Главная // Актуальные документы // Рекомендация / РекомендацииСПРАВКА
Источник публикации
М.: Стройиздат, 1987
Примечание к документу
Название документа
"Рекомендации по расчету осадок, кренов и усилий в фундаментах существующих промышленных зданий от влияния вновь пристраиваемых зданий и сооружений"
"Рекомендации по расчету осадок, кренов и усилий в фундаментах существующих промышленных зданий от влияния вновь пристраиваемых зданий и сооружений"
ПО РАСЧЕТУ ОСАДОК, КРЕНОВ И УСИЛИЙ В ФУНДАМЕНТАХ
СУЩЕСТВУЮЩИХ ПРОМЫШЛЕННЫХ ЗДАНИЙ ОТ ВЛИЯНИЯ
ВНОВЬ ПРИСТРАИВАЕМЫХ ЗДАНИЙ И СООРУЖЕНИЙ
Рекомендованы к изданию решением ученого совета Харьковского Промстройниипроекта Госстроя СССР и решением Научно-технического совета объединения Союзметаллургстройниипроект.
Излагаются особенности инженерно-геологических изысканий при реконструкции промышленных зданий с целью расчета влияния фундаментов вновь возводимых зданий на существующие. Приводятся методики расчета переменных коэффициентов жесткости, осадок и кренов существующих фундаментов, а также примеры расчета для основных встречающихся в практике случаев.
Для инженерно-технических работников проектных и строительных организаций.
Разработаны Харьковским Промстройниипроектом Госстроя СССР (кандидаты техн. наук А.М. Гельфандбейн, Л.А. Гелис, инж. И.М. Наткович).
1. ОСНОВНЫЕ ПОЛОЖЕНИЯ РЕКОМЕНДАЦИЙ ПО МЕТОДИКЕ РАСЧЕТА
1.1. Рекомендации по расчету влияния вновь возводимых сооружений на осадки, крены, переменные коэффициенты жесткости и реакции основания фундаментов существующих промышленных и гражданских зданий разработаны на основе метода интегральных дискретных элементов (МДЭ) оснований.
1.2. В расчетной схеме основания в общем случае слой конечной толщины принимается переменным в плане.
Основание может быть произвольно неоднородным по глубине и в плане. Однородность во всех направлениях и неоднородность в одном из направлений в плане являются частными случаями общего решения.
В настоящих Рекомендациях в целях упрощения расчета основания принято регулярное многослойное (с постоянными толщинами различных слоев в плане). Одновременно учитывается локальная (под фундаментами существующих зданий) зона упрочнения грунта.
1.3. Непрерывная среда основания идентифицируется системой взаимно сопряженных вертикальными сдвиговыми силами взаимодействия дискретных конечных или полубесконечных (в плане) элементов.
1.4. Дискретные элементы основания описываются взаимно независимыми интегральными параметрами (по Пастернаку) сопротивления сжатию (
C1) и распределительной способности
S 
, где
C2 - интегральный параметр сопротивления элемента сдвигу в вертикальной плоскости.
1.5. Дискретные элементы основания конечно-континуальны. Признак конечности обусловлен принятым принципом дискретизации.
Признак континуальности дискретных элементов заключается в том, что разработанный метод расчета позволяет, используя параметр распределительной способности элемента S, определять осадки, коэффициенты жесткости и реакции основания в любой точке поверхности дискретного элемента.
1.6. Дискретные элементы основания носят комплексный характер: каждый дискретный элемент в пределах своих границ включает все слои многослойного основания (в том числе и зону упрочнения в основании существующих фундаментов) - от уровня контактной поверхности (естественного рельефа, уровня планировки) до кровли несжимаемых грунтов, либо до нижней расчетной границы деформируемой зоны основания.
1.7. Членение непрерывного основания на конечную совокупность дискретных элементов производится с учетом характера изменчивости напластований, границ площадей нагружения основания (гибкой нагрузкой, фундаментами), формы и размеров фундаментов, ограждения области развития основания (подпорные стены, огражденные подвалы и т.п.), форм и размеров котлованов.
1.8. В совокупность дискретных элементов основания включаются непосредственно нагруженные элементы и примыкающие ненагруженные элементы размеров и в количестве, необходимом для получения требуемой точности решения.
1.9. Учет влияния областей основания, примыкающих к зоне нагружения, производится на основе:
преобразования сосредоточенных сил реактивного отпора у краев фундамента в неравномерно распределенный отпор по контактной поверхности;
ортогонального распределения деформаций, коэффициентов жесткости и реакций влияния ненагруженных зон основания в задачах о расчете фундаментов и фундаментных плит.
1.10. Дискретные элементы многослойного основания характеризуются следующими параметрами, значения которых принимаются постоянными в пределах каждого данного дискретного элемента:
расчетным слоем конечной толщины;
приведенным модулем деформации многослойного основания

;
приведенным коэффициентом Пуассона

;
интегральным параметром сопротивления многослойного основания сжатию

, кН/м
3;
интегральным параметром распределительной способности основания толщиной

, м.
1.11. В плоскостях раздела основания на дискретные элементы вводят неизвестные вертикальные силы взаимодействия Xi и Yi, определяемые из решения систем уравнений совместности деформаций (перемещений) в узлах (плоскостях) их сопряжения.
В целях упрощения расчета, в особенности в тех случаях, когда приходится составлять системы уравнений высоких порядков, расчет влияния вновь возводимых сооружений на существующие рекомендуется выполнять по упрощенным методикам: встречных ординат и преобразования ординат эпюры коэффициентов жесткости нагруженных оснований с учетом деформаций основания, вызываемых влиянием новых сооружений.
Изложение отдельных упрощенных методик приводится ниже.
1.12. Значения параметра
C1 определяют по расчетной глубине основания

, приведенному модулю деформации данного дискретного элемента

и коэффициенту Пуассона

. Значение параметра распределительной способности
S определяется из условий равенства осадок фундаментов на основании, с одной стороны представленном слоем конечной толщины, описываемом интегральными параметрами, а, с другой - слоем среды теории упругости. Зависимости для определения параметров
C1 и
S приводятся ниже.
1.13. Основание длительно нагруженного существующего фундамента принимается упрочненным. В расчете рассматриваются три фактора упрочнения основания, вызванные возрастанием модуля деформации:
в зоне "ядра" основания непосредственно под фундаментом, вследствие уплотнения грунта в процессе стабилизации осадок (коэффициентом

);
в зоне деформирования основания, вследствие упрочнения грунта, находящегося в течение длительного времени в напряженном состоянии (коэффициентом

);
вследствие восстановления сдвиговых связей в зоне пластических деформаций у краев фундаментов в процессе длительного нагружения (коэффициентом

).
1.14. В расчете используются коэффициенты условий работы основания:
существующего и нового фундаментов mg = 0,85, учитывающего перераспределение пластических деформаций при работе фундамента на искривленном основании;
нового фундамента

, учитывающего относительное уменьшение зон пластических деформаций с возрастанием площади фундамента
(п. 4.1);
при расчете влияния больших фундаментных плит, близко расположенных к существующим сооружениям, расчетные ординаты осадок влияния новой фундаментной плиты определяются с учетом коэффициента условий работы mпл = 1,4.
1.15. Как известно, при нагружении фундаментов первоначально реактивные отпоры грунтов основания имеют седловидную форму (концентрации отпоров в краевых зонах).
При длительном нагружении, вследствие проявления пластических деформаций, релаксации напряжений и ползучести, эпюры отпоров преобразуются в фигуры, близкие к прямоугольным, а затем параболическим с наибольшими максимумами ординат посередине.
В расчетах влияния вновь возведенных фундаментов на существующие длительно нагруженные фундаменты эпюра коэффициентов жесткости последних, как исходная, принята в виде прямоугольника с постоянной интенсивностью по ширине.
1.16. Расчеты осадок и кренов существующего фундамента с учетом влияния нового фундамента производятся путем определения суммарной жесткости основания при сжатии и крене, которые вычисляются по эпюрам преобразованных коэффициентов жесткости.
Усилия в фундаменте находятся путем расчета системы "фундамент - преобразованная эпюра коэффициентов жесткости основания".
Особенности расчета, обусловленные различными типами фундаментов и их сочетаниями, геометрической схемой системы, свойствами грунтов, расчетной глубиной зоны деформирования, детально изложены в приведенных ниже методиках расчета.
2. ТИПЫ СУЩЕСТВУЮЩИХ И НОВЫХ ФУНДАМЕНТОВ И ИХ СОЧЕТАНИЯ
2.1. В практике строительства наиболее часто применяются: отдельно стоящие фундаменты под колонны, отдельно стоящие ленточные фундаменты, плитные фундаменты, системы групповых фундаментов под колонны, перекрестные ленточные фундаменты.
Перечисленные типы фундаментов встречаются как в существующих зданиях и сооружениях, так и во вновь возводимых.
2.2. В табл. 1 приведено 25 вариантов возможных сочетаний существующих и новых фундаментов с указанием пунктов, в которых изложены методики расчета.
Таблица 1
N п.п. | Типы вновь возводимых фундаментов | Существующие фундаменты |
ленточный | прямоугольный одиночный | плитный | система прямоугольных фундаментов | система перекрестных лент |
1 | Ленточный | | | | | |
2 | Прямоугольный одиночный | | | | | |
3 | Плитный | | | | | |
4 | Система прямоугольных фундаментов | | | | | |
5 | Система перекрестных лент | | | | | |
3. ОСОБЕННОСТИ ИНЖЕНЕРНО-ГЕОЛОГИЧЕСКИХ ИЗЫСКАНИЙ
ПРИ ПРОЕКТИРОВАНИИ РЕКОНСТРУКЦИИ ПРОМЫШЛЕННЫХ ЗДАНИЙ
С ЦЕЛЬЮ РАСЧЕТА ВЛИЯНИЯ ФУНДАМЕНТОВ
ВНОВЬ ВОЗВОДИМЫХ ЗДАНИЙ НА СУЩЕСТВУЮЩИЕ
3.1. В настоящем разделе приведены положения, используемые при производстве инженерных изысканий на площадках действующих промышленных предприятий с целью определения возможности возведения новых зданий (или отдельных фундаментов) вблизи существующих без повреждения конструкций последних.
3.2. Содержание, объемы и последовательность работ по исследованию свойств грунтов в основании зданий и сооружений назначаются с учетом особенностей технологического процесса (сухой, мокрый, наличие кислот, щелочей, высоких температур и т.п.), конструктивных схем зданий и сооружений, степени их износа и в соответствии с требованиями
СНиП 2.02.01-83.
3.3. Инженерные изыскания выполняются в соответствии с требованиями СНиП II-9-78 и действующих ГОСТов на испытания грунтов полевыми и лабораторными методами с учетом особенностей, вызванных стесненными условиями действующего предприятия и особенностями исследования деформационных свойств грунтов, находившихся длительное время в напряженном состоянии.
3.4. Изыскания выполняются по программе, составленной в соответствии с заданием.
Программой изысканий предусматриваются следующие этапы работ:
изучение архивных материалов о инженерно-геологических условиях площадки расположения существующего и вновь возводимого сооружений;
изучение проектной документации ранее возведенных зданий (тип основания, конструкция фундаментов, отметки их заложения, нагрузка на основание, конструктивная схема здания и т.п.);
геодезическая съемка положения цоколей, колонн и крупноразмерных фундаментов с целью определения осадок, относительных смещений, прогибов и кренов существующих зданий и сооружений;
выбор места исследования грунтов основания и определения уровня грунтовых вод с учетом выявленных деформаций оснований и конструкций существующих зданий;
определение требуемых глубин зондирования, бурения, шурфования и отбора образцов грунта и воды для лабораторных исследований;
зондирование и бурение основания;
выполнение шурфов в основании фундаментов с целью отбора образцов грунта, обследования состояния оснований и подземных конструкций;
натурные исследования деформационных и прочностных свойств грунтов;
лабораторные исследования физико-механических свойств грунта;
прогноз подтопления промышленной площадки и изменения свойств грунтов;
составление заключения.
3.5. Геодезическая съемка выполняется в соответствии с рекомендациями, изложенными в
Руководстве по наблюдениям за деформациями оснований и фундаментов зданий и сооружений. М., Стройиздат, 1975, Инструкции по организации и проведению наблюдений за развитием осадок зданий (сооружений), вблизи которых осуществляется новое строительство (Указания по устройству фундаментов около существующих зданий и сооружений, Ленинград, 1980).
3.6. Выбор места исследования свойств грунтов определяется задачей изысканий: общее обследование или выявление степени сжимаемости грунтов в пределах зоны деформирования основания существующих зданий.
В первом случае бурение и зондирование выполняются для уточнения характера напластований (порядок залегания литологических разностей, их физико-механические свойства, уровень грунтовых вод, наличие куполов грунтовых вод).
Во втором, кроме указанных выше, бурение, зондирование и шурфование приурочиваются к частям здания, различающимся по нагрузкам, глубинам заложения и времени возведения.
3.7. Места установки геодезических знаков, бурения, зондирования и шурфования определяются в увязке с расположением инженерных сетей и должны быть согласованы с техническим отделом предприятия и соответствующими инстанциями (главным энергетиком, главным электриком и т.п.).
3.8. К буровым работам и рытью шурфов допускаются лица, изучившие правила техники безопасности, действующие в изыскательской организации, а также правила техники безопасности того предприятия (цеха), где выполняются работы.
3.9. Глубина бурения и зондирования принимаются в зависимости от типа здания, его размеров, шага колонн каркасных зданий и нагрузок, передаваемых на колонну. Рекомендуемые глубины бурения от уровня подошвы фундаментов каркасных промышленных зданий приведены в
табл. 2 и
3. В
табл. 2 - для каркасных зданий различных типов с фундаментами под несущие колонны; в
табл. 3 - для зданий и сооружений с плитными фундаментами. В этих таблицах расчетные глубины бурения определены для случаев, когда основание сложено либо только глинистыми, либо только песчаными грунтами, либо одновременно глинистыми и песчаными грунтами при различных соотношениях суммарной мощности слоев песка

в пределах глубины, соответствующей сложению основания только глинистыми грунтами

, т.е. при отношении

к

, равном 0,2; 0,4; 0,6; 0,8.
N п.п. | Нагрузки на колонну, кН | Тип сооружений | Расчетная глубина бурения скважин в основаниях, сложенных грунтами |
глинистыми | песчаными | глинистыми и песчаными при отношении  |
0,2 | 0,4 | 0,6 | 0,8 |
1 | 1000 | I | 10 | 7 | 9,5 | 9 | 8,5 | 8 |
2 | II | 9 | 7 | 8,5 | 8 | 7,5 | 7 |
3 | III | 10 | 7 | 9,5 | 9 | 8,5 | 8 |
4 | IV | 11 | 8 | 10 | 10 | 9 | 9 |
5 | 1000 - 2500 | I | 12 | 9 | 11 | 11 | 10 | 9 |
6 | II | 10 | 7 | 9,5 | 9 | 8,5 | 8 |
7 | III | 11 | 8 | 10 | 10 | 9 | 9 |
8 | IV | 12 | 9 | 11 | 11 | 10 | 9 |
9 | 2510 - 5000 | I | 14 | 10 | 13 | 12 | 11 | 11 |
10 | II | 12 | 9 | 11 | 11 | 10 | 9 |
11 | III | 13 | 9 | 12 | 12 | 11 | 10 |
12 | IV | 14 | 10 | 13 | 12 | 12 | 11 |
13 | 5010 - 10 000 | I | 16 | 11 | 15 | 14 | 13 | 12 |
14 | II | 14 | 10 | 13 | 12 | 12 | 10 |
15 | III | 15 | 11 | 14 | 13 | 12 | 11 |
16 | IV | 17 | 12 | 16 | 15 | 14 | 13 |
17 | 10 010 - 15 000 | I | 18 | 13 | 17 | 16 | 15 | 14 |
18 | II | 16 | 11 | 15 | 14 | 13 | 12 |
19 | III | 17 | 12 | 16 | 15 | 14 | 13 |
20 | IV | 19 | 13 | 18 | 17 | 16 | 15 |
21 | 15 010 - 20 000 | I | 20 | 14 | 19 | 18 | 16 | 15 |
Примечание. Тип I - одноэтажные здания цехового типа; II - многоэтажные здания с шагом колонн в обоих направлениях 6 м; общая ширина 6 м (в осях рядов); III - при общей ширине в осях рядов - 12 м, IV - 18 м.
N п.п. | Ширина фундаментной плиты, м | Среднее давление под подошвой фундамента, кН/м2 | Расчетная глубина бурения, м, в основаниях, сложенных грунтами |
глинистыми | песчаными | глинистыми и песчаными при соотношении  |
0,2 | 0,4 | 0,6 | 0,8 |
1 | 10 | 200 | 11,5 | 8 | 11 | 10 | 10 | 9 |
2 | 400 | 13,5 | 10 | 13 | 12 | 10 | 10 |
3 | 600 | 16 | 11 | 15 | 14 | 13 | 12 |
4 | 20 | 200 | 13 | 9 | 12 | 11 | 11 | 10 |
5 | 400 | 15 | 11 | 14 | 13 | 13 | 12 |
6 | 600 | 16 | 13 | 16 | 15 | 14 | 13 |
7 | 30 | 200 | 14 | 10 | 13 | 13 | 13 | 11 |
8 | 400 | 17 | 14 | 16 | 15 | 14 | 13 |
9 | 600 | 20 | 14 | 18 | 17 | 16 | 15 |
10 | 40 | 200 | 16 | 11 | 15 | 14 | 13 | 12 |
11 | 400 | 19 | 13 | 17 | 16 | 15 | 14 |
12 | 600 | 22 | 15 | 20 | 19 | 18 | 16 |
13 | 60 | 200 | 17 | 13 | 16 | 15 | 14 | 13 |
14 | 400 | 20 | 14 | 19 | 18 | 17 | 15 |
15 | 600 | 23 | 16 | 23 | 21 | 19 | 18 |
16 | 100 | 200 | 20 | 19 | 24 | 23 | 21 | 20 |
17 | 400 | 30 | 21 | 29 | 27 | 25 | 23 |
18 | 600 | 35 | 25 | 33 | 31 | 29 | 27 |
Примечание. Дополнительная к расчетной глубине

зоны деформирования основания глубина бурения скважины

: для плит шириной до 50 м -

; для плит шириной от 50 до 100 м -

.
В случае, если ниже указанного уровня залегают просадочные или слабые грунты с модулем деформации менее 10 МПа, глубина бурения принимается не менее 1 м ниже подошвы слоя этих грунтов.
Бурение скважин выполняется непосредственно под зданием и в зоне влияния здания на деформации грунта окружающего основания. Граница зоны влияния u - расстояние от внешней кромки фундаментов до границы области влияния, определяется по формуле
u = 0,5(Hр.б - 2)/2, (1)
где
Hр.б - требуемая глубина бурения скважин, определяемая по
табл. 2,
3.
3.10. Бурение вне промышленных и гражданских зданий производится механизированными установками, смонтированными на тракторе или автомобиле.
В стесненных условиях действующих цехов применяются комплекты для ручного ударно-вращательного бурения скважин диаметром 89 и 127 мм.
3.11. Отбор образцов грунта ненарушенной структуры производится не реже чем через 1 м по глубине скважин, в соответствии с требованиями
ГОСТ 12071-84.
Образцы водонасыщенных грунтов ненарушенной структуры отбирают из шурфов в металлические обоймы с жесткими стенками размером 200 x 200 x 200 мм. Из скважин - тонкостенным грунтоносом диаметром 100 мм, который вдавливается на глубину 50 см от забоя со скоростью не более 3 м/мин. Образцы грунта тщательно упаковывают марлей с парафином или покрывают слоем латекса. Запарафинированные образцы должны быть испытаны в течение не более 15 дней, покрытые латексом в течение 45 дней.
3.12. Изменения деформационных и прочностных свойств грунтов, длительное время находившихся в напряженном состоянии, определяются на основании сравнения величин модулей деформации и параметров сдвига грунтов, отобранных непосредственно под существующим фундаментом и на расстоянии 5 - 6 м от него, на незастроенном участке.
3.13. Отбор образцов грунта ненарушенной структуры выполняется по линии оси подошвы фундамента через 0,3 - 0,5 м из шурфов глубиной не менее 0,5 м ниже подошвы фундамента и пробуренных со дна шурфов скважин. Суммарная глубина отбора должна быть не менее 2b (b - ширина фундамента).
3.14. Физико-механические свойства грунта определяются непосредственно на месте отбора образцов из шурфа и скважин с помощью приборов полевой лаборатории ПЛЛ-9.
3.15. В стесненных условиях действующего предприятия деформационные и прочностные характеристики грунтов в натурных условиях могут быть определены следующими полевыми методами:
прессиометрией (ГОСТ 20276-85);
статическим нагружением:
а) круглыми штампами площадью 5000 см2;
б) на глубинах ниже 3 м - штампом площадью 600 см2 в скважине диаметром 325 мм;
в) двумя параллельно установленными на некотором расстоянии прямоугольными стеновыми блоками, нагруженными опирающимися на оба блока сборными элементами;
вращательным срезом (ГОСТ 21719-80);
электронно-акустическим, ультразвуковым и радиоизотопным каротажем.
3.16. Грансостав, плотность, удельный вес, влажность, пластичность и параметры сдвига определяют с учетом требований
ГОСТ 12536-79,
ГОСТ 5180-84,
ГОСТ 12248-78 с изм.
3.17. Лабораторные компрессионные исследования деформационных свойств грунтов, находившихся длительное время в основании существующих сооружений, производятся с учетом воздействия суммарных вертикальных

и горизонтальных

,

напряжений, определяемых по формулам:
В этих формулах:
где p0 - среднее дополнительное удельное давление на уровне подошвы фундамента от нагрузки на фундамент.
Коэффициенты

,

,

приведены в
табл. 4 для трех отношений сторон площади нагружения:
n =
a/
b = 1, 2 или 3 по вертикалям, проходящим по серединам продольных сторон фундаментов, как показано на схеме табл. 4 (наиболее вероятные места отбора монолитов из стенок шурфов). Для случаев, когда отбор монолитов производится у торцевых стенок прямоугольных фундаментов напряжения

,

и

определяют приближенно с использованием тех же коэффициентов, поскольку для этих точек

,

и

отличаются незначительно.
m = z/b | Точка 1 | Точка 2 | Точка 3 |
a/b = 1; x/b = 1; y/a = 0 | a/b = 2; x/b = 1; y/a = 0 | a/b = 3; x/b = 1; y/a = 0 |
| | | | | | | | |
0 | - | - | - | - | - | - | - | - | - |
0,25 | 0,497 | 0,282 | 0,294 | 0,494 | 0,328 | 0,328 | 0,496 | 0,351 | 0,326 |
0,5 | 0,479 | 0,213 | 0,178 | 0,487 | 0,26 | 0,26 | 0,49 | 0,281 | 0,279 |
0,75 | 0,444 | 0,156 | 0,101 | 0,481 | 0,201 | 0,201 | 0,487 | 0,22 | 0,235 |
1 | 0,4 | 0,112 | 0,055 | 0,46 | 0,151 | 0,151 | 0,471 | 0,168 | 0,195 |
1,25 | 0,355 | 0,079 | 0,028 | 0,435 | 0,112 | 0,112 | 0,453 | 0,126 | 0,16 |
1,5 | 0,312 | 0,055 | 0,013 | 0,41 | 0,081 | 0,081 | 0,434 | 0,093 | 0,13 |
1,75 | 0,274 | 0,038 | 0,004 | 0,38 | 0,058 | 0,058 | 0,411 | 0,068 | 0,105 |
2 | 0,24 | 0,026 | 0,000 | 0,351 | 0,041 | 0,041 | 0,386 | 0,047 | 0,084 |
3 | 0,146 | 0,005 | -0,005 | 0,244 | 0,008 | 0,008 | 0,29 | 0,011 | 0,033 |
4 | 0,095 | 0,000 | -0,005 | 0,168 | 0,001 | 0,001 | 0,213 | 0,001 | 0,011 |
5 | 0,066 | 0,002 | -0,004 | 0,121 | 0,003 | 0,003 | 0,16 | 0,004 | 0,003 |
6 | 0,048 | -0,002 | -0,003 | 0,096 | -0,003 | 0,003 | 0,123 | 0,004 | 0,000 |
7 | 0,036 | -0,002 | -0,002 | 0,069 | -0,003 | 0,003 | 0,096 | 0,004 | 0,002 |
8 | 0,028 | -0,001 | -0,002 | 0,054 | -0,003 | 0,003 | 0,076 | 0,004 | 0,002 |
9 | 0,023 | -0,001 | -0,001 | 0,044 | -0,002 | 0,002 | 0,062 | 0,003 | 0,002 |
10 | 0,018 | -0,001 | -0,001 | 0,036 | -0,002 | 0,002 | 0,052 | 0,004 | 0,002 |
Зависимости для расчета величин

, при которых следует выполнять предварительное уплотнение образцов в компрессионном приборе, в соответствии с различным сочетанием вертикальных и горизонтальных напряжений и структурной прочности, приведены в табл. 5. Значения

для глинистых грунтов в зависимости от коэффициента пористости
e и показателя текучести
IL приведены в
прил. 2.
Таблица 5
Сочетание исходных данных | Эквивалентные давления предварительного уплотнения образца грунта ненарушенной структуры в компрессионном приборе  |
| где  | (2) |
| где  | (3) |
| где  | (4) |
| где  | (5) |
| где  | (6) |
Последовательность испытаний принимается следующей: образцы грунта нагружают в компрессионном приборе до уровня

; после стабилизации деформаций при

образцы нагружают ступенями по 0,05 МПа (0,5 кгс/см
2) до давления 0,2 МПа (2 кгс/см
2), не менее.
Модули деформации определяют в диапазоне давлений от

до

. Для определения структурной прочности можно воспользоваться формулой, полученной А. Утеновым,
где

и
c - прочностные характеристики грунта.
В тех случаях, когда требуется определять модули возвращающейся деформации (устройство котлована вблизи существующего фундамента, частичное снятие нагрузки с реконструируемого существующего фундамента), а также модули вторичной деформации (возвращение грунта в котлован, возвращение ранее снятой частичной нагрузки) следует: после стабилизации деформаций при давлении

уменьшить давление до уровня

, где
pсн принимается по заданию, а при его отсутствии принимается
pсн = 0,1 МПа при

и
pсн = 0,2 МПа при

; промежуточные значения принимаются по интерполяции. Соответственно модули вторичной деформации определяются в диапазоне давлений от

до

.
3.18. Лабораторные компрессионные исследования деформационных свойств грунтов основания, находящегося вне области влияния существующих зданий, проводят в следующей последовательности: образцы ненарушенной структуры нагружаются до уровня собственной массы грунта; затем образцы разгружают; потом вторично нагружают ступенями по 0,05 МПа до давления 0,4 МПа. Модуль деформации Eк определяется по результатам компрессионных испытаний, вычисляется в диапазоне давлений 0,1 - 0,2 МПа.
3.19. В том случае, когда изыскания производятся на площадке, где не ожидается повышения уровня воды, компрессионные испытания выполняются на образцах природной влажности. При прогнозе подтопления испытания выполняются на образцах природной влажности и водонасыщенных.
3.20. Величина модуля деформации по лабораторным данным корректируется коэффициентом условий работы mк = Eш/Eк, где Eш - модуль деформации по результатам штамповых исследований. Для расчетов влияния вновь возводимых зданий на существующие использование справочных данных о деформационных и прочностных свойствах грунтов не допускается.
3.21. При определении деформационных свойств грунтов в основании существующих зданий статическим зондированием величина модуля деформации вычисляется по корреляционной зависимости pg (Eк, mк), где pg - сопротивление погружению зонда.
3.22. Величина коэффициента Пуассона

определяется по СНиП 2.02.01-83, прил. 2,
п. 10.
3.23. Шурфы для отбора грунта используются с целью обследования подземных конструкций и уточнения глубины заложения и размеров фундаментов, состояния гидроизоляции и материала фундаментов, наличия и размеров свай, состояния грунта несущего слоя, обратной засыпки и т.п.
3.24. После отбора образцов и обследования конструкций шурфы должны быть заполнены грунтом при влажности на пределе раскатывания послойным уплотнением до плотности в сухом состоянии

.
3.25. Прогноз изменений уровня грунтовых вод производится согласно Рекомендациям по прогнозам подтопления промышленных предприятий грунтовыми водами, ВОДГЕО, ЦНИИС, 1976.
4. МЕТОДИКИ РАСЧЕТА ПЕРЕМЕННЫХ КОЭФФИЦИЕНТОВ
ЖЕСТКОСТИ, ОСАДОК И КРЕНОВ СУЩЕСТВУЮЩИХ ФУНДАМЕНТОВ
ОТ ВЛИЯНИЯ ФУНДАМЕНТОВ ВНОВЬ ВОЗВОДИМЫХ ЗДАНИЙ
4.1. Методика расчета влияния нового ленточного фундамента на существующий ленточный фундамент. Вблизи существующего ленточного фундамента (1) возводится новый фундамент (2), тоже ленточный. Существующий фундамент характеризуется шириной ленты
a1 суммарной вертикальной нагрузкой
N1 и суммарным внешним моментом
M1 (рис. 1). Основание принято однородным со своими интегральными параметрами
C1 и
S. Так как фундамент возведен давно, под этим фундаментом слой основания на некоторой глубине уплотнен и имеет интегральный параметр

. Новый фундамент имеет свои
a2,
N2,
M2. Основание однородное неуплотненное. Расстояние между фундаментами
c приведено на рис. 1. Все величины, характеризующие существующее сооружение и основание под ним, записывают с индексом "с", а для нового фундамента - "н".
Рис. 1
а) Схема расположения существующего
и нового ленточных фундаментов
б) Сечение по линии I - I
1 - новый фундамент; 2 - существующий фундамент
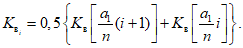
Расчет переменных коэффициентов жесткости основания существующего фундамента с учетом вновь возводимого сооружения ведется в следующем порядке.
1. Составляется расчетная схема.
2. Определяются интегральные характеристики основания существующего фундамента без учета и с учетом упрочнения основания.
3. Определяются сдвиговые силы взаимодействия на границе нагруженного участка, переменные коэффициенты жесткости основания, средняя осадка фундамента с учетом упрочнения основания.
4. Определяются интегральные параметры основания нового фундамента, сдвиговые силы на границах фундамента, средний коэффициент жесткости основания и средняя осадка фундамента, а также осадки окружающей поверхности.
5. Определяются переменные коэффициенты жесткости основания существующего фундамента с учетом влияния вновь возводимого, используя переменные коэффициенты жесткости и средний коэффициент жесткости существующего фундамента.
Рассмотрим перечисленные этапы расчета.
Расчетная схема
Каждый из рассматриваемых фундаментов рассчитывается как одиночный. При этом основание расчленяется на прямоугольные участки единичной ширины. Кромки участков приурочиваются к кромкам фундаментных лент. Так как расчет учитывает работу каждого фундамента как одиночного, то схема содержит только один фундамент, существующий или вновь возводимый.
Между участками основания вводятся неизвестные сдвиговые силы взаимодействия Xс - для расчета существующего фундамента и Xн - для расчета нового влияющего фундамента.
Расчет осадки одиночного
существующего ленточного фундамента
По СНиП 2.02.01-83,
прил. 2 определяется нижняя граница сжимаемой толщи
Hр, а именно:
1. Определяют дополнительное напряжение на грунт на глубине z от подошвы фундамента

(7)
где

определяется по СНиП 2.02.01-83,
табл. 1, прил. 2.
2. На той же глубине определяют вертикальное напряжение от собственной массы грунта


(8)
где
d - глубина заложения фундамента от уровня планировки (средняя в пределах здания);

- удельный вес грунта, расположенного выше подошвы фундамента.
3. Значение z, для которого

(9)
и есть величина

.
4. По исходной величине

определяют зоны деформирования слоев грунта отдельно для определения параметра
C1 -
Hр(
C1) и
S -
Hр(
S).

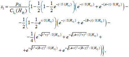
(10)
где

(11)
Примечание. Под знак суммы включаются залегающие непосредственно друг за другом под подошвой расчетного слоя

слабые слои грунта.

(12)
где

(13)
j - количество слоев, вошедшее в Hр(C1)с.
5. Определяют интегральный параметр

сопротивления основания сжатию без учета эффекта уплотнения

(14)

(15)

(16)
| | ИС МЕГАНОРМ: примечание. В официальном тексте документа, видимо, допущена опечатка: имеется в виду таблица 4 приложения 2 СНиП 2.02.01-83, а не таблица 4 СНиП 2.02.01-83. | |
где
j - количество слоев грунта, вошедшее в
Hр(
C1)
с;
hi - толщина
i-го слоя грунта;

- коэффициент Пуассона
i-го слоя грунта;
E0i - модуль деформации
i-го слоя грунта;
ki - коэффициенты, определяемые по СНиП 2.02.01-83,
табл. 4.
6. Определяется параметр распределительной способности основания
Sс = 0,177
Hр(
S) - 0,111
a1. (17)
7. Определяют интегральный параметр сопротивления основания сжатию с учетом эффекта уплотнения основания

(18)

(19)
где

- коэффициент повышения модуля деформации основания, учитывающий уплотнение грунтового ядра;

- коэффициент повышения модуля деформации, учитывающий длительное воздействие нагрузки на основание;

- коэффициент повышения модуля деформации, учитывающий восстановление сдвиговых связей в пластических зонах;
mg - коэффициент, учитывающий перераспределение пластических деформаций при работе фундамента на искривленном основании.
Учитывая
формулы (14),
(18),
(19), соответствующую корректировку можно проводить, не изменяя модуля деформации, а внося изменения сразу в интегральный параметр сопротивления основания сжатию, т.е.

(20)
8. Участок 4, нагруженный фундаментом, рассматривается как отдельно стоящий (рис. 2). При этом параметры основания считаются для уплотненного основания. Участкам окружающей поверхности приписываются параметры неуплотненного основания.
Рис. 2. Расчетная схема для существующего
ленточного фундамента
В этих предположениях сдвиговые силы взаимодействия в местах расчленения основания определяют из уравнений

(21)

(22)

(23)

(24)

(25)

(26)
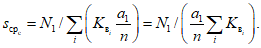
9. Определяют средний коэффициент жесткости нагруженного участка основания

(27)
10. Определяют среднюю осадку существующего фундамента с использованием среднего коэффициента жесткости

(28)
11. Определяют переменные коэффициенты жесткости нагруженного участка основания

(29)
где

;
a1 - длина нагруженного участка основания.
Участок предполагается разделенным на n частей. Длина каждого a1/n. Коэффициенты жесткости определяют в точках a1/n. Каждому участку разбиения приписывается постоянный коэффициент, равный среднему арифметическому значений, найденных на краях участка

(30)
12. Определяют среднюю осадку фундамента с использованием переменных коэффициентов жесткости

(31)
Расчет осадки нового ленточного фундамента
и его влияния на существующий
Расчет осадки фундамента нового здания производится так же, как и для существующего, но без учета упрочнения основания. При этом для нового ленточного фундамента определяется скорректированный модуль деформации основания

(32)
где

- коэффициент повышения модуля, учитывающий относительное уменьшение зон пластических деформаций с возрастанием площади фундамента

, если
bн <= 10 м,

, если
bн > 10 м.
По величине модуля
Eн определяется интегральный параметр

.
После определения средней осадки

рассчитываются осадки окружающей поверхности под существующим фундаментом как свободной

(33)
где
x - расстояние от ближайшей к новому фундаменту кромки существующего фундамента до рассматриваемой точки. Граница зоны влияния определяется по
п. 4.3.
Осадки определяются в тех же точках вида a1/n, что и переменные коэффициенты жесткости существующего фундамента.
Определение коэффициентов жесткости существующего
фундамента с учетом влияния вновь возводимого
Пусть средняя осадка существующего фундамента

, а
Kв.ср - средний коэффициент жесткости основания под ним, и пусть
sв(
x) - осадки влияния под фундаментом. Интегральный параметр сопротивления основания сжатию существующего фундамента

и нового фундамента

. Тогда коэффициенты жесткости существующего фундамента с учетом влияния определяются по формуле

(34)
Если существующий фундамент давно возведен и осадки основания под ним стабилизировались, в формуле (34)

, в противном случае

. Определение
Kв(
x) происходит в тех же точках, что и определение коэффициентов жесткости и осадок влияния.
Расчет осадок и крена существующего фундамента
с учетом вновь возводимого сооружения
1. Определяют величины суммарного реактивного отпора каждого участка основания под фундаментом (при sф = 1)

(35)
где Ri - считаем приложенным в геометрическом центре i-го участка.
2. Определяют координаты центра жесткости основания фундамента. Начало координат предполагается у левого края фундамента.

(36)
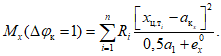
3. Определяют эксцентриситет равнодействующей внешних вертикальных нагрузок относительно центра жесткости основания рассматриваемого фундамента

(37)
где

- координата приложения равнодействующей внешних вертикальных нагрузок.
4. Определяют момент эксцентриситета равнодействующей внешних вертикальных нагрузок относительно центра жесткости основания

(38)
5. Определяют суммарный момент внешних сил относительно центра жесткости неоднородного основания

(39)
6. Определяют реактивный момент основания при единичном вертикальном перемещении крайней кромки фундамента вследствие ее поворота относительно центра жесткости основания

(40)
7. Определяют среднюю осадку фундамента с учетом влияния

(41)
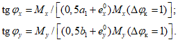
8. Определяют крен фундамента относительно центра жесткости основания

(42)
9. Определяют крен фундамента без учета влияния соседнего сооружения так же, как и с учетом влияния, используя средний коэффициент жесткости одиночного существующего фундамента

(43)
10. Определяют дополнительный крен фундамента, вызванный влиянием соседнего сооружения, как разность кренов без учета влияния соседнего фундамента и с учетом этого влияния.
11. Определяют дополнительную осадку фундамента, вызванную влиянием, как разность осадки с учетом и без учета влияния нового сооружения
(31) -
(41).
Если у торца существующей ленты возводится ленточный фундамент, то расчет зоны влияния производится по плоской полосе (рис. 3)
xmax определяется по указаниям
п. 4.3.
Рис. 3. Новый ленточный фундамент примыкает к торцу
существующего ленточного фундамента (случай I)
1 - новый ленточный фундамент; 2 - существующий
ленточный фундамент; 3 - расчетная граница
влияния нового фундамента (1) на существующий (2)
Если новый ленточный фундамент подходит к ленте торцом, то зона влияния рассчитывается так же, как и в случае влияния прямоугольного фундамента на ленту (рис. 4 и
п. 4.3).
Рис. 4. Новый ленточный фундамент примыкает
к продольной стороне существующего фундамента (случай II)
1 - новый ленточный фундамент; 2 - существующий
ленточный фундамент; 3 - расчетная зона влияния
4.2. Методика расчета влияния нового ленточного фундамента на существующий прямоугольный фундамент. Вблизи существующего прямоугольного фундамента возводится новый ленточный фундамент. Для того чтобы определить коэффициенты жесткости, осадки и крены существующего фундамента с учетом влияния, оба фундамента рассчитываются как одиночные так же, как и в ранее приведенной методике. Поскольку в обеих этих методиках новый фундамент ленточного типа, то все расчеты, с ним связанные (определение интегральных параметров
C1 и
S, глубины зоны деформирования, средней осадки и осадок окружающей поверхности) остаются такими же, как и в
п. 4.1.
Расчет осадки существующего прямоугольного фундамента
Рассмотрим существующий прямоугольный фундамент с размерами
a1 x
b1, с суммарной вертикальной нагрузкой
N1 и суммарным моментом
M1 
(рис. 5).
Рис. 5. Расчетная схема для нового
прямоугольного фундамента
1 - участок основания, нагруженный фундаментом

;

Предварительные нижние границы сжимаемой толщи основания

,
Hр(
C1)
с и
Hр(
S)
с для определения интегральных параметров основания существующего прямоугольного фундамента определяются по тем же формулам, что и для существующего ленточного фундамента,
формулы (7) -
(13).
Определение интегрального параметра сопротивления основания сжатию для существующего прямоугольного фундамента без учета эффекта упрочнения

и с его учетом

производится по
формулам (14) -
(20).
Определение распределительной способности основания существующего прямоугольного фундамента производится по
формуле (17), куда вместо ширины
a1 входит ширина существующего фундамента
b1.
Рассмотрим участок основания, нагруженный существующим фундаментом с упрочненным основанием, как отдельно стоящий (см.
рис. 5).
Основание на участке, непосредственно нагруженном фундаментом, имеет интегральные параметры, определенные с учетом упрочнения. Участкам окружающей поверхности приписывают параметры неуплотненного основания. Тогда суммарная жесткость основания существующего фундамента

(44)
средняя осадка фундамента

(45)
средний коэффициент жесткости основания под существующим фундаментом

(46)
По
формуле (34) определяют коэффициенты жесткости существующего фундамента с учетом нового ленточного фундамента.
Определение осадок и кренов
существующего фундамента с учетом влияния
1. Для расчета осадок и кренов существующего фундамента определяют коэффициенты жесткости основания фундамента в узлах сетки с размерами (a1/n1) (a2/n2) с учетом влияния. Например,
1,1 | 1,2 | 1,3 | 1,4 | 1,5 |
2,1 | 2,2 | 2,3 | 2,4 | 2,5 |
3,1 | 3,2 | 3,3 | 3,4 | 3,5 |
4,1 | 4,2 | 4,3 | 4,4 | 4,5 |
Начало отсчета предполагается в верхнем левом углу фундамента.
2. Определяют средние коэффициенты жесткости на каждом из участков, как среднее арифметическое значений, определенных в углах.
3. Определяют величины суммарных реактивных отпоров каждого участка
R (k, l) = Kн(k, l)F(k, l), (47)
где F(k, l) - площадь участка (k, l); R (k, l) считается приложенной в геометрическом центре участка (k, l).
4. Определяют координаты центра жесткости основания фундамента

(48)

(49)
Начало координат предполагается в левом верхнем углу системы.
5. Определяют эксцентриситет равнодействующей внешних вертикальных нагрузок относительно центра жесткости основания

(50)
где

,

- координаты точки приложения равнодействующей внешних вертикальных нагрузок.
6. Определяют моменты эксцентриситета равнодействующей внешних вертикальных нагрузок

(51)
7. Определяют суммарные моменты внешних сил относительно центра жесткости основания

(52)
8. Определяют реактивные моменты основания при единичном вертикальном перемещении наиболее удаленных от центра жесткости крайних кромок фундамента

(53)
9. Определяют среднюю осадку фундамента

(54)
10. Определяют крены фундамента относительно центра жесткости основания

(55)
11. Определяется крен фундамента без учета влияния соседнего нагружения так же, как и с учетом влияния, но используя средний коэффициент жесткости одиночного существующего фундамента

(56)
где

(57)
т.е.

(58)
12. Определяют дополнительные крены фундамента, вызванные влиянием соседнего сооружения, как разность кренов, определенных с учетом влияния и без него.
13. Аналогично определяется дополнительная осадка от влияния, как разность осадки с учетом влияния и осадки одиночного фундамента.
4.3. Методика расчета влияния нового прямоугольного фундамента на существующий ленточный фундамент. Вблизи существующего ленточного фундамента (1) сооружается некоторый прямоугольный фундамент (2). Существующий ленточный фундамент характеризуется шириной ленты -
a1, суммарной вертикальной нагрузкой
N1 и суммарным внешним моментом
M1.
Аналогично новый прямоугольный фундамент характеризуется размерами в плане
a2 x
b2 суммарной вертикальной нагрузкой
N2 и суммарным внешним моментом
M2 
(рис. 6).
Рис. 6. Расчетная схема для двух прямоугольных фундаментов
Для определения переменных коэффициентов жесткости ленточного фундамента с учетом влияния сооружающегося прямоугольного фундамента оба фундамента рассчитываются как одиночные, после чего средний коэффициент жесткости существующего фундамента уточняется с учетом влияния.
Расчет осадок существующего фундамента
Расчет существующего фундамента (ленточного) производится по
п. 4.1.
Расчет осадок нового фундамента
Расчет осадок нового прямоугольного фундамента производится по
п. 4.2 без учета упрочнения основания. Кроме того, для этого фундамента определяют осадки окружающей поверхности в зоне расположения существующего фундамента, как свободной, по
формуле (33).
Определение коэффициентов жесткости существующего
ленточного фундамента с учетом влияния вновь
сооружаемого прямоугольного фундамента
Предварительно для ленточного фундамента ограничиваем область учета влияния возводимого сооружения 5%-ным уровнем точности по отношению к собственному коэффициенту жесткости Kв.ср, т.е.
Kв(x) <= 0,95Kв.ср, (59)
что эквивалентно неравенству

(60)
Границу зоны определяют из уравнения

(61)
или

(62)
В узлах сетки с размерами (
a1/
n1) (
a2/
n2), попавшими внутрь зоны влияния, уточняют коэффициенты жесткости ленточного фундамента по
формуле (34).
На тех же участках основания, в узлах которых коэффициенты жесткости основания попали в зону влияния, определяют новые средние коэффициенты жесткости, как средние арифметические значений в углах участка.
В соответствии с изложенной выше методикой определяют коэффициенты жесткости основания существующего ленточного фундамента в зоне влияния на него фундамента вновь возводимого здания.
Затем определяют суммарную жесткость основания существующего ленточного фундамента; определяются осадки и крены ленты с учетом влияния соседнего фундамента и разности осадок и кренов, которые и являются дополнительными перемещениями, вызванными влиянием новых фундаментов.
4.4. Методика расчета влияния нового прямоугольного фундамента на существующий прямоугольный фундамент. Вблизи существующего здания или сооружения на прямоугольном фундаменте (1) возводится новое сооружение тоже на прямоугольном фундаменте (2). Существующий фундамент характеризуется размерами в плане
a1 x
b1, суммарной вертикальной нагрузкой
N1 и суммарным внешним моментом
M1 (

;

). Новый фундамент также характеризуется своими размерами в плане
a2 x
b2, суммарной вертикальной нагрузкой
N2 и суммарным внешним моментом
M2 (

;

). Взаимное расположение двух прямоугольных фундаментов в плане для различных возможных вариантов приведено ниже.
Для определения переменных коэффициентов жесткости существующего прямоугольного фундамента с учетом влияния нового фундамента оба фундамента рассчитываются как одиночные, после чего средний коэффициент жесткости существующего фундамента уточняется с учетом влияния.
Расчет осадки существующего фундамента
Расчет осадки производится по
п. 4.2.
Расчет осадки нового фундамента
Так как новый фундамент того же типа, что и существующий, расчет его как одиночного ведется в той же последовательности, но на неупрочненном основании. При этом модуль деформации основания определяется по
формуле (32).
Кроме того, для этого фундамента определяют осадки окружающей поверхности, свободной от нагрузки, по формуле

(63)
где r - расстояние между точкой, в которой определяется осадка, и точкой, ближайшей к ней, лежащей на кромке влияющего фундамента. Для различных рассматриваемых вариантов она будет определяться по-разному.
Определение коэффициентов жесткости существующего
прямоугольного фундамента с учетом влияния вновь
возводимого фундамента того же типа
Вариант 1. Если влияющий фундамент значительно меньше существующего или расстояние между ними достаточно велико, целесообразно ограничить область учета влияния 5%-ным уровнем точности изменения коэффициента жесткости. Граница этой области определяется следующим образом: в области I, где влияние принимают плоским, определяют
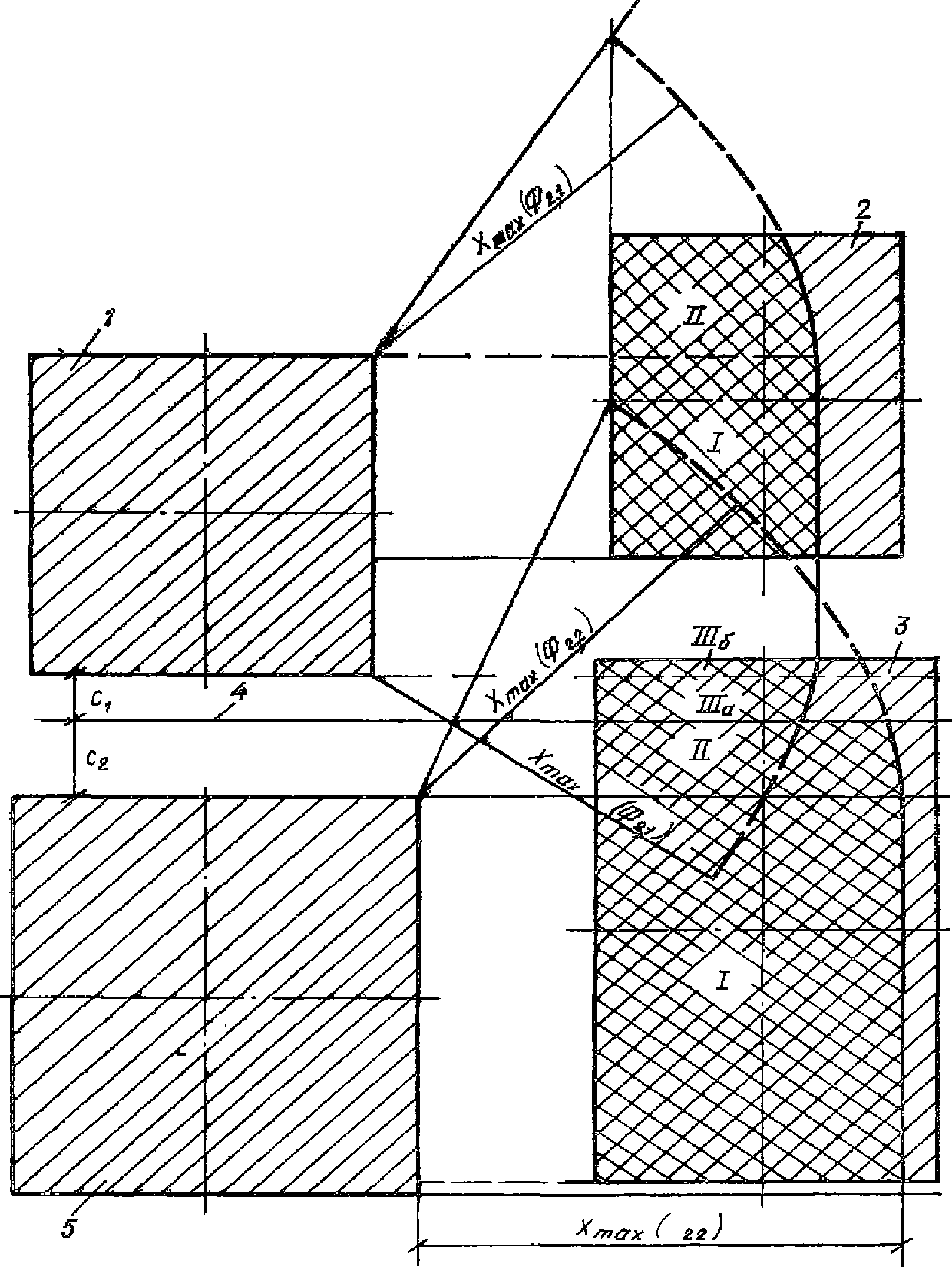
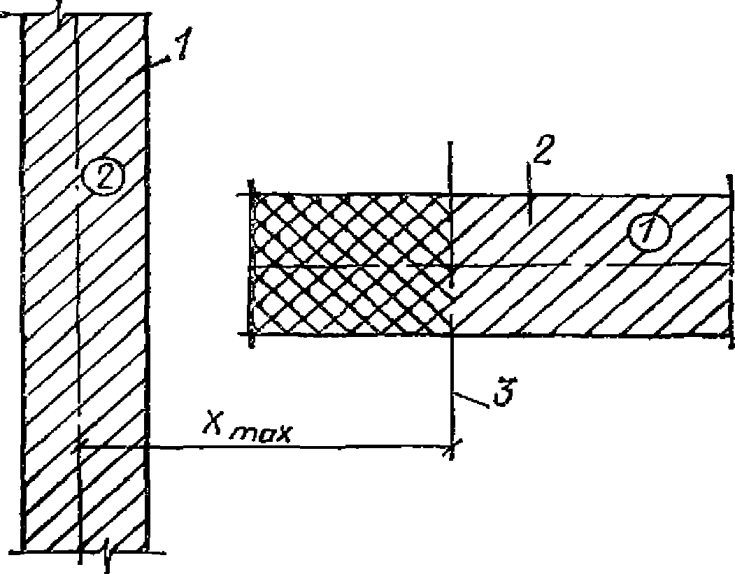
xmax из
уравнения (62); в зоне II границей служит часть окружности радиуса
xmax, имеющая центр в ближайшем к рассматриваемой зоне углу влияющего фундамента (рис. 7).
Рис. 7. Зоны влияния прямоугольного фундамента
1 - новый прямоугольный фундамент; 2 - существующий
прямоугольный фундамент; 3 - зона влияния II;
4 - зона влияния I; 5 - зона влияния II
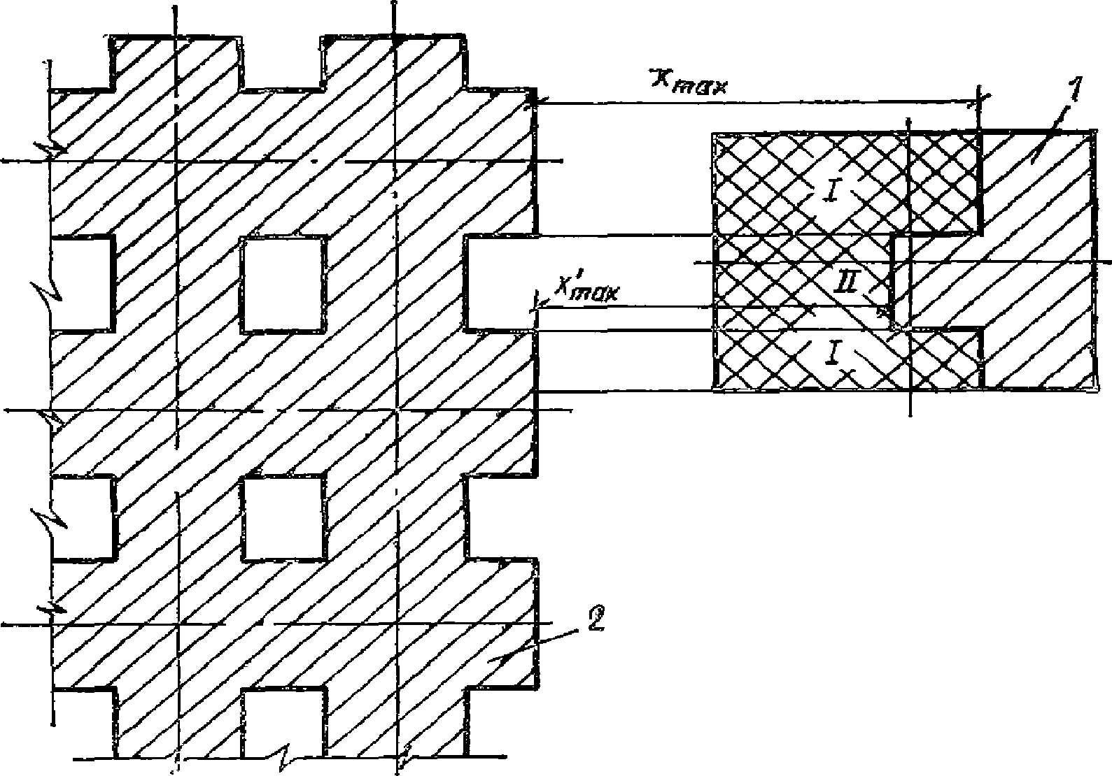
Вариант 2. Для этого варианта область II отсутствует и границей служит прямоугольник с xгр = xmax (рис. 8).
Рис. 8. Зона влияния прямоугольного
фундамента на прямоугольный
Вариант 3. Для случая произвольного расположения фундаментов границей зоны служит отрезок
AB, параллельный ближайшей кромке влияющего фундамента и лежащий на расстоянии
xmax от нее, отрезки прямых
CA и
DB, перпендикулярных
AB, проходящих через ближайшие углы влияющего фундамента и соответствующие кромки рассчитываемого фундамента. Границей зоны II является часть окружности радиуса
xmax с центрами в ближайших углах влияющего фундамента и границы рассчитываемого фундамента (рис. 9,
10).
Рис. 9. Зоны влияния малого прямоугольного фундамента
на большой (общий случай расположения)
Рис. 10. Зона влияния большого
прямоугольного фундамента на малый
В узлах сетки с размерами (
a1/
n1) (
a2/
n2), попавшими внутрь зоны влияния, уточняют коэффициенты жесткости рассчитываемого фундамента по
формуле (34).
Определение осадок и кренов
существующего прямоугольного фундамента
Определение осадок и кренов производится по
п. 4.2.
4.5. Методика расчета влияния новой прямоугольной фундаментной плиты на существующую прямоугольную фундаментную плиту. Вблизи существующей прямоугольной плиты возводится новая прямоугольная фундаментная плита (см.
рис. 6). Варианты их взаимного расположения и влияния друг на друга такие же, как в методике для двух отдельно стоящих фундаментов (см.
рис. 7 -
10). Сохраняются обозначения размеров и других исходных данных. Расчет каждой из плит ведется как одиночной.
Расчет осадок одиночной существующей фундаментной плиты
1. Определяют расчетную нижнюю границу сжимаемой толщи основания.
Если модули деформации всех слоев грунта E0i > 1000 т/м2 = 10 МПа

(64)
или

, где
p0 =
N1/(
a1b1), (65)
N1 - суммарная нагрузка на плиту;
a1 x b1 - размеры плиты;

,

- для глинистых грунтов;

и

- для песчаных грунтов.
Если основание сложено обоими видами грунтов, то расчетная нижняя граница сжимаемой толщи

(66)
где

- расчетная нижняя граница сжимаемой толщи, если предположить, что основание сложено только глинистыми грунтами;
hп - суммарная толщина слоев песчаных грунтов, расположенных в пределах слоя толщиной

.
Определяют зону деформирования основания
Hр(
C1)
с для нахождения интегрального параметра сопротивления сжатию

по
формулам (10) и
(11).
Определяют зону деформирования основания
Hр(
S)
с для нахождения интегрального параметра распределительной способности грунта по
формулам (12) и
(13).
2. Определяем расчетный приведенный модуль деформации основания по формуле

(67)
где j - количество слоев, вошедшее в Hр(C1)с;
mE = 1,35, если b1 <= 15 м;
mE = 1,5, если b1 > 15 м;
ki - определяется так же, как и для прямоугольного фундамента, где
n =
a1/
b1;

;

- число слоев до данного уровня.
3. Определяем приведенный коэффициент поперечного расширения грунта по формуле

(68)
4. Интегральный параметр сопротивления основания сжатию

без учета упрочнения основания определяем по
формуле (14).
5. Определяем интегральный параметр

с учетом упрочнения основания по
формуле (20).
6. Распределительную способность основания S определяем по
формуле (17), где вместо ширины ленты
a1 участвует ширина плиты
b1.
Таким образом, получены интегральные параметры основания существующей фундаментной плиты.
Параметры

и
S приписываются окружающей поверхности основания, а

и
S столбцу грунта, лежащему собственно под плитой.
7. Суммарную жесткость основания фундаментной плиты определяем по
формуле (44), а среднюю осадку фундаментной плиты - по
формуле (45).
Средний коэффициент жесткости основания под фундаментной плитой определяют по
формуле (46).
Расчет влияющей прямоугольной фундаментной плиты
Как указывалось выше, интегральные параметры этого фундамента определяют так же, как и для существующего фундамента, но без учета упрочнения основания, исходя из модуля

, где
Eн определяется по
формуле (32).
Зоны влияния выделяют так же, как для двух прямоугольных фундаментов, и весь дальнейший расчет ведется по этой методике со следующим дополнением. Расчетные ординаты осадок влияния новой фундаментной плиты определяют с учетом корректирующего коэффициента условий работы mпл = 1,4.
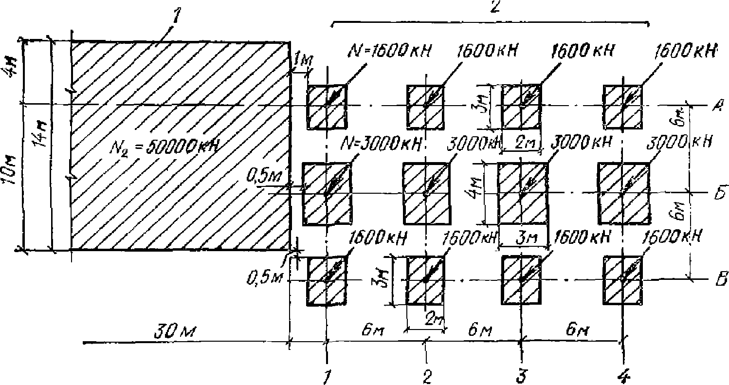
4.6. Методика расчета влияния новой системы прямоугольных фундаментов на существующую систему прямоугольных фундаментов. Вблизи существующего прямоугольного здания на системе фундаментов возводится новое здание тоже на системе фундаментов (рис. 11). Для каждого из фундаментов известны следующие величины:
размеры каждого из фундаментов и расстояния между ними;
суммарная нагрузка на каждый из фундаментов;
суммарный внешний момент для каждого из фундаментов;
взаимное расположение зданий;
расстояние между зданиями.
Рис. 11. Расчетные зоны влияния системы фундаментов
нового здания на систему фундаментов существующего здания
1 - система фундаментов нового здания;
2 - система фундаментов существующего здания
Величины, характеризующие существующее здание, имеют индекс с, а нового - н.
Каждое из рассматриваемых сооружений рассчитывается как одиночное.
Расчет существующей системы фундаментов
1. Определяют расчетную нижнюю границу сжимаемой толщи основания

(69)
где

- глубина от уровня подошвы фундаментов (средняя), на которой система отдельных фундаментов создает нагружение основания по общей площади;

- предварительная нижняя граница сжимаемой толщи основания, нагруженного по общей площади.
Расчетная зона

определяется как половина среднего расстояния между соседними фундаментами во всей системе.
Определяем расчетную глубину

.
Если основание сложено только глинистыми или только песчаными грунтами,

определяется по формуле

(70)
где

,

для глинистых грунтов;

;

для песчаных грунтов.
В этой формуле A - длина (расчетная) зона нагружения основания системы фундаментов, а B - ширина этой зоны.

;

, (71)
где aкр.ср = bкр.ср - средние размеры фундаментов, расположенных по периметру системы; 2a x 2b - расстояния между крайними осями системы в продольном и поперечном направлениях соответственно.
Если основание сложено глинистыми и песчаными грунтами, то

(72)
где

- расчетная зона основания в предположении, что оно сложено только глинистыми грунтами;
hп - суммарная толщина слоев песка, лежащего в пределах зоны

.
2. Определяем расчетный слой основания Hр(C1)с.

(73)

(74)
где

3. Расчетный слой основания Hр(S)с определяем по формуле

(75)

(76)
где

4. Определяем интегральный параметр сопротивления основания сжатию
C1. Для этого определяем приведенный модуль деформации основания в зоне

по
формуле (67).
Определяем приведенный модуль деформации основания

(77)
где

- модуль деформации основания в зоне

,

, где

- сумма площадей всех фундаментов системы;
p01 =
N/(
AB), где
N - суммарная вертикальная нагрузка на систему.
Определяют приведенный коэффициент поперечного расширения в зоне

.

(78)
Приведенный коэффициент поперечного расширения грунта определяем по формуле

(79)
Определяем интегральные параметры сопротивления основания сжатию
C1 для зон

и
Hр(
C1).

(80)

(81)
Интегральный параметр сопротивления основания сжатию с учетом упрочнения в каждой из зон равен

(82)
Распределительную способность основания определяем по
формуле (17), где
a1 - ширина ленты заменена шириной (расчетной) зоны нагружения
B.
Интегральные параметры
C1 и
S приписываются свободной окружающей поверхности, а

и
S основанию собственно под фундаментами.
Расчет новой системы фундаментов
Для новой системы фундаментов расчет производят в той же последовательности с едиными интегральными параметрами, полученными без учета упрочнения, исходя из модуля деформации основания
Eн, рассчитываемого по
формуле (32).
Определение средней осадки фундаментов в системе
Для тех фундаментов, которые находятся на периметре системы со стороны влияния сооружений, определяется средняя осадка
sср = s1 + s2 + s3, (83)
где s1 - фоновая осадка, т.е. осадка от воздействия суммарной нагрузки на основание системы фундаментов, ее определяют в центре рассматриваемого фундамента

(84)
где x, y - координаты точки в системе фундаментов в предположении, что начало координат в левом верхнем углу системы;

- фоновый интегральный параметр сопротивления основания сжатию

(85)
где

(86)

(87)
Осадка
s2, вызванная разностью средней интенсивности нагрузки системы и рассматриваемого фундамента на глубине

определяется по формуле

(88)
где

- площадь фундамента на глубине

,

(89)

(90)

(91)
Осадка
s3, вызванная средним давлением в зоне

, определяется по формуле

(92)
где

.
Для существующей системы фундаментов определяют средний коэффициент жесткости основания тех фундаментов, для которых определилась средняя осадка

(93)
Выделение зон влияния происходит аналогично случаю для двух одиночных прямоугольных фундаментов, но лишь до плоскости раздела между двумя новыми фундаментами
i и
j (рис. 12), которая определяется из уравнения

(94)
где c - расстояние в свету между фундаментами i и j.
Рис. 12. Фрагмент схемы зонирования
1 - фундамент системы фундаментов нового здания;
2 - фундамент системы существующего здания;
3 - фундамент системы фундаментов существующего здания;
4 - линия раздела зон влияния; 5 - фундамент
системы фундаментов нового здания
Осадки окружающей поверхности, осадки и крены фундаментов существующего сооружения определяют как для отдельных фундаментов.
При расчете рассматривается только влияние близлежащего крайнего ряда фундаментов на близлежащий. При этом влияние одного или нескольких близлежащих фундаментов учитывается для каждого фундамента отдельно.
Определяются крены фундаментов крайнего ряда, ближайшего к влияющей системе фундаментов

(95)
В этих формулах

и

вызваны разностью осадки на краях фундаментов

(96)
Здесь sл и sп - осадки соответственно у левого и у правого краев фундамента, а sв и sн - у верхнего и нижнего краев фундамента.

,

- крены фундаментов, вызванные внешним моментом

(97)
Определяем крены существующего сооружения без учета влияния по
формулам (95) - (97), но исходя из осадок, определенных без учета влияния.
Дополнительные крены определяем как разность кренов, полученных с учетом влияния и без него.
4.7. Методика расчета влияния новой системы перекрестных лент на существующую систему перекрестных лент. Вблизи существующего сооружения, возведенного на системе перекрестных лент, возводится новое сооружение на таких же фундаментах (рис. 13,
14).
Рис. 13. Фрагмент формирования зон влияния системы
перекрестных лент нового здания (1) на систему
перекрестных лент существующего здания (2)
Рис. 14. Схема членения основания на участки
конечных размеров и система их обозначения
Расчет одиночной системы перекрестных лент.
Определение нижней границы сжимаемой толщи
Определяем предварительную нижнюю границу сжимаемой толщи основания по
формуле (69),

(98)
при

(99)
при

при

(100)

при

(101)
где

,

- расстояния в свету между лентами в продольном и поперечном направлении;
N - суммарная нагрузка на систему перекрестных лент.
Определяем
A x
B - размеры области нагружения на глубине


(102)
Если основание сложено глинистыми и песчаными грунтами, то

определяют по
формуле (72).
Определение интегральных параметров
сопротивления основания сжатию C1 и сдвигу S
Определяем приведенный модуль деформации основания в зоне

по
формуле (67).
Определяем приведенный модуль деформации основания по
формуле (77), где
N - суммарная нагрузка на систему перекрестных лент;

- сумма площадей всех перекрестных лент.
Дальнейшие расчеты по определению интегральных параметров основания
C1 производятся по
п. 4.6,
формулы (78) -
(82).
Распределительную способность грунта в зоне

и
Hр(
S) определяем по формуле

(103)
S(Hр) = 0,177Hр(S) - 0,0111B. (104)
Для существующей системы перекрестных лент интегральные параметры определяют дважды с учетом упрочнения и без учета. Интегральные параметры, определенные без учета упрочнения, приписывают окружающей поверхности, а интегральные параметры с учетом упрочнения - основанию, непосредственно нагруженному системой перекрестных лент.
Расчет новой системы перекрестных ленточных фундаментов
Новая система перекрестных лент рассчитывается так же, как и существующая, но без учета упрочнения основания.
Интегральные параметры рассчитываются, исходя из модуля деформации основания
Eн, рассчитываемого по
формуле (32).
Определение среднего коэффициента жесткости и средней
осадки существующей и новой системы перекрестных лент
При определении средних значений коэффициентов жесткости оснований перекрестных ленточных фундаментов учитывают зоны упрочнения грунта в их основании и влияние примыкающих ненагруженных зон.
Определяют сдерживающие силы, действующие по периметру фундамента и внутреннего свободного пространства.
Определяют размеры ненагруженного участка основания, заключенного между перекрестными лентами
(рис. 15). Сдвиговая сила
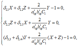
X на каждой стороне квадрата определяется из уравнения

(105)
где

;

(106)
следовательно,

(107)
Рис. 15. Фрагмент перекрестных ленточных фундаментов
X - сдвиговые силы между внутренними ненагруженными
участками основания и продольными и поперечными лентами
Если участок свободного пространства с одной стороны не перекрыт фундаментом
(рис. 16), то сдвиговые силы, действующие по границам фундаментов, находят из системы

(108)
где

(109)

(110)

(111)

(112)

(113)
Рис. 16. Фрагмент перекрестного ленточного фундамента
X, Y - сдвиговые силы на границах
дискретного участка и торцов лент
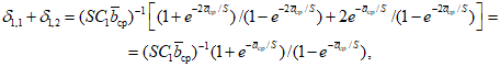
После того, как определены сдвиговые силы по периметру перекрестных лент, средний коэффициент жесткости Kв.ср определяется по формуле

(114)
Тогда средняя осадка системы перекрестных лент

(115)
Определение зон влияния происходит как при взаимодействии двух лент (плоская задача) (рис. 17).
Рис. 17. Фрагмент схемы зонирования
1 - новый фундамент (перекрестный ленточный);
2 - существующий фундамент (перекрестный ленточный);
3 - границы зон влияния нового фундамента на существующий
Торцы существующей ленты имеют осадку sср, а на ненагруженной границе сдвиговая сила Z дает осадку
s'ср = sсрZ/(C1Sb'ср). (116)
Переменные коэффициенты жесткости определяют в зоне влияния так же, как для прямоугольного фундамента
(п. 4.4).
4.8. Последовательность расчета влияния нового ленточного фундамента на существующую фундаментную плиту. Рассчитывают существующий одиночный прямоугольный плитный фундамент по
п. 4.5.
4.9. Последовательность расчета влияния нового ленточного фундамента на существующую систему прямоугольных фундаментов. Расчет существующей системы фундаментов производят по
п. 4.6; расчет нового ленточного фундамента - по
п. 4.1.
Зоны влияния ленточного фундамента (рис. 18) выделяют так, как это указано в
п. 4.3,
4.4.
Рис. 18. Фрагмент схемы зонирования
1 - ленточный фундамент нового здания; 2 - система
отдельных фундаментов существующего здания
Определение осадок и кренов системы производится по
п. 4.6.
4.10. Последовательность расчета влияния нового ленточного фундамента на существующую систему перекрестных лент. Существующую систему перекрестных ленточных фундаментов рассчитывают по
п. 4.7; новый ленточный фундамент - по
п. 4.1. По
п. 4.3,
4.4 выделяют зоны влияния и определяют переменные коэффициенты жесткости (рис. 19).
Рис. 19. Фрагмент схемы зонирования
1 - ленточный фундамент нового здания; 2 - система
перекрестных ленточных фундаментов существующего здания
4.11. Последовательность расчета влияния нового прямоугольного фундамента на существующую фундаментную плиту. Существующий плитный фундамент как одиночный рассчитывают по
п. 4.5.
Прямоугольный фундамент как одиночный - по
п. 4.4. По
п. 4.4 выделяют области влияния и определяют переменные коэффициенты жесткости, осадки и крены.
4.12. Последовательность расчета влияния нового прямоугольного фундамента на существующую систему прямоугольных фундаментов. Расчет системы фундаментов производят по
п. 4.6. Расчет нового прямоугольного фундамента, выделение зон влияния, переменных коэффициентов жесткости, осадок и кренов - по
п. 4.4 (рис. 20).
Рис. 20. Фрагмент схемы зонирования
1 - фундаментная плита нового здания;
2 - система фундаментов существующего здания
4.13. Последовательность расчета влияния нового прямоугольного фундамента на существующую систему перекрестных лент. Новый прямоугольный фундамент рассчитывают по
п. 4.4, а существующий по
п. 4.7. По той же методике рассчитывают зоны влияния и переменные коэффициенты жесткости (рис. 21).
Рис. 21. Фрагмент схемы зонирования
1 - фундамент нового здания; 2 - система перекрестных
ленточных фундаментов существующего здания
4.14. Последовательность расчета влияния новой фундаментной плиты на существующий ленточный фундамент. Существующий ленточный фундамент рассчитывается по
п. 4.1. Новый прямоугольный плитный фундамент и осадки окружающей поверхности - по
п. 4.5, зоны влияния и переменные коэффициенты жесткости по
п. 4.3.
4.15. Последовательность расчета влияния новой фундаментной плиты на существующий прямоугольный фундамент. Новый прямоугольный плитный фундамент и осадки окружающей поверхности под существующим фундаментом рассчитывают по
п. 4.5.
Определяются зоны влияния и рассчитываются осадки и крены по
п. 4.4.
4.16. Последовательность расчета влияния новой фундаментной плиты на существующую систему прямоугольных фундаментов. Расчет одиночного сооружения в системе фундаментов производится по
п. 4.6, а новой фундаментной плиты по
п. 4.5.
Расчет зон влияния, осадок окружающей поверхности, переменных коэффициентов жесткости, осадок и кренов производится по
п. 4.4 (см.
рис. 20).
4.17. Последовательность расчета влияния вновь возводимой фундаментной плиты на существующую систему перекрестных лент. Система перекрестных лент рассчитывается по
п. 4.7, новая прямоугольная фундаментная плита - по
п. 4.5 (
рис. 21, 22).
Рис. 22. Фрагмент схемы зонирования
1 - фундаментная плита нового здания; 2 - система
перекрестных ленточных фундаментов существующего здания
Выбор зон влияния производится по методике, изложенной в
п. 4.4,
4.5.
Переменные коэффициенты жесткости определяют по
п. 4.7.
4.18. Последовательность расчета влияния новой системы прямоугольных фундаментов на существующий ленточный фундамент. Расчет существующего ленточного фундамента производится по
п. 4.1, расчет нового сооружения на системе фундаментов - по
п. 4.6.
Зоны влияния выделяют для каждого фундамента крайнего ряда системы, ближайшего к ленте (рис. 23); как это указано в
п. 4.6. Переменные коэффициенты жесткости ленты определяют по
п. 4.6.
Рис. 23. Фрагмент схемы зонирования
1 - система отдельных фундаментов нового здания;
2 - ленточный фундамент существующего здания;
3 - система раздела зон влияния
4.19. Последовательность расчета влияния новой системы прямоугольных фундаментов на существующий прямоугольный фундамент. Рассчитывают существующий фундамент по
п. 4.4.
Расчет системы отдельных фундаментов, выделение зон влияния (рис. 24), определение переменных коэффициентов жесткости, осадок и кренов производится по
п. 4.6.
Рис. 24. Фрагмент схемы зонирования
1 - система отдельных фундаментов нового здания;
2 - фундамент отдельный под колонну;
3 - линия раздела зон влияния
4.20. Последовательность расчета влияния новой системы прямоугольных фундаментов на существующую фундаментную плиту. Расчет существующей фундаментной плиты ведется по методике, изложенной в
п. 4.5.
Расчет нового сооружения, возводимого на системе отдельных фундаментов, производится по
п. 4.6, выделение зон влияния производится по
п. 4.4,
4.5. При этом отдельно учитывается влияние каждого фундамента крайнего к плите ряда (рис. 25). Переменные коэффициенты жесткости, осадки и крены определяют по
п. 4.4.
Рис. 25. Фрагмент схемы зонирования
1 - система отдельных фундаментов нового здания;
2 - фундаментная плита существующего здания;
3 - линия раздела зон влияния
4.21. Последовательность расчета влияния вновь возводимой системы прямоугольных фундаментов на существующую систему перекрестных лент. Систему перекрестных ленточных фундаментов рассчитывают по
п. 4.7, систему отдельных фундаментов нового сооружения - по
п. 4.6.
Зоны влияния и переменные коэффициенты жесткости определяют как для случая влияния системы фундаментов на ленту (рис. 26 и
п. 4.6).
Рис. 26. Фрагмент схемы зонирования
1 - система отдельных фундаментов нового здания;
2 - система перекрестных ленточных фундаментов
существующего здания; 3 - фундамент Ф2н;
4 - линия раздела зон влияния; 5 - фундамент Ф1н
4.22. Последовательность расчета влияния вновь возводимой системы перекрестных лент на существующий ленточный фундамент. Существующий ленточный фундамент рассчитывают по
п. 4.1, новую систему перекрестных ленточных фундаментов - по
п. 4.7. По этой же методике определяют зоны влияния (рис. 27).
Рис. 27. Фрагмент схемы зонирования
1 - система перекрестных ленточных фундаментов
нового здания; 2 - существующий ленточный фундамент
Переменные коэффициенты жесткости, осадку и крены ленточного фундамента определяют по
п. 4.1.
4.23. Последовательность расчета влияния новой системы перекрестных лент на существующий прямоугольный фундамент. Существующий одиночный прямоугольный фундамент рассчитывают по
п. 4.4, новую систему перекрестных ленточных фундаментов и зоны влияния - (рис. 28) - по
п. 4.7.
Рис. 28. Фрагмент схемы зонирования
1 - отдельный существующий фундамент; 2 - система
перекрестных ленточных фундаментов нового здания
Переменные коэффициенты жесткости, осадки и крены определяют по
п. 4.4.
4.24. Последовательность расчета влияния вновь возводимой системы перекрестных ленточных фундаментов на существующую прямоугольную фундаментную плиту. Существующую фундаментную плиту рассчитывают по
п. 4.5, новую систему ленточных фундаментов и зоны влияния (рис. 29) - по
п. 4.7.
Рис. 29. Фрагмент схемы зонирования
1 - новая система перекрестных ленточных фундаментов;
2 - существующая фундаментная плита
Переменные коэффициенты жесткости, осадки и крены определяют по
п. 4.5.
4.25. Последовательность расчета влияния вновь возводимой системы перекрестных лент на существующую систему отдельных прямоугольных фундаментов. Существующую систему отдельных прямоугольных фундаментов рассчитывают по
п. 4.6, новую систему перекрестных ленточных фундаментов - по
п. 4.7. Зоны влияния (рис. 30) определяют по
п. 4.7, переменные коэффициенты жесткости, осадки и крены - по
п. 4.6.
Рис. 30. Фрагмент схемы зонирования
1 - система фундаментов существующего здания;
2 - новая система перекрестных лент
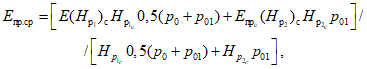
5. УЧЕТ РАЗЛИЧНОЙ ГЛУБИНЫ ЗАЛОЖЕНИЯ ПРИ РАСЧЕТЕ
ВЛИЯНИЯ НОВОГО НА СУЩЕСТВУЮЩИЙ ФУНДАМЕНТ
Возможны три случая относительного положения фундаментов по глубине: новый и существующий фундаменты располагаются на одной отметке (все методики расчета, приведенные в
пп. 4.1 -
4.25, построены применительно к этому случаю).
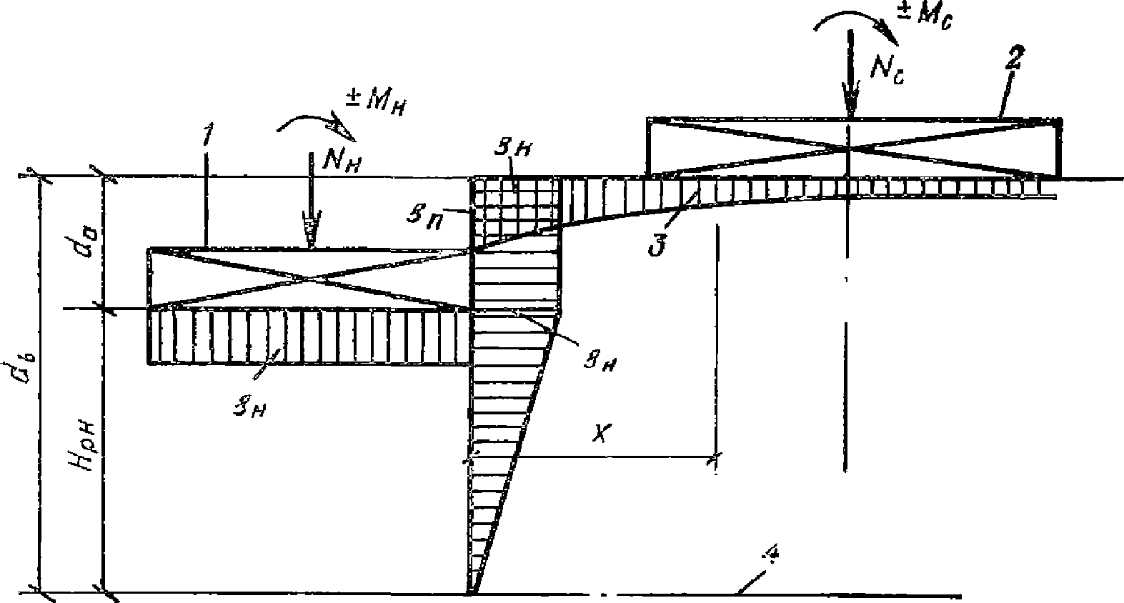
Во втором случае (рис. 31) расчетные предпосылки остаются такими же, как принятые в методиках по первому случаю.
Рис. 31. Схема расчета влияния нового фундамента
на существующий (второй случай)
1 - новый фундамент; 2 - существующий фундамент; 3 - осадки
влияния; 4 - подошва расчетного слоя нового фундамента
Дополнительно учитывают следующие особенности, вызываемые различным заглублением нового и существующего фундаментов:
осадка нового фундамента
sн (на уровне подошвы) определяется с учетом его заложения на меньшей расчетной глубине

;
осадка основания нового фундамента на уровне, отвечающем положению подошвы существующего фундамента
sн.с определяется отношением глубины слоя
db к глубине слоя

при

, т.е.

(117)
где
db - расстояние между подошвой существующего фундамента и подошвой слоя

(см.
рис. 31);
осадка влияния нового фундамента на существующий на уровне подошвы последнего определяют по формуле

(118)
где x - расстояние от ближайшей к существующему фундаменту кромки нового фундамента до точки, в которой определяется осадка, а параметр распределительной способности S(db) определяется для слоя db.
Определив осадки влияния s(x), как указано, расчет дополнительных осадок, кренов и усилий в существующих фундаментах производится в соответствии с указаниями приведенных методик.
В третьем случае
(рис. 32) расчетные предпосылки аналогичны принятым в основных методиках. Дополнительно учитываются следующие особенности:
осадка нового фундамента
sн определяется с учетом его заложения на большей расчетной глубине

;
осадка основания нового фундамента на уровне подошвы существующего фундамента
sн.с определяется без учета влияния слоя

, поскольку этот слой может оказаться разрыхленным при выемке котлована под новый фундамент. Следовательно,
sн.с =
sн;
осадка влияния нового фундамента на существующий на уровне подошвы последнего определяется по формуле

(119)
Рис. 32. Схема расчета влияния нового фундамента
на существующий (третий случай)
1 - новый фундамент; 2 - существующий фундамент;
3 - осадки влияния S(x); 4 - подошва
расчетного слоя нового фундамента
Далее все расчетные операции производятся, как указано в
пп. 4.1 -
4.25.
При расчете влияния разнозаглубленных фундаментов следует одновременно рассмотреть вопрос о необходимости учета влияния выемки грунта из котлована нового здания. При мелком заложении новых фундаментов (нового котлована) влиянием выемки грунта можно пренебречь. При глубине заложения их более 3 м учет влияния нового котлована рекомендуется производить по методике, приведенной в разд. 6. Изложенное не снимает вопроса о проверке основания существующего фундамента по первому предельному состоянию, поскольку при выемке грунта вблизи фундамента такая проверка может стать необходимой.
6. МЕТОДИКА УЧЕТА ВЛИЯНИЯ ВЫЕМКИ ГРУНТА КОТЛОВАНА ВНОВЬ
ВОЗВОДИМЫХ СООРУЖЕНИЙ НА ФУНДАМЕНТЫ СУЩЕСТВУЮЩИХ СООРУЖЕНИЙ
Котлованы новых сооружений, возводимых вблизи существующих сооружений, оказывают существенное влияние на осадки, крены и усилия в фундаментах последних.
Можно выделить два основных вида воздействия котлованов новых сооружений на близрасположенные существующие фундаменты:
влияние разбухания и разуплотнения грунта основания, вызываемое снятием нагрузки, равной массе столбца грунта от поверхности до уровня подошвы котлована. В результате происходят: некоторый подъем основания, поднятие фундаментов существующего сооружения и их крены в сторону котлована;
влияние выемки грунта котлована ниже уровня подошвы существующих фундаментов.
Выемка котлована для нового здания ниже уровня подошвы существующего фундамента приводит к уменьшению зоны деформирования основания существующих фундаментов и, как следствие, к дополнительным их осадкам и кренам в сторону котлованов.
При расположении дна котлована выше подошвы существующих фундаментов хотя и имеет место этот фактор, но он не учитывается, так как обычно расчеты фундаментов и усилий в фундаментах производятся из условия, что поверхность основания и подошвы фундаментов находится на одном уровне.
Котлованы устраивают либо с откосами, либо со стороны фундаментов существующего здания ограждают шпунтовой стенкой (при расположении котлована в непосредственной близости от существующего фундамента).
Рассмотрим три варианта.
Вариант 1. Влияние котлована с откосом на осадки и крены существующего фундамента.
1. Исходные данные для расчета.
Рассматривается плоская задача влияния котлована на существующий фундамент (протяженность котлована принимаем большой).
Расчетная модель основания - слой конечной толщины.
Деформации основания, вызываемые выемкой грунта из котлована, определяют с учетом модуля деформации Eупруг при разгрузке после первичного нагружения грунта. Модули деформации Eупруг из учета упругой составляющей деформации при разгрузке определяют по результатам штамповых натурных испытаний по формуле

(120)
где
D - диаметр штампа;

- коэффициент Пуассона;

- давление, в диапазоне которого определяется модуль упругой деформации;

- упругая составляющая деформации при разгрузке от уровня нагрузки, соответствующего пределу пропорциональности, до нуля (либо до первой ступени нагрузки).
При отсутствии данных полевых испытаний допускается использовать результаты лабораторных компрессионных испытаний (ветвь разгрузки) и переходные коэффициенты, приведенные в "Руководстве по проектированию оснований", Стройиздат, 1978 г.
Коэффициент Пуассона определяют по табличным данным.
При отсутствии тех или других данных для предварительного расчета допускается определять модуль упругой деформации по формуле

(121)
где
E0 - модуль общей деформации грунта; определяется по СНиП 2.02.01-83
табл. 1 и
3 прил. 1;

- коэффициент упругой деформации. Для глинистых грунтов

; для песчаных грунтов

;
mE - коэффициент, приведенный в
п. 4.5.
Основание существующего фундамента принимается упрочненным (в связи с длительным загружением); коэффициенты упрочнения основания принимают по методикам расчета влияния новых фундаментов на существующие фундаменты различных типов (см.
прил. 2).
2. Расчетная схема системы приведена на рис. 33.
Рис. 33. Схема расчета влияния выемки грунта котлована
вновь возводимого сооружения на существующий фундамент
1 - существующий фундамент; 2 - осадка поверхности
основания при выемке грунта котлована
Слой конечной толщины идентифицируется совокупностью дискретных участков с размерами: по глубине - равной расчетному слою конечной толщины; по ширине - в зоне плоской части котлована расчетный дискретный участок принимается в виде бесконечной четверти плоскости; в зоне откоса - равной заложению откоса; в зоне расположения существующего фундамента - в виде неограниченной четверти плоскости.
3. Расчетную глубину слоя Hр определяем по формуле
Для глины

;

; для песков

;

.
Bр = L - a2, где L - общая ширина котлована по верхней бровке;

, где

.
4. Определяем интегральные параметры сопротивления основания.
C1, кН/м2, находим по формуле
S определяем по
формуле (17), где
Hр(
S) =
Hр, а вместо
a1 вводим
Bр =
L -
a2.
5. Определяем неизвестные сдвиговые силы
X1 и
X2 взаимодействия между дискретными участками от нагрузки разуплотнения

.
Составляем систему уравнений равенства нулю перемещений связи, в плоскостях раздела основания на участки.
При этом
Коэффициенты при неизвестных X1 и X2 рассчитываем по формулам
где s0 = (2SC1)-1;
Коэффициенты AТ и BТ определяем из уравнения интенсивности для трапециевидной нагрузки.
Для случая треугольной нагрузки с интенсивностью в начале координат

BТ = BТ/a2 = 0; KТ = KТ(x - a2).
Коэффициенты
KТ определяются по таблицам, приведенным в
прил. 1, при
a =
a2,
x =
a2 и

(начало координат в левом углу участка).
В этой формуле
AТ и
BТ те же, что и при определении

.
KТ находим по тем же таблицам при
a =
a2 и
x = 0.
Найдя коэффициенты и разрешив систему уравнений, находим неизвестные сдвиговые силы X1 и X2.
6. Ординаты осадок влияния котлована на существующий фундамент определяем по формулам
s(x) = 2s0e-(c + x)/S,
где c - расстояние от кромки котлована до ближней кромки фундамента, а начало координат находится у левого края существующего фундамента;
s0 = +/- X2/(2SC1),
тогда
s(x) = +/- [X2/(2SC1)]e-c + x/S.
Если в результате решения системы уравнений сила направлена вверх, то значение принимаем со знаком плюс, если вниз, то со знаком минус.
7. Определяем исходные средние коэффициенты жесткости основания существующего фундамента (как одиночного или системы, но без учета влияния котлована), а также переменные коэффициенты жесткости основания существующего фундамента с учетом влияния соседнего котлована нового сооружения. Производится расчет осадок, кренов и усилий в существующем фундаменте с учетом влияния ординат соседнего котлована.
Расчеты производят в соответствии с методиками
4.1 -
4.25 по расчету влияния новых фундаментов на существующие.
В случаях, когда подошвы котлована расположены выше или ниже уровня существующего фундамента, расчет по этой методике производится с учетом особенностей, приведенных в методике расчета влияния разнозаглубленных фундаментов, с тем отличием, что в рассматриваемом случае осадки влияния определяют от выемки грунта котлована, а не от влияния фундамента.
Вариант 2. Влияние котлована без откоса с устройством ограждающей шпунтовой стенки.
В этом варианте участок 2, в пределах которого располагается откос котлована, отсутствует. С учетом этого ведется расчет по
варианту 1, но составляется всего одно уравнение сдвиговых сил в плоскости раздела участка, где располагается котлован, и участка, где располагается фундамент.
Горизонтальные перемещения шпунтовой стенки и грунта, их влияние на основание существующего фундамента можно не учитывать при условии, что глубина заделки шпунта не менее чем вдвое превышает глубину ограждения (глубину котлована).
Вариант 3. Влияние глубокого котлована (дно котлована ниже уровня подошвы существующего фундамента).
Расчет состоит из двух частей.
1 часть. Расчет влияния выемки грунта котлована на существующий фундамент. Расчет выполняется по
варианту 1.
2 часть. Расчет дополнительных перемещений существующего фундамента вследствие снижения расчетной нижней границы сжимаемой толщи существующего фундамента, вызванной выемкой грунта из котлована.
Во всех случаях учитываются вертикальные деформации. Проверка на прочность, устойчивость массива, откоса, нагруженного существующим фундаментом или системой фундаментов, обязательна, производится общепринятыми методами и в настоящей работе не рассматривается.
Расчетная схема имеет вид, показанный на рис. 34.
Рис. 34. Схема расчета влияния выемки грунта
котлована на существующий фундамент
1 - котлован нового здания; 2 - существующий фундамент
Особенности расчетной схемы. Основание фундамента существующего здания рассматривается как система дискретных участков различной толщины:
в зоне основной части котлована участок 1 с толщиной слоя
в зоне откоса участок 2 со средней толщиной слоя h2
в зоне слева от фундамента участок 3 с толщиной слоя

, где

- расчетная нижняя граница сжимаемой толщи основания фундамента существующего здания;
в зоне непосредственно под существующим фундаментом - участок 4 с тем же слоем толщиной

;
в зоне справа от существующего фундамента участок 5 с тем же слоем

.
Исходные характеристики грунта
E0 и

принимают для участков 1, 2, 3, 5; для участка 4
Eупр и

- с учетом упрочнения.
В плоскостях раздела на участки вводится четыре неизвестных сдвиговых силы взаимодействия X1, X2, X3, Х4.
Основание нагружается нагрузкой N1, передающейся через существующий фундамент 1.
Последовательность расчета
1. Производят расчет фундамента 1 существующего здания на основании в виде слоя постоянной толщины
Hр (без учета влияния на толщину слоя котлована) по методикам
4.1 -
4.25.
Определяют осадки, крены, переменные коэффициенты жесткости, усилия. Основание непосредственно под фундаментом - упрочненное.
2. Производится расчет фундамента на основании переменной толщины (см.
рис. 34) с учетом устройства заглубленного котлована. Составляется система уравнений, находятся
X1,
X2,
X3,
X4, определяется осадка, крен, коэффициенты жесткости, усилия.
3. Производится сравнение результатов расчета по
пп. 1 и 2. Определяют разности осадок, кренов усилий как результат влияния котлована в расчете по
п. 2.
4. Результаты расчета по
п. 1 (эффект поднятия основания) суммируются с результатами по п. 3 (разность результатов расчетов по
п. 1). Суммарные данные и являются решением.
Все зависимости для определения коэффициентов при неизвестных, расчета
Xi, осадок, кренов, характеристик упрочнения грунта и расчета коэффициентов жесткости приведены в методиках расчета влияния новых фундаментов на существующие (
п. 4.1 -
4.25).
При этом перемещения основания от влияния котлована определяется по формуле
Введем следующие обозначения
Тогда
Вычисленные величины коэффициента
KТ приведены в таблицах
прил. 2.
7. МЕТОДИКА ОПРЕДЕЛЕНИЯ РАСЧЕТНЫХ ДАВЛЕНИЙ
НА УПРОЧНЕННОЕ ОСНОВАНИЕ ПРИ ВЗАИМНОМ ВЛИЯНИИ
СУЩЕСТВУЮЩИХ И НОВЫХ ФУНДАМЕНТОВ ЗДАНИЙ И СООРУЖЕНИЙ
Приводится приближенная оценка расчетного давления на упрочненное основание, построенная на результатах сопоставления вертикальных сдвиговых сил для случаев однородного и упрочненного оснований с учетом взаимного влияния фундаментов.
Расчет по приближенной методике ведется в следующей последовательности.
Производится расчет существующего фундамента (Ф
1) на естественном основании (без учета зоны упрочнения). Определяется расчетное давление на основание
R0 (СНиП 2.02.01-83).
Производится расчет существующего фундамента на естественном основании. Расчет выполняется методом интегральных дискретных элементов оснований. В числе других характеристик определяется сдвиговая сила взаимодействия между дискретными элементами основания, в том числе в плоскости у края фундамента (Xлев и Xправ).
Производится расчет существующего фундамента с учетом упрочненной зоны основания. Расчет выполняется методом интегральных дискретных элементов основания. В этом варианте расчета также определяются сдвиговые силы взаимодействия, в том числе в плоскости у края фундамента (Xупр.лев и Xупр.прав).
Определяется величина расчетного давления на основание с учетом влияния зоны упрочнения грунта в основании существующего фундамента

(122)
В тех случаях, когда производится реконструкция здания или сооружения и нагрузки на фундаменты возрастают, а влияние новых соседних зданий или сооружений отсутствует, производят проверку по среднему давлению
p под подошвой фундамента, равному

. Если в результате проверки
p меньше
Rупр, уширения фундамента не требуется, если
p >
Rупр, усиление фундамента или укрепление основания необходимо.
В случаях, когда на существующие фундаменты оказывают влияние фундаменты нового сооружения, следует учесть соответствующее дополнительное влияние на Xупр деформаций основания, вызванных осадками поверхности вокруг нового фундамента.
На рис. 35 схематично показаны существующий Ф1 и новый Ф2 фундаменты и осадки от последнего.
Рис. 35. Осадки влияния нового
фундамента Ф2 на существующий Ф1
Осадки влияния Ф
2 на Ф
1 u вызывает в грунте сдвиговые силы

,

, направленные вниз, т.е. в сторону, противоположную силе
X, возникающей в этой зоне от Ф
1. Поэтому проверку
Rупр с учетом влияния Ф
2 по этой кромке производить не следует. Осадки влияния Ф
2 на основание у правой кромки 2 (см.
рис. 35) вызывают сдвиговую силу

меньшей величины. Поэтому за расчетную следует принимать кромку 2, более удаленную от влияющего фундамента Ф
2.
Сдвиговая сила

определяется по формуле

(123)

- интегральный параметр сопротивления сжатию расчетного слоя
Hр природного (неупрочненного) основания,
b1 - ширина фундамента Ф
1.
Пример 1. Расчет влияния нового ленточного фундамента на существующий ленточный фундамент (осадки, крены, переменные коэффициенты жесткости основания; плоская задача)
Исходные данные
Размеры фундаментов, относительное положение и нагрузки показаны на рис. 36.
Рис. 36. Схема расположения фундаментов, нагрузки, размеры,
1 - новый ленточный фундамент; 2 - существующий
ленточный фундамент
Основание: модель основания - расчетный слой конечной толщины; модуль деформации
E = 20000 кН/м
2; коэффициент Пуассона

; удельный вес

.
Коэффициенты упрочнения основания существующего фундамента:

;

;

.
Коэффициенты условий работы основания: существующего фундамента
mg = 0,85; нового фундамента

.
Расчет существующего фундамента
Определение глубины зоны деформирования основания
z, м | | | | | | z, м |
7,2 | 165,6 | 33,12 | 0,175 | 204 | 35,7 | 7,2 |
7,6 | 172,8 | 34,56 | 0,166 | 204 | 33,86 | 7,6 |
7,5 | 17,1 | 34,2 | 0,168 | 204 | 34,27 | 7,5 |
Таким образом, Hр = Hр(S) = Hр(C1) = 7,5 м.
Определение интегральных параметров основания окружающей поверхности
Определяем модуль деформации основания
Eс (без учета коэффициентов упрочнения

и

).
Определяем интегральный параметр сопротивления основания сжатию
C1 (без учета

,

)
Определяем распределительную способность основания S (единую для основания рассматриваемого ленточного фундамента)
S = 0,177Hр - 0,0111a1 = 0,177·7,5 - 0,0111·2 = 1,3 м.
Определение интегральных параметров основания (с учетом коэффициентов упрочнения

и

) под существующим фундаментом
Определяем модуль деформации грунта непосредственно в основании существующего фундамента
Определяем интегральный параметр сопротивления основания сжатию

непосредственно в основании существующего фундамента
Определение средней осадки существующего фундамента
Определяем сдвиговые силы на границах существующего фундамента (рис. 37).
Рис. 37. Схема определения средней осадки нового фундамента
Осадку фундамента определяем по формуле

где
N1 = 480 кН;
так как
b1 = 1, то

Сдвиговую силу

определяем по формуле
Определяем среднее значение коэффициента жесткости основания существующего фундамента
Определяем среднюю осадку существующего фундамента
Расчет нового фундамента
Определение глубины зоны деформирования основания
z, м | | | 2z/b | | |
8 | 180 | 36 | 5,333 | 0,234 | 38,3 |
8,5 | 189 | 37,8 | 5,667 | 0,222 | 35,7 |
8,2 | 183,6 | 36,7 | 5,467 | 0,228 | 37,4 |
Таким образом, глубина расчетного слоя зоны деформирования основания нового фундамента
Определение интегральных параметров основания
Определяем интегральный параметр сопротивления основания сжатию

Определяем параметр распределительной способности основания
Определение средней осадки нового фундамента
Определяем сдвиговые силы на границах нового фундамента
Xн = N2/[2 + a2/S] = 720/[2 + 3/1,4] = 174 кН.
Определяем средний коэффициент жесткости основания нового фундамента
Определяем среднюю осадку нового фундамента
Определение осадок влияния нового фундамента на основание существующего фундамента
Осадки влияния существующего фундамента определяют в основании через 0,5 м.
sв(0,5) = 0,0435e-1,5/1,4 = 0,0149 м = 1,49 см;
sв(1,0) = 1,05 см; sв(1,5) = 0,73 см;
sв(2,0) = 0,5 см.
Определение переменных коэффициентов жесткости основания существующего фундамента с учетом влияния нового фундамента
Коэффициенты жесткости определяют в тех же точках, что и осадки влияния (рис. 38).
Рис. 38. Расчетные ординаты эпюры коэффициентов жесткости
основания существующего фундамента (2) с учетом влияния
Kв(1,0) = 6500 кН/м3; Kв(1,5) = 6940 кН/м3;
Kв(2,0) = 7280 кН/м3.
Определение средней осадки существующего фундамента с учетом влияния
Для каждого участка длины l = 0,5 м определяют суммарные реактивные отпоры основания (при единичной осадке фундамента)
Определяем среднюю осадку существующего фундамента с учетом влияния
Средняя осадка влияния равна: 0,0372 - 0,0295 = 0,77 см.
Определение кренов существующего фундамента с учетом влияния
Определяем координату центра жесткости основания существующего фундамента
Определяем эксцентриситет равнодействующей внешних вертикальных нагрузок относительно центра жесткости основания (рис. 39).
Рис. 39. Эксцентриситет равнодействующей внешних
вертикальных нагрузок относительно центра жесткости
1 - существующий фундамент; 2 - центр жесткости основания;
3 - ось симметрии фундамента
Определяем момент эксцентриситета равнодействующей внешних вертикальных нагрузок
Определяем реактивный момент основания (при единичном перемещении дальней кромки фундамента при крене):
Крен фундамента относительно центра жесткости основания
Рекомендации по расчету усилий в существующем фундаменте с учетом влияния нового фундамента
Определяем реакции основания. Зная средние значения по участкам коэффициентов жесткости основания, осадку
s и крен

существующего фундамента, реакции основания определяют по зависимости
Здесь

- перемещение центра данной площадки (участка) от крена фундамента, определяемое по формуле
где xi - расстояние от оси, проходящей через центр жесткости основания, до середины данной площадки (участка).
Зная реакции и нагрузки на фундамент, общепринятыми методами определяем усилия - моменты и поперечные силы в фундаментах. Сопоставив их с усилиями без учета влияния нового фундамента, вычисляем дополнительные усилия, вызванные влиянием нового фундамента.
Пример 2. Расчет влияния нового прямоугольного фундамента на существующий прямоугольный (осадки, крены, переменные коэффициенты жесткости основания). Расположение фундаментов несоосное.
Исходные данные
Размеры фундаментов, относительное расположение в плане и нагрузки показаны на рис. 40.
Рис. 40. Схема взаимного расположения фундаментов,
1 - новый фундамент; 2 - существующий фундамент
Основание: модель основания - расчетный слой конечной толщины; модуль деформации
E0 = 12000 кН/м
2; коэффициент Пуассона

; удельный вес грунта

; коэффициент упрочнения основания существующего фундамента

;

;

; коэффициенты условий работы
mg = 0,9.
Расчет глубины зоны деформирования существующего фундамента
Определяем природное давление на уровне подошвы фундамента
Дополнительное к природному вертикальное давление на грунт по подошве фундамента
Определяем глубину зоны деформирования основания
z, м | | | 2z/b | | |
6,0 | 125,8 | 25,16 | 4,286 | 9,119 | 26,92 |
6,5 | 134,3 | 26,86 | 4,643 | 9,106 | 23,4 |
6,2 | 129,2 | 25,84 | 4,43 | 9,115 | 25,2 |
Таким образом, расчетная глубина зоны деформирования
Hр = Hр(C1) = Hр(S) = 6,2 м.
Расчет интегральных параметров основания существующего прямоугольного фундамента
Определяем модуль деформации основания непосредственно под фундаментом
Модуль деформации основания вокруг фундамента
Определяем значение интегрального параметра сопротивления основания сжатию непосредственно под фундаментом
Определяется интегральный параметр сопротивления основания сжатию окружающей зоны основания
Определяется параметр распределительной способности основания
S = 0,177Hр - 0,0111b1 = 0,177·6,2 - 0,0111·2,8 = 1,066 м.
Определение средней осадки существующего фундамента и среднего коэффициента жесткости
Определяем суммарную жесткость основания фундамента
Определяем среднюю осадку фундамента
Средний коэффициент жесткости основания фундамента
Расчет нового фундамента
Определение зоны деформирования нового фундамента
| | ИС МЕГАНОРМ: примечание. Шапка таблицы дана в соответствии с официальным текстом документа. | |
z, м | | | 2z/b | | |
8 | 159,8 | 31,96 | 4 | 0,136 | 37,56 |
8,4 | 166,6 | 33,32 | 4,2 | 0,122 | 33,7 |
Таким образом, Hр = Hр(S) = Hр(C1) = 8,4 м.
Расчет интегральных параметров основания нового прямоугольного фундамента
Определим модуль деформации основания
Интегральный параметр сопротивления основания сжатию
Определяем значение параметра распределительной способности основания
Определение средней осадки нового фундамента
Определяем среднюю суммарную жесткость основания фундамента
Средняя осадка фундамента
Определение осадок влияния нового фундамента на существующий
Осадки влияния определяют по сетке с ячейками размером 1 x 1 м.
Определяем границу зоны влияния нового фундамента на существующий (рис. 41).
1 - новый фундамент; 2 - существующий фундамент
Определяем осадку через 1 м в зоне плоского влияния (см. рис. 41, зона I).
s(0) = 0,0899e-0,6/1,442 = 0,0593 м;
s(1) = 0,0899e-1,6/1,442 = 0,0365 м;
s(2) = 0,0148 м; s(3) = 0,0074 м;
s(4) = 0,0049 м.
Определяем осадки в зоне влияния II. Так как участок углового влияния имеет ширину 0,8 м, в этой зоне определяем осадку влияния по границе фундамента. Для этого определяем расстояние от точек до угла влияния
Осадки влияния в этих точках определяем по формуле для расчета влияния на плоском участке (зона I), но с расстоянием ri.
s(0) = 0,0889e-1/1,442 = 0,045 м;
s(1) = 0,0889e-1,8/1,442 = 0,025 м;
s(2) = 0,013 м; s(3) = 0,006 м; s(4) = 0,0046 м.
Определение переменных коэффициентов жесткости основания существующего фундамента с учетом влияния нового фундамента
Определяем коэффициенты жесткости в зоне плоского влияния
Kв(2) = 5427 кН/м3; Kв(3) = 5962 кН/м3;
Kв(4) = 6167 кН/м3.
Эпюра коэффициентов жесткости на участке плоской полосы влияния показана на рис. 42 (а).
Рис. 42. Расчетные коэффициенты жесткости основания
а) коэффициент жесткости основания в зоне плоской полосы
влияния; б) коэффициенты жесткости основания в угловой зоне;
в) средние коэффициенты жесткости участков основания;
1 - новый фундамент; 2 - существующий фундамент
Определяем коэффициент жесткости по границе фундамента в угловой зоне II.
Kв(2) = 5548 кН/м3; Kв(3) = 6075 кН/м3;
Kв(4) = 6193 кН/м3.
Эпюра коэффициентов в угловой зоне по границе фундамента показана на
рис. 42 (б).
Определение осадки существующего фундамента с учетом влияния соседнего нового фундамента
Определяем средние значения коэффициентов жесткости участков основания (
рис. 42 (в)); величины суммарных реактивных отпоров каждого участка, величины суммарных реактивных отпоров участков существующего фундамента (при единичном перемещении).
Значения

приведены ниже
3916,5 | 4862,5 | 5694,5 | 3638,7 |
3916,5 | 4862,5 | 5694,5 | 3638,7 |
3324 | 4021 | 4602 | 2957,5 |
Определяем среднюю осадку существующего фундамента
Дополнительная осадка фундамента, вызванная влиянием фундамента 2.
Определение крена существующего одиночного прямоугольного фундамента с учетом влияния нового прямоугольного фундамента
Определяем координаты центра жесткости основания фундамента (по оси OX относительно края фундамента)
Определяем эксцентриситет равнодействующей внешних вертикальных нагрузок относительно центра жесткости основания (по оси OX)
Определяем аналогичные величины

и

по оси
OY
Определяем моменты эксцентриситета равнодействующей внешних вертикальных нагрузок
Реактивные моменты основания при единичном вертикальном перемещении (при крене) наиболее удаленных от центра жесткости крайних кромок существующего фундамента
Определяем крены фундамента относительно центра жесткости основания
Реакции основания с учетом влияния на существующий фундамент нового фундамента и усилия в фундаменте определяем по указаниям, приведенным в
примере 1.
Пример 3. Расчет влияния новой фундаментной плиты на существующую систему прямоугольных фундаментов каркасного здания (осадки, крены, переменные коэффициенты жесткости основания)
Исходные данные
Габариты, относительное расположение фундаментов в плане и нагрузки показаны на рис. 43.
Рис. 43. Схема взаимного расположения фундаментов, размеры,
1 - фундаментная плита нового здания; 2 - существующее
каркасное здание
Основание: модель основания - расчетный слой конечной толщины, глинистые грунты; модуль деформации грунта
E0 = 12000 кН/м
2; коэффициент Пуассона

; удельный вес грунта

; коэффициенты упрочнения основания

;

; коэффициенты условий работы основания - для системы фундаментов
mg = 0,9;

;
для новой фундаментной плиты
mп.л = 1,4;
mg = 1;

.
Расчет существующей системы фундаментов каркасного здания
Глубина зоны деформирования основания
Определяем

, как среднее расстояние между фундаментами в системе
Определяем величину

. Для этого определяем сначала суммарную нагрузку на систему и размеры общей площади нагружения основания системы фундаментов
N1 = 1600·8 + 3000·4 = 24800 кН;
Hр = (9 + 17,8·15)[24800/(23,8·17,8) + 700]10-3 = 8,2 м.
Таким образом, расчетная глубина зоны деформирования основания составляет:
Расчет интегральных параметров существующей системы отдельных фундаментов C1 и S
Определяем модуль деформации основания непосредственно под фундаментами
Модуль деформации основания в ненагруженной зоне основания
Определяем интегральный параметр сопротивления основания непосредственно под фундаментами
Интегральный параметр сопротивления основания сжатию вне фундаментов
Определяем параметр S распределительной способности основания
S = 0,177Hр - 0,0111B = 0,177·9,8 - 0,0111·17,8 = 1,54 м.
Определение средней осадки для каждого из фундаментов крайнего ряда системы (фундамента по ряду 1)
Осадки фундаментов определяем по формуле
sср = s1 + s2 + s3.
Для угловых фундаментов величины sср совпадают, поэтому в дальнейшем осадки будем определять для углового и среднего фундаментов.
Определяем
s1 для углового и среднего фундаментов в центре здания по
формуле (84).
Для последующего использования в расчете определим по приведенной формуле некоторые вспомогательные величины для углового фундамента
x = (A - 18)/2 = (23,8 - 18)/2 = 2,9 м;
y = (B - 12)/2 = (17,8 - 12)/2 = 2,9 м;
Фоновый параметр сжатия
Среднее удельное давление
p01 = (1600·8 + 3000·4)/(23,8·17,8) = 58,5 кН/м2.
e-x/S = e-y/S = e-2,9/1,25 = 0,0983;
e-(A - x)/S = e-(23,8 - 2,9)/1,25 = 0;
e-(B - y)/S = e-(17,8 - 2,9)/1,25 = 0.
Величины вида

.
Определив вспомогательные величины, вычисляем фоновую осадку фундамента А1 (равную осадке фундаментов В1), так как система симметрична.
s1 = 58,5{1 - 0,5(1 - 0,5·0,0983)(0,0983 + 0) -
- 0,5(1 - 0,5·0,0983)0,0983 - 0,25·0,0165}/2077 =
= 58,5·0,902/2077 = 0,025 м.
Определяются вспомогательные величины для крайнего фундамента Б1 среднего ряда системы
x = 2,9; y = 2,9 + 6 = 8,9 м;
p01 = 58,5 кН/м
2;
e-x/S = e-2,9/1,25 = 0,0983;
e-y/S = e-8,9/1,25 = 0,001;
e-(A - x)/S = e-(23,8 - 2,9)/1,25 = 0;
e-(B - y)/S = e-(17,8 - 8,9)/1,25 = 0,001.
Все оставшиеся выражения вида

равны 0.
Фоновую осадку фундамента Б2 определяем следующим образом:
s1 = 58,5{1 - 0,5(1 - 0,5·0,001)(0,0983 + 0) -
- 0,5(1 - 0,5·0,0983)(0,001 + 0,001) -
- 0,25(0 + 0 + 0 + 0)}/2077 =
= 58,5·0,900/2077 = 0,025 м.
Для рассчитываемых фундаментов определяем составляющую осадки s2 по формуле
Определяем вспомогательные величины для углового фундамента (А1, В1).
Площадь основания фундамента на уровне кровли слоя
Среднее давление на этом уровне
p0i = 1600/31,11 = 51,4 кН/м2.
Жесткость основания
Тогда
s2 = (51,4 - 58,5)31,11/124006 = -0,00178 м.
Определяем вспомогательные величины для крайнего фундамента среднего ряда (Б1).
p0i = 3000/(6,1·7,1) = 69,3 кН/м2;
Тогда
s2 = (69,3 - 58,5)43,31/160317 = +0,00291 м.
Для рассчитываемых фундаментов определяем осадку для угловых фундаментов А1, В1.
То же, для фундамента по среднему ряду Б1
s3 = 0,8(250 + 69,3)1,55/(2·16394) = 0,0122 м;
Таким образом, для угловых фундаментов крайнего ряда А1 и В1
sср = 0,025 - 0,002 + 0,012 = 0,035 м.
Для крайнего фундамента среднего ряда Б1
sср = 0,025 + 0,003 + 0,013 = 0,041 м.
Определение средних значений коэффициента жесткости основания фундаментов ближайшего к плите ряда 1
Для угловых фундаментов А1, В1
Kв.ср = N/(sсрF) = 1600/(0,035·6) = 7619 кН/м3.
Для среднего фундамента Б1
Kв.ср = N/(sсрF) = 3000/(0,041·12) = 6098 кН/м3.
Расчет осадки новой фундаментной плиты и окружающей поверхности
Определяем расчетную глубину зоны деформирования основания плиты
p0 = N2/Fпл. = 50000/(30·14) = 119 кН/м2;
Hр = Hр(C1) = Hр(S) = 9,1 м.
Интегральный параметр сопротивления основания сжатию
Определяем распределительную способность основания
S = 0,177·9,1 - 0,0111b1 = 0,177·9,1 - 0,0111·14 =
= 1,613 - 0,156 = 1,457 = 1,46 м.
Определяем жесткость основания фундаментной плиты
Cф = C1[a1b1 + 2(a1 + b1)S] = 1668[30·14 + 2(30 + 14)1,46] =
= 1668(420 + 128,5) = 1668·548,5 = 91400 кН/м.
Определяем среднюю осадку фундаментной плиты
sср = N2/Cф = 50000/91400 = 0,0547 м.
Средний коэффициент жесткости основания фундаментной плиты
Kв.ср = N2C1/[N2 - 2(a1 + b1)SC1sср] = 50000·1668/[50000 -
- 2(30 + 14)1,46·1668·0,0547] = 50000·1668/(50000 -
- 11730) = 50000·1668/38270 = 2175 кН/м3.
Определение зоны влияния плиты на системы фундаментов
Определяем плоскую границу зоны влияния для верхнего углового фундамента А1
xmax = -1,46 ln[0,05·0,035·1784/(0,0547·1668)] = 4,93 м;
для фундамента Б1
xmax = -1,46 ln[0,05·0,035·1784/(0,0547·1668)] = 4,93;
для фундамента В1
xmax = -1,46 ln[0,05·0,041·1784/(0,0547·1668)] = 4,7 м.
Определяем через 1 м осадки влияния углового фундамента А1. Так как влияние плоское, то это достаточно проделать по одной параллели

где
mпл = 1,4,
s(0) = 0,0547e-1/1,461,4 = 0,0547·0,504·1,4 = 0,0384 м;
s(1) = 0,0547e-2/1,461,4 = 0,0547·0,254·1,4 = 0,0195 м;
s(2) = 0,0547e-3/1,461,4 = 0,0547·0,13·1,4 = 0,0104 м.
Определяем осадки влияния через 1 м для фундамента Б1.
s(0) = 0,0547e-0,5/1,461,4 = 0,0547·0,71·1,4 = 0,0543 м;
s(1) = 0,0547e-1,5/1,461,4 = 0,0547·0,36·1,4 = 0,0275 м;
s(2) = 0,0138 м; s(3) = 0,007 м.
Определяем осадки влияния новой фундаментной плиты по площади фундамента В1 (рис. 44). Определяем расстояние от ближайшего угла новой фундаментной плиты до точек пересечения сетки.
Рис. 44. Фрагмент определения зоны влияния
(пример 3)
1 - новая фундаментная плита; 2 - фундамент В1 существующего
здания; 3 - граница зоны влияния плиты
s1п = 0,0547e-(1/1,46)1,12 = 0,0547·0,463 = 0,0253 м;
s2п = 0,0547e-(1/1,46)2,03 = 0,0547·0,294 = 0,0131 м;
s3п = 0,0547e-3,06/1,46 = 0,0547·0,118 = 0,0064 м;
s4п = 0,0547e-1,81/1,46 = 0,0547·0,289 = 0,0158 м;
s5п = 0,0547e-2,5/1,46 = 0,0547·0,179 = 0,0098 м;
s6п = 0,0547e-3,36/1,46 = 0,0547·0,093 = 0,0051 м;
s7п = 0,0547e-2,7/1,46 = 0,0547·0,157 = 0,0086 м;
s8п = 0,0547e-3,2/1,46 = 0,0547·0,112 = 0,0061 м;
s9п = 0,0547e-3,9/1,46 = 0,0547·0,069 = 0,0038 м;
| | ИС МЕГАНОРМ: примечание. Формула дана в соответствии с официальным текстом документа. | |
s10п = 0,0548e-3,64/1,46 = 0,0547·0,082 = 0,0045 м;
| | ИС МЕГАНОРМ: примечание. Формула дана в соответствии с официальным текстом документа. | |
s11п = 0,0548e-4,04/1,46 = 0,0547·0,063 = 0,0034 м;
| | ИС МЕГАНОРМ: примечание. Формула дана в соответствии с официальным текстом документа. | |
s12п = 0,547e-4,63/1,46 = 0,0547·0,043 = 0,0023 м.
Определяем среднее значение осадок влияния по участкам площади основания фундамента В1 (индексы даны по диагонали угловых точек).
s(1; 5)п = 0,016 м; s(2; 6)п = 0,0088 м;
s(4; 8)п = 0,0108 м; s(3; 4)п = 0,0062 м;
s(7; 11)п = 0,0056 м; s(9; 12)п = 0,0089 м.
Значения si,k определяем как средние из четырех значений по углам участков.
Коэффициенты жесткости на границах участков основания фундамента А1 с учетом влияния плиты.
Эпюра коэффициентов жесткости основания фундаментов А1 показана на рис. 45.
Рис. 45. Коэффициенты жесткости основания фундамента А1
1 - новая фундаментная плита; 3 - фундамент А1
Определяем коэффициент жесткости на границах участков основания фундамента Б1 с учетом влияния плиты.
Kв(2) = 4610 кН/м3, Kв(3) = 5260 кН/м3.
Эпюра коэффициентов жесткости основания фундамента В1 показана на рис. 46.
Рис. 46. Коэффициенты жесткости основания фундамента Б1
1 - новая фундаментная плита; 2 - фундамент Б1
Определяем средние коэффициенты жесткости участков основания фундаментов Б1 с учетом влияния плиты.
Kв(5; 9) = 6530 кН/м3; Kв(9; 12) = 6900 кН/м3;
Kв(7; 11) = 6630 кН/м3.
Полученные коэффициенты жесткости приведены на плане-схеме фундамента (рис. 47).
Рис. 47. Средние коэффициенты жесткости участков основания
Определяем суммарные жесткости оснований фундаментов А1, В1, Б1 с учетом влияния плиты.
Cф(А1) = [0,5(3852 + 5015) + 0,5(5015 + 6020)]1·3 =
= 29545 кН/м;
Cф(Б1) = [0,5(2730 + 3750) + 0,25(3750 + 4610) +
+ 0,5(4610 + 5260)]·4 = 49420 кН/м;
Cф(В1) = 5340·1 + 6170·1 + 5920·1 + 6530·1 + 6630·1 +
+ 6900·1 = 37490 кН/м.
Определяем средние осадки фундаментов с учетом влияния плиты
s(А1) = N(А1)/CфА1 = 1600/29545 = 0,054 м;
s(Б1) = N(Б1)/CфБ1 = 3000/49420 = 0,0617 м;
s(В1) = N(В1)/CфВ1 = 1600/37490 = 0,0426 м.
Отсюда дополнительные осадки, вызванные влиянием плиты, составляют
Определение кренов фундаментов А1, Б1, В1 с учетом влияния новой фундаментной плиты
Определяем положение центра жесткости основания, представленного коэффициентами жесткости, средними для отдельных участков
Определяется эксцентриситет нормальной силы относительно центра жесткости основания
Определяем реактивный момент основания (при единичном вертикальном перемещении крайней кромки фундамента при крене) относительно центра тяжести основания (рис. 48).
Рис. 48. Расчетная схема определения реактивных моментов
1 - ось, проходящая через центр жесткости основания
Момент внешней силы относительно центра жесткости
Определяем крен фундамента А1
Расчет крена фундамента Б1
Расчет ведем в той же последовательности, что и при определении крена фундамента А1.
Положение центра жесткости основания
Эксцентриситет нормальной силы
реактивный момент основания
момент внешней силы
крен фундамента Б1
Расчет крена фундамента В1
Положение центра жесткости основания
эксцентриситеты нормальной силы
реактивные моменты основания
моменты внешней силы относительно центра жесткости
крены фундамента В1
Реакции основания существующих фундаментов А1, Б1, В1 с учетом влияния новой фундаментной плиты и усилия в фундаментах определяют по указаниям, приведенным в
примере 1.
Пример 4. Расчет влияния нового ленточного фундамента на существующий заглубленный ленточный фундамент (осадки, крены, переменные коэффициенты жесткости; плоская задача)
Исходные данные
Размеры фундаментов, их относительное положение и нагрузки показаны на рис. 49.
Рис. 49. Взаимное расположение фундаментов, размеры,
1 - новый ленточный фундамент; 2 - существующий ленточный
фундамент
Основание: модель основания - расчетный слой конечной толщины
Hр; модуль деформации грунта
E0 = 20000 кН/м
2; коэффициент Пуассона грунта

; удельный вес грунта

.
Коэффициенты упрочнения основания существующего фундамента

;

;

.
Коэффициенты условий работы основания: существующего фундамента
mg = 0,85; нового фундамента

.
Исходные данные для расчета по
примеру 4 идентичны данным по
примеру 1, за исключением глубины заложения фундаментов. В
примере 1 глубина заложения обоих фундаментов одинакова - 2 м от уровня планировки; в
примере 4 подошва существующего фундамента принята на глубине 4,5 м, нового - на глубине 2 м.
Нагрузка на существующий фундамент в
примере 1 - 400 кН, в
примере 4 - 570 кН (с учетом разницы бытовых давлений).
Расчет осадок существующего фундамента. Определение глубины зоны деформирования основания
z, м | 2z/b | hi, м | | | | |
6 | 6 | 10,5 | 183,0 | 37,8 | 0,208 | 42,4 |
6,4 | 6,4 | 10,9 | 196,5 | 39,3 | 0,196 | 40 |
6,8 | 6,8 | 11,3 | 211,5 | 42,2 | 0,185 | 37,5 |
Таким образом,
Определение интегральных параметров основания окружающей поверхности существующего фундамента и непосредственно под фундаментом
Определяем модуль основания. Так же, как и в
примере 1 Eо = 22411 кН/м
2.
Определяется интегральный параметр сопротивления основания сжатию (без учета

и

)
Определяем распределительную способность основания, единую для расчетного слоя Hр = 6,4 м
S = 0,177Hр - 0,0111a1 - 0,177·6,4 - 0,0222 =
= 1,13 - 0,02 = 1,11 м.
Определяем интегральный параметр сопротивления основания сжатию непосредственно под существующим фундаментом (
Eупр см. в
примере 1)
Определение средней осадки существующего фундамента
Определяем средний коэффициент жесткости основания, нагруженного существующим фундаментом
Kв.ср = 4723·570/[570 - 2·133] = 8850 кН/м3.
Определяем среднюю осадку существующего фундамента
Определение осадки основания нового фундамента на уровне подошвы существующего фундамента
Осадка нового фундамента на уровне его подошвы (см.
пример 1)
Осадка основания нового фундамента на уровне подошвы существующего фундамента
sн.с в соответствии с рекомендациями, приведенными в
разд. 5, определяем из соотношения (см.
рис. 49).
откуда
Параметр распределительной способности слоя h1,2 определяем по формуле
S(h1,2) = 0,177h1,2 - 0,011a2 = 0,177·5,7 - 0,011·3 =
= 1,01 - 0,03 = 0,98 м.
Определение осадок влияния нового фундамента на существующий (на уровне подошвы последнего)
Расчет ведем по формуле
s1,2(0) = 0,0303e-1/0,98 = 0,0303·0,375 = 0,011 м = 1,1 см;
s1,2(0,5) = 0,0303e-1,5/0,98 = 0,0303·0,216 = 0,0067 м =
= 0,67 см;
s1,2(1) = 0,4 см; s1,2(1,5) = 0,24 см;
s1,2(2) = 0,14 см.
Определение переменных коэффициентов жесткости основания фундамента с учетом влияния нового фундамента
Расчет ведем по формуле
Kв(1) = 8250 кН/м3; Kв(1,5) = 8470 кН/м3;
Kв(2) = 8630 кН/м3.
Эпюра расчетных коэффициентов жесткости основания приведена на
рис. 50.
Рис. 50. Коэффициенты жесткости основания существующего
ленточного фундамента с учетом влияния нового ленточного
Определение средней осадки существующего фундамента с учетом влияния нового фундамента
Для каждого участка шириной 0,5 м определяем суммарную жесткость основания (при единичном перемещении фундамента)
Определяем суммарную жесткость основания существующего фундамента с учетом влияния нового фундамента
Определяем среднюю осадку существующего фундамента с учетом влияния нового фундамента
Определяем дополнительную осадку существующего фундамента
Определение крена существующего фундамента
Расчет кренов производится по аналогии с
примером 1. При этом коэффициенты жесткости основания существующего фундамента принимаются по расчету, выполненному в настоящем примере.
Рекомендации по расчету усилий в существующем фундаменте аналогичны изложенным в
примере 1.
ТАБЛИЦЫ КОЭФФИЦИЕНТА
Kт ДЛЯ РАСЧЕТА ОСАДОК ПОВЕРХНОСТИ
ДИСКРЕТНОГО ЭЛЕМЕНТА ОСНОВАНИЯ ОТ РАСПРЕДЕЛЕННОЙ
ТРАПЕЦИЕВИДНОЙ НАГРУЗКИ
Распределенная трапециевидная нагрузка, приложенная к поверхности основания на всем его протяжении, изменяется по линейному закону
q(x) = Ax + B.
Начало координат принимается у левого края элемента (рис. 51). В частном случае треугольной нагрузки B = 0.
Рис. 51. Элемент основания, нагруженный трапециевидной
нагрузкой
Осадки поверхности элемента в любой точке x определяют по формуле
s(x) = [ASKт + B]/(C1b),
где C1 и S - интегральные параметры основания;
b - ширина дискретного элемента.
Величины коэффициента
Kт, приведенные в таблицах настоящего приложения, определены для следующих значений длин элементов
a - 1; 2; 3; 4; 5; 6; 8; 10; 12; 15; 20; 30 в сочетаниях со следующими значениями

:

; 0,2; 0,25; 0,4; 0,5;

; 1; 2.
Точки x приняты с интервалом a/10.
a = 1
| x0 |
0 | 0,1 | 0,2 | 0,3 | 0,4 | 0,5 | 0,6 | 0,7 | 0,8 | 0,9 | 1 |
0,167 | 0,499 | 0,499 | 0,5 | 0,5 | 0,5 | 0,5 | 0,5 | 0,5 | 0,5 | 0,501 | 0,501 |
0,2 | 0,497 | 0,498 | 0,499 | 0,5 | 0,5 | 0,5 | 0,5 | 0,5 | 0,501 | 0,502 | 0,503 |
0,25 | 0,496 | 0,497 | 0,498 | 0,499 | 0,499 | 0,5 | 0,501 | 0,501 | 0,502 | 0,503 | 0,504 |
0,333 | 0,494 | 0,496 | 0,497 | 0,498 | 0,498 | 0,5 | 0,502 | 0,502 | 0,503 | 0,506 | 0,505 |
0,4 | 0,493 | 0,494 | 0,588 | 0,497 | 0,498 | 0,5 | 0,502 | 0,503 | 0,505 | 0,506 | 0,507 |
0,5 | 0,489 | 0,491 | 0,582 | 0,493 | 0,497 | 0,5 | 0,503 | 0,509 | 0,516 | 0,509 | 0,51 |
0,664 | 0,481 | 0,482 | 0,486 | 0,489 | 0,495 | 0,5 | 0,505 | 0,51 | 0,517 | 0,512 | 0,518 |
1 | 0,462 | 0,465 | 0,47 | 0,478 | 0,484 | 0,5 | 0,511 | 0,521 | 0,524 | 0,535 | 0,538 |
2 | 0,381 | 0,389 | 0,403 | 0,433 | 0,465 | 0,5 | 0,535 | 0,567 | 0,594 | 0,611 | 0,618 |
a = 2
| x0 |
0 | 0,2 | 0,4 | 0,6 | 0,8 | 1 | 1,2 | 1,4 | 1,6 | 1,8 | 2 |
0,164 | 0,989 | 0,99 | 0,99 | 0,995 | 0,999 | 1 | 1,001 | 1,005 | 1,01 | 1,01 | 1,011 |
0,2 | 0,986 | 0,987 | 0,989 | 0,993 | 0,994 | 1 | 1,006 | 1,007 | 1,011 | 1,013 | 1,014 |
0,25 | 0,98 | 0,982 | 0,985 | 0,988 | 0,994 | 1 | 1,006 | 1,012 | 1,015 | 1,018 | 1,022 |
0,333 | 0,966 | 0,969 | 0,97 | 0,978 | 0,99 | 1 | 1,01 | 1,012 | 1,03 | 1,031 | 1,034 |
0,4 | 0,949 | 0,95 | 0,96 | 0,973 | 0,984 | 1 | 1,025 | 1,028 | 1,04 | 1,039 | 1,051 |
0,5 | 0,915 | 0,93 | 0,943 | 0,958 | 0,977 | 1 | 1,023 | 1,033 | 1,057 | 1,04 | 1,085 |
0,667 | 0,873 | 0,881 | 0,908 | 0,934 | 0,965 | 1 | 1,036 | 1,059 | 1,092 | 1,119 | 1,127 |
1 | 0,762 | 0,777 | 0,868 | 0,87 | 0,909 | 1 | 1,123 | 1,264 | 1,132 | 1,316 | 1,138 |
2 | 0,483 | 0,516 | 0,6 | 0,718 | 0,855 | 1 | 1,155 | 1,287 | 1,4 | 1,484 | 1,52 |
a = 3
| x0 |
0 | 0,3 | 0,6 | 0,9 | 1,2 | 1,5 | 1,8 | 2,1 | 2,4 | 2,7 | 3 |
0,167 | 1,463 | 1,468 | 1,473 | 1,485 | 1,49 | 1,5 | 1,51 | 1,515 | 1,527 | 1,532 | 1,537 |
0,2 | 1,452 | 1,46 | 1,466 | 1,474 | 1,487 | 1,5 | 1,513 | 1,526 | 1,534 | 1,54 | 1,548 |
0,25 | 1,428 | 1,439 | 1,448 | 1,465 | 1,479 | 1,5 | 1,521 | 1,535 | 1,552 | 1,561 | 1,572 |
0,333 | 1,384 | 1,392 | 1,411 | 1,435 | 1,468 | 1,5 | 1,532 | 1,565 | 1,589 | 1,608 | 1,616 |
0,4 | 1,342 | 1,354 | 1,379 | 1,414 | 1,454 | 1,5 | 1,546 | 1,586 | 1,621 | 1,646 | 1,658 |
0,5 | 1,263 | 1,286 | 1,319 | 1,37 | 1,432 | 1,5 | 1,568 | 1,63 | 1,681 | 1,716 | 1,737 |
0,667 | 1,141 | 1,167 | 1,22 | 1,299 | 1,396 | 1,5 | 1,604 | 1,701 | 1,78 | 1,833 | 1,859 |
1 | 0,904 | 0,942 | 1,036 | 1,171 | 1,329 | 1,5 | 1,671 | 1,829 | 1,964 | 2,058 | 2,096 |
2 | 0,489 | 0,567 | 0,744 | 0,974 | 1,231 | 1,5 | 1,768 | 2,026 | 2,256 | 2,433 | 2,511 |
a = 4
| x0 |
0 | 0,4 | 0,8 | 1,2 | 1,6 | 2 | 2,4 | 2,8 | 3,2 | 3,6 | 4 |
0,167 | 1,921 | 1,927 | 1,939 | 1,952 | 1,982 | 2 | 2,018 | 2,048 | 2,061 | 2,073 | 2,079 |
0,2 | 1,895 | 1,903 | 1,919 | 1,945 | 1,969 | 2 | 2,031 | 2,055 | 2,081 | 2,097 | 2,105 |
0,25 | 1,848 | 1,858 | 1,881 | 1,913 | 1,953 | 2 | 2,047 | 2,087 | 2,119 | 2,142 | 2,152 |
0,333 | 1,746 | 1,759 | 1,799 | 1,858 | 1,928 | 2 | 2,072 | 2,142 | 2,201 | 2,241 | 2,254 |
0,4 | 1,655 | 1,677 | 1,734 | 1,81 | 1,899 | 2 | 2,101 | 2,19 | 2,266 | 2,323 | 2,345 |
0,5 | 1,525 | 1,552 | 1,628 | 1,733 | 1,861 | 2 | 2,139 | 2,267 | 2,372 | 2,448 | 2,475 |
0,667 | 1,320 | 1,354 | 1,463 | 1,616 | 1,801 | 2 | 2,199 | 2,384 | 2,537 | 2,646 | 2,68 |
1 | 0,968 | 1,033 | 1,202 | 1,497 | 1,709 | 2 | 2,291 | 2,503 | 2,798 | 2,967 | 3,032 |
2 | 0,5 | 0,624 | 0,9 | 1,244 | 1,617 | 2 | 2,383 | 2,756 | 3,1 | 3,376 | 3,5 |
a = 5
| x0 |
0 | 0,5 | 1 | 1,5 | 2 | 2,5 | 3 | 3,5 | 4 | 4,5 | 5 |
0,167 | 2,365 | 2,371 | 2,392 | 2,427 | 2,46 | 2,5 | 2,54 | 2,573 | 2,608 | 2,629 | 2,635 |
0,2 | 2,304 | 2,319 | 2,35 | 2,391 | 2,442 | 2,5 | 2,558 | 2,609 | 2,65 | 2,681 | 2,696 |
0,25 | 2,211 | 2,238 | 2,276 | 2,339 | 2,416 | 2,5 | 2,584 | 2,661 | 2,724 | 2,762 | 2,789 |
0,333 | 2,044 | 2,072 | 2,142 | 2,243 | 2,369 | 2,5 | 2,631 | 2,757 | 2,858 | 2,928 | 2,956 |
0,4 | 1,907 | 1,94 | 2,032 | 2,166 | 2,326 | 2,5 | 2,674 | 2,834 | 2,958 | 3,06 | 3,093 |
0,5 | 1,691 | 1,742 | 1,87 | 2,001 | 2,267 | 2,5 | 2,733 | 2,999 | 3,13 | 3,258 | 3,309 |
0,667 | 1,392 | 1,466 | 1,642 | 1,893 | 2,186 | 2,5 | 2,814 | 3,107 | 3,358 | 3,534 | 3,608 |
1 | 0,985 | 1,09 | 1,348 | 1,692 | 2,084 | 2,5 | 2,916 | 3,308 | 3,652 | 3,91 | 4,015 |
2 | 0,5 | 0,684 | 1,068 | 1,525 | 2,008 | 2,5 | 2,992 | 3,475 | 3,932 | 4,316 | 4,5 |
a = 6
| x0 |
0 | 0,6 | 1,2 | 1,8 | 2,4 | 3 | 3,6 | 4,2 | 4,8 | 5,4 | 6 |
0,167 | 2,841 | 2,837 | 2,84 | 2,895 | 2,942 | 3 | 3,058 | 3,105 | 3,16 | 3,162 | 3,159 |
0,2 | 2,682 | 2,702 | 2,751 | 2,822 | 2,908 | 3 | 3,092 | 3,178 | 3,249 | 3,298 | 3,318 |
0,25 | 2,535 | 2,563 | 2,633 | 2,743 | 2,863 | 3 | 3,137 | 3,257 | 3,367 | 3,437 | 3,465 |
0,333 | 2,281 | 2,328 | 2,44 | 2,597 | 2,788 | 3 | 3,212 | 3,403 | 3,56 | 3,672 | 3,719 |
0,4 | 2,077 | 2,137 | 2,277 | 2,487 | 2,732 | 3 | 3,268 | 3,513 | 3,723 | 3,863 | 3,923 |
0,5 | 1,807 | 1,881 | 2,073 | 2,343 | 2,659 | 3 | 3,341 | 3,657 | 3,927 | 4,119 | 4,192 |
0,667 | 1,452 | 1,552 | 1,803 | 2,154 | 2,564 | 3 | 3,436 | 3,846 | 4,197 | 4,448 | 4,548 |
1 | 0,992 | 1,141 | 1,492 | 1,95 | 2,464 | 3 | 3,536 | 4,05 | 4,508 | 4,859 | 5,008 |
2 | 0,5 | 0,75 | 1,246 | 1,814 | 2,404 | 3 | 3,596 | 4,186 | 4,754 | 5,25 | 5,5 |
a = 8
| x0 |
0 | 0,8 | 1,6 | 2,4 | 3,2 | 4 | 4,8 | 5,6 | 6,4 | 7,2 | 8 |
0,167 | 3,495 | 3,52 | 3,702 | 3,709 | 3,853 | 4 | 4,147 | 4,291 | 4,298 | 4,48 | 4,505 |
0,2 | 3,321 | 3,356 | 3,463 | 3,62 | 3,8 | 4 | 4,2 | 4,38 | 4,537 | 4,644 | 4,679 |
0,25 | 3,055 | 3,105 | 3,255 | 3,465 | 3,722 | 4 | 4,278 | 4,535 | 4,745 | 4,895 | 4,945 |
0,333 | 2,605 | 2,693 | 2,915 | 3,223 | 3,601 | 4 | 4,399 | 4,777 | 5,085 | 5,307 | 5,395 |
0,4 | 2,302 | 2,408 | 2,679 | 3,067 | 3,515 | 4 | 4,485 | 4,933 | 5,321 | 5,592 | 5,698 |
0,5 | 1,928 | 2,066 | 2,404 | 2,871 | 3,418 | 4 | 4,582 | 5,129 | 5,596 | 5,934 | 6,072 |
0,667 | 1,479 | 1,662 | 2,091 | 2,665 | 3,314 | 4 | 4,686 | 5,335 | 5,909 | 6,338 | 6,521 |
1 | 1 | 1,249 | 1,8 | 2,487 | 3,233 | 4 | 4,767 | 5,513 | 6,2 | 6,751 | 7 |
2 | 0,5 | 0,901 | 1,62 | 2,404 | 3,201 | 4 | 4,799 | 5,596 | 6,38 | 7,099 | 7,5 |
a = 10
| x0 |
0 | 1 | 2 | 3 | 4 | 5 | 6 | 7 | 8 | 9 | 10 |
0,167 | 4,08 | 4,13 | 4,28 | 4,4 | 4,734 | 5 | 5,266 | 5,6 | 5,72 | 5,87 | 5,92 |
0,2 | 3,81 | 3,88 | 4,06 | 4,33 | 4,653 | 5 | 5,347 | 6,67 | 5,94 | 6,12 | 6,19 |
0,25 | 3,52 | 3,58 | 3,81 | 4,14 | 4,556 | 5 | 5,444 | 5,86 | 6,19 | 6,42 | 6,48 |
0,333 | 2,79 | 2,93 | 3,27 | 3,764 | 4,371 | 5 | 5,629 | 6,236 | 6,73 | 7,07 | 7,21 |
0,4 | 2,42 | 2,58 | 3 | 3,593 | 4,274 | 5 | 5,726 | 6,407 | 7 | 7,42 | 7,58 |
0,5 | 1,98 | 2,19 | 2,697 | 3,384 | 4,164 | 5 | 5,831 | 6,616 | 7,303 | 7,81 | 7,02 |
0,667 | 1,5 | 1,765 | 2,388 | 3,189 | 4,07 | 5 | 5,93 | 6,811 | 7,612 | 8,235 | 8,5 |
1 | 1 | 1,368 | 2,135 | 3,049 | 4,016 | 5 | 5,984 | 6,951 | 7,865 | 8,832 | 9 |
2 | 0,5 | 1,067 | 2,009 | 3,002 | 4 | 5 | 6 | 6,998 | 7,991 | 8,933 | 9,5 |
a = 12
| x0 |
0 | 1,2 | 2,4 | 3,6 | 4,8 | 6 | 7,2 | 8,4 | 9,6 | 10,8 | 12 |
0,167 | 4,56 | 4,62 | 4,86 | 5,19 | 5,579 | 6 | 6,421 | 6,81 | 7,14 | 7,38 | 7,38 |
0,2 | 4,17 | 4,29 | 4,62 | 4,99 | 5,47 | 6 | 6,53 | 7,01 | 7,38 | 7,71 | 7,71 |
0,25 | 3,63 | 3,77 | 4,15 | 4,69 | 5,319 | 6 | 6,681 | 7,31 | 7,85 | 8,23 | 8,23 |
0,333 | 2,9 | 3,1 | 3,62 | 4,314 | 5,128 | 6 | 6,872 | 7,686 | 8,38 | 8,9 | 8,9 |
0,4 | 2,47 | 2,7 | 3,296 | 4,146 | 5,026 | 6 | 6,974 | 7,854 | 8,704 | 9,3 | 9,3 |
0,5 | 2 | 2,29 | 2,988 | 3,9 | 4,928 | 6 | 7,072 | 8,1 | 9,012 | 9,71 | 9,71 |
0,667 | 1,5 | 1,87 | 2,7 | 3,73 | 4,849 | 6 | 7,151 | 8,27 | 9,3 | 10,13 | 10,13 |
1 | 1 | 1,563 | 2,491 | 3,627 | 4,807 | 6 | 7,193 | 8,373 | 9,509 | 10,437 | 10,437 |
2 | 0,5 | 1,245 | 2,404 | 3,6 | 4,802 | 6 | 7,198 | 8,4 | 9,596 | 10,755 | 10,755 |
a = 15
| x0 |
0 | 1,5 | 3 | 4,5 | 6 | 7,5 | 9 | 10,5 | 12 | 13,5 | 15 |
0,167 | 5,11 | 5,24 | 5,47 | 6,16 | 7,24 | 7,5 | 7,76 | 8,84 | 9,53 | 9,76 | 9,89 |
0,2 | 4,53 | 4,71 | 5,07 | 5,81 | 6,786 | 7,5 | 8,214 | 9,19 | 9,93 | 10,29 | 10,47 |
0,25 | 3,81 | 4,06 | 4,59 | 5,431 | 6,41 | 7,5 | 8,59 | 9,569 | 10,41 | 10,94 | 11,19 |
0,333 | 2,95 | 3,27 | 4,02 | 5,074 | 6,149 | 7,5 | 8,851 | 9,926 | 10,98 | 11,73 | 12,05 |
0,4 | 2,48 | 2,86 | 3,719 | 4,874 | 6,061 | 7,5 | 8,939 | 10,126 | 11,281 | 12,14 | 12,52 |
0,5 | 2,06 | 2,441 | 4,438 | 4,7 | 6,021 | 7,5 | 8,979 | 10,3 | 11,562 | 15,559 | 12,94 |
0,667 | 1,5 | 2,053 | 3,201 | 4,573 | 6,003 | 7,5 | 8,997 | 10,427 | 11,799 | 12,947 | 13,5 |
1 | 1 | 1,723 | 3,05 | 4,505 | 6 | 7,5 | 9 | 10,495 | 11,95 | 13,277 | 14 |
2 | 0,5 | 1,525 | 3,001 | 4,5 | 6 | 7,5 | 9 | 10,5 | 11,999 | 13,475 | 14,5 |
a = 20
| x0 |
0 | 2 | 4 | 6 | 8 | 10 | 12 | 14 | 16 | 18 | 20 |
0,167 | 5,57 | 5,68 | 6,56 | 7,35 | 8,74 | 10 | 11,26 | 12,65 | 13,44 | 14,32 | 14,43 |
0,2 | 4,8 | 5,08 | 6 | 7,03 | 8,545 | 10 | 11,455 | 12,97 | 14 | 14,92 | 15,2 |
0,25 | 3,94 | 4,34 | 5,39 | 6,687 | 8,337 | 10 | 11,663 | 13,313 | 14,61 | 15,66 | 16,06 |
0,333 | 2,99 | 3,53 | 4,778 | 6,351 | 8,154 | 10 | 11,846 | 13,649 | 15,222 | 16,47 | 17 |
0,4 | 2,5 | 3,12 | 4,5 | 6,207 | 8,085 | 10 | 11,915 | 13,793 | 15,5 | 16,88 | 17,5 |
0,5 | 2 | 2,712 | 4,27 | 6,096 | 8,032 | 10 | 11,968 | 13,904 | 15,73 | 17,288 | 18 |
0,667 | 1,5 | 2,391 | 4,103 | 6,018 | 8,007 | 10 | 11,993 | 13,982 | 15,897 | 17,609 | 18,5 |
1 | 1 | 2,135 | 4,018 | 6,002 | 8 | 10 | 12 | 13,998 | 15,982 | 17,865 | 19 |
2 | 0,5 | 2,004 | 4 | 6 | 8 | 10 | 12 | 14 | 16 | 17,999 | 19,5 |
a = 30
| x0 |
0 | 3 | 6 | 9 | 12 | 15 | 18 | 21 | 24 | 27 | 30 |
0,167 | 5,92 | 6,55 | 8,1 | 10,14 | 12,668 | 15 | 17,332 | 19,86 | 21,9 | 23,45 | 24,08 |
0,2 | 4,97 | 5,71 | 7,46 | 9,747 | 12,427 | 15 | 17,573 | 20,253 | 22,54 | 24,29 | 25,03 |
0,25 | 4 | 4,88 | 6,885 | 9,4 | 12,216 | 15 | 17,784 | 20,6 | 23,115 | 25,12 | 26 |
0,333 | 3 | 4,11 | 6,406 | 9,12 | 12,072 | 15 | 17,928 | 20,88 | 23,594 | 25,89 | 27 |
0,4 | 2,5 | 3,75 | 6,228 | 9,063 | 12,022 | 15 | 17,978 | 20,937 | 23,772 | 26,25 | 27,5 |
0,5 | 2 | 3,456 | 6,098 | 9,022 | 12,008 | 15 | 17,992 | 20,978 | 23,902 | 26,544 | 28 |
0,667 | 1,5 | 3,203 | 6,027 | 9,003 | 12,001 | 15 | 17,999 | 20,997 | 23,973 | 26,797 | 28,5 |
1 | 1 | 3,05 | 6,002 | 9 | 12 | 15 | 18 | 21 | 23,998 | 26,95 | 29 |
2 | 0,5 | 3,001 | 6 | 9 | 12 | 15 | 18 | 21 | 24 | 26,999 | 29,5 |
ВЕЛИЧИНЫ СТРУКТУРНОЙ ПРОЧНОСТИ ГЛИНИСТЫХ ГРУНТОВ
В ЗАВИСИМОСТИ ОТ КОЭФФИЦИЕНТА ПОРИСТОСТИ И КОНСИСТЕНЦИИ
Грунт | Пределы консистенции |  при коэффициенте пористости e |
0,45 | 0,55 | 0,65 | 0,75 | 0,85 | 0,95 | 1,05 |
Супеси | 0 <= IL <= 0,25 | 0,727 | 0,577 | 0,489 | 0,4 | - | - | - |
0,25 < IL <= 0,75 | 0,632 | 0,48 | 0,4 | 0,32 | 0,2477 | - | - |
Суглинки | 0 <= IL <= 0,25 | 1,5 | 1,16 | 0,955 | 0,755 | 0,65 | 0,543 | - |
0,25 < IL <= 0,5 | 1,2 | 1,027 | 0,83 | 0,669 | 0,505 | 0,405 | - |
0,5 < IL <= 0,75 | - | - | 0,701 | 0,55 | 0,42 | 0,358 | 0,296 |
Глины | 0 <= IL <= 0,25 | - | 2,357 | 1,942 | 1,514 | 1,294 | 1,088 | 0,921 |
0,25 < IL <= 0,5 | - | - | 1,569 | 1,394 | 1,141 | 0,947 | 0,776 |
0,5 < IL <= 0,75 | - | - | 1,173 | 1,049 | 0,889 | 0,786 | 0,655 |
Рис. 52. Графики зависимости структурной прочности глинистых
грунтов от коэффициента пористости и консистенции
1 - супесь, 0 <= IL <= 0,25;
2 - супесь, 0,25 < IL <= 0,75;
3 - суглинок, 0 < IL <= 0,25;
4 - суглинок, 0,25 < IL <= 0,5;
5 - суглинок, 0,5 < IL <= 0,75;
6 - глина, 0 <= IL <= 0,25;
7 - глина, 0,25 < IL <= 0,5;
8 - глина, 0,5 < IL <= 0,75
РЕКОМЕНДАЦИИ ПО ОПРЕДЕЛЕНИЮ ВЕЛИЧИН КОЭФФИЦИЕНТОВ

1. Коэффициент, учитывающий уплотнение грунтового ядра непосредственно в основании фундамента, формирующегося в процессе развития осадок

.
2. Коэффициент, учитывающий упрочнение грунта в процессе длительного пребывания в напряженном состоянии

, определяется дифференцированно, в зависимости от вида грунта.
В табл. 1 -

для песчаных грунтов;
Таблица 1
Давление на фундамент, МПа | Длительность эксплуатации существующего фундамента, лет |
20 | 40 | 60 | 80 | 100 |
0,1 | 1,01 ------ 1,03 | 1,02 ------- 1,075 | 1,03 -------- 1,125 | 1,05 -------- 1,175 | 1,125 --------- - |
0,2 | 1,05 -------- 1,065 | 1,075 -------- 1,125 | 1,09 -------- 1,175 | 1,125 -------- 1,240 | 1,25 -------- - |
0,3 | 1,09 ------- 1,125 | 1,16 -------- 1,175 | 1,2 ------- 1,275 | 1,25 ------- 1,35 | 1,3 ------ - |
Примечание. Над чертой -

для песков крупных и средней крупности; под чертой -

для песков мелких и пылеватых.
Вид грунта и консистенция | Коэффициент  при e |
0,55 | 0,65 | 0,75 | 0,85 | 0,95 | 1,05 |
Супеси 0 <= IL <= 0,75 | 1,15 | 1,21 | 1,26 | 1,3 | - | - |
Суглинки 0 <= IL <= 0,25 | 1,09 | 1,1 | 1,125 | 1,15 | 1,17 | - |
0,25 < IL <= 0,5 | 1,095 | 1,135 | 1,175 | 1,2 | 1,235 | - |
0,5 < IL <= 0,75 | - | - | 1,21 | 1,23 | 1,25 | - |
Глины 0 <= IL <= 0,25 | - | 1,07 | 1,07 | 1,093 | 1,12 | 1,175 |
0,25 < IL <= 0,5 | - | - | 1,085 | 1,110 | 1,15 | 1,2 |
0,5 < IL <= 0,75 | - | - | - | - | 1,2 | 1,2 |
3. Коэффициент, учитывающий восстановление во времени нарушенных структурных связей в зоне пластических деформаций

.
Рекомендации по повышению модулей деформаций грунтов, упрочненных вследствие длительного пребывания оснований существующих фундаментов в напряженном состоянии, рекомендуется применять в следующих условиях.
На стадии технических решений и разработки технического проекта - во всех случаях.
На стадии рабочих чертежей:
для фундаментов сооружений III, IV классов;
для фундаментов сооружений I и II классов и фундаментов под оборудование, особо чувствительных к неравномерным осадкам - после апробации, на основе накопления опыта изысканий и расчетов взаимного влияния (на основе сопоставления расчетных осадок, кренов и усилий с использованием непосредственно данных изысканий и обобщенных коэффициентов

и

, приведенных в настоящих рекомендациях). Рекомендации по применению коэффициентов

используются во всех случаях.
Коэффициент условий работы оснований вновь возводимых фундаментов

применяется во всех случаях.