Главная // Актуальные документы // Рекомендация / РекомендацииСПРАВКА
Источник публикации
М., 2004
Примечание к документу
Документ
введен в действие с 1 марта 2004 года.
Название документа
"ТР 145-03. Технические рекомендации по производству земляных работ в дорожном строительстве, при устройстве подземных инженерных сетей, при обратной засыпке котлованов, траншей, пазух"
(утв. Управлением научно-технической политики в строительной отрасли 03.12.2003)
"ТР 145-03. Технические рекомендации по производству земляных работ в дорожном строительстве, при устройстве подземных инженерных сетей, при обратной засыпке котлованов, траншей, пазух"
(утв. Управлением научно-технической политики в строительной отрасли 03.12.2003)
Утверждены:
Начальник Управления
научно-технической политики
в строительной отрасли
А.Н.ДМИТРИЕВ
3 декабря 2003 года
ПРАВИТЕЛЬСТВО МОСКВЫ
КОМПЛЕКС АРХИТЕКТУРЫ, СТРОИТЕЛЬСТВА,
РАЗВИТИЯ И РЕКОНСТРУКЦИИ ГОРОДА
ГУП "НИИМОССТРОЙ"
ТЕХНИЧЕСКИЕ РЕКОМЕНДАЦИИ
ПО ПРОИЗВОДСТВУ ЗЕМЛЯНЫХ РАБОТ В ДОРОЖНОМ
СТРОИТЕЛЬСТВЕ, ПРИ УСТРОЙСТВЕ ПОДЗЕМНЫХ ИНЖЕНЕРНЫХ СЕТЕЙ,
ПРИ ОБРАТНОЙ ЗАСЫПКЕ КОТЛОВАНОВ, ТРАНШЕЙ, ПАЗУХ
ТР 145-03
Дата введения в действие
1 марта 2004 года
Разработаны ГУП "НИИМосстрой".
Утверждены Начальником Управления научно-технической политики в строительной отрасли А.Н. Дмитриевым 3 декабря 2003 года.
Вводятся впервые.
| | ИС МЕГАНОРМ: примечание. Текст дан в соответствии с официальным текстом документа. | |
"Технические рекомендации по производству земляных работ в дорожном строительстве при обратной засыпке котлованов, траншей, пазух" разработаны кандидатами технических наук Л.В. Городецким, Р.И. Бега, ведущим инженером В.Ф. Деминым (лаборатория дорожного строительства ГУП "НИИМосстрой"), Л.И. Зинченко (ООО "Оптим инжиниринг").
В Технических рекомендациях обобщен опыт строительных организаций г. Москвы.
Технические рекомендации согласованы с ОАО "Инждорстрой", ОАО "Гордорстрой", ООО "ТОЗА".
Технические рекомендации распространяются на производство земляных работ при строительстве магистральных и внутриквартальных дорог, при устройстве подземных инженерных сетей в г. Москве, а также на работы при обратной засыпке котлованов, траншей, пазух и др.
Технические рекомендации распространяются также на работы по уплотнению грунта после восстановительного ремонта подземных инженерных сетей в зоне проезжей части дороги.
Технические рекомендации предназначены для практического руководства при выполнении земляных работ с использованием современных средств механизации отечественного производства.
2. ТРЕБОВАНИЯ К ПРИМЕНЯЕМЫМ ГРУНТАМ
2.1. Устройство насыпей земляного полотна дорог
2.1.1. Грунты, применяемые для возведения насыпей, должны обеспечивать прочность и устойчивость земляного полотна дорожной одежды.
2.1.2. Для возведения насыпей должны применяться грунты, состояние которых под влиянием природных факторов практически не изменяется или изменяется незначительно и не влияет на прочность и устойчивость земляного полотна. К ним следует отнести применяемые в г. Москве песчаные грунты, за исключением мелких недренирующих и пылеватых песков (табл. 2.1) и супеси легкой крупной
(табл. 2.2).
Таблица 2.1
Вид грунта | Содержание частиц в % от общей массы сухого грунта |
Песок гравелистый | Масса частиц крупнее 2 мм составляет более 25% |
Песок крупный | Масса частиц крупнее 0,5 мм составляет более 50% |
Песок средней крупности | Масса частиц крупнее 0,25 мм составляет более 50% |
Песок мелкий | Масса частиц крупнее 0,1 мм составляет более 75% |
Песок пылеватый | Масса частиц крупнее 0,1 мм составляет менее 75% |
┌──────────┬──────────────────┬────────────────────────┬──────────────────┐
│Вид грунта│ Разновидности │ Содержание песчаных │Число пластичности│
│ │ грунтов │ частиц размерами от 2 │ W │
│ │ │ до 0,5 мм в % по массе │ n │
├──────────┼──────────────────┼────────────────────────┼──────────────────┤
│Супесь │Легкая крупная │ > 50
<*> │ 1 < W < 7 │
│ │Легкая │ > 50 │ n │
│ │Пылеватая │ 20 - 50 │ │
│ │Тяжелая пылеватая │ < 20 │ │
├──────────┼──────────────────┼────────────────────────┼──────────────────┤
│Суглинок │Легкий │ > 50 │ 7 < W < 12 │
│ │Легкий пылеватый │ < 40 │ n │
│ │Тяжелый │ > 50 │ 12 < W < 17 │
│ │Тяжелый пылеватый │ < 40 │ n │
├──────────┼──────────────────┼────────────────────────┼──────────────────┤
│Глина │Песчанистая │ 40 │ 1 < W < 7 │
│ │ │ │ n │
ИС МЕГАНОРМ: примечание.
Значения в графе "Содержание песчаных частиц..." даны в соответствии с
официальным текстом документа.
│ │Пылеватая │Меньше, чем пылеватых │ 17 < W < 27 │
│ │ │разм. 0,005 - 0,005 мм │ n │
├──────────┼──────────────────┼────────────────────────┼──────────────────┤
│ │Жирная │Не нормируется │ W > 27 │
│ │ │ │ n │
└──────────┴──────────────────┴────────────────────────┴──────────────────┘
--------------------------------
<*> Для супесей легких крупных учитывается содержание частиц размером 2 - 0,25 мм.
2.1.3. Глинистые грунты допускается применять для отсыпки нижней части насыпи. Они подразделяются на виды и разновидности с учетом их зернового состава и пластичности (см.
табл. 2.2). В случае расхождения вида грунта, устанавливаемого по содержанию песчаных частиц и по числу пластичности, следует принимать наименование грунта, соответствующее числу пластичности.
2.1.4. Верхнюю часть земляного полотна на 1,2 м от поверхности цементобетонного покрытия и на 1,0 м от поверхности асфальтобетонного покрытия следует сооружать из непучинистых или слабопучинистых грунтов (песчаные и легкие супесчаные грунты).
При отсутствии таких грунтов необходимо производить укрепление верхнего слоя грунта земляного полотна или устраивать морозозащитные слои.
2.1.5. При возведении насыпей из неоднородных грунтов отсыпка должна производиться послойно в следующем порядке: менее дренирующие грунты укладываются в нижнюю часть насыпи, более дренирующие - в верхние слои. В отдельных случаях для защиты насыпи от воздействия грунтовых вод в нижней ее части устраиваются отдельные слои из хорошо дренирующих грунтов или укладываются водонепроницаемые материалы.
2.1.6. Влажность песчаных и глинистых грунтов, укладываемых в насыпь и подлежащих уплотнению, должна быть оптимальной

или близкой к ней. Если естественная влажность применяемых глинистых грунтов окажется ниже

и песков менее 4%, необходимо производить увлажнение их до получения оптимальной влажности.
2.1.7. Максимальная допустимая влажность грунтов

, применяемых для устройства насыпи, при которой будет обеспечена требуемая плотность, может быть определена по формуле:

,
где

- коэффициент "переувлажнения", принимаемый по табл. 2.3;

- оптимальная влажность в % для данного грунта.
Таблица 2.3
┌──────────────────────────────────────────┬──────────────────────────────┐
│ Разновидность грунтов │ Коэффициент "переувлажнения" │
├──────────────────────────────────────────┼──────────────────────────────┤
│Пески пылеватые, супеси легкие крупные │ 1,35 │
│Супеси легкие и пылеватые │ 1,25 │
│Супеси тяжелые пылеватые, суглинки легкие │ 1,15 │
│и легкие пылеватые │ │
│Суглинки тяжелые и тяжелые пылеватые │ 1,05 │
└──────────────────────────────────────────┴──────────────────────────────┘
2.1.8. Для устройства насыпей могут быть применены также отходы промышленных предприятий (шлаки, горелые формовочные земли, золошлаковые смеси). Слои насыпи, в которые могут укладываться отходы, зависят от их состава, местных условий и определяются проектом.
2.2. Обратная засыпка траншей и котлованов
2.2.1. Обратные засыпки выполняются из глинистых, песчаных и крупнообломочных грунтов. Могут применяться отходы промышленности (шлаки, золы, щебень).
Грунты обратных засыпок условно подразделяются на связные (содержание глинистых частиц более 12%), малосвязные (4 - 11%) и несвязные (менее 3%).
2.2.2. Выбор вида грунта для засыпки траншей производится в зависимости от расположения траншей на городской территории:
- засыпка траншей в пределах проезжей части дорог с усовершенствованными покрытиями капитального типа должна выполняться из песчаных или крупнообломочных грунтов;
- засыпка траншей, расположенных вне проезжей части (на газонах, скверах), производится грунтами, вынутыми из траншей, или другими местными грунтами (связными или малосвязными), не содержащими древесных остатков и гниющих включений.
При наличии указанных грунтов на месте строительства следует отдавать предпочтение песчаным, гравийным и щебеночным грунтам.
2.2.3. Оценка строительных свойств грунтов производится по их основным физико-механическим характеристикам, указанным в табл. 2.4.
Таблица 2.4
Основные характеристики | Грунты |
крупнообломочные | песчаные | глинистые |
Плотность (объемная масса) скелета | + | + | + |
Пластичность | - | - | + |
Зерновой состав | + | + | + |
Содержание водорастворимых солей | + | + | + |
Содержание органических веществ | + | + | + |
Естественная влажность | - | + | + |
Коэффициент фильтрации | + | + | + |
Примечания. 1. В таблице знак "плюс" обозначает необходимость иметь соответственную характеристику, знак "минус" - характеристика не требуется.
2. К крупнообломочным грунтам относятся несцементированные грунты, содержащие более 50% по массе частиц размером более 2 мм.
3. Объемная масса крупнообломочных и песчаных грунтов определяется при рыхлом и плотном состояниях.
2.2.4 Местные суглинистые грунты труднее поддаются уплотнению по сравнению с песчаными и крупнообломочными грунтами, но после уплотнения при оптимальной влажности обладают одинаковой величиной морозных деформаций с окружающим грунтом и достаточной несущей способностью.
2.2.5. Применение для обратных засыпок пылеватых грунтов нежелательно, так как вследствие плохой уплотняемости они имеют низкую плотность и при промерзании склонны к пучению.
2.2.6. Песчаные и глинистые грунты с повышенным содержанием органических веществ (более 3 - 5%) и водорастворимых солей (более 0,3% по массе) нельзя использовать для устройства обратных засыпок.
3. МАШИНЫ И МЕХАНИЗМЫ ДЛЯ ПРОИЗВОДСТВА ЗЕМЛЯНЫХ РАБОТ
В ДОРОЖНОМ СТРОИТЕЛЬСТВЕ, ПРИ УСТРОЙСТВЕ ПОДЗЕМНЫХ
ИНЖЕНЕРНЫХ СЕТЕЙ, ПРИ ОБРАТНОЙ ЗАСЫПКЕ КОТЛОВАНОВ,
ТРАНШЕЙ, ПАЗУХ
3.1. Основные типы выпускаемых отечественной промышленностью машин для выполнения земляных работ и рекомендуемых для применения в Московском строительстве приведены в
Приложениях 5 -
13.
3.2. Освоение строительного объекта начинается с вертикальной планировки территории, которая заключается в улучшении существующего рельефа; создании спланированной поверхности, отвечающей требованиям благоустройства; обеспечении по улицам и дорогам продольных уклонов, допустимых для движущегося транспорта; отводе поверхностного стока и прокладке подземных сетей без излишнего их заглубления.
3.3. Вертикальную планировку можно производить экскаваторами, в т.ч. одноковшовыми экскаваторами с гидромолотами, бульдозерами и бульдозерами-рыхлителями, автогрейдерами, скреперами. Средства механизации выбирают в зависимости от времени года, типа земляного полотна, его вертикальных отметок, способа производства работ, дальности перемещения грунта, сосредоточенности земляных масс и свойств грунта: плотности, влажности и степени применения.
3.4. Группы основных видов грунтов по трудности их разработки представлены в таблице 3.1.
┌───────────────────┬─────────┬───────────────────┬───────┬───────┬───────┐
│ Грунт │Плотность│ Экскаваторами │Скрепе-│Бульдо-│Грейде-│
│ │ грунта, ├─────────┬─────────┤рами │зерами │рами │
│ │ т/м3 │одно- │много- │ │ │ │
│ │ │ковшовыми│ковшовыми│ │ │ │
├───────────────────┼─────────┼─────────┼─────────┼───────┼───────┼───────┤
│Растительный │ 1,2 │ I │ I │ I │ I │ I │
│Растительный │ 1,2 │ I │ II │ II │ II │ - │
│с корнями │ │ │ │ │ │ │
│Растительный │ 1,4 │ I │ II │ II │ II │ - │
│с щебнем │ │ │ │ │ │ │
│Песок │ 1,6 │ I │ II │ II │ II │ II │
│Супесок │ 1,65 │ I │ II │ II │ II │ II │
│Строительный мусор │ 1,8 │ II │ - │ - │ II │ - │
│Суглинок │ 1,7 │ I │ I │ I │ I │ I │
│Суглинок со щебнем │ 1,95 │ III │ - │ - │ II │ - │
│Глина юрская │ 1,8 │ II │ II │ II │ II │ II │
│Глина ломовая │ 2,15 │ IV │ - │ - │ III │ - │
│Мел плотный │ 1,9 │ V │ - │ - │ - │ - │
│Скальные породы │ - │ VI │ - │ - │ - │ - │
└───────────────────┴─────────┴─────────┴─────────┴───────┴───────┴───────┘
Примечание.
Таблица 3.1 приведена из Справочника строителя - Земляные работы. М. Стройиздат, 1984 г., с. 21.
3.5. Для разработки выемок и возведения насыпей при незначительных объемах работ (до 20 тыс. м3) целесообразно применять одноковшовые экскаваторы с вместимостью ковша до 0,5 м3, при больших объемах (свыше 20 тыс. м3) - с вместимостью ковша 1,0 м3 и более.
Бульдозеры применяются на участках производства работ с неглубокими выемками (до 1,0 м) и насыпями (до 1,2 м), а также для перемещения грунта в насыпь на расстояние до 100 м.
Бульдозеры с рыхлительным оборудованием применяются для рыхления и перемещения мерзлых грунтов и трещиноватых горных пород при температурах до -40 - 60 °C.
Автогрейдеры используются для землеройно-профилировочных работ, планировки откосов, выемок и насыпей, устройства корыта дороги и боковых канав.
Скреперы могут использоваться при возведении насыпей высотой более 1 м и при разработке выемок глубиной до 2,0 м. В условиях московского строительства скреперы находят ограниченное применение.
3.6. Для рытья траншей, в т.ч. в мерзлых грунтах, при устройстве подземных инженерных сетей применяют экскаваторы траншейные цепные и роторные, в стесненных условиях применяют одноковшовые экскаваторы с различной вместимостью ковша в зависимости от ширины и глубины траншеи.
4. МАШИНЫ И МЕХАНИЗМЫ ДЛЯ УПЛОТНЕНИЯ ГРУНТА
4.1. Земляное полотно дороги
4.1.1. Долговечность дорожных одежд во многом зависит от равномерной и достаточной степени уплотнения грунта земляного полотна, в том числе обратной засыпки траншей и котлованов, проходящих под проезжей частью.
4.1.2. Выбор механизма для уплотнения грунта земляного полотна зависит от вида и влажности грунта, объема работ, толщины отсыпаемого слоя.
4.1.3. Уплотнение грунта земляного полотна дорог может осуществляться укаткой, трамбованием, вибрированием.
Рекомендуемые катки, гидромолоты, виброуплотнители приведены в
Приложениях 11,
7,
12 соответственно.
4.2. Обратная засыпка траншей и котлованов
4.2.1. Уплотнение грунта обратных засыпок должно производиться послойно.
Для послойного уплотнения грунта обратных засыпок следует применять виброплиты, навесное оборудование к одноковшовым экскаваторам, в т.ч. гидромолоты, оснащенные трамбующими плитами в качестве рабочего инструмента, катки.
4.2.2. Выбор механизма зависит от типа грунта, габаритов котлованов, пазух, траншей, технической характеристики механизма.
4.2.3. Виброплиты применяют для уплотнения несвязных и малосвязных грунтов, в стесненных условиях. Верхняя часть пазух, котлованов и траншей, отсыпанная связными и несвязными грунтами, может уплотняться также соответствующими катками, гидромолотами.
4.2.4. Толщина отсыпаемых слоев грунта и процесс уплотнения должны соответствовать типу грунта и техническим возможностям применяемого механизма.
5. ОСНОВНЫЕ ТЕХНОЛОГИЧЕСКИЕ ТРЕБОВАНИЯ
СТРОИТЕЛЬСТВА ЗЕМЛЯНОГО ПОЛОТНА
| | ИС МЕГАНОРМ: примечание. Взамен СНиП III-40-78 Постановлением Госстроя СССР от 20.08.1985 N 133 с 1 января 1986 года введены в действие СНиП 3.06.03-85. | |
5.1.1. При сооружении земляного полотна магистральных и внутриквартальных дорог следует руководствоваться требованиями главы СНиП III-40 "Правила производства и приемки работ".
5.1.2. В состав технологического процесса сооружения земляного полотна входят следующие этапы работ:
- расчистка площади строительства;
- перенос линий связи, электропередач и трубопроводов;
- снос зданий и сооружений в зоне работ и перенос их;
- снятие и складирование плодородного слоя почвы;
- прокладка подземных сетей, попадающих в зону строительства дорог;
- плотность грунта при обратной засыпке траншей должна быть не ниже требуемой для земляного полотна на соответствующей глубине;
- выравнивание оснований под насыпи и их уплотнение;
- разработка выемок и возведение насыпей с послойным разравниванием и уплотнением грунта до установленных пределов.
5.1.3. Выбор способа производства и средств механизации земляных работ должен производиться на основе результатов технико-экономического сопоставления различных вариантов.
5.1.4. При использований одноковшовых экскаваторов при устройстве выемок и возведении насыпей разработка должна начинаться, как правило, с пониженных мест рельефа. В период строительства необходимо обеспечить отвод поверхностных вод из зоны производства работ.
5.1.5. Отсыпка грунта в насыпь производится слоями от краев к середине. Для обеспечения требуемого уплотнения краев насыпи ширина отсыпки увеличивается на 0,3 - 0,5 м с каждой стороны.
5.1.6. Бульдозеры применяются, как правило, в комплексе с другими механизмами при устройстве насыпи для разравнивания грунта, планировки и перемещения его на небольшие (до 100 м) расстояния.
5.1.7. Самоходные автогрейдеры, оборудованные системами "Профиль 30-2" и др., целесообразно использовать в первую очередь для профилирования и окончательной отделки дорожного земляного полотна перед уплотнением.
5.1.8. При отрицательных температурах возведение насыпей допускается при наличии необходимого количества уплотняющих средств, обеспечивающих быстрое уплотнение отсыпанного грунта до требуемого значения плотности.
5.1.9. Насыпи, как правило, должны возводиться только из талого грунта с обязательным уплотнением до наступления смерзания насыпанного грунта. Ввиду трудностей выдерживать это требование в течение всего зимнего периода допускается отсыпка высоких (более 1,5 м) насыпей из смеси талого и мерзлого грунтов (таблица 5.1,
5.2).
Таблица 5.1
Условия применения грунтов в насыпях,
возводимых в зимнее время
┌───────────────────────┬────────────────────────┬────────────────────────┐
│ Вид грунта │ Условия применения │ Допускаемая высота │
│ │ │ насыпи, м │
├───────────────────────┼────────────────────────┼────────────────────────┤
│Скальный │Применяют │Без ограничений │
│крупнообломочный, │без ограничений │ │
│крупный и средней │ │ │
│крупности песок │ │ │
├───────────────────────┼────────────────────────┼────────────────────────┤
│Глинистый │Допускается с влажностью│В зависимости от климата│
│ │не более 1,1 │района │
│ │от оптимальной │суровый - 2,5 │
│ │ │холодный - 3,5 │
│ │ │умеренный - 4,5 │
│ │ │теплый - не ограничивают│
├───────────────────────┼────────────────────────┼────────────────────────┤
│Мелкий и пылеватый, │Допускается при │То же │
│неводонасыщенные пески │влажности не более │ │
│ │1,2 - 1,3 от оптимальной│ │
├───────────────────────┼────────────────────────┼────────────────────────┤
│Жирные глины, меловые, │Применять запрещается │ │
│тальковые и трепелевые │ │ │
│грунты, а также грунты │ │ │
│с высокой влажностью │ │ │
└───────────────────────┴────────────────────────┴────────────────────────┘
Таблица 5.2
Рекомендуемая высота насыпи при производстве работ
в зимнее время
Средняя температура воздуха за период производства работ по отсыпке насыпей, град | -5 | -10 | -15 | -20 |
Рекомендуемая высота насыпи, м | не ограничена | 4,5 | 3,5 | 2,5 |
Насыпи высотой менее 1,5 м должны возводиться из талых грунтов при влажности, близкой к оптимальной.
5.1.10. Содержание мерзлого грунта в насыпи допускается до 20% с размером комьев не более 15 см.
5.1.11. Отсыпку насыпи следует производить слоями с уклоном 2 - 3% на всю ширину с обеспечением стока воды с поверхности земляного полотна (в случае, если строительство основания дороги будет осуществляться весной) и возможности механизированной очистки от снега.
5.1.12. Отсыпаемый грунт сразу же разравнивается бульдозером или автогрейдером толщиной слоя, не превышающей возможности уплотняющих машин. Не допускается скопление комьев мерзлого грунта при отсыпке насыпей.
5.2. Уплотнение земляного полотна
5.2.1. Коэффициент уплотнения грунтов земляного полотна следует назначать по таблице 5.2.1.
Таблица 5.2.1
┌──────────────┬───────────────────┬────────────────────┬─────────────────┐
│Вид земляного │ Часть земляного │Глубина расположения│ Коэффициент │
│ полотна │ полотна │слоя от поверхности │ уплотнения │
│ │ │ покрытия │грунта, не менее │
├──────────────┼───────────────────┼────────────────────┼─────────────────┤
│Насыпи │Верхняя │ до 1,5 │ 1,00 - 0,98 │
│ │Нижняя │ 1,5 - 6,0 │ 0,98 │
│ │неподтапливаемая │ более 6,0 │ 0,95 - 0,98 │
│ │Нижняя │ 1,5 - 6,0 │ 0,95 - 0,98 │
│ │подтапливаемая │ более 6,0 │ 0,98 │
│Выемка и места│В слое сезонного │ до 1,2 │ 1,00 - 0,98 │
│с нулевыми │промерзания │ │ │
│отметками │Ниже слоя сезонного│ до 1,2 │ 0,95 │
│ │промерзания │ │ │
└──────────────┴───────────────────┴────────────────────┴─────────────────┘
5.2.2. Каждый слой отсыпаемого грунта следует разравнивать, соблюдая проектный уклон. Перед уплотнением поверхность отсыпаемого слоя грунта должна быть спланирована под двухскатный или односкатный поперечный профиль с уклоном 20 - 40% к бровкам земляного полотна.
5.2.3. Толщина слоя отсыпки должна назначаться исходя из обеспечения однородной плотности грунта по глубине слоя с учетом технических параметров применяемых уплотняющих машин и уточняться по результатам пробного уплотнения.
5.2.4. Уплотнение грунтов производится при влажности, близкой к оптимальной

. При отклонениях естественной влажности грунта от допустимых значений ее следует увлажнять или подсушивать. Уплотнение тяжелых суглинков и глин следует производить при их влажности не более

.
5.2.5. Применение грунтов различных видов в одном слое насыпи не допускается.
5.2.6. Предварительное уплотнение грунтов земляного полотна производится землеройно-транспортными механизмами и транспортными средствами, движение которых организуется по послойно отсыпаемому грунту равномерно по всей ширине земляного полотна.
5.2.7. Уплотнение грунтов укаткой производят катками на пневматических шинах, комбинированными кулачковыми и с гладкими вальцами. Катки выбирают в зависимости от вида грунта и толщины слоя отсыпки в соответствии с табл. 5.2.2.
Таблица 5.2.2
Катки для уплотнения грунта при устройстве
земляного полотна дорог
Модель, тип, марка | Основные конструктивные особенности | Масса, т | Глубина уплотнения (в плотном теле), м |
связный грунт | несвязный грунт |
1 | 2 | 3 | 4 | 5 |
ДУ-65, ДУ-100 | Самоходные пневмоколесные | 10 - 14 | 0,25 | 0,30 |
ДУ-97, ДУ-64, ДУ-99 | Самоходные комбинированные с вибрационным вальцем | 8 - 10 | 0,30 | 0,50 |
ДУ-74-1, ДУ-85-1 | Самоходные с вибрационными кулачковыми вальцами | 9,5 - 13,5 | 0,40 | 0,60 |
ДУ-96, ДУ-47Б | Самоходные двухвальцовые вибрационные с гладкими вальцами | Окончательное уплотнение дорожных оснований и покрытий |
Примечание. Технические характеристики катков приведены в
Приложении 11.
5.2.8. Самоходные катки с гладкими вальцами рационально использовать при окончательном уплотнении поверхностного слоя связных и малосвязных грунтов. Применение таких катков на свежеуложенной насыпи малоэффективно.
5.2.9. Кулачковые катки применяются для уплотнения непереувлажненных связных и малосвязных грунтов. При одинаковом с гладкими вальцами катками весе кулачковые катки дают почти вдвое большую глубину уплотнения.
5.2.10. Уплотнение грунта трамбованием производят гидромолотами на экскаваторах.
5.2.11. Вибрационные катки и виброплиты целесообразно применять для уплотнения только несвязных грунтов. Они уплотняют грунт за меньшее количество проходов по сравнению со статическими катками с гладкими вальцами и на пневматических шинах.
5.2.12. Длина участков отсыпаемых насыпей в зимнее время и уплотняющие средства должны быть выбраны так, чтобы окончательное уплотнение грунта в насыпи заканчивалось не позднее 3 часов при температуре воздуха до -10 °C и не позднее 2 часов при температуре до -20 °C, после выемки грунта в резерве или грунтовом карьере (таблица 5.2.3).
Таблица 5.2.3
Время уплотнения грунта в насыпи в зависимости
от температуры воздуха
Температура наружного воздуха, град | -5 | -10 | -20 | -30 |
Время начала смерзания грунта | 90 - 120 | 60 - 990 | 40 - 60 | 20 - 30 |
5.3. Технология уплотнения грунта после восстановительного ремонта подземных инженерных сетей в зоне проезжей части дороги
5.3.1. Восстановительный ремонт осуществляется после разрытия на проезжей части, связанного с ремонтом, прокладкой и перекладкой подземных сооружений, а также разрушений, вызванных стихийными или другими явлениями. Работы по восстановительному ремонту могут выполняться с учетом последующего переустройства, поэтому восстановительный ремонт делится на первичный (временный), повторный (окончательный).
5.3.2. Временный восстановительный ремонт ограничивается коротким сроком его проведения и его окончательного осуществления. В Москве ежегодно проводится большое количество разрытий участков проезжей части улиц, и качественное их восстановление необходимо.
5.3.3. Зона работ, связанная с разрытием и восстановлением проезжей части дороги, должна быть ограждена.
Вид ограждений, их оснащенность в ночное время, установка знаков регулирования движения городского транспорта в каждом конкретном случае определяется ГИБДД г. Москвы.
5.3.4. Обратная засыпка траншей производится после укатки трубопроводов, проведения испытаний их с оформлением акта и получения разрешения на проведение обратной засыпки. Засыпка траншеи должна производиться с принятием мер против повреждения трубопроводов и их изоляции от сбрасываемого песка, а также против смещения трубопроводов с оси и включает в себя следующие этапы:
- засыпка и уплотнение грунта в приямках под стыковые соединения;
- подбивка пазух между трубой и дном траншеи;
- засыпка, разравнивание и уплотнение песка в пазухе между трубой и стенками траншеи;
- засыпка, разравнивание и уплотнение защитного слоя и верхних слоев.
5.3.5. Подбивка пазух между трубой и дном траншеи производится ручными трамбовками. Пазухи между трубой и стенками траншеи засыпаются послойно экскаваторами, бульдозерами, погрузчиками, толщина слоя должна быть не более 25 см, уплотнение производится равномерно с двух сторон виброплитами. При уплотнении песка над коммуникациями толщина защитного слоя должна быть не менее 25 см для металлических и железобетонных труб и не менее 40 см для керамических, асбоцементных и пластмассовых труб. Защитный слой над коммуникациями также уплотняется виброплитами. Дальнейшая засыпка песка производится экскаваторами, бульдозерами, погрузчиками послойно с толщиной слоя до 30 см и уплотняется самоходными катками массой 1,5 - 10 т.
5.3.6. Уплотненное песчаное основание в летнее время обильно заливается водой, и после впитывания воды в песок и удаления излишней воды по продольному уклону траншеи производится дополнительное уплотнение самоходными катками по 4 - 6 проходов по одному следу. Такая технология засыпки и уплотнения песка позволяет получить коэффициент уплотнения грунта в траншее в пределах 0,98 - 1,0. По уплотненному песчаному основанию в пределах разрытия устраивается дорожное основание, по которому укладывается покрытие из асфальтового бетона. В зимнее время года верхний слой толщиной 10 - 15 см песчаного основания устраивается из горячего песка. На рис. 5.3.1 представлена схема работ по восстановлению дорожной конструкции.
1. Укладка труб и проверка стыковых соединений. Проведение испытаний трубопроводов. Акт на проведение обратной засыпки.
2. Уплотнение песка немеханизированными инструментами.
3. Уплотнение песка ручными инструментами, виброплитами массой до 50 кг.
4. Послойное уплотнение песка оптимальной влажности виброплитами массой до 100 кг и выше.
5. Восстановление дорожного основания.
6. Восстановление покрытия дороги.
7. Существующая дорога.
Рис. 5.3.1. Последовательность работ по восстановлению
дорожной конструкции
5.3.7. На магистральных улицах общегородского и районного значений траншеи засыпаются песком и уплотняются согласно
пунктам 5.3.4,
5.3.5,
5.3.6 настоящих рекомендаций. Верхний же слой засыпаемой траншеи на глубину 30 - 40 см должен выполняться из щебеночных смесей заводского изготовления, состав которых представлен в табл. 5.3.1.
Таблица 5.3.1
Тип смеси | Содержание в смеси частиц (% массы), проходящих через сито с размером отверстий, мм |
70 | 40 | 20 | 10 | 5 | 0,63 | не менее 0,05 |
Крупно- зернистая I | 80 - 100 | 40 - 50 | 20 - 30 | 15 - 25 | 12 - 20 | 5 - 10 | 0 - 3 |
То же, II | 85 - 100 | 60 - 70 | 40 - 50 | 30 - 40 | 20 - 30 | 5 - 15 | 0 - 5 |
Средне- зернистая II | - | 85 - 100 | 40 - 50 | 20 - 30 | 15 - 25 | 7 - 10 | 1 - 5 |
То же, II | - | - | 85 - 100 | 60 - 70 | 40 - 50 | 15 - 20 | 2 - 5 |
Щебеночная смесь уплотняется самоходными катками до коэффициента уплотнения 1,0.
5.3.8. Восстановление дорожной конструкции следует производить из таких же материалов, из каких была дорожная конструкция до разрытия.
6. ПРОИЗВОДСТВО ЗЕМЛЯНЫХ РАБОТ ПРИ УСТРОЙСТВЕ
ПОДЗЕМНЫХ ИНЖЕНЕРНЫХ СЕТЕЙ
6.1. Прокладка и переустройство подземных сооружений должны выполняться до начала работ по строительству дорог, проведения благоустройства и озеленения территории.
6.2. Различают траншеи и котлованы с вертикальными стенками (с креплением или без него) и с откосами для раздельной и совмещенной прокладок трубопроводов на одном или разных уровнях, в коллекторах. Размеры траншей зависят от диаметров прокладываемых труб и методов их укладки, размеров коллекторов, вида и влажности грунта, глубины прокладки и регламентируются соответствующими главами СНиП и данными проекта.
6.3. При раздельной прокладке с целью предотвращения повреждения уложенных сетей, а также уменьшения объема земляных работ в первую очередь следует прокладывать сети более глубокого заложения.
6.4. Рытье траншей большой протяженности производят главным образом траншейными цепными или роторными экскаваторами, а котлованов и траншей при незначительном объеме работ - одноковшовыми, с вместимостью ковша от 0,25 до 1,60 м3.
6.5. При рытье траншей с откосами крутизна последних в грунтах естественной влажности и при отсутствии грунтовых вод назначается в соответствии с данными табл. 6.1.
Таблица 6.1
Грунты | Крутизна откосов при глубине выемок, м |
до 3 | более 3 |
угол между направлением откоса и горизонта, град | отношение высоты откоса к его заложению (крутизна откоса) | угол между направлением откоса и горизонта, град | отношение высоты откоса к его заложению (крутизна откоса) |
Насыпной грунт, песок, гравий | 39 | 11,25 | 34 | 11,5 |
Супеси | 56 | 10,67 | 45 | 11 |
Суглинки | 56 | 10,67 | 53 | 10,75 |
Глины | 63 | 10,5 | 56 | 10,67 |
6.6. При рытье траншей без откосов крепление вертикальных стенок котлованов и траншей глубиной до 3 м производят в соответствии с требованиями табл. 6.2.
Таблица 6.2
Грунтовые условия | Виды креплений |
Грунты нормальной влажности, за исключением сыпучих | Горизонтальное крепление с зазорами через одну доску |
Грунты повышенной влажности и сыпучие | Сплошное вертикальное и горизонтальное крепления |
Грунты всех видов при сильном притоке грунтовых вод | Шпунтовое ограждение в пределах горизонта грунтовых вод с забивкой на глубину не менее 0,75 м в водонепроницаемый грунт |
6.7. При глубине свыше 3 м вид крепления, конструкция и размеры элементов креплений должны определяться расчетом и осуществляться по индивидуальным проектам с учетом грунтовых условий.
6.8. При установке креплений траншей и котлованов необходимо выпускать верхние доски креплений над верхними бровками не менее чем на 15 см.
6.9. Разборку креплений следует производить снизу по мере обратной засыпки грунта. Количество одновременно удаляемых досок по высоте в плотных грунтах не должно превышать трех, а в сыпучих или неустойчивых - одной.
6.10. Засыпку траншей для подземных коммуникаций грунтом необходимо осуществлять вслед за прокладкой трубопроводов и сетевых устройств, также необходимо принимать меры против сдвига их по оси и против повреждений трубопроводов и их изоляции. Схема уплотнения грунта при обратной засыпке траншей, схема организации работ по засыпке траншей и схема обратной засыпки траншей показаны на рис. 6.1,
6.2,
6.3 соответственно.
Рис. 6.1. Схема уплотнения грунта при засыпке траншей:
1 - зона над трубопроводом, где уплотнение грунта
запрещается; 2, 3 - толщина слоя грунта, уплотненного
ручными механизмами; 4 - слой грунта, уплотненный ручным
немеханизированным инструментом; 5 - слои грунта,
уплотненные виброплитами, гидромолотами, катками
(

принимается до 0,25 м); h1, 2, 3 - толщина
уплотняемого слоя, уплотнение производить одновременно
с двух сторон
Примечание. Ручной немеханизированный инструмент - лопатка, совок, деревянные трамбовки; ручные механизмы - виброплиты массой до 100 кг.
Рис. 6.2. Схема организации работ по засыпке траншей:
а) экскаватором-планировщиком; б) бульдозером;
1 - экскаватор-планировщик; 2 - обратная засыпка грунта
бульдозером; 3 - обратная засыпка грунта
экскаватором-планировщиком; 4 - разравнивание грунта
экскаватором-планировщиком; 5 - разравнивание грунта
вручную; 6 - поливинилхлоридная труба; 7 - грунт
для обратной засыпки; 8 - бульдозер;
9 - канализационный колодец.
Расстояние от линии откоса траншеи до начала отвала грунта
по бровке траншеи должно быть не менее 0,7 м при глубине
траншеи до 3 м и не менее 1,0 м при глубине траншеи
более 3 м
Рис. 6.3. Схема обратной засыпки траншей:
а) телефонная канализация; б) бесканальная тепловая сеть;
1 - слои грунта, уплотняемые виброплитами массой
100 - 200 кг; 2 - слои грунта, засыпаемые и уплотняемые
вручную; 3 - пластмассовые трубы; 4 - дренажная труба
(трубофильтр и др.); 5 - трубопроводы; I - слои грунта,
уплотняемые виброплитами массой до 100 кг; II - слои
грунта, уплотняемые виброплитами массой до 50 кг;
III - слои грунта, засыпаемые и уплотняемые вручную
6.11. Засыпка траншей с уложенными подземными коммуникациями производится в два приема. Сначала засыпаются и подбиваются вручную пазухи и присыпаются трубопроводы на высоту над верхом трубопровода не менее 0,2 м с тщательным послойным ручным трамбованием, виброуплотнение с применением виброплит, а в зимний период времени для труб керамических, асбоцементных и полиэтиленовых - 0,5 м. Затем остальная часть траншеи засыпается путем осторожного сбрасывания грунта бульдозерами, экскаваторами, погрузчиками.
Разравнивание грунта в широких траншеях и котлованах при больших объемах работ может производиться автогрейдерами, применяемыми при устройстве земляного полотна дорог, погрузчиками и бульдозерами различных типоразмеров.
6.12. Послойное уплотнение засыпки трубопроводов выполняется трамбовками различного типа, виброплитами, катками, гидромолотами.
6.13. Пазухи между стеной и стенками траншеи засыпаются послойно экскаваторами-планировщиками ЭО-3532А, 43212, 43213, экскаваторами одноковшовыми ЭО-2621В, ЭО-3123, ЭО-4225 и др.; толщина слоя должна быть не более 0,25 м. Уплотнение производится равномерно с двух сторон виброплитами массой до 100 кг
(табл. 8.1).
6.14. При уплотнении грунта над коммуникациями толщина защитного слоя должна быть не менее 0,25 м для металлических и железобетонных труб и не менее 0,4 м для керамических, асбоцементных и пластмассовых труб. Защитный слой над коммуникациями уплотняется виброплитами.
6.15. При прокладке кабельных линий траншеи должны иметь снизу подсыпку, а сверху - засыпку слоем мелкой земли, не содержащей камней, строительного мусора. Толщина слоя песка для подсыпки и толщина слоя засыпки должны быть не менее 0,1 м.
6.16. При засыпке трубопроводов, проложенных в траншеях с уклоном более 20°, необходимо принять меры против сползания грунта и размыва его ливневыми водами. Способ укрепления должен быть указан в проекте производства работ.
6.17. При прокладке труб из полиэтилена выравнивается дно траншеи, а в скальных грунтах необходимо устраивать подушку из рыхлого грунта толщиной не менее 0,1 м без включения камней, щебня и др.
6.18. Засыпку трубопроводов из полиэтилена необходимо производить в самое холодное время суток лишь после их предварительного испытания на плотность.
6.19. Дальнейшая засыпка грунта над уложенными трубопроводами производится экскаваторами, экскаваторами-планировщиками, бульдозерами, погрузчиками послойно с толщиной слоя 0,7 м для песка, 0,6 м для супеси и суглинков, 0,5 м для глины. Послойное уплотнение грунта производится гидромолотами, виброплитами, катками.
6.20. Вариант обратной засыпки траншеи грунтом при помощи бульдозера представлен на рис 6.4. Из рисунка видно, что площадь отвала, из которого забирают грунт, разбивается на отдельные последовательно разрабатываемые участки. Бульдозер подходит к краю отвала с его торца под некоторым углом, забирает грунт на участке I и после перемещения его в траншею проходит к следующему участку II. Грунт с участков II, IV, VI перемещают в траншею поперечными проходами бульдозера, а с участков I, III, V, VII - косыми. Такой способ работ сокращает длину проходов груженого бульдозера и улучшает условия набора грунта.
Рис. 6.4. Вариант обратной засыпки траншеи
грунтом при помощи больдозера:
1 - бульдозер; 2 - трубопровод
6.21. При прохождении трассы вдоль строений, заборов, зеленых насаждений засыпка траншей производится вручную с послойным трамбованием засыпки через 0,2 м.
6.22. Траншеи и котлованы на участках пересечения с существующими или проектируемыми дорогами должны засыпаться на всю глубину песком и уплотняться до

- 0,98 - 1,0.
6.23. Уплотнение верхних слоев на 1,0 - 1,2 м от поверхности производится катками разного типа массой 1,5 - 10 т (ДУ-57М, ДУ-47Б, ДУ-64, ДУ-99 и др.).
6.24. В местах пересечения траншей с действующими подземными коммуникациями (трубопроводами, кабелями и др.), проходящими в пределах глубины траншей, проектом должны быть предусмотрены устройства, обеспечивающие неизменяемость положения и сохранность коммуникаций на период производства работ и эксплуатации. Если такие устройства не предусмотрены, обратная засыпка траншей должна производиться в следующем порядке: подсыпка под действующие коммуникации выполняется песком по всему поперечному сечению траншеи на высоту до половины диаметра трубопровода (кабеля) или его защитной оболочки, а крутизна откосов подсыпки должна быть 1:1.
6.25. Выполненные работы по уплотнению грунта предъявить авторскому и техническому надзорам и составить акт на скрытые работы.
6.26. Засыпку и уплотнение котлованов, траншей, пазух, над которыми должны сооружаться рельсовые пути для установки башенных кранов, следует производить аналогично устройству основания из насыпного грунта.
6.27. Насыпной грунт земляного полотна следует укладывать слоями с обязательным послойным уплотнением. Толщина слоев определяется применяемыми машинами и механизмами для уплотнения грунта.
6.28. Плотность (объемный вес скелета) грунта земляного полотна в г/м3 должна соответствовать требованиям
ГОСТ Р 51248-99 и должна быть не менее: для мелких и пылевидных песков - 1,7; супесей - 1,65; суглинков - 1,6; глины - 1,5.
6.29. При устройстве рельсовых путей с деревянными полушпалами плотность грунта должна проверяться через каждые 12,5 м, а при устройстве путей с железобетонными балками - под каждой балкой.
6.30. Результаты проверки необходимо заносить в акт сдачи рельсового пути в эксплуатацию.
6.31. Рекомендуемые машины и оборудование для обратной засыпки котлованов, траншей, пазух, уплотнения грунта приведены в
Приложениях 5,
8,
9,
10.
Потребность в машинах определяется проектом производства работ в зависимости от конструктивных решений сооружений, объемов работ и продолжительности их выполнения.
6.32. При отрицательной температуре воздуха уплотнение грунта обратной засыпки в траншеях должно осуществляться до достижения коэффициента уплотнения 0,98.
6.33. Время уплотнения грунта в зависимости от температуры воздуха указано в
табл. 5.2.3.
6.34. Для послойного уплотнения обратных засыпок рекомендуются следующие способы:
для несвязных грунтов - вибрирование и вибротрамбование;
для малосвязных грунтов - укатка, трамбование, вибротрамбование, вибрирование;
для связных грунтов - укатка, трамбование, вибротрамбование и комбинированный.
6.35. Уплотнение грунта в стесненных условиях при засыпке мест извлечений элементов шпунтовых ограждений следует производить с применением специальных уплотняющих средств статического, виброударного или ударного действия, позволяющих получить на всю глубину коэффициент уплотнения не менее 0,98.
В этом случае для уплотнения грунта могут рекомендоваться гидромолоты на одноковшовых экскаваторах.
6.36. Процесс уплотнения засыпаемого грунта в местах разборки элементов шпунтовых соединений следует осуществлять установками, оснащенными приборами, контролирующими степень послойного его уплотнения.
7. ТЕХНОЛОГИЯ УПЛОТНЕНИЯ ГРУНТА
ПРИ ОБРАТНОЙ ЗАСЫПКЕ КОТЛОВАНОВ
7.1. Разрешение на обратную засыпку грунтом котлованов дается комиссией, состоящей из производителя работ, заказчика и автора проекта, одновременно с составлением акта на скрытые работы.
7.2. Требуемая плотность грунта при засыпке котлованов назначается проектом на основании данных исследования грунта методом стандартного уплотнения, при котором устанавливаются его оптимальная влажность и максимальная плотность, которая должна быть не менее 0,95.
7.3. Для определения основных свойств грунта необходимо руководствоваться техническим заключением Мосгоргеотреста об инженерно-геологических условиях участка строительства.
7.4. Уплотнение грунта следует производить, когда его естественная влажность является оптимальной. В таблице 7.1. приводятся оптимальные влажности грунтов и допустимые отклонения влажности (коэффициент "переувлажнения").
Таблица 7.1
┌───────────────────────────────────────┬───────────────┬─────────────────┐
│ Наименование грунта │ Оптимальная │ Коэффициент │
│ │ влажность, % │"переувлажнения" │
├───────────────────────────────────────┼───────────────┼─────────────────┤
│Пески пылеватые, супеси легкие крупные │ 8 - 12 │ 1,35 │
│Супеси легкие и пылеватые │ 9 - 15 │ 1,25 │
│Супеси тяжелые пылеватые, суглинки │ 12 - 17 │ 1,15 │
│легкие и легкие пылеватые │ │ │
│Суглинки тяжелые и тяжелые пылеватые │ 16 - 23 │ 1,05 │
└───────────────────────────────────────┴───────────────┴─────────────────┘
Определять естественную влажность грунтов следует по
ГОСТ 5180-84.
7.5. При недостаточной влажности связных грунтов (содержание глинистых частиц более 12%) их следует увлажнять в местах разработки, а увлажнять несвязные грунты (содержание глинистых частиц менее 3%) можно и в отсыпаемом слое. При избыточной влажности грунта следует производить его подсушивание.
7.6. Засыпку грунта или песка под основание полов по дну готового котлована подземной части здания осуществляют стреловыми кранами, оборудованными грейферами, с разравниванием грунта по дну котлована и уплотнением трамбовками, виброплитами.
7.7. Машины и механизмы для уплотнения грунтов следует выбирать с учетом свойств и состояния уплотняемого грунта (влажности, однородности, гранулометрического состава), требуемой степени уплотнения, объемов работ и темпов их выполнения. Расстановка машин для обратной засыпки котлованов производится в соответствии с проектом производства работ по строительству конкретного здания.
7.8. Обратная засыпка котлованов производится стреловыми кранами, оборудованными грейферами, экскаваторами типа ЭО-2621В-3, ЭО-3123, ЭО-4225 и др. послойно.
7.9. Уплотнение засыпаемого грунта в котлованах производится гидромолотами типа ГПМ-120, ГПМ-150, ГПМ-300, СП-62, СП-71, виброплитами ДУ-90, ОУ-80 и др. катками. На
рис. 7.1 представлена схема засыпки грунта под полы в подвале здания.
Рис. 7.1. Схема засыпки грунта под полы в подвале здания:
а) сборные фундаменты; б) свайные фундаменты;
1 - сборный фундамент с установленной колонной; 2 - зона
уплотнения грунта виброуплотнителями массой до 100 кг
(ВУ-800, ВУ-1500, ОУ-60); 3 - зона уплотнения грунта
виброплитами массой свыше 100 кг (ОУ-80, ОУ-90),
катками (ДУ-95-2, ДУ-54М, ДУ-72); 4 - стена здания;
5 - железобетонный ростверк; 6 - забитая свая.
7.10. Средняя толщина отсыпаемого слоя грунта при применении гидромолотов должна быть: для песка - 70 см; супеси и суглинков - 50 см; глины - 40 см; при применении виброплит - 25 см.
7.11. Для достижения плотности уплотняемого слоя грунта до K = 0,95 время уплотнения по одному следу гидромолотами должно быть 15 секунд. При применении виброплит число проходов должно быть 3 - 4. Каждый последующий проход уплотняющей машины должен перекрывать след предыдущей на 10 - 20 см. Время уплотнения и число проходов уточняются в процессе работы.
7.12. Выполненные работы по уплотнению грунта предъявить авторскому и техническому надзорам и составить акт на скрытые работы.
8. ТЕХНОЛОГИЯ УПЛОТНЕНИЯ ГРУНТА ПРИ ОБРАТНОЙ ЗАСЫПКЕ ПАЗУХ
8.1. До начала обратной засыпки грунтом пазух должны быть закончены следующие работы: монтаж конструкций подземной части зданий; уборка строительного мусора; гидроизоляция; дренаж.
8.2. Требуемая плотность песчаного грунта при засыпке пазух должна быть не менее K = 0,98.
8.3. Засыпка пазух производится послойно экскаваторами, экскаваторами-планировщиками, бульдозерами, погрузчиками. При этом толщина слоя для песка должна быть не более 70 см; для супеси и суглинка - 60 см; для глины - 50 см.
8.4. Уплотнение засыпаемого грунта в пазухах осуществляется гидромолотами, виброплитами, катками.
8.5. Грунт уплотняют, начиная с зон возле конструкций здания, а затем двигаются в направлении к краю откоса, при этом каждый последующий проход трамбующей машины должен перекрывать след предыдущей на 10 - 20 см (рис. 8.1).
Рис. 8.1. Схема обратной засыпки пазухи котлована:
1 - отмостка; 2 - стена здания; 3 - вертикально
установленная керамзитобетонная плита; 4 - зона уплотнения
грунта вручную; 5 - фундаментная плита; 6 - горизонтально
уложенная керамзитобетонная плита; 7 - дренажная труба;
8 - граница засыпки дренажа песком; 9 - слои грунта,
уплотняемые виброплитами массой свыше 100 кг;
п.п. - пол подвала; h1 - hn - толщина отсыпаемого слоя
грунта, принимается до 0,25 м
8.6. При работе по уплотнению грунта вблизи конструкций возводимого здания, мест ввода коммуникаций и других труднодоступных мест должны применяться виброуплотнители ВУ-800, ВУ-1500, ОУ-60. При этом толщина отсыпаемого слоя должна быть не более 25 см и количество проходов - не менее 4.
8.7. Отметки верхнего слоя уплотняемого грунта должны строго соответствовать проекту.
8.8. Выполненные работы предъявить авторскому и техническому надзорам и составить акт на скрытые работы.
8.9. Рекомендуемые машины и механизмы для уплотнения грунта при обратной засыпке котлованов и пазух в стесненных местах указаны в табл. 8.1.
┌────────────┬──────────┬─────────────────────────────────────────────────┐
│Тип и марка │Масса │ Соотношение масс строительных конструкций (M) │
│уплотняющих │уплотняю- │ и уплотняющих машин и механизмов (m), кг │
│ машин │щих машин ├───────────────┬────────────────┬────────────────┤
│и механизмов│и меха- │ M < m │ M < 5m │ M < 10m │
│ │низмов ├───────────────┴────────────────┴────────────────┤
│ │(m), кг │ Максимальное расстояние от уплотняющих машин │
│ │ │ и механизмов до строительных конструкций b │
│ │ │ и толщина слоя грунта h , см │
│ │ │ 0 │
│ │ ├───────┬───────┬────────┬───────┬───────┬────────┤
│ │ │ b │ h │ b │ h │ b │ h │
│ │ │ │ 0 │ │ 0 │ │ 0 │
├────────────┼──────────┼───────┼───────┼────────┼───────┼───────┼────────┤
│Гидромолоты │ │ │ │ │ │ │ │
│(навесные на│ │ │ │ │ │ │ │
│экскаваторы)│ │ │ │ │ │ │ │
│ГПМ-120 │ 275 │ 25 │ 50 │ 20 │ 40 │ 20 │ 30 │
│ГПМ-150 │ 345 │ 25 │ 50 │ 20 │ 40 │ 20 │ 30 │
│ГПМ-300 │ 1033 │ 50 │ 70 │ 30 │ 70 │ 20 │ 60 │
│СП-71А │ 750 │ 50 │ 70 │ 30 │ 70 │ 20 │ 60 │
│СП-71 │ │ │ │ │ │ │ │
├────────────┼──────────┼───────┼───────┼────────┼───────┼───────┼────────┤
│Виброплиты │ │ │ │ │ │ │ │
│(виброуплот-│ │ │ │ │ │ │ │
│нители) │ │ │ │ │ │ │ │
│ВУ-800 │ 45 │ 0 │ 20 │ 0 │ 20 │ 0 │ 15 │
│ОУ-60 │ 80 │ 10 │ 25 │ 10 │ 25 │ 10 │ 20 │
│ВУ-1500 │ 100 │ 10 │ 25 │ 5 │ 25 │ 5 │ 20 │
│ОУ-80 │ 110 │ 10 │ 25 │ 5 │ 20 │ 5 │ 20 │
│ДУ-90 │ 270 │ 20 │ 25 │ 15 │ 20 │ 15 │ 20 │
├────────────┼──────────┼───────┼───────┼────────┼───────┼───────┼────────┤
│Катки │ │ │ │ │ │ │ │
│ДУ-95-2 │ 1150 │ 50 │ 70 │ 30 │ 70 │ 20 │ 60 │
│ДУ-54М │ 1500 │ │ │ │ │ │ │
│ДУ-72 │ 3 │ 60 │ 90 │ 40 │ 90 │ 20 │ 80 │
└────────────┴──────────┴───────┴───────┴────────┴───────┴───────┴────────┘
9. КОНТРОЛЬ КАЧЕСТВА ПРОИЗВОДСТВА РАБОТ
9.1. Схема операционного контроля качества
┌───┬───────────────┬─────────────┬────────────┬──────────────────────────┐
│ N │Контролируемые │Методы, время│ Кто │ Документация, по которой │
│п/п│производствен- │ контроля, │контролирует│ осуществляется контроль. │
│ │ные операции │объем выборки│используемый│ Нормативные требования. │
│ │ │ │ инструмент │ Что проверяется │
├───┼───────────────┼─────────────┼────────────┼──────────────────────────┤
│ 1 │ 2 │ 3 │ 4 │ 5 │
├───┴───────────────┴─────────────┴────────────┴──────────────────────────┤
│ А. Входной контроль │
├───┬───────────────┬─────────────┬────────────┬──────────────────────────┤
│ 1 │Песок │Сплошной во │Прораб │Паспорта на песок. │
│ │ │в полном │строительная│песка - коэффициент │
│ │ │объеме │лаборатория │фильтрации должен быть │
│ │ │ │ │не менее 3 м/сут │
├───┴───────────────┴─────────────┴────────────┴──────────────────────────┤
│ Б. Операционный контроль качества │
├───┬───────────────┬─────────────┬────────────┬──────────────────────────┤
│ 1 │Устройство │Сплошной во │Прораб │Указания по производству │
│ │земляного │время и после│(мастер). │земляных работ в дорожном │
│ │полотна │окончания │Нивелир, │строительстве
ВСН 52-96. │
│ │(корыта) дороги│работы. В │рулетка, │Соответствие уклонов │
│ │а) продольные │полном объеме│метр │проекту - допускается │
│ │и поперечные │ │ │отклонение +/- 0,5% │
│ │уклоны │ │ │ │
│ │б) уплотнение │Сплошной во │Прораб │
ВСН 52-96. Соответствие │
│ │ │время и после│(мастер). │качества уплотнения │
│ │ │окончания │3-метровая │проекту - коэффициент │
│ │ │работ. │рейка. │уплотнения должен быть │
│ │ │Выборочный │Строительная│не менее 0,98. │
│ │ │через 10 м │лаборатория │Лабораторные испытания │
│ │в) ровность │Сплошной во │Прораб │
ВСН 52-96. Соответствие │
│ │ │время работы │(мастер). │ровности поверхности │
│ │ │ │3-метровая │проекту, допускается │
│ │ │ │рейка │просвет под 3-метровой │
│ │ │ │ │рейкой 1 см. Составляется │
│ │ │ │ │акт по приемке земляного │
│ │ │ │ │полотна │
├───┼───────────────┼─────────────┼────────────┼──────────────────────────┤
│ │песчаного │время и после│(мастер). │"Автомобильные дороги". │
│ │подстилающего │окончания │3-метровая │Фильтрация песка должна │
│ │слоя │работ. │рейка. │быть не менее 3 м/сут. │
│ │ │Выборочный │Строительная│Уплотнение песка - │
│ │ │через 20 м │лаборатория │коэффициент уплотнения │
│ │ │ │ │должен быть не менее 0,98.│
│ │ │ │ │Толщина слоя песка - │
│ │ │ │ │допускается отклонение │
│ │ │ │ │+/- 1 см. Ровность │
│ │ │ │ │поверхности - просвет под │
│ │ │ │ │3-метровой рейкой не более│
│ │ │ │ │1 см. Составляется акт │
│ │ │ │ │по приемке песчаного │
│ │ │ │ │подстилающего слоя │
└───┴───────────────┴─────────────┴────────────┴──────────────────────────┘
9.2. Сооружение земляного полотна
9.2.1. Перед началом работ необходимо проверить восстановление трассы на местности и завершение работ по подготовке основания под насыпь (расчистка территории от леса, кустарника, пней, камней, засыпка ям, замена слабого грунта и т.п.).
9.2.2. Текущий контроль за сооружением земляного полотна, включая и контроль уплотнения, должен выполняться контрольными постами лаборатории строительной организации. Контрольный пост следит за послойной отсыпкой грунта по всей ширине насыпи, систематическим выравниванием каждого слоя грунта перед уплотнением, оптимальной толщиной уплотняемого слоя, влажностью грунта при его уплотнении, режимом работы уплотняющих машин и определяет послойную плотность грунтов.
9.2.3. Послойная плотность грунтов в насыпи и естественном основании должна определяться объемно-весовым методом.
9.2.4. Качество уплотнения крупнообломочных грунтов следует оценивать методом пробного нагружения поверхности уплотненной насыпи грузовым автомобилем со спаренными шинами с нагрузкой на ось не менее 10 т или тяжелым гладковальцовым катком массой не менее 10 т. При этом насыпь считается уплотненной до требуемой плотности, если осадка ее поверхности не превышает 3 мм при проходе автомобиля и 5 мм - при проходе гладковальцового катка. Этот метод следует применять, когда грунт включает обломки размером 100 - 120 мм.
9.2.5. Строительная лаборатория должна проводить контрольное обследование боковых или сосредоточенных резервов и выемок, контрольное определение плотности грунта, устанавливать рациональный режим работы уплотняющих машин, определять коэффициент относительного уплотнения, состав и физико-механические свойства грунтов резервов и выемок. В случае непригодности грунта для укладки в насыпь необходимо составлять акт за подписями представителей строительной организации и заказчика.
9.2.6. Плотность грунта насыпи необходимо определять в процессе возведения земляного полотна. Количество образцов для определения плотности грунта назначают в зависимости от ширины уплотняемого слоя и высоты насыпи.
Все данные о степени уплотнения грунтов, толщине слоев и технологии производства работ, полученные в процессе систематического контроля, следует заносить в журнал контроля уплотнения насыпей.
9.2.7. Перед кратковременным перерывом в работе по возведению земляного полотна (1 - 2 суток) надлежит проверить выравнивание поверхности и плотность грунта незаконченной насыпи.
9.2.8. Необходимо следить за тем, чтобы возобновление весной работ по досыпке насыпей, возведенных из глинистых грунтов и промерзших в зимнее время, допускалось только после оттаивания грунтов и просыхания их до оптимальной влажности.
9.2.9. Производство земляных работ в зимних условиях должно находиться под постоянным контролем руководящего технического персонала и лабораторий строительных организаций.
В задачи полевого контроля в условиях зимних работ входят:
- предварительное, до начала работ, обследование грунтов в намеченных к разработке и выемке резервах;
- уточнение режима работы уплотняющих машин (толщина слоя и количество проходов);
- повседневный контроль за качеством уплотнения, влажностью грунта, а также за количественным содержанием мерзлых комьев и их размерами.
9.2.10. Качество уплотнения в условиях зимних работ необходимо проверять определением плотности грунта в насыпи, осуществляемым методом лунок, методом парафинирования или методом выбуривания керна - для мерзлых грунтов, а также методом режущего кольца - для незамерзших или оттаянных грунтов.
| | ИС МЕГАНОРМ: примечание. В официальном тексте документа, видимо, допущена опечатка: пункт 9.1.2 отсутствует. | |
9.2.11. Контрольные посты, организованные для повседневного контроля за сооружением земляного полотна (п. 9.1.2), должны следить за соблюдением производства работ в зимних условиях и заносить в журнал следующие сведения:
- пункты разработки грунта;
- основные характеристики грунтов по данным лабораторных испытаний;
- способ разработки и транспортирования грунта;
- метод разравнивания и уплотнения грунта;
- толщина отсыпаемых слоев;
- процентное содержание мерзлого грунта и средняя крупность мерзлых комьев;
- степень уплотнения;
- температура и сила ветра во время производства работ;
- время перерыва в работе;
- часы снегопада;
- методы удаления снега и льда с насыпи;
- попикетные отметки части насыпи, возведенной за смену.
9.2.12. При наступлении всеобщего потепления необходимо установить тщательное наблюдение за разработанными зимой выемками и возведенными насыпями, появляющиеся деформации немедленно ликвидировать.
Весной после оттаивания мерзлого грунта на всю глубину промерзания необходимо проверить качество всех возводимых зимой насыпей и разработанных выемок. Необходимо также проверить отсутствие оползней, сплывов и т.п.
Возобновление работ допускается только на основании составленного акта.
9.3. Засыпка траншей и котлованов
9.3.1. При засыпке траншей и котлованов осуществляется текущий (производственный) и инспекторский контроль. Текущий контроль производит исполнитель работ, инспекторский - заказчик в ходе выполнения и приемки законченных работ.
9.3.2. При текущем контроле проверяется соблюдение заданной технологии выполнения обратной засыпки, в том числе требуемой плотности грунта.
9.3.3. Текущий контроль выполняется трестовскими лабораториями, контрольными постами, организованными на объекте, инспекторский контроль - лабораторией НИИМосстроя.
В процессе выполнения работы должна производится проверка вида применяемого грунта и правильность его отсыпки, степени плотности и влажности и равномерности уплотнения грунта.
9.3.4. Вид применяемых грунтов устанавливается путем определения гранулометрического состава и числа пластичности.
9.3.5. Контроль степени плотности и влажности грунта производится посредством испытания образцов грунта. Эта проверка производится по отсыпанным слоям на глубинах 0,3; 0,5; 0,9; 1,2; 1,5 м от верха шурфа. Места шурфов намечаются в траншеях - по оси траншеи через каждые 50 м, в пазухах котлованов - по периметру фундаментов - через каждые 50 м, но не менее одного по торцам здания, в основаниях под полы - на 100 м2 один шурф.
9.3.6. Степень плотности грунта контролируется путем сопоставления плотности образца, взятого без нарушения структуры из насыпи или траншеи, с оптимальной плотностью данного грунта, полученной методом стандартного уплотнения. Степень плотности грунта определяется коэффициентом уплотнения "K". Методики определения коэффициентов уплотнения "K" (метод стандартного уплотнения СоюзДорНИИ, метод режущих колец, плотномеры конструкции МГП "Кондор") представлены в
Приложениях 1,
2,
3,
4.
9.3.7. При совместной работе нескольких строительных организаций на строительном объекте контроль за качеством уплотнения грунта возлагается на генерального подрядчика и технический надзор заказчика.
9.3.8. С целью качественного уплотнения песка в траншеях, попадающих в зону проезжей части дороги, центральная дорожная лаборатория Объединения административно-технических инспекций г. Москвы или лаборатория дорожного строительства НИИМосстроя определяют коэффициент уплотнения песка и дают разрешение на работы по восстановлению дорожной конструкции.
10. ПРИЕМКА РАБОТ ПО СООРУЖЕНИЮ ЗЕМЛЯНОГО ПОЛОТНА
И ЗАСЫПКЕ ТРАНШЕЙ И КОТЛОВАНОВ
10.1. В процессе сооружения земляного полотна помимо повседневного технического надзора за качеством работ необходима промежуточная приемка работ на следующих стадиях:
- после снятия мохового, дернового или торфяного слоя, корчевки пней, устройства уступов на косогорах, замены ненадежных грунтов в основании, выравнивания и уплотнения площадей естественных оснований насыпей;
- качество уплотнения засыпки коммуникаций;
- после устройства земляного полотна и водоотвода перед началом укрепительных работ;
- после окончания укрепительных работ.
10.2. Промежуточная приемка имеет целью установить качество и объем выполненных работ, соответствие их утвержденному проекту, рабочим чертежам и техническим правилам производства работ. При промежуточной приемке скрытых работ определяют возможность производства последующих работ.
10.3. При промежуточной приемке земляного полотна подлежат проверке осмотром, контрольными параметрами, лабораторными испытаниями и по данным актов приемки скрытых работ:
- полнота и качество выполненных работ по расчистке полосы отвода (корчевка и срезка пней, засыпка и т.д.);
- качество грунтов, уложенных в насыпь (их соответствие проекту, требованиям нормативных документов по сооружению земляного полотна), правильность расположения отдельных слоев и степень уплотнения грунта (в том числе в насыпях, возведенных в зимний период);
- работы по замене грунтов в основаниях насыпей и выемок;
- продольный, поперечный профили и положение в плане земляного полотна;
- условия водоотвода;
- укрепительные работы на откосах насыпей и выемок.
10.4. Все скрытые работы по сооружению земляного полотна и отдельных его элементов подлежат обязательному освидетельствованию и приемке с участием представителя заказчика.
До составления актов о приемке скрытых работ запрещается приступать к последующим работам.
10.5. Промежуточную приемку выполненных работ должна проводить комиссия в составе:
представителя технического надзора;
главного инженера строительного управления, выполняющего работы;
производителя работ, а также лиц, непосредственно руководящих работами.
В сложных случаях к работе комиссии следует привлекать специалистов-экспертов.
10.6. Промежуточную приемку работ осуществляют по мере их готовности. Организация, ведущая работы, обязана предъявить приемочной комиссии:
- технический проект (или рабочие чертежи) принимаемого сооружения;
- акты на скрытые работы, а также акты геодезической разбивки основных осей сооружения и установки реперов, данные о гидрогеологических и грунтовых условиях;
- лабораторные журналы и акты испытаний грунтов земляного полотна;
- журналы производства работ, технического и авторского надзора.
10.7. Положение земляного полотна в плане следует проверять, измеряя отдельные углы поворота и прямые между ними, а также производить контрольную проверку разбивки кривых. Продольный профиль земляного полотна следует проверять нивелированием на всех пикетах и переломах проектных уклонов. При этом необходимо проверять отметки оси дороги и обеих бровок.
Ширину земляного полотна следует проверять не менее чем в трех местах на каждые 50 м дороги.
10.8. В процессе приемки готового земляного полотна качество уложенного грунта и степень его уплотнения необходимо проверять по данным лабораторных испытаний.
10.9. Отбор проб для контроля плотности грунта должен производиться в шахматном порядке через каждые 50 м отсыпаемого слоя на оси дороги и в 1,5 - 2,0 м от бровки земляного полотна (ширина отсыпаемого слоя - до 20 м), а также в промежутках между ними (ширина отсыпаемого слоя - более 20 м).
10.10. Сдачу-приемку земляных работ оформляют актом, который должен содержать:
- перечень технической документации, на основании которой были произведены земляные работы;
- данные о проверке правильности выполнения земляных работ, о несущей способности грунтовых оснований (результаты контрольных наблюдений, нивелировок и т.п.);
- данные о топографических, гидрогеологических и грунтовых условиях, при наличии которых были выполнены земляные работы (уровень грунтовых вод, наличие оползневых явлений и т.д.);
- перечень, объемы и характеристику с указанием качества выполненных работ как по проекту, так и тех, которые не были предусмотрены проектом, и ведомость отступлений от проекта.
10.11. Приемка работ с недоделками и дефектами, препятствующими эксплуатации земляного сооружения, запрещается.
10.12. Оценку качества выполненных работ при приемке земляного полотна следует давать в зависимости от качества его уплотнения и соответствия геометрических размеров земляного полотна. Отклонения от проектных размеров и требований не должны превышать установленных допусков, приведенных в табл. 10.1.
Таблица 10.1
┌─────────────────────────┬───────────┬────────────────────┬──────────────┐
│Контролируемые параметры │ Величина │ Порядок контроля │ Метод │
│ │допускаемых│ │ контроля │
│ │отклонений │ │ │
├─────────────────────────┼───────────┼────────────────────┼──────────────┤
ИС МЕГАНОРМ: примечание.
Нумерация граф дана в соответствии с официальным текстом документа.
│ 2 │ 3 │ 4 │ 5 │
├─────────────────────────┼───────────┼────────────────────┼──────────────┤
│Высотные отметки │ +/- 5 см │На каждые 100 м │Техническое │
│продольного профиля │ │ │нивелирование │
├─────────────────────────┼───────────┼────────────────────┼──────────────┤
│Сужение земляного полотна│ -10 см │Замеры не менее чем │Рулетка │
│между осью дороги │ │в трех поперечниках │ │
│и бровкой │ │на каждые 50 м │ │
├─────────────────────────┼───────────┼────────────────────┼──────────────┤
│Увеличение крутизны │ +/- 10% │Замеры не менее чем │Шаблон или │
│откосов │ │в трех поперечниках │геодезические │
│ │ │на каждые 50 м │инструменты │
├─────────────────────────┼───────────┼────────────────────┼──────────────┤
│Толщина слоя │ +/- 20% │Замеры через 50 м │Стальной метр │
│растительного грунта │ │ │ │
├─────────────────────────┼───────────┼────────────────────┼──────────────┤
│Толщина слоя укрепления │ +/- 10% │Замеры через 50 м │Стальной метр │
│откосов │ │ │ │
│и обочин земляного │ │ │ │
│полотна │ │ │ │
├─────────────────────────┼───────────┼────────────────────┼──────────────┤
│Уменьшение от требуемого │ -0,04 │Отбор проб │Лабораторные │
│коэффициента уплотнения │ │ │испытания │
│по абсолютной величине │ │ │ │
│(не более чем у 10% │ │ │ │
│образцов) │ │ │ │
├─────────────────────────┼───────────┼────────────────────┼──────────────┤
│Разница между значениями │ 0,02 │Отбор проб │Лабораторные │
│коэффициента уплотнения │ │ │испытания │
│по длине поперечного │ │ │ │
│сечения слоя земляного │ │ │ │
│полотна │ │ │ │
└─────────────────────────┴───────────┴────────────────────┴──────────────┘
10.13. При приемке и оценке качества работ по засыпке траншей и котлованов, также как и при сооружении земляного полотна производится промежуточный и приемочный контроль качества выполнения работ.
10.14. Выполнение комплекса работ по обратным засыпкам контролируется в соответствии со схемами операционного контроля качества выполнения работ, являющимися неотъемлемой частью проекта производства работ.
10.15. Дефекты, обнаруженные при операционном контроле, должны быть устранены исполнителями до начала выполнения последующих операций.
10.16. При промежуточной приемке проверяется качество грунта, применяемого для обратной засыпки, его влажность и степень уплотнения отдельных слоев.
10.17. После завершения работ по укладке и уплотнению грунта обратных засыпок осуществляется приемка выполненных работ. В процессе приемочного контроля проверяется соответствие фактических параметров обратных засыпок проектным.
11. ТРЕБОВАНИЯ БЕЗОПАСНОСТИ
11.2. К работам допускаются лица, достигшие 18 лет, прошедшие медицинское освидетельствование, специальное обучение, вводный инструктаж и инструктаж на рабочем месте по технике безопасности.
11.3. Лица, допускаемые к управлению ручными электрическими машинами, должны иметь II квалификационную группу по технике безопасности.
11.4. Все применяемые машины, приспособления должны иметь паспорта и инвентарные номера, по которым они записываются в специальные журналы учета и периодического осмотра. К управлению строительными машинами и к работе с приспособлениями допускаются специально обученные рабочие и обслуживающий персонал.
11.5. При производстве работ пользоваться только исправным оборудованием и приспособлениями.
11.6. За соблюдение правил техники безопасности при строительстве несут ответственность главный инженер строительного подразделения и производитель работ.
11.7. Места работ на улицах, проездах, во дворах, а также в местах, где происходит движение людей или транспорта, должны быть ограждены защитными ограждениями. На ограждении необходимо устанавливать предупредительные надписи и знаки, а в ночное время место производства работ должно быть освещено (таблица 11.1).
Таблица 11.1
Нормы освещенности строительных площадок,
участков работ и рабочих мест
┌──────────────────────────┬──────────┬──────────────┬────────────────────┐
│ Участок работы │Наименьшая│ Плоскость, │Уровень поверхности,│
│ │освещен- │ в которой │ на которой │
│ │ность, лк │ нормируется │ нормируется │
│ │ │ освещенность │ освещенность │
├──────────────────────────┼──────────┼──────────────┼────────────────────┤
│Земляные работы, │ 10 │Вертикальная │По всей высоте забоя│
│выполняемые землеройными │ │со стороны │и по всей высоте │
│и другими механизмами │ │машиниста │выгрузки │
│ │ 5 │Горизонтальная│ - │
├──────────────────────────┼──────────┼──────────────┼────────────────────┤
│Устройство траншей │ 10 │Горизонтальная│На уровне дна │
│для коммуникаций │ │ │траншей │
│ │ 10 │Вертикальная │То же │
├──────────────────────────┼──────────┼──────────────┼────────────────────┤
│Планировочные работы, │ 10 │В плоскости │На уровнях │
│производимые бульдозерами,│ │обрабатываемых│обрабатываемых │
│катками и др. │ │площадок │площадок │
└──────────────────────────┴──────────┴──────────────┴────────────────────┘
Примечание. Коэффициент запаса для прожекторов с лампами накаливания принимается 1,5, а с газоразрядными источниками света - 1,7. Коэффициент запаса для светильников с лампами накаливания принимается 1,3, а с газоразрядными источниками света - 1,7.
11.8. Производство земляных работ в зоне действующих подземных коммуникаций следует осуществлять под непосредственным руководством прораба или мастера, а в охранной зоне кабелей, находящихся под напряжением, или действующего газопровода, кроме того, под наблюдением работников электро- или газового хозяйства.
11.9. Не допускать присутствия людей, а также производства других работ в зоне действия грузоподъемных, землеройных и транспортных машин.
11.10. Односторонняя засыпка пазух у свежевыложенных подпорных стенок и фундаментов допускается после осуществления мероприятий, обеспечивающих устойчивость конструкции при принятых условиях, способах и порядке засыпки.
При разгрузке грунта располагать автомобиль-самосвал не ближе чем на расстоянии 1 м от бровки траншеи, пазухи.
11.11. Систематически контролировать состояние откосов траншей, а при появлении трещин принимать меры против обрушения грунта.
11.12. Систематически проверять качество уплотнения грунтов.
Вблизи конструкций все работы выполнять только в светлое время суток.
11.13. Спуск рабочих в котлован (траншею) и их подъем должны осуществляться по лестницам, установленным за границей опасной зоны для прохода людей при работе машин.
11.14. Участки строительства должны быть оборудованы специальными помещениями для отдыха, принятия пищи и обогрева в зимнее время рабочих.
11.15. Для обогрева рабочих устанавливаются перерывы продолжительностью 10 мин при температуре от -20 до -30 °C и полное прекращение работ при температуре ниже -30 °C.
12. ОХРАНА ОКРУЖАЮЩЕЙ СРЕДЫ
12.1. Необходимо осуществлять мероприятия и работы по охране окружающей природной среды согласно "Правилам организации производства и подготовки земляных и строительных работ в г. Москве" (Постановление Правительства Москвы N 207 от 17 марта 1998 г.).
12.2. Запрещается применение для производства земляных работ оборудования, являющегося источником выделения вредных веществ в атмосферный воздух и повышенных уровней шума и вибрации.
12.3. Все участки территории, где производятся земляные работы - в траншеях, котлованах, пазухах, должны быть ограждены согласно стройгенплану или схеме работ.
12.4. На строительной площадке должны быть размещены бытовые и подсобные помещения для рабочих и ИТР в соответствии с нормативными требованиями. Следует оборудовать места для складирования материалов, конструкций, изделий и инвентаря, а также для установки строительной техники.
12.5. В зоне производства строительных работ должна быть произведена срезка и складирование растительного слоя грунта в специальные отведенные места, сохраняемые деревья должны быть ограждены.
12.6. Производственные и бытовые стоки, образующиеся на строительной площадке, должны очищаться и обезвреживаться в порядке, предусмотренном проектом организации строительства и проектом производства работ.
12.7. После отсыпки земляного полотна дорог, прокладки подземных инженерных сетей, засыпки грунтом траншей, котлованов, пазух и последующего его уплотнения до требуемой плотности поверхность земли должна соответствовать отметкам, указанным в проекте производства работ.
12.8. Вся территория, на которой производились работы по уплотнению грунта в траншеях, котлованах и пазухах, должна быть озеленена.
12.9. Для засева газона следует применять смеси трав, в частности смесь гребенника обыкновенного, мятлика лугового, рабграса английского и красной овсянницы.
12.10. Для озеленения объекта значительное внимание должно уделяться выбору вида растений для зеленых насаждений. При этом следует учитывать климатические, почвенные и гидрологические условия района посадки, а также особенности его планировки и застройки. В условиях г. Москвы чаще всего следует применять деревья с густой кроной: липы, березы, клены, тополя, лиственницы, а также плодовые деревья: яблони, вишни, груши, из кустарниковых пород следует использовать акацию, жасмин, сирень и др.
12.11. На улицах, проездах и тротуарах, имеющих усовершенствованное дорожное покрытие, траншеи и котлованы разрабатываются скреперами и засыпаются послойно песком.
Эти работы выполняются в присутствии представителей технического надзора эксплуатационных организаций, дорожных служб и авторского надзора проектных организаций.
ОПРЕДЕЛЕНИЕ ПЛОТНОСТИ ГРУНТОВ МЕТОДОМ ЗОНДИРОВАНИЯ
С ПОМОЩЬЮ УДЛИНЕННОГО УДАРНИКА
1. Метод зондирования может применяться при определении плотности песчаного и супесчаного грунтов в полевых условиях.
2. Метод основан на сопротивлении грунта погружению в него стандартного штампа круглого сечения диаметром 16 мм. Штамп вдавливают с помощью ударов гири с высоты 300 мм.
3. Степень плотности грунта определяется в интервале оптимальной влажности или близкой к ней.
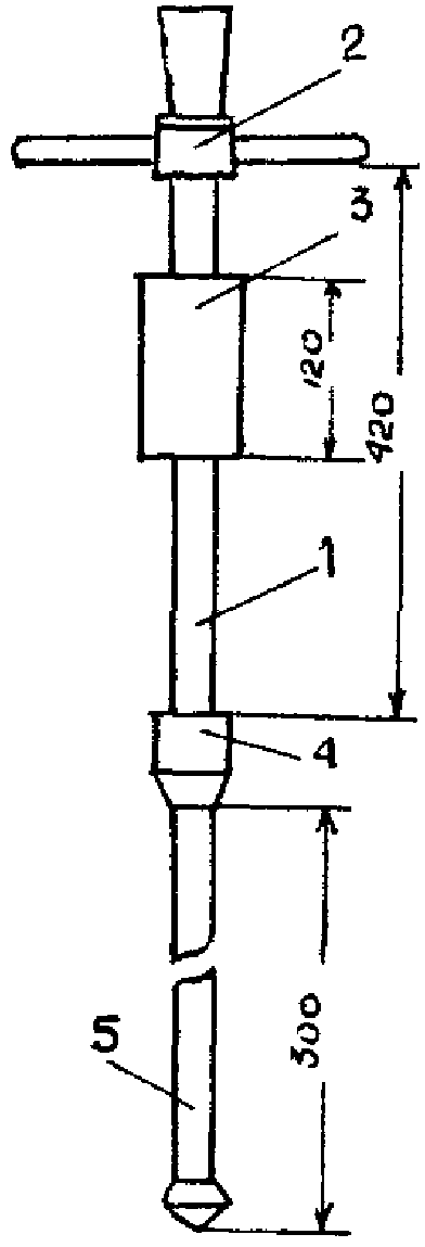
4. Ударник (рис. 1) состоит из стержня с концевым штырем (штампом) длиной 250 мм (1), направляющего стержня длиной 900 мм (2), гири массой 2,5 кг (3), ограничительного кольца (4), винта (5) и рукояти (6).
Рис. 1. Ударник удлиненный для определения
плотности грунта методом зондирования
5. Испытание грунта производится следующим образом. На выровненную поверхность грунта вертикально устанавливают ударник. Затем поднимают гирю до ограничительного кольца и свободно ее сбрасывают. Так повторяют столько ударов, сколько потребуется для погружения ударника на глубину 250 мм. При этом подсчитывают общее число ударов.
По тарировочному графику (рис. 2) для данного вида грунта находят точку, соответствующую полученному числу ударов при полном заглублении концевого штыря удлиненного ударника. Из этой точки проводят вертикальную линию до пересечения с кривой, после чего на вертикальной оси находят объемную массу скелета грунта (плотность грунта).
Рис. 2. Тарировочные графики зависимости числа ударов
от степени плотности грунтов в пределах
их оптимальной влажности:
а) для песчаных грунтов; б) для супесчаных грунтов
КОНТРОЛЬ ЗА УПЛОТНЕНИЕМ НАСЫПИ МЕТОДОМ РЕЖУЩИХ КОЛЕЦ
Основной контроль за уплотнением насыпи в процессе производства работ производится путем сравнения объемного веса скелета грунта, отобранного из насыпи

, с оптимальной плотностью

.
Отбор проб и определение объемного веса скелета грунта в насыпи производится при помощи грунтоотборника (рис. 1), состоящего из нижней части с режущим кольцом и ударника.
Рис. 1. Грунтоотборник:
а) нижняя часть грунтоотборника;
б) режущее кольцо (отдельно);
в) ударник с подвижным грузом
При отборе пробы грунта на его зачищенную поверхность ставят грунтоотборник в собранном виде и ударником забивают его в грунт. Затем крышку и промежуточное кольцо нижней части отборника снимают, режущее кольцо окапывают, осторожно вынимают вместе с грунтом, грунт срезают ножом вровень с нижними и верхними краями кольца. Кольцо с грунтом взвешивают с точностью до одного грамма и объемный вес влажного грунта в насыпи определяют по формуле:

,
где

- масса кольца, г;

- масса кольца с грунтом, г;
V - обжим кольца, см3.
Это испытание производится трехкратно.
Также трехкратно определяют влажность испытываемого образца грунта путем высушивания навески в 15 - 20 г, взятой из каждого кольца с грунтом, до постоянной массы.
Объемный вес скелета грунта насыпи определяют по формуле:

,
где

- весовая влажность грунта в долях единицы.
Полученный объемный вес скелета в насыпи сопоставляют с оптимальной плотностью этого же грунта. Коэффициент K, характеризующий степень уплотнения грунта в насыпи, определяют по формуле:

.
ДИНАМИЧЕСКИЙ ПЛОТНОМЕР "КОНДОР" УНИВЕРСАЛЬНЫЙ
ДЛЯ ОПРЕДЕЛЕНИЯ КАЧЕСТВА УПЛОТНЕНИЯ ГРУНТА
1. Универсальный динамический плотномер ДПУ "Кондор" предназначен для оперативного контроля качества уплотнения грунта при строительстве автомобильных дорог, аэродромов и других инженерных сооружений.
2. Плотномер ДПУ применим в случае песчаных, супесчаных и суглинистых грунтов, содержащих не более 25% твердых частиц крупнее 2 мм.
3. При использовании настоящего плотномера для экспресс-контроля качества дорожно-строительных работ требуется, в соответствии со
СНиП 2.06.03-85, не менее 10% всех измерений проводить стандартными методами, в частности для грунтов - весовым способом с отбором проб кольцами
(ГОСТ 5180-84).
Технические данные плотномера
Масса прибора в упаковке, кг 5
Масса груза, кг 2,5
Высота падения груза, мм 300
Параметр заостренного стержня:
1 (мм) 300

, град 60
Глубина контролируемого слоя грунта, мм 100 - 300
Пределы измерения плотности (0,84 - 1,02)Ку
Погрешность измерения плотности +0,01Ку
Конструкция и подготовка к работе
Основу прибора ДПУ для контроля плотности грунта
(рис. 1) составляет рабочая часть, в которую входят направляющая штанга (1) с рукоятью (2), перемещающийся по штанге груз (3) и наковальня (4), по которой наносятся удары падающего груза (3).
При контроле плотности грунта в наковальню (4) вместо ограничителя завинчивается стержень с коническим наконечником (5).
Рис. 1. Прибор ДПУ для контроля плотности грунта
Контроль плотности грунта
1. Плотномер собирается согласно схеме (рис. 1), когда в наковальню завинчивается стержень с коническим наконечником.
2. Устанавливается вид применяемого грунта на основании определения гранулометрического состава
(ГОСТ 12536-79*) для несвязного грунта, а в случае связного грунта дополнительно и числа пластичности
(ГОСТ 5180-84).
3. На контролируемом объекте разравнивается площадка размером не менее 30 x 30 см, посредине которой проводится первая пенетрация. Пенетрометр устанавливается строго вертикально к поверхности грунта, и ударами гири стержень загоняется в грунт на глубину 10 или 20 см в зависимости от толщины отсыпанного слоя грунта. Затем стержень забивается уже с определением числа ударов на глубину 20 или 30 см. Для получения усредненного значения плотности пенетрация повторяется еще в двух-трех местах на расстояний не менее 10 - 15 см от первоначального места зондирования.
4. Коэффициент уплотнения несвязных грунтов определяется по
графику 1 по среднестатистическому из 3 - 4 определений, а для связных грунтов по графику 2. В последнем случае при возможном изменении влажности от оптимального значения необходимо установить естественную влажность грунта путем высушивания образца в температурном шкафу (термостате) для получения более точных значений плотности. Влажность при этом должна выражаться в относительных величинах

, где

- оптимальная влажность грунта, определенная по методу стандартного уплотнения СоюзДорНИИ.
График 1. Определение коэффициента уплотнения
несвязных грунтов:
песок средней крупности и крупный (1); песок пылеватый (2)
График 2. Определение коэффициента уплотнения супесей
СТАТИЧЕСКИЙ ПЛОТНОМЕР КОНСТРУКЦИИ МГП "КОНДОР"
ДЛЯ ОПРЕДЕЛЕНИЯ КАЧЕСТВА УПЛОТНЕНИЯ ГРУНТА СПГ-1
1. Назначение
Статический плотномер СПГ-1 предназначен для оперативного контроля качества уплотнения грунтов земляного полотна и дополнительных слоев оснований автомобильных дорог, аэродромов и прочих земляных сооружений.
Плотномер допускается к применению на любых грунтах, содержащих не более 15% твердых включений крупностью свыше 2 мм.
При использовании плотномера для текущего и приемочного контроля плотности грунта не менее 10% измерений от общего количества необходимо проводить стандартным весовым методом с отбором проб грунта кольцами по ГОСТ 5182-78.
2. Технические условия
Тип прибора - пенетрометр статического действия с силоизмерительным устройством в виде плоскопараллельного динамометра ДК (50, 100, 150) с ценой деления 1 - 2 daN.
Общая масса пенетрометра в сборе - 0,55 кг
Габаритные размеры, мм: длина 510 (580), ширина - 140
Параметры рабочих наконечников, мм:
конуса:
с углом входа 60°
диаметр основания 16
высота конуса 15
усеченного конуса:
диаметр подошвы 10
высота 80
Пределы измерения плотности от 0,9 до

Погрешность измерений +/- 0,01Ку
3. Конструкция и подготовка к работе
Плотномер СПГ-1 состоит из силоизмерительного устройства (1) с крепежной гайкой (2), в которую завинчивается переходный стержень (3) с ограничительной муфтой (4); рабочего стержня (5) и двух сменных наконечников - конуса (6) и усеченного конуса (7). Запасная шайба (8) служит ограничителем для усеченного конуса (7). Перед началом работы элементы плотномера прочно свинчиваются в соответствии с приведенным рисунком.
График усредненного коэффициента уплотнения
песка крупного
(

от 5 до 9%;

от 1,84 до 1,89 г/см3)
Примечание. Область применения: Сооружение земляного полотна. Устройство дополнительных слоев дорожных одежд.
Характеристика материала: Масса частиц крупнее 0,5 мм более 50%. Модуль крупности

св. 2,5 до 3,5; полный остаток на сите 0,63, % по массе, от 45 до 75.
Нормативный документ: ГОСТ 25100-95,
табл. 2; Руководство по сооружению земляного полотна, приложение 2, табл. 1; ГОСТ 8736-93*,
табл. 1.
График усредненного коэффициента уплотнения
песка средней крупности
(масса частиц крупнее 0,25 мм более 50%)
(

от 7 до 10%;

от 1,74 до 1,87 г/см3)
Примечание. Область применения: Сооружение земляного полотна. Устройство дополнительных слоев дорожных одежд.
Характеристика материала: Масса частиц крупнее 0,25 мм более 50%. Модуль крупности

св. 2 до 2,5; полный остаток на сите 0,63, % по массе, от 30 до 45.
Нормативный документ:
ГОСТ 25100-95; Руководство по сооружению земляного полотна, приложение 2, табл. 1; ГОСТ 8736-93*,
табл. 1.
График усредненного коэффициента уплотнения песка пылеватого
(

от 12 до 15%;

от 1,65 до 1,84 г/см3)
Примечание. Область применения: Сооружение земляного полотна.
Характеристика материала: Масса частиц крупнее 0,1 мм менее 75%.
Нормативный документ:
ГОСТ 25100-95; Руководство по сооружению земляного полотна, приложение 2, табл. 1.
График усредненного коэффициента уплотнения песка мелкого
(

от 10 до 12%;

от 1,72 до 1,83 г/см3)
| | ИС МЕГАНОРМ: примечание. Текст дан в соответствии с официальным текстом документа. | |
Примечание. Область применения: Сооружение земляного полотна. Устройство дополнительных слоев дополнительных одежд.
Характеристика материала: Масса частиц крупнее 0,1 мм более 75%. Модуль крупности

св. 1,5 до 2,0; полный остаток на сите 0,63, % по массе, св. 10 до 30.
Нормативный документ:
ГОСТ 25100-95; Руководство по сооружению земляного полотна, приложение 2, табл. 1; ГОСТ 8736-93,
табл. 1.
График усредненного коэффициента уплотнения песка
для супесей
(

;

от 14 до 17,8%;

от 1,6 до 1,65 г/см3)
Примечание. Область применения: Сооружение земляного полотна.
Характеристика материала: Содержание песчаных частиц от 2 до 0,05 мм, % по массе для легкой > 50%, пылеватой - 20 - 50%, тяжелой пылеватой - < 20%.
Нормативный документ: Руководство по сооружению земляного полотна.
График усредненного коэффициента уплотнения суглинка
(

;

от 1,67 до 1,69 г/см3)
Примечание. Область применения: Сооружение земляного полотна.
Характеристика материала: Легкий и тяжелый суглинки: содержание песчаных частиц от 2 до 0,05 мм > 40% по массе;

; суглинки легкий и тяжелый пылеватые: содержание песчаных частиц от 2 до 0,05 мм < 40% по массе;

.
Нормативный документ:
ГОСТ 25100-95; Руководство по сооружению земляного полотна, приложение 2, табл. 2.
4. Контроль плотности грунта
1. Заранее устанавливается вид грунта на основании определения полного зернового и микроагрегатного составов по
ГОСТ 12536-79 для несвязных и числа пластичности по
ГОСТ 5180-84 для связных разновидностей грунтов.
2. В зависимости от установленного вида грунта при сборке плотномера используется конус (несвязные грунты) или усеченный конус (суглинок) с шайбой, подложенной под его основание при завинчивании в рабочий стержень.
3. На месте измерения выбирается площадка размером не менее 20 x 20 см. Верхний переуплотненный или разрыхленный слой на глубину 3 - 5 см снимают, а основание зачищают и выравнивают.
4. Фиксирующую кнопку, расположенную на тыльной части динамометра, сдвигают налево от 0. Рабочий стержень ставят вертикально к измеряемой поверхности и нажимом на рукоять динамометра погружают наконечник в грунт до упора ограничительной муфты (или шайбы - при усеченном конусе) в поверхность грунта, после чего плотномер извлекается из грунта, а показание на шкале динамометра записывается в журнал. Пенетрацию повторяют на каждом месте 3 - 5 раз, при этом расстояние между точками измерения должно составлять не менее 12 - 15 см. За расчетную величину усилия принимается их среднеарифметическое значение (Pg). Перед каждым последующим замером показание стрелки сбрасывается перемещением фиксирующей кнопки на 0.
| | ИС МЕГАНОРМ: примечание. Обозначение силы пенетрации дано в соответствии с официальным текстом документа. | |
5. По полученному значению силы пенетрации (Рд) по графику соответствующего вида грунта определяется достигнутый коэффициент уплотнения для несвязных и слабосвязных разновидностей по
графикам 1 -
5, а для суглинка - по
графику 6.
В последующем случае для установления Ку необходимо определить влажность грунта высушиванием навески в термошкафу по
ГОСТ 5180-84.
6. В случае когда наконечник плотномера упирается при измерении в какое-либо препятствие, что хорошо чувствуется при нажиме на рукоять, пенетрометр извлекается из грунта, и зондирование повторяется на новом месте.
Если наблюдается резкое расхождение между значениями коэффициента уплотнения, полученными плотномером СПГ-1 и весовым методом (кольцами), следует провести дополнительную тарировку прибора на данном виде грунта с составлением нового графика зависимости Ку от Рд.
5. Программа тарировки пенетрометра
1. Отбирается проба грунта массой 15 - 20 кг. Определяется вид грунта, оптимальная влажность и максимальная плотность методом стандартного уплотнения
(ГОСТ 22733-77).
2. Тарировку проводят при оптимальной влажности грунта в формах диаметром 20 см и высотой 30 см по 3 - 4 точкам. Плотность достигается уплотнением грунта под прессом в три слоя до степеней 0,9; 0,95; 0,98 и

.
В каждом случае делается 4 - 5 проходов пенетрометром и вычисляется среднее значение Рд. По окончании работ строится график зависимости Ку от Рд. Полученный график применяется при контроле качества уплотнения данного вида грунта в сооружении.
РЕКОМЕНДУЕМЫЕ ЭКСКАВАТОРЫ ОДНОКОВШОВЫЕ УНИВЕРСАЛЬНЫЕ
ДЛЯ РАЗРАБОТКИ ВЫЕМОК И ВОЗВЕДЕНИЯ НАСЫПЕЙ
┌─────────────────┬────────────────────────────────────────────────────────────────────────────────┬─────────────────────┐
│Модель, основные │ Краткая техническая характеристика │ Предприятие- │
│ конструктивные ├─────────┬──────────┬─────┬──────┬────────┬──────┬─────┬─────────────────┬──────┤ изготовитель │
│ особенности │вмести- │ мощность │дав- │ско- │наи- │наи- │наи- │ сменное рабочее │масса,│ │
│ │мость │двигателя,│ление│рость │большая │боль- │боль-│ оборудование │ т │ │
│ │основного│кВт (л.с.)│в │пере- │глубина │ший │шая │ │ │ │
│ │ковша │ │гид- │дви- │копания │радиус│высо-│ │ │ │
│ │обратной │ │ро- │же- │обратной│копа- │та │ │ │ │
│ │лопаты, │ │сис- │ния, │лопатой,│ния, м│вы- │ │ │ │
│ │м3 │ │теме,│км/ч │м │ │груз-│ │ │ │
│ │ │ │МПа │ │ │ │ки, м│ │ │ │
├─────────────────┼─────────┼──────────┼─────┼──────┼────────┼──────┼─────┼─────────────────┼──────┼─────────────────────┤
│ 1 │ 2 │ 3 │ 4 │ 5 │ 6 │ 7 │ 8 │ 9 │ 10 │ 11 │
├─────────────────┼─────────┼──────────┼─────┼──────┼────────┼──────┼─────┼─────────────────┼──────┼─────────────────────┤
│1. ЭО-2621 В-3 на│ 0,25 │45,6 (62) │ 14 │ 19 │ 4,2 │ 5,3 │ 3,5 │Прямая и обратная│ 6,1 │ОАО "Сарэкс" │
│базе трактора │ │ │ │ │ │ │ │лопаты, грейфер, │ │г. Саранск, Мордовия,│
│ЮМ36КЛ (ЮМ3-6КМ) │ │ │ │ │ │ │ │крюк, вилы, │ │Россия; Бородянский │
│(Борэкс-2629) │ │ │ │ │ │ │ │гидромолот, │ │экск. з-д, Бородянка,│
│ │ │ │ │ │ │ │ │бульдозер и др. │ │Киевск. обл., Украина│
├─────────────────┼─────────┼──────────┼─────┼──────┼────────┼──────┼─────┼─────────────────┼──────┼─────────────────────┤
│2. ЭО-2626 │0,83 │42,8 (58) │ 20 │ 8,33 │ 4,15 │ 5,3 │ 3,2 │Обратная и прямая│ 7,4 │ОАО "Сарэкс" │
│экскаватор- │погрузочный насосный│ │раб. │ │ │ │лопаты, │ │г. Саранск, Мордовия,│
│погрузчик на │ковш устан. 58,7│ │при │ │ │ │погрузочный ковш,│ │Россия │
│б/тр. МТЗ-82Л │0,25 │(80) - дв.│ │по- │ │ │ │грейфер, │ │ │
│(ЭО-2626А - со │ │ │ │груз- │ │ │ │гидромолот, крюк │ │ │
│смещением оси │ │ │ │чике │ │ │ │и др. │ │ │
│копания на 1 м) │ │ │ │33,4 │ │ │ │ │ │ │
│(О-2627) │ │ │ │ │ │ │ │ │ │ │
├─────────────────┼─────────┼──────────┼─────┼──────┼────────┼──────┼─────┼─────────────────┼──────┼─────────────────────┤
│3. ЭО-3123 │ 0,83 │51,5 (70) │ 28 │ 2,8 │ 4,95 │ 7,93 │6,16 │Обратная и прямая│ 13,5 │ОАО "Тверской │
│полноповоротный │ │насосной │ │ │ │ │ │лопаты, │ │экскаваторный з-д", │
│гидравлический на│ │установки │ │ │ │ │ │погрузочный или │ │г. Тверь, Россия │
│гусеничном ходу │ │57 (77,5) │ │ │ │ │ │профильный ковши,│ │ │
│тракторного типа │ │двигателя │ │ │ │ │ │грейфер, │ │ │
│ │ │ │ │ │ │ │ │гидромолот, крюк │ │ │
│ │ │ │ │ │ │ │ │и др. │ │ │
├─────────────────┼─────────┼──────────┼─────┼──────┼────────┼──────┼─────┼─────────────────┼──────┼─────────────────────┤
│4. ЭО-3323А │ 0,63 │51,7 (70) │ 28 │ 19,4 │ 4,95 │ 7,94 │6,15 │Обратная и прямая│ 14 │ОАО "Тверской │
│полноповоротный │ │насосной │ │ │ │ │ │лопаты, │ │экскаваторный з-д", │
│гидравлический на│ │установки │ │ │ │ │ │профильный │ │г. Тверь, Россия │
│пневмоходу │ │57 (77,5) │ │ │ │ │ │и погрузочный │ │ │
│ │ │двигателя │ │ │ │ │ │ковши, зуб- │ │ │
│ │ │ │ │ │ │ │ │рыхлитель │ │ │
├─────────────────┼─────────┼──────────┼─────┼──────┼────────┼──────┼─────┼─────────────────┼──────┼─────────────────────┤
│5. ЕК-18 (ЕТ-20) │ 1,0 │ 77 │ 28 │ 22 │ 5,8 │ 9,2 │ 2,1 │Обратная лопата │ 16 │ОАО "Тверской │
│одноковшовый на │ │ │ │(2,34)│ │ │ │ │ (18) │экскаваторный з-д", │
│пневмоходу (на │ │ │ │ │ │ │ │ │ │г. Тверь, Россия │
│гусеничном ходу) │ │ │ │ │ │ │ │ │ │ │
├─────────────────┼─────────┼──────────┼─────┼──────┼────────┼──────┼─────┼─────────────────┼──────┼─────────────────────┤
│6. ЭО-4225 │ 1 │ 95,6 │ 28 │ 2,5 │ 6 │ 9,4 │ 5 │Обратная и прямая│ 26,5 │ЗАО "Ковровский │
│полноповоротный │ │(130) 125 │ │1,7 - │ 6 │ 9,3 │5,15 │лопаты, грейфер, │ 26,45│экскаваторный з-д", │
│гидравлический на│ │ (170) │ │ 3,6│ │ │ │рыхлитель, │ │г. Ковров, Россия │
│удлиненном │ │ 147 │ │ │ │ │ │гидромолот и др. │ 26,0 │ │
│гусеничном ходу │ │ (200) │ │ 1,7 -│ 6,5 │ 10,5 │ 6,8 │ │ │ │
│тракторного типа │ │ │ │ 3,6│ │ │ │ │ │ │
│(ЭО-4225А, │ │ │ │ │ │ │ │ │ │ │
│ЭО-4226) (опытный│ │ │ │ │ │ │ │ │ │ │
│образец) │ │ │ │ │ │ │ │ │ │ │
├─────────────────┼─────────┼──────────┼─────┼──────┼────────┼──────┼─────┼─────────────────┼──────┼─────────────────────┤
│7. ЭО-5126 │ 1,35 │125 (170) │ 28 │ 1,95 │ 6,25 │ 9,6 │ 5,9 │ │ 30,0 │АООТ "Тяжекс" │
│полноповоротный │ │ │ │ 3,5 │ │ │ │ │ │им. Коминтерна, │
│гидравлический на│ │ │ │ │ │ │ │ │ │г. Воронеж, Россия │
│гусеничном ходу │ │ │ │ │ │ │ │ │ │ │
│тракторного типа │ │ │ │ │ │ │ │ │ │ │
├─────────────────┼─────────┼──────────┼─────┼──────┼────────┼──────┼─────┼─────────────────┼──────┼─────────────────────┤
│8. ЭО-5124 │ 1,25 │125 (170) │ 28 │ 2,2 │ 7,3 │ 10,8 │ 5,9 │Обр. лопата, │ 39 │То же │
│(ЭО-5124-2) │ 1,6 │ │ │(2,4) │ 6,5 │ 10 │ 5,5 │погрузочное │(37,9)│ │
│универсальные │ (1,85) │ │ │ │ │ │ │и рыхлительное │ 38,9 │ │
│гидравлические на│ │ │ │ │ │ │ │оборудование │(37,8)│ │
│гусеничном ходу │ │ │ │ │ │ │ │ │ │ │
├─────────────────┼─────────┼──────────┼─────┼──────┼────────┼──────┼─────┼─────────────────┼──────┼─────────────────────┤
ИС МЕГАНОРМ: примечание.
Текст в графе "Модель, основные конструктивные особенности" дан в
соответствии с официальным текстом документа.
│9. ЭО-5116, │ 1,5 │103 (140) │ - │ 2 │ 8,29 │ 9,2 │ 6,1 │Прямая и обратная│ 36,3 │ОАО "Экско", │
│ЭО-5116-1, │ прямая │129 (175) │ │ │(высота │ │ │лопаты, драглайн,│ │г. Кострома, Россия │
│ЭО-516-3 │ лопата │ │ │ │копания)│ │ │грейфер, кран │ │ │
│универсальный │ │ │ │ │ │ │ │ │ │ │
│полноповоротный │ │ │ │ │ │ │ │ │ │ │
│канатный на │ │ │ │ │ │ │ │ │ │ │
│гусеничном ходу │ │ │ │ │ │ │ │ │ │ │
├─────────────────┼─────────┼──────────┼─────┼──────┼────────┼──────┼─────┼─────────────────┼──────┼─────────────────────┤
│10. ЭО-43212, │ 0,5 │ 55 (75) │ 28 │ 70 │ 5,8 │ 9,0 │ 5,8 │Обратная лопата │ 20,7 │ЗАО "Урал-Кран", │
│ЭО-43213, │ │ │ │ │ │ │ │ │ │г. Пермь, Россия │
│ЭО-43214 │ │ │ │ │ │ │ │ │ │ │
│экскаваторы- │ │ │ │ │ │ │ │ │ │ │
│планировщики │ │ │ │ │ │ │ │ │ │ │
│на базе │ │ │ │ │ │ │ │ │ │ │
│соответственно │ │ │ │ │ │ │ │ │ │ │
│КамАЗ-53228, │ │ │ │ │ │ │ │ │ │ │
│Урал-4320-1911-3,│ │ │ │ │ │ │ │ │ │ │
│КамАЗ-43118 │ │ │ │ │ │ │ │ │ │ │
├─────────────────┼─────────┼──────────┼─────┼──────┼────────┼──────┼─────┼─────────────────┼──────┼─────────────────────┤
│11. ЕК-270 │0,6 - 1,5│132 (180) │ 28 │0 - 4 │ 7,7 │11,17 │7,97 │Обратная лопата │ 26,5 │ОАО │
│одноковшовый на │ │ │ │ │ │ │ │ │ │"Машиностроительная │
│гусеничном ходу │ │ │ │ │ │ │ │ │ │компания" Кран ЭКС, │
│ │ │ │ │ │ │ │ │ │ │г. Иваново, │
│ │ │ │ │ │ │ │ │ │ │м. Минеево │
├─────────────────┼─────────┼──────────┼─────┼──────┼────────┼──────┼─────┼─────────────────┼──────┼─────────────────────┤
│12. ЭО-3532А │ 0,63 │56,6 (77) │ 28 │ 70 │ 4,6 │ 8,3 │ 4,8 │Ковши │ 17,5 │Контаусский │
│экскаватор- │(0,5 │ │ │ │ │ │ │экскаваторный │ │экскаваторный завод, │
│планировщик на │планиро- │ │ │ │ │ │ │профильный, │ │Казахстан │
│шасси КамАЗ-5531 │вочный) │ │ │ │ │ │ │планировочный │ │ │
│с телескопичес- │ │ │ │ │ │ │ │удлинитель, │ │ │
│ким рабочим │ │ │ │ │ │ │ │рыхлитель, отвал │ │ │
│оборудованием, │ │ │ │ │ │ │ │ │ │ │
│угол поворота │ │ │ │ │ │ │ │ │ │ │
│раб. об. в плане │ │ │ │ │ │ │ │ │ │ │
│140° вокруг │ │ │ │ │ │ │ │ │ │ │
│продольной оси │ │ │ │ │ │ │ │ │ │ │
│стрелы +/- 45° │ │ │ │ │ │ │ │ │ │ │
└─────────────────┴─────────┴──────────┴─────┴──────┴────────┴──────┴─────┴─────────────────┴──────┴─────────────────────┘
РЕКОМЕНДУЕМЫЕ ЭКСКАВАТОРЫ НЕПРЕРЫВНОГО ДЕЙСТВИЯ
ДЛЯ РЫТЬЯ ТРАНШЕЙ ПРИ УСТРОЙСТВЕ ПОДЗЕМНЫХ
ИНЖЕНЕРНЫХ СЕТЕЙ
┌────────────────────┬───────────────────────────────────────────────────────────────┬───────────────┐
│ Модель, основные │ Краткая техническая характеристика │ Предприятие- │
│ конструктивные ├────────┬──────────────────────┬──────────────┬───────────┬────┤ изготовитель │
│ особенности │мощность│ размер траншеи, м │ рабочие │производи- │мас-│ │
│ │двигате-├─────┬────────────────┤скорости, м/ч │тельность │са, │ │
│ │ля, кВт │глу- │ ширина │ │ │т │ │
│ │(л.с.) │бина ├─────────┬──────┤ │ │ │ │
│ │ │ │ поверху │понизу│ │ │ │ │
├────────────────────┼────────┼─────┼─────────┼──────┼──────────────┼───────────┼────┼───────────────┤
│ 1 │ 2 │ 3 │ 4 │ 5 │ 6 │ 7 │ 8 │ 9 │
├────────────────────┼────────┼─────┼─────────┼──────┼──────────────┼───────────┼────┼───────────────┤
│1. ЭТЦ-1609, │ 57,4 │ 1,6 │ 0,2; │ - │ 0 - 800 │ грунт │6,25│ГП "Дмитровский│
│ЭТЦ-1609БД │ (78) │ 1,4 │ 0,27; │ │ │1 категории│ │экскаваторный │
│(ЭТЦ-1607) │ │(1,6)│0,4; 0,14│ │ │при глубине│ │завод", │
│траншейный цепной на│ │ │ (0,2; │ │ │ 1,1 м │ │г. Дмитров, │
│базе пневмоколесного│ │ │ 0,27; │ │ │ и ширине │ │Россия │
│трактора МТЗ-82 │ │ │ 0,4) │ │ │ 0,4 м │ │ │
│ │ │ │ │ │ │ 105 м3/ч │ │ │
├────────────────────┼────────┼─────┼─────────┼──────┼──────────────┼───────────┼────┼───────────────┤
│2. ЭТР-224А │ 125 │ 2,2 │ 1,75 │ 0,8 │ рабочая - │ 600 м2/ч │31,1│ООО "Радицкий │
│траншейный роторный │ (170) │ │ │ │ 10 - 300 м/ч,│ в грунт │ │машинострои- │
│на базе тягача с │ │ │ │ │транспортная -│1 категории│ │тельный завод",│
│использованием узлов│ │ │ │ │ 4,25 км/ч │ │ │г. Брянск, │
│гусеничного трактора│ │ │ │ │ │ │ │Россия │
│Т-170 │ │ │ │ │ │ │ │ │
├────────────────────┼────────┼─────┼─────────┼──────┼──────────────┼───────────┼────┼───────────────┤
│3. ЭТР-223А │ 125 │ 2,2 │ 2,4 │ 1,5 │ рабочая - │650 м2/ч в │33,5│ " │
│траншейный роторный │ (170) │ │ │ │ 10 - 300 м/ч,│гр. 1 кат. │ │ │
│на тягаче │ │ │ │ │транспортная -│ │ │ │
│с использованием │ │ │ │ │ 4,25 км/ч │ │ │ │
│узлов гусеничного │ │ │ │ │ │ │ │ │
│трактора │ │ │ │ │ │ │ │ │
│Т-170 │ │ │ │ │ │ │ │ │
└────────────────────┴────────┴─────┴─────────┴──────┴──────────────┴───────────┴────┴───────────────┘
ГИДРОМОЛОТЫ К ГИДРАВЛИЧЕСКИМ ЭКСКАВАТОРАМ 2 - 5 РАЗМЕРНЫХ
ГРУПП, ИСПОЛЬЗУЕМЫЕ ДЛЯ РАЗРАБОТКИ И УПЛОТНЕНИЯ ГРУНТОВ
| | ИС МЕГАНОРМ: примечание. Единицы измерения в графе 5 даны в соответствии с официальным текстом документа. | |
┌─────────────────┬─────────┬───────┬───────┬───────┬───────┬───────┬────────────────────┐
│Модель, основные │ Энергия │Частота│ Масса │Масса │Длина │Толщина│ Предприятие- │
│ конструктивные │удара, Дж│удара в│ударной│молота │молота │уплот- │ изготовитель │
│ особенности │(кгс x м)│минуту │части, │без │без │няемого│ │
│ │ │ │ кг │инстру-│инстру-│слоя, │ │
│ │ │ │ │мента, │мента, │мм │ │
│ │ │ │ │м │м │ │ │
├─────────────────┼─────────┼───────┼───────┼───────┼───────┼───────┼────────────────────┤
│ 1 │ 2 │ 3 │ 4 │ 5 │ 6 │ 7 │ 8 │
├─────────────────┼─────────┼───────┼───────┼───────┼───────┼───────┼────────────────────┤
│1. ГПМ-120, │ 1200 │до 240 │ 30 │ 275 │ 1,55 │150 - │ОАО "Тверской │
│к экскаваторам 2 │ (120) │ │ │ │ │ 200│экскаваторный з-д" │
│размерной группы │ │ │ │ │ │ │г. Тверь; ОАО "Завод│
│типа ЭО-2621 │ │ │ │ │ │ │Булат", г. Златоуст,│
│ │ │ │ │ │ │ │Челябинская обл., │
│ │ │ │ │ │ │ │Россия │
├─────────────────┼─────────┼───────┼───────┼───────┼───────┼───────┼────────────────────┤
│2. ГПМ-150, │ 1500 │ 360 │ - │ 345 │ - │200 - │ОАО "Тверской │
│к экскаваторам 2 │ (150) │ │ │ │ │ 250│экскаваторный з-д", │
│размерной группы │ │ │ │ │ │ │г. Тверь; ТОО │
│типа ЭО-2621 │ │ │ │ │ │ │"Сибгеотехника", │
│ │ │ │ │ │ │ │СибНИИСтройдормаш, │
│ │ │ │ │ │ │ │г. Красноярск, │
│ │ │ │ │ │ │ │Россия │
├─────────────────┼─────────┼───────┼───────┼───────┼───────┼───────┼────────────────────┤
│3. ГПМ-300, │ 3000 │180 - │ 163 │ 1033 │ 2,2 │300 - │ОАО "Тверской │
│к экскаваторам 3 │ (300) │ 220│ │ (940) │ │ 350│экскаваторный з-д" │
│размерной группы │ │ │ │ │ │ │г. Тверь; ОАО │
│ │ │ │ │ │ │ │"Машиностроительная │
│ │ │ │ │ │ │ │компания КРАНЕКС", │
│ │ │ │ │ │ │ │г. Иваново, │
│ │ │ │ │ │ │ │м. Минеево │
├─────────────────┼─────────┼───────┼───────┼───────┼───────┼───────┼────────────────────┤
│4. СП-71 (71А), │ 3000 │100 - │ 155 │ 750 │ 2,03 │250 - │ЗАО "Ковровский │
│к экскаваторам 3 │ (300) │ 130│ │ │ │ 300│экскаваторный │
│размерной группы │ │ (180) │ │ │ │ │завод", г. Ковров, │
│ │ │ │ │ │ │ │Владимирская обл., │
│ │ │ │ │ │ │ │Россия │
├─────────────────┼─────────┼───────┼───────┼───────┼───────┼───────┼────────────────────┤
│5. СП-62 УХЛ, │ 9000 │130 - │ 600 │ 2100 │ 2,25 │300 - │ЗАО "Ковровский │
│к экскаваторам 4 │ (900) │ 190│ │ │ │ 400│экскаваторный │
│размерной группы │ │ │ │ │ │ │завод", г. Ковров, │
│(ЭО-4225А) │ │ │ │ │ │ │Владимирская обл., │
│ │ │ │ │ │ │ │Россия │
└─────────────────┴─────────┴───────┴───────┴───────┴───────┴───────┴────────────────────┘
РЕКОМЕНДУЕМЫЕ БУЛЬДОЗЕРЫ ДЛЯ ПРОИЗВОДСТВА ЗЕМЛЯНЫХ РАБОТ
В ДОРОЖНОМ СТРОИТЕЛЬСТВЕ И ПРИ УСТРОЙСТВЕ
ПОДЗЕМНЫХ ИНЖЕНЕРНЫХ СЕТЕЙ
┌─────────────────────┬──────────────────────────────────────────────────────────────────┬─────────────────────┐
│ Модель, основные │ Краткая техническая характеристика │ Предприятие- │
│ конструктивные ├───────┬──────────────────────────────────┬─────────────┬─────────┤ изготовитель │
│ особенности │мощ- │ Отвал │ габаритные │масса │ │
│ │ность ├────┬─────┬───────┬──────┬────────┤ размеры, мм │(скорость│ │
│ │двига- │дли-│высо-│угол │подъ- │опуска- │ │передви- │ │
│ │теля, │на, │та, │попе- │ем, │ние │ │жения, │ │
│ │кВт │мм │мм │речного│мм │(заглу- │ │км/ч), т │ │
│ │(л.с.) │ │ │перено-│ │бление │ │ │ │
│ │ │ │ │са, │ │рыхлите-│ │ │ │
│ │ │ │ │град │ │ля), мм │ │ │ │
├─────────────────────┼───────┼────┼─────┼───────┼──────┼────────┼─────────────┼─────────┼─────────────────────┤
│ 1 │ 2 │ 3 │ 4 │ 5 │ 6 │ 7 │ 8 │ 9 │ 10 │
├─────────────────────┼───────┼────┼─────┼───────┼──────┼────────┼─────────────┼─────────┼─────────────────────┤
│1. ДЗ-42 бульдозер с │70 (95)│2520│ 800 │ 0 - 8 │ 600 │ 50 │ 4650x2710x │ 7,3 │ОАО "Михневский │
│неповоротным отвалом │ │ │ │ │ │ │ 2300 │эксплу- │ремонтно-механический│
│на базе гусеничного │ │ │ │ │ │ │ │атацион- │завод", Михнево, │
│трактора ДТ-75. │ │ │ │ │ │ │ │ная │Ступинский р-н, │
│Гидропривод ВТЗ │ │ │ │ │ │ │ │ │Московская обл.; │
│ДЗ-42 │ │ │ │ │ │ │ │ │ОАО "Волгоградский │
│ │ │ │ │ │ │ │ │ │тракторный завод", │
│ │ │ │ │ │ │ │ │ │г. Волгоград, Россия │
├─────────────────────┼───────┼────┼─────┼───────┼──────┼────────┼─────────────┼─────────┼─────────────────────┤
│2. ДЗ-42 бульдозер с │70 (95)│2060│ 800 │ 55 - │ 500 │ 50 │ 4700x2060x │ 3,99 │ОАО "Михневский │
│неповоротным отвалом │ │ │ │ угол │ │ │ 2470 │ │ремонтно-механический│
│на базе гусеничного │ │ │ │резания│ │ │ │ │завод", Михнево, │
│трактора ДТ-75. │ │ │ │ │ │ │ │ │Ступинский р-н, │
│Гидропривод │ │ │ │ │ │ │ │ │Московская обл. │
├─────────────────────┼───────┼────┼─────┼───────┼──────┼────────┼─────────────┼─────────┼─────────────────────┤
│3. ДЗ-133 бульдозер- │58,7/80│2100│ 650 │ - │2600 │ - │ 5230x2130x │ 4,67 │ОАО "Орелстроймаш", │
│погрузчик на базе │ │ │ │ │высота│ │ 2882 │ │г. Орел, Россия │
│трактора МТЗ-82. │ │ │ │ │раз- │ │ │ │ │
│Оснащается │ │ │ │ │грузки│ │ │ │ │
│грунторезной │ │ │ │ │ │ │ │ │ │
│установкой ДЗ-133 │ │ │ │ │ │ │ │ │ │
│ТУ 4835-033-02241- │ │ │ │ │ │ │ │ │ │
│1502x95 │ │ │ │ │ │ │ │ │ │
├─────────────────────┼───────┼────┼─────┼───────┼──────┼────────┼─────────────┼─────────┼─────────────────────┤
│4. К-30 бульдозер │ 70/95 │2550│ 800 │ - │ - │ - │ 4980x2580x │ 7,3 │ " │
│на базе гусеничного │ │ │ │ │ │ │ 2650 │ │ │
│трактора ДТ-75Н-ХС2 │ │ │ │ │ │ │ │ │ │
│с неповоротным │ │ │ │ │ │ │ │ │ │
│отвалом. Гидропривод │ │ │ │ │ │ │ │ │ │
├─────────────────────┼───────┼────┼─────┼───────┼──────┼────────┼─────────────┼─────────┼─────────────────────┤
│5. ДЗ-1711 бульдозер │ 125 │3220│1300 │ 55 - │ 935 │ 500 │ 5700x3200x │ 17,3 │ЗАО "Челябинский │
│на базе гусеничного │ │ │ │ угол │ │ │ 3050 │ │завод дорожно- │
│трактора Т-170 │ │ │ │резания│ │ │ │ │строительных машин │
│с неповоротным │ │ │ │ │ │ │ │ │им. Колющенко", │
│отвалом │ │ │ │ │ │ │ │ │г. Челябинск; │
│ │ │ │ │ │ │ │ │ │ОАО "Михневский │
│ │ │ │ │ │ │ │ │ │ремонтно-механический│
│ │ │ │ │ │ │ │ │ │завод", Михнево, │
│ │ │ │ │ │ │ │ │ │Ступинский р-н, │
│ │ │ │ │ │ │ │ │ │Московская обл. │
├─────────────────────┼───────┼────┼─────┼───────┼──────┼────────┼─────────────┼─────────┼─────────────────────┤
│6. Б 170М 01ЕР - │ 125 │3310│1310 │ 55 - │ 1050 │ 460 │7160 - длина │ 19,44 │ОАО "Челябинский │
│ Б 170М 03ЕР│ 132 │ │ │ угол │ │ │3180 - высота│ │тракторный завод │
│бульдозеры-рыхлители │ │ │ │резания│ │ │ │ │им. Колющенко", │
│на базе гусеничного │ │ │ │ │ │ │ │ │г. Челябинск │
│трактора Т-170М │ │ │ │ │ │ │ │ │ │
│с механической │ │ │ │ │ │ │ │ │ │
│трансмиссией │ │ │ │ │ │ │ │ │ │
├─────────────────────┼───────┼────┼─────┼───────┼──────┼────────┼─────────────┼─────────┼─────────────────────┤
│7. Б-10 02ЕР - │ 132 │3310│1310 │ 55 - │ 1020 │ 440 │6870 - длина │ 20,16 │ " │
│бульдозер-рыхлитель │ │ │ │ угол │ │ │3110 - высота│ │ │
│на базе гусеничного │ │ │ │резания│ │ │ │ │ │
│трактора Т-10 03-10 │ │ │ │ │ │ │ │ │ │
│с гидромеханической │ │ │ │ │ │ │ │ │ │
│трансмиссией │ │ │ │ │ │ │ │ │ │
├─────────────────────┼───────┼────┼─────┼───────┼──────┼────────┼─────────────┼─────────┼─────────────────────┤
│8. ДЗ-126 В-1, │ 246 │4590│1550 │ н.д. │ н.д. │1200 - │ н.д. │ 40,89 │ " │
│ДЗ-126 В-2 - │ │ │ │ │ │рыхли- │ │ 41,1 │ │
│бульдозеры-рыхлители │ │ │ │ │ │тель │ │ │ │
│на базе гусеничного │ │ │ │ │ │ │ │ │ │
│трактора ДЭ-250М2 │ │ │ │ │ │ │ │ │ │
├─────────────────────┼───────┼────┼─────┼───────┼──────┼────────┼─────────────┼─────────┼─────────────────────┤
│9. ДЭТ-250М2Б1Р1, │ 237,4 │4250│1850 │ 55 - │ - │1540 - │9440 - длина │ 41,34 │ " │
│ДЭТ-350Б1Р1 - │ 257,4 │ │ │ угол │ │рыхли- │3,21 и 3,9 - │ и 44,42 │ОАО "Завод Строймаш",│
│бульдозеры-рыхлители │ │ │ │резания│ │тель │ высота │ │г. Стерлитамак, │
│на базе тракторов │ │ │ │ │ │ │ │ │Республика │
│ДЭТ-250М и ДЭТ-350 │ │ │ │ │ │ │ │ │Башкортостан, Россия │
│с неповоротным │ │ │ │ │ │ │ │ │ │
│полусферическим │ │ │ │ │ │ │ │ │ │
│отвалом │ │ │ │ │ │ │ │ │ │
├─────────────────────┼───────┼────┼─────┼───────┼──────┼────────┼─────────────┼─────────┼─────────────────────┤
│10. ДУ-94С-1 - │ 283 │4730│1750 │12 - │ н.д. │700 - │9400 - длина │ 53,76 │ЗАО "Химэксмаш", │
│бульдозер-рыхлитель │ │ │ │угол │ │рыхли- │4600 - высота│ │г. Балаково ГСП, │
│на базе гусеничного │ │ │ │попе- │ │тель │ │ │Саратовская обл.; │
│трактора Т-330 │ │ │ │речного│ │ │ │ │ОАО "Промтрактор", │
│ │ │ │ │пере- │ │ │ │ │г. Чебоксары, │
│ │ │ │ │коса │ │ │ │ │Чувашская республика,│
│ │ │ │ │ │ │ │ │ │Россия │
└─────────────────────┴───────┴────┴─────┴───────┴──────┴────────┴─────────────┴─────────┴─────────────────────┘
РЕКОМЕНДУЕМЫЕ АВТОГРЕЙДЕРЫ ДЛЯ ПРОИЗВОДСТВА
ЗЕМЛЯНЫХ РАБОТ В ДОРОЖНОМ СТРОИТЕЛЬСТВЕ
┌─────────────────┬──────────────────────────────────────────────────────────────────────────────┬──────────────────┐
│Модель, основные │ Краткая техническая характеристика │ Предприятие- │
│ конструктивные ├───────┬─────┬─────┬────────┬─────┬──────┬─────────┬───────────┬────┬─────────┤ изготовитель │
│ особенности │мощ- │длина│высо-│ угол │боко-│опус- │скорость │габаритные │мас-│дополни- │ │
│ │ность, │отва-│та │резания,│вой │кание │движения,│размеры, мм│са, │тельное │ │
│ │кВт │ла, │отва-│ град │вы- │(подъ-│ км/ч │ │т │оборудо- │ │
│ │(л.с.) │мм │ла, │ │нос, │ем), │ │ │ │вание │ │
│ │ │ │мм │ │мм │мм │ │ │ │ │ │
├─────────────────┼───────┼─────┼─────┼────────┼─────┼──────┼─────────┼───────────┼────┼─────────┼──────────────────┤
ИС МЕГАНОРМ: примечание.
Значения в графе 8 даны в соответствии с официальным текстом документа.
│ 1 │ 2 │ 3 │ 4 │ 5 │ 6 │ 7 │ 8 │ 9 │ 10 │ 11 │ 12 │
├─────────────────┼───────┼─────┼─────┼────────┼─────┼──────┼─────────┼───────────┼────┼─────────┼──────────────────┤
│1. Д3-201 │ 57,4 │2500 │ 500 │30 - 70 │ 500 │ 100 │1,9-35,5 │7200x2350x │6,3 │бульдо- │ООО "Радицкий │
│на базе │ (78) │ │ │ │ │ │ (4-9) │ 2850 │ │зерный │машиностроительный│
│трактора │ │ │ │ │ │ │ назад │ │ │отвал │завод", г. Брянск,│
│МТЗ-80/82 │ │ │ │ │ │ │ │ │ │ │Россия │
├─────────────────┼───────┼─────┼─────┼────────┼─────┼──────┼─────────┼───────────┼────┼─────────┼──────────────────┤
│2. ГС-10-01-02 │ 77 │2730 │ 470 │30 - 70 │ 600 │ 300 │ 4,7-70 │8600x2988x │9,5 │бульдо- │ОАО "Брянский │
│ │ (105) │ │ │ │ │ │(5,4,16,0│ 2200 │ │зерный │Арсенал", │
│ │ │ │ │ │ │ │ назад) │ │ │отвал, │г. Брянск, Россия │
│ │ │ │ │ │ │ │ │ │ │рыхлитель│ │
├─────────────────┼───────┼─────┼─────┼────────┼─────┼──────┼─────────┼───────────┼────┼─────────┼──────────────────┤
│3. ДЗ-180А │ 99 │4270 │ 740 │30 - 70 │1050 │ 500 │ 4 │9975x2500x │13,5│кирков- │ОАО "Брянский │
│"Профиль 30-2" │ (135) │ │ │(угол │ │ │ │ 3450 │ │щик, │Арсенал", │
│ │ │ │ │срезае- │ │ │ │ │ │бульдо- │г. Брянск, Россия │
│ │ │ │ │мого │ │ │ │ │ │зерный │ │
│ │ │ │ │откоса │ │ │ │ │ │отвал │ │
│ │ │ │ │0 - 90°)│ │ │ │ │ │ │ │
├─────────────────┼───────┼─────┼─────┼────────┼─────┼──────┼─────────┼───────────┼────┼─────────┼──────────────────┤
│4. ДЗ-122А │ 99 │3744 │ 632 │30 - 70 │ 800 │ 250 │6,9-42,1 │10150x2500x│ 14 │кирков- │ОАО "Орловский з-д│
│(С-1, -4, -6, -9)│ │ │ │(угол │ │ │ │ 3550 │ │щик, │дорожных машин", │
│профиль 30-8 │ │ │ │срезае- │ │ │ │ │ │бульдо- │г. Орел, Россия │
│ │ │ │ │мого │ │ │ │ │ │зерный │ │
│ │ │ │ │откоса │ │ │ │ │ │отвал │ │
│ │ │ │ │0 - 90°)│ │ │ │ │ │ │ │
├─────────────────┼───────┼─────┼─────┼────────┼─────┼──────┼─────────┼───────────┼────┼─────────┼──────────────────┤
│5. ДЗ-122Б │ 99 │3744 │ 632 │30 - 70 │ 800 │ 350 │ 7,4 │10570x2500x│14,6│кирков- │То же │
│ │ (135) │ │ │(угол │ │ │ │ 3550 │ │щик, │ │
│ │ │ │ │срезае- │ │ │ │ │ │бульдо- │ │
│ │ │ │ │мого │ │ │ │ │ │зерный │ │
│ │ │ │ │откоса │ │ │ │ │ │отвал │ │
│ │ │ │ │90°) │ │ │ │ │ │ │ │
├─────────────────┼───────┼─────┼─────┼────────┼─────┼──────┼─────────┼───────────┼────┼─────────┼──────────────────┤
│6. ДЗ-98В-1 │ 132 │4270 │ 740 │30 - 70 │2400 │ 500 │ 4,43-47 │10300x3020x│19,5│кирков- │ОАО "Челябинский │
│(-3, -5) │ (180) │ │ │(угол │ │ │ │ 3950 │ │щик, │з-д дор. маш. │
│ │ │ │ │срезае- │ │ │ │ │ │бульдо- │им. Колющенко", │
│ │ │ │ │мого │ │ │ │ │ │зер, │г. Челябинск, │
│ │ │ │ │откоса │ │ │ │ │ │рыхлитель│Россия │
│ │ │ │ │0 - 90°)│ │ │ │ │ │ │ │
├─────────────────┼───────┼─────┼─────┼────────┼─────┼──────┼─────────┼───────────┼────┼─────────┼──────────────────┤
│7. ГС-1801 │ 132 │3740 │ 620 │ 45 │ 700 │ 450 │ 0-42 │10500x2600x│17,5│рыхли- │ООО "Радицкий │
│ │ (180) │ │ │ │ │ │ (0-26, │ 3550 │ │тель, │машиностроительный│
│ │ │ │ │ │ │ │ назад) │ │ │бульдо- │завод", г. Брянск,│
│ │ │ │ │ │ │ │ │ │ │зерный │Россия │
│ │ │ │ │ │ │ │ │ │ │отвал │ │
├─────────────────┼───────┼─────┼─────┼────────┼─────┼──────┼─────────┼───────────┼────┼─────────┼──────────────────┤
│8. А-120 │ 132 │3740 │ 650 │ - │ 935 │ 450 │7,13,24, │10800x2560x│14,2│бульдо- │ОАО "Челябинский │
│ │ (180) │ │ │ │ │ │42 (7,25)│ 3550 │ │зерный │з-д дор. маш. │
│ │ │ │ │ │ │ │ │ │ │отвал │им. Колющенко", │
│ │ │ │ │ │ │ │ │ │ │ │г. Челябинск, │
│ │ │ │ │ │ │ │ │ │ │ │Россия │
└─────────────────┴───────┴─────┴─────┴────────┴─────┴──────┴─────────┴───────────┴────┴─────────┴──────────────────┘
ПОГРУЗЧИКИ ДЛЯ ЗЕМЛЕРОЙНО-ТРАНСПОРТНЫХ,
ПОГРУЗОЧНО-РАЗГРУЗОЧНЫХ И ДРУГИХ ВИДОВ РАБОТ
┌─────────────────────────┬──────┬────────┬───────┬──────┬──────┬────┬──────────┬───────────────────┐
│ Модель, основные │Мощ- │Грузо- │Вмес- │Высота│Ско- │Мас-│Габаритные│ Предприятие- │
│ конструктивные │ность │подъем- │тимость│раз- │рость │са, │ размеры, │ изготовитель │
│ особенности │двига-│ность, │ковша, │груз- │движе-│т │ мм │ │
│ │теля, │кг │м3 │ки, м │ния, │ │ │ │
│ │кВт │ │ │ │км/ч │ │ │ │
│ │(л.с.)│ │ │ │ │ │ │ │
├─────────────────────────┼──────┼────────┼───────┼──────┼──────┼────┼──────────┼───────────────────┤
│ 1 │ 2 │ 3 │ 4 │ 5 │ 6 │ 7 │ 8 │ 9 │
├─────────────────────────┼──────┼────────┼───────┼──────┼──────┼────┼──────────┼───────────────────┤
│1. ПУМ-500, универсальный│18,4 -│ 500 │ 0,38 │ 1,9 │ 9 │2,77│3400x1560x│ГУП ПО "Урал-вагон │
│малогабаритный, может │ 22│ │ │ │ │ │ 2260 │завод", г. Нижний │
│оснащаться гидробуром │ │ │ │ │ │ │ │Тагил, Свердловская│
│и др. Бортовой поворот │ │ │ │ │ │ │ │обл., Россия │
├─────────────────────────┼──────┼────────┼───────┼──────┼──────┼────┼──────────┼───────────────────┤
│2. СММ-750, строительная │ 44 │ 750 │ 0,375 │ 2,2 │ 10 │3,25│3300x1680x│АООТ "Тяжекс" │
│машина малогабаритная │ │ │ │ │ │ │ 2200 │им. Коминтерна, │
│с бортовым поворотом │ │ │ │ │ │ │ │г. Воронеж, Россия │
├─────────────────────────┼──────┼────────┼───────┼──────┼──────┼────┼──────────┼───────────────────┤
│3. ТО-30, одноковшовый │ 57 │ 2200 │ 11 │ 2,7 │ 35 │7,5 │6400x2400x│ОАО "Погрузчик", │
│фронтальный, шасси │ │ │ │ │ │ │ 3290 │г. Орел, Россия │
│специальное самоходное │ │ │ │ │ │ │ │ │
│пневмоколесное │ │ │ │ │ │ │ │ │
├─────────────────────────┼──────┼────────┼───────┼──────┼──────┼────┼──────────┼───────────────────┤
ИС МЕГАНОРМ: примечание.
Текст в графе 9 дан в соответствии с официальным текстом документа.
│4. ЗТМ-213, фронтальный │ 57,4 │ 2500 │ 1,25 │2,75 -│ 35 │9,15│ - │АОА "ЭКСКО", │
│с телескопической стрелой│ │ │ │ 4│ │ │ │г. Кострома, Россия│
│(вылет 3,6 м) │ │ │ │ │ │ │ │ │
├─────────────────────────┼──────┼────────┼───────┼──────┼──────┼────┼──────────┼───────────────────┤
│5. ТО-25 (ПКЗ), │ 121 │ 3000 │ 1,5 │ 2,76 │ 36 │ 10 │7100x2550x│ОАО "Орелстроймаш",│
│одноковшовый фронтальный │ │ │ │ │ │ │ 3015 │г. Орел, Россия │
│на базе трактора Т-150К │ │ │ │ │ │ │ │ │
├─────────────────────────┼──────┼────────┼───────┼──────┼──────┼────┼──────────┼───────────────────┤
│6. ПК-2701, ПК-27013, │ 77 │ 3300 │ 1,6 │ 2,8 │ - │ - │6670x2480x│ОАО "Погрузчик", │
│шасси самоходные │ │ │ │ │ │ │ 3150 │г. Орел, Россия │
│пневмоколесные, рама │ │ │ │ │ │ │ │ │
│шарнирно-сочлененная │ │ │ │ │ │ │ │ │
├─────────────────────────┼──────┼────────┼───────┼──────┼──────┼────┼──────────┼───────────────────┤
│7. П.4.01.01, │132,4 │ 4000 │ 2 │3,065 │ 8,6 │18,8│7320x2560x│ОАО "Челябинский │
│одноковшовый фронтальный │ │ │ │ │ │ │ 3300 │тракторный завод", │
│на базе трактора Т-10.11,│ │ │ │ │ │ │ │г. Челябинск, │
│оснащен трехзубым │ │ │ │ │ │ │ │Россия │
│рыхлителем │ │ │ │ │ │ │ │ │
└─────────────────────────┴──────┴────────┴───────┴──────┴──────┴────┴──────────┴───────────────────┘
РЕКОМЕНДУЕМЫЕ КАТКИ ДЛЯ УПЛОТНЕНИЯ ЗЕМЛЯНОГО ПОЛОТНА
В ИНЖЕНЕРНОМ И ДОРОЖНОМ СТРОИТЕЛЬСТВЕ
┌──────────────────────┬───────────────────────────────────────────────────────────────────────────┬──────────────────┐
│ Модель, основные │ Краткая техническая характеристика │ Предприятие- │
│ конструктивные ├───────┬───────┬──────┬──────┬──────┬──────────┬────────────────┬──────────┤ изготовитель │
│ особенности │масса, │базовая│ширина│линей-│часто-│ скорость │ число колес, │габаритные│ │
│ │ т │машина,│уплот-│ное │та │движения, │ шт. │ размеры, │ │
│ │ │мощ- │няемой│давле-│коле- │ км/ч │ │ мм │ │
│ │ │ность, │поло- │ние на│баний,│ │ │ │ │
│ │ │кВт │сы, мм│грунт,│Гц │ │ │ │ │
│ │ │(л.с.) │ │Н/см │ │ │ │ │ │
├──────────────────────┼───────┼───────┼──────┼──────┼──────┼──────────┼────────────────┼──────────┼──────────────────┤
│ 1 │ 2 │ 3 │ 4 │ 5 │ 6 │ 7 │ 8 │ 9 │ 10 │
├──────────────────────┼───────┼───────┼──────┼──────┼──────┼──────────┼────────────────┼──────────┼──────────────────┤
│1. ДУ-72 самоходный, │ 3,8 │ 18,4 │ 1140 │ - │ 50 │ 0 - 5,5 │2 гладких вальца│3565x1305x│ОАО "Стройдормаш",│
│вибрационный │ │ │ │ │ │ │ │ 2580 │г. Калинин, Россия│
│или статический │ │ │ │ │ │ │ │ │ │
├──────────────────────┼───────┼───────┼──────┼──────┼──────┼──────────┼────────────────┼──────────┼──────────────────┤
│2. ДУ-95-2 самоходный,│ 1,15 │8 (11) │ 750 │ - │ 55 │ до 2 │2 гладких вальца│2335x895x │НПО │
│тротуарный │ │ │ │ │ │ до 3,6 │ 3 пневмоколеса │ 1540 │"Машиностроитель",│
│вибрационный │ │ │ │ │ │ │ │ │г. Брянск, Россия │
├──────────────────────┼───────┼───────┼──────┼──────┼──────┼──────────┼────────────────┼──────────┼──────────────────┤
│3. ДУ-54М самоходный │ 1,5 │ 5,9 │ 890 │157 - │ 58 │ 1,8 - 6 │2 гладких вальца│2800x1100x│ОАО "Стройдормаш",│
│вибрационный │ │ │ │ 176│ │ │ │ 2200 │г. Калинин, Россия│
│2-х вальцовый │ │ │ │ │ │ │ │ │ │
├──────────────────────┼───────┼───────┼──────┼──────┼──────┼──────────┼────────────────┼──────────┼──────────────────┤
│4. ДУ-96 двухвальцовый│ 7,8 │ 48/46 │ 1500 │ - │ 50 │ 0 - 8 │ " │4050x1850x│ЗАО "Раскат", │
│самоходный │ │ │ │ │ │ 0 - 12 │ │ 3050 │г. Рыбинск, Россия│
│вибрационный │ │ │ │ │ │ │ │ │ │
├──────────────────────┼───────┼───────┼──────┼──────┼──────┼──────────┼────────────────┼──────────┼──────────────────┤
│5. ДУ-93 самоходный │8 - без│ 44,1 │ 1400 │ - │ - │ 1,89 │ " │4900x1750x│ " │
│статический │баллас-│ │ │ │ │ 3,7 │ │ 2900 │ │
│двухвальцовый │та, │ │ │ │ │ 6,8 │ │ │ │
│ │10 - с │ │ │ │ │ │ │ │ │
│ │баллас-│ │ │ │ │ │ │ │ │
│ │том │ │ │ │ │ │ │ │ │
│ │(вода) │ │ │ │ │ │ │ │ │
├──────────────────────┼───────┼───────┼──────┼──────┼──────┼──────────┼────────────────┼──────────┼──────────────────┤
│6. ДУ-47Б самоходный │ 8,5 │ 44 │ 1400 │ - │ 50 │2,09; │ " │4790x1800x│ " │
│вибрационный │ │ │ │ │ │4,07 - │ │ 3250 │ │
│2-х вальцовый │ │ │ │ │ │рабочая, │ │ │ │
│ │ │ │ │ │ │7,5 - │ │ │ │
│ │ │ │ │ │ │транс- │ │ │ │
│ │ │ │ │ │ │портная │ │ │ │
├──────────────────────┼───────┼───────┼──────┼──────┼──────┼──────────┼────────────────┼──────────┼──────────────────┤
│7. ДУ-74-1 самоходный │ 9,5 │ 57,4 │ 1700 │ - │ 33 │ 0 - 7 │ 2 пневмоколеса │5000x2000x│ " │
│вибрационный с │ │ │ │ │ │ │ │ 2800 │ │
│кулачковым вальцем │ │ │ │ │ │ │ │ │ │
├──────────────────────┼───────┼───────┼──────┼──────┼──────┼──────────┼────────────────┼──────────┼──────────────────┤
│8. ДУ-97 самоходный │ 7,6 │ 48/46 │ 1500 │ - │ 50 │0,8 - │ 4 │4050x1850x│ " │
│комбинированный с │ │ │ │ │ │рабочая, │ │ 3050 │ │
│вибрационным гладким │ │ │ │ │ │0 - 12 - │ │ │ │
│вальцем │ │ │ │ │ │транс- │ │ │ │
│ │ │ │ │ │ │портная │ │ │ │
├──────────────────────┼───────┼───────┼──────┼──────┼──────┼──────────┼────────────────┼──────────┼──────────────────┤
│9. ДУ-97 самоходный │ 9,5 │ 57,4 │ 1700 │ 320 │ 40 │ 0 - 10 │ 4 │3920x2040x│ЗАО "Раскат", │
│комбинированный с │ │ │ │ │ (25) │ │ │ 3350 │г. Рыбинск, Россия│
│вибрационным гладким │ │ │ │ │ │ │ │ │ │
│вальцем │ │ │ │ │ │ │ │ │ │
├──────────────────────┼───────┼───────┼──────┼──────┼──────┼──────────┼────────────────┼──────────┼──────────────────┤
│10. ДУ-99 самоходный │ 10 │73,6/72│ 1700 │ - │ 50 │ 0 - 12 │ 4 │3920x2200x│ " │
│комбинированный с │ │ │ │ │ │ │ │ 3500 │ │
│вибрационным гладким │ │ │ │ │ │ │ │ │ │
│вальцем │ │ │ │ │ │ │ │ │ │
├──────────────────────┼───────┼───────┼──────┼──────┼──────┼──────────┼────────────────┼──────────┼──────────────────┤
│11. ДУ-65 самоходный │ 12 │ 57,4 │ 1700 │ - │ - │0,8 - │ 4 + 4 │4900x2040x│ " │
│пневмоколесный │ │ │ │ │ │рабочая, │ │ 3350 │ │
│ │ │ │ │ │ │0 - 16 - │ │ │ │
│ │ │ │ │ │ │транспорт-│ │ │ │
│ │ │ │ │ │ │ная │ │ │ │
├──────────────────────┼───────┼───────┼──────┼──────┼──────┼──────────┼────────────────┼──────────┼──────────────────┤
│12. ДУ-100 самоходный │ 14 │ 73,6/ │ 2000 │ - │ - │ 0 - 16 │ 4 + 4 │4800x2200x│ " │
│пневмоколесный │ │ 72 │ │ │ │ │ │ 3500 │ │
├──────────────────────┼───────┼───────┼──────┼──────┼──────┼──────────┼────────────────┼──────────┼──────────────────┤
│13. ДУ-85-1 самоходный│ 13,5 │ 130 │ 2000 │ - │ 40 │0,10 - │ 2 │6000x2400x│ " │
│с кулачковым │ │ │ │ │ (25) │рабочая, │ │ 3200 │ │
│вибрационным вальцем │ │ │ │ │ │0 - 11,5 -│ │ │ │
│ │ │ │ │ │ │транспорт-│ │ │ │
│ │ │ │ │ │ │ная │ │ │ │
└──────────────────────┴───────┴───────┴──────┴──────┴──────┴──────────┴────────────────┴──────────┴──────────────────┘
РЕКОМЕНДУЕМЫЕ ВИБРОПЛИТЫ, ВИБРОУПЛОТНИТЕЛИ
ДЛЯ ПОСЛОЙНОГО УПЛОТНЕНИЯ ГРУНТА В ТРАНШЕЯХ И КОТЛОВАНАХ
┌─────────────────┬────┬──────┬───────┬──────┬──────┬───────┬─────────────┬─────────────────────┐
│Модель, основные │Мас-│Мощ- │Размеры│Часто-│Вынуж-│Макси- │ Габаритные │ Предприятие- │
│ конструктивные │са, │ность │плиты, │та │дающая│мальная│ размеры, мм │ изготовитель │
│ особенности │кг │двига-│ширина │коле- │сила, │глубина│ │ │
│ │ │теля, │уплот- │баний,│кН │уплот- │ │ │
│ │ │кВт │нения, │Гц │ │нения, │ │ │
│ │ │(л.с.)│мм │ │ │мм │ │ │
├─────────────────┼────┼──────┼───────┼──────┼──────┼───────┼─────────────┼─────────────────────┤
│ 1 │ 2 │ 3 │ 4 │ 5 │ 6 │ 7 │ 8 │ 9 │
├─────────────────┼────┼──────┼───────┼──────┼──────┼───────┼─────────────┼─────────────────────┤
│1. ВУ-800, │ 45 │ 2,6 │450x350│ 100 │ - │150 - │ - │ОАО "Мотопром", │
│двигатель │ │ │ │ │ │ 200│ │г. Серпухов, М.О., │
│бензиновый │ │ │ │ │ │ │ │Россия │
├─────────────────┼────┼──────┼───────┼──────┼──────┼───────┼─────────────┼─────────────────────┤
│2 ВУ-1500, │100 │ 2,9 │ 450 │ 96 │ 15 │до 250 │ - │ " │
│двигатель Honda │ │(4,0) │ │ │ │ │ │ │
│GX-160 бензиновый│ │ │ │ │ │ │ │ │
├─────────────────┼────┼──────┼───────┼──────┼──────┼───────┼─────────────┼─────────────────────┤
│3. ОУ-60, │ 80 │ 4 │350x410│ 90 │ 10 │ 250 │1200x350x1090│ОАО "Завод дорожных │
│двигатель Honda │ │ │ │ │ │ │ │машин", г. Волгодонск│
│GX-160 бензиновый│ │ │ │ │ │ │ │Ростовской обл., │
│ │ │ │ │ │ │ │ │Россия │
├─────────────────┼────┼──────┼───────┼──────┼──────┼───────┼─────────────┼─────────────────────┤
│4. ОУ-80, │110 │ 4 │400x500│ 90 │ 14 │ 250 │1440x400x1230│ " │
│двигатель Honda │ │ │ │ │ │ │ │ │
│G-160 бензиновый │ │ │ │ │ │ │ │ │
├─────────────────┼────┼──────┼───────┼──────┼──────┼───────┼─────────────┼─────────────────────┤
│5. ДУ-90 │270 │ 4,4 │ 550 │ 75 │ 22,6 │ - │1450x780x990 │ЗАО "Раскат", │
│двигатель CH-GД │ │ │ │ │ │ │ │г. Рыбинск │
│дизельный │ │ │ │ │ │ │ │Ярославской обл., │
│ │ │ │ │ │ │ │ │Россия │
└─────────────────┴────┴──────┴───────┴──────┴──────┴───────┴─────────────┴─────────────────────┘
РЕКОМЕНДУЕМЫЕ СКРЕПЕРЫ ДЛЯ ЗЕМЛЕРОЙНО-ТРАНСПОРТНЫХ
РАБОТ В ДОРОЖНОМ СТРОИТЕЛЬСТВЕ
┌────────────────────────┬────────────────────────────────────────────────────────┬─────────────────────┐
│ Модель, основные │ Краткая техническая характеристика │ Предприятие- │
│ конструктивные ├──────┬──────┬──────┬─────┬────┬─────┬───────────┬──────┤ изготовитель │
│ особенности │мощ- │вме- │грузо-│шири-│за- │тол- │габаритные │масса,│ │
│ │ность │сти- │подъ- │на │глу-│щина │ размеры, │ т │ │
│ │двига-│мость │ем- │реза-│бле-│отсы-│ мм │ │ │
│ │теля, │ковша,│ность,│ния, │ние,│пае- │ │ │ │
│ │кВт │м3 │т │мм │мм │мого │ │ │ │
│ │(л.с.)│ │ │ │ │слоя,│ │ │ │
│ │ │ │ │ │ │мм │ │ │ │
├────────────────────────┼──────┼──────┼──────┼─────┼────┼─────┼───────────┼──────┼─────────────────────┤
│ 1 │ 2 │ 3 │ 4 │ 5 │ 6 │ 7 │ 8 │ 9 │ 10 │
├────────────────────────┼──────┼──────┼──────┼─────┼────┼─────┼───────────┼──────┼─────────────────────┤
│1. ДЗ-172.1 и его │128,7 │8,8 - │ 16,5 │2754 │170 │ 400 │14330x3150x│9,76 -│ООО "Завод дорожных │
│модификации на базе │(175) │ 11│ │ │ │ │ 3300 │25,2 с│машин им. Колющенко",│
│гусеничных тракторов │ │ │ │ │ │ │ │трак- │г. Челябинск, Россия │
│тягового класса 10 │ │ │ │ │ │ │ │тором │ │
│(Т-170.00-2, Т-170.01-2,│ │ │ │ │ │ │ │ │ │
│Т-170М.00-2, Т-170М.01-2│ │ │ │ │ │ │ │ │ │
│и их модификации) │ │ │ │ │ │ │ │ │ │
├────────────────────────┼──────┼──────┼──────┼─────┼────┼─────┼───────────┼──────┼─────────────────────┤
│2. СП-172, СП-172А │128,7 │8,8 - │ 16,5 │2754 │170 │ 400 │ │ │То же │
│прицепные к гусеничным │(175) │ 11│ │ │ │ │ │ │ │
│тракторам тягового │ │ │ │ │ │ │ │ │ │
│класса 10 (Т-170.00, │ │ │ │ │ │ │ │ │ │
│Т-170.01, Т-170М.00, │ │ │ │ │ │ │ │ │ │
│Т-170М.01 и их │ │ │ │ │ │ │ │ │ │
│модификации) │ │ │ │ │ │ │ │ │ │
├────────────────────────┼──────┼──────┼──────┼─────┼────┼─────┼───────────┼──────┼─────────────────────┤
│3. ДЗ-172.5 и его │128,7 │8,8 - │ 16,5 │2754 │170 │ 400 │14330x3150x│25,385│ " │
│модификации, │(175) │ 11│ │ │ │ │ 3300 │ │ │
│автоматизированные │ │ │ │ │ │ │ │ │ │
│"Копир-стабилоплан" │ │ │ │ │ │ │ │ │ │
│на базе гусеничных │ │ │ │ │ │ │ │ │ │
│тракторов тягового │ │ │ │ │ │ │ │ │ │
│класса 10 (Т-170.00-2, │ │ │ │ │ │ │ │ │ │
│Т-170.01-2, Т-170М.01-2 │ │ │ │ │ │ │ │ │ │
│и их модификации) │ │ │ │ │ │ │ │ │ │
├────────────────────────┼──────┼──────┼──────┼─────┼────┼─────┼───────────┼──────┼─────────────────────┤
│4. ДЗ-149-5-прицепной │ │ 8 │ 16,5 │2580 │150 │ 400 │9354x3150x │ 9,8 │Бердянский з-д │
│к колесному трактору │ │ │ │ │ │ │ 2800 │ │дорожных машин │
│К-701 │ │ │ │ │ │ │ │ │ПО "Юждормаш", │
│ │ │ │ │ │ │ │ │ │г. Бердянск, Украина │
├────────────────────────┼──────┼──────┼──────┼─────┼────┼─────┼───────────┼──────┼─────────────────────┤
│5. ДЗ-87-1А самоходный │ │ 5 │ 9,8 │2430 │150 │ 380 │10730x2922x│ 12,3 │То же │
│на базе трактора Т-150К │ │ │ │ │ │ │ 2840 │ │ │
├────────────────────────┼──────┼──────┼──────┼─────┼────┼─────┼───────────┼──────┼─────────────────────┤
│6. СО-187 на базе │11 - │ 22 │ 3034 │ 220 │500 │ │ │ │ООО "Завод дорожных │
│пневмоколесного трактора│ 15│ │ │ │ │ │ │ │машин им. Колющенко" │
│тягового класса Б │ │ │ │ │ │ │ │ │г. Челябинск, Россия │
│("Кировец" К-703М) │ │ │ │ │ │ │ │ │ │
└────────────────────────┴──────┴──────┴──────┴─────┴────┴─────┴───────────┴──────┴─────────────────────┘