Главная // Актуальные документы // Рекомендация / РекомендацииСПРАВКА
Источник публикации
М., 2012
Примечание к документу
Название документа
"МИ 2707-2012. Рекомендация. Государственная система обеспечения единства измерений. Вода питьевая. Интерпретация результатов измерений радиоактивности и требования к точности аппаратурно-методического обеспечения измерений"
(утв. ФГУП "ВНИИФТРИ" 28.04.2010)
"МИ 2707-2012. Рекомендация. Государственная система обеспечения единства измерений. Вода питьевая. Интерпретация результатов измерений радиоактивности и требования к точности аппаратурно-методического обеспечения измерений"
(утв. ФГУП "ВНИИФТРИ" 28.04.2010)
Утверждаю
Заместитель генерального директора
ФГУП "ВНИИФТРИ" по научной работе
М.В.БАЛАХАНОВ
28 апреля 2010 года
РЕКОМЕНДАЦИЯ
ГОСУДАРСТВЕННАЯ СИСТЕМА ОБЕСПЕЧЕНИЯ ЕДИНСТВА ИЗМЕРЕНИЙ
ВОДА ПИТЬЕВАЯ
ИНТЕРПРЕТАЦИЯ РЕЗУЛЬТАТОВ ИЗМЕРЕНИЙ РАДИОАКТИВНОСТИ
И ТРЕБОВАНИЯ К ТОЧНОСТИ АППАРАТУРНО-МЕТОДИЧЕСКОГО
ОБЕСПЕЧЕНИЯ ИЗМЕРЕНИЙ
МИ 2707-2012
1. РАЗРАБОТАНА | Исполнители: |
| Антропов С.Ю. |
| Ермилов А.П. |
| Ермилов С.А. |
| Комаров Н.А. |
| Коновалов И.С. |
| Крохин И.И. |
| Ярына В.П. |
2. УТВЕРЖДЕНА | ФГУП "ВНИИФТРИ". |
3. ЗАРЕГИСТРИРОВАНА | ФГУП "ВНИИМС". |
4. ВВЕДЕНА | |
1.1. Рекомендация устанавливает правила интерпретации результатов измерений и требования к точности аппаратурно-методического обеспечения при проведении измерений радиоактивности проб питьевой воды на основе дозовых пределов, принятых в
[1] для обеспечения радиационной безопасности населения России в условиях нормальной радиационной обстановки (т.е. при отсутствии радиоактивного загрязнения питьевой воды за счет злоумышления или аварии).
1.2. Требования к точности и порядок интерпретации результатов измерений, установленные в настоящей рекомендации, предназначены для использования при выборе и разработке средств измерений, методик приготовления счетных образцов и выполнения измерений активности при определении радиационной безопасности питьевой воды.
2. Основные положения применительно к обеспечению радиационной безопасности питьевой воды
2.1. Ограничения по удельной активности радионуклидов в питьевой воде установлены в
[2] по значению годовой индивидуальной эффективной дозы населения,
E, мЗв.
При значении E <= 0,1 мЗв употребление воды источника водопользования не подлежит каким-либо ограничениям по части радиационной безопасности.
При 0,1 < E <= 1,0 мЗв следуют принципу оптимального вмешательства, т.е. если обстоятельства позволяют каким-либо образом уменьшить значение вклада, то надо ими воспользоваться.
При E > 1,0 мЗв на употребление воды данного источника водопользования для питья необходимо получить разрешение уполномоченного органа Роспотребнадзора.
2.2. Если вклад активности радионуклида в значение годовой эффективной дозы не превышает уровня 10 мкЗв, активность этого радионуклида не учитывают.
2.3. В настоящее время на всей территории России вклад в эффективную дозу населения за счет радиоактивности питьевой воды обусловлен естественными радионуклидами (ЕРН) рядов 238U, 232Th, 235U.
Значимый вклад в дозу, т.е. превышающий уровень 10 мкЗв в год, практически может быть обусловлен альфа-излучающими ЕРН:
238U, 234U, 232Th, 230Th, 228Th, 226Ra, 224Ra, 210Po
и бета-излучающими ЕРН:
228Ra, 210Pb.
В воде также содержатся долгоживущие ЕРН 40K, 87Rb, 48Ca, 96Zr, космогенные 14C, 3H, 7Be, техногенный 129I и др., но их вклад в облучение населения за счет потребления с питьевой водой не превышает 10 мкЗв в год.
Учет активности 222Rn в воде проводят особо. Радон - благородный газ, и его содержание в питьевой воде может быть доведено до сколь угодно малого уровня за счет простейших способов обработки воды (кипячение, выдержка и т.д.), поэтому при определении значения вклада радиоактивности питьевой воды в дозу активность 222Rn в воде не учитывают.
2.4. В
Приложении 2а к
[1] приведены значения уровня вмешательства
iУВ для всех нормируемых радионуклидов. По определению при значении удельной активности радионуклида "
i" в питьевой воде
iQ =
iУВ его вклад в значение дозы составляет 0,1 мЗв в год. Таким образом, вклад радиоактивности воды в значение годовой индивидуальной эффективной дозы населения
E составляет:

(1)
В таблице приведены значения iУВ для ЕРН, вклад которых в значение годовой эффективной дозы на практике может превышать уровень 10 мкЗв.
| 238U | 234U | 232Th | 230Th | 228Th | 228Ra | 226Ra | 224Ra | 210Pb | 210Po | 222Rn |
iУВ, Бк/кг | 3,1 | 2,9 | 0,6 | 0,66 | 1,9 | 0,2 | 0,5 | 2,1 | 0,2 | 0,12 | 60 |
2.5. Наряду с приведенными дозовыми критериями в
НРБ-99/2009 введено понятие "предварительной оценки" радиационной безопасности питьевой воды по удельной общей (суммарной) активности

ЕРН и

ЕРН <1>.
--------------------------------
<1> Удельной общей (суммарной) альфа- или бета-активностью, соответственно

или

, называют скорость образования альфа- или бета-частиц за счет распада всех радионуклидов, содержащихся в единице массы данного вещества, т.е.:
где
iQ - удельная активность р/н
i в пробе, а

и

- выход альфа- и бета-частиц на распад радионуклида
i.
Употребление воды данного источника водопользования не подлежит каким-либо ограничениям по части радиационной безопасности, если в питьевой воде:

(2)

(3)
Для сопоставимости и воспроизводимости результатов определения соответствия питьевой воды этим условиям применяется единый способ концентрирования активности - выпаривание. Соответственно этому способу из значений величин

и

в (2) и (3) должны быть исключены значения активности
220Rn вместе с дочерними продуктами распада и
222Rn вместе с его короткоживущими продуктами распада -
218Po,
214Pb,
214Bi и
214Po.
2.6. Если приготовление счетного образца общей активности проводят по химической методике, в рамках которой в счетный образец не попадает ЕРН 40K, то вода данного источника водопользования не подлежит каким-либо ограничениям по части радиационной безопасности при выполнении условия:

(4)
Здесь

- удельная общая бета-активность

без
40K, а также без
220Rn и
222Rn и их дочерних по
п. 2.5. Значение 0,2 Бк/кг при

-
УВ для ЕРН
228Ra и
210Pb.
| | ИС МЕГАНОРМ: примечание. В официальном тексте документа, видимо, допущена опечатка. Возможно, имеется в виду формула (4), а не формула (6). | |
Если наряду с

и

проведено измерение удельной активности
Po-210Q, то вместо
(6) используют:

(5)
Здесь 0,12 Бк/кг = Po-210(УВ) и 0,5 Бк/кг = Ra226(УВ) для альфа-излучающих ЕРН, а 0,2 Бк/кг = Ra228(УВ) = Pb-210(УВ) - для бета-излучающих радионуклидов.
3. Представление результатов измерений радиационного контроля проб питьевой воды
3.1. Результаты измерений радиационного контроля представляют в соответствии с общими требованиями, установленными в
[4].
3.2. Радиационный контроль питьевой воды проводят путем измерений удельной активности указанных в
таблице радионуклидов, а также общей альфа-, бета-активности в пробах воды, отбираемых в установленном порядке.
3.3. Результатом измерения удельной активности
iQ радионуклида
i являются измеренное значение
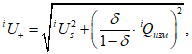
iQизм и расширенная неопределенность
iU (с коэффициентом охвата K = 2, P = 0,95), соответствующая данному измерению:
iQmin < iQ <= iQmax, (6)
iQmin = iQизм - iU-, (7)

(9)

(10)
где iUs - абсолютная случайная составляющая неопределенности,

- относительная доверительная погрешность применяемых средств и методики выполнения измерений.
Если при измерениях величины
iQ оказалось, что
iQизм > 0, а
iQmin <= 0, то в
(11) принимают
iQmin = 0.
Если при разностных измерениях из-за статистических флуктуаций оказалось, что
iQизм <= 0, то в
(8) принимают
iQmin =
iQизм = 0, а
iQmax =
Us.
3.4. Положения
п. 3.3 правомочны и при представлении результатов измерений общей (суммарной) альфа- и бета-активности,

и

.
3.5. Принимают iQизм = 0 и iQmax = 0, если по результатам измерений
4. Контроль соответствия радиоактивности проб питьевой воды нормативным уровням
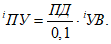
4.1. Контроль соответствия радиоактивности проб питьевой воды требованиям радиационной безопасности осуществляют с использованием показателя соответствия
B (см. далее
п. 5). Результатом определения
B является область его возможных значений, т.е.:
Bmin < B <= Bmax. (12)
4.2. Радиоактивность пробы не превышает установленного норматива, если:
Bmax <= 1. (13)
4.3. Радиоактивность пробы превышает установленный норматив, если:
Bmin > 1. (14)
4.4. В случае
Bmin <= 1 < Bmax (15)
радиоактивность воды признают превышающей норматив, если результаты определения B удовлетворяют условию точности

(16)
5. Расчет показателя соответствия при радиационном контроле проб питьевой воды
5.1. Если контроль проводят в соответствии с условиями "предварительной оценки" (по
п. 2.5), то значения показателя соответствия рассчитывают для общей альфа- и бета-активности отдельно:

(17)

(18)
где

(19)

(20)
Значения

и

рассчитывают аналогично.

(21)

(22)

(23)

(24)
5.4. Если при радиационном контроле пробы воды измерены значения для всех радионуклидов из таблицы, то

(25)

(26)
6. Контроль соблюдения предельных дозовых ограничений
6.1. Если в установленном порядке вводят предельное значение (ПД) годовой эффективной дозы для питьевой воды, то во всех соотношениях при определении показателя соответствия все значения iУВ заменяют на значения предельных уровней (iПУ), соответствующих вводимому пределу дозы

(27)
6.2. Контроль непревышения введенного
ПД осуществляют в соответствии с
разделом 4 настоящей рекомендации.
7. Точность аппаратурно-методического обеспечения радиоактивного контроля проб питьевой воды
Для проведения в полном объеме радиационного контроля проб питьевой воды в соответствии с положениями настоящих рекомендаций достаточно, чтобы аппаратурно-методическое обеспечение контроля позволяло получить по каждому из радионуклидов, указанных в
таблице, значение неопределенности измерения пробы нулевой активности (нижний предел измерений), удовлетворяющее условию:
iU0 <= 0,05iУВ, (28)
iU0 определяется согласно
п. 3.3 как
iU+ при измерении активности радионуклида
i, проведенном в полном соответствии с принятой МВИ, путем измерения фона установки как пробы, содержащей радионуклид
i.
| | ИС МЕГАНОРМ: примечание. В официальном тексте документа, видимо, допущена опечатка: Нормы Радиационной Безопасности (НРБ-99/2009) имеют номер СанПиН 2.6.1.2523-09, а не СП 2.6.1.2523-09. | |
1. Нормы Радиационной Безопасности
СП 2.6.1.2523-09 (НРБ-99/2009). Москва, 2009.
2.
МУ 2.6.1.1981-05 Методические указания. Оптимизация защитных мероприятий источников питьевого водоснабжения с повышенным содержанием радионуклидов. Москва. 2005.
3. Вода. Контроль химической, бактериальной и радиационной безопасности по международным стандартам. Энциклопедический справочник. 2-е издание, переработанное и дополненное. Москва. 1995.
4.
МИ 2453-2000. Методики радиационного контроля. Общие требования.
Начальник НИО-4 (ЦМИИ)
ФГУП "ВНИИФТРИ",
д.т.н., профессор
В.П.ЯРЫНА
Ведущий научный сотрудник
ФГУП "ВНИИФТРИ", к.т.н.
А.П.ЕРМИЛОВ