Главная // Актуальные документы // Рекомендация / РекомендацииСПРАВКА
Источник публикации
М.: ЦНИИСК им. В.А. Кучеренко, 1985
Примечание к документу
Название документа
"Рекомендации по проектированию зданий с сейсмоизолирующим скользящим поясом и динамическими гасителями колебаний"
(утв. ЦНИИСК им. Кучеренко Госстроя СССР 15.12.1983)
"Рекомендации по проектированию зданий с сейсмоизолирующим скользящим поясом и динамическими гасителями колебаний"
(утв. ЦНИИСК им. Кучеренко Госстроя СССР 15.12.1983)
директором ЦНИИСК
им. Кучеренко
15 декабря 1983 года
РЕКОМЕНДАЦИИ
ПО ПРОЕКТИРОВАНИЮ ЗДАНИЙ С СЕЙСМОИЗОЛИРУЮЩИМ
СКОЛЬЗЯЩИМ ПОЯСОМ И ДИНАМИЧЕСКИМИ ГАСИТЕЛЯМИ КОЛЕБАНИЙ
Рекомендованы к изданию решением секции "Сейсмостойкость сооружений" Научно-технического совета ЦНИИСК им. Кучеренко.
Рекомендации содержат указания по расчету, конструированию, изготовлению, монтажу и эксплуатации экспериментальных зданий с сейсмоизолирующим скользящим поясом и динамическими гасителями колебаний.
Рекомендации предназначены для инженерно-технических работников проектных, научно-исследовательских и учебных институтов.
В последние годы в нашей стране проводятся исследования по разработке, проектированию, экспериментальному строительству, модельным и натурным испытаниям зданий, оснащенных системами активной сейсмозащиты. Использование этих систем позволяет снизить расчетные сейсмические нагрузки на несущие конструкции зданий, повысить их способность к поглощению энергии сейсмического воздействия и, в конечном счете, снизить затраты на антисейсмические мероприятия, материалоемкость и трудоемкость возводимых сооружений, повысить надежность их работы при интенсивных землетрясениях.
Настоящие рекомендации относятся к зданиям с двумя системами активной сейсмозащиты - сейсмоизолирующим скользящим поясом и динамическими гасителями колебаний. Рекомендации разработаны на основании расчетно-теоретических исследований, лабораторных и натурных испытаний экспериментальных зданий в г. Фрунзе, а также с учетом составленных в 1981 году "Рекомендаций по экспериментальному проектированию зданий с сейсмоизолирующим скользящим поясом и упругими ограничителями перемещений в фундаменте".
Рекомендации разработаны ЦНИИСК им. Кучеренко (д-р техн. наук проф. С.В. Поляков, канд. техн. наук Л.Ш. Килимник -
разделы 1,
2,
4,
6,
8,
приложения) и НИИОСП им. Герсеванова (канд. техн. наук В.С. Поляков -
разделы 3,
5,
7,
8,
приложения) при участии Фрунзенского политехнического института (кандидаты техн. наук В.П. Чуднецов, Л.Л. Солдатова, инж. М.К. Абдыбалиев).
При разработке рекомендаций использованы результаты проектно-конструкторских разработок институтов Фрунзегорпроект (инженеры А.Ф. Бедокуров, В.М. Даурцев, Е.В. Любезнов) и Камчатскгражданпроект (инж. Л.П. Гавронский, канд. техн. наук Ю.М. Хазанов, инж. В.Н. Дроздюк) и опыт строительства экспериментальных домов в г. Фрунзе (инж. М.И. Штрафун).
Предложения и замечания по рекомендациям просьба направлять в ЦНИИСК им. Кучеренко по адресу: 109389, Москва, 2-я Институтская ул., 6, Центр исследований в области сейсмостойкости зданий и других сооружений ЦНИИСК им. Кучеренко.
Проектные материалы по зданиям с сейсмоизолирующим скользящим поясом можно заказать в институте Фрунзегорпроект по адресу: 720001, Фрунзе, Ленинский проспект, д. 164-а.
1.1. Рекомендации по проектированию зданий с сейсмоизолирующим скользящим поясом и динамическими гасителями колебаний разработаны в развитие главы
СНиП II-7-81 "Строительство в сейсмических районах" и распространяются на проектирование и строительство в сейсмических районах экспериментальных зданий с жесткой конструктивной схемой:
- высотой до 9-ти этажей включительно крупнопанельных, объемно-блочных и со стенами из монолитного железобетона;
- высотой до 5-ти этажей включительно с несущими стенами из кирпичной и каменной кладки, комплексной конструкции, из индустриальных виброкирпичных блоков и панелей.
1.2. Динамические гасители колебаний могут устанавливаться в зданиях с другими конструктивными схемами (каркасных, с ядрами жесткости и др.).
1.3. Система активной сейсмозащиты в виде сейсмоизолирующего скользящего пояса предназначена для:
- снижения расчетных горизонтальных сейсмических нагрузок на надземные конструкции зданий;
- уменьшения объема антисейсмических мероприятий;
- снижения расхода металла и сметной стоимости зданий;
- расширения области применения типовых индустриальных конструкций и изделий, освоенных предприятиями строительной индустрии (строительство в районах с более высокой сейсмичностью, повышение высоты зданий и др.).
1.4. Строительство зданий с сейсмоизолирующим скользящим поясом и динамическими гасителями колебаний допускается по согласованию с Госстроем СССР на основании расчетов технико-экономической эффективности проектного решения по сравнению с типовыми традиционными решениями зданий при условии выполнения динамического расчета в соответствии с
разделами 2 и
3 настоящих рекомендаций, при наличии заключения и при участии ЦНИИСК им. Кучеренко.
Как правило, за счет применения сейсмоизолирующего скользящего пояса расчетная сейсмичность здания снижается на один балл (расчетные горизонтальные сейсмические нагрузки на надземные конструкции - в два раза). При этом достигается экономия стали на 5 - 7% (до 7 кг на 1 м2 общей площади) и снижение сметной стоимости на 3 - 6%.
1.5. Сейсмоизолирующий скользящий пояс рекомендуется применять, в первую очередь, для зданий с расчетной сейсмичностью 8 и 9 баллов.
1.6. Здания с сейсмоизолирующим скользящим поясом целесообразно размещать на строительных площадках, грунты основания которых относятся к 1 и 2 категориям грунта по сейсмическим свойствам (в соответствии с
табл. 1 СНиП II-7-81). В случае возможных неравномерных осадок фундаментов зданий необходимо принимать дополнительные мероприятия по укреплению оснований.
1.7. При разработке проектных решений зданий с сейсмоизолирующим скользящим поясом необходимо использовать типовые решения конструкций зданий. При этом надземные конструкции принимаются, как правило, без изменений, а разработка элементов скользящего пояса выполняется в соответствии с настоящими рекомендациями одновременно с проектированием фундаментов под здания.
1.8. При выборе объемно-планировочных и конструктивных решений зданий с сейсмоизолирующим скользящим поясом необходимо обращать внимание на симметричность конструктивных схем, равномерность распределения жесткостей конструкций и масс, в частности, на равномерность шага поперечных несущих стен.
1.9. Сейсмоизолирующий скользящий пояс рекомендуется располагать между перекрытием над подвалом (техническим подпольем) и стенами подвала (технического подполья, цокольного этажа, фундамента). Скользящий пояс выполняется в виде отдельных скользящих опор, упругих и жестких ограничителей горизонтальных перемещений и ограничителей вертикальных перемещений. Все элементы скользящего пояса
(рис. 1) располагаются в пространстве между ростверком и верхней обвязкой стен подвала (технического подполья, цокольного этажа или фундамента).
Примечание. Допускается при благоприятных грунтовых условиях и соответствующем обосновании располагать скользящий пояс между стенами подвала (цокольного этажа) и верхним обрезом фундамента, а также использовать иные решения скользящего пояса, в том числе в комбинации с другими системами активной сейсмозащиты.
Рис. 1. Схема элементов сейсмоизолирующего скользящего пояса
1 - верхняя обвязка фундамента (стен подвала), 2 - ростверк,
3 - надземные конструкции здания, 4 - скользящая опора,
5 - упругий ограничитель горизонтальных перемещений,
6 - жесткий ограничитель горизонтальных перемещений,
7 - ограничитель вертикальных перемещений (вертикальная
связь), 8 - вертикальный амортизатор
1.10. Для обеспечения надежной работы скользящего пояса ввод всех инженерных коммуникаций из подвала (технического подполья) и их соединение с несущими надземными конструкциями (выше скользящего пояса) необходимо выполнять с использованием специальных гибких вставок или компенсаторов.
1.11. Динамические гасители колебаний как средство активной сейсмозащиты зданий предназначаются для:
- снижения расчетных сейсмических нагрузок на несущие конструкции зданий,
- повышения надежности особо ответственных зданий.
1.12. Динамические гасители колебаний могут применяться как самостоятельная система активной сейсмозащиты, а также в сочетании с другими системами активной сейсмозащиты, в том числе с сейсмоизолирующим скользящим поясом.
В первом случае гасители колебаний рекомендуется применять преимущественно для зданий с расчетной сейсмичностью 7 баллов.
1.13. Динамические гасители колебаний для достижения максимального эффекта рекомендуется располагать между последним этажом и покрытием здания (в пределах чердачного перекрытия или технического этажа). Гаситель колебаний состоит из жесткого элемента или блока, в дальнейшем именуемого массой гасителя, упругих связей, присоединяющих массу к конструкциям здания, и демпфирующих элементов, устанавливаемых параллельно с упругими связями.
1.14. При строительстве группы зданий с сейсмоизолирующим скользящим поясом и динамическими гасителями колебаний, на одном из однотипных домов рекомендуется установить станцию инженерно-сейсмометрической службы (ИСС). Схемы установки станций ИСС согласовываются с ЦНИИСК им. Кучеренко.
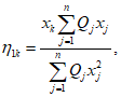
2. РАСЧЕТ ЗДАНИЙ С СЕЙСМОИЗОЛИРУЮЩИМ СКОЛЬЗЯЩИМ ПОЯСОМ
2.1. Особенностью расчета зданий с сейсмоизолирующим скользящим поясом является снижение расчетных горизонтальных сейсмических нагрузок.
До тех пор, пока сейсмические нагрузки на надземные конструкции здания (выше скользящего пояса) не превысят сил трения в скользящих опорах, здание работает как единое целое, с жесткой кинематической связью между фундаментом и вышележащей частью. При инерционных силах, превышающих силы трения скольжения, здание начинает проскальзывать относительно фундамента.
Для ограничения относительных горизонтальных перемещений здания и фундамента и повышения затухания в систему сейсмозащиты вводятся упругие (например, резино-металлические) и жесткие (например, железобетонные) ограничители. Для предотвращения возможности отрыва здания от фундамента предусматриваются упругие ограничители вертикальных перемещений.
2.2. Расчет надземных конструкций зданий выполняется в соответствии с требованиями главы
СНиП II-7-81 на пониженные величины горизонтальных сейсмических нагрузок. Расчет фундаментов здания (стен подвала, технического подполья) ниже уровня скользящего пояса выполняется на нагрузки, соответствующие расчетной сейсмичности здания. Необходимо выполнять проверку фундаментов на прочность и устойчивость при вертикальных нагрузках, приложенных с эксцентриситетом, равным максимально допустимой подвижке здания по скользящему поясу.
2.3. При расчете зданий по
п. 2.2 а СНиП расчетная сейсмическая нагрузка
Sik, соответствующая
i-му тону собственных колебаний здания, определяется по формуле
где
K1 - коэффициент, зависящий от принятого для здания предельного состояния, принимается по
табл. 3 СНиП;
K2 - коэффициент, учитывающий конструктивные особенности здания, принимается по
табл. 4 СНиП;
Soik - среднее значение сейсмической нагрузки, соответствующей i-му тону собственных колебаний, определяемое в предположении упругого деформирования конструкций

(2)
Здесь
Qk - нагрузки (постоянные и временные), вызывающие инерционную силу в точке K и определяемые по
п. 2.1 СНиП;
A - среднее значение амплитуды ускорений (в долях от g) грунта основания, соответствующее расчетной сейсмичности здания, принимается равным 0,1; 0,2; 0,4 для расчетной сейсмичности 7, 8 и 9 баллов соответственно;

- коэффициент динамичности, соответствующий
i-ой форме собственных колебаний здания, принимается согласно
п. 2.6 СНиП;

- коэффициент, учитывающий диссипативные свойства конструкции, принимается согласно
табл. 6 СНиП и по
пп. 2.8 и
2.9 настоящих рекомендаций;

- коэффициент, зависящий от формы деформаций здания при его собственных колебаниях по
i-ой форме и от места расположения нагрузки
Qk, определяется по
п. 2.7 СНиП с учетом
п. 2.6,
2.7 и
2.9 рекомендаций.
2.4. Здания с сейсмоизолирующим скользящим поясом рекомендуется рассчитывать в продольном и поперечном направлениях по консольным схемам, соответствующим этапам I - до скольжения по поясу или "залипания", когда суммарная перерезывающая сила выше уровня пояса не превышает силы трения скольжения в опорах, и этапам II - скольжения по поясу с учетом возможного включения в работу упругих ограничителей.
Для этапов I рекомендуется принимать консольную схему с сосредоточенными массами (с жесткой заделкой), для этапов II - консольную схему с жесткой заделкой относительно поворота и упругой в уровне скользящего пояса относительно горизонтальных перемещений (рис. 2).
Рис. 2. Расчетные схемы зданий с сейсмоизолирующим
скользящим поясом при определении условных статических
а - этапы I, б - этапы II
2.5. Коэффициент
K3 снижения амплитуд горизонтальных ускорений
A, определяемый из условия непревышения суммарной перерезывающей силой выше уровня скользящего пояса силы трения (этапы 1), равен (см.
п. 2.8)

(3)
где fтр - коэффициент трения скольжения в опорах; при использовании пластин из фторопласта (фторлона-4) и нержавеющей стали принимается равным 0,1; допускается уточнять величины fтр на основании модельных и натурных экспериментальных исследований;

- сумма вертикальных нагрузок, определяемых для всех точек консольной схемы выше уровня скользящего пояса;

- суммарная перерезывающая сила выше уровня скользящего пояса (при учете трех форм собственных колебаний);
n - число сосредоточенных масс.
При определении
K3 величины
Sik по
формуле (1) вычисляются при
K1 = 1.
2.6. Для этапов I (до скольжения и при "залипании") при учете одной составляющей сейсмического воздействия коэффициенты

определяются по формуле

(4)
где Xi(xk) и Xi(xj) - смещения здания при собственных колебаниях по i-му тону в рассматриваемой точке K и во всех точках j, где в соответствии с расчетной консольной схемой принята сосредоточенной его масса.
2.7. При расчете зданий высотой до 5 этажей включительно с незначительно изменяющимися по высоте массами и жесткостями, если период основного тона собственных колебаний
T1 <= 0,4 с, допускается учитывать только первую форму колебаний и определять

по упрощенной формуле

(5)
где xk и xj - расстояние между K-той и j-той точками, в которых приняты сосредоточенными массы здания, и верхним обрезом фундамента (или уровнем скользящего пояса).
В этом случае коэффициент
K3 вместо
формулы (3) определяется по формуле

(6)
где при вычислении величин S1k принимается K1 = 1.
2.8. После определения
K3 пониженные величины горизонтальных сейсмических нагрузок
Sik, на которые необходимо рассчитать надземные конструкции здания, находятся с помощью
формул (1) и
(2) при замене значений
A на значения
K3A, причем
K3 принимаются по
формуле (3) или
(6), но не менее 0,5, что соответствует снижению расчетной сейсмичности на 1 балл. При
K3 >= 1 применение сейсмоизолирующего пояса нецелесообразно. Коэффициент

принимается равным 1, а
K1 и
K2 - по
табл. 3 и
4 СНиП.
2.9. Для этапов II (скольжение по поясу) при учете одной составляющей сейсмического воздействия расчетная схема принимается в соответствии с
п. 2.4. Расчет выполняется как для этапов I по
формулам (2) и
(1) при амплитуде ускорений
K3A и коэффициенте

. В случае различия в распределениях масс по высоте здания для этапов I и II, производится уточнение величин
Qk. Коэффициенты податливости

при единичных нагрузках определяются с учетом упругого поступательного перемещения здания в уровне скользящего пояса, возникновения гравитационных восстанавливающих сил и возможного включения в работу упругих ограничителей
где

- коэффициенты податливости для консольной схемы с жесткой заделкой в уровне скользящего пояса;
Kогр - жесткость упругих ограничителей горизонтальных перемещений в рассматриваемом направлении (с учетом восстанавливающих гравитационных сил).
Расчет здания для этапов II является проверочным и сводится к определению приращения горизонтальных сейсмических нагрузок на верхние этажи здания в период его скольжения по поясу. Для зданий жесткой конструктивной схемы при T1 <= 0,4 с эти этапы продолжаются, как правило, менее 0,05 с, и приращения горизонтальных сейсмических нагрузок за этот интервал времени невелики.
2.10. Здания, расчетная сейсмичность которых равна 9 и более баллов (без учета снижения за счет применения скользящего пояса), рекомендуется рассчитывать по
п. 2.2 б СНиП на наиболее опасные для района строительства расчетные сейсмические воздействия, принимаемые на основании специальных расчетов и инструментальных данных, которые получены во время прошлых землетрясений в районе строительства или в аналогичных по сейсмологическим условиям местностях.
Расчетные модели зданий при этом рекомендуется принимать в виде схем с сухим или эквивалентным вязким трением и учитывать неупругое деформирование конструкций. Коэффициент
K1 принимается равным 1. Рекомендации по расчетным моделям и алгоритмам расчета на реальные воздействия приведены в
Приложении 2.
3. РАСЧЕТ ЗДАНИЙ С ДИНАМИЧЕСКИМИ ГАСИТЕЛЯМИ КОЛЕБАНИЙ
3.1. Особенностью расчета зданий с динамическими гасителями колебаний является снижение расчетных сейсмических нагрузок.
В случае совпадения основного периода собственных колебаний здания с одним из преобладающих периодов сейсмического воздействия, масса гасителя начинает совершать колебания с амплитудами, значительно превышающими амплитуды колебаний здания. Возникающие при этом упругие диссипативные силы в элементах гасителя (упругих связях и демпфирующих элементах), воздействуя на здание, уменьшают амплитуды его колебаний.
Для нормальной эксплуатации гасителя необходимо обеспечить возможность свободного колебания массы гасителя с расчетной амплитудой, т.е. предусмотреть соответствующие зазоры между массой гасителя и конструкциями здания.
3.2. Расчет конструкций зданий выполняется в соответствии с требованиями главы
СНиП II-7-81 на пониженные величины горизонтальных сейсмических нагрузок.
3.3. При расчете зданий по
п. 2.2 а СНиП расчетная сейсмическая нагрузка
Sik, соответствующая
i-му тону собственных колебаний здания, определяется по формуле
Sik = K1K2K4Soik, (7)
где коэффициенты
K1,
K2, а также среднее значение сейсмической нагрузки
Soik, соответствующей
i-му тону собственных колебаний здания, определяются согласно
п. 2.5 СНиП;
K4 - коэффициент, учитывающий снижение сейсмической нагрузки за счет применения гасителя колебаний и принимаемый:
- для основного тона собственных колебаний зданий с металлическим каркасом, стеновое заполнение которых не оказывает влияния на его деформативность, K4 = 0,7;
- то же, для зданий с другими конструктивными схемами - K4 = 0,8;
- для неосновных тонов собственных колебаний зданий с любыми конструктивными схемами - K4 = 1.
3.4. Особо ответственные здания рекомендуется рассчитывать по
п. 2.2 б СНиП на наиболее опасные для конкретных зданий и района строительства расчетные сейсмические воздействия, принимаемые на основании инструментальных данных.
Расчетную модель здания при этом рекомендуется принимать в виде консольного стержня с сосредоточенными массами и присоединенным гасителем колебаний (рис. 3).
Рис. 3. Расчетная схема здания
с динамическим гасителем колебаний
Рекомендации по алгоритмам расчета на реальные сейсмические воздействия приведены в
Приложении 2.
Подбор параметров динамического гасителя колебаний
3.5. Параметры гасителя подбираются в соответствии с результатами расчетов по их оптимизации. При этом здание моделируется системой с одной степенью свободы. Использование подобной модели допустимо, если собственные частоты колебаний здания отличаются друг от друга не менее, чем в два раза (для большинства зданий высотой до 16-ти этажей это условие, как правило, выполняется).
3.6. Массу гасителя рекомендуется принимать равной 5% от приведенной массы здания, и определять по формуле

(8)
где m(x) - погонная масса конструкций здания;
X(x) - ордината нормированной формы собственных колебаний здания по основному тону (ордината в точке подвеса гасителя принимается равной единице);
mк - масса конструкций и нагрузок, сосредоточенная в точке с координатой xк;
h - общая высота здания;
n - общее число сосредоточенных масс.
3.7. Жесткость
rг упругой связи (связей) гасителя рекомендуется определять по формуле

(9)
где

- круговая частота, соответствующая основному тону собственных колебаний здания;
fг - коэффициент настройки гасителя, который принимается равным 0,96.
3.8. Конструкция гасителя должна предусматривать возможность подстройки гасителя за счет изменения его частоты на +/- 5%. Указанная подстройка осуществляется изменением на +/- 10% жесткости упругой связи, определяемой по
п. 3.7.
3.9. Коэффициент вязкого трения в гасителе (усилия в демпфирующих элементах) рекомендуется определять по формуле

(10)
где

- безразмерный коэффициент, принимаемый равным 0,1.
3.10. Зазоры между массой гасителя и конструкциями здания назначаются с учетом максимально возможной амплитуды колебаний массы гасителя, которая определяется выражением

(11)
где
A(
xn) - амплитуда колебаний верхней массы здания, определяемая из расчета здания без гасителя по
СНиП, при этом коэффициент
K1 принимается равным единице;
KA - коэффициент, учитывающий увеличение амплитуды колебаний гасителя и принимаемый равным:
- для зданий с металлическим каркасом KA = 5,
- для всех остальных зданий KA = 3.
3.11. При расчете зданий с сейсмоизолирующим поясом и динамическими гасителями колебаний (в случае сочетания двух систем активной сейсмозащиты) пониженные величины горизонтальных сейсмических нагрузок Sik, на которые необходимо рассчитать надземные конструкции здания, рекомендуется определять по формуле
Sik = K1K2K5Soik, (12)
где K5 - коэффициент, характеризующий суммарное снижение расчетных сейсмических нагрузок и принимаемый равным
K5 = 1/(1/K3 + 1/K4) >= 0,4.
При этом коэффициенты
K3 и
K4 определяются в соответствии с
п. 2.5,
2.7 и
3.3 рекомендаций; коэффициенты
K1,
K2 и
Soik определяются в соответствии с
п. 2.5 СНиП.
4. ОСОБЕННОСТИ КОНСТРУИРОВАНИЯ ЗДАНИЙ
С СЕЙСМОИЗОЛИРУЮЩИМ СКОЛЬЗЯЩИМ ПОЯСОМ
4.1. При проектировании зданий с сейсмоизолирующим скользящим поясом конструктивные антисейсмические мероприятия принимаются в соответствии с требованиями
СНиП в зависимости от пониженных расчетных сейсмических нагрузок (см.
п. 2.8). При этом конструктивные мероприятия должны отвечать расчетной сейсмичности, на один балл ниже расчетной сейсмичности здания. Указанное требование должно соблюдаться и в случае совместного применения (сочетания) сейсмоизолирующего пояса и динамических гасителей колебаний.
4.2. Здания с сейсмоизолирующим скользящим поясом необходимо проектировать симметричными относительно продольной и поперечной осей. Особое внимание необходимо уделять элементам скользящего пояса, от качественного проектирования и изготовления которых зависит работоспособность и эффективность системы активной сейсмозащиты.
4.3. Скользящие опоры рекомендуется располагать с шагом не более 3,6 м, в том числе обязательно в местах пересечения наружных и внутренних несущих стен.
В качестве скользящей пары применяются пластины из фторопласта-4 (по
ГОСТ 10007-80) толщиной 4 - 6 мм и пластины из шлифованной нержавеющей стали толщиной 2 мм. Размеры скользящей опоры определяются расчетом при давлении на фторопласт не более 8 МПа. Размеры пластин из фторопласта обычно принимаются 20 x 20 или 25 x 25 см для 5-этажных зданий и 40 x 40 см - для 9-этажных зданий, а пластин из нержавеющей стали на 10 - 20 см больше. Каждая пластина прикрепляется к закладным металлическим деталям (плитам), которые замоноличиваются в ростверке и в верхней обвязке стен фундамента (подвала или технического подполья). Допускается расположение сверху как пластин из фторопласта, так и пластин из нержавеющей стали.
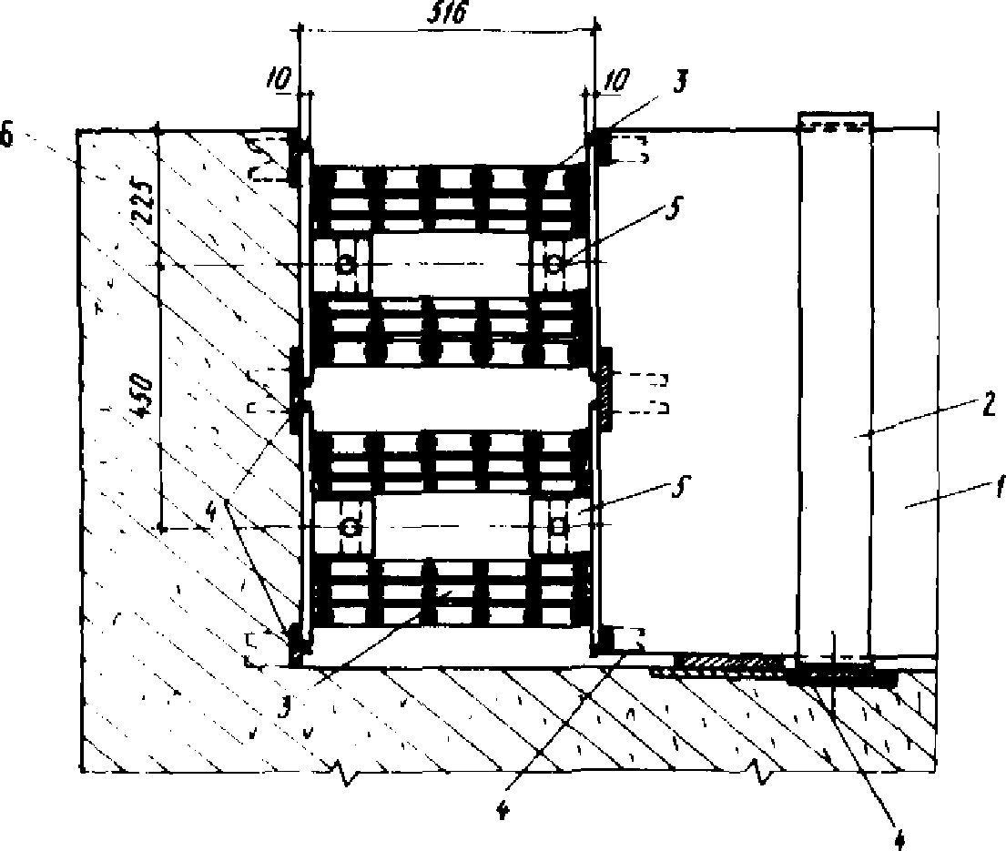
Рекомендуемые типы скользящих опор для зданий высотой до 5 - 9-ти этажей приведены на рис. 4.
Рис. 4. Конструкция скользящих опор: а - для 5-этажных
зданий, с горизонтальной нижней пластиной; б - для 9-этажных
зданий, с наклонной нижней пластиной
1 - железобетонный ростверк; 2 - жесткий ограничитель
горизонтальных перемещений (упор); 3 - опора ростверка;
4 - упругий ограничитель горизонтальных перемещений
(резино-металлический демпфер); 5 - анкерный болт;
6 - заделать холодной мастикой; 7 - верхняя пластина
из фторопласта Ф-4; 8 - нижняя стальная пластина
Скользящая опора на рис. 4, б выполнена с наклонной нижней пластиной, с переменным углом наклона (3° и 6°)
<*>. Такая конструкция, объединяя скользящую опору, упругие и жесткие ограничители горизонтальных перемещений, позволяет упростить конструкцию скользящего пояса, снизить трудоемкость его изготовления, а при сборно-монолитном варианте решения ростверка и верхней обвязки перенести весь процесс изготовления пояса в заводские условия. Кроме того, благодаря наклонным участкам нижней пластины, создаются благоприятные условия для уменьшения амплитуд колебаний надземных конструкций относительно фундаментов (стен подвала или технического подполья) и возвращения здания в исходное положение после окончания землетрясения. Скользящая опора указанной конструкции может быть рекомендована для всех зданий, но особенно эффективно ее применение для зданий высотой более 5-ти этажей. Скользящие опоры должны быть рассчитаны на основное и особое сочетания нагрузок.
--------------------------------
<*> А.с. N 1021718. Опубл. в БИ, 1983, N 21.
Для обеспечения возможности регулирования положения плит скользящего пояса, а также осмотра и замены плит в процессе эксплуатации целесообразно предусматривать регулирующие устройства, например, в виде высокопрочных болтов.
4.4. Упругие ограничители горизонтальных перемещений (демпферы) располагаются вблизи скользящих опор вдоль всех продольных и поперечных наружных и внутренних стен и устанавливаются с зазором

для зданий высотой до 5-ти этажей и

- для зданий высотой до 9-ти этажей.
Упругие ограничители рекомендуется выполнять в виде резиновых параллелепипедов из резины марок НО-68-1, 2959, 1847, 7НО-68-1, ИРП 1347-1 с наклеенными на поперечные вертикальные грани стальными пластинами (рис. 5).
Рис. 5. Упругий ограничитель
горизонтальных перемещений (демпфер)
Конструкция упругих ограничителей должна предусматривать возможность их свободной посадки в гнездо между скользящей опорой и жесткими ограничителями горизонтальных перемещений, например, на гипсе или мастике, и, в случае необходимости, осмотра и замены.
4.5. Жесткие ограничители горизонтальных перемещений (упоры) располагаются вдоль каждой стены. Зазор между вертикальными гранями упоров рекомендуется принимать

для зданий высотой до 5-ти этажей и

для зданий высотой до 9-ти этажей.
Жесткие ограничители следует выполнять в виде железобетонных призм (рис. 6), окантованных по периметру стальными уголками, которые крепятся к закладным деталям ростверка и верхней обвязки стен подвала (фундамента, технического подполья). В скользящей опоре на
рис. 4 упоры объединены с другими элементами скользящего пояса.
Рис. 6. Жесткий ограничитель
горизонтальных перемещений (упор)
1 - железобетонный ростверк; 2 - верхняя обвязка фундамента
(стен подвала); 3 - закладные детали
Зазоры в свету между горизонтальными поверхностями упоров и гранями ростверка или верхней обвязки стен подвала должны быть не менее 3,5 см.
4.6. Упругие ограничители вертикальных перемещений (вертикальные связи и вертикальные амортизаторы) располагаются вдоль всех наружных и внутренних несущих стен, вблизи наружных стен, симметрично относительно осей здания.
Сечения элементов упругих ограничителей вертикальных перемещений определяются расчетом из условия недопущения отрыва надземной части здания от стен фундамента (подвала, технического подполья) (см.
Приложение 1).
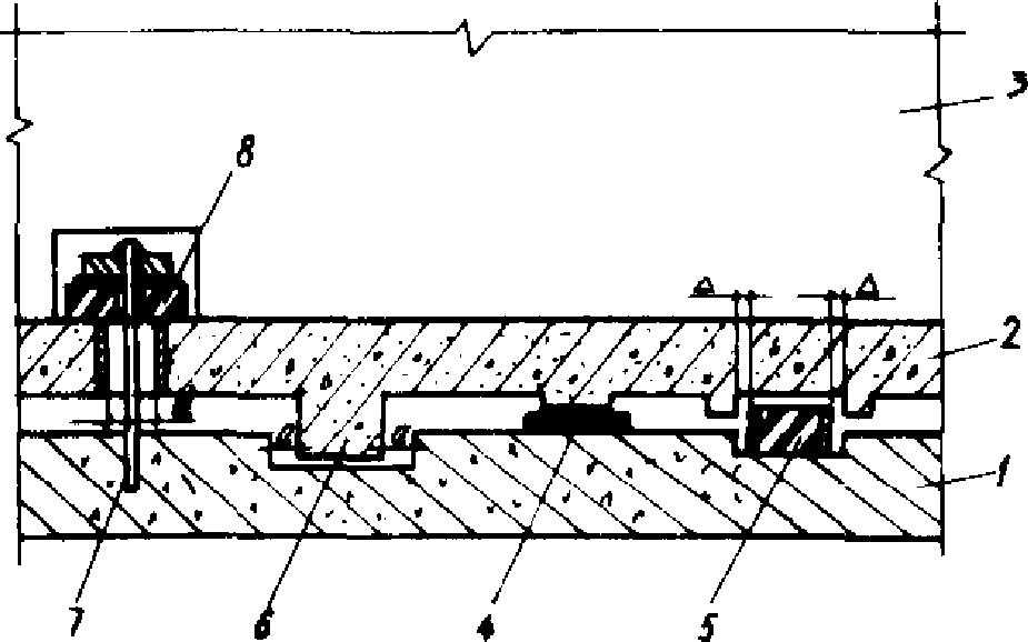
Вертикальная связь может выполняться в виде стержней арматуры (диаметром порядка 38 мм) или пучков из семи канатов К-7 (диаметром 9 мм). Одним концом вертикальные связи заанкериваются в бетоне ростверка, а другим в верхней обвязке фундамента (подвала, технического подполья). Вертикальные связи
(рис. 7) пропускаются через металлическую гильзу с внутренним диаметром
d, забетонированную в верхней обвязке стен фундамента, и в отверстие вертикального амортизатора и крепятся с помощью жесткого анкера (для вертикальных связей из стержней арматуры) или специального гильзостержневого анкера (для связей из пучков канатов). Диаметр гильзы
d принимается равным удвоенной величине зазора между вертикальными гранями жестких ограничителей (упоров).
Рис. 7. Упругий ограничитель вертикальных перемещений
(вертикальная связь)
1 - стеновая панель, 2 - железобетонный ростверк,
3 - вертикальная связь, 4 - пластина из фторопласта,
5 - амортизатор, 6 - шайба, 7 - гайка
Конструкция вертикального амортизатора аналогична демпферу. В нем необходимо предусмотреть отверстие для пропуска вертикальной связи (рис. 8).
Рис. 8. Вертикальный амортизатор
4.7. Для обеспечения надежной работы сейсмоизолирующего скользящего пояса и снижения влияния неравномерных осадок, фундаменты здания рекомендуется проектировать развитыми по высоте, по возможности, одинаковыми под всеми несущими стенами.
Допускается устройство сборных фундаментов и стен подвала (технического подполья) при обеспечении их надежной связи с верхней обвязкой стен, в которой установлены элементы скользящего пояса.
4.8. Ростверк и верхняя обвязка стен подвала (фундамента, технического подполья) выполняются, как правило, монолитными железобетонными из бетона М300, что обеспечивает точность установки элементов скользящего пояса.
Рекомендуется применение сборно-монолитных конструкций ростверка и верхней обвязки в виде крупных блоков длиной 2 - 3 м. Сборные блоки ростверка и верхней обвязки необходимо изготовлять на ДСК с установкой всех элементов скользящего пояса. Опирание сборных блоков ростверка производится на две скользящие опоры. Замоноличивание сборных блоков между собой выполняется со сваркой выпусков арматуры в соответствии с требованиями для узлов сопряжения ригелей и колонн каркасных зданий. Сборные блоки верхней обвязки должны иметь надежную связь (с помощью выпусков арматуры) со стенами фундамента (подвала, технического подполья), а блоки ростверка - с вышерасположенными конструкциями стен.
4.9. Для обеспечения возможности возвращения зданий в исходное положение после подвижек при расчетном землетрясении необходимо предусматривать устройство специальных упоров и ниш для установки статических домкратов (рис. 9).
Рис. 9. Упор и ниша для установки
статических домкратов 200 тс
1 - железобетонный ростверк, 2 - упор, 3 - закладная деталь,
4 - место для установки домкрата
Упоры располагаются в продольных и поперечных стенах, симметрично относительно осей здания, по 6 - 8 упоров в обоих направлениях, исходя из расчетного усилия сдвига в скользящих опорах. Элементы упоров и обрамления ниш для домкратов должны быть рассчитаны и законструированы, исходя из горизонтального усилия в стандартном домкрате 1000 кН (100 тс) для зданий высотой до 5-ти этажей и 2000 кН (200 тс) - для зданий высотой до 9-ти этажей.
5. КОНСТРУИРОВАНИЕ ДИНАМИЧЕСКИХ ГАСИТЕЛЕЙ КОЛЕБАНИЙ
5.1. Динамические гасители колебаний следует располагать симметрично относительно продольной и поперечной осей здания.
5.2. Количество динамических гасителей (блоков) следует назначать минимальным (один-два). Для зданий башенного типа рекомендуется устраивать один гаситель, а для протяженных в плане зданий - два гасителя вблизи торцов здания (при этом кроме поступательных удается уменьшить амплитуды крутильных колебаний).
5.3. Элементы гасителя необходимо располагать в закрытом отапливаемом помещении. Следует обеспечивать возможность осмотра элементов гасителя в процессе эксплуатации здания.
5.4. В зависимости от конструктивного выполнения упругой связи (связей) динамические гасители подразделяются на три группы: пружинные гасители, маятниковые гасители и комбинированные гасители (рис. 10).
Рис. 10. Схемы динамических гасителей колебаний
а - пружинные гасители, б - маятниковые гасители,
в - комбинированные гасители
1 - железобетонный блок, 2 - стальные пружины,
3 - скользящие опоры, 4 - жесткие тросы, 5 - гибкая
подвеска, 6 - вязкий демпфер
5.5. Пружинные гасители (рис. 10, а) рекомендуется применять при проектировании и строительстве зданий в районах с сейсмичностью 8 и 9 баллов. Пружинный гаситель состоит из железобетонного блока (массы гасителя), который опирается на перекрытие через скользящие опоры, и стальных пружин, размещаемых между блоком и несущими конструкциями здания или специальными упорами.
Затухание в гасителе обеспечивается за счет сил сухого трения в скользящих опорах, возникающих при относительных перемещениях массы гасителя.
5.6. В качестве скользящих опор гасителя рекомендуется применять пластины из фторопласта-4 и из нержавеющей стали, аналогично скользящим опорам сейсмоизолирующего пояса (см.
раздел 4).
5.7. При проектировании зданий с динамическими гасителями для строительства в 9-балльных районах необходимо предусматривать ограничители вертикальных перемещений (хомуты) и направляющие перемещений блоков гасителя.
5.8. Маятниковые гасители (
рис. 10, б) рекомендуется применять в зданиях, период основного тона колебаний которых превышает 1 с. Маятниковый гаситель состоит из железобетонного блока, подвешенного на жестких тросах, которые жестко заделаны в точках подвеса.
Частота собственных колебаний маятникового гасителя регулируется изменением длины тросов, а затухание в гасителе обеспечивается за счет внутреннего трения, возникающего при изгибных деформациях верхней части тросов при колебаниях массы гасителя.
5.9. Комбинированный гаситель (
рис. 10, в) состоит из железобетонного блока, который крепится к несущим конструкциям здания с помощью гибких подвесок, и стальных пружин. Частота собственных колебаний комбинированного гасителя регулируется за счет изменения жесткости стальных пружин. Требуемое затухание в гасителе обеспечивается постановкой вязких демпферов. Конструкция демпфера приведена в "Руководстве по проектированию виброизоляции машин и оборудования".
6. УКАЗАНИЯ ПО ИЗГОТОВЛЕНИЮ И МОНТАЖУ ЭЛЕМЕНТОВ
СЕЙСМОИЗОЛИРУЮЩЕГО СКОЛЬЗЯЩЕГО ПОЯСА
6.1. Все элементы сейсмоизолирующего скользящего пояса рекомендуется выполнять на предприятиях ДСК. При этом необходимо обращать внимание на высокое качество изготовления скользящих опор, упругих и жестких ограничителей (демпферов, упоров, вертикальных амортизаторов). Пример конструктивного решения скользящей опоры дан на рис. 11. Кромки пластин из фторопласта рекомендуется скашивать (см.
рис. 4, б).
Рис. 11. Пример решения элементов скользящей опоры
а - нижний элемент, б - верхний элемент
1 - пластина из фторопласта-4, размерами 200 x 200 мм,
крепится к стальной пластине болтами М3 с потайной головкой,
2 - пластина из нержавеющей стали 400 x 400 x 2 мм, крепится
к полосе на эпоксидном клее
6.2. Лицевые поверхности пластин из нержавеющей стали и фторопласта должны быть без вмятин и царапин, иметь гладкую зеркальную поверхность. При необходимости эти поверхности следует отшлифовать.
Для предотвращения поверхностей пластин от возможных повреждений во время транспортировки, складирования и в процессе производства работ на строительной площадке, рекомендуется после изготовления элементов скользящего пояса наклеить водорастворимым клеем на лицевые поверхности слой мягкой ткани, которая снимается непосредственно перед установкой этих элементов в проектное положение (остатки клея смываются).
6.3. Антикоррозийная защита элементов скользящего пояса (скользящих опор, демпферов, упоров, вертикальных амортизаторов) выполняется путем металлизации и окраски лакокрасочными составами согласно указаниям проекта в соответствии с требованиями главы
СНиП II-28-73.
6.4. В проекте необходимо предусматривать установку непосредственно после устройства скользящего пояса съемных защитных деталей с обеих поверхностей стен (например, из уголков или полос профилированного настила). Снятие защитных деталей разрешается только после согласования проектной организацией и в присутствии ее представителя.
6.5. При производстве работ необходимо обращать внимание на точность установки в проектное положение всех элементов сейсмоизолирующего скользящего пояса. Указания по производству работ следует включать в пояснительную записку к проекту здания.
6.6. Строгая горизонтальность поверхностей верхней обвязки фундамента и ростверка тщательно выверяется нивелиром и уровнем (с базой не менее 30 см).
6.7. Установку всех частей скользящих опор и других элементов скользящего пояса необходимо выполнять в строгом соответствии с проектом, обеспечивая плотность примыкания по всей плоскости пластин из фторопласта и нержавеющей стали. Проверку точности установки всех деталей необходимо выполнять неоднократно в течение всего периода твердения бетонной смеси фундамента и ростверка (при монолитном решении ростверка и верхней обвязки).
6.8. Выполнение всех работ должно быть освидетельствовано авторами проекта, технадзором заказчика и оформлено соответствующими актами и записями в журнале авторского надзора.
6.9. Категорически запрещается устройство вблизи элементов скользящего пояса и в пространстве между ними санитарно-технических и электротехнических коммуникаций и проводок.
6.10. Следует обращать внимание на необходимость тщательной очистки пространства между элементами скользящего пояса от посторонних предметов, строительного мусора и т.п. в местах примыкания лестничных маршей, заглубления скользящего пояса в грунт вблизи входов в здание, устройства приямков, подпорных стенок и др.
7. УКАЗАНИЯ ПО ИЗГОТОВЛЕНИЮ И МОНТАЖУ
ДИНАМИЧЕСКИХ ГАСИТЕЛЕЙ КОЛЕБАНИЙ
7.1. Железобетонный блок гасителя рекомендуется выполнять монолитным или сборным из отдельных элементов, соединяемых на монтаже сваркой и замоноличиванием стыков.
7.2. Металлические элементы гасителя рекомендуется изготавливать в заводских условиях. В качестве стальных пружин следует использовать пружины вагонных тележек (см.
Приложение 1).
7.3. Все металлические элементы гасителя должны иметь антикоррозионную защиту.
7.4. Конструкция крепления стальных пружин к блоку гасителя и несущим конструкциям или специальным упорам должна обеспечивать их работу в заданном направлении на растяжение и сжатие, а также возможность замены пружин в процессе эксплуатации.
7.5. После окончания монтажа элементов гасителя производится его настройка по частоте. В случае применения в здании двух и более гасителей необходимо обращать внимание на то, чтобы все гасители имели одинаковую частоту.
7.6. Настройка гасителя колебаний должна выполняться высококвалифицированным персоналом совместно с представителем специализированного научно-исследовательского института.
8. УКАЗАНИЯ ПО ЭКСПЛУАТАЦИИ ЗДАНИЙ С СЕЙСМОИЗОЛИРУЮЩИМ
СКОЛЬЗЯЩИМ ПОЯСОМ И ДИНАМИЧЕСКИМИ ГАСИТЕЛЯМИ КОЛЕБАНИЙ
8.1. Особенности эксплуатации зданий с сейсмоизолирующим скользящим поясом и динамическими гасителями заключаются в тщательном контроле за состоянием элементов пояса и гасителя, недопущении возможности доступа к ним посторонних лиц.
8.2. При сдаче здания в эксплуатацию необходимо в присутствии представителя проектной организации и директора (главного инженера) ДЭЗ, принимающей здание в эксплуатацию, убедиться в соответствии состояния элементов скользящего пояса и гасителя проектным требованиям и сделать соответствующую запись в акте приемки. При обнаружении неисправностей, последние должны быть устранены до сдачи дома в эксплуатацию.
Специальной проверке подлежат:
- состояние скользящих опор, стальных и фторопластовых пластин (очистка от строительного раствора и т.п., наличие вмятин, царапин);
- точность установки и крепления демпферов, вертикальных связей и амортизаторов, наличие анкеров, состояние и длина резьбы;
- состояние пружин и демпферов гасителя, направляющих и хомутов;
- наличие элементов ограждения ниш для крепления вертикальных связей;
- отсутствие посторонних предметов (строительного мусора, штукатурки и т.п.) в пространстве (зазоре) скользящего пояса и в местах примыкания ростверка к лестничным маршам, приямкам, подпорным стенкам, элементам отмостки, а также в пределах размещения динамического гасителя;
- качественность ограждения элементов скользящего пояса съемными защитными деталями и невозможность доступа к ним посторонних лиц.
8.3. Проверка состояния элементов скользящего пояса и динамического гасителя с фиксацией всех замеченных отклонений и дефектов в журнале состояния дома производится через каждые два года комиссией ДЭЗ с привлечением представителя проектной организации, а также после каждого интенсивного землетрясения (равного или более 5-ти баллов).
8.4. Необходимо исключить возможность попадания штукатурки, краски и т.п. в пространство (зазор) скользящего пояса и его отдельные элементы при внутреннем и наружном ремонте конструкций дома.
8.5. Все реконструкции в пределах подвала (технического подполья), установка дополнительных или перенос существующих коммуникаций и проводок могут производиться только после разрешения ДЭЗ и согласования с проектной организацией.
8.6. Периодическая окраска элементов скользящего пояса и динамического гасителя может производиться только в присутствии ответственного сотрудника ДЭЗ и представителя проектной организации. При этом необходимо принимать специальные меры для исключения возможности загрязнения фторопластовых и стальных пластин скользящих опор, а также резино-металлических демпферов и вертикальных амортизаторов, пружин и демпферов гасителя.
8.7. Проверка уровня и состояния жидкости ПМС в демпферах вязкого трения (загрязненность, изменение цвета и т.п.) производится не реже одного раза в год.
ПРИМЕРЫ РАСЧЕТА И КОНСТРУИРОВАНИЯ ЗДАНИЙ
Пример 1. Расчет и конструирование 5-этажного дома
с сейсмоизолирующим скользящим поясом
1. Исходные данные. Запроектировать для условий г. Фрунзе 5-этажный крупнопанельный дом с сейсмоизолирующим скользящим поясом. В качестве конструкций надземной части здания использовать решение по типовому проекту 105-010с на 25 квартир.
Сейсмичность площадки строительства 92 баллов. Расчетная сейсмичность здания (без сейсмоизолирующего скользящего пояса) - 9 баллов.
Основанием фундаментов служат галечниковые грунты с гравийно-песчаным заполнителем,

, которые относятся к категории II по сейсмическим свойствам.
Конструктивно-компоновочные схемы здания показаны на рис. 12. Размеры здания в плане 26,1 x 10,8 м, высота - 16,5 м.
Рис. 12. Конструктивные схемы 5-этажного крупнопанельного
дома серии 105-010с с сейсмоизолирующим скользящим поясом
а - план, б - разрез, в - план на отметке - 0,80
Фундаменты, стены подвала и технического подполья выполняются сборно-монолитными - из сборных бетонных блоков на растворе М50, усиленных горизонтальными и вертикальными железобетонными поясами и включениями из бетона М200. По верху бетонных блоков предусматривается монолитная железобетонная обвязка сечением 400 x 300 мм. Железобетонный ростверк выполняется также монолитным сечением 400 x 500 мм.
Элементы скользящего пояса (кроме вертикальных связей) расположены в пространстве между верхней обвязкой и ростверком, отметка нижней опорной пластины - 0,80. Коэффициент трения в скользящих опорах fтр = 0,1. Расчетную модель здания принимаем в виде консольного стержня с шестью степенями свободы (рис. 13).
Рис. 13. Расчетная схема 5-этажного крупнопанельного дома
с сейсмоизолирующим скользящим поясом
2. Определение расчетных сейсмических нагрузок. В результате расчетов на ЭВМ определяем периоды и формы собственных колебаний здания в продольном и поперечном направлениях. Величины периодов практически одинаковы и равны 0,2 с, а форма колебаний близка к прямолинейной.
В соответствии со
СНиП II-7-81 принимаем значения коэффициентов
K1 = 0,25,
K2 = 1,
A = 0,4,

.
Коэффициент динамичности

, принимаем

.
S10 = 1·1·2000·0,4·2,7·1·0,0863 = 186,4 кН;
S11 = 1·1·5800·0,4·2,7·1·0,259 = 1622,4 кН;
S12 = 1·1·5800·0,4·2,7·1·0,431 = 2699,8 кН;
S13 = 1·1·5800·0,4·2,7·1·0,604 = 3783,5 кН;
S14 = 1·1·5800·0,4·2,7·1·0,776 = 4860,9 кН;
S15 = 1·1·6400·0,4·2,7·1·0,949 = 6559,5 кН.
Определяем коэффициент
K3 по
формуле (6) K3 = 0,1(2000 + 5800·4 + 6400)/(186,4 + 1622,4 + 2699,8 + 3783,5 + 4860,9 + 6559,5) = 3160/19712,5 = 0,16. Примем
K3 = 0,5, т.е. снижаем расчетные сейсмические нагрузки на надземные конструкции здания в два раза (в качестве несущих конструкций используются изделия типового проекта при сейсмичности 8 баллов).
Окончательно расчетные сейсмические нагрузки равны
S10 = 0,25·1·2000·0,5·0,4·2,7·1·0,0863 = 23,3 кН;
S11 = 202,8; S12 = 337,5, S13 = 472,9, S14 = 607,5;
S15 = 819,9 кН.
3. Особенности конструирования скользящего пояса. В качестве скользящих опор принимается конструкция опоры с горизонтальной нижней пластиной (см.
рис. 4, а), объединенная с упругими и жесткими ограничителями горизонтальных перемещений. Толщину пластины из фторопласта-4 принимаем

. Размеры пластины из условия передаваемого давления - 200 x 200 мм (максимальная нагрузка на опору
N = 1500 кН,

).
Сдвигающее усилие в домкратах определяется, исходя из суммарной величины силы трения скольжения 3160 кН. С некоторым запасом принимаем по 6 домкратов грузоподъемностью 100 тс в продольном и поперечном направлении здания (см.
рис. 12).
Упругие ограничители вертикальных перемещений (вертикальные связи) по расчету не требуются и назначаются конструктивно (см.
п. 4.6).
Пример 2. Расчет и конструирование 9-этажного
крупнопанельного дома с сейсмоизолирующим скользящим поясом
и динамическими гасителями колебаний
1. Исходные данные. Запроектировать для условий г. Фрунзе 9-этажный крупнопанельный дом с сейсмоизолирующим скользящим поясом и динамическими гасителями колебаний. В качестве конструкций надземной части здания использовать решения по типовому проекту III-105-7с на 54 квартиры.
Остальные исходные данные те же, что и в
примере 1.
Конструктивно-компоновочные схемы здания показаны на рис. 14 и
15. Размеры здания в плане 39,6 x 10,4 м, высота - 29,7 м.
Рис. 14. Конструктивные схемы 9-этажного крупнопанельного
дома серии III-105-7с с сейсмоизолирующим скользящим поясом
и динамическими гасителями колебаний
а - разрез, б - план, в - фрагмент плана на отметке - 0,87,
г - вертикальная связь
1 - динамический гаситель колебаний, 2 - анкер, 3 - гильза
Рис. 15. Конструктивная схема динамического
гасителя колебаний
а - план, б - разрез
1 - блок гасителя из сборных железобетонных элементов,
2 - железобетонные упоры, 3 - комплекты стальных пружин,
4 - монолитная плита, 5 - скользящие опоры, 6 - стыки
сборных элементов, 7 - хомуты, 8 - направляющие блока,
9 - ось стоек рычажной системы, 10 - ось центра демпферов,
11 - группы из трех демпферов, 12 - шарниры
Фундаменты и стены подвала выполняются из монолитного железобетона (бетон М150), глубина заложения фундаментов - 3,5 м. Сечение верхней монолитной обвязки 600 x 300 мм, ростверка 400 x 500 мм из бетона М300.
Элементы скользящего пояса (кроме вертикальных связей) расположены в пространстве между верхней обвязкой и ростверком, отметка низа опорной пластины - 0,87. Конструкцию скользящей опоры принимаем совмещенной (см.
рис. 4, б). Коэффициент трения скольжения
fтр = 0,1.
Динамический гаситель колебаний размещается в пространстве чердачного перекрытия и предназначен в данном случае для гашения колебаний здания в поперечном направлении, в котором ожидаются максимальные амплитуды колебаний
(рис. 15). Гаситель выполняется в виде двух железобетонных блоков, расположенных между осями 3 - 4 и 9 - 10. Для распределения давления от блоков на чердачном перекрытии устраивается монолитная железобетонная плита толщиной 200 мм, которая рассчитана на нагрузки от массы блока с коэффициентом динамичности 1,5. Железобетонные блоки опираются на пластины из фторопласта с размерами 300 x 100 мм и толщиной 4 мм. Вдоль боковых граней блоков устанавливаются по три направляющих, обеспечивающих перемещение блоков в определенном направлении. Блоки крепятся хомутами к монолитной железобетонной плите во избежание их отрыва от опорных пластин. По торцам блоков (между блоком и специальными монолитными упорами) устанавливаются упругие связи (пружины), с помощью которых осуществляется настройка динамического гасителя. Вдоль длинных сторон блока предусмотрена установка четырех секций демпферов вязкого трения, которые обеспечивают поглощение энергии колебаний массы гасителя.
2. Определение расчетных сейсмических нагрузок. Расчетную модель здания принимаем в виде консольного стержня с десятью степенями свободы (рис. 16). Расчет выполняется раздельно для здания с сейсмоизолирующим скользящим поясом и для здания с динамическим гасителем колебаний. Жесткость стен подвала принята на несколько порядков больше жесткости конструкций надземной части.
Рис. 16. Расчетные схемы 9-этажного крупнопанельного дома
с сейсмоизолирующим скользящим поясом
а - этапы I, б - этапы II
В результате расчета на ЭВМ
<*> определены периоды и формы собственных колебаний до скольжения (этапы I)
T1 = 0,39 с, T2 = 0,087 с, T3 = 0,042 с;

;

.
--------------------------------
<*> Расчеты выполнены в институте Фрунзегорпроект.
Отсюда коэффициенты динамичности
Сейсмические нагрузки определяем по
формулам (1),
(2) при
K1 = 1,
K2 = 0,9 + 0,075(9 - 5) = 1,2,
S10 = 1·1,2·5794·0,4·2,7·1·0,048 = 359,8 кН; |
S11 = 1·1,2·5870·0,4·2,7·1·0,0543 = 413,1 кН; |
S12 = 1·1,2·5870·0,4·2,7·1·0,153 = 1164 кН; |
S13 = 1·1,2·5870·0,4·2,7·1·0,287 = 2183,4 кН; |
S14 = 1·1,2·5870·0,4·2,7·1·0,449 = 3415,8 кН; |
S15 = 1·1,2·5870·0,4·2,7·1·0,632 = 4808 кН; |
S16 = 1·1,2·5870·0,4·2,7·1·0,832 = 6329,5 кН; |
S17 = 1·1,2·5870·0,4·2,7·1·1,03 = 7835,7 кН; |
S18 = 1·1,2·5870·0,4·2,7·1·1,232 = 9372,5 кН; |
S19 = 1·1,2·7184·0,4·2,7·1·1,431 = 13323,3 кН; |
| |
Аналогично определяются сейсмические нагрузки, соответствующие второй и третьей формам собственных колебаний. Затем по
формуле (3)
K3 = 0,1·59938/(49205,12 + 4677,42 + 1442,52)0,5 = 0,121.
Согласно
п. 2.8 примем
K3 = 0,5. Тогда расчетная перерезывающая сила в уровне скользящего пояса будет равна 6424,1 кН (при
K1 = 0,25).
Аналогичные расчеты выполняются для этапов II (скольжения по поясу). В этом случае учитывается, что в работу включаются в поперечном направлении по 14 ограничителей упругих перемещений с суммарной жесткостью 6000·14 = 84 кН/см, а приведенный коэффициент трения фторопласта по стали с учетом гравитационной восстанавливающей силы на участке наклона 6° равен 0,05.
В этом случае по данным расчета на ЭВМ условные периоды собственных колебаний равны
T1 = 3,44 с;
T2 = 1,134 с;
T3 = 0,669 с, а коэффициенты динамичности

;

;

.
Расчеты в соответствии с
п. 2.9 показали, что при
K3A = 0,2 и

расчетные сейсмические нагрузки значительно меньше, чем для этапов 1, а расчетная перерезывающая сила - 1592 кН.
3. Проверка здания на опрокидывание в поперечном направлении выполняется при расчетных сейсмических нагрузках на надземные конструкции, соответствующих расчетной сейсмичности 8 баллов.
В этом случае опрокидывающий момент в уровне верха ростверка равен
Удерживающий момент
Mуд = 59938·5,4 = 323643 кНм и
Сечения ограничителей вертикальных перемещений определены из условия восприятия опрокидывающего момента в уровне скользящего пояса. Усилие в одном ограничителе
Ni = 673 кН. Принято 20 ограничителей в каждой продольной стене из каната

, марки ТК 6 x 19 (см.
рис. 14).
4. Особенности конструирования скользящего пояса. Пластины из фторопласта принимаем толщиной

, с размерами 400 x 400 мм. Изменение угла наклона нижней пластины - 3° и 6° (см.
рис. 4, б), что соответствует приведенному коэффициенту трения скольжения 0,075 и 0,05.
Упругие ограничители горизонтальных перемещений устанавливаются с зазором 50 мм.
Сдвигающее усилие в домкратах определяется, исходя из суммарной силы трения Fтр = 5993,8 кН. С запасом принимаем по 6 домкратов грузоподъемностью 200 тс в продольном и поперечном направлениях здания.
5. Расчет параметров и конструкция динамического гасителя колебаний. Период колебаний здания с учетом податливости основания
T1 = 0,5 с, что соответствует

, масса гасителя принята равной 1,5% от массы здания, т.е. 90 т.
Максимальная амплитуда колебаний гасителя
Скользящий пояс фундамента может передавать ускорение на вышележащую конструкцию здания не более 0,1g.
С учетом

и

ускорение горизонтальных колебаний верхнего этажа здания составит 0,1·2,7·1,431 = 0,386
g.
Определим амплитуду колебаний верхнего этажа здания без гасителя
где 981 см/с2 - ускорение силы тяжести.
В соответствии с
п. 3.10 максимальная амплитуда гасителя равна трем амплитудам здания
Aг = 2,4·3 = 7,2 см.
Примем коэффициент надежности KН = 1,2. Тогда расчетная максимальная амплитуда гасителя будет равна
Динамические параметры гасителя
При расчете зданий с железобетонными конструкциями на сейсмические воздействия оптимальными будут следующие параметры гасителя: настройка

, коэффициент вязкого трения в соответствии с
п. 3.9 
.
Период собственных колебаний здания со скользящим поясом при проскальзывании несколько увеличивается (по экспериментальным данным на 10 - 20%), поэтому настройку гасителя необходимо несколько уменьшить. Примем fг = 0,9. Тогда период собственных колебаний гасителя при T1 = 0,5 будет равен
Учитывая возможность подстройки гасителя +/- 5%, необходимо предусмотреть возможность изменения периода гасителя от 0,527 с

до 0,583 с

.
Скорость колебания гасителя
а) рабочая при Aг = 7,2 см
Vг = 7,2·11,3 = 81,4 см/с;
б) максимальная при

Vг = 8,64·11,3 = 97,83 см/с.
Затухание в гасителе создается за счет сухого трения, возникающего при движении массы гасителя по пластинам из фторопласта.
При сухом трении коэффициент затухания (эквивалентный вязкому) зависит от амплитуды колебаний и может быть определен по следующей формуле
На рис. 17 приведен график зависимости коэффициента затухания в гасителе при амплитудах колебаний последнего от 1 до 9 см. Как видно из графика, при амплитудах гасителя до 4 см последний передемпфирован, а при амплитудах больше 4 см гаситель имеет затухание меньше оптимального. Поэтому в систему вводятся демпферы вязкого трения.
Рис. 17. Зависимость коэффициента затухания в гасителе
от амплитуды его колебаний
Подбор пружин для гасителя
Требуемая суммарная жесткость упругих связей (пружин) гасителя определяется по
формуле (9)
а) минимальная жесткость при T = 0,583 с
б) максимальная жесткость при T = 0,527 с
В качестве возможного конструктивного решения упругих связей динамического гасителя можно рекомендовать пружины от тележки КВЗ-ЦНИИ тип 1 для цельнометаллических пассажирских вагонов. Данные по некоторым пружинам даны на рис. 18.
Эскиз и тип пружины | Жесткость пружины, Н/см | Длина развернутой пружины, мм | В рабочем состоянии | В предельном состоянии |
давление, Н | деформация, мм | давление, Н | деформация, мм |
| 885 | 2102 | 4100 | 46,4 | 7380 | 83,5 |
| 5720 | 3325 | 30000 | 52,5 | 51430 | 90 |
Комплект | | 2000 | - | 30000 | 149 | 50000 | 248,5 |
| 1270 | - | 19000 | 149 | 30000 | 248,5 |
| 510 | - | 7600 | 149 | 12700 | 248,5 |
Рис. 18. Технические характеристики пружин от тележек
КВЗ-ЦНИИ тип 1 для цельнометаллических пассажирских вагонов
образца 1967 г.
Суммарная жесткость комплекта пружин 3804-Н, 3805-Н и 3806-Н равна 3780 Н/см.
Требуемое количество комплектов пружин
а) минимальное

б) максимальное

Принимаем максимальное количество комплектов пружин - 36, по 9 штук на каждый упор, т.е. по 18 для каждого железобетонного блока (см. рис. 19,
20).
Рис. 19. Схема установки пружин по торцам блока гасителя
1 - ось симметрии блока гасителя, 2 - железобетонный упор
Рис. 20. Детали крепления пружин к блоку гасителя и упорам
1 - блок гасителя, 2 - хомут из полосовой стали,
3 - комплект стальных пружин, 4 - закладные детали,
5 - направляющая втулка пружин, 6 - упор
6. Расчет демпфера вязкого трения для динамического гасителя колебаний <*>
--------------------------------
<*> Расчеты выполнены д-ром техн. наук В.А. Ивовичем и инж. Е.М. Мироновым.
А.с. N 247727. Опубл. в БИ, N 22, 1969.
Демпферы вязкого трения предназначены для поглощения энергии колебаний путем превращения механической энергии в тепловую и рассеивания ее в окружающую среду.
Достоинство демпферов вязкого трения заключается в том, что с их помощью можно значительно увеличить затухание, практически без изменения (увеличения) жесткости с стальных пружин. Демпфер вязкого трения не обладает ни массой, ни силой упругости. Демпфирующая сила возникает в случае относительного движения между концами демпфера. Демпфирование в виброизолированной системе необходимо только для подавления резонансных колебаний, характеризующихся большой амплитудой перемещения.
Демпфер вязкого трения состоит из двух цилиндров: неподвижного - статора, закрепляемого на поддерживающей конструкции, и подвижного вибратора, закрепленного на виброизолированном (подпружиненном) основании. Вибратор входит в статор с равномерным кольцевым зазором, заполняемым вязкой жидкостью.
Далее дается расчет демпфера вязкого трения для гасителя колебаний 9-этажного здания.
Исходные данные
1. Масса блока гасителя - Q = 45000 кг.
2. Частота собственных горизонтальных колебаний - f1 = 2 Гц.
3. Заданный относительный коэффициент затухания

.
Необходимый коэффициент сопротивления всех демпферов вязкого трения определяется по формуле (6.7) "Руководства по проектированию виброизоляции машин и оборудования", М.: Стройиздат, 1972
Для гасителя колебаний запроектируем 12 демпферов. Коэффициент сопротивления одного демпфера будет равен
| | ИС МЕГАНОРМ: примечание. Взамен ГОСТ 10704-76 Постановлением Госстандарта СССР от 15.11.1991 N 1743 с 1 января 1993 года введен в действие ГОСТ 10704-91. | |
Для дальнейшего расчета и изготовления демпферов примем следующие размеры: статор - R = 18,05 см, вибратор r0 = 14,95 см, используя при этом трубы с электросварным швом по ГОСТ 10704-76: 377 x 361 мм и 299 x 289 мм.
Принимая высоту рабочей жидкости
lр = 30 см, определим коэффициент динамической вязкости

по формуле (6.9) "Руководства"
где

- кольцевой зазор между статором и вибратором
Силу вязкого трения

, возникающую при движении вибратора в рабочей среде со скоростью
vx, найдем по формуле (6.6) "Руководства"
где a = 10 см, f1 = 2 Гц,
При количестве демпферов n = 12
Pтx = 427 x 12 = 5127 кгс (50,3 кН).
Ввиду того, что блок гасителя будет колебаться с амплитудой

, а кольцевой зазор демпфера

, применим систему рычагов с соотношением плеч 3:1. Тогда динамическая вязкость жидкости

будет равна
В качестве рабочей жидкости применим полиметилсилоксановую жидкость ПМС-90000, имеющую вязкость при температуре 20 °C (гаситель эксплуатируется в отапливаемом помещении) равную

(90 Па·с).
В связи с тем, что колебания блока гасителя будут редкими, температуру жидкости при длительном режиме работы можно не определять.
Количество жидкости ПМС, необходимое для заполнения демпферов

, где

- средний радиус,

- кольцевой зазор,
lр - высота рабочей жидкости. Следовательно, для заполнения 12 демпферов потребуется 120 л ПМС-90000.
Размеры статора и вибратора примем следующие. Толщина слоя воды под днищем вибратора l1 = 3 см, высота края статора над уровнем рабочей жидкости l2 = 7 см, тогда общая высота статора равна
H = l1 + lр + l2 = 3 + 30 + 7 = 40 см.
Толщину днища статора (фланец для крепления к основанию) принимаем равной 10 - 12 мм. Динамические нагрузки, действующие на статор и вибратор, ориентировочно принимаем равными
где Dнар = 377 мм - наружный диаметр статора.
Схема демпфера дана на
рис. 21, а компоновка групп демпферов - на
рис. 22. Для предотвращения попадания пыли из атмосферы в вязкую жидкость, следует предусмотреть защитный фартук между статором и вибратором из прочного материала (например, из тонкой прорезиненной ткани). Полиметилсилоксановую жидкость ПМС-90000 согласно техническим условиям ТУ-6-02-737-78 выпускает Государственный научно-исследовательский институт по химии и технологии элементо-органических соединений (ГНИИХТЭОС).
Рис. 21. Схема демпфера вязкого трения
1 - рычаг, 2 - жидкость ПМС, 3 - вода,
4 - монолитная железобетонная плита
Рис. 22. Схема установки демпферов вязкого трения
1 - демпфер, 2 - стойка, 3 - рычаг с отношением 3:1,
4 - болт М20, 5 - блок гасителя
РАСЧЕТНЫЕ МОДЕЛИ И АЛГОРИТМЫ РАСЧЕТА ЗДАНИЙ
С СЕЙСМОИЗОЛИРУЮЩИМ СКОЛЬЗЯЩИМ ПОЯСОМ И ДИНАМИЧЕСКИМИ
ГАСИТЕЛЯМИ КОЛЕБАНИЙ НА РЕАЛЬНЫЕ СЕЙСМИЧЕСКИЕ ВОЗДЕЙСТВИЯ
При расчете зданий по
п. 2.2 б СНиП на наиболее опасные для района строительства расчетные сейсмические воздействия расчетные модели зданий регулярной структуры рекомендуется принимать в виде многомассовых или двухмассовых систем с элементами сухого или эквивалентного вязкого трения (рис. 23).
Рис. 23. Двухмассовые расчетные схемы зданий
с сейсмоизолирующим скользящим поясом при расчетах
на реальные сейсмические воздействия (по
п. 2.2 б СНиП)
а - с сухим трением, б - с эквивалентным вязким трением
Двухмассовые расчетные модели с элементами сухого или эквивалентного вязкого трения следует применять при расчете зданий жесткой конструктивной схемы высотой до 5-ти этажей.
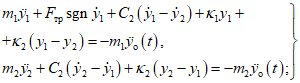
В случае моделирования зданий двухмассовой системой уравнения его колебаний при сейсмическом воздействии

имеют вид:
- при сухом внутреннем трении

(13)
- при эквивалентном вязком трении вместо члена

в первом уравнении системы (13) вводится слагаемое

, где
y1,

и

- относительное перемещение, скорость и ускорение ростверка здания;
y2,

и

- то же, верха здания;
m1 - масса, сосредоточенная в уровне ростверка (выше сейсмоизолирующего скользящего пояса);
m2 - масса, сосредоточенная в уровне покрытия здания (приведенная масса);

- жесткость упругих ограничителей горизонтальных перемещений в рассматриваемом направлении, определяемая с учетом гравитационной восстанавливающей силы на наклонных участках нижней пластины скользящего пояса;

- жесткость надземных конструкций здания при его колебаниях по первой форме;
Fтр - сила трения скольжения;
C2 - коэффициент вязкого трения для надземных конструкций здания;

- коэффициент эквивалентного вязкого трения (для установившегося режима колебаний систем с сухим трением);

- амплитуда максимальных перемещений основания с частотой

.
Уравнения (13) справедливы до тех пор, пока абсолютная величина относительного смещения |y
1| массы
m1 не превысит величины зазора

. Скольжение массы
m1 относительно фундамента возможно, если сумма действующих на нее сил больше силы трения

(14)
где

- заданная точность счета.
Если величина

, то в работу включаются упругие ограничители горизонтальных перемещений с жесткостью

. При этом уравнения колебаний

(15)
а условие скольжения массы m1

(16)
При

в работу включаются жесткие железобетонные упоры.
Относительная остановка (залипание) массы
m1 происходит, если ее относительная скорость

меняет свой знак.
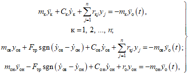
В случае моделирования зданий с сейсмоизолирующим скользящим поясом многомассовой системой массы от конструкций здания и нагрузок принимаются сосредоточенными в уровне всех перекрытий и в уровне скользящего пояса (см.
рис. 2 и
16). Уравнения колебаний на этапах 1 (до скольжения по поясу или "залипания") имеют вид

(17)
к = 0, 1, 2, ..., n.
На этапах II (скольжения) масса в уровне скользящего пояса разделяется на две части - верхнюю mов и нижнюю mон, а в качестве расчетной модели принимается консольная схема с жесткой заделкой относительно поворота и упругой относительно горизонтальных перемещений. Уравнения колебаний масс имеют вид

(18)
где
yк,

и

- относительное перемещение, скорость и ускорение масс здания;
Cк, Cов, Cон - коэффициенты внутреннего вязкого трения;
rкj - коэффициенты жесткости конструкций здания, определяемые по методу перемещений;
rо - - коэффициент жесткости конструкций здания ниже уровня скользящего пояса.
В уравнениях колебаний и краевых условиях необходимо также учитывать возможность включения в работу упругих ограничителей, появление гравитационной восстанавливающей силы при перемещениях опор по наклонным участкам нижних пластин скользящего пояса, возможность соударения скользящих опор с гранями жестких ограничителей (упоров).
В случае моделирования зданий с динамическими гасителями колебаний многомассовыми системами (см.
рис. 3) уравнения колебаний масс имеют следующий вид

(19)
где
yг,

и

- перемещение, скорость и ускорение массы гасителя
mг относительно верхней массы здания
mn;
rг - жесткость упругой связи гасителя;

- коэффициент вязкого трения для к-той массы;

- безразмерный параметр вязкости, принимаемый равным 0,02 для зданий с металлическим каркасом и 0,05 для всех остальных зданий;

- круговая частота, соответствующая основному тону собственных колебаний здания;
X1(xn) и X1(xк) - ординаты форм колебаний масс здания по основному тону соответственно для верха здания и к-той массы;

- коэффициент вязкого трения гасителя колебаний;

- безразмерный параметр вязкости, принимаемый по
п. 3.9;
fг - коэффициент настройки гасителя, принимаемый по
п. 3.7.