Главная // Актуальные документы // Рекомендация / РекомендацииСПРАВКА
Источник публикации
М.: НИИОСП Госстроя СССР, 1985
Примечание к документу
Название документа
"Рекомендации по проектированию и расчету малозаглубленных фундаментов на пучинистых грунтах"
"Рекомендации по проектированию и расчету малозаглубленных фундаментов на пучинистых грунтах"
ПО ПРОЕКТИРОВАНИЮ И РАСЧЕТУ МАЛОЗАГЛУБЛЕННЫХ
ФУНДАМЕНТОВ НА ПУЧИНИСТЫХ ГРУНТАХ
Настоящие Рекомендации содержат основные положения по проектированию и расчету малозаглубленных фундаментов, возводимых на сезоннопромерзающих пучинистых грунтах-основаниях с учетом восприятия деформаций морозного пучения. В них изложены методы выбора оптимальных конструктивных схем фундаментов в зависимости от степени пучинистости грунтов, методы расчета деформаций и сил морозного пучения грунтов, воздействующих на фундаменты, а также расчеты эксплуатационной надежности легких зданий с учетом жесткости их конструкций и назначения противопучинных мероприятий.
Рекомендации разработаны в лаборатории оснований и фундаментов на пучинистых грунтах НИИОСП докт. техн. наук В.О. Орловым совместно с канд. техн. наук В.С. Сажиным (ЦНИИЭПсельстрой Минсельстроя СССР) при участии докт. техн. наук М.Ф. Киселева, кандидатов техн. наук В.Г. Буданова, А.В. Садовского, А.Н. Скачко, инж. Р.В. Жабровой и В.Г. Морозова.
Рекомендации одобрены секцией "Фундаментостроение на мерзлых грунтах" научно-технического Совета НИИОСП и рекомендованы к изданию.
Рекомендации предназначены в качестве практического пособия при изысканиях, проектировании и строительстве малоэтажных зданий и сооружений и выпущены взамен "Руководства по проектированию мелкозаглубленных фундаментов на пучинистых грунтах" (ЦНИИЭПсельстрой, М., 1982).
Замечания и предложения по содержанию Рекомендаций просим направлять по адресу: 109389, Москва, 2-я Институтская ул., д. 6, НИИОСП.
Одной из важных проблем в фундаментостроении является дальнейшее обоснование и разработка экономичных проектно-конструкторских решений по устройству оснований и фундаментов на сезоннопромерзающих пучинистых грунтах.
Решение данной проблемы неразрывно связано с учетом и предупреждением воздействий морозного пучения грунтов основания на фундаменты и конструкции зданий и сооружений. Обоснованная оценка деформаций и сил морозного пучения грунтов, глубина заложения фундаментов, а также разработка противопучинистых мероприятий и приспособление конструкций сооружений к работе в пучинистых грунтах - вот тот необходимый перечень основных задач, решение которых обеспечивает устойчивость, эксплуатационную надежность и долговечность сооружений.
Широко распространенным в практике строительства мероприятием, обеспечивающим устойчивость сооружений (зданий) на пучинистых грунтах, до настоящего времени является заложение фундаментов ниже расчетной глубины сезонного промерзания. Если для зданий I и II классов глубина заложения фундаментов, исходя из расчетного давления на основание, назначается, как правило, большей, чем глубина сезонного промерзания грунтов, то для малоэтажных легких зданий III класса глубина заложения фундаментов при расчете основания по двум группам предельных состояний может быть ограничена слоем сезоннопромерзающего грунта.
При строительстве малоэтажных зданий, преимущественно сельскохозяйственного назначения, нагрузка на 1 м ленточных фундаментов, в основном не превышает 80 - 120 кН (8 - 12 тс), а на столбчатые фундаменты - 200 кН (20 тс). Небольшие нагрузки на фундаменты обусловливают повышенную чувствительность зданий к силам морозного пучения. Это особенно проявляется в условиях глубокого сезонного промерзания пучинистых грунтов, что приводит к значительному расходу материальных и трудовых ресурсов, а следовательно, к удорожанию стоимости строительства. Так, в районах с глубоким промерзанием грунтов доля затрат на работу по нулевому циклу составляет от 25 до 50% общей стоимости строительства всего одноэтажного здания.
Настоящие Рекомендации разработаны с целью развития и дополнения к требованиям главы
СНиП 2.02.01-83 [1], согласно которой глубину заложения фундаментов допускается назначать независимо от расчетной глубины промерзания, если специальными исследованиями и расчетами установлено, что деформации грунтов основания при их промерзании и оттаивании на данной площадке не нарушают эксплуатационную пригодность здания. При этом они направлены на снижение материалоемкости и стоимости малоэтажных зданий за счет применения так называемых малозаглубленных фундаментов с глубиной заложения в пределах слоя сезоннопромерзающего пучинистого грунта, а также за счет снижения объема работ нулевого цикла.
Предлагаемые расчеты и конструктивные решения предусматривают использование пучинистых грунтов основания по второй группе предельных состояний, т.е. по деформациям от морозного пучения, не превышающим величин, предельно допустимых для нормальной эксплуатации зданий.
Для реализации принципа расчета малозаглубленных фундаментов по деформациям пучения в Рекомендациях приводится методика, основанная на исследовании закономерностей деформаций и сил морозного пучения грунтов и совместной работы фундаментов и оснований.
Согласно этой методике при расчете деформаций морозного пучения учитываются как изменения физических свойств промерзающего грунта и соответственно величины его деформаций в зависимости от передаваемого на основание давления, так и характер изменения сил морозного пучения в результате перемещений фундамента до предельно допустимых величин. Кроме того, методика учитывает тип и размеры фундамента, жесткость конструкций зданий и т.п.
Выбор типа и конструкции фундамента, как и назначение противопучинных мероприятий должны решаться путем сравнения вариантов фундаментов на основе технико-экономического анализа с учетом конкретных условий строительства, включая геологические и гидрогеологические условия, обусловливающие степень пучинистости промерзающих грунтов.
В основу Рекомендаций положены обобщенные результаты многолетних экспериментальных исследований морозного пучения грунтов и его воздействий на сооружения с использованием передового опыта экспериментального строительства зданий на малозаглубленных фундаментах.
1.1. Настоящие Рекомендации разработаны в развитие главы
СНиП 2.02.01-83 "Основания зданий и сооружении" и предназначены для расчета, проектирования и устройства малозаглубленных фундаментов под одно-, двухэтажные жилые, общественные и промышленные здания (сооружения), преимущественно сельскохозяйственного назначения, возводимые на пучинистых грунтах-основаниях с нормативной глубиной сезонного промерзания грунтов до 1,7 м.
1.2. Настоящие Рекомендации допускается использовать в качестве практического пособия при нормативной глубине сезонного промерзания пучинистых грунтов более 1,7 м, если малозаглубленные фундаменты проектируются для экспериментального строительства.
1.3. Рекомендации предусматривают расчет и проектирование морозоопасных оснований по второй группе предельных состояний (по деформациям), согласно которой рассчитываются как осадки основания, так и его деформации от морозного пучения грунта, промерзавшего под фундаментом.
Расчет деформаций основания от внешней нагрузки, вызывающей осадки, просадки, горизонтальные перемещения, производится в соответствии с главой
СНиП 2.02.01-83.
1.4. Деформации основания, вызванные пучением грунта под подошвой фундамента, не должны превышать предельно допустимые деформации, величина которых зависит от конструктивных особенностей зданий.
Расчет морозоопасного основания по деформациям включает обязательную проверку эксплуатационной надежности здания при действии на фундаменты касательных сил морозного пучения.
1.5. Основным требованием, ограничивающим возможность использования морозоопасных оснований по деформациям морозного пучения, является выбор строительной площадки с грунтами, однородными по составу в плане площадки и по глубине той части сезоннопромерзающего слоя, которая проектируется в качестве основания.
1.6. Проектированию зданий на пучинистых грунтах должны предшествовать обоснованные результаты инженерно-геологических и гидрогеологических изысканий на участках строительства, способные обеспечить достоверный многолетний прогноз деформации промерзающих грунтов основания и назначение необходимых противопучинных мероприятий. Материалы изысканий должны также содержать климатологические данные о районе строительства, включая нормативную глубину сезонного промерзания
[1].
1.7. При проектировании оснований и фундаментов на пучинистых грунтах необходимо предусмотреть мероприятия, направленные на уменьшение деформаций конструкций зданий. Прочность и долголетняя эксплуатационная надежность зданий на пучинистых грунтах достигается использованием комплекса инженерно-мелиоративных (тепло- и гидромелиорация), строительно-конструктивных и физико-химических мероприятий, при назначении которых следует исходить из требований, приведенных в руководствах [
2 -
3].
1.8. Настоящие Рекомендации содержат сведения по выявлению и расчету деформаций и сил морозного пучения грунтов.
В условиях возможного проведения в течение ряда лет полевых исследований пучинистых свойств промерзающих грунтов на площадках, близких к участкам застройки, следует учитывать рекомендации, приведенные в Руководстве
[4]. При этом деформации морозного пучения грунтов определяются посредством инструментальных наблюдений за положением поверхностных и глубинных реперов (марок), а также пучиномеров согласно инструкциям, разрабатываемым ведомственными НИИ, и детальному обследованию территории застройки.
2. ОСНОВНЫЕ ПОНЯТИЯ И ОПРЕДЕЛЕНИЯ
2.1. Под малозаглубленным фундаментом на морозоопасном основании (естественном, искусственном, уплотненном и т.п.) понимается любой тип фундамента, глубина заложения которого не превышает нормативную глубину промерзания пучинистого грунта-основания. При этом предусматривается, что вертикальная нагрузка от сооружения передается только на основание под подошвой фундамента.
2.2. Основания, подвергающиеся сезонному промерзанию-оттаиванию, должны проектироваться с учетом морозного пучения грунтов. Под морозным пучением понимается внутриобъемное деформирование промерзающих влажных почв, нескальных пород и грунтов, приводящее к увеличению их объема вследствие замерзания в них воды и образования ледяных включений в виде прослойков, линз, поликристаллов и т.п. При последующем оттаивании в этих грунтах протекает обратный процесс, сопровождающийся их осадкой, разуплотнением и снижением несущей способности. Таким образом, при проектировании зданий на малозаглубленных фундаментах необходимо учитывать сезонные знакопеременные деформации основания, проявляющиеся в виде подъема и оседания его поверхности.
Морозное пучение выражается, как правило, в неравномерном поднятии слоя промерзающего грунта, причем напряжения, возникающие в грунте при пучении, оказывают существенное воздействие на фундаменты и наземные конструкции зданий.
2.3. Характеристиками пучинистых грунтов являются:
величина (деформация) морозного пучения

, представляющая собой высоту поднятия промерзшего грунта в данной точке;
интенсивность пучения

, характеризующая пучение элементарного слоя промерзающего грунта;
относительное пучение (или коэффициент пучения)

, определяемое по формуле

, (2.1)
где

- мощность слоя промерзающего грунта.
2.4. При назначении глубины заложения фундаментов, исходя из условия влияния морозного пучения на эксплуатационную надежность зданий, следует учитывать, что интенсивность этого процесса зависит от таких факторов, как дисперсность и плотность грунта, его влажность и глубина залегания подземных вод, температурный режим в период его промерзания и нагрузка, передаваемая на фундамент. В зависимости от указанных факторов все грунты подразделяются на пучинистые и непучинистые.
2.5. К пучинистым относятся все глинистые грунты, пески мелкие, пылеватые, а также крупнообломочные грунты, содержащие глинистый заполнитель в определенном количестве (см.
п. 2.7).
Крупнообломочные грунты с песчаным заполнителем, пески гравелистые, крупные и средние, не содержащие пылевато-глинистых фракций, считаются непучинистыми грунтами при любом уровне безнапорных подземных вод; при водонасыщении этих грунтов в условиях замкнутого объема они относятся к группе слабопучинистых грунтов.
2.6. По степени пучинистости все глинистые грунты подразделятся на пять групп
(табл. 1). Принадлежность глинистого грунта к одной из этих групп оценивается параметром

, определяемым по формуле

, (2.2)
где w,

,

- расчетные значения влажности в слое сезонного промерзания грунта, соответствующие природной, на границах раскатывания и текучести, доли ед.;
значение w определяется по
Прил. 1;

- критическая влажность, доли ед., ниже значения которой в промерзающем глинистом грунте прекращается перераспределение влаги, вызывающей морозное пучение;

определяется по графику
рис. 1;
| | ИС МЕГАНОРМ: примечание. В официальном тексте документа, видимо, допущена опечатка: имеется в виду СНиП 2.01.01-82, а не СНиП 2.01.01-83. | |

- безразмерный коэффициент, численно равный при открытой поверхности промерзающего грунта абсолютному значению средней зимней температуры воздуха, определяемой в соответствии с главой
СНиП 2.01.01-83 "Строительная климатология и геофизика", а при отсутствии в ней данных для конкретного района строительства - по результатам наблюдений ближайшей гидрометеорологической станции.
Таблица 1
Классификация промерзающих глинистых грунтов
по степени пучинистости
Наименование грунта | Наименование грунта по степени пучинистости |
Практически непучинистый | Слабопучинистый | Среднепучинистый | Сильнопучинистый | Чрезмернопучинистый |
Значение параметра  |
Супеси с  | 0,14 | 0,14 - 0,49 | 0,49 - 0,98 | 0,98 - 1,69 | 1,69 |
Супеси пылеватые с  | 0,09 | 0,09 - 0,3 | 0,3 - 0,6 | 0,6 - 1,03 | 1,03 |
Суглинки с  | 0,1 | 0,1 - 0,35 | 0,35 - 0,71 | 0,71 - 1,22 | 1,22 |
Суглинки пылеватые с  | 0,08 | 0,08 - 0,27 | 0,27 - 0,54 | 0,54 - 0,93 | 0,93 |
Суглинки пылеватые с  | 0,07 | 0,07 - 0,23 | 0,23 - 0,46 | 0,46 - 0,79 | 0,79 |
Глины с  | 0,12 | 0,12 - 0,43 | 0,43 - 0,86 | 0,86 - 1,47 | 1,47 |
| | ИС МЕГАНОРМ: примечание. В официальном тексте документа, видимо, допущена опечатка: имеется в виду формула (2.2), а не формула (2). | |
Примечание. Значение

рассчитывается по
формуле (2), в которой плотность сухого грунта

принята равной 1,5 т/м3; при иной плотности грунта расчетное значение

умножается на отношение

, где

- плотность сухого исследуемого грунта, т/м3.
Рис. 1. Значения критической влажности

в зависимости
от числа пластичности (%) и влажности на границе текучести
2.7. Пучинистые свойства крупнообломочных грунтов и песков, содержащих пылевато-глинистые фракции, а также супесей с

определяются через показатель дисперсности D. Эти грунты относятся к непучинистым при D < 1, к пучинистым - при D >= 1. Изменение показателя D в пределах от 1 до 5 (1 < D < 5) соответствует группе слабопучинистых грунтов.
Значение D определяется по формуле

, (2.3)
где k - коэффициент, см2, равный

;

- коэффициент пористости талого грунта;

- средний диаметр частиц грунта, см, определяемый по формуле

, (2.4)

;

;...;

- процентное содержание отдельных фракций грунта, доли ед.;

;

;...;

- средний диаметр агрегатов (частиц) отдельных фракций, см.
Диаметры отдельных классифицированных фракций определяются по их минимальным размерам, умноженным на коэффициент 1,4. За расчетный диаметр последней тонкой фракции принимается ее максимальный размер, деленный на коэффициент 1,4.
2.8. Неравномерность морозного пучения грунта по площади характеризуется расчетной относительной деформацией пучения

, под которой понимается отношение разности величин (деформаций) пучения

в двух точках к расстоянию (длине заложения) L между ними; величина L назначается в соответствии с конструктивными особенностями сооружения.
2.9. Перемещения грунта в процессе морозного пучения обусловлены силами пучения, которые в зависимости от воздействия на фундаменты и конструкции сооружения подразделяются на два вида: касательные силы морозного пучения

, действующие вертикально вдоль боковой поверхности фундамента; нормальные силы морозного пучения

, вызывающие давление пучащегося грунта на подошву фундамента или иную конструкцию здания.
Если значение удельной силы

(силы, отнесенной к единице площади боковой поверхности фундамента) для средней полосы страны составляет 40 - 100 кПа (0,4 - 1,0 кгс/см2), то значение удельной силы

может достигать 800 - 1200 кПа (8 - 12 кгс/см2) и более.
3. ВЫБОР ТИПА И КОНСТРУКЦИИ ФУНДАМЕНТА
3.1. Выбор типа и конструкции фундамента помимо назначения здания и его наземных конструктивных особенностей определяется степенью и неравномерностью пучения грунтов основания. При этом на сильно- и чрезмернопучинистых грунтах
(табл. 1) предпочтение следует отдавать монолитным железобетонным ленточным фундаментам или фундаментам-плитам.
3.2. Для зданий с малонагруженными фундаментами целесообразно применять такие конструктивные решения, которые направлены на снижение сил морозного пучения и деформаций конструкций зданий, а также на приспособление зданий к неравномерным деформациям оснований.
3.3. Малозаглубленный (незаглубленный) фундамент конструктивно представляет собой бетонный или железобетонный элемент, уложенный, как правило, на подушку из непучинистого материала (рис. 2), уменьшающего величину и неравномерность перемещений фундамента. Для предотвращения неравномерных подъемов фундамента, обусловленных действием касательных сил пучения, его боковые грани рекомендуется выполнять наклонными (угол наклона до 2 - 3°) или изолировать от смерзания с грунтом специальными покрытиями и смазками
[6].
Рис. 2. Варианты малозаглубленных фундаментов:
а - ленточный сборный с устройством песчаной
подушки; б - столбчатый (сборный, монолитный)
1 - бетонный блок, 2 - песчаная подушка,
3 - балка, 4 - цокольный элемент, 5 - стена,
6 - расчетная глубина сезонного промерзания,
7 - отмостка из тощего бетона или асфальта
3.4. В качестве материала для устройства подушки может быть использован песок гравелистый, крупной или средней крупности, мелкий щебень, котельный шлак, а также непучинистые грунты, имеющие показатель дисперсности D < 1 (см.
п. 2.7).
В случае необходимости для увеличения несущей способности основания целесообразно предусматривать устройство песчано-щебеночной подушки, состоящей из смеси песка крупного, средней крупности (40%), щебня или гравия (60%).
3.5. При высоком уровне грунтовых вод и верховодке необходимо предусматривать меры к предохранению материала подушки от заиливания окружающим пучинистым грунтом. С этой целью возможна обработка грунта по контуру подушки различного вида вяжущими смазочными веществами, использование полимерных материалов и т.п.
3.6. Устройство подушек и засыпку пазух и траншей следует выполнять с послойным трамбованием или уплотнением площадочными вибраторами. Во избежание попадания атмосферных вод в подушку ее пазухи следует гидроизолировать устройством отмосток из асфальта, тощего бетона и т.п.
3.7. В зависимости от степени пучинистости грунта основания
(табл. 1) ленточные малозаглубленные фундаменты под стены кирпичных и панельных зданий рекомендуется устраивать:
на практически непучинистых и слабопучинистых грунтах - из блоков (бетон, керамзитобетон), укладываемых свободно, без соединения между собой непосредственно на естественное основание;
на средне- и сильнопучинистых грунтах - из сборных железобетонных (керамзитобетонных) блоков, жестко соединенных между собой, или из монолитного железобетона. На среднепучинистых грунтах допускается применять ленточные фундаменты из свободно уложенных блоков с устройством по ним и над ними армированных поясов (варианты соединения блоков приведены на
рис. 3);
на сильно- и чрезмернопучинистых грунтах - армированные монолитные фундаменты с применением армированных или железобетонных поясов над проемами последнего этажа (при необходимости - и на уровне перекрытий).
Рис. 3. Варианты соединения элементов
мелкозаглубленных ленточных фундаментов:
а - фундамент из свободно уложенных бетонных
блоков; б - сборно-монолитный фундамент из ж/б
блоков с выпусками арматуры; в - монолитный ж/б
фундамент; г - фундамент из бетонных блоков с ж/б
поясами; д - фундамент из бетонных блоков с ж/б поясом
1 - сборные бетонные блоки; 2 - раствор;
3 - сборные ж/б блоки с выпусками арматуры;
4 - монолитный бетон; 5 - монолитный железобетон;
6 - армированные пояса; 7 - железобетонный пояс
Для последних групп пучинистости грунтов могут быть применены жесткие рамные железобетонные фундаменты или фундаменты-плиты
(рис. 4).
Примечание. Армирование блоков, фундаментных поясов и необходимость усиления стен армированием или железобетонными поясами определяется расчетом.
Рис. 4. Сборно-монолитная ребристая плита:
а - план; б - разрезы
3.8. Столбчатые малозаглубленные фундаменты под стены зданий из любых материалов целесообразно устраивать при пониженных степенях пучинистости грунтов основания.
На средне- и сильнопучинистых грунтах фундаменты в виде стоек должны быть жестко связаны между собой фундаментной балкой и представлять рамную конструкцию. Для усиления балок могут быть применены армированные или железобетонные пояса.
3.9. Одной из эффективных конструкций столбчатых фундаментов на слабо- и среднепучинистых грунтах являются фундаменты на локально уплотненном основании
[2]. Локальное уплотнение грунта достигается забивкой блоков или вытрамбовыванием в основании гнезд, в которые устанавливаются сборные или монолитные фундаменты.
3.10. При устройстве столбчатых фундаментов необходимо предусмотреть свободное пространство - зазор между фундаментной балкой и планировочной поверхностью грунта. Величина зазора должна быть не меньше расчетной величины подъема ненагруженного грунта при морозном пучении, определяемой в соответствии с
п. 4.4.
Подобные зазоры следует предусматривать и на вводах коммуникаций в здание, располагаемых в пределах нормативной глубины сезонного промерзания грунта.
3.11. При строительстве зданий из деревянных конструкций на слабопучинистых грунтах могут быть применены незаглубленные ленточные фундаменты из сборных блоков, свободно уложенных на подсыпку из непучинистого материала.
На среднепучинистых грунтах армированные блоки сечением 0,25 x 0,2 м и длиной не менее 2 м укладываются на подсыпку в два ряда с перевязкой швов. Целесообразно применение на этих грунтах и монолитных железобетонных фундаментов.
3.12. Для зданий ограниченных размеров в плане (при отношении длины здания к его высоте менее 4) могут быть применены незаглубленные фундаменты из монолитных (сборно-монолитных) плит, укладываемых на подсыпках из непучинистых материалов.
3.13. При устройстве сборно-монолитных ленточных фундаментов рекомендуется использовать длинномерные блоки, что позволяет уменьшить трудозатраты на соединение блоков между собой. Сплошные или пустотелые железобетонные блоки высотой 0,22 м, длиной до 6 м могут быть изготовлены в опалубке, предназначенной для панелей перекрытия.
3.14. Значительное снижение расхода материалов при устройстве столбчатых фундаментов достигается применением сборных оболочек, устанавливаемых в открытый котлован или пробуренную скважину.
3.15. Для уменьшения влияния касательных сил морозного пучения рекомендуется предусматривать обмазку выровненных боковых поверхностей фундаментов пластичными смазками и пленками
[6].
3.16. Выбор типа и конструкции фундамента, способа подготовки основания и других мероприятий по уменьшению неравномерных деформаций здания от морозного пучения должен решаться на основе технико-экономического анализа с учетом конкретных условий строительства.
4. РАСЧЕТ ОСНОВАНИЯ МАЛОЗАГЛУБЛЕННОГО ФУНДАМЕНТА
ПО ДЕФОРМАЦИЯМ МОРОЗНОГО ПУЧЕНИЯ ГРУНТА
4.1. При расчете основания малозаглубленных фундаментов по деформациям морозного пучения грунта помимо настоящих Рекомендаций необходимо соблюдать требования главы
СНиП 2.02.01-83 по проектированию оснований зданий и сооружений.
4.2. Расчет основания по деформациям морозного пучения грунта, промерзающего ниже подошвы малозаглубленного фундамента, производится исходя из следующих двух условий:

, (4.1)

, (4.2)
где

- расчетная величина подъема основания от пучения грунта под фундаментом с учетом давления под его подошвой;

- расчетная относительная деформация пучения грунта основания под фундаментом;

;

- соответственно предельные величины подъема и относительной деформации основания, принимаемые по табл. 2.
Таблица 2
Значения предельных деформаций основания
Конструктивные особенности зданий | Предельные деформации оснований зданий фундаментов |
подъем  , см | относительные деформации  |
вид | величина |
Бескаркасные здания с несущими стенами из: | | Относительный прогиб или | |
панелей | 2,5 | выгиб | 0,00035 |
блоков и кирпичной кладки без армирования | 2,5 | Относительный прогиб или выгиб | |
блоков и кирпичной кладки с армированием или железобетонными поясами при наличии сборно-монолитных (монолитных) ленточных или столбчатых фундаментов со сборно-монолитными фундаментными балками | 3,5 | Относительный прогиб или выгиб | |
Здания стоечно-балочной конструкции | 4,0 | Относительная разность подъемов | 0,005 |
Здания с деревянными конструкциями: | | Относительный прогиб или выгиб относительная разность подъемов | |
на ленточных фундаментах | 5,0 | 0,002 |
на столбчатых фундаментах | 5,0 | 0,006 |
<*> Допускается принимать большие значения  , если на основании расчета стены на прочность будет установлено, что напряжения в кладке не превышают расчетных сопротивлений кладки растяжению при изгибе. |
4.3. Расчет деформаций и сил морозного пучения грунтов основания, а также глубины заложения фундамента производится в следующей последовательности:
а) на основе материалов изысканий и данных
табл. 1 определяется степень пучинистости грунтов основания и в зависимости от нее выбирается тип и конструкция фундаментов;
б) определяется величина морозного пучения

ненагруженного грунта при расчетной глубине сезонного промерзания

;
в) исходя из глубины заложения фундамента, размеров его подошвы и толщины подушки из непучинистого материала определяется расчетная величина подъема ненагруженного основания

;
г) определяются температурный режим и динамика сезонного промерзания грунтов основания, на основе которых рассчитывается давление морозного пучения на подошву фундамента;
д) производится проверка условия, согласно которому среднее давление под подошвой фундамента не должно быть больше расчетного сопротивления материала подушки, а давление на глубине заложения подушки - расчетного сопротивления грунта, определяемого в соответствии с главой
СНиП 2.02.01-83 [1];
е) производится расчет основания фундамента по деформациям морозного пучения грунта, удовлетворяющий
условиям (4.1) -
(4.2);
ж) производится расчет фундамента по устойчивости на воздействие касательных сил морозного пучения, который выполняется в соответствии с
разделом 6 настоящих Рекомендаций.
В том случае, когда
условия (4.1),
(4.2) не удовлетворяются, весь расчет повторяется при назначении большей глубины заложения фундамента, увеличении толщины подушки или предусматриваются дополнительные мероприятия в соответствии с
разделом 3 настоящих Рекомендаций.
4.4. Величина морозного пучения (подъем)

(м) ненагруженного глинистого грунта при промерзании до расчетной глубины

(м) определяется в зависимости от расчетной осенней влажности w в промерзающем грунте по следующим формулам:
при


, (4.3)
при


, (4.4)
где

- расчетная влажность передела пучения грунта, определяемая по формуле

; (4.5)
здесь: 0,92;

;

;

- плотность, (т/м3) льда, воды, твердых частиц и сухого грунта соответственно;

- коэффициент содержания незамерзшей воды в мерзлом грунте при температуре, равной

;

- минимальная температура грунта, при которой прекращается его пучение;

и

определяются до данным
табл. 3;

- расчетная температура у открытой поверхности грунта, °C, приравненная к средней многолетней температуре воздуха за зимний период; определяется по
СНиП 2.01.01-82 [5];
w;

;

- те же значения, что в
п. 2.6;

- параметр, выражающий отношение коэффициентов влагопроводности, равный

, (4.6)
где

- полная влагоемкость грунта;

- температурный импульс движения влаги в промерзающем грунте

, (4.7)
где

- оптимальная для движения влаги температура охлаждающей среды при критическом градиенте ее в зоне промерзания, равном в среднем

;

- параметр, характеризующий зону одновременного пучения;

определяется по номограммам рис. 5 (
а,
б);

- параметр, выражающий связь между температурой и содержанием незамерзшей воды в зоне промерзания;

определяется по данным
таблицы 3.
Рис. 5. Значения параметра

для суглинков (а),
супесей и глин (б)
Таблица 3
Значения параметров

,

и температуры прекращения
пучения

для различных видов глинистого грунта
Вид грунта | Число пластичности грунта  | Температура прекращения пучения  , °C | Значение параметров  | Значение коэффициента  при температуре грунта, °C |
-0,3 | -0,5 | -1 | -2 | -3 | -4 | -6 | -8 | -10 |
Супесь | | -1,5 | 3,55 | 0,6 | 0,5 | 0,4 | 0,35 | 0,33 | 0,3 | 0,28 | 0,26 | 0,25 |
Супесь пылеватая | | -2,0 | 5,0 | | | | | | | | | |
Суглинок | | -2,0 | 4,25 | 0,7 | 0,65 | 0,6 | 0,5 | 0,48 | 0,45 | 0,43 | 0,41 | 0,4 |
Суглинок пылеватый | | -2,5 | 5,0 | | | | | | | | | |
Суглинок | | -2,5 | 3,8 | - | 0,75 | 0,65 | 0,55 | 0,54 | 0,5 | 0,48 | 0,46 | 0,45 |
Суглинок пылеватый | | -3,0 | 5,35 | | | | | | | | | |
Глина | | -4,0 | 2,5 | - | 0,95 | 0,9 | 0,65 | 0,63 | 0,6 | 0,58 | 0,56 | 0,55 |
Примечание. Для промежуточных значений температуры величина коэффициента  принимается по интерполяции. |
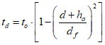
4.5. Величина подъема ненагруженного основания

при пучении грунта ниже подошвы фундамента определяется по одной из формул, приведенных в табл. 4, в соответствии с тремя расчетными схемами, отражающими интенсивность пучения грунта по глубине в зависимости от рельефа местности, гидрогеологических условий строительного участка и увлажненности его грунта. Величина

рассчитывается на основе предварительно заданных значений глубины заложения фундамента d и толщины врезной подушки

.
Таблица 4
Выбор схемы расчета характеристик морозного пучения
грунта под фундаментом в зависимости от гидрогеологических
условий и рельефа участка застройки
Условия увлажнения грунтов по виду рельефа | Расстояние от поверхности грунта до уровня подземных вод, d, м | Ориентировочное значение средней влажности в пределах сезоннопромерзающего слоя,  | Формулы расчета деформации морозного пучения грунта  на глубине заложения фундамента (d) с подушкой  |
1. | Сухие участки - возвышенности, всхолмленные места. Водораздельное плато. Грунты увлажняются только за счет атмосферных осадков | | а)  |  (4.8) |
б)  |  (4.9) |
2. | Сырые участки - слабо всхолмленные места, равнины, пологие склоны с затяжным уклоном, котловины с признаками поверхностного заболачивания. Грунты увлажняются за счет атмосферных осадков и верховодки, частично подземных вод | | |  (4.10) |
3. | Мокрые участки - пониженные равнины, котловины, межсклоновые низины, заболоченные места. Грунты водонасыщаются за счет атмосферных осадков и подземных вод, включая верховодку | | |  (4.11) |
Примечание. Значение  рассчитывается с учетом прогноза изменения уровня подземных вод; z - наименьшее расстояние (м) от границы сезонного промерзания  до уровня подземных вод, при котором эти воды не оказывают влияния на увлажнение промерзающего грунта; значение z определяется по табл. 5. |
Таблица 5
Наименьшее расстояние (z) от границы сезонного
промерзания до уровня подземных вод
Наименование грунта | Значение z, м |
Глины с монтмориллонитовой и иллитовой основой | 3,5 |
Глины с каолинитовой основой | 2,5 |
Суглинки пылеватые с  | 2,5 |
Суглинки с  | 2,0 |
Суглинки пылеватые с  | 2,0 |
Суглинки с  | 1,8 |
Супеси пылеватые с  | 1,5 |
Супеси с  | 1,3 |
Супеси с  , пески пылеватые | 1,0 |
Пески мелкие | 0,8 |
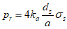
4.6. Давление пучения промерзающего грунта (

, кПа) на подошву фундамента при действии нормальных сил пучения в условиях отсутствия врезной подушки определяется в зависимости от вида фундамента по следующим формулам:
а) при круглой форме подошвы столбчатого фундамента

; (4.12)
б) при квадратной форме подошвы столбчатого фундамента

; (4.13)
в) при прямоугольной форме подошвы столбчатого фундамента

; (4.14)
г) при ленточном фундаменте

, (4.15)
где

- мощность слоя пучащегося грунта, вызывающего ниже подошвы фундамента деформацию

(см.
п. 4.5); для первой схемы расчета

-

, для остальных двух схем -

, м;
r, a, b - соответственно радиус и стороны столбчатого фундамента, м;
b - ширина ленточного фундамента, м;

- коэффициент условий работы пучащегося грунта под фундаментом, определяемый по графику
рис. 6 в зависимости от

и площади подошвы фундамента

; для ленточного фундамента

, где

- длина, равная 1 пог. м;

- сопротивление смещению мерзлого грунта относительно фундамента, вызванному собственно силами пучения, кПа.
Рис. 6. Значения коэффициента

в зависимости
от площади подошвы фундамента

и глубины
промерзания

под ним
Значение

определяется по табл. 6 в зависимости от скорости перемещения

и расчетной температуры промерзшего грунта

под фундаментом.
Таблица 6
Значения сопротивления смещению мерзлого
грунта

, кПа, относительно фундамента
Расчетная температура грунта под фундаментом  , °C | Средняя скорость пучения грунта  , см/сут, промерзающего под подошвой фундамента |
0,02 | 0,04 | 0,06 | 0,08 | 0,1 | 0,12 | 0,14 | 0,16 | 0,18 | 0,2 | 0,25 | 0,3 | 0,35 | 0,4 | 0,45 | 0,5 | 0,55 | 0,6 | 0,65 | 0,7 |
1 | 2 | 3 | 4 | 5 | 6 | 7 | 8 | 9 | 10 | 11 | 12 | 13 | 14 | 15 | 16 | 17 | 18 | 19 | 20 | 21 |
-0,6 | 5 | 11 | 16 | 22 | 27 | 33 | 38 | 44 | 49 | 55 | 68 | 82 | 96 | 110 | 123 | 137 | 151 | 164 | 178 | 192 |
-0,8 | 6 | 12 | 18 | 24 | 30 | 36 | 42 | 48 | 54 | 60 | 76 | 91 | 106 | 121 | 136 | 152 | 167 | 182 | 197 | 212 |
-1 | 7 | 13 | 20 | 27 | 34 | 40 | 47 | 54 | 61 | 67 | 64 | 101 | 118 | 135 | 152 | 169 | 186 | 202 | 210 | 236 |
-1,2 | 7,5 | 15 | 22 | 30 | 38 | 45 | 52 | 60 | 67 | 75 | 94 | 112 | 131 | 150 | 169 | 188 | 206 | 225 | 244 | 262 |
-1,4 | 8 | 16 | 25 | 33 | 41 | 50 | 58 | 67 | 75 | 83 | 104 | 125 | 146 | 167 | 188 | 208 | 229 | 250 | 271 | 292 |
-1,6 | 9 | 18 | 28 | 37 | 46 | 56 | 65 | 74 | 83 | 93 | 116 | 139 | 162 | 185 | 208 | 232 | 254 | 278 | 301 | 324 |
-1,8 | 10 | 20 | 31 | 41 | 51 | 62 | 72 | 82 | 93 | 103 | 128 | 154 | 180 | 206 | 231 | 257 | 283 | 308 | 334 | 360 |
-2 | 11 | 23 | 34 | 46 | 57 | 69 | 60 | 91 | 103 | 114 | 143 | 171 | 200 | 228 | 257 | 286 | 314 | 342 | 371 | 400 |
-2,2 | 13 | 25 | 38 | 51 | 63 | 76 | 89 | 101 | 114 | 127 | 158 | 190 | 222 | 254 | 286 | 317 | 349 | 380 | 412 | 444 |
-2,4 | 14 | 28 | 42 | 56 | 70 | 85 | 98 | 113 | 127 | 141 | 176 | 211 | 247 | 282 | 317 | 353 | 388 | 423 | 458 | 493 |
-2,6 | 15 | 31 | 47 | 62 | 78 | 94 | 109 | 125 | 141 | 156 | 195 | 235 | 274 | 313 | 352 | 391 | 430 | 470 | 509 | 548 |
-2,8 | 17 | 35 | 52 | 69 | 87 | 104 | 121 | 139 | 156 | 174 | 217 | 260 | 304 | 348 | 391 | 435 | 478 | 521 | 565 | 608 |
-3 | 19 | 38 | 58 | 77 | 96 | 116 | 135 | 154 | 174 | 193 | 241 | 289 | 338 | 386 | 434 | 483 | 531 | 579 | 628 | 676 |
-3,2 | 21 | 42 | 64 | 86 | 107 | 129 | 150 | 172 | 193 | 215 | 268 | 322 | 376 | 429 | 483 | 537 | 590 | 644 | 698 | 752 |
-3,4 | 24 | 47 | 72 | 95 | 119 | 143 | 167 | 191 | 215 | 238 | 296 | 358 | 417 | 477 | 536 | 596 | 656 | 715 | 775 | 834 |
-3,6 | 26 | 53 | 79 | 106 | 132 | 159 | 185 | 212 | 238 | 265 | 331 | 397 | 463 | 530 | 596 | 662 | 728 | 794 | 861 | 927 |
-3,8 | 29 | 59 | 88 | 118 | 147 | 176 | 206 | 235 | 265 | 294 | 368 | 441 | 515 | 588 | 662 | 735 | 809 | 882 | 956 | 1029 |
-4 | 33 | 65 | 98 | 131 | 163 | 196 | 229 | 261 | 294 | 327 | 408 | 490 | 572 | 653 | 735 | 817 | 898 | 980 | 1062 | 1143 |
-4,2 | 36 | 72 | 109 | 145 | 181 | 218 | 254 | 290 | 327 | 363 | 454 | 544 | 635 | 726 | 816 | 907 | 998 | 1088 | 1179 | 1270 |
-4,4 | 40 | 81 | 121 | 161 | 201 | 242 | 282 | 322 | 363 | 403 | 504 | 604 | 705 | 806 | 907 | 1007 | 1108 | 1209 | 1310 | 1410 |
-4,6 | 45 | 90 | 134 | 179 | 224 | 269 | 313 | 358 | 403 | 448 | 559 | 671 | 783 | 815 | 1007 | 1119 | 1231 | 1343 | 1455 | 1567 |
-4,8 | 50 | 99 | 149 | 200 | 249 | 298 | 348 | 398 | 447 | 497 | 621 | 746 | 870 | 994 | 1119 | 1243 | 1367 | 1491 | 1616 | 1740 |
-5 | 55 | 110 | 166 | 221 | 276 | 331 | 387 | 442 | 497 | 552 | 690 | 828 | 966 | 1004 | 1242 | 1380 | 1519 | 1657 | 1705 | 1933 |
-5,2 | 61 | 123 | 184 | 245 | 307 | 368 | 429 | 491 | 552 | 613 | 767 | 920 | 1073 | 1227 | 1380 | 1533 | 1687 | 1840 | 1993 | 2147 |
-5,4 | 68 | 136 | 204 | 272 | 341 | 409 | 477 | 545 | 613 | 681 | 852 | 1022 | 1192 | 1362 | 1533 | 1703 | 1873 | 2044 | 2214 | 2384 |
-5,6 | 76 | 151 | 227 | 303 | 378 | 454 | 530 | 605 | 681 | 757 | 946 | 1135 | 1324 | 1513 | 1702 | 1892 | 2081 | 2270 | 2460 | 2648 |
-5,8 | 84 | 168 | 252 | 336 | 420 | 504 | 588 | 672 | 756 | 840 | 1051 | 1261 | 1471 | 1681 | 1891 | 2101 | 2311 | 2521 | 2731 | 2941 |
-6,0 | 93 | 187 | 280 | 373 | 467 | 560 | 653 | 747 | 840 | 933 | 1167 | 1400 | 1634 | 1867 | 2100 | 2334 | 2567 | 2800 | 3034 | 3267 |
-6,2 | 104 | 207 | 311 | 415 | 518 | 622 | 726 | 829 | 933 | 1037 | 1296 | 1555 | 1814 | 2074 | 2333 | 2592 | 2851 | 3110 | 3370 | 3629 |
-6,4 | 116 | 230 | 345 | 461 | 576 | 691 | 806 | 921 | 1036 | 1152 | 1439 | 1727 | 2015 | 2303 | 2591 | 2879 | 3167 | 3455 | 3743 | 4030 |
-6,6 | 128 | 256 | 384 | 512 | 640 | 767 | 895 | 1023 | 1151 | 1279 | 1599 | 1919 | 2238 | 2558 | 2878 | 3198 | 3517 | 3837 | 4157 | 4477 |
-6,8 | 142 | 284 | 426 | 568 | 710 | 853 | 994 | 1137 | 1279 | 1421 | 1776 | 2131 | 2486 | 2841 | 3197 | 3552 | 3907 | 4262 | 4617 | 4972 |
-7,0 | 158 | 316 | 473 | 631 | 789 | 947 | 1105 | 1262 | 1420 | 1578 | 1972 | 2367 | 2761 | 3156 | 3550 | 3945 | 4339 | 4734 | 5128 | 5523 |
Примечание. Для промежуточных значений  и  стены здания. |
Скорость перемещения грунта

, см/сут, при его пучении под фундаментом определяется из выражения

, (4.16)
где

- деформация пучения (подъема) грунта, см, определяемая в соответствии с указаниями
п. 4.5;

- продолжительность периода (месяцы) промерзания грунта под фундаментом

; (4.17)
здесь

- продолжительность периода с отрицательными температурами воздуха, в месяцах, определяемая в соответствии с главой
СНиП 2.01.01-82 [6].
Расчетная температура грунта (

, °C), промерзающего под фундаментом, определяется по формуле

; (4.18)
при

, (4.19)
где

- расчетная температура у поверхности планировки грунта в период его промерзания под фундаментом, °C;

- средняя температура воздуха наиболее холодного месяца зимнего периода, °C, определяемая, как и значение

, в соответствии с главой
СНиП 2.01.01-82.
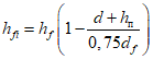
4.7. Величина подъема основания фундамента при промерзании пучащегося грунта под его подошвой с учетом передаваемого на грунт давления определяется по формуле

, (4.20)
где

- давление на промерзающий грунт от внешней нагрузки, кПа;

- коэффициент, учитывающий влияние подушки на напряженное состояние пучинистого грунта; для столбчатых фундаментов

определяется по рис. 7, для ленточных фундаментов - по
рис. 8.
Рис. 7. Значение коэффициента

для столбчатого фундамента
Рис. 8. Значения коэффициента

для ленточного фундамента
а) при толщине подушки

менее ширины фундамента b
б) при толщине подушки

более ширины фундамента b
4.8. Относительная неравномерность деформаций промерзающего основания

без учета жесткости надфундаментных конструкций здания определяется в зависимости от вида фундамента по следующим формулам:
а) для столбчатого фундамента

, (4.21)
б) для ленточного фундамента

, (4.22)
где

- разность деформации основания

и

, м, при промерзании пучащегося грунта под подошвой фундамента с учетом передаваемого на грунт давления, определяемая по одной из трех расчетных схем
п. 4.5 при экстремальных значениях влажности строительной площадки;
l - расстояние между соседними фундаментами, м;

- длина ленточного фундамента, м, у боковой (короткой) стены здания.
4.9. Расчет относительной неравномерности деформаций промерзающего основания с учетом жесткости надфундаментных конструкций здания производится в соответствии с указаниями разд. 5.
5. РАСЧЕТ МАЛОЗАГЛУБЛЕННЫХ ФУНДАМЕНТОВ
И НАДФУНДАМЕНТНЫХ КОНСТРУКЦИЙ С УЧЕТОМ
ДЕФОРМАЦИЙ МОРОЗНОГО ПУЧЕНИЯ ГРУНТА
5.1. Расчет на прочность и эксплуатационную надежность сборно-монолитного (или монолитного) ленточного фундамента, сборно-монолитной фундаментной балки столбчатых фундаментов, стен здания и поясов усиления производится в зависимости от расчетных параметров морозного пучения промерзающих грунтов основания, определяемых в соответствии с указаниями
разд. 4. При этом величины этих параметров обусловлены влиянием расчетной нагрузки и жесткости несущих конструкций здания на грунты основания. Влияние жесткости фундамента и надфундаментных конструкций здания на выравнивание неравномерных деформаций основания при морозном пучении грунта возрастает по мере снижения показателя гибкости конструкций здания

(см.
п. 5.2) или, иначе, с увеличением их жесткости. Для здания и сооружений незначительной жесткости

расчетную относительную неравномерность деформаций основания допускается определять по
формулам (4.21),
(4.22) при

.
| | ИС МЕГАНОРМ: примечание. Нумерация пунктов дана в соответствии с официальным текстом документа. | |
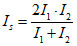
5.22. Относительная неравномерность деформаций основания, сложенного пучинистыми грунтами, с учетом жесткости несущих конструкций здания определяется по формуле

, (5.1)
где

- коэффициент надежности по назначению;
L - длина стены здания, м;

- коэффициент, зависящий от показателя гибкости конструкций здания

; значение

определяется по рис. 9.
Рис. 9. Значения коэффициента

в зависимости
от показателя гибкости конструкций здания

Показатель гибкости конструкций здания

определяется по формуле

, (5.2)
где [EI] - приведенная жесткость на изгиб поперечного сечения конструкций здания в системе стена - фундамент - цоколь - пояс усиления, кН/м2, определяемая в соответствии с указаниями
п. 5.3;
C - коэффициент жесткости основания, принимаемый в зависимости от вида фундамента равным отношению погонной поперечной нагрузки к величине поднятия фундамента в процессе морозного пучения грунта, кН/м2;
для ленточного фундамента

; (5.3)
для столбчатого фундамента

, (5.4)
здесь

;

; b - те же обозначения, что в
пп. 4.6 -
4.7;

- площадь подошвы столбчатого фундамента, м2;

- число столбчатых фундаментов в пределах полудлины стены здания L/2.
Примечание. Расчет значения

производится как для наибольшей, так и для наименьшей длины стены здания.
5.3. Приведенная жесткость на изгиб поперечного сечения конструкции здания в системе фундамент - цоколь - пояс усиления - стена, кН x м2, определяется из выражения

, (5.5)
где

,

,

,

- соответственно жесткость на изгиб фундамента, цоколя, пояса усиления, стены здания.
Жесткость на изгиб, кН x м2, фундамента, цоколя и пояса усиления определяется по формулам

; (5.6)

; (5.7)

, (5.8)
где

,

,

- модуль деформации, кН/м2 (кПа), материала фундамента, цоколя и пояса усиления соответственно;

,

,

- момент инерции, м4, поперечного сечения фундамента, цоколя и пояса усиления соответственно относительно собственной главой центральной оси;

,

,

- площадь поперечного сечения, м2, фундамента, цоколя и пояса усиления соответственно;

,

,

- расстояние, м, от главной центральной оси поперечного сечения фундамента, цоколя и пояса усиления соответственно до условной нейтральной оси сечения системы фундамент - стена; определяется в соответствии с
п. 5.6;

,

,

- соответственно коэффициент условий работы фундамента, цоколя и пояса усиления, принимаемый равным 0,25.
Примечания. 1. Жесткость на изгиб фундамента, состоящего из блоков, не связанных между собой, принимается равной нулю. 2. Если цоколь является продолжением фундамента или обеспечена их совместная работа, цоколь и фундамент следует рассматривать как единый конструктивный элемент. 3. При отсутствии поясов усиления

. 4. При наличии нескольких поясов усиления изгибная жесткость каждого из них определяется по
формуле (5.8).
5.4. Жесткость на изгиб, кН x м2, стен из кирпича, блоков, монолитного бетона (железобетона) определяется по формуле

, (5.9)
где

- модуль деформации материала стены, кН/м2;

- коэффициент условий работы стены, принимаемый равным:

для стен из кирпича,

для стен из блоков,

для стен из монолитного бетона;

- момент инерции поперечного сечения стены, м4; определяется по
формуле (5.10);

- площадь поперечного сечения стены, м2, шириной

, м;

- расстояние, м, от главной центральной оси поперечного сечения стены до условной нейтральной оси сечения системы фундамент - стена; определяется в соответствии с
п. 5.6.
Момент инерции поперечного сечения стены определяется по формуле

, (5.10)
где

и

- соответственно момент инерции сечения стены по проемам и по простенкам,

.
Площадь поперечного сечения стены определяется по формуле

. (5.11)
Расстояние от центра тяжести поперечного сечения стены до ее нижней грани определяется по формуле

. (5.12)
5.5. Жесткость на изгиб, кН x м2, стен панелей определяется по формуле

, (5.13)
где

,

- соответственно модуль деформации, кН/м2, и площадь поперечного сечения, м2, j-й связи;
m - число связей между панелями;

- расстояние от j-й связи до главной центральной оси поперечного сечения фундамента, м;

- расстояние от главной центральной оси поперечного сечения фундамента до условной нейтральной оси системы фундамент - стена здания, определяемое из выражения

; (5.14)
здесь n - число конструктивных элементов в системе фундамент - стена здания.
5.6. Расстояние от главной центральной оси поперечного сечения фундамента до условной нейтральной оси системы фундамент - стена определяется по формуле

, (5.15)
где

,

- соответственно модуль деформации и площадь поперечного сечения i-го конструктивного элемента (цоколя, стены, пояса);

- коэффициент условий работы i-го конструктивного элемента;

- расстояние от главной центральной оси поперечного сечения i-го конструктивного элемента до главной центральной оси поперечного сечения фундамента.
5.7. Обобщенные внутренние усилия (статический момент M, кН x м, и поперечная сила F, кН) в системе фундамент - стена здания определяются по формулам

; (5.16)

, (5.17)
коэффициенты B и

, зависящие от

, определяются по рис. 10.
Рис. 10. Значения коэффициентов B и

в зависимости
от показателя гибкости конструкций здания

Внутренние усилия в отдельных элементах системы фундамент - стена здания определяются по формулам

; (5.18)

, (5.19)
где

,

- соответственно изгибная и сдвиговая жесткость сечения рассматриваемого элемента (фундамента, цоколя, стены, пояса усиления);
G - модуль сдвига, кН/м2, принимаемый равным 0,4E.
Внутренние усилия

, кН, возникающие в связях панельных стен, определяются по формуле

, (5.20)
По найденным внутренним усилиям производится расчет на прочность элементов системы фундамент - стена здания в соответствии с требованиями глав СНиП по проектированию каменных и армокаменных конструкций
(II-22-81), бетонных и железобетонных конструкций
(II-21-75).
6. РАСЧЕТ МАЛОЗАГЛУБЛЕННОГО ФУНДАМЕНТА ПО УСТОЙЧИВОСТИ
НА ВОЗДЕЙСТВИЕ КАСАТЕЛЬНЫХ СИЛ МОРОЗНОГО ПУЧЕНИЯ
6.1. Устойчивость малозаглубленных фундаментов, закладываемых в пределах слоя сезоннопромерзающего пучинистого грунта, определяется с учетом действия касательных сил морозного пучения

, величина которых устанавливается специальными исследованиями, а при их отсутствии - расчетом.
6.2. Расчет касательных сил морозного пучения производится на основании данных обследования грунтов строительной площадки с учетом характеристик их промерзания и пучения.
6.3. В соответствии с условиями устойчивости малозаглубленных фундаментов расчет их на действие касательных сил пучения производится по формуле

, (6.1)
где

- значение расчетной удельной касательной оси пучения, кПа, принимаемое по указаниям
п. 6.4;

- расчетная площадь боковой поверхности фундамента, м2, находящейся в пределах промерзающего грунта;
F - расчетная постоянная нагрузка, кН, от здания, включая массу фундамента;

- коэффициент условий работы, принимаемый равным 1;

- коэффициент надежности, принимаемый равным 1,1.
6.4. Значение расчетной удельной касательной силы пучения

, кПа, определяется по формуле

, (6.2)
где

- значение нормативной удельной касательной оси пучения, кПа, принимаемое для чрезмерно- и сильнопучинистых грунтов равным 110 кПа, для среднепучинистых грунтов - 90 кПа, слабопучинистых - 70 кПа;

- коэффициент, учитывающий материал и состояние боковой поверхности фундамента в пределах промерзающего слоя грунта, для гладкой бетонной необработанной поверхности

; при шероховатой бетонной поверхности с выступами и кавернами до 0,5 см

; то же до 20 см

; при деревянной антисептированной поверхности

; при металлической без специальной обработки -

.
6.5. В случае если устойчивость здания, рассчитываемая на действие касательных сил морозного пучения, не обеспечивается нагрузкой от здания, необходимо применять противопучинные мероприятия по снижению величины сил пучения в соответствии с Рекомендациями
[6] или
Руководством [2].
7. УСТРОЙСТВО МАЛОЗАГЛУБЛЕННЫХ ФУНДАМЕНТОВ
НА ПУЧИНИСТЫХ ГРУНТАХ
7.1. При устройстве малозаглубленных фундаментов следует руководствоваться требованиями глав СНиП по технике безопасности в строительстве и приемке работ.
7.2. На отведенной под строительство площадке в первую очередь необходимо выполнить комплекс работ по инженерной подготовке территории, а именно:
снять дернорастительный или пахотный слой в местах установки фундамента в соответствии с общей планировкой застраиваемого участка;
выполнить предусмотренные проектом работы по отводу поверхностных вод.
7.3. Подготовка основания под малозаглубленный ленточный (столбчатый) фундамент состоит из отрывки траншеи (котлована), зачистки дна, устройства врезной противопучинной подушки. При устройстве подушки непучинистый материал отсыпается слоями толщиной не более 20 см и уплотняется катками или площадочными вибраторами до плотности

.
7.4. Во избежание водонакопления и осыпки стенок траншей (котлованов) отрывку следует производить после завоза фундаментных блоков и других строительных материалов, необходимых для устройства малозаглубленных фундаментов.
7.5. После укладки фундаментных блоков пазухи траншей (котлованов) должны быть засыпаны предусмотренным в проекте материалом (непучинистым или местным грунтом) с обязательным уплотнением.
7.6. После окончания работ по устройству фундаментов следует незамедлительно закончить вокруг здания планировку с обеспечением стока атмосферных вод от здания.
7.7. Не допускается оставлять малозаглубленные (незаглубленные) фундаменты незагруженными на зимний период. Если это условие по каким-либо обстоятельствам оказывается невыполненным, вокруг фундаментов следует устраивать временные теплоизоляционные покрытия из опилок, шлака, керамзита, шлаковаты, соломы и других материалов, предохраняющих грунт от промерзания.
7.8. При устройстве отмосток следует выполнять рекомендации, изложенные в
Руководстве [2].
7.9. Запрещается устраивать малозаглубленные фундаменты на промерзшем основании. В зимнее время допускается устраивать малозаглубленные фундаменты только при условии глубокого залегания грунтовых вод с предварительным оттаиванием мерзлого грунта и обязательной засыпкой пазух непучинистым материалом.
7.10. При массовом устройстве малозаглубленных фундаментов оттаивание мерзлых грунтов следует производить в соответствии с Руководством
[3].
8. ТЕХНИКО-ЭКОНОМИЧЕСКИЕ ПОКАЗАТЕЛИ РАЦИОНАЛЬНОГО
ПРИМЕНЕНИЯ МАЛОЗАГЛУБЛЕННЫХ ФУНДАМЕНТОВ
8.1. Технико-экономическая оценка и опыт экспериментального строительства зданий на малозаглубленных фундаментах (МЗФ) позволяют отнести их к высокоэффективным конструкциям нулевого цикла и рекомендовать для широкого внедрения в рамках их рационального применения. Внедрение МЗФ дает возможность получить значительный экономический эффект, существенно снизить затраты ручного труда, транспортные издержки и затраты топливно-энергетических ресурсов.
8.2. Оценка эффективности применения МЗФ при сопоставлении их с фундаментами, заглубляемыми ниже слоя сезонного промерзания пучинистых грунтов (фундаменты обычного заложения), выполнена в соответствии с основными методическими положениями "
Инструкции по определению экономической эффективности капитальных вложений в строительстве" (Госстрой СССР, М., Стройиздат, 1979) и "Руководства по выбору проектных решений фундаментов" (НИИОСП, НИИЭС и ЦНИИПроект Госстроя СССР. М., Стройиздат, 1984).
При расчете и сопоставлении технико-экономических показателей приняты следующие исходные данные:
а) грунты основания - однородные слабо- и среднепучинистые суглинки о расчетной глубиной промерзания 1,5 м; глубина заложения МЗФ принята равной 0,4 м;
б) нагрузка на 1 м ленточного фундамента составляет 40 - 60 кН, а на столбчатый фундамент - от 60 до 120 кН
<*>;
в) приведенные затраты рассчитаны применительно к центральным районам страны на 1 тыс. м2 площади застройки.
--------------------------------
<*> С увеличением нагрузки на фундамент эффективность применения МЗФ возрастает.
8.3. При замене сборных ленточных фундаментов обычного заложения на сборные МЗФ (табл. 7) расход цемента сокращается на 37%, а условного топлива - на 48%. Объем земляных работ, выполняемых вручную, уменьшается на 45%, а объем автоперевозок - на 50%. При этом расход стали на 1 мг площади застройки практически одинаков или увеличивается на 0,1 кг. Приведенные затраты снижаются на 46%, суммарные трудозатраты - на 44%, затраты труда на стройплощадке - на 25%, а капитальные вложения - на 69%.
Таблица 7
Экономическая эффективность применения
малозаглубленных ленточных сборных фундаментов
(на 1 тыс. м2 площади застройки)
Наименование показателя | Снижение (-) и увеличение (+) затрат при применении малозаглубленных сборных фундаментов взамен |
ленточных из сборных бетонных блоков <*> | ленточных из монолитного бетона <*> |
руб. | % | руб. | % |
Приведенные затраты | -3217 | 46 | -1072 | 23 |
Себестоимость | -2736 | 44 | -1008 | 22 |
Капитальные вложения в базу | -3489 | 69 | +98 | 7 |
Суммарные затраты труда | 605 | 44 | -326 | 30 |
в том числе на стройплощадке | -106 | 25 | -459 | 60 |
Расход | | | | |
цемента | -7,45 | 37 | +0,83 | 7 |
металла | +111 | 31 | +463 | - |
условного топлива | -6,35 | 48 | -0,61 | 8 |
Объем земляных работ, выполняемых вручную | -10 | 45 | -8 | 40 |
Автогрузооборот основных строительных грузов | -9825 | 50 | +2385 | 33 |
<*> При заложении фундаментов на расчетную глубину промерзания грунтов 1,5 м. |
8.4. В случае замены монолитных ленточных фундаментов обычного заложения на сборные МЗФ расход цемента сокращается на 7%, условного топлива - на 8%, объем земляных работ, выполняемых вручную, - на 40%, а объем автоперевозок - на 33%. Приведенные затраты снижаются на 23%, суммарные затраты труда - на 30%, а капитальные вложения - на 7%. При этом расход стали увеличивается на 0,4 - 0,5 кг/м2 площади застройки.
8.5. Замена монолитных и сборных фундаментов обычного заложения монолитными МЗФ (табл. 8) позволяет снизить приведенные затраты соответственно в 2 и 3 раза, капитальные вложения - в 2,4 и 8,3 раза, расход цемента - на 9 и 45%, расход топлива и объем земляных работ, выполняемых вручную, - на 40 и 70%, а грузооборот - в 2 и 5,6 раза. При этом суммарные трудозатраты сокращаются в 2,2 - 2,7 раза, а затраты труда на стройплощадке - в 2,3 - 1,2 раза.
Таблица 8
Экономическая эффективность применения
малозаглубленных ленточных монолитных фундаментов
(на 1 тыс. м2 площади застройки)
Наименование показателя | Снижение (-) и увеличение (+) затрат при применении малозаглубленных монолитных фундаментов взамен |
ленточных из монолитного бетона <*> | ленточных из сборных бетонных блоков <*> |
руб. | % | руб. | % |
Приведенные затраты | -2528 | 53 | -4673 | 68 |
Себестоимость | -2376 | 52 | -4104 | 66 |
Капитальные вложения в базу | -862 | 58 | -4449 | 88 |
Суммарные затраты труда | -586 | 54 | -856 | 63 |
в том числе на стройплощадке | -432 | 57 | -79 | 19 |
Расход | | | | |
цемента | -1,03 | 9 | -9,31 | 46 |
металла | +389 | - | +37 | 10 |
условного топлива | -3,48 | 42 | -9,22 | 70 |
Объем земляных работ, выполняемых вручную | -8 | 40 | -10 | 70 |
Автогрузооборот основных строительных грузов | -3720 | 52 | -15930 | 82 |
<*> При заложении фундаментов на расчетную глубину промерзания грунтов 1,5 м. |
8.6. Применение монолитных ленточных МЗФ взамен аналогичных сборных позволяет уменьшить приведенные затраты в 1,6, капитальные вложения - в 2,6, суммарные затраты труда - в 1,5 раза. При этом сокращается расход цемента и металла в 1,2, топлива - в 1,7, а автоперевозки - в 2,8 раза.
8.7. По мере увеличения глубины промерзания грунтов в пределах от 1 до 2 м (табл. 9) затраты на устройство ленточных МЗФ возрастают в меньшей степени, чем при возведении фундаментов обычного заложения. Так, с увеличением глубины промерзания на каждые 0,5 м основные технико-экономические показатели возведения МЗФ возрастают в среднем на 8 - 10%, тогда как затраты на устройство фундаментов обычного заложения увеличиваются на 20 - 40%.
Таблица 9
Экономическая эффективность применения
малозаглубленных ленточных монолитных фундаментов
в зависимости от расчетной глубины промерзания
грунтов (на 1 тыс. м2 площади застройки)
Тип заменяемого фундамента | Расчетная глубина промерзания грунта, м | Экономический эффект, рассчитанный по |
приведенным затратам, руб. | суммарным затратам труда, чел.-ч. | объему автогрузоперевозок основных строительных грузов, т-км |
Ленточный из сборных бетонных блоков, заложенных ниже глубины промерзания грунтов | 1,0 | 2980 | 532 | 11070 |
1,5 | 4673 | 865 | 15930 |
2,0 | 5820 | 1193 | 19130 |
Ленточный из монолитного бетона, заложенный ниже глубины промерзания грунтов | 1,0 | 1300 | 312 | 1890 |
1,5 | 2528 | 586 | 3720 |
2,0 | 3800 | 885 | 5220 |
Малозаглубленный из сборных бетонных блоков | 1,0 | 1240 | 217 | 5420 |
1,5 | 1456 | 260 | 6105 |
2,0 | 1470 | 263 | 6010 |
Примечание. Технико-экономические показатели ленточных монолитных МЗФ при расчетной глубине промерзания грунтов в пределах 1 - 2 м следующие: приведенные затраты 2120 - 2500 руб., суммарные затраты труда - 470 - 550 чел.-ч и объем автогрузоперевозок 3250 - 4280 т-км. |
8.8. Расчет сметной стоимости См или других показателей эффективности (приведенных затрат - Пм, затрат труда - Тм, капитальных вложений - Км и др.) устройства МЗФ в зависимости от глубины сезонного промерзания пучинистых грунтов и глубины заложения МЗФ, а также толщины противопучинной подушки может быть ориентировочно произведен по формуле

, (8.1)
где

- стоимость устройства МЗФ, руб.;
d - глубина заложения МЗФ (от спланированной поверхности до противопучинной подушки), м;

- расчетная глубина сезонного промерзания грунта (глубина заложения фундамента обычного заложения), м;

- стоимость устройства фундамента обычного заложения, руб.;

- стоимость устройства противопучинной подушки, руб;

- стоимость работ по дополнительному армированию МЗС и устройству армопоясов, руб.
8.9. Область рационального применения ленточных и столбчатых МЗФ на слабо- и среднепучинистых грунтах при расчетной глубине промерзания до 2 м приведена в табл. 10.
Область рационального применения ленточных
и столбчатых МЗФ на слабо- и среднепучинистых
грунтах при расчетной глубине промерзания до 2 м
Тип малозаглубленного фундамента | Тип фундамента обычного заложения | Расчетная глубина промерзания грунта, м | Снижение приведенных затрат, % |
1 | 2 | 3 | 4 |
Ленточный сборный | Ленточный сборный из полнотелых, пустотелых и облегченных блоков | Более 0,5 | 15 - 55 |
Ленточный монолитный | Ленточный сборный из полнотелых блоков | То же | 25 - 70 |
Ленточный сборный из пустотелых или облегченных блоков | -"- | 20 - 60 |
Ленточный монолитный | -"- | 15 - 60 |
Столбчатый сборный | -"- | 30 - 55 |
Столбчатый сборный | Ленточный сборный из полнотелых блоков | Более 1,2 | 10 - 45 |
Ленточный сборный из пустотелых или облегченных блоков | Более 1,4 | 10 - 35 |
Столбчатый монолитный | Ленточный сборный из полнотелых блоков | Более 1,0 | 10 - 50 |
Ленточный сборный из пустотелых или облегченных блоков | Более 1,3 | 5 - 40 |
В сильно- и чрезмернопучинистых грунтах с высоким уровнем подземных вод предпочтительны МЗФ на непучинистых подсыпках.
Требуется рассчитать и запроектировать малозаглубленный фундамент под одноэтажный дом с полами на лагах по грунту, возводимый вблизи г. Вологды. Расчетная температура воздуха в помещении принята +5 °C;
(табл. 1) [1]. Материалом стен дома является легкий бетон М 75, имеющий модуль упругости

. Длина наружных стен дома

;

; высота стен

; наибольшая высота проемов

; толщина стен

.
Исходные данные о климатических, морфологических
и грунтовых условиях площадки строительства
В соответствии с главой
СНиП 2.01.01-82 район строительства характеризуется следующими среднемесячными отрицательными температурами воздуха
месяц | XI | XII | I | II | III |
T, °C | -3,6 | -9,2 | -11,8 | -11,4 | -6,4 |
Средняя температура наиболее холодного месяца

, общая продолжительность периода с отрицательной среднесуточной температурой

. Рельеф участка ровный, слабовсхолмленный. Грунты площадки представлены покровными суглинками, которые в пределах нормативной глубины промерзания
[2] имеют следующие средние водно-физические показатели:

;

;

;

;

; экстремальные значения средней по глубине расчетной предзимней влажности грунта на площадке равны

;

(см.
пример 1 Приложения); подземные воды залегают на глубине 3 м.
Выбор типа фундамента
Для выбора типа и конструкции фундамента оценим согласно
п. 2.6 степень пучинистости грунта, для чего предварительно определим среднезимнюю температуру воздуха

, критическую влажность

и параметр


.
или с учетом исходной плотности грунта


.
Согласно
табл. 1 площадка сложена среднепучинистыми грунтами, что в соответствии с
п. 3.7 позволяет запроектировать ленточный фундамент из армированных связанных между собой бетонных блоков, уложенных на песчаную подушку.
Ширина блоков b = 0,4 м; высота 0,58 м; бетон тяжелый М100 с модулем упругости

. Давление на подошву фундамента составляет 28,4 кН (2,84 т) на 1 м или 71 кПа (7,1 тс/м2).
Расчет глубины заложения фундамента, деформаций и сил морозного пучения производится в той же последовательности, которая изложена в
п. 4.3.
Для оценки общей величины пучения

при сезонном промерзании суглинка до расчетной глубины

определим параметры

;

;

;

;

;

;

.

.
Для расчета по
формуле (4.6) коэффициента

найдем полную влагоемкость грунта:

;

.
По графику
рис. 5а определим параметр

при влажности

и

.

;

.
Оптимальная температура

при

будет равна

.
Значение

, следовательно

.
Примем глубину заложения фундаментов d = 0,2 м при толщине песчаной подушки под ним

.
В соответствии с
табл. 4 и
5 при

(3,0 - 1,5 < 1,8) и при

(0,25 > 0,21 + 0,033) значение величины пучения

под фундаментом определим по 2-й расчетной схеме
(формула 4.10):

.
Давление пучения

промерзающего грунта на подошву фундамента рассчитываем по
формуле (4.15), определив предварительно коэффициент

и параметры

,

,

и

необходимые для оценки табулированного значения

.
При

и

по графику
рис. 6 найдем

.

;

.
Значения температуры у поверхности грунта

и под подошвой фундамента

определим по
формулам (4.19) и
(4.18).

.
Расчетное значение

, следовательно, примем

,

.

.
Давление пучения будет равно

.
Расчетную величину подъема основания

при пучении с учетом передаваемого на промерзающий грунт давления и влияния песчаной подушки (

,
рис. 8а) определим по
формуле (4.20):

.
Расчетную относительную неравномерность деформаций оснований

без учета жесткости конструкций здания для ленточного фундамента длиной

определим по
формуле (4.22):

.
В соответствии с данными
табл. 2 для зданий из блоков и кирпичной кладки предельные величины подъема и относительной неравномерности деформаций будут равны

.
Эти данные свидетельствуют о том, что проведенный расчет будет удовлетворять только
условию (4.1), т.е.

.
Для проверки эксплуатационной надежности здания проведем оценку влияния жесткости фундамента и надземных конструкций на выравнивание неравномерных деформаций основания.
Определим жесткость на изгиб системы фундамент - стена здания.
Момент инерции сечения участка стены над проемом относительно собственной главной центральной оси составит

.
Расстояние между главной центральной осью сечения участка стены над проемом и главной центральной осью стены будет равно

.
Момент инерции сечения участка стены над проемом относительно главной центральной оси всей стены составит

.
Момент инерции сечения участка стены по простенку относительно главной центральной оси стены составит

.
Приведенный момент инерции сечения стены будет равен

.

.
Расстояние от центра тяжести приведенного поперечного сечения стены до ее нижней грани определим по
формуле (5.12):

.
Расстояние от главной центральной оси поперечного сечения фундамента до условной центральной оси системы фундамент - стена здания определим по
формуле (5.14):

.
Жесткость на изгиб поперечного сечения фундамента и стены в соответствии с
формулами (5.6) и
(5.9) составит
где

.
Приведенная жесткость на изгиб системы фундамент - стена здания будет равна

.
По
формуле (5.2) определим показатель гибкости конструкций здания

, предварительно найдя по
формуле (5.3) значение коэффициента C жесткости основания для ленточного фундамента:

,

.
Для продольной стены здания

значение

. По графику
рис. 9 находим значения коэффициентов

для оценки

:

;

.

.
Полученное значение

.
Следовательно, эксплуатационная надежность здания обеспечивается расчетом.
Проверена устойчивость здания на действие касательных сил морозного пучения.
Приняв в соответствии с
формулой (6.2) значение

(90 кН/м2), произведем по
формуле (6.1) при

проверку устойчивости здания на действие касательной силы пучения, отнесенной к 1 м наружной стороны фундамента

.
ОПРЕДЕЛЕНИЕ ЗНАЧЕНИЯ РАСЧЕТНОЙ ПРЕДЗИМНЕЙ ВЛАЖНОСТИ
В условиях глубокого залегания подземных вод (расчетные схемы 1 - 2,
табл. 4), когда грунты сезоннопромерзающего слоя

увлажняются преимущественно за счет атмосферных осадков, для долгосрочного прогноза деформаций морозного пучения необходима оценка расчетной влажности w.
Значение расчетной предзимней влажности w определяется по формуле

, (1)
где

- коэффициент, учитывающий различие в условиях испарения с поверхности грунта в периоды

и

; при некотором запасе надежности расчета w значение

;

- средняя влажность грунта слоя

, полученная при изысканиях в летне-осенний период;

- расчетное количество осадков, выпавших за некоторый летний период

(месяцы), предшествующий моменту проведения изысканий;

- расчетное количество осадков, выпавших в предзимний (до установления среднемесячной отрицательной температуры воздуха) период

(месяцы), равный по продолжительности периоду

; значения

и

определяются по среднемноголетним данным "Справочника по климату".
Примечание.
Формула (1) справедлива при допущении, что поверхностный ток на строительной площадке в периоды

и

остается неизменным.
Продолжительность периода

, сут, определяется отношением

, (2)
где k - коэффициент фильтрации, м/сут.
Ориентировочные значения

для отдельных видов глинистых грунтов составляют: для супеси 0,5 - 1 мес., для суглинка 2 мес., для глины 3 мес.
Пример 1. Определить расчетную влажность покровного суглинка на стройплощадке вблизи г. Вологды при нормативной глубине промерзания

.
На момент изысканий в конце июля экстремальные значения влажности этого грунта в слое

были равны

;

; коэффициент фильтрации

.
Согласно данным "Справочника по климату", вып. 1 (Л., Гидрометеоиздат, 1968), среднемесячное количество осадков, выпадающих в летне-осенний период в районе г. Вологды (табл. 1а, станции 320, 321), составляет:
Месяц | VI | VII | VIII | IX | X |
Количество осадков, мм | 74 | 76 | 75 | 72 | 58 |

.
Расчетное количество осадков за этот летний период составит

.
Расчетное количество осадков за период 1,7 месяца до начала промерзания грунта составит

.
Расчетные экстремальные значения влажности при

и

по
формуле (1) будут равны:

;

.
Пример 2. Определить расчетную влажность глины на стройплощадке в г. Архангельске при следующих исходных данных:

;

; экстремальные значения влажности, полученные при изысканиях в середине августа, равны

;

; среднемесячное количество осадков согласно данным "Справочника по климату", вып. 1, составляет:
Месяц | V | VI | VII | VIII | IX | X |
Количество осадков, мм | 48 | 66 | 69 | 68 | 73 | 70 |

.
Расчетное количество осадков за этот период составит

.
Расчетное количество осадков за трехмесячный предзимний период составит

.
Расчетные экстремальные значения влажности будут равны

.
1. Строительные
нормы и правила. Основания зданий и сооружений (СНиП 2.02.01-83), М., Стройиздат, 1984.
2.
Руководство по проектированию оснований и фундаментов на пучинистых грунтах. М., Стройиздат, 1979.
3.
Руководство по технологии физико-химического укрепления промерзающих и оттаивающих грунтов. М., Стройиздат, 1977.
4.
Руководство по определению физических, теплофизических и механических характеристик мерзлых грунтов. М., Стройиздат, 1973.
5. Строительные
нормы и правила. Строительная климатология и геофизика (СНиП 2.01.01-82), М., Стройиздат, 1988.
6. Рекомендации по уменьшению касательных сил морозного выпучивания фундаментов с применением пластических смазок. М., НИИОСП, 1983.