Главная // Актуальные документы // Рекомендация / РекомендацииСПРАВКА
Источник публикации
М.: Стройиздат, 1973
Примечание к документу
Название документа
"Рекомендации по определению нагрузок на отдельно стоящие опоры и эстакады под трубопроводы"
"Рекомендации по определению нагрузок на отдельно стоящие опоры и эстакады под трубопроводы"
ПО ОПРЕДЕЛЕНИЮ НАГРУЗОК НА ОТДЕЛЬНО СТОЯЩИЕ ОПОРЫ
И ЭСТАКАДЫ ПОД ТРУБОПРОВОДЫ
В Рекомендациях приведена методика определения нагрузок на несущие конструкции отдельно стоящих опор и эстакад под технологические трубопроводы при их надземной прокладке.
Рекомендации разработаны в Лаборатории надежности Отделения расчета сооружений ЦНИИ строительных конструкций им. В.А. Кучеренко Госстроя СССР (канд. техн. наук А.А. Бать;
раздел 5,
приложения IV,
VI и стр. 63 - 64
приложения VII - канд. техн. наук Б.Я. Гоммерштадтом) в развитие главы
СНиП "Нагрузки и воздействия. Нормы проектирования".
В составлении Рекомендаций принимали участие: ВНИИСТ, ВНИПИНефть, Гипрокаучук, ГИАП, Теплоэлектропроект и его Рижский филиал Ленинградский Гипромез, ЦНИИПромзданий, ЦНИИПроектстальконструкция и его Днепропетровский филиал, Промстройпроект, Харьковский Промстройниипроект, Киевский НИИСК, НИИЭС, а также два института ГДР: ИНДУСТРИПРОЕКТИРУНГ - ДРЕЗДЕН, ИЦ - БЕЛЕН.
Рекомендации рассчитаны на инженерно-технических работников проектных организаций.
Табл. 22. Рис. 31.
На предприятиях химической, нефтеперерабатывающей, нефтехимической, газовой, энергетической и металлургической промышленности используется транспортировка продукта по трубопроводам, прокладываемым над землей по отдельно стоящим опорам и эстакадам.
Одним из аспектов общей проблемы по совершенствованию строительных конструкций этого вида является правильное определение нагрузок. По сложившейся практике в разных проектных организациях используются не всегда равные нагрузки для расчета строительных конструкций под одинаковые системы трубопроводов. Это приводит к созданию конструкций, обладающих различной надежностью, что противоречит одному из основных принципов строительного проектирования.
ЦНИИСК им. Кучеренко выпускает настоящие Рекомендации с целью создания единых положений по определению нагрузок для расчета отдельно стоящих опор и эстакад под трубопроводы, независимых от ведомственной подчиненности проектных организаций, осуществляющих проектирование тех или иных объектов.
В основу Рекомендаций положены материалы, содержащиеся в нормативных документах, подтвержденных практикой отечественного проектирования. При этом был учтен передовой опыт проектирования рассматриваемых конструкций некоторых зарубежных стран, использованы результаты экспериментов, проведенных за последние годы. В Рекомендациях даны уменьшенные расчетные нагрузки по сравнению с ныне действующими величинами, что должно привести к созданию более экономичных строительных конструкций рассматриваемого вида.
Отзывы и замечания по Рекомендациям просьба направлять по адресу: Москва, 109-389, 2-я Институтская ул., 6. ЦНИИСК им. Кучеренко.
Дирекция ЦНИИСК им. Кучеренко
1.1. Настоящие Рекомендации содержат данные по определению нагрузок при проектировании надземных трубопроводов различного назначения на отдельно стоящих опорах и эстакадах, расположенных как внутри, так и вне производственных цехов и установок.
Примечания: 1. Рекомендации не распространяются на определение нагрузок при проектировании магистральных стальных газопроводов, нефтепроводов и нефтепродуктопроводов, предусмотренных главой
СНиП "Магистральные трубопроводы. Нормы проектирования".
2. Под эстакадами понимаются строительные конструкции с пролетными строениями в виде балок или ферм.
1.2. При расчете отдельно стоящих опор и эстакад необходимо учитывать нагрузки, возникающие при их возведении, эксплуатации и испытаниях трубопроводов. Нагрузки и коэффициенты перегрузки приведены в табл. 1.
Таблица 1
Нагрузки и коэффициенты перегрузки
Классификация нагрузок | Нагрузки | Коэффициент перегрузки |
Постоянные | Собственный вес отдельно стоящих опор и эстакад с ограждающими конструкциями и обслуживающими площадками | 1,1 (0,9) |
Временные длительные | Вес трубопроводов с технологической арматурой и опорными частями <*> | 1,1 (0,9) |
Вес изоляции и футеровки | 1,2 (0,9) |
Вес транспортируемой жидкости в стадии эксплуатации | 1 |
Вес отложений внутри трубопроводов в стадии эксплуатации | 1,1 |
Температурные технологические воздействия (разность температур) | 1,1 |
Внутреннее давление в стадии эксплуатации <**> | 1,2 |
Кратковременные | Вес людей и ремонтных материалов на площадках и мостиках | 1,4 |
Вес производственной пыли | 1,2 |
Нагрузка на поручни перил площадок и мостиков | 1,2 |
Снеговая нагрузка | 1,4 |
Ветровая нагрузка | 1,2 |
Температурные климатические воздействия (разность температур) | 1,2 |
Вес воды при гидравлических испытаниях | 1 |
Внутреннее давление при испытаниях | 1 |
Особые | Сейсмическое воздействие | 1 |
Вес отложений внутри трубопроводов при резком нарушении режима эксплуатации | 1 |
--------------------------------
<*> Если известно, что трубопроводы в течение всего срока эксплуатации не будут перемещаться с места на место, их вес (вместе с изоляцией и футеровкой) следует относить к постоянным нагрузкам.
<**> Для трубопроводов предприятий черной металлургии коэффициент перегрузки для внутреннего давления в стадии эксплуатации принимается равным 1,15.
1.3. Расчетные нагрузки, учитываемые при расчете на прочность и устойчивость в стадии эксплуатации, следует определять умножением нормативных нагрузок и воздействий на коэффициенты перегрузки.
Для упрощения определения расчетной нагрузки от веса трубопроводов с изоляцией, футеровкой, транспортируемым продуктом и т.д. разрешается использовать единый коэффициент перегрузки для вертикальных нагрузок 1,1 (0,9). С той же целью разрешается принимать единый коэффициент перегрузки 1,1 для горизонтальных нагрузок от температурных технологических воздействий и внутреннего давления.
Значения коэффициентов перегрузки, указанные в
табл. 1 и в настоящем пункте в скобках, принимаются в тех случаях, когда уменьшение нагрузок вызывает более неблагоприятные условия работы рассчитываемого элемента конструкции.
1.4. При расчете отдельно стоящих опор и эстакад на прочность и устойчивость в стадии возведения коэффициенты перегрузки для снеговой, ветровой нагрузок и температурных климатических воздействий следует снижать на 20%.
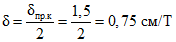
1.5. Расчет отдельно стоящих опор и эстакад по деформациям и перемещениям (включая расчет по появлению трещин) следует производить по нормативным значениям нагрузок.
1.6. Классификацию нагрузок, приведенную в
табл. 1, следует принимать при учете наиболее неблагоприятных сочетаний нагрузок или соответствующих им усилий. Эти сочетания устанавливаются из сопоставления физически возможных вариантов одновременного действия различных нагрузок (некоторые из них могут отсутствовать или менять схему приложения).
В частности:
а) при определении нагрузок от газопроводов, паропроводов и продуктопроводов, для которых, согласно правилам приемки их в эксплуатацию, обязательно гидравлическое испытание, следует учитывать, что такому испытанию одновременно может подвергаться лишь один трубопровод. При этом в расчет принимается тот трубопровод, наполнение которого наиболее невыгодно отражается на рассчитываемом элементе строительной конструкции. При гидравлическом испытании нагрузки, возникающие при перестановке оборудования, исключаются;
б) при определении нагрузки от веса отложений внутри газопроводов при резком нарушении режима эксплуатации ее следует учитывать лишь для одного газопровода, принимая для остальных трубопроводов нагрузку от отложений в стадии эксплуатации;
в) при учете вертикальной нагрузки от веса людей и ремонтных материалов на площадках и мостиках снеговая нагрузка на этих конструкциях не учитывается.
1.7. При расчете конструкций на основные сочетания, включающие одну кратковременную нагрузку, ее величина учитывается без снижения. При расчете конструкции на основные сочетания, включающие две или три кратковременные нагрузки, расчетные или нормативные величины этих нагрузок или соответствующих им усилий умножаются на коэффициент сочетания 0,9. При учете четырех и более кратковременных нагрузок коэффициент сочетаний принимается 0,8.
1.8. При расчете конструкций на особое сочетание, включающее сейсмическое воздействие, величины всех расчетных постоянных нагрузок принимаются с коэффициентом сочетаний 0,9; величины всех расчетных временных длительных нагрузок - с коэффициентом сочетаний 0,8; ни одна из кратковременных нагрузок не учитывается.
При расчете конструкций на особое сочетание, включающее вес отложений внутри трубопроводов, возникающих при резком нарушении режима эксплуатации, величины всех расчетных постоянных нагрузок принимаются с коэффициентом 0,9; величины всех расчетных временных длительных нагрузок - с коэффициентом 0,8; из кратковременных нагрузок учитывается только нагрузка от веса людей и ремонтных материалов на площадках и мостиках. Коэффициент сочетаний для этой нагрузки принимается равным 0,7.
2.1. Нормативная нагрузка от веса всех трубопроводов с футеровкой и изоляцией, веса транспортируемого продукта, обслуживающих площадок, веса стационарного оборудования и технологической арматуры, а также от собственного веса отдельно стоящих опор и эстакад определяется по проектным данным.
2.2. Нормативная нагрузка от веса людей и ремонтных материалов на площадках, мостиках и лестницах принимается равномерно распределенной - 75 кГ/м2. Для расчета настила на местное продавливание принимается сосредоточенная нагрузка 150 кГ на участке 10 x 10 см.
Примечания: 1. Возможность возникновения больших нагрузок должна оговариваться в технологическом задании.
2. Нормативная горизонтальная сосредоточенная нагрузка на поручни перил обслуживающих площадок и мостиков (в любом месте по длине поручня) принимается равной 30 кГ.
2.3. Нормативная снеговая нагрузка на 1 м
2 площади горизонтальной проекции трубопроводов, обслуживающих площадок и мостиков определяется в соответствии с требованиями главы
СНиП "Нагрузки и воздействия. Нормы проектирования". При этом гололедная нагрузка не учитывается, а коэффициент перехода от веса снегового покрова к нормативной нагрузке
c, учитывающий снос снега ветром и частичное сползание снега с цилиндрических поверхностей трубопровода, принимается равным 0,2 - для трубопроводов с условным диаметром <1>
dу не более 0,6 м; 0,3 - более 0,6 м и 0,8 - для обслуживающих площадок и мостиков.
--------------------------------
<1> Под условным диаметром понимается значение внутреннего диаметра трубопровода, округленное до ближайшего из значений, установленных ГОСТ 355-67.
Ширина горизонтальной проекции трубопроводов с dу <= 0,6 м принимается равной длине траверсы независимо от числа ярусов конструкций и числа рядов трубопроводов.
В случае расположения двух трубопроводов
dу > 0,6 м одного над другим при условии, что расстояние в свету между ними меньше диаметра меньшего трубопровода, снеговая нагрузка учитывается лишь от одного трубопровода большего диаметра. Примеры определения снеговой нагрузки приведены на
рис. 1.
Примечание. Снеговая нагрузка не учитывается:
для горячих трубопроводов ("горячими" трубопроводами считаются все тепловые сети, трубопроводы, температура транспортируемого продукта по которым превышает 30 °C в соответствии с технологическим заданием, а также трубопроводы с обогревающими "спутниками"; остальные трубопроводы считаются "холодными";
для обслуживающих площадок с решетчатым настилом, если площадь просветов настила составляет не менее половины общей его площади;
для наклонных трубопроводов с углом наклона более 30°.
Рис. 1. Примеры определения снеговой нагрузки
для трех схем горизонтальных прокладок трубопроводов
а - в верхнем ярусе верхний ряд - тепловые сети, нижний
ряд - холодные трубопроводы на подвесках. В нижнем ярусе
все трубопроводы холодные с условным диаметром менее 0,6 м;
настил переходной площадки - сплошной. Верхняя эпюра
снеговой нагрузки - для расчета траверс, пролетных строений,
опор и фундаментов; нижняя - для расчета переходной
площадки; б - основной трубопровод - холодный с условным
диаметром больше 0,6 м, а верхний ряд - тепловые сети;
в - оба трубопровода - холодные, условный диаметр каждого
из них больше 0,6 м, а расстояние "в свету"
между ними - меньше меньшего диаметра
2.4. Нормативная нагрузка от веса отложений внутри трубопроводов (пыль, лед, конденсат и т.д.) в стадии эксплуатации определяется на основании соответствующих проектных данных. При отсутствии этих данных для газопроводов нагрузки принимаются согласно табл. 2.
Таблица 2
Нормативная нагрузка на 1 м длины от веса отложения
внутри газопроводов в стадии эксплуатации в кГ
Условный диаметр газопровода dу, мм | Влажный очищенный газ | Сухой очищенный газ | Грязный доменный газ |
горизонтальные газопроводы | местные пониженные участки газопроводов | горизонтальные газопроводы | горизонтальные газопроводы и наклонные под углом не более 30° | наклонные газопроводы под углом более 40° | газопроводы с неблагоприятной конфигурацией |
100 | 5 | 5 | 5 | - | - | - |
300 | 30 | 30 | 5 | - | - | - |
500 | 60 | 60 | 10 | - | - | - |
700 | 90 | 100 | 20 | - | - | - |
900 | 120 | 150 | 25 | - | - | - |
1100 | 150 | 200 | 30 | - | - | - |
1200 | 160 | 220 | 35 | 240 | 70 | 600 |
1500 | 210 | 300 | 45 | 400 | 120 | 1000 |
2000 | 290 | 430 | 60 | 800 | 240 | 2000 |
2500 | 370 | 590 | 75 | 1300 | 390 | 3200 |
3000 | 450 | 850 | 90 | 1900 | 580 | 4800 |
3500 | 540 | 1200 | 110 | 2700 | 800 | 6700 |
Примечания: 1. Для промежуточных диаметров газопроводов нагрузки принимаются по линейной интерполяции.
2. Для газопроводов влажного и сухого очищенного газа, наклоненных под углом более 10°, нагрузки принимаются в размере 50% соответствующих величин горизонтальных газопроводов. При углах наклона от 0 до 10° нагрузка принимается по линейной интерполяции.
3. Для газопроводов грязного доменного газа при углах наклона от 30 до 40° нагрузка принимается по линейной интерполяции. Для газопроводов получистого доменного газа нагрузки принимаются в размере 50% соответствующих величин для грязного доменного газа.
4. Под неблагоприятной конфигурацией понимается такая, при которой в условиях эксплуатации может скапливаться пыль.
Нормативная нагрузка от веса отложений внутри трубопроводов при резком нарушении режима эксплуатации принимается в 2,5 раза больше соответствующей нагрузки в стадии эксплуатации, но не более веса отложений, занимающих 70% внутреннего объема трубопровода.
2.5. Нагрузка от веса отложений производственной пыли определяется только для трубопроводов и обслуживающих площадок, расположенных на расстоянии не более 100 м от источника выделения пыли и имеющих наклон не более 30°. Нормативная нагрузка принимается равной:
для обслуживающих площадок и элементов пролетного строения - 100 кГ/м2;
для трубопроводов - 45 кГ на 1 м2 их горизонтальной проекции.
Примечание. Если площадь просветов решетчатого настила обслуживающих площадок составляет не менее половины общей его площади, нагрузки от веса пыли не учитываются.
2.6. При неизвестном составе и раскладке трубопроводов за основную исходную величину принимается нормативная вертикальная нагрузка на 1 м длины трассы - q (Т/м) (при прокладке по эстакадам) и нормативная вертикальная нагрузка на опору - Q (Т) (при прокладке по отдельно стоящим опорам). Нагрузки q и Q наряду с весом самих трубопроводов с изоляцией и транспортируемой жидкостью должны включать также нагрузку на обслуживающие площадки, вес снега, производственной пыли и отложений внутри трубопроводов.
Распределение нагрузки от веса трубопроводов при неизвестном их составе
2.7. В двухъярусных отдельно стоящих опорах и эстакадах принимается, что на верхний ярус передается нагрузка в размере 60% и на нижний - 40% общей величины вертикальной нагрузки.
Примечание. При наличии фактических данных допускается уточнение этого распределения.
2.8. Распределение вертикальной нагрузки вдоль траверс отдельно стоящих опор и эстакад принимается по схемам загружения, приведенным на рис. 2.
Рис. 2. Распределение интенсивности p вертикальной
нагрузки при расчете траверс
Нормативное значение интенсивности нагрузки на 1 м длины траверсы p определяется по формулам:
для отдельно стоящих опор

; (1)
для эстакад

, (2)
где Q - нормативная вертикальная нагрузка на опору или на соответствующий ярус опоры в Т;
q - нормативная вертикальная нагрузка на эстакаду или на соответствующий ярус эстакады в Т/м;
b - длина траверсы в м;
a - расстояние (в осях) между соседними траверсами в м;
1,1 - коэффициент, учитывающий неравномерность распределения вертикальной нагрузки между опорами вдоль трассы трубопроводов.
2.9. Распределение вертикальной нагрузки по поперечному сечению трассы при расчете колонн и фундаментов отдельно стоящих опор принимается в соответствии с рис. 3, а при расчете пролетных строений, колонн и фундаментов эстакад - в соответствии с
рис. 4.
Рис. 3. Распределение вертикальной нагрузки
по поперечному сечению трассы при расчете колонн
и фундаментов отдельно стоящих опор
Рис. 4. Распределение вертикальной нагрузки
по поперечному сечению трассы при расчете пролетных
строений, колонн и фундаментов эстакад
1 - балка пролетного строения; 2 - траверса
q, Т/м | <= 1 | От 1 до 3 | > 3 |
| 0,65 | 0,6 | 0,55 |
Примечания: 1. При использовании катковых опорных частей расчет траверс и колонн следует производить с учетом возможной эксцентричности приложения вертикальной нагрузки через каток вследствие его перемещения от первоначального положения за счет температурных воздействий трубопроводов. Величину эксцентриситета при этом следует определять расчетом, но, как правило, принимать не более 100 мм
(рис. 5).
2. В местах ответвлений и участках пересечения трасс несимметричность распределения вертикальной нагрузки должна быть учтена особо.
Рис. 5. Наибольшая учитываемая величина эксцентриситета,
создающегося вследствие перемещения катка за счет
температурных воздействий от первоначального
центрального положения
1 - трубопровод; 2 - опорная часть; 3 - каток;
4 - эксцентриситет не более 100 мм; 5 - траверса
3. ГОРИЗОНТАЛЬНЫЕ НАГРУЗКИ ОТ ТЕМПЕРАТУРНЫХ
ВОЗДЕЙСТВИЙ И ОТ ВНУТРЕННЕГО ДАВЛЕНИЯ <1>
--------------------------------
<1> Некоторые
рекомендации по снижению величин горизонтальных нагрузок приведены в приложении I.
3.1. Нормативная разность температур от технологических воздействий принимается равной разности между температурой стенки трубопровода в стадии эксплуатации и начальной температурой. Температура стенки трубопровода в стадии эксплуатации принимается равной максимальной температуре транспортируемого продукта по технологическому заданию.
За начальную температуру принимается средняя температура наиболее холодной пятидневки, принимаемая по главе СНиП "Строительная климатология и геофизика. Основные положения проектирования". Для трубопроводов, температура стенки которых при эксплуатации отрицательна (например, при транспортировании хладоносителя), за начальную температуру принимается среднемесячная температура самого жаркого месяца (обычно июля), определяемая по указанной главе СНиП.
Нормативная разность температур от климатических воздействий определяется по
приложению II.
3.2. Нормативное внутреннее давление в стадии эксплуатации принимается равным рабочему давлению по технологическому заданию.
Нормативное внутреннее давление при испытаниях трубопроводов принимается равным пробному давлению, которое устанавливается нормами проектирования трубопроводов различного назначения и правилами приемки этих трубопроводов в эксплуатацию.
3.3. Расчетная сила трения одного трубопровода по опоре определяется умножением расчетной вертикальной нагрузки от этого трубопровода на коэффициент трения, принимаемый в опорных частях "сталь по стали" равным:
в скользящих - 0,3;
в катковых - вдоль оси трубопровода - 0,1; не вдоль
оси - 0,3;
в шариковых - 0,1.
Нагрузки при известном составе трубопроводов
3.4. Расчетная горизонтальная нагрузка вдоль трассы на промежуточные отдельно стоящие опоры, действующая в местах подвижного опирания трубопроводов (на скользящих, катковых или шариковых опорных устройствах), определяется следующим образом:
а) при прокладке одного трубопровода эта нагрузка принимается равной расчетному значению соответствующей силы трения и считается приложенной в месте его опирания (применительно к тепловым водяным сетям вместо каждого отдельного трубопровода здесь и далее принимается одна система: подающий и обратный трубопровод);
б) при прокладке от двух до четырех трубопроводов нагрузка учитывается только от двух наиболее неблагоприятно влияющих трубопроводов; величина каждой из горизонтальных нагрузок принимается равной расчетному значению соответствующей силы трения и считается приложенной в месте опирания трубопровода;
в) при прокладке более четырех трубопроводов нагрузка учитывается либо от двух трубопроводов, как в предыдущем случае, либо от всех трубопроводов; в последнем случае расчетная горизонтальная нагрузка от каждого трубопровода принимается равной произведению расчетного значения соответствующей силы трения на коэффициент неодновременности, равный 0,5; распределение ее по поперечному сечению трассы принимается по
п. 3.13. Из двух найденных указанными способами нагрузок принимается неблагоприятная.
3.5. <*> В случае прокладки трубопроводов по двухстоечным одноярусным и двухъярусным промежуточным отдельно стоящим опорам, когда жесткость одной колонны не превышает 30 Т/см и распределение вертикальной нагрузки находится в пределах величин, указанных в
п. 2.9, вместо приведенного в
п. 3.4 "в" способа расчетную горизонтальную нагрузку, передающуюся с траверсы на наиболее нагруженную колонну, рекомендуется определять как произведение суммы расчетных значений сил трения от каждого трубопровода на коэффициент неодновременности, величина которого принимается по
табл. 3 (при определении горизонтального усилия, действующего в уровне верхних граней траверс второго яруса, учитывается только то количество трубопроводов, которое опирается на траверсу второго яруса, а в уровне траверс нижнего яруса - по
п. 3.4).
--------------------------------
<*> Пункт 3.5 и стр. 49 - 51
приложения VII составлены канд. техн. наук Ю.Д. Суховым.
Таблица 3
Значения коэффициентов неодновременности для определения
нагрузки в колоннах отдельно стоящих опор
Общее число трубопроводов на траверсе .................... | 5 | 6 | 7 | 8 | 9 | 10 |
Коэффициенты неодновременности ........................... | 0,25 | 0,2 | 0,15 | 0,12 | 0,09 | 0,05 |
Примечания: 1. При числе трубопроводов, большем 10, рассматриваемое усилие учитывается только от 10 наиболее неблагоприятных, а остальные - не учитываются вовсе (считаются отсутствующими).
2. Рекомендуемые коэффициенты неодновременности не распространяются на случаи, когда на отдельно стоящих опорах находятся лишь неизолированные трубопроводы (такие случаи имеют место в металлургической промышленности).
3. Здесь под жесткостью понимается горизонтальная сила (в Т), приложенная к верху колонны и вызывающая его смещение на 1 см. При определении жесткости двухъярусных опор в уровне нижнего яруса принимается шарнирно неподвижная связь.
4. При необходимости проведения уточненных расчетов и учета дополнительных факторов горизонтальные нагрузки могут определяться на ЭВМ. Соответствующая программа для ЭВМ М-220 находится в отраслевом фонде алгоритмов и программ по вопросам проектирования промышленных предприятий.
3.6. Промежуточные отдельно стоящие опоры, расположенные под П-образными компенсаторами и на расстоянии не более 40
dу (
dу - условный диаметр наибольшего трубопровода) от угла поворота трубопровода (в частности, от компенсатора), при подвижном опирании трубопровода помимо горизонтальной нагрузки вдоль трассы должны быть также рассчитаны на горизонтальную нагрузку, направленную под углом к оси траверсы. При этом расчетная величина нагрузки принимается такой же, как при расчете вдоль трассы, а угол ее приложения определяется по рис. 6.
Рис. 6. Направления горизонтальной нагрузки в местах
подвижного опирания трубопроводов на отдельно стоящие опоры

- в скользящих опорных частях;

- в катковых (

- анкерные опоры;

- промежуточные опоры)
3.7. Расчетная горизонтальная нагрузка вдоль трассы на промежуточные отдельно стоящие опоры, действующая в местах неподвижного опирания трубопроводов (гибкие опоры), определяется как для консольной балки, загруженной заданным, соответствующим расчетной температурной деформации смещением ее конца.
3.8. Расчетная горизонтальная нагрузка вдоль трассы на неразгруженные анкерные (концевые, угловые) отдельно стоящие опоры определяется исходя из усилий, действующих по одну сторону от анкерной опоры, и складывается из:
суммы усилий, возникающих в компенсаторах от всех прокладываемых трубопроводов; величины усилий, возникающих в компенсаторах или при самокомпенсации, следует определять исходя из расчетной разности температур, вызванной климатическими и технологическими воздействиями, и исходя из величины расчетного внутреннего давления. Определение усилий от дисковых линзовых и волнистых компенсаторов следует производить по
приложению III, а П-образных и сальниковых - по справочнику проектировщика "Проектирование тепловых сетей" института Теплоэлектропроект;
суммы горизонтальных нагрузок от промежуточных опор, расположенных на участке трассы от оси компенсатора до анкерной опоры;
суммы неуравновешенных осевых усилий, вызванных действием внутреннего давления на запорные устройства; осевые усилия учитываются при установке компенсаторов, "разрезающих" трубопровод (сальниковых), или компенсаторов, "неспособных" сопротивляться растягивающим усилиям (линзовых, дисковых, волнистых осевых) и не учитываются при установке всех видов гнутых компенсаторов (П-образных), волнистых шарнирных и при самокомпенсации.
3.9. Расчетная горизонтальная нагрузка вдоль трассы на разгруженные анкерные отдельно стоящие опоры определяется как разность нагрузок, действующих в противоположных направлениях справа и слева от анкерной опоры; величина каждой из них определяется по
п. 3.8. При этом меньшую (вычитаемую) нагрузку следует умножать на коэффициент 0,8 (при равенстве противоположно направленных нагрузок учитываемая в расчете нагрузка, следовательно, равняется 0,2 от всей нагрузки, действующей с одной стороны).
Примечания: 1. Горизонтальная нагрузка, действующая на анкерную опору, должна приниматься не менее аналогичной нагрузки, действующей на соседнюю промежуточную опору.
2. Для одно- и двухтрубных прокладок тепловых сетей вместо коэффициента 0,8 следует принимать коэффициент 0,7.
3.10. Горизонтальная нагрузка на эстакады при известном составе трубопроводов определяется исходя из имеющихся данных или так же, как при неизвестном составе, в соответствии с
п. 3.11.
Нагрузки при неизвестном составе трубопроводов
3.11. Нормативная горизонтальная нагрузка вдоль трассы на эстакаду принимается равной:
при расчете опор и фундаментов концевого (углового) температурного блока - 4q (Т);
при расчете опор и фундаментов промежуточного температурного блока - 2q (Т);
при расчете траверс величина и распределение нагрузки принимаются по схемам
рис. 7 (интенсивность
p определяется по
п. 2.8); нагрузка считается приложенной в уровне верхней грани;
при расчете пролетных строений суммарная продольная нагрузка в расчетном сечении определяется по формуле
P = 0,15qLj, (3)
где Lj - расстояние от расчетного сечения до ближайшего конца блока эстакады.
Рис. 7. Распределение интенсивности горизонтальной
нагрузки при расчете траверс эстакад
а - при подвижном опирании всех трубопроводов; б -
при неподвижном опирании всех или некоторых трубопроводов
Нагрузки на пролетные строения считаются приложенными в местах опирания траверс в уровне верхних граней балок (ферм).
Распределение продольной горизонтальной нагрузки по поперечному сечению трассы при расчете пролетных строений, опор и фундаментов эстакад принимается в соответствии с рис. 8.
Рис. 8. Распределение горизонтальной нагрузки
по поперечному сечению трассы при расчете пролетных
строений, колонн и фундаментов эстакад
1 - балки пролетного строения; 2 - траверсы
q, Т/м | <= 1 | От 1 до 3 | > 3 |
| 0,1 | 0,09 | 0,08 |
3.12. Нормативная нагрузка (Т) от каждого поперечного ответвления трубопроводов эстакад на опору, ближайшую к ответвлению, принимается по табл. 4.
Таблица 4
Величины нагрузок от поперечных ответвлений трубопроводов
Вертикальная нагрузка на основную трассу (Т/м) | Поперечная нагрузка от ответвлений трубопроводов (Т) |
< 5 | q |
5 - 10 | 0,8q |
> 10 | 0,5q |
3.13. Нормативная горизонтальная нагрузка вдоль трассы на промежуточные отдельно стоящие опоры принимается равной:
при расчете колонн и фундаментов - в соответствии с
рис. 9;
при расчете траверс величина и распределение нагрузки принимаются по схемам
рис. 7, а (интенсивность определяется по
п. 2.8).
Рис. 9. Распределение горизонтальной нагрузки
по поперечному сечению трассы при расчете колонн
и фундаментов промежуточных отдельно стоящих опор
Кроме того, промежуточные отдельно стоящие опоры в соответствии с
п. 3.6 должны быть рассчитаны на нагрузку, направленную под углом к оси трассы. При определении расстояния 40
dу величина
dу принимается равной 0,5 м.
3.14. Распределение горизонтальной нагрузки между ярусами для двухъярусных конструкций отдельно стоящих опор и эстакад принимается в соответствии с распределением вертикальных нагрузок, указанных в
п. 2.7.
4.1. Нормативная ветровая нагрузка в кГ на 1 м
2 проекции элементов конструкции на вертикальную плоскость (независимо от высоты конструкции) определяется в соответствии с требованиями главы
СНиП "Нагрузки и воздействия. Нормы проектирования" исходя из нормативного скоростного напора (кГ/м
2). Аэродинамический коэффициент
c принимается по
табл. 5.
4.2. Действие ветровой нагрузки учитывается только в направлении поперек трубопроводной трассы.
4.3. При неизвестном составе и раскладе трубопроводов ветровая нагрузка определяется исходя из условной высоты ветровой полосы (см. табл. 5).
Таблица 5
Аэродинамические коэффициенты
c
Конструкции | Схемы сечений конструкций | Указания по определению аэродинамических коэффициентов |
Трубопроводы (при известном их составе и раскладке) | | При прокладке трубопроводов по отдельно стоящим опорам коэффициент c принимается равным: для одиночного трубопровода - 0,7; для неодиночного - 1 Для неодиночных трубопроводов высота ветровой полосы, на которую умножается q0, принимается равной диаметру наибольшего трубопровода рассматриваемого горизонтального ряда. Так, для приведенной схемы ветровая нагрузка на 1 м длины трассы равна: |
W1 = q0d1 | кГ/м; |
W2 = q0d2 | кГ/м; |
W3 = q0(d3 + d4) | кГ/м, |
где d1, d2, d3, d4 - в м При прокладке трубопроводов по эстакадам следует руководствоваться правилами неизвестной раскладки. |
Строительная конструкция совместно с трубопроводами (при неизвестном их составе и раскладке) | h - расстояние между отметками верхних граней траверс нижнего и верхнего ярусов | Для эстакад типа А c = 1,2; для эстакад типов Б и В c = 1,4; для отдельно стоящих опор c = 1. Высота ветровой полосы, на которую умножается q0, принимается в соответствии с приведенными схемами. При прокладке по эстакадам a = 0,7 м, b = 1 м. При прокладке по отдельно стоящим опорам a и b принимаются в зависимости от величины пролета между соседними опорами |
4.4. При известном составе трубопроводов и известной конфигурации строительной конструкции общая ветровая нагрузка определяется как сумма нагрузок на строительную конструкцию и на трубопроводы и принимается не более нагрузки при неизвестном составе.
5.1. Сейсмическую нагрузку следует определять в соответствии с требованиями главы
СНиП II-А.12-69 "Строительство в сейсмических районах. Нормы проектирования". Расчетную сейсмичность отдельно стоящих опор и эстакад следует принимать по
п. 1 табл. 4 главы СНиП II-А.12-69; если же их разрушение не связано с гибелью людей и значительными материальными потерями, то, согласно
п. 4 табл. 4 главы СНиП II-А.12-69, сейсмическое воздействие на рассматриваемые конструкции не учитывается.
Сейсмические нагрузки принимаются действующими горизонтально в направлении вдоль и поперек трассы. Расчет конструкций в каждом из этих направлений производится раздельно.
5.2. Расчетное значение сейсмической нагрузки определяется по формуле

, (4)
где
Q - расчетная вертикальная нагрузка, определяемая с учетом коэффициентов перегрузки и сочетаний, указанных соответственно в
пп. 1.2 и
1.8; при этом все кратковременные нагрузки, а также вес всех трубопроводов на подвесках не учитываются (при неизвестном составе трубопроводов расчетная вертикальная нагрузка принимается с дополнительным коэффициентом 0,8);
Kс - коэффициент сейсмичности, принимаемый по
табл. 2 главы СНиП II-А.12-69;

- коэффициент динамичности, принимаемый по
рис. 2 или соответствующей формуле главы СНиП II-А.12-69 в зависимости от периода собственных колебаний конструкции (требования
п. 2.5 этой главы на рассматриваемые конструкции не распространяются);

- коэффициент, учитывающий специфические особенности конструкций, принимаемый при определении нагрузки вдоль трассы 0,5; поперек - 1.
5.3. Сейсмическая нагрузка в продольном направлении определяется для участка (блока) трассы длиной
L, равного расстоянию между осями соседних компенсаторов.
Расчетная сейсмическая нагрузка принимается действующей на высоте H, определяемой:
в случае одноярусных конструкций - от верха фундамента до верхней грани траверсы;
в случае двухъярусных и многоярусных конструкций - от верха фундамента до середины между отметками верхних граней траверс верхнего и нижнего ярусов.
Вертикальная нагрузка
Q (Т) определяется с учетом понижающих коэффициентов, указанных в
п. 5.2, как сумма расчетных нагрузок, действующих на участке длиной
L:
от веса трубопроводов с изоляцией и транспортируемой жидкостью;
от веса строительных конструкций (пролетных строений, траверс, площадок);
от 1/4 веса колонн.
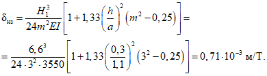
5.4. Период основного тона собственных колебаний конструкции
T (сек) определяется по формуле

, (5)
где
Q - расчетная нагрузка, определяемая по
п. 5.3 (Т);

- перемещение всей конструкции (участка длиной
L) на высоте
H1 от единичной силы, приложенной на высоте
H (см/Т);

- перемещение конструкций
j-опоры эстакады (без учета пролетного строения) или
j-й отдельно стоящей опоры на высоте
H1 от единичной силы, приложенной на высоте
H, определяемое методами строительной механики (см/Т); для одно- и двухветвевых колонн перемещение

можно определять по
приложению IV;
H1 - расстояние от верха фундамента до верха строительной конструкции (в одно- и двухъярусных отдельно стоящих опорах - до верхнего обреза колонны первого яруса, в одно- и двухъярусных эстакадах - до верхней грани балок пролетного строения первого яруса);
n - количество опор, входящих в участок длиной L (без учета опор под компенсаторы).
5.5. Между ярусами сейсмическая нагрузка распределяется:
при известной раскладке трубопроводов - пропорционально вертикальным нагрузкам, приходящимся на каждый ярус;
при неизвестной раскладке - в соответствии с распределением вертикальных нагрузок, указанным в
п. 2.7.
Сейсмические нагрузки считаются приложенными в уровне верхних граней траверс.
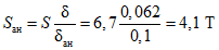
5.6. Сейсмическая нагрузка Sj (Т), приходящаяся на j-ю опору эстакады или j-ю отдельно стоящую опору, определяется по формуле:

, (6)
В случае прокладки трубопроводов по эстакадам на сейсмическую нагрузку рассчитываются все опоры блока эстакады. В случае прокладки трубопроводов по отдельно стоящим опорам на сейсмическую нагрузку Sj = Sан рассчитываются только анкерные опоры.
5.7. Распределение сейсмической нагрузки вдоль траверс анкерных отдельно стоящих опор принимается по схемам загружения, приведенным на
рис. 10. Расчетное значение интенсивности сейсмической нагрузки длины траверс
pс определяется по формуле

, (7)
где Sан - расчетная сейсмическая нагрузка на анкерную опору (или на соответствующий ее ярус) в Т;
b - длина траверсы в м.
Рис. 10. Распределение интенсивности сейсмической нагрузки
при расчете траверс анкерных отдельно стоящих опор
Траверсы и пролетные строения эстакад на сейсмическую нагрузку не рассчитываются.
5.8. Распределение сейсмической нагрузки по поперечному сечению трассы принимается:
при расчете колонн и фундаментов отдельно стоящих опор в соответствии с
рис. 11;
при расчете колонн и фундаментов эстакад в соответствии с
рис. 12.
Рис. 11. Распределение сейсмической нагрузки
по поперечному сечению трассы при расчете колонн
и фундаментов отдельно стоящих опор
Рис. 12. Распределение сейсмической нагрузки по поперечному
сечению трассы при расчете колонн и фундаментов эстакад
q, Т/м | <= 1 | От 1 до 3 | > 3 |
| 0,65 | 0,6 | 0,55 |
5.9. Сейсмическая нагрузка в поперечном направлении определяется для участка трассы длиной
l, равного расстоянию между соседними опорами эстакады или отдельно стоящими опорами.
Расчетная сейсмическая нагрузка принимается действующей на высоте
H, определяемой как в
п. 5.3.
Вертикальная нагрузка
Q (Т) определяется с учетом понижающих коэффициентов, указанных в
п. 5.2, как сумма расчетных нагрузок, действующих на участке длиной
l:
от веса трубопроводов с изоляцией и транспортируемой жидкостью;
от веса строительных конструкций (пролетных строений, траверс, площадок).
5.10. Период основного тона собственных колебаний конструкции
T (сек) определяется по
формуле (5), где
Q - расчетная нагрузка, определяемая по
п. 5.9 (Т);

- перемещение конструкции промежуточной опоры эстакады или промежуточной отдельно стоящей опоры на высоте
H1 от единичной силы, приложенной на высоте
H, определяемое методами строительной механики (см); для определения

может быть использовано
приложение IV.
5.11. Между ярусами сейсмическая нагрузка распределяется в соответствии с
п. 5.5.
Сейсмические нагрузки считаются приложенными в уровне верхних граней траверс.
На сейсмические нагрузки рассчитываются все промежуточные и анкерные) опоры и фундаменты эстакад и все отдельно стоящие опоры. Пролетные строения эстакад на сейсмические нагрузки не рассчитываются.
ПО ПРОЕКТИРОВАНИЮ ТРУБОПРОВОДНЫХ ТРАСС, ПРИВОДЯЩИЕ
К СНИЖЕНИЮ ГОРИЗОНТАЛЬНЫХ НАГРУЗОК
1. При технико-экономическом обосновании решений отдельно стоящих опор и эстакад следует уделять внимание анализу вариантов, приводящих к снижению величин действующих нагрузок и усилий или к более благоприятному их распределению за счет уточнения раскладки трубопроводов, выбора типа и схемы строительных конструкций, расположения компенсирующих устройств и неподвижных закреплений трубопроводов, использования в возможных случаях бескомпенсаторной прокладки или использования в качестве компенсаторов естественных поворотов трассы и т.п.
2. При прокладке трубопроводов по эстакадам гибкие компенсаторы рекомендуется устанавливать между отдельными температурными блоками или в наиболее возможной близости от этого места (не далее 10 м). Для эстакад с анкерными опорами неподвижные закрепления трубопроводов рекомендуется осуществлять на траверсах этих опор в каждом блоке.
Принятое расположение компенсаторов и неподвижных закреплений по возможности должно обеспечивать выполнение условия, чтобы неуравновешенная нагрузка (в Т) на опоры и фундаменты концевого температурного блока за счет сил трения трубопроводов не превышала 0,75q, а промежуточного блока 0,15q (здесь q - удельная вертикальная нагрузка от трубопроводов на 1 м длины эстакады, Т/м).
3. В местах ответвлений трубопроводов на эстакаде следует устанавливать гибкие П-образные компенсаторы. При этом гибкость должна быть в 3 раза больше требуемой по расчету.
Рекомендуемые места ответвлений следует принимать по табл. 6.
Таблица 6
Отношение вертикальной нагрузки на 1 м длины ответвляемой эстакады к аналогичной нагрузке основной трассы | Рекомендуемое место ответвления на основной эстакаде |
< 0,3 | В любом месте |
0,3 - 0,5 | Не далее 5 м от любой колонны |
> 0,5 | Не далее 5 м от анкерной колонны |
4. При проектировании эстакад, как правило, следует использовать самонесущую способность трубопроводов с тем, чтобы была уменьшена нагрузка на пролетные строения. Это в особенности относится к верхним ярусам двухъярусных эстакад.
5. При прокладке трубопроводов по отдельно стоящим опорам необходимо стремиться к уменьшению жесткости стоек промежуточных опор в направлении продольной оси трассы.
РАЗНОСТЬ ТЕМПЕРАТУР ОТ КЛИМАТИЧЕСКИХ ВОЗДЕЙСТВИЙ
Нормативную разность температур от климатических воздействий следует определять по
табл. 7 в зависимости от района строительства, определяемого по карте.
Эти же величины следует принимать при расчете на температурные воздействия конструкций эстакад - при длине железобетонных (и смешанных) температурных блоков более 40 м и стальных - более 130 м (при меньших длинах конструкции эстакад на температурные воздействия не рассчитываются).
Таблица 7
Нормативная разность температур
Районы СССР, принимаемые по карте | Нормативная разность температур в °C |
I | 30 |
II | 40 |
III | 50 |
--------------------------------
<1> Приложение II разработано инж. И.А. Белышевым.
Районирование территории СССР по температурным перепадам
УСИЛИЯ ОТ ДИСКОВЫХ, ЛИНЗОВЫХ И ВОЛНИСТЫХ КОМПЕНСАТОРОВ
1. Усилие от дисковых, линзовых и волнистых компенсаторов в стадии эксплуатации определяется как сумма их распоров вследствие деформаций от технологических и климатических температурных воздействий и внутреннего давления. В стадии испытаний распор от технологических воздействий отсутствует.
2. Величина распора стального сварного дискового компенсатора, возникающего при температурном воздействии, соответствующая осадке одной волны компенсатора на 1 см, определяется по формуле
<1>

, (8)
где
k - коэффициент, зависящий от

, поднимаемый по табл. 8;
d/D | 0,35 | 0,4 | 0,45 | 0,5 | 0,55 | 0,6 | 0,65 | 0,7 | 0,75 | 0,8 |
k | 3,2 | 5,5 | 9,2 | 15,5 | 26,4 | 46,6 | 83,8 | 160 | 322 | 775 |
m | 2,35 | 1,77 | 1,35 | 1,05 | 0,82 | 0,64 | 0,5 | 0,38 | 0,29 | 0,21 |
d - внутренний диаметр трубопровода в см;
D - наружный диаметр линзы или диска в см;

- толщина стенки компенсатора в см;
E - модуль упругости стали, 2,1·106 кГ/см2.
--------------------------------
<1> Для клепаных дисковых компенсаторов, а также для сварных и клепаных линзовых (если расчетная осадка не превышает 2/3 допустимой) эта формула справедлива при условии уменьшения коэффициента
k в полтора раза.
При определении полной расчетной нагрузки
Pж от температурного распора компенсатора необходимо величину

умножить на полную величину осадки одной волны компенсатора, которая для сварных дисковых компенсаторов не должна превышать 2 см при
d < 80 см и 3 см при
d >= 80 см.
Для промежуточных значений
d/
D в
табл. 8 следует использовать линейную интерполяцию.
3. Величина распора волнистого компенсатора, возникающая при температурном воздействии, определяется в зависимости от конструкции компенсатора по отраслевым нормалям. Для компенсатора КВО-2 конструкции Гипронефтемаш усилия распора

, соответствующие осадке одной волны компенсатора на 1 см, приведены в табл. 9. Для определения полной расчетной нагрузки
Pж необходимо величину

умножить на полную величину осадки одной волны

, которая не должна превышать величин, также приведенных в табл. 9.
d, см | 15 | 20 | 25 | 30 | 35 | 40 |
D, см | 23,8 | 31,3 | 36,7 | 41,8 | 49,3 | 54,2 |
 , кГ/см 2 | 700 | 830 | 925 | 1070 | 1100 | 1110 |
 , см | 1 | 1,2 | 1,4 | 1,4 | 1,8 | 1,8 |
4. Величина распора компенсатора от внутреннего давления (без учета давления на задвижку или заглушку) определяется по формулам:
для дискового и линзового компенсатора
Pд = mPd2n; (9)
для волнистого компенсатора

, (10)
где P - нормативное внутреннее давление в кГ/см2;
n - коэффициент перегрузки;
m - коэффициент, зависящий от
d/
D и принимаемый по
табл. 8;
D и
d - то же, что и выше (принимается по
табл. 9).
5. В волнистых шарнирных компенсаторах возникает только изгибающий момент при деформации от температурных воздействий.
Изгибающий момент шарнирного компенсатора M определяется по отраслевым нормалям. Для компенсатора КВУ-2 - значения M, соответствующие максимально допустимому углу его изгиба, следует определять по табл. 10.
Таблица 10
Изгибающие моменты шарнирных компенсаторов КВУ-2 M (кГм)
dу, см | P, кГ/см2 |
0 | 5 | 10 | 15 | 20 | 25 | 30 | 32 |
15 | 30 | 60 | 90 | 120 | 140 | 160 | 170 | 180 |
20 | 90 | 150 | 190 | 240 | 270 | 300 | 320 | 330 |
25 | 100 | 190 | 260 | 310 | 350 | 390 | 410 | 420 |
30 | 170 | 250 | 310 | 370 | 430 | 470 | 500 | 510 |
35 | 250 | 300 | 370 | 440 | 510 | 560 | 610 | 620 |
40 | 320 | 360 | 420 | 510 | 600 | 640 | 700 | 720 |
ГОРИЗОНТАЛЬНЫЕ ПЕРЕМЕЩЕНИЯ КОЛОНН
Горизонтальные перемещения верха колонн

от единичной силы могут определяться как сумма перемещений верха колонны от ее изгиба

и от поворота фундамента

;
Для колонны постоянного сечения (
рис. 13, а)

. (11)
Для двухветвевой колонны со стойками постоянного сечения (
рис. 13, б)

, (12)
где EI - изгибная жесткость сечения колонны (в двухветвевых - одной ветви), определяемая по начальному модулю упругости бетона и моменту инерции, относящемуся к бетонному сечению;
m - число ярусов двухветвевой колонны;
e - расстояние от верха строительной конструкции до уровня приложения сейсмической силы;
H и
H1 - определяются по
п. 5.4;
h и a - по рис. 13.
а - постоянного сечения; б - двухветвевая
Для фундамента под колонну (
рис. 13, а) и для общего фундамента под двухветвевую колонну

; (13)
Для раздельных фундаментов под каждую ветвь двухветвевой колонны (
рис. 13, б)

, (14)
где Fф, Iф - соответственно площадь и момент инерции подошвы фундамента;
cz,

- соответственно коэффициент упругого равномерного и неравномерного сжатия грунта;

,
cz может приниматься равным 4000 Т/м
3.
ПРИМЕР ОПРЕДЕЛЕНИЯ НАГРУЗОК НА ОТДЕЛЬНО СТОЯЩИЕ ОПОРЫ
--------------------------------
<*> Приложение V составлено совместно с инженерами И.В. Беляйкиной и И.М. Канаткиной.
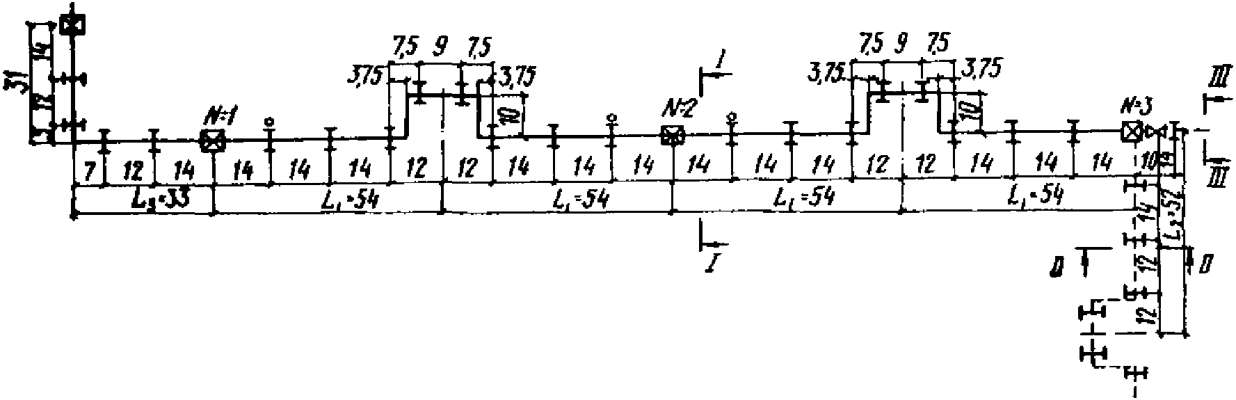
1. В качестве примера использован участок трассы на отдельно стоящих двухъярусных двухстоечных железобетонных опорах из конкретного проекта тепловых сетей при известной их раскладке. Расчетная схема участка приведена на рис. 14, а расположение труб в двух характерных сечениях трассы - на
рис. 15.
Рис. 14. Расчетная схема участка трубопроводной трассы
(размеры даны в м)
Условные обозначения:

- анкерные опоры;
I - промежуточные опоры, находящиеся на расстоянии не более
40 условных диаметров наибольшего трубопровода от угла
поворота трассы; I - промежуточные опоры, находящиеся
на большем расстоянии;

- задвижка
Рис. 15. Расположение трубопроводов в двух характерных
сечениях трассы (размеры даны в мм)
Характеристики каждого трубопровода указаны в табл. 11. При этом нормативный вес 1 м трубопроводов устанавливался по справочнику "Проектирование тепловых сетей", а нормативный вес задвижек - по каталогам на промышленную трубопроводную арматуру. Опорные части приняты скользящими.
Таблица 11
Характеристика трубопроводов
Сечение | Ярус | | Наружный диаметр трубы и толщина стенки в мм | Теплоноситель | Параметры теплоносителя | Нормативный вес 1 м трубопровода в Т | Ответвление у анкерной опоры N 3 |
избыточное рабочее давление в кГ/см2 | температура, t °C | в рабочем состоянии, qраб | при гидравлическом испытании, qг | наличие ответвления | нормативный вес задвижек с фланцами |
I-I | Нижний | 1 | 720 x 9 | Пар | 21 | 320 | 0,38 | 0,77 | Есть | - |
2 | 720 x 9 | " | 21 | 320 | 0,38 | 0,77 | " | - |
3 | 630 x 10 | | Резервное место для воды | 16 | 150 | 0,57 | 0,57 | - | - |
4 | 630 x 10 | 16 | 150 | 0,57 | 0,57 | - | - |
Верхний | 5 | 630 x 9 | Пар | 13 | 260 | 0,34 | 0,63 | Есть | - |
6 | 325 x 10 | Конденсат напорный | 7 | 100 | 0,22 | 0,22 | " | - |
7 | 630 x 9 | Пар | 13 | 260 | 0,34 | 0,63 | " | - |
8 | 325 x 10 | Конденсат напорный | 7 | 100 | 0,22 | 0,22 | " | - |
9 | 630 x 10 | Пар | 7 | 220 | 0,34 | 0,63 | Идет напрямик | - |
10 | 630 x 10 | Вода | 16 | 70 | 0,55 | 0,55 | - | - |
11 | 630 x 10 | " | 16 | 150 | 0,57 | 0,57 | - | - |
II-II | Нижний | 1 | 630 x 10 | Пар | 21 | 320 | 0,35 | 0,55 | - | - |
2 | 620 x 10 | " | 21 | 320 | 0,35 | 0,55 | - | - |
3 | 630 x 10 | | Резервное место для воды | 16 | 150 | 0,57 | 0,57 | - | - |
4 | 630 x 10 | 16 | 150 | 0,57 | 0,57 | - | - |
Верхний | 5 | 630 x 9 | Пар | 13 | 260 | 0,28 | 0,48 | - | - |
6 | 273 x 9 | Конденсат напорный | 7 | 100 | 0,18 | 0,18 | - | - |
7 | 530 x 9 | Пар | 13 | 260 | 0,28 | 0,48 | - | - |
8 | 273 x 9 | Конденсат напорный | 7 | 100 | 0,18 | 0,18 | - | - |
9 | 630 x 10 | Вода | 16 | 70 | 0,55 | 0,55 | - | - |
10 | 630 x 10 | " | 16 | 150 | 0,57 | 0,57 | - | - |
III-III | Нижний | 1 | 325 x 10 | Пар | 21 | 320 | 0,19 | 0,26 | - | 0,08 |
2 | 325 x 10 | " | 21 | 320 | 0,19 | 0,26 | - | 0,08 |
Верхний | 3 | 325 x 10 | " | 13 | 260 | 0,19 | 0,26 | - | 0,08 |
4 | 159 x 4,5 | Конденсат напорный | 7 | 100 | 0,08 | 0,08 | - | 0,08 |
5 | 325 x 10 | Пар | 13 | 260 | 0,18 | 0,25 | - | 0,08 |
6 | 159 x 4,5 | Конденсат напорный | 7 | 100 | 0,08 | 0,08 | - | 0,02 |
7 | 630 x 10 | Пар | 7 | 220 | 0,34 | 0,67 | - | - |
Температура теплоносителя для обоих резервных трубопроводов принята 150 °C (в запас надежности), так как в момент проектирования отсутствовала ясность, какой из них будет предназначен для прямой и какой для обратной воды (для обратной воды ее можно было бы принять равной 70 °C).
2. Из расчетной схемы видно, что размеры пролетов между промежуточными опорами на участке трассы с сечением I-I (а также на участке трассы с сечением II-II) незначительно отличаются друг от друга. Это позволило в целях унификации расчетов строительных конструкций принять для дальнейших расчетов единый пролет (наибольший). Для сечений I-I и II-II он оказался равным l = 14 м. Для сечения III-III l = 10 м.
С учетом сказанного нагрузка от собственного веса трубопровода N 1, действующая на опору в сечении I-I в рабочем состоянии, равняется:
нормативная ................................... | qраб·l = 0,38·14 = 5,32 Т; |
расчетная ........................................ | 5,32·1,1 = 5,85 Т. |
То же, при гидравлическом испытании: | |
нормативная ................................... | qг·l = 0,77·14 = 10,8 Т; |
расчетная ........................................ | 10,8·1,1 = 11,9 Т. |
Нагрузки от всех трубопроводов сведены в табл. 12. При этом расчетные нагрузки здесь и далее подсчитаны с допустимым округлением.
Таблица 12
Нагрузки от собственного веса трубопроводов в Т
| | В рабочем состоянии | При гидравлическом испытании | Расчетный вес задвижек с фланцами |
нормативная | расчетная | нормативная | расчетная |
I-I | 1 | 5,32 | 6 | 10,8 | 12 | - |
2 | 5,32 | 6 | 10,8 | 12 | - |
3 | 7,96 | 8,8 | 7,96 | 8,8 | - |
4 | 7,96 | 8,8 | 7,96 | 8,8 | - |
5 | 4,76 | 5,2 | 8,8 | 9,7 | - |
6 | 3,08 | 3,3 | 3,08 | 3,3 | - |
7 | 4,76 | 5,2 | 8,8 | 9,7 | - |
8 | 3,08 | 3,3 | 3,08 | 3,3 | - |
9 | 4,76 | 5,2 | 8,8 | 9,7 | - |
10 | 7,7 | 8,5 | 7,7 | 8,5 | - |
11 | 7,96 | 8,8 | 7,96 | 8,8 | - |
II-II | 1 | 4,9 | 5,4 | 7,7 | 8,5 | - |
2 | 4,9 | 5,4 | 7,7 | 8,5 | - |
3 | 7,96 | 8,8 | 7,96 | 8,8 | - |
4 | 7,96 | 8,8 | 7,96 | 8,8 | - |
5 | 3,92 | 4,3 | 6,71 | 7,4 | - |
6 | 2,52 | 2,7 | 2,52 | 2,7 | - |
7 | 3,92 | 4,3 | 6,71 | 7,4 | - |
8 | 2,52 | 2,7 | 2,52 | 2,7 | - |
9 | 7,7 | 8,5 | 7,7 | 8,5 | - |
10 | 7,96 | 8,8 | 7,96 | 8,8 | - |
III-III | 1 | 0,95 | 1 | 1,3 | 1,4 | 0,1 |
2 | 0,95 | 1 | 1,3 | 1,4 | 0,1 |
3 | 0,95 | 1 | 1,3 | 1,4 | 0,1 |
4 | 0,4 | 0,44 | 0,4 | 0,44 | 0,02 |
5 | 0,9 | 1 | 1,25 | 1,4 | 0,1 |
6 | 0,4 | 0,44 | 0,4 | 0,44 | 0,02 |
7 | 1,7 | 1,9 | 3,15 | 3,5 | - |
3. Силы трения от одиночных трубопроводов, действующих на промежуточные опоры (только в рабочем состоянии), подсчитываются для каждого трубопровода с пролета l = 14 м.
В частности, для трубопровода N 1 для l = 14 м при коэффициенте трения f = 0,3 (вдоль трассы) в сечении I-I эта сила (расчетное значение) оказывается равной qрабfln = 0,38·0,3·14·1,1 = 1,75 Т.
Для трубопроводов N 6 и 8 силы трения отдельно не определяются (так как эти силы гасятся в замкнутой статической системе от трубопроводов N 5 и 7), но при определении сил трения от трубопроводов N 5 и 7 необходимо дополнительно учитывать веса заполненных трубопроводов N 6 и 8.
Силы трения, которые в дальнейшем использованы для расчетов, сведены в табл. 13.
Таблица 13
Расчетная сила трения от одиночных трубопроводов (Т)
в сечении I-I по
рис. 14 при
l = 14 м и
f = 0,3
| Расчетная сила трения | | Расчетная сила трения |
1 | 1,75 | 7+8 | 2,6 |
2 | 1,75 | 9 | 1,6 |
3 | 2,65 | 10 | 2,55 |
4 | 2,65 | 11 | 2,65 |
5+6 | 2,6 | | |
4. Нагрузка от трения всех трубопроводов определяется исходя из общего их числа. При этом необходимо помнить, что трубопроводы N 3 и 4 образуют одну тепловую систему, т.е. при определении нагрузки учитываются как один условный трубопровод. То же можно сказать о трубопроводах N 10 и 11 в сечении I-I и N 9 и 10 в сечении II-II.
Рассматриваемая нагрузка в сечении I-I вдоль трассы для расчета траверс верхнего яруса промежуточных опор должна определяться с учетом того, что на них располагается четыре условных трубопровода. В этом случае необходимо найти два наиболее неблагоприятно влияющих на них, и при расчете траверсы учесть их силы трения. Наиболее неблагоприятными в рассматриваемом примере будут: системы трубопроводов N 10 и 11 (она определяет изгибающий момент в месте прикрепления траверсы к стойкам) и трубопровод N 9 (определяющий изгибающий момент в пролете между стойками).
Для траверсы нижнего яруса (на ней расположено три условных трубопровода) необходимо учесть силы трения от двух из них: системы трубопроводов N 3 и 4 и трубопровода N 2.
С учетом сказанного на рис. 16, а показана схема приложения и величины действующих продольных нагрузок для расчета траверс тех опор, которые отстоят от угла поворота на расстоянии более 40dу (на прямолинейном участке трассы).
Рис. 16. Нагрузки (в Т) для расчета траверс
промежуточных отдельно стоящих опор в сечении I-I
а - на прямолинейном участке трассы; б - под компенсатором.
То же, для расчета стоек и фундаментов: в - отстоящих
от угла поворота на расстоянии более 40dу;
г - дополнительная схема для опор, отстоящих от угла
поворота на расстоянии не более 40dу
Для траверс промежуточных опор, отстоящих от угла поворота на расстоянии менее 40
dу, формально следует дополнительно рассмотреть вариант действия горизонтальных сил трения под углом 45° к направлению трассы (
рис. 16, б). Но так как коэффициент трения в рассматриваемых направлениях одинаков, то очевидно, что рассмотрение нового варианта является ненужным, так как продольная составляющая этого "косого" усилия в

раз меньше рассмотренного. Если бы были использованы катковые опоры с существенно разным коэффициентом трения в разных направлениях, то рассмотрение этого варианта было бы необходимым. Что касается траверс под П-образные компенсаторы, то определяющим для них будет именно такой случай (см.
рис. 6).
5. Для определения горизонтальных нагрузок трубопроводов, действующих на верхние части стоек промежуточных опор вдоль трассы, не представляется возможным использовать льготные коэффициенты по
п. 3.5 ввиду малого числа условных трубопроводов. Если бы число этих трубопроводов было достаточно, например 6, то усилие в верхней части наиболее нагруженной стойки определялось как произведение суммы сил трения этих шести трубопроводов на коэффициент 0,2.
Но так как условия
п. 3.5 не удается использовать, верхние части стоек промежуточных опор, так же как и их нижние, должны быть рассчитаны с использованием рекомендаций
п. 3.4. При расчете стоек (а также фундаментов) двухъярусных опор коэффициент неодновременности принимается исходя из общего числа условных трубопроводов, расположенных на обоих ярусах, т.е. в рассматриваемом примере исходя из семи трубопроводов.
Каждое из расчетных значений сил трения, приведенных в
табл. 13, должно быть умножено на коэффициент неодновременности, равный 0,5. В рассматриваемом конкретном примере случай действия на наиболее нагруженную стойку (а именно он является определяющим) только двух условных трубопроводов, но без понижающих коэффициентов, будет более неблагоприятен по сравнению со случаем действия всех семи трубопроводов, но с коэффициентом 0,5.
На
рис. 16, в показана схема приложения и величины нагрузок для расчета стоек опор (и их фундаментов), отстоящих от угла поворота на расстоянии более 40
dу.
Для промежуточных опор, отстоящих от угла поворота на расстоянии, меньшем 40
dу, следует также рассмотреть схему, при которой указанные на
рис. 16, в горизонтальные силы направлены под углом 45° к направлению трассы (
рис. 16, г). Определяющий случай выявится в результате расчета.
Для стоек под П-образные компенсаторы следует учесть варианты, при которых указанные на
рис. 16, г горизонтальные силы трения направлены либо поперек направления трассы (поперек оси трубопровода), либо под углом 45° к ней.
6. Определение нагрузок от сил трения трубопроводов, действующих на анкерные опоры, производится в следующем порядке.
При расчете траверсы анкерной опоры N 1 верхнего яруса (как это следует из расчета, приведенного в
п. 4 настоящего примера) необходимо учитывать два условных трубопровода: система трубопроводов N 10 и 11 и трубопровод N 9. Справа от анкерной опоры N 1
(рис. 14) на участке длиной 54 м расположены три промежуточные опоры и одна - под компенсатор. Расчетная сила трения вдоль трассы от трубопровода N 9, расположенного на каждой из трех промежуточных опор, составит 1,6 Т, а на опоре под компенсатор -

.
Слева от анкерной опоры N 1 на участке длиной 33 м имеются две промежуточные опоры. Но помимо этого имеются еще две такие же опоры после поворота трассы на участке длиной 31 м. Силы трения, возникающие при подвижном опирании трубопроводов на всех этих четырех опорах, должны быть восприняты анкерной опорой N 1. На каждой из упомянутых четырех опор сила трения от трубопровода N 9 составит 1,6 Т.
Результирующая нагрузка от силы трения для расчета траверсы верхнего яруса анкерной опоры N 1 в соответствии с
п. 3.9 Рекомендаций от трубопровода N 9 составит (здесь условно не учтено неполное усилие на двух опорах, расположенных на участке длиной 31 м) 4·1,6 - 0,8(1,1 + 3·1,6) = 1,7 Т.
Аналогичным образом подсчитывается усилие от системы трубопроводов N 10 и 11, чем заканчивается сбор рассматриваемых нагрузок для расчета траверсы верхнего яруса анкерной опоры N 1.
Таким же образом определяют нагрузки для расчета траверсы нижнего яруса, а затем стоек и фундаментов.
После этого производится расчет анкерной опоры N 2. Нагрузка на траверсу верхнего яруса от трубопровода N 9 составит в соответствии с
п. 3.9 Рекомендаций 0,2(1,1 + 3·1,6) = 1,2 Т.
С учетом примечания к
п. 3.8, ее надо принять равной 1,6 Т.
После определения всех нагрузок для анкерной опоры N 2 (сначала для расчета траверс верхнего, затем нижнего ярусов, а после этого стоек и фундаментов) приступают к определению нагрузок на анкерную опору N 3.
В частности, рассматриваемая нагрузка от трубопровода N 9 для траверсы анкерной опоры N 3 вдоль трассы составит 1,1 + 3·1,6 = 5,9 Т.
Таблица 14
Расчетные нагрузки от силы трения, действующие
на анкерные опоры вдоль трубопроводов в Т
| | Анкерная опора N 1 | Анкерная опора N 2 | Анкерная опора N 3 |
траверса нижнего яруса | траверса верхнего яруса | наиболее нагруженная стойка и фундамент | траверса нижнего яруса | траверса верхнего яруса | наиболее нагруженная стойка и фундамент | траверса нижнего яруса | траверса верхнего яруса | наиболее нагруженная стойка и фундамент |
I-I | 1 | - | - | - | - | - | - | - | - | - |
2 | 1,8 | - | - | 1,75 | - | - | 0,5 | - | - |
3 | 3 | - | 3 | 2,65 | - | 2,65 | 9,85 | - | 9,85 |
4 | 3 | - | 3 | 2,65 | - | 2,65 | 9,85 | - | 9,85 |
5+6 | - | - | - | - | - | - | - | - | - |
7+8 | - | - | - | - | - | - | - | - | - |
9 | - | 1,7 | - | - | 1,6 | - | - | 5,9 | - |
10 | - | 2,6 | 2,6 | - | 2,55 | 2,55 | - | 9,45 | 9,45 |
11 | - | 3 | 3 | - | 2,65 | 2,65 | - | 9,85 | 9,85 |
II-II | 1 | - | - | - | - | - | - | - | - | - |
2 | - | - | - | - | - | - | 5,9 | - | - |
3 | - | - | - | - | - | - | 9,85 | - | 9,85 |
4 | - | - | - | - | - | - | 9,85 | - | 9,85 |
5+6 | - | - | - | - | - | - | - | - | - |
7+8 | - | - | - | - | - | - | - | 8,6 | - |
9 | - | - | - | - | - | - | - | 9,45 | 9,45 |
10 | - | - | - | - | - | - | - | 9,85 | 9,85 |
Подсчитанные подобным образом нагрузки для всех трех анкерных опор сведены в
табл. 14. При этом в сечении II-II нагрузки от трубопроводов N 2 и 7+8 вычислялись приблизительно и приняты на 10% меньшими сил соответствующих трубопроводов в сечении I-I.
Примечание. При отсутствии данных о расположении промежуточных опор нагрузки от сил трения, действующие на анкерные опоры, определяются исходя из длин участков трубопроводов от анкерных опор до компенсаторов.
7. Упругие реакции компенсаторов определяются в соответствии с требованиями справочника проектировщика "Проектирование тепловых сетей". На рассматриваемом участке трассы имеются три группы П-образных компенсаторов (два в сечении I-I и одна в сечении II-II) и одна группа Г-образных компенсаторов. Упругие реакции П-образных компенсаторов обычно обозначают Pk, а Г-образных - Px и Py, причем направление x принимается вдоль длинного плеча этого компенсатора или, что то же самое, поперек короткого плеча.
При конкретном проектировании, когда в одном компенсаторном узле, в одном ярусе трубопроводов необходимо разместить несколько компенсаторов, обычно получается, что лишь один компенсатор имеет оптимальные размеры. Оптимальные в том смысле, что компенсирующая способность этого компенсатора соответствует (с учетом предварительной растяжки) тому удлинению рассматриваемого участка трубопровода, которое требуется по расчету.
Остальные компенсаторы подбираются по конструктивным соображениям и их размеры определяются размерами этого первого. С учетом всего этого вместе взятого в табл. 15 приведены значения упругих реакций компенсаторов. При определении этих значений начальная температура трубопровода принималась равной минус 30 °C, а величина предварительной растяжки П-образного компенсатора - 50%.
Таблица 15
Упругие реакции компенсаторов в Т
| | П-образного | Г-образного |
Pk | Px | Py |
нормативная | расчетная | нормативная | расчетная | нормативная | расчетная |
I-I | 1 | 3,51 | 3,9 | 1,32 | 1,45 | 1,27 | 1,4 |
2 | 3,8 | 4,2 | 1,32 | 1,45 | 1,27 | 1,4 |
3 | 1,82 | 2 | 0,48 | 0,5 | 0,44 | 0,5 |
4 | 1,83 | 2 | 0,48 | 0,5 | 0,44 | 0,5 |
5 | 2,05 | 2,26 | 0,72 | 0,8 | 0,66 | 0,7 |
6 | 0,18 | 0,2 | 0,05 | 0,05 | 0,04 | 0,05 |
7 | 2,08 | 2,3 | 0,72 | 0,8 | 0,66 | 0,7 |
8 | 0,17 | 0,2 | 0,05 | 0,05 | 0,04 | 0,05 |
9 | 2,31 | 2,5 | 0,72 | 0,8 | 0,66 | 0,7 |
10 | 1,13 | 1,25 | 0,48 | 0,5 | 0,44 | 0,5 |
11 | 1,13 | 1,25 | 0,48 | 0,5 | 0,44 | 0,5 |
II-II | 1 | 2,84 | 3,1 | - | - | - | - |
2 | 3,09 | 3,4 | - | - | - | - |
3 | 1,82 | 2 | - | - | - | - |
4 | 1,83 | 2 | - | - | - | - |
5 | 1,37 | 1,6 | - | - | - | - |
6 | 0,12 | 0,1 | - | - | - | - |
7 | 1,31 | 1,45 | - | - | - | - |
8 | 0,12 | 0,1 | - | - | - | - |
9 | 1,77 | 1,95 | - | - | - | - |
10 | 1,13 | 1,25 | - | - | - | - |
Нагрузки на анкерные опоры от упругих реакций компенсаторов определяются аналогично тому, как определялись нагрузки в предыдущем
(6-м) пункте.
Так, в частности, на анкерную опору N 1 нагрузка от упругой реакции компенсатора на трубопроводе N 1 будет равняться 3,9 - 0,8·1,45 = 2,7 Т; на анкерную опору N 2 0,2·3,9 = 0,8 Т; на анкерную опору N 3 вдоль трассы - 3,9 Т; поперек трассы - 3,1 Т.
В табл. 16 сведены результаты определения нагрузок на анкерные опоры от упругих реакций компенсаторов. Структурно эта таблица подобна
табл. 14, но между ними имеется два отличия.
Таблица 16
Расчетные упругие реакции компенсаторов,
действующие на анкерные опоры, в Т
| | Анкерная опора N 1 | Анкерная опора N 2 | Анкерная опора N 3 |
траверса нижнего яруса | траверса верхнего яруса | опора в целом | траверса нижнего яруса | траверса верхнего яруса | опора в целом | траверса нижнего яруса | траверса верхнего яруса | опора в целом |
вдоль | поперек |
I-I | 1 | 2,7 | - | 2,7 | 1,4 | 0,8 | - | 0,8 | 3,9 | - | 3,9 |
2 | 3 | - | 3 | 1,4 | 0,8 | - | 0,8 | 4,2 | - | 4,2 |
3 | 1,6 | - | 1,6 | 0,5 | 0,4 | - | 0,4 | 2 | - | 2 |
4 | 1,6 | - | 1,6 | 0,5 | 0,4 | - | 0,4 | 2 | - | 2 |
5+6 | - | 1,7 | 1,7 | 0,7 | - | 0,5 | 0,5 | - | 2,45 | 2,45 |
7+8 | - | 1,7 | 1,7 | 0,7 | - | 0,5 | 0,5 | - | 2,5 | 2,5 |
9 | - | 1,9 | 1,9 | 0,7 | - | 0,5 | 0,5 | - | 2,5 | 2,5 |
10 | - | 1,7 | 1,7 | 0,25 | - | 0,4 | 0,4 | - | 1,95 | 1,95 |
11 | - | 0,8 | 0,8 | 0,5 | - | 0,2 | 0,2 | - | 1,25 | 1,25 |
II-II | 1 | - | - | - | - | - | - | - | 3,1 | - | 3,1 |
2 | - | - | - | - | - | - | - | 3,4 | - | 3,4 |
3 | - | - | - | - | - | - | - | 2 | - | 2 |
4 | - | - | - | - | - | - | - | 2 | - | 2 |
5+6 | - | - | - | - | - | - | - | - | 1,7 | 1,7 |
7+9 | - | - | - | - | - | - | - | - | 1,6 | 1,6 |
9 | - | - | - | - | - | - | - | - | 1,95 | 1,9 |
10 | - | - | - | - | - | - | - | - | 1,25 | 1,2 |
Во-первых, вместо усилия на наиболее нагруженную стойку, указанного в
табл. 14, в
табл. 16 дано усилие на опору в целом. Исходя из этого последнего усилия определяется усилие на каждую из стоек (с помощью обычных правил строительной механики).
Во-вторых, в
табл. 16 приводится усилие на анкерную опору N 1, направленное не только вдоль, как это делается в
табл. 14, но и поперек направления трассы.
Для установления общего усилия на анкерные опоры от технологических воздействий температуры нужно просуммировать соответствующие данные
табл. 14 и 16 с учетом упомянутых их отличий.
8. Ветровые нагрузки. Если принять, что проектирование ведется для III района с нормативным скоростным напором 0,045 Т/м
2, то нагрузка на каждую опору (
c = 1;
l = 14 м;
d1 и
d2 по
рис. 15 с учетом изоляции 0,9 и 1,2 м) составит:
нормативная:
для нижнего яруса ............

;
" верхнего " ...............

;
расчетная:
для нижнего яруса ............ 0,57·1,2 = 0,7 Т;
" верхнего " .............. 0,76·1,2 = 0,9 Т.
ПРИМЕР ОПРЕДЕЛЕНИЯ СЕЙСМИЧЕСКОЙ НАГРУЗКИ НА ЭСТАКАДУ
В качестве примера принята конструкция одноярусной эстакады по типовому проекту; состав трубопроводов неизвестен.
Продольный и поперечный разрезы участка эстакады и основные геометрические характеристики представлены на рис. 17. Промежуточные колонны выполнены из бетона марки 200 (начальный модуль упругости E = 2,65·106 Т/м2), а анкерные двухветвевые - из бетона марки 300 (E = 3,15·106 Т/м2).
Рис. 17. Конструкция эстакады и сечения ее элементов
1 - траверсы на опоре; 2 - траверсы в пролете;
3 - рядовая колонна; 4 - анкерная колонна;
5 - балка пролетного строения
Фундаменты под промежуточные колонны имеют прямоугольное сечение размером 2 x 2 м и глубину заложения hф = 1,5 м, а под анкерные - сечение размером 3,5 x 2 м и глубину заложения hф = 2 м.
Нормативная вертикальная нагрузка от веса трубопроводов, с учетом дополнительного коэффициента 0,8, составляет
q = 2·0,8 = 1,6 Т/м.
Расчетная сейсмичность площадки 8 баллов.
Сейсмическая нагрузка вдоль трассы
Сейсмическая нагрузка вдоль трассы определяется для участка, расположенного между осями компенсаторов, L = 78 м, и принимается действующей в уровне верхних граней траверс на высоте 7,1 м от верха фундамента.
Величина расчетной вертикальной нагрузки Q определяется по табл. 17.
Таблица 17
Элементы | Нормативный вес каждого элемента (Т) | Коэффициент приведения веса | Количество элементов на участке | Коэффициент перегрузки | Коэффициент сочетаний | Расчетная вертикальная нагрузка (Т) |
Трубопроводы ........................... | 2 (Т/м) | 0,8 | 78 м | 1,1 | 0,8 | 110 |
Промежуточные колонны ....... | 2,75 | 0,25 | 12 | 1,1 | 0,9 | 8,2 |
Анкерные колонны .................. | 6,3 | 0,25 | 2 | 1,1 | 0,9 | 3,1 |
Балки пролетного строения .... | 2,8 | 1 | 12 | 1,1 | 0,9 | 33,2 |
Траверсы ................................... | 1,9 | 1 | 13 | 1,1 | 0,9 | 24,5 |
| | | | | | Q = 179 Т |
Перемещения промежуточной и анкерной колонн в уровне верхних граней балок пролетного строения (
H1 = 6,6 м) от единичных сил, приложенных в уровне верхних граней траверс, определяются по
приложению IV.
Учитывая относительно небольшую величину превышения
e = 0,5 м в формулах
приложения IV можно принять
e = 0.
Перемещение промежуточной колонны (постоянного сечения)

.
Изгибная жесткость сечения колонны:

;

.
Момент инерции подошвы фундамента:

;

;

.
Перемещение анкерной двухветвевой колонны

.
Изгибная жесткость сечения каждой ветви

.
Количество ярусов колонны m = 3
Момент инерции подошвы фундамента в направлении действия силы:

;

;

.
Конструкции промежуточных и анкерных опор включают по две колонны, шарнирно соединенные траверсами. Поэтому перемещения промежуточной опоры

;
анкерной опоры

.
Перемещение блока эстакады от единичной силы

.
Период собственных колебаний конструкции

.

.
Коэффициент сейсмичности определяется по
табл. 2 главы СНиП II-А.12-69 исходя из расчетной сейсмичности 8 баллов
Kс = 0,05.
Расчетная сейсмическая нагрузка на блок эстакады (коэффициент

).

(рис. 18, а).
Рис. 18. Схемы приложения сейсмических
нагрузок на элементы конструкций
а - продольная нагрузка на блок эстакады; б - продольная
нагрузка на анкерную колонну наиболее нагруженного ряда
колонн; в - то же, на промежуточную колонну;
г - поперечная нагрузка на опоры
Расчетная сейсмическая нагрузка на анкерную опору

.
Расчетная сейсмическая нагрузка на анкерную колонну (и ее фундамент) наиболее нагруженного ряда колонн определяется согласно
рис. 12
Расчетная сейсмическая нагрузка на j-ю промежуточную опору

.
Расчетная сейсмическая нагрузка на промежуточную колонну (и ее фундамент) наиболее нагруженного ряда колонн определяется согласно
рис. 12
Сейсмическая нагрузка поперек трассы
Сейсмическая нагрузка поперек трассы определяется для участка, расположенного между смежными опорами эстакады, l = 12 м.
Величина расчетной вертикальной нагрузки Q определяется по табл. 18.
Таблица 18
Элементы | Нормативный вес элемента в Т | Количество элементов на участке | Коэффициент перегрузки | Коэффициент сочетания | Расчетная вертикальная нагрузка в Т |
Трубопроводы .................................. | 1,6 | 12 м | 1,1 | 0,8 | 16,8 |
Балки пролетного строения ........... | 2,8 | 2 | 1,1 | 0,9 | 5,5 |
Траверсы .......................................... | 1,9 | 2 | 1,1 | 0,9 | 3,8 |
| | | | | Q = 26 Т |
Перемещение промежуточной колонны в уровне верхних граней балок пролетного строения от единичной силы, приложенной в уровне верхних граней траверс, определяется по
приложению IV (при
e = 0)

.
Изгибная жесткость сечения колонны:

;

;

;

.
Перемещение промежуточной опоры

.
Период собственных колебаний конструкции

.
Коэффициент динамичности

.
Расчетная сейсмическая нагрузка на промежуточные и анкерную опоры эстакады (коэффициент

)
Расчетная сейсмическая нагрузка на промежуточные и анкерную колонны и их фундаменты составляет 0,75 Т.
ОБОСНОВАНИЕ РЕКОМЕНДУЕМЫХ ВЕЛИЧИН НАГРУЗОК
Натурное обследование трубопроводных сооружений проводилось НИИСК с участием Харьковского Промстройниипроекта, Киевского Промстройпроекта, Приднепровского Промстройпроекта.
Было обследовано 29 трасс (рис. 19) общей протяженностью 10 км на предприятиях химической, нефтеперерабатывающей, энергетической и металлургической промышленности. Получены данные по сооружениям, эксплуатируемым в течение от 2 до 17 лет, с несущими стальными и железобетонными конструкциями.
Рис. 19. Схемы поперечных сечений трасс
29 обследованных трубопроводных сооружений
При обследовании было обращено внимание на неудовлетворительное состояние опорных частей, в первую очередь катковых.
Фактические условия работы катковых опорных частей существующих конструкций значительно отличаются от тех схем, которые принимаются при расчете.
Было обращено внимание на несоответствие фактической вертикальной нагрузки от трубопроводов той, которая принималась в расчетах. Наблюдались отдельные случаи, когда фактические вертикальные нагрузки в 2 - 3 раза превышали номинальную.
Однако неудовлетворительное состояние ряда опорных частей, приводившее к увеличению горизонтальных нагрузок, большие вертикальные перегрузки не вызывали обрушения строительных конструкций. Это говорит о наличии пока не вскрытых внутренних резервов прочности рассматриваемых конструкций.
С целью вскрытия этих резервов в ЦНИИпромзданий была разработана методика определения горизонтальных нагрузок от температурных воздействий трубопроводов на отдельно стоящие опоры, учитывающая совместную работу труб и опоры.
Рассматривалась статическая система, состоящая из опоры, на траверсах которой свободно лежит произвольное число различных труб, пуск в эксплуатацию которых в общем случае происходит не одновременно.
Так как трубы на траверсах лежат свободно, усилия в них не могут превзойти сил трения. Когда усилие в какой-либо трубе (нагреваемой или удерживающей) достигает силы трения, эта труба начинает скользить по опоре.
Для выяснения того, что происходит в этот момент с опорой в НИИСК была построена установка (рис. 20), представляющая собой один шестиметровый пролет трассы трубопровода.
Рис. 20. Установка для исследования работы
промежуточной стальной опоры под трубопроводы
Было установлено, что поведение стойки в момент проскальзывания трубы зависит от условий ее опирания (рис. 21).
Рис. 21. Изменение напряжений

в промежуточной опоре
в момент t проскальзывания одиночного трубопровода
при двух схемах его опирания на траверсу (а и б)
и соответствующие положения опоры
1 - до нагрева; 2 - в момент начала
проскальзывания; 3 - после проскальзывания
Если на опоре расположен один трубопровод, то в момент проскальзывания опора частично или полностью возвращается в первоначальное положение.
Картина резко меняется, если на промежуточную опору опирается не один, а несколько трубопроводов, что на практике является наиболее распространенным случаем. Опыты, проведенные на упомянутой установке при опирании на нее трех труб при поочередном нагреве каждой из них, показали следующее. В момент проскальзывания одного трубопровода опора, поддерживаемая в горизонтальном направлении двумя другими, практически сохраняет без изменения то деформированное состояние, которое соответствовало моменту начала скольжения одной трубы.
Это означает, что при многотрубной прокладке усилие в проскользнувшей трубе при дальнейшем ее нагреве остается постоянным и оно не оказывает влияния на дальнейшее изменение напряженного состояния системы. Если при пусках следующих труб в такой проскользнувшей трубе возникают деформации обратного знака, то усилие в ней уменьшается и она вновь начинает оказывать влияние на напряженное состояние системы.
Таким образом, система в процессе нагревания труб изменяется и усилия в ее элементах после очередного пуска зависят не только от температуры труб, но и от очередности их заполнения.
Так как усилия в системе зависят от нагрева (пуска труб), предшествующего ему, то для определения их необходимо определить усилия по всем пускам от исходного до рассматриваемого.
Для расчета применен метод перемещений. На каждом пуске определяется часть приращения температуры, при которой система работает упруго (т.е. трубы еще не скользят), и вычисляются усилия в трубах и в опоре от нагрева на эту часть. Затем проверяется способность труб работать упруго при дальнейшем нагреве при условии вывода из расчета тех труб, усилия в которых к этому времени достигли сил трения (если они не разгружаются). При этом реализуется следующая часть приращения температуры.
Так продолжается до тех пор, пока нагреваемые трубы не достигнут расчетной температуры. Если все они начнут скользить до этого момента, то расчет рассматриваемого состояния прекращается (так как дальнейший нагрев труб не меняет напряженного состояния системы) и проводится расчет следующего.
Для экспериментальной проверки описанной методики была использована вышеупомянутая установка.
На рис. 22 показан график изменения усилий в трубах и стойках опоры в процессе поочередного нагрева всех трех труб.
Рис. 22. График изменения усилий P в трубах (1, 2, 3)
и стойке (4) в процессе поочередного нагрева труб (сплошные
линии - экспериментальные, пунктирные - расчетные)
Так как в эксперименте зависимость температуры от времени была нелинейной, то по оси абсцисс на графике отложено время, масштаб которого различен для разных участков и выбран таким образом, чтобы рост экспериментальных усилий в стойке в пределах каждого из этих участков изображался прямой линией.
Первой в эксперименте нагревалась труба 1 от нуля до t1. При этом в ней возникало, увеличиваясь все время, сжимающее усилие. В это время в трубе 2 возникало и увеличивалось усилие растяжения, а в трубе 3 - сжатия. Усилие в трубе 2 росло быстрее, чем в остальных трубах, и она проскользнула первой в момент t'. При дальнейшем нагреве трубы 1 в течение времени от t' до t'' усилие в трубе 2 сохранялось постоянным. Так как она в это время скользила по опоре, не удерживая ее, отклонение опоры заметно увеличилось. Соответственно этому в трубе 3 величина усилия сжатия стала уменьшаться и уменьшалась до тех пор, пока не проскользнула нагреваемая труба.
После этого момента усилия во всех трубах и стойке сохранялись постоянными до начала нагрева трубы 3, которое началось в момент t1 и закончилось в момент t2. В этой трубе увеличивалось усилие сжатия, а в трубе 1 соответственно уменьшалось. Усилие в трубе 2 не менялось. После проскальзывания трубы 3 в момент t''' напряженное состояние системы изменялось незначительно.
Третьей в эксперименте нагревалась труба 2. Ее нагрев начался в t2 и продолжался до t3. Растяжение в этой трубе сначала уменьшалось до нуля, затем она начала сжиматься и сжималась до момента проскальзывания tIV. В трубах 3 и 1, напротив, за это время сначала стало уменьшаться сжатие, а затем эти трубы стали растягиваться. После проскальзывания трубы 2 в системе установились постоянные усилия.
Для сравнения на график нанесены результаты расчета исследуемой модели. Оба графика оказались близки друг к другу, что свидетельствует о справедливости принятой методики.
Методика была запрограммирована и расчет может осуществляться с помощью электронной вычислительной машины.
Наряду с описанным способом был сохранен условный способ определения рассматриваемых горизонтальных нагрузок при помощи коэффициентов неодновременности. При этом следует обратить внимание на некоторое различие между прежним коэффициентом неодновременности и вводимым более эффективным его значением.
Под прежним коэффициентом неодновременности понимается коэффициент, на который умножаются силы трения от каждого трубопровода, чтобы получить в нем величины нагрузок. Зная нагрузки всех труб, нетрудно получить усилие на каждую стойку.
Поскольку горизонтальные нагрузки от труб в этом случае пропорциональны их вертикальным нагрузкам, постольку точка приложения равнодействующей горизонтальных сил всегда будет совпадать с точкой приложения равнодействующей вертикальных сил.
Фактически усилия, возникающие в трубах в результате их неодновременного пуска, не пропорциональны силам трения, что приводит к смещению положения равнодействующей горизонтальных усилий по отношению к положению равнодействующей вертикальных сил.
Прежний коэффициент неодновременности, в отличие от предлагаемого более эффективного коэффициента неодновременности, не учитывает этого смещения.
Новые коэффициенты неодновременности установлены таким образом, чтобы при умножении на них суммы сил трения всех трубопроводов определялось продольное горизонтальное усилие в точке присоединения траверсы к наиболее нагруженной стойке симметричной опоры с указанными выше ограничениями.
Численные величины рассматриваемых новых коэффициентов неодновременности были получены в ЦНИИпромзданий как путем статистического моделирования процесса заполнения труб трассы (ее характеристики были выбраны с обеспечением запаса прочности по отношению к подавляющему большинству реальных трасс), так и путем расчета реальных трасс с последующим обобщением результатов.
На каждом очередном пуске одновременно может нагреваться либо одна, либо две трубы. Изучение условий пуска на действующих заводах показало, что наиболее вероятным вариантом включения трубопроводов является поодиночное.
Трубы нагреваются до такой температуры, которая вызывает проскальзывание их по опоре. Расчет реальных трасс проводился на ЭВМ. Результаты расчетов в виде величин коэффициентов приведены на рис. 23.
Рис. 23. Зависимость коэффициентов неодновременности
для расчета промежуточных отдельно стоящих опор
от числа расположенных на них трубопроводов
а - полученная из расчета модели; б - принятая;
в - по СНиП II-Г.10-62 "Тепловые сети. Нормы проектирования"
для коэффициентов неодновременности при равномерном
распределении вертикальной нагрузки. Точками показаны
значения коэффициентов для реальных трасс
Как видно из этих данных, принятые коэффициенты полностью обеспечивают запас прочности во всех реальных гибких конструкциях, на которые они распространяются - одноярусные отдельно стоящие опоры и верхние ярусы двухъярусных.
Применительно к эстакадам эксперименты по определению продольных горизонтальных нагрузок были проведены в ГДР. Угловой температурный блок двухъярусной металлической эстакады был отделен от соседнего блока скользящими опорными частями (рис. 24). В результате проведенных экспериментов удалось установить, что наибольшая горизонтальная нагрузка в подкосе определяется в основном изменением температуры окружающего воздуха и в меньшей степени - изменением температуры трубопроводов.
Рис. 24. Общий вид углового температурного
блока металлической эстакады, на которой
были проведены эксперименты в ГДР
1 - тарированный подкос анкерной опоры;
2 - подкос, выключенный из работы на время испытаний;
3 - еще три температурных блока до поворота трассы;
4 - скользящие опорные части
Температура наружного воздуха в течение двух месяцев проведения эксперимента изменялась от +10 до +30 °C. При этом скользящие опоры, отделяющие один температурный блок от другого (см. узел А на
рис. 24), не срабатывали и все четыре температурных блока исследованной эстакады работали не как отдельные строительные конструкции, а как конструкции, связанные между собой в единую систему, расположенную между поворотами трассы (общей длиной около 200 м).
Замеренные наибольшие величины продольных горизонтальных усилий при изменении температуры наружного воздуха (5 Т) совпадали с расчетными, если в расчете рассматривалась вся статически неопределимая система длиной около 200 м.
Благополучная эксплуатация такой трассы со столь большими (фактическими) температурными блоками указывает на возможность увеличения проектной длины температурных блоков по сравнению с рекомендуемой в настоящее время (например, в типовых проектах).
Замеренные величины продольных горизонтальных усилий при изменении температуры трубопровода в среднем близки к тем, которые получаются из расчета в предположении отсутствия совместной (связанной) работы трубопровода и несущей конструкции.
Принимаемые в настоящее время в расчетах величины горизонтальных нагрузок, обеспечивают необходимый запас прочности по отношению к полученным экспериментальным данным.
В НИИСК была создана специальная экспериментальная установка, позволяющая определять величины коэффициентов трения в опорных частях трубопроводов натуральной величины (рис. 25).
Рис. 25. Установка для изучения коэффициентов
трения в момент испытания катковой опорной части
с диаметром катка 50 мм
В процессе испытаний скользящих опорных частей было установлено, что контакт подвижного элемента с опорной плитой наблюдается не по всей скользящей поверхности элемента, а только по ее части, в основном под ребром жесткости. Естественно, площадь контакта увеличивается с ростом нагрузки. Поэтому удельное давление на фактической площади контакта значительно превышает расчетное. В результате процесс скольжения в большей или меньшей степени сопровождается образованием задиров. В местах задиров контактируемые поверхности приобретают специфический металлический блеск.
Это уже не трение в обычном его понимании, а скорее срез металла. Естественно, что и соответствующие коэффициенты трения (правильнее было бы их называть коэффициентами сопротивления движению) в этом случае возрастают. Сказанное наглядно подтверждается результатами экспериментов (рис. 26, а). Вместо привычного принимаемого при расчетах значения коэффициента трения 0,3, эти результаты показали, что наиболее часто значения коэффициента находятся в пределах 0,4 - 0,55, а нередко превышают 0,6.
Рис. 26. Кривые распределения коэффициентов
трения при испытании опорных частей
а - скользящих: 1 - опорная плита; 2 - изогнутый
лист подвижного элемента; 3 - ребро жесткости; б - катковых:
1 - опорная плита; 2 - каток; 3 - выточка катка; 4 -
направляющий рельс опорной плиты; n - общее число испытаний
Наличие ржавчины на контактных поверхностях и загрязнение их песком заметно не изменяют коэффициентов трения. Также не было установлено заметного влияния времени выдержки под нагрузкой (от 5 мин до 6 суток) на величину коэффициента трения. Однако было отмечено, что после многократных проскальзываний при наличии песка песчинки первоначальной крупностью 0,3 - 0,6 мм размельчаются, внедряются в металл и увеличивают сопротивление проскальзыванию. Также увеличивается сопротивление проскальзыванию при возрастании вертикальной нагрузки.
Необходимо указать, что в ГДР независимо от описанных экспериментов были проведены опыты по самостоятельной методике. Если обе контактируемые пластины были с прокатными или сильно прокорродировавшими поверхностями, то коэффициент трения доходил до 0,7 и даже 0,8. Если хотя бы одна из поверхностей была шлифованной, то коэффициент трения резко уменьшался, опускаясь до 0,3.
Исходя из полученных экспериментальных данных, а также учитывая, что в реальных условиях опорные поверхности обычно являются прокорродировавшими, следовало бы нормированную величину коэффициента трения для стальных скользящих опорных частей принять не менее 0,6. Но это вдвое увеличило бы соответствующую силу по сравнению с учитываемой ныне. Вместе с тем, опыт эксплуатации строительных конструкций под трубопроводы со скользящими опорными частями не свидетельствует о недостаточности учитываемой ныне силы трения. Это обстоятельство и явилось основой сохранения на данном этапе нормируемого значения коэффициента трения в скользящих опорных частях, равного 0,3.
Переходя к испытаниям со стальными катковыми опорными частями, надо указать, что если каток при перемещении не касается своими выточками направляющих "рельсов" опорной пластины, то независимо от состояния поверхности пластины коэффициент трения никогда не превышал 0,1, а чаще всего был меньше этой величины в несколько раз.
Однако малейший перекос в плане приводил к упиранию выточек в направляющие и существенно изменял условия работы катка. Было замечено, что после упора каток продолжает поворачиваться, но без продольного перемещения. При этом наблюдался срез контактируемых краев катка и "рельса". Величина коэффициента трения зависит от величины перекоса, от соотношения прочностей "рельса" и катка и от ряда других особенностей.
В проведенных опытах эта величина коэффициента трения не превышала 0,18 (
рис. 26, б). Проведенные опыты не выявили зависимости коэффициента трения от величины вертикальной нагрузки, от диаметра катка и от состояния поверхности опорной пластины.
Учитывая, что при фактических условиях эксплуатации катки повсеместно имеют перекос, а с другой стороны, учитывая сравнительно ограниченный объем проведенных опытов, было сочтено целесообразным не подвергать изменению ныне принимаемого значения коэффициента трения для катковых опорных частей, равного 0,1, в направлении оси трубопровода.
Принимая во внимание, что скользящие опорные части с использованием стали обладают высоким коэффициентом трения и что катковые не стабильны в эксплуатации, возникла идея использовать скользящие опорные части с неметаллическими пластинками в паре со сталью. Такая идея была выдвинута в ГДР.
В НИИСК были проведены контрольные опыты. Их результаты пока не дают оснований к рекомендации широкого производственного применения таких опорных частей.
Для опор, расположенных вблизи угла поворота трассы или вблизи П-образного компенсатора, важное значение имеет направление действия силы трения. В действующих нормативных документах это расстояние принимается равным 40dу.
В этих опорах в результате нагрева трубопроводов наблюдается не только продольное, но и поперечное перемещение. С целью уточнения фактических направлений перемещений, они были вычислены в институте Гипрокаучук для пяти трубопроводов тепловых сетей.
Из данных табл. 19 и
20 видно, что для всех промежуточных опор основным направлением перемещения трубопровода является продольное. Если направление не продольное, то соответствующий угол не превышает 30°.
Таблица 19
Основные параметры трубопроводов и схемы их деформации
при нагреве с учетом сил трения в промежуточных опорах
Размещение компенсатора | Диаметр трубопровода в см | Разность температур в °C | Внутреннее давление в кГ/см2 | Исходная (сплошная линия) и деформированная (пунктирная линия) схемы пяти трубопроводов тепловых сетей при нагреве их на заданную разность температур |
Симметричное | 53 | 180 | 160 | |
72 | 280 | 80 | |
53 | 180 | 160 | |
63 | 250 | 70 | |
Несимметричное | 53 | 180 | 160 | |
Примечание. Масштаб для трубопроводов в 50 раз меньше, чем для деформаций.
Таблица 20
Углы направления перемещения трубопроводов на промежуточных
опорах относительно направления трассы (в град)
| Разность температур в °C | |
1 | 2 | 3 | 4 | 5 | 6 | 7 | 8 | 9 |
а | 100 | 1 | 4 | 15 | 10 | 3 | 90 | - | - | - |
200 | 2 | 10 | 19 | 6 | 16 | 90 | - | - | - |
300 | 3 | 13 | 20 | 2 | 26 | 90 | - | - | - |
б | 100 | 1 | 6 | 11 | 87 | 90 | - | - | - | - |
200 | 3 | 9 | 11 | 80 | 90 | - | - | - | - |
300 | 5 | 10 | 10 | 74 | 90 | - | - | - | - |
в | 100 | 1 | 5 | 22 | 16 | 55 | - | - | - | - |
200 | 3 | 12 | 26 | 8 | 76 | - | - | - | - |
300 | 5 | 17 | 26 | 1 | 82 | - | - | - | - |
г | 100 | 12 | 7 | 13 | 10 | 87 | 50 | - | - | - |
200 | 4 | 11 | 14 | 10 | 80 | 45 | - | - | - |
300 | 6 | 13 | 14 | 10 | 70 | 43 | - | - | - |
д | 100 | 2 | 1 | 22 | 19 | 59 | 0 | 23 | 6 | 1 |
200 | 0 | 11 | 25 | 7 | 33 | 8 | 7 | 25 | 13 |
300 | 3 | 18 | 27 | 18 | 30 | 12 | 0 | 24 | 17 |
Что касается опор под П-образные компенсаторы, то в них основными направлениями перемещения являются: для опор под "вылетами" компенсаторов - также продольное (вдоль трассы), а для опор под "спинку" - поперечное.
В настоящее время усилия от П-образных гнутых компенсаторов, передающиеся на анкерные опоры, определяются без учета сил трения в промежуточных опорах. Предполагается, что трубопровод как бы висит, не опираясь на них. Вместе с тем имелось предположение, что эти силы трения могут повлиять на величину указанных усилий.
С целью проверки этого положения в Гипрокаучук было проведено специальное исследование и составлена программа расчета с помощью ЭВМ. Контрольные расчеты показали, что упругие реакции, определенные по новому (более сложному) способу, несущественно (до 10%) отличаются от величин, полученных обычными способами.
Что касается определения распоров линзовых и дисковых компенсаторов, то за основу был принят способ, разработанный проф. С.Н. Соколовым в 1936 г.
Распор линзовых и дисковых компенсаторов определяется как сумма распоров, вызываемых температурным бездействием и давлением на внутреннюю поверхность линзы или диска.
Распор однолинзового компенсатора, вызываемый температурным воздействием, определяется по формуле

, (15)
где

- толщина стенки линзы в см;

- отношение внутреннего диаметра трубопровода
d к наружному диаметру
D линзового компенсатора;

- гарантированный предел текучести в кГ/см
2;
k' - коэффициент запаса, принимаемый равным 1,2 при внутреннем давлении
P0 < 2,5 кГ/см
2 и 1,3 - при

(при
P0 < 6 кГ/см
2 линзовые и дисковые компенсаторы не применяются).
Этот распор соответствует допускаемой осадке


, (16)
где E - модуль упругости в кГ/см2;

- коэффициент, зависящий от

,

; (17)
d - внутренний диаметр трубопровода в см.
Приведенные позднее экспериментальные работы показали, что допускаемая осадка без ущерба для действительной прочности линзовых компенсаторов может быть увеличена в 1,5 раза. При этом величина распора также возрастает, но не в 1,5, а в 1,25 раза (кривая 1 на рис. 27).
Рис. 27. Зависимость температурного распора
Pж компенсатора от его осадки

1 - однолинзовый компенсатор; 2 - однодисковый компенсатор
Что касается сварных дисковых компенсаторов, то для них не было проведено аналогичных экспериментальных работ и поэтому для них и поныне в качестве допускаемой наибольшей осадки принимается величина

, определяемая по
формуле (16) <*>. Величина же распора ввиду повышенной жесткости узлов таких компенсаторов оказывается в 1,5 раза больше распора
Pж линзовых компенсаторов, определяемого по
формуле (15) (кривая 2 на
рис. 27).
--------------------------------
<*> Более того, для обеспечения надежной работы компенсатора величина допустимой осадки, принимаемая в расчетах, обычно не превышает

.
Жесткость сварного дискового компенсатора - величина температурного распора при изменении осадки одной волны на единицу - с учетом
формул (15) и
(16) равняется

, (18)
где

- коэффициент, зависящий лишь от

.
Клепаные дисковые компенсаторы при нормировании приравниваются к линзовым. Их жесткость в полтора раза меньше жесткости сварных дисковых.
Для определения полной величины температурного распора одно- или многоволнового компенсатора необходимо величину

умножить на фактическую величину осадки одной волны компенсатора.
Нетрудно показать, что величина

является одновременно и нормативной и расчетной по терминологии метода расчета по предельным состояниям. Действительно, минимальная толщина стенки линзы компенсатора (в см) определяется по формуле

, (19)
где Pи - внутреннее давление при испытаниях трубопроводов в кГ/см2;
k'' - коэффициент запаса, принимаемый равным 1,1;

- коэффициент, зависящий от

,

. (20)
Следовательно,

, если в
формулу (18) поставить значения из
формул (19) и
(20), при определенных размерах компенсатора, зависит только от
Pи, а коэффициент перегрузки для
Pи равняется единице.
Распор, вызываемый давлением на внутреннюю поверхность линзы или диска, определяется по формуле

, (21)
где P0 - внутреннее давление в стадии эксплуатации в кГ/см2;

- коэффициент, зависящий от

,

. (22)
Принимая k' = 1,25, получаем
где

.
Значения
Pд по
формуле (23) являются нормативными значениями распора линзовых или дисковых компенсаторов, вызываемого давлением на внутреннюю поверхность линзы или диска в стадии эксплуатации (
P0 является нормативным внутренним давлением в стадии эксплуатации). Расчетное значение
Pд в этом случае получается путем умножения нормативных значений на коэффициент перегрузки.
Для определения нормативного значения
Pд для случая испытания трубопровода вместо значений
P0 в
формуле (23) следует использовать
Pи. При этом расчетное значение будет равняться нормативному.
Расчетный распор линзовых или дисковых компенсаторов определяется суммой расчетных распоров Pж и Pд. При этом должны быть рассмотрены физически возможные комбинации рассматриваемых составляющих.
Для определения расчетной нагрузки в точке анкерного прикрепления трубопровода к траверсе необходимо к Pж и Pд прибавить усилие от соответствующего давления на задвижку (заглушку).
Волнистые компенсаторы подразделяются на осевые и шарнирные. Осевые принципиально сходны с линзовыми. Однако некоторые конструктивные особенности позволяют использовать их при более высоких давлениях. Шарнирные компенсаторы могут работать на изгиб в одной плоскости. Их использование взамен П-образных приводит к экономическому эффекту. В СССР изготавливают осевые компенсаторы КВО-2 и шарнирные КВУ-2 условным диаметром dу от 15 до 40 см на давление P0 = 25 кГ/см2.
Проведенные Гипронефтемаш эксперименты с осевыми компенсаторами КВО-2 показали, что расчетный распор
Pж (в кГ), называемый температурным воздействием и соответствующий расчетной величине допускаемой осадки, существенно отличается от вычисленного по
формуле (15) и с точностью 5% может быть определен по эмпирической формуле
Pж = 50dу, (24)
где dу - в см.
Что касается расчетного распора Pд (в кГ), вызываемого давлением на внутреннюю поверхность волны, то он определяется по той же формуле, что и для линзовых компенсаторов:

, (25)
где n - коэффициент перегрузки.
В шарнирных компенсаторах единственным возникающим усилием является изгибающий момент от температурного воздействия.
Проведенные Гипронефтемаш эксперименты
(рис. 28) показали, что с достаточной точностью величина изгибающего момента
M (в Тм) может быть определена по эмпирической формуле

. (26)
Рис. 28. Зависимость изгибающего
момента M шарнирного компенсатора от давления P
и условного диаметра dу трубопровода
Кривые пунктирные линии с точками - экспериментальные;
1 - dу = 15 см; 2 - dу = 20 см; 3 - dу = 25 см;
4 - dу = 30 см; 5 - dу = 35 см; 6 - dу = 40 см
При изучении ветровых нагрузок экспериментальное определение аэродинамических коэффициентов c проводилось институтом механики Московского государственного университета им. Ломоносова совместно с ЦНИИСК им. Кучеренко. Были испытаны две модели (рис. 29). Модель А имитировала прокладку по отдельно стоящим опорам; модель Б - по эстакадам со сплошным пролетным строением. Относительная шероховатость модели в целом приблизительно соответствовала относительной шероховатости натурных трубопроводов.
Рис. 29. Схемы моделей, имитирующих прокладку трубопроводов
а - по отдельно стоящим опорам (модель А);
б - по эстакадам (модель Б); 1 - трубопровод; 2 - траверса;
3 - пролетное строение; 4 - борт; 5 - вспомогательный
ригель; 6 - вспомогательный стабилизатор
Испытания были проведены только при направлении ветрового потока, перпендикулярного направлению оси трубопровода. При этом плоскость осей всех трубопроводов была параллельна потоку.
Испытания были проведены в диапазоне скоростей ветра от 5 до 35 м/сек.
Всего была осуществлена продувка более 30 различных комбинаций расположения трубопроводов в моделях А и Б, 20 из которых указаны в
табл. 21. Результаты соответствующих испытаний представлены на рис. 30 в виде зависимостей
c от чисел Рейнольдса
Re.
Рис. 30. Зависимость аэродинамических коэффициентов от чисел
Рейнольдса для группы трубопроводов модели А (а и б)
и модели Б (в); номера кривых соответствуют данным табл. 21
Таблица 21
Перечень комбинаций расположения трубопроводов
при продувке моделей в аэродинамической трубе
Конструкции | Диаметры трубопроводов в мм | Расположение трубопроводов (ветровой поток слева направо) | Номер комбинации |
Модель А | Отдельно стоящие опоры | 200 | | 1 |
2 |
3 |
4 |
5 |
6 |
7 |
100 и 200 | | 8 |
9 |
10 |
11 |
12 |
13 |
Модель Б | Эстакады | 100 | | 14 |
15 |
16 |
17 |
18 |
100 и 200 | | 19 |
20 |
Из этих зависимостей для модели А при d = 0,2 м видно, что при Re = 4·105c для одиночного трубопровода равняется 0,64. С увеличением числа трубопроводов c возрастает в среднем на 0,2 на каждый дополнительный трубопровод и при четырех трубопроводах достигает величины 1,2. При этом заметна тенденция к понижению этой величины с увеличением Re.
Для модели Б с трубопроводами d = 0,1 м можно видеть, что при Re = 2·105 аэродинамический коэффициент различных комбинаций практически остается постоянным и равным c = 1,4. Следует обратить внимание, что площади продольных сечений трубопровода и поддерживающих конструкций в этой модели больше у последних. Именно они и определяют в основном характер обтекания модели ветровым потоком.
На основании вышеприведенных работ было рекомендовано при неизвестном составе и раскладке трубопроводов ветровую нагрузку на строительную конструкцию совместно с трубопроводами определять из условной высоты (ширины) ветровой полосы для конструкций различных типов (рис. 31). При прокладке по эстакадам следует принимать
a = 0,7 м,
b = 1 м. При прокладке по отдельно стоящим опорам
a и
b принимаются в зависимости от величины пролета
l между соседними опорами
(табл. 22).
Рис. 31. Ветровые полосы
для трех различных типов конструкций
l, м | 6 | 12 | 18 | 24 |
a, м | 0,2 | 0,3 | 0,4 | 0,5 |
b, м | 0,3 | 1 | 1,2 | 1,7 |
При этом аэродинамический коэффициент для эстакад типа I должен приниматься равным c = 1,2; типов II и III - c = 1,4; а для отдельно стоящих опор c = 1.
При известном составе и раскладке трубопроводов общая ветровая нагрузка должна определяться как сумма нагрузок на строительную конструкцию и на трубопроводы.
При определении сейсмической нагрузки вдоль трассы наличие в системах трубопроводов компенсирующих устройств позволяет приближенно считать поведение участка трассы, расположенного между соседними компенсаторами (например, блока эстакады), динамически независимым от движения смежных участков, т.е. "разрезать" систему. Сейсмические нагрузки таким образом могут определяться для указанного участка трассы.
Податливость опор эстакад и отдельно стоящих опор (в продольном направлении), как правило, намного превышает податливость совокупности трубопроводов. Поэтому, предполагая трубопроводы недеформируемыми, в качестве динамической расчетной схемы рекомендуется принять систему с одной степенью свободы в виде абсолютно жесткого массивного тела, опирающегося на ряд упруго-смещающихся опор. При этом массы вертикальных элементов конструкции приводятся к уровню верхних граней траверс, на котором считается сосредоточенной масса всех трубопроводов и горизонтальных элементов конструкций. Из условия динамической эквивалентности для консольного стержня с распределенной массой коэффициент приведения принят равным 1/4.
В двухъярусных и многоярусных конструкциях трубопроводы, как правило, прокладываются не только в уровнях ярусов, но и на промежуточных отметках, так что не представляется возможным провести четкую границу между ярусами. В этих случаях в качестве расчетной схемы также рекомендуется использовать систему с одной степенью свободы.
Особенностью рассматриваемых конструкций является наличие значительного резерва несущей способности (в продольном направлении). Кроме того, эффект сейсмического воздействия на протяженные сооружения (к которым относятся рассматриваемые конструкции) может быть существенно ниже, чем на сооружения с небольшими размерами в плане. Для достаточно жестких конструкций эффект проявляется заметнее, когда их размеры соизмеримы с длинами сейсмических волн (при преобладающих периодах длины сейсмических волн имеют порядок сотен метров).
Указанные обстоятельства дают основание принимать сейсмическую нагрузку вдоль трассы с понижающим коэффициентом.
Промежуточные отдельно стоящие опоры и опоры эстакад, как правило, располагаются по длине трассы достаточно регулярно и имеют одинаковые конструкции. Учитывая это, сейсмические нагрузки в направлении поперек трассы, соответствующие основному тону собственных колебаний, рекомендуется определять как для неразрезной балки с неограниченным числом пролетов, лежащей на упруго-смещающихся опорах (консольных, заделанных в основание стержнях). Считая трубопроводы, промежуточные опоры и пролетные строения эстакад имеющими постоянные (по длине или высоте) жесткости и равномерно распределенные массы, а деформации горизонтальных и вертикальных элементов конструкции - изгибными, сейсмическую нагрузку можно определять как для балочных мостов.
Однако при многотрубной прокладке возникает вопрос: какую жесткость или жесткость каких трубопроводов принимать в расчет. Очевидно, возможность учета гибкости каждого трубопровода весьма ограничена, а при неизвестном составе - практически исключена. Поэтому приходится прибегать к приближениям, основанным на осреднении величин относительной податливости опор и трубопроводов, а также учитывать трубопроводы преимущественно большего диаметра, воспринимающие основную часть сейсмического усилия, приходящегося на горизонтальные элементы конструкции. Они обладают большей инерционностью и определяют период основного тона собственных колебаний всей конструкции. Трубопроводы малого диаметра, а также бессвязевые пролетные строения (в поперечном горизонтальном направлении их жесткость значительно ниже жесткости трубопроводов большого диаметра) не способны воспринимать заметных сейсмических усилий, они определяют более высокочастотные формы колебаний и могут в расчет не приниматься.