 3,35 | 3,57 | 4 | 4,5 |
2 | 150 | 0,7 | 1,51 | 2,02 | 0,7 | 1,33 | 2,02 | 0,8 | 1,31 | 2,02 | 1 | 1,3 | 2,02 | 1,2 | 1,26 | 2,02 |
200 | 2,61 | 2,61 | 2,61 | 2,61 | 2,61 |
300 | 3,34 | 3,51 | 3,62 | 3,77 | 3,93 |
400 | 4,29 | 4,38 | 4,48 | 4,72 | 5,12 |
3 | 150 | 0,6 | 3,08 | 2,51 | 0,6 | 3,08 | 2,51 | 0,6 | 3,08 | 2,51 | 0,8 | 3,08 | 2,51 | 1,1 | 3,08 | 2,51 |
200 | 3,2 | 3,2 | 3,2 | 3,2 | 3,2 |
300 | 3,82 | 3,9 | 4 | 4,14 | 4,28 |
400 | 4,65 | 4,7 | 4,78 | 4,89 | 5,32 |
МЕТОД ОПРЕДЕЛЕНИЯ РАСХОДА ТЕПЛОВОЙ И ЭЛЕКТРИЧЕСКОЙ
ЭНЕРГИИ НА ПРОИЗВОДСТВЕННЫЕ ЗДАНИЯ С ФОНАРЯМИ
Расход тепловой энергии на здания в части, зависящей от решения освещения Т, ккал/(м2·год), определяется суммированием расхода энергии на систему отопления ТО и вентиляции ТВ и находится по формуле
Т = ТО + ТВ,
где

.
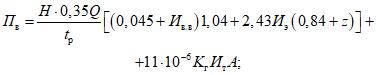
ТВ = 11·10-6 Кг А.
Расход электрической энергии на здания в части, зависящей от решения освещения Э, кВт/(м2·год), определяется суммированием расхода на системы отопления ЭО, вентиляции ЭВ и искусственного освещения ЭИ и определяется по формуле
Э = ЭО + ЭВ + ЭИ,
где

;

;
ЭИ = Eт (7·10-7 + 66·10-6).
Буквенные обозначения в формулах для определения ТО, ТВ, ЭО, ЭВ и ЭИ такие же, как обозначения в формулах для определения суммарных приведенных затрат По, Пв, Пи.
При расчете ЭО следует учитывать
примечание, приведенное к формуле по определению П
о.
РАСПРЕДЕЛЕНИЕ ОБЛАСТЕЙ, КРАЕВ И РЕСПУБЛИК СССР
ПО ТЕРРИТОРИАЛЬНЫМ РАЙОНАМ
1-й район Черниговская область
Брянская область Черновицкая "
Владимирская " 4-й район
Вологодская " Башкирская АССР
Ивановская " Горьковская область
Калининская " Кировская "
Калужская " Куйбышевская "
Костромская " Марийская АССР
Ленинградская " Мордовская АССР
Московская " Пензенская область
Новгородская " Саратовская "
Орловская " Татарская АССР
Псковская " Ульяновская область
Рязанская " Чувашская АССР
Смоленская " 5-й район
Тульская " Астраханская область
Ярославская " Белгородская "
2-й район Волгоградская "
Белорусская ССР Воронежская "
Калининградская область Калмыцкая АССР
Латвийская ССР Курская область
Литовская ССР Липецкая "
Эстонская ССР Тамбовская "
3-й район 6-й район
Винницкая область Дагестанская АССР
Волынская " Кабардино-Балкарская АССР
Днепропетровская " Краснодарский край
Донецкая " Ростовская область
Житомирская " Северо-Осетинская АССР
Закарпатская " Ставропольский край
Запорожская " Чечено-Ингушская АССР
Ивано-Франковская " 7-й район
Киевская " Архангельская область
Кировоградская " (южнее Полярного круга)
Крымская " Карельская АССР
Луганская " 8-й район
Львовская " Пермская область
Молдавская ССР Удмуртская АССР
Николаевская область 9-й район
Одесская " Курганская область
Полтавская " Оренбургская "
Ровенская " Свердловская "
Сумская " Тюменская "
Тернопольская " (южнее 60-й параллели)
Харьковская " Челябинская область
Херсонская " 10-й район
Хмельницкая " Азербайджанская ССР
Черкасская " Армянская ССР
Грузинская ССР 14-й район
11-й район Красноярский край (южнее
Киргизская ССР 60-й параллели и кроме
Таджикская ССР Тувинской АССР)
Туркменская ССР 15-й район
Узбекская ССР Бурятская АССР
Иркутская область
12-й район (южнее 60-й параллели)
Актюбинская область Читинская область
Гурьевская " 16-й район
Джамбулская " Амурская область
Кзыл-Ординская " Приморский край
Уральская " Хабаровский "
Чимкентская " (южнее 55-й параллели)
17-й район
13-й район Мурманская область
Алма-Атинская область 18-й район
Восточно-Казахстанская область Коми АССР
Карагандинская " (южнее Полярного круга)
Кокчетавская " 19-й район
Кустанайская " Алтайский край
Павлодарская " Кемеровская область
Северо-Казахстанская область Новосибирская "
Семипалатинская " Омская "
Талды-Курганская " Томская "
Целиноградская " (южнее 60-й параллели)