Главная // Актуальные документы // Рекомендация / РекомендацииСПРАВКА
Источник публикации
Документ опубликован не был
Примечание к документу
Документ утратил силу в связи с введением в действие
МИ 2707-2012, утв. ФГУП "ВНИИФТРИ" 28.04.2010.
Название документа
"МИ 2707-2001. Рекомендация. Государственная система обеспечения единства измерений. Вода питьевая. Интерпретация результатов измерений радиоактивности и требования к точности аппаратурно-методического обеспечения измерений"
(утв. ГНМЦ "ВНИИФТРИ" 03.12.2001)
"МИ 2707-2001. Рекомендация. Государственная система обеспечения единства измерений. Вода питьевая. Интерпретация результатов измерений радиоактивности и требования к точности аппаратурно-методического обеспечения измерений"
(утв. ГНМЦ "ВНИИФТРИ" 03.12.2001)
Утверждена
ГНМЦ "ВНИИФТРИ"
3 декабря 2001 года
РЕКОМЕНДАЦИЯ
ГОСУДАРСТВЕННАЯ СИСТЕМА ОБЕСПЕЧЕНИЯ ЕДИНСТВА ИЗМЕРЕНИЙ
ВОДА ПИТЬЕВАЯ. ИНТЕРПРЕТАЦИЯ РЕЗУЛЬТАТОВ ИЗМЕРЕНИЙ
РАДИОАКТИВНОСТИ И ТРЕБОВАНИЯ К ТОЧНОСТИ
АППАРАТУРНО-МЕТОДИЧЕСКОГО ОБЕСПЕЧЕНИЯ ИЗМЕРЕНИЙ
МИ 2707-2001
Рекомендация устанавливает порядок интерпретации результатов измерений и требования к точности аппаратурно-методического обеспечения при проведении измерений радиоактивности проб питьевой воды на основе дозовых пределов, принятых в
НРБ-99 для обеспечения радиационной безопасности населения России в условиях нормальной радиационной обстановки (т.е. при отсутствии радиоактивного загрязнения питьевой воды за счет злоумышления или аварии).
1. Разработана Центром метрологии ионизирующих излучений Государственного научного метрологического центра "ВНИИФТРИ".
Исполнители Антропов С.Ю., Ермилов А.П., Ермилов С.А., Комаров Н.А., Крохин И.И., Ярына В.П.
2. Утверждена ГНМЦ "ВНИИФТРИ" 03 декабря 2001 г.
3. Зарегистрирована ВНИИМС 27 декабря 2001 г.
4. Введена впервые.
Рекомендация устанавливает порядок интерпретации результатов измерений и требования к точности аппаратурно-методического обеспечения при проведении измерений радиоактивности проб питьевой воды на основе дозовых пределов, принятых в
НРБ-99 для обеспечения радиационной безопасности населения России в условиях нормальной радиационной обстановки (т.е. при отсутствии радиоактивного загрязнения питьевой воды за счет злоумышления или аварии).
Требования к точности и порядок интерпретации результатов измерений, установленные в настоящей Рекомендации, предназначены для использования при разработке средств измерений, методик приготовления счетных образцов и выполнения измерений их активности при определении радиационной безопасности проб питьевой воды.
2. ОСНОВНЫЕ ПОЛОЖЕНИЯ
НРБ-99 ПРИМЕНИТЕЛЬНО К ОБЕСПЕЧЕНИЮ
РАДИАЦИОННОЙ БЕЗОПАСНОСТИ ПИТЬЕВОЙ ВОДЫ
2.1. За значение индивидуальной средней годовой эффективной дозы E, м3в, от потребления питьевой воды принимают
где

- дозовый коэффициент радионуклида "i" при поступлении в организм человека с питьевой водой;

- значение среднегодовой удельной активности радионуклида "i" в питьевой воде;
П, кг/год - среднегодовое потребление питьевой воды, составляющее для стандартного человека 730 кг/год при суточном потреблении 2 кг/сут.
2.2. Радиоактивность воды не подлежит регламентированию, если значение E не превышает 0,1 м3в.
В этом случае принимают, что вклад радиоактивности питьевой воды в индивидуальную эффективную дозу населения составляет "менее 0,1 м3в/год".
Если потребление питьевой воды может привести к превышению уровня 0,1 м3в в год, необходимо проведение специального исследования радиоактивности данного источника питьевой воды для принятия решения на основе принципов обоснования и оптимизации вмешательства.
Дозовый вклад радиоактивности питьевой воды не превышает 0,1 м3в в год, если выполняется соотношение
где

- уровень вмешательства по радионуклиду "i" - среднегодовая удельная активность радионуклида "i" в питьевой воде, приводящая к вкладу в индивидуальную эффективную дозу 0,1 м3в в год. Значения

приведены в НРБ-99
(Приложение П2).
С использованием

дозовый вклад радиоактивности питьевой воды вместо
формулы (1) можно определить по формуле
2.3. Если вклад в годовую эффективную индивидуальную дозу от поступления конкретного i-радионуклида с питьевой водой не превышает значения 10 мк3в в год, вклад активности этого радионуклида в питьевой воде в эффективную дозу не учитывают.
Таким образом, если для радионуклида "i"
то в
(1),
(2) и
(3) для данного радионуклида следует принимать

.
2.4. При отсутствии радиоактивного загрязнения питьевой воды за счет аварий или злоумышления в настоящее время в России превышение уровня удельной активности

в питьевой воде может осуществляться только для некоторых естественных радионуклидов (ЕРН) из рядов

,

, представленных ниже.
Уровни вмешательства для радионуклидов из этих рядов, активность которых в питьевой воде может превысить установленные
условием (4) значения, приведены в таблице 1.
р/н | | | | | | | | | | | |
| 3,1 | 2,9 | 0,6 | 0,66 | 1,9 | 0,2 | 0,5 | 2,1 | 60 | 0,2 | 0,12 |
2.5. Учет активности

в пробах питьевой воды проводят особо.

- благородный газ, содержание которого в воде может быть приведено в соответствие с требованием
условия (4) путем простейших способов обработки (кипячение, выдержка и т.д.). При учете удельной активности

в
соотношениях (1),
(2),
(3) следует считать, что удельная активность

удовлетворяет
условию (4). При обнаружении повышенного содержания

проводят соответствующую обработку воды перед ее употреблением в качестве питьевой.
Наряду с ЕРН рядов

и

в питьевой воде всегда присутствуют радионуклиды ряда

,

, космогенные радионуклиды

,

, которые могут иметь и техногенное происхождение, техногенные радионуклиды

,

и др. Эти радионуклиды не входят в
таблицу 1, поскольку в настоящее время повсеместно в России их активность в питьевой воде удовлетворяет
условию (4).
2.6. Для упрощенного предварительного контроля радиоактивности питьевой воды выполняют измерения удельной общей (суммарной) альфа- и бета-активности проб питьевой воды,

и

.
Удельной общей (суммарной) альфа- или бета-активностью (соответственно,

или

) называют скорость образования альфа- или бета-частиц за счет распада всех радионуклидов, содержащихся в единице массы данного вещества, т.е.
где

- удельная активность радионуклида "i" в данной пробе воды, а

и

- соответственно, выход

и

на распад радионуклида "i".
2.7. Принимают, что дозовый вклад радиоактивности воды не превышает 0,1 м3в в год, если для

и

одновременно выполнены условия "предварительной оценки"
Необходимо отметить, что условие (8) противоречит основному условию
п. 2.2, поскольку значения уровня вмешательства бета-излучающих радионуклидов

и

из
таблицы 1 составляют

. Поэтому при проведении радиационного контроля условие (8) имеет консультативное значение.
2.8. Результаты измерений общей активности можно использовать для контроля УВ по
условию (2). В этом случае
условие (2) имеет вид
Здесь

и

нормируют на наименьшие значения

для радионуклидов из
таблицы 1, которые составляют для альфа- и бета-активных радионуклидов, соответственно,

и

.
Если наряду с

,

проведено измерение

, то вместо
(9) используют соотношение
Здесь

нормируют на

.
2.9. При проведении измерений общей активности исключают вклад в

и

активности изотопов

и

вместе с активностью их дочерних радионуклидов

,

,

,

,

,

,

,

,

, а также активность ЕРН

.
3. ПРЕДСТАВЛЕНИЕ РЕЗУЛЬТАТОВ ИЗМЕРЕНИЙ РАДИАЦИОННОГО
КОНТРОЛЯ ПРОБ ПИТЬЕВОЙ ВОДЫ
3.1. Результаты измерений радиационного контроля представляют в соответствии с общими требованиями, установленными в
МИ 2453-2000.
3.2. Радиационный контроль питьевой воды проводят путем измерений удельной активности указанных в
таблице 1 радионуклидов, а также общей альфа-, бета-активности в пробах воды, отбираемых в установленном порядке.
3.3. Результатом измерений удельной активности

радионуклида "i" являются измеренное значение

и интервал неопределенности значений

, соответствующий данным измерениям для доверительной вероятности P = 0,95, т.е.
где
где
где

- абсолютная случайная составляющая неопределенности,

- относительная доверительная погрешность применяемых средств и методики выполнения измерений.
Если при измерениях величины

оказалось, что

, а

, то в
(11) принимают

.
Если при разностных измерениях из-за статистических флуктуаций оказалось, что

, то в
(11) принимают

, а

.
3.4. Принимают

и

, если по результатам измерений
3.5. Положения
п. 3.3 правомочны и при представлении результатов измерений общей альфа- и бета-активности,

и

.
4. КОНТРОЛЬ СООТВЕТСТВИЯ РАДИОАКТИВНОСТИ ПРОБ ПИТЬЕВОЙ
ВОДЫ НОРМАТИВНЫМ УРОВНЯМ
4.1. Контроль соответствия радиоактивности проб питьевой воды требованиям
НРБ осуществляют с использованием показателя соответствия "B" (см.
п. 5). Результатом определения "B" является область его возможных значений при доверительной вероятности P = 0,95, т.е.
4.2. Радиоактивность пробы не превышает установленного норматива, если
4.3. Радиоактивность пробы превышает установленный норматив, если
4.4. В случае
радиоактивность воды может быть признана превышающей норматив, если результаты определения B удовлетворяют условию точности
5. РАСЧЕТ ПОКАЗАТЕЛЯ СООТВЕТСТВИЯ ПРИ РАДИАЦИОННОМ
КОНТРОЛЕ ПРОБ ПИТЬЕВОЙ ВОДЫ
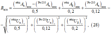
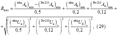
5.1. Если контроль проводят в соответствии с условиями "предварительной оценки" (по
п. 2.7), то значения показателя соответствия рассчитывают для общей

и

отдельно
где
Значения

и

рассчитывают аналогично.
5.4. Если при радиационном контроле пробы воды измерены

для всех радионуклидов из
табл. 1, то
6. КОНТРОЛЬ ЗА СОБЛЮДЕНИЕМ ПРЕДЕЛЬНЫХ ЗНАЧЕНИЙ
6.1. Если в установленном порядке вводят предельное значение (ПД) годовой эффективной дозы или какое-либо другое ограничение радиоактивности питьевой воды, то во всех соотношениях при определении показателя соответствия все значения

заменяют на значения предельных уровней

, соответствующих вводимому пределу дозы
6.2. Контроль за непревышением введенного ПД осуществляют в соответствии с
разделом 4 настоящей Рекомендации.
7. ТОЧНОСТЬ АППАРАТУРНО-МЕТОДИЧЕСКОГО ОБЕСПЕЧЕНИЯ
РАДИОАКТИВНОГО КОНТРОЛЯ ПРОБ ПИТЬЕВОЙ ВОДЫ
Для проведения в полном объеме радиационного контроля проб питьевой воды в соответствии с положениями настоящих Рекомендаций достаточно, чтобы аппаратурно-методическое обеспечение контроля позволяло получить по каждому из радионуклидов, указанных в
таблице 1, значение неопределенности измерения пробы нулевой активности, т.е.

определяется согласно
п. 3.3 как

при измерении активности радионуклида "i", проведенном в полном соответствии с принятой МВИ, путем измерения фона установки как пробы, содержащей радионуклид "i".
8. БИБЛИОГРАФИЯ
1.
Нормы радиационной безопасности (НРБ-99). СП 2.6.1.758-99. Минздрав России, 1999.
2.
МИ 2453-2000 Методики радиационного контроля. Общие требования.