Главная // Актуальные документы // Рекомендация / РекомендацииСПРАВКА
Источник публикации
М.: ЦНИИПСК, 1985
Примечание к документу
Название документа
"Рекомендации по проектированию бистальных балок"
"Рекомендации по проектированию бистальных балок"
Директор института
ЦНИИпроектстальконструкция
им. Мельникова
В.В.КУЗНЕЦОВ
РЕКОМЕНДАЦИИ
ПО ПРОЕКТИРОВАНИЮ БИСТАЛЬНЫХ БАЛОК
Настоящие Рекомендации разработаны в развитие главы
СНиП II-23-81 "Стальные конструкции. Нормы проектирования", стандарта СЭВ СТ СЭВ 384-76 "Строительные конструкции и основания. Основные положения по расчету", а также "
Рекомендаций по расчету стальных конструкций на прочность по критериям ограниченных пластических деформаций" (ЦНИИпроектстальконструкция им. Мельникова, 1985).
В Рекомендациях рассмотрены вопросы проектирования бистальных балок, работающих на статическую, подвижную многократно повторную (в частности вибрационную) нагрузки, а также вопросы уточненных расчетов вышеуказанных конструкций на прочность по критерию ограниченных пластических деформаций с учетом влияния касательных напряжений, местного воздействия подвижной нагрузки, приспособляемости, выносливости и местной устойчивости.
С учетом действующих норм проектирования мостов Рекомендации могут быть использованы при проектировании бистальных пролетных строений. На проектирование тонкостенных бистальных балок настоящие Рекомендации не распространяются.
Составители Рекомендаций: доктор техн. наук, проф. Н.Н. Стрелецкий, к.т.н. Ю.Я. Леус (ЦНИИпроектстальконструкция им. Мельникова), к.т.н. Н.Л. Чернов, к.т.н. В.С. Шебанин (Одесский ИСИ), к.т.н. В.И. Киреенко (УкрнииПСК), к.т.н. Б.И. Любаров (ГПИ ЛенПСК), к.т.н. В.И. Моисеев (Электростальский Филиал МИСИС), к.т.н. В.М. Картапольцев (Томский ИСИ), инж. Е.К. Салатов (МИСИ им. В.В. Куйбышева).
Отзывы, предложения и материалы следует направлять по адресу: 117814, Москва, ГСП-7, ул. Архитектора Власова, 49, ЦНИИпроектстальконструкция им. Мельникова, отдел протяженных инженерных сооружений (ОПРИС).
ОСНОВНЫЕ УСЛОВНЫЕ ОБОЗНАЧЕНИЯ

- предельная величина пластической составляющей интенсивности деформации;
Rw - расчетное сопротивление по пределу текучести стали стенки;
Rf - расчетное сопротивление по пределу текучести стали полки;
Rsw - расчетное сопротивление сдвигу стали стенки;

- касательное напряжение;

- местное сминающее напряжение в стенке балки;
E - модуль упругости стали;
A1 - площадь сечения большего пояса бистальной балки;
A2 - площадь сечения стенки бистальной балки (или двух стенок при коробчатом поперечном сечении);
A3 - площадь сечения меньшего пояса балки;
Af - площадь двух поясов;
Wx,min - минимальный момент сопротивления сечения балки;
Jx, Jy - моменты инерции сечения относительно его осей X и Y;
x, y - координаты рассматриваемой точки сечения относительно его осей X и Y (ось X перпендикулярна стенке);
S - статический момент сдвигаемой части сечения относительно нейтральной оси;
tw - толщина стенки;
h - высота балки;
hw - высота стенки балки;
hef - расчетная высота стенки;
bf - ширина пояса балки;
tf - толщина пояса балки;
h1 - высота сжатой зоны стенки, определяемая из условия равновесия сжимающего и растягивающего усилий в сечении балки;
h2 - высота растянутой зоны балки;
bef - расчетная ширина свеса сжатой полки балки;
N, Mx, My - продольная сила и изгибающие моменты относительно осей X и Y;
Q - поперечная сила в сечении балки;
M - расчетный изгибающий момент в середине проверяемого на устойчивость отсека стенки;
Mн - изгибающий момент от нормативных нагрузок.
1.1. Рекомендации выпускаются для практического использования в объединении Союзметаллостройниипроект с целью получения дополнительной экономии стали и снижения стоимости балок, выполняемых из двух марок стали (бистальных), при одновременном увеличении их равнопрочности, а также с целью всесторонней апробации новой методики расчета бистальных конструкций.
1.2. Бистальные балки могут применяться в качестве подкрановых балок под краны облегченного и нормального режимов работы, в покрытиях и перекрытиях общественных и производственных зданий (в том числе в качестве ригелей рам), в рабочих площадках, в пролетных строениях автодорожных и железнодорожных мостов.
1.3. Рекомендации распространяются на расчеты бистальных балок на прочность, устойчивость стенок и свесов поясов, а также на выносливость при действии статических, подвижных и вибрационных нагрузок, вызывающих изгиб в плоскости стенки, двухосный изгиб и изгиб с осевыми силами.
1.4. Развитие пластических деформаций при расчете прочности бистальных балок учитывается двумя способами:
а) по ранее разработанному способу расчета, при котором пластические деформации учитываются только в стенках балок за счет разности пределов текучести материала стенок и поясов при сохранении работы поясов в пределах упругости;
б) по предлагаемому дополнительно настоящими Рекомендациями способу расчета, при котором по аналогии с моностальными конструкциями учет ограниченных пластических деформаций разрешается не только в стенках, но и в поясах бистальных балок, выполняемых из сталей более высокой прочности. При этом для возможности учета плоского напряженного состояния в стенках ограничению подлежат интенсивности пластических деформаций

.
1.5. Для расчета на прочность по первой группе предельных состояний, гарантирующей от полной потери эксплуатационной пригодности вследствие развития пластических деформаций, устанавливаются следующие группы бистальных балок, отличающиеся нормами предельных интенсивностей пластических деформаций

:
1 группа, для которой расчеты прочности выполняются в предположении упругой работы поясов и развития пластических деформаций в стенке за счет разности
Rf и
Rw - балки при расчетном сопротивлении стали поясов

, найденном по временному сопротивлению, меньшим расчетного сопротивления по пределу текучести.
2 группа, для которой

- балки, непосредственно воспринимающие подвижные и вибрационные нагрузки: подкрановые балки под краны с режимной группой эксплуатации 1К ... 5К согласно
ГОСТ 25546-82 (с применением коэффициента условий работы

); балки рабочих площадок; балки бункерных и разгрузочных эстакад; балки транспортерных галерей; балки под краны гидротехнических сооружений; балки стальных и сталежелезобетонных мостов и т.п.
3 группа, для которой

- балки, работающие под статическими нагрузками: балки перекрытий и покрытий; ригели рам; ригели фахверка; балки, поддерживающие технологическое оборудование; ригели эстакад и другие изгибаемые, растянуто-изгибаемые и сжато-изгибаемые конструктивные элементы.
4 группа, для которой

- балки, работающие под статическими нагрузками, но не имеющие зон чистого (без поперечных сил) изгиба и продольных ребер жесткости, не воспринимающие местных (локальных) нагрузок и отличающиеся повышенной общей устойчивостью согласно
п. 5.20 СНиП II-23-81 и повышенной устойчивостью стенок и свесов поясов согласно
разделу 4 настоящих Рекомендаций.
В случае, если ограничение

в стенке приводит к недонапряжению в поясе согласно
формуле (2.1), предельные значения

в стенке в местах ее применения к поясу увеличиваются в пределах до 50%, если условия устойчивости стенки этому не препятствуют.
1.6. Балки выполняют из одной марки стали (моностальными) и рассчитывают без учета развития пластических деформаций в следующих случаях:
- если

;
- если усилия в балке меняют знак, а в стенке в зоне ее соединения с поясом

(1.1)
что может привести к знакопеременной текучести; здесь

,

,

и

- соответственно максимальные и минимальные нормальные и касательные напряжения, вычисленные по огибающим эпюрам напряжений в предположении упругой работы материала;
- если продольная сила N > 0,7 (RfAf + A2Rw).
1.7. При упругопластическом расчете бистальных балок пределы текучести сталей поясов и стенки принимаются равными их расчетным сопротивлениям
Rf и
Rw соответственно. Диаграммы работы материала
(рис. 1) приняты с закруглениями от напряжений 0,9
Rf(w) на участке, соответствующем упругой работе, до деформаций 1,1
Rf(w)/E при напряжениях
Rf(w). За закруглением следует площадка текучести. Для стали с пределом текучести 590 МПа (60 кгс/мм
2) площадка текучести на диаграмме отсутствует, расчетное сопротивление

определяется в соответствии с
разделом 4 СНиП II-23-81.
В поясах балок учитывается только одноосное напряженное состояние, поэтому в них ограничивается продольная пластическая деформация

. В месте соединения пояса со стенкой, исходя из совместности деформаций, деформация

в поясе меньше продольной пластической деформации в стенке на величину (
Rf -
Rw)/
E.
При одноосном изгибе, в том числе с продольной силой, предельное значение пластических деформаций всегда достигается в стенке балки (рис. 2 д, е, ж, з), а при косом изгибе, в том числе с продольной силой, как правило, предельные пластические деформации развиваются на краю полки (рис. 2 и, к).
1.8. Расчет прочности бистальных балок рекомендуется выполнять в форме проверки условных напряжений в определенных точках сечения. Для этого в формулы расчета в предположении упругости вводятся поправочные коэффициенты
Cx и
Cy, учитывающие изменение воспринимаемого бистальным сечением изгибающего момента при развитии ограниченных пластических деформаций по сравнению с изгибающим моментом, воспринимаемым моностальным сечением из стали с расчетным сопротивлением
Rf при упругой работе. Коэффициенты
Cx и
Cy вычислены для случая одноосного изгиба при действии только продольных напряжений

и, следовательно, при ограничении продольных деформаций

, численно равных значениям

для соответствующих групп балок.
Воздействие напряжений

и

в стенке, создающих плоское напряженное состояние и требующих ограничения интенсивности пластических деформаций

, учитывается умножением коэффициентов
Cx на коэффициенты

и

соответственно.
Выпуклость и асимметричность кривых взаимодействия изгибающих моментов и продольной силы за пределом упругости учитывается при помощи коэффициентов

и

. Все перечисленные коэффициенты вычислены по специальной программе на ЭВМ с использованием диаграмм работы стали согласно
рис. 1, гипотезы плоских сечений и условий равновесия.
1.9. Для увеличения точности расчета прочности разрешается составление и использование специальных программ расчетов на ЭВМ, основанных на рассмотрении упругопластической работы бистальных сечений и на непосредственной проверке ограничения интенсивности пластических деформаций по формуле

(1.2)
к которой в неявной форме сводится предлагаемый Рекомендациями расчет в форме проверки условных напряжений.
1.10. При расчете бистальных балок следует учитывать коэффициенты надежности по назначению

, коэффициенты условий работы

и коэффициенты условий работы соединений

, принимаемые по
СНиП II-23-81.
1.11. Для неразрезных и защемленных бистальных балок постоянного в пределах каждого пролета двутаврового сечения следует учитывать перераспределение опорных и пролетных моментов в связи с развитием пластических деформаций в предельном состоянии.
Расчетные значения изгибающего момента следует определять по формуле

(1.3)
где Mmax - наибольший изгибающий момент в пролете или на опоре, определяемый из расчета неразрезной балки в предположении упругой работы материала;

- коэффициент перераспределения моментов, определяемый по формуле

(1.4)
где n - коэффициент, принимаемый по формулам в зависимости от вида нагрузки и величины предельной пластической деформации:

- для статической нагрузки;

- для подвижной нагрузки;
Mef - условный изгибающий момент, равный
а) в неразрезных балках со свободно опертыми концами - большему из значений

(1.5)
Mef = 0,5M2, (1.6)
где символ max означает, что следует найти максимум всего следующего за ним выражения;
M1 - изгибающий момент в крайнем пролете, вычисленный как в свободно опертой однопролетной балке;
M2 - максимальный изгибающий момент в промежуточном пролете, вычисленный как в свободно опертой однопролетной балке;
a - расстояние от сечения, в котором действует момент M1, до крайней опоры;
l - длина крайнего пролета;
б) в однопролетных и неразрезных балках с защемленными концами Mef = 0,5M3, где M3 - наибольший из моментов, вычисленных как в балках с шарнирами на опорах;
в) в балках с одним защемленным и другим свободно опертым концом значения
Mef следует определять по
формуле (1.5).
Расчетное значение поперечной силы Q следует принимать в месте действия Mmax. Если Mmax - момент в пролете, следует проверить опорное сечение балки.
При учете такого перераспределения изгибающих моментов для бистальных балок
группы 4 согласно п. 1.5 принцип суперпозиции нагрузок неприменим, и линии влияния не должны использоваться.
1.12. Для бистальных балок переменного сечения по длине расчеты на прочность с учетом развития пластических деформаций следует выполнять для всех сечений в местах с наиболее неблагоприятными сочетаниями усилий M и Q.
2. ВЫБОР МАРОК СТАЛЕЙ И КОНСТРУКТИВНЫЕ
ФОРМЫ БИСТАЛЬНЫХ БАЛОК
2.1. В бистальных балках применяются стали с пределом текучести 215 - 590 МПа (22 - 60 кгс/мм
2), марки стали назначаются в соответствии с
табл. 50 СНиП II-23-81. В поясах бистальных балок используется сталь более высокой прочности, чем в стенках. Соотношение расчетных сопротивлений стали поясов
Rf и стали стенки
Rw должно назначаться из условия экономии расхода стали, уменьшения стоимости конструкции, а также обеспечения ее выносливости и рекомендуется не менее 1,4, но не более 2,0. Для полного использования расчетного сопротивления стали поясов должно выполняться условие, определяемое формулой

(2.1)
где

- принятая величина предельных продольных пластических деформаций в стенке (от

до

).
2.2. Сечения бистальных балок принимаются симметричными или асимметричными двутавровыми или коробчатыми с равными или разными площадями поясов. В зависимости от величины асимметрии сечения и соотношения воспринимаемых усилий оба либо один из поясов выполняются из стали более высокой прочности (
рис. 2 а, б, в, г).
При преобладании одноосного или двухосного изгиба рекомендуются симметричные или асимметричные сечения с малой величиной асимметрии и обоими поясами из стали большей прочности (
рис. 2 а, б). При одноосном изгибе и большой асимметрии сечения возможно решение с одним меньшим поясом из стали более высокой прочности (
рис. 2 в). При одноосном изгибе со значительной величиной продольной силы предпочтительнее сечение с одним большим поясом из стали более высокой прочности (
рис. 2 г, з). Это решение может быть рациональным для сталежелезобетонных конструкций, в которых стальная часть изгибаемой балки растягивается продольной силой, равной сжимающему усилию в железобетонной плите.
Количественные значения параметров, определяющие выбор указанных типов сечений, приводятся в пп. 2.3;
2.4;
2.5 и
2.6.
2.3. В симметричных сечениях при двух поясах из более прочной стали при одноосном изгибе напряжения в поясах равны расчетному сопротивлению
Rf, эпюра напряжений для этого случая показана на
рис. 2 д. В асимметричных сечениях при одноосном изгибе и двух поясах из более прочной стали возможно недоиспользование прочностных характеристик большего пояса (напряжение в нем меньше
Rf). Эпюра напряжений, соответствующая граничному случаю между полным и неполным использованием прочности большего пояса, изображена на
рис. 2 е. В
таблицах 1,
2,
3 и
4 пунктирная ступенчатая линия при принятых расчетных сопротивлениях поясов
Rf и стенки
Rw, а также геометрия сечения (отношений
A2/
A1 и
A3/
A1), разграничивает случаи полного использования прочности стали поясов (область справа внизу) и случаи недонапряжения пояса большей площади (область слева вверху). Поэтому при одноосном изгибе в случае попадания в область недонапряжения большего пояса рекомендуется изменять геометрию в сторону уменьшения его асимметричности, либо перейти на использование в поясах менее прочной стали.
2.4. В сечениях с большой асимметрией и относительно небольшой площадью стенки при одноосном изгибе напряжение в большем поясе может оказаться меньшим расчетного сопротивления стали стенки
Rw. Характерная эпюра напряжений для случая, когда напряжение в большем поясе равно
Rw, приведена на
рис. 2 ж. В
таблицах 1,
2,
3 и
4 сплошная ступенчатая линия при принятых значениях
Rf и
Rw, а также геометрии сечения, показывает область (слева вверху от линии), в которой в большем поясе напряжение меньше
Rw. Поэтому при одноосном изгибе в случае попадания в указанную область следует, не изменяя приведенных в
разделе 3 расчетных формул и коэффициентов, принять больший пояс из той же марки стали прочности, что и стенку (
рис. 2 в).
2.5. В случае двухосного изгиба и двухосного изгиба с продольной силой следует применять сечения с двумя поясами из стали с более высокой прочностью, выбирая соотношения расчетных сопротивлений
Rf и
Rw, а также геометрию сечения из условия минимума массы металла и наименьшей стоимости конструкции. Эпюры напряжений для этих случаев приведены на
рис. 2 и, к. Коробчатые сечения при двухосном изгибе требуют специальных методов расчета.
2.6. При одноосном изгибе с продольной силой, догружающей больший пояс, в зависимости от значений расчетных сопротивлений
Rf и
Rw и геометрии, сечения следует применять:
а) асимметричное сечение с обоими поясами из стали большей прочности при продольной силе
N <=
Nb (
рис. 2 б);
б) асимметричное сечение с одним большим поясом из стали с расчетным сопротивлением
Rf и меньшим поясом из стали с расчетным сопротивлением
Rw при продольной силе
N >
Nb (
рис. 2 г). Расчетные формулы и коэффициенты принимаются по
разделу 3. Значение продольной силы
Nb определяется формулой

(2.2)
Эпюра напряжений, соответствующая случаю воздействия силы
Nb при одноосном изгибе, показана на
рис. 2 з. При значениях продольной силы
N >
Nb напряжения в меньшем поясе меньше расчетного сопротивления стали стенки
Rw, при значениях
N =
Nb эти напряжения равны
Rw, а при
N <
Nb - больше
Rw, так как при увеличении продольной силы
N нейтральная линия эпюры напряжений смещается к меньшему поясу.
2.7. Конструирование бистальных балок следует выполнять с учетом тех же требований, что и для моностальных балок.
2.8. При назначении марок сталей следует обращать внимание на их свариваемость, подбор соответствующих сварочных материалов и режима сварки пояса и стенки. Соединения сталей одной или двух марок могут приниматься любого типа в соответствии с общими указаниями действующих нормативных документов.
Расчет прочности бистальных балок следует выполнять с учетом ограниченного развития пластических деформаций по формулам:
при изгибе в одной из главных плоскостей (относительно оси X)

(3.1)
при изгибе в двух главных плоскостях

(3.2)
где
Cx,
Cy,
CMx - коэффициенты, определяемые по
п. 3.3.
3.2. Изгиб с продольной силой
Расчет на прочность бистальных балок, подверженных действию осевой силы N <= 0,7(Af/Rf + A2Rw) с изгибом, следует выполнять с учетом ограниченного развития пластических деформаций по формулам:
при осевой силе с изгибом в одной из главных плоскостей (относительно оси X)

(3.3)
при осевой силе с изгибом в двух главных плоскостях

(3.4)
Формула (3.3) используется, в частности, для расчета прочности воспринимающих положительный изгибающий момент поперечных сечений бисталежелезобетонных балок, имеющих в составе сечения железобетонную плиту, включенную в работу вдоль верхнего пояса, верхний пояс и стенку из менее прочной стали и нижний пояс из более прочной стали.
При этом:
N - осевое растягивающее усилие в стальной части балки, равное по величине сжимающему усилию в железобетонной плите, возникающему от совместной работы со стальной конструкцией;
Mx = M - NZ,
M - положительный изгибающий момент, воспринимаемый бисталежелезобетонной балкой;
Z - расстояние по вертикали между центрами тяжести поперечных сечений железобетонной плиты и стальной части балки.
3.3. Расчетные коэффициенты
3.3.1. Коэффициенты
Cx определяются по
таблицам 1,
2,
3 и
4 в зависимости от группы конструкций, принятых величин расчетных сопротивлений
Rw и
Rf и отношений площадей элементов сечения (
рис. 2 а, б, в, г). Значения коэффициентов
Cx в
таблицах 1,
2,
3 и
4 для промежуточных значений
A2/
A1 и
A3/
A1 определяются линейной интерполяцией, для
Rf и
Rw разрешается принимать ближайшие табличные значения. При увеличении асимметрии сечения (уменьшении отношения
A3/
A1) значения коэффициентов
Cx возрастают в связи с ростом неравномерности напряженного состояния, вызванного переходом от двусторонней к односторонней текучести. Значения коэффициентов
Cx также возрастают при относительном увеличении площади стенки (увеличении отношения
A2/
A1), так как возрастание воспринимаемых за пределом упругости изгибающих моментов по сравнению с их величиной в пределах упругости происходит за счет изменения вида эпюры напряжений в стенке. Однако при больших асимметриях и относительно больших площадях стенки коэффициенты
Cx вновь уменьшаются в связи с появлением в таких сечениях двусторонней текучести.
3.3.2. Коэффициенты
Cy определяются по
табл. 5 в зависимости от группы конструкций и принятой величины расчетного сопротивления
Rf. Уменьшение значений коэффициента
Cy при
Rf = 455 МПа (4650 кгс/см
2) вызвано тем, что для этой стали диаграмма работы заканчивается при деформациях 1,1
Rf/
E без площадки текучести
(п. 1.7).
3.3.3. При наличии зоны чистого изгиба коэффициенты
Cx и
Cy определяются по формулам:

;

(3.5)
где l и v - величина пролета балки и зоны чистого изгиба;

- коэффициент
Cx, найденный по
табл. 1 -
4 в зависимости от

и расчетных сопротивлений
Rf и
Rw;
3.3.4. Коэффициент CMx определяется по формуле

(3.6)
где

- коэффициент, равный

(3.7)
Здесь

,

- коэффициенты, определяемые по
табл. 6;
3.3.5. Коэффициент
CNx определяется по формуле

(3.8)
где

- коэффициент, равный

(3.9)
Здесь

и

- коэффициенты, определяемые по
табл. 7;
3.3.6. Коэффициент
CNy определяется по формуле

(3.10)
где

- коэффициент, определяемый по
табл. 7 при значениях
A3/
A1 = 1,0 независимо от действительного отношения площади поясов в рассматриваемом сечении;
Коэффициенты
CNx и
CNy сохраняют свои значения и для бистальных сечений с одним поясом из более прочной стали, так как в этом случае напряжения в поясе из низкопрочной стали меньше
Rw, и работа сечения не зависит от расчетного сопротивления материала, из которого этот пояс выполнен. Поэтому
формулы (3.3) и
(3.4) позволяют рассчитывать в предельном состоянии также бистальные балки с одним поясом из высокопрочной стали.
3.3.7. Коэффициент
CMNx определяется по формуле

(3.11)
Таблица 1
Таблица коэффициентов
Cx для

Продолжение табл. 1
Продолжение табл. 1
Таблица 2
Таблица коэффициентов
Cx для

Продолжение табл. 2
Продолжение табл. 2
Таблица 3
Коэффициенты
Cx для

Продолжение табл. 3
Продолжение табл. 3
Таблица 4
Коэффициенты
Cx для бистальных балок
с поясами из стали с Rf = 455 МПа
Таблица 5
 , % | Расчетные сопротивления Rf МПа (кгс/см2) |
300 (3050) | 330 (3350) | 370 (3750) | 400 (4100) | 455 (4650) |
0,1 | 1,33 | 1,31 | 1,30 | 1,28 | 1 |
0,2 | 1,41 | 1,40 | 1,39 | 1,38 | 1 |
0,4 | 1,47 | 1,46 | 1,45 | 1,44 | 1 |
Таблица 6
Коэффициенты

и

взаимодействия
Mx и
My
Коэффициент | A3/A1 | My/CyWyRf |
0 | 0,1 | 0,2 | 0,3 | 0,4 | 0,5 | 0,6 | >= 0,7 |
| 1,0 | 1,0 | 1,67 | 2,59 | 3,05 | 3,60 | 4,33 | 4,53 | 5,54 |
0,8 | 1,0 | 1,35 | 1,80 | 1,89 | 2,02 | 2,77 | 3,15 | 3,36 |
0,6 | 1,0 | 1,21 | 1,42 | 1,54 | 1,61 | 1,70 | 2,24 | 2,13 |
0,4 | 1,0 | 1,13 | 1,28 | 1,38 | 1,31 | 1,18 | 1,51 | 1,98 |
0,2 | 1,0 | 1,05 | 1,09 | 1,08 | 1,01 | 0,86 | 0,77 | 1,39 |
0 | 1,0 | 1,00 | 1,00 | 1,00 | 0,99 | 0,89 | 0,68 | 0,74 |
| 1,0 | 0 | -0,55 | -1,36 | -1,68 | -2,04 | -2,56 | -2,43 | -3,04 |
0,8 | 0 | -0,15 | -0,47 | -0,46 | -0,50 | -1,22 | -1,42 | -1,29 |
0,6 | 0 | -0,02 | -0,07 | -0,09 | -0,08 | -0,10 | -0,63 | -0,16 |
0,4 | 0 | 0,02 | 0,04 | 0,10 | 0,32 | 0,57 | 0,26 | 0,02 |
0,2 | 0 | 0,05 | 0,11 | 0,22 | 0,42 | 0,69 | 0,93 | 0,64 |
0 | 0 | 0 | 0 | -0,02 | -0,05 | -0,01 | 0,07 | 0,09 |
Таблица 7
Коэффициенты

и

взаимодействия
M и
N
Коэфф. | A3/A1 | N/(AfRf + A2Rw) | N/(AfRf + A2Rw) |
0,7 | 0,6 | 0,5 | 0,4 | 0,3 | 0,2 | 0,1 | 0 | 0,1 | 0,2 | 0,3 | 0,4 | 0,5 | 0,6 | 0,7 |
| 1,0 | 3,05 | 3,43 | 3,57 | 3,49 | 3,20 | 2,47 | 1,63 | 1 | - | - | - | - | - | - | - |
0,8 | 1,84 | 1,97 | 2,01 | 2,00 | 1,93 | 1,70 | 1,39 | 1 | 0,51 | 1,12 | 1,60 | 2,08 | 2,47 | 2,50 | 2,38 |
0,6 | 1,30 | 1,34 | 1,45 | 1,47 | 1,44 | 1,35 | 1,19 | 1 | 0,54 | 0,56 | 0,95 | 1,30 | 1,58 | 1,76 | 1,90 |
0,4 | 1,04 | 1,13 | 1,18 | 1,21 | 1,19 | 1,14 | 1,08 | 1 | 0,80 | 0,52 | 0,53 | 0,84 | 1,12 | 1,30 | 1,42 |
0,2 | 0,75 | 0,99 | 1,05 | 1,06 | 1,05 | 1,03 | 1,00 | 1 | 0,92 | 0,80 | 0,57 | 0,49 | 0,72 | 0,91 | 1,05 |
0 | 0,63 | 0,83 | 0,91 | 0,97 | 0,99 | 1,00 | 1,00 | 1 | 0,94 | 0,87 | 0,75 | 0,58 | 0,28 | 0,68 | 0,82 |
| 1,0 | -2,17 | -2,41 | -2,54 | -2,39 | -2,08 | -1,35 | -0,57 | 0 | - | - | - | - | - | - | - |
0,8 | -1,15 | -1,13 | -1,03 | -0,99 | -0,91 | -1,01 | -0,38 | 0 | +0,94 | -0,08 | -0,55 | -0,91 | -1,48 | -1,41 | -2,47 |
0,6 | -0,75 | -0,72 | -0,63 | -0,53 | -0,49 | -0,52 | -0,19 | 0 | 0,48 | 0,98 | 0,12 | -0,15 | -0,42 | -0,59 | -0,77 |
0,4 | -0,89 | -0,61 | -0,41 | -0,33 | -0,28 | -0,26 | -0,06 | 0 | 0,17 | 0,69 | 0,90 | 0,38 | 0,15 | 0,04 | -0,07 |
0,2 | -0,80 | -0,77 | -0,56 | -0,34 | -0,24 | -0,15 | -0,06 | 0 | 0,11 | 0,24 | 0,87 | 1,10 | 0,61 | 0,74 | 0,68 |
0 | -2,12 | -2,00 | -1,43 | -0,85 | -0,45 | -0,30 | -0,15 | 0 | 0,13 | 0,29 | 0,42 | 0,60 | 0,92 | 1,26 | 1,50 |
| От усилий N и M нормальные напряжения  в элементе A1 разных знаков (при A3/ A1 = 1,0 независимо от знаков  ) | N=0 | От усилий N и M нормальные напряжения  в элементе A1 одного знака |
3.4. Учет влияния местных напряжений
При действии в рассматриваемом сечении местного напряжения

коэффициенты
C умножаются на коэффициент

(3.12)
где

- коэффициент асимметрии сечения;
yt - расстояние от центра тяжести сечения до его верхнего края (в месте действия

);
yb - расстояние от центра тяжести сечения до его противоположного края;

- местное напряжение, определяемое по
п. 5.13 или
13.34 СНиП II-23-81.
Знак плюс в формуле для определения K
loc принимается при сжимающих продольных напряжениях

в месте действия

, а знак минус - при растягивающих напряжениях

в месте действия

.
Коэффициент Kloc > 1 в расчете не учитывается.
3.5. Учет влияния касательных напряжений
3.5.1. Сечения, подверженные воздействию поперечной силы Q, в которых нормальные напряжения равны нулю, проверяются по непригодности к эксплуатации вследствие ограниченного развития пластических деформаций по формуле

(3.13)
Для симметричных и асимметричных бистальных двутавров коэффициент

определяется по формуле

(3.14)
Для таврового сечения

.
3.5.2. Проверка прочности сечений бистальных балок, изгибаемых в одной из главных плоскостей, при совместном действии M и Q осуществляется по формуле

(3.15)
где

- коэффициент, учитывающий влияние касательных напряжений.
При

коэффициент

, при

значения коэффициента

определяются из таблицы 8 по линейной интерполяции.
Таблица 8
| От 0 до 0,5Rsw | Rsw | |
| 1 | 0,9/Cx | 0 |
4. ОБЕСПЕЧЕНИЕ ОБЩЕЙ И МЕСТНОЙ УСТОЙЧИВОСТИ
4.1. Общая устойчивость бистальных балок при изгибе и при изгибе с осевой силой проверяется как устойчивость моностальных из материала сжатого пояса, с учетом требований
СНиП II-23-81.
4.2. Предельные значения отношения расчетной ширины свеса сжатых полок
bef к его толщине
tf в бистальных балках при

не должны превышать

. Если нормальные напряжения изгиба в поясах в предположении упругой работы стали не превышают расчетного сопротивления материала пояса

, то его размеры вычисляются из формулы

(4.1)
и принимаются не более

.
4.3. Предельные значения отношения расчетной ширины
bef расположенного между стенками сжатого пояса коробчатой бистальной балки к его толщине
tf при

, не должно превышать

. Если нормальные напряжения в сжатом поясе коробчатой балки не превышают расчетного сопротивления

, то его размеры вычисляются из формулы
и принимаются не более

. Значение

вычисляется так же, как в
п. 4.2.
4.4. Если устойчивость сжатого пояса между стенками коробчатой балки не обеспечена, то в расчет вводятся два крайних участка пояса шириной

, считая от расчетной границы примыкания пояса к стенкам.
4.5. Устойчивость стенки балки симметричного двутаврового сечения, укрепленной только поперечными ребрами, при

проверяется по формуле

(4.2)
где

(4.3)

- среднее касательное напряжение;
При этом

, а

.
4.6. Устойчивость стенки балки асимметричного двутаврового сечения (с более развитым сжатым поясом), укрепленной только поперечными ребрами, при

проверяется по формуле

(4.4)
где

,

- напряжения в сжатом и растянутом поясах:
В выражении (4.4) высота сжатой зоны стенки h1 определяется по формуле

(4.5)
4.7. При относительной гибкости

стенка бистальной балки на устойчивость не проверяется.
4.8. Если компоненты напряжений, вычисленные для расчетного отсека стенки, удовлетворяют требованиям
пп. 5.12 -
5.14 СНиП II-23-81, то проверка устойчивости стенки выполняется по формулам соответствующего раздела
СНиП II-23-81 в предположении упругой работы материала.
4.9. Для стенок балок, не удовлетворяющих условиям
пп. 4.5,
4.6,
4.7 и 4.8, допускается выполнять расчет на устойчивость соответственно по
формулам (74),
(79),
(82) и
(87) СНиП II-23-81, в которых правая часть равна произведению

, где

определяется по формуле

(4.6)
здесь
a - расстояние между поперечными ребрами жесткости.
Расчет на выносливость бистальных балок следует выполнять на расчетные эксплуатационные нагрузки в предположении упругой работы стали с учетом общих указаний действующих норм проектирования строительных и мостовых конструкций.
Расчетные сопротивления усталости элементов бистальных балок (поясов, стенки и крепления к ним ребер) принимаются в зависимости от временного сопротивления стали пояса, расположенного вблизи проверяемой точки.
6. ОПРЕДЕЛЕНИЕ ПРОГИБОВ БИСТАЛЬНЫХ БАЛОК
6.1. В случае упругой работы бистальных балок от нагрузок нормативной величины прогибы определяются по общепринятым правилам строительной механики для упругой стадии работы материала стенки и пояса балки в середине ее пролета.
6.2. В случае возникновения в элементах бистальных балок пластических деформаций от нормативной нагрузки при Mн > RwWmin расчет прогибов можно выполнять приближенным способом в предположении упругой работы материала балки с увеличением упругих прогибов на коэффициент Kп по формуле
fб = Kпfу, (6.1)
где fб - прогиб бистальной балки;
fу - прогиб балки в предположении неограниченной упругости работы материала балки;
Kп - коэффициент, учитывающий развитие пластических деформаций от нормативной нагрузки и принимаемый по таблице 9 в зависимости от группы конструкций бистальных балок (см.
п. 1.5) и уровня развития пластических деформаций от расчетных нагрузок.
Таблица 9
Группа конструкций | I группа | II группа  | III группа  | IV группа  |
Kп | 1,05 | 1,1 | 1,15 | 1,20 |
7. ОСОБЕННОСТИ РАСЧЕТА ПОДКРАНОВЫХ БАЛОК
| | ИС МЕГАНОРМ: примечание. В официальном тексте документа, видимо, допущена опечатка: стандарт имеет номер ГОСТ 25546-82, а не ГОСТ 25542-82. | |
7.1. По критерию ограниченных пластических деформаций рассчитываются на прочность подкрановые балки под краны режимной группы работы 1К ... 5К согласно
ГОСТ 25542-82 "Краны грузоподъемные. Режимы работы". Коэффициент условий работы принимается

.
7.2. При расчете сечений подкрановых балок условно принимается, что воздействие поперечных тормозных нагрузок воспринимается только верхним поясом подкрановой балки или тормозной балкой, в состав которой входит верхний пояс.
7.3. Для подкрановых балок асимметричного двутаврового сечения с развитым верхним поясом или при наличии тормозной конструкции расчет прочности выполняется по формуле

(7.1)
где Jyf - момент инерции верхнего пояса асимметричного сечения или момент инерции тормозной конструкции с верхним поясом балки.
7.4. При использовании сквозной тормозной фермы расчет прочности подкрановой балки выполняется по формуле

(7.2)
где Nп - расчетное продольное усилие от поперечных тормозных сил или продольных нагрузок;
My,loc - расчетный местный изгибающий момент в панели верхнего пояса балки от горизонтальных поперечных нагрузок;
Atf - площадь сечения верхнего сжатого пояса балки.
7.5. Асимметричное основное сечение подкрановой балки (без учета тормозного устройства) дополнительно проверяется по формуле

(7.3)
8.1. Одноосный изгиб балок симметричного сечения для перекрытий
Расчеты выполнены для случаев малой и большой разности расчетных сопротивлений Rf и Rw. В каждом из случаев произведен подбор сечений по четырем различным методикам.
8.1.1. Расчетные усилия: изгибающий момент Mx = 520 кН·м, поперечная сила Q = 90,3 кН, нагрузка статическая.
а) Расчет бистального сечения по Рекомендациям.
Материал поясов - сталь 09Г2, расчетное сопротивление
Rf = 300 МПа, материал стенки - сталь 18Гпс, расчетное сопротивление
Rw = 230 МПа. Принимаем сечение, показанное на рис. 3. Проверяем прочность сечения. По
табл. 3 для конструкций 4 группы при

для соотношения площадей частей сечения
A3/
A1 = 0,1 и
A2/
A1 = 49,6/19,2 = 2,58 коэффициент
Cx = 1,036. По
формуле (3.1)
Рис. 3
Относительная гибкость стенки
Проверяем устойчивость свеса полки. По формуле
п. 4.2
б) Расчет бистального сечения при упругой работе полки показал, что при том же сечении стенки, что и в предыдущем примере, необходимо принять пояса размерами - 180 x 12 мм.
в) Расчет моностального сечения балки с Ry = 230 МПа с учетом развития пластических деформаций показал, что по прочности проходит сечение: стенки - 620 x 8 мм, а пояса - 210 x 12 мм.
г) Расчет моностального сечения из стали 09Г2 с расчетным сопротивлением Ry = 300 МПа с учетом развития пластических деформаций показал, что по прочности проходит двутавровое сечение: стенка 620 x 8 мм и пояса - 140 x 12 мм.
8.1.2. Расчетные усилия: изгибающий момент Mx = 641 кН·м, поперечная сила Q = 90,3 кН, нагрузка статическая.
а) Расчет бистального сечения по Рекомендациям. Материал поясов - сталь 10ХСНД, расчетное сопротивление Rf = 400 МПа, материал стенки - сталь 18Гпс, расчетное сопротивление Rw = 230 МПа. Принимаем сечение, показанное на рис. 4.
Рис. 4
Проверяем прочность сечения. По
табл. 3 для конструкций 4 группы при

для соотношения площадей частей сечения
A3/
A1 = 1 и
A2/
A1 = 49,6/19,2 = 2,58 коэффициент
Cx = 0,954. По
формуле 3.1
Проверяем устойчивость стенки с использованием данных
п. 8.1.1 а:
Mx = 40 x 622 x 0,8(0,237 x 23/40 + 19,2/49,6) =
= 64378 > 64100 кН·см.
Проверяем устойчивость свеса пояса. По формуле
п. 4.2
б) Расчет бистального сечения при упругой работе поясов при пластических деформациях в стенке за счет разности Rf и Rw приводит к увеличению поясов до размеров 165 x 12 при тех же размерах стенки - 620 x 8 мм.
в) Расчет моностального сечения из стали стенки Ry = 230 МПа с учетом развития пластических деформаций показал, что при стенке размерами 620 x 8 мм пояса необходимо принимать 250 x 14 мм.
г) Моностальное сечение из стали пояса бистальной балки Ry = 400 МПа. Расчет с учетом пластических деформаций позволил принять сечение: стенка - 620 x 8 мм, пояса - 125 x 12 мм.
8.2. Одноосный изгиб балок перекрытий асимметричного сечения
Расчет выполняем для средней величины разности расчетных сопротивлений Rf и Rw. В каждом случае производим подбор сечений по двум различным методикам.
Расчетное усилие: изгибающий момент 2740 кН·м. Материал поясов - сталь 15ХСНД, расчетное сопротивление Rf = 330 МПа, материал стенки - сталь ВСт3пс6-1, расчетное сопротивление Rw = 230 МПа.
а) Расчет бистального сечения по Рекомендациям.
Принимаем сечение, показанное на рис. 5. Проверяем прочность сечения: по
табл. 3 для конструкций 4 группы при

для соотношения площадей элементов сечения
A2/
A1 = 2,0;
A3/
A1 = 0,462 коэффициент
Cx = 1,144. По
формуле (3.1)
Рис. 5
Относительная гибкость стенки
Согласно
п. 4.7 стенка балки на устойчивость не проверяется.
б) Расчет прочности бистального сечения при упругой работе поясов привел к необходимости принять сечение: стенки - 1100 x 14 мм, верхнего пояса - 330 x 30 мм, нижнего пояса - 230 x 20 мм.
8.3. Двухосный изгиб сварных прогонов
Расчет выполняем для средней величины разности расчетных сопротивлений Rf и Rw. В каждом из случаев производим подбор сечений по четырем различным методикам.
Расчетные усилия: изгибающие моменты Mx = 473 кН·м, My = 18,6 кН·м, нагрузка статическая.
а) Расчет бистального сечения по Рекомендациям.
Для стали поясов
Rf = 330 МПа, стенок
Rw = 230 МПа. Принимаем сечение, показанное на
рис. 6. Проверяем прочность сечения. По
табл. 2 для конструкций 3 группы при

для соотношения площадей элементов сечения относительно оси
A3/
A1 = 1,0;
A2/
A1 = 2,58 по
табл. 2. Коэффициент
Cx = 1,0, относительно оси Y для прямоугольного сечения по
табл. 5 коэффициент
Cy = 1,40. Отношение момента
My к его предельному значению
My/CyWyRf = 1860/1,40 x 102,4 x 33 = 0,393.
б) Расчет бистального сечения при упругой работе полки.
Rf = 330 МПа, Rw = 230 МПа. По прочности проходит сечение: стенка - 620 x 8 мм, пояса - 175 x 16 мм.
в) Расчет моностального сечения из стали стенки бистального сечения - Ry = 230 МПа, с учетом развития пластических деформаций по прочности проходит сечение: стенка - 620 x 8 мм, пояса - 200 x 16 мм.
г) Моностальное сечение из стали пояса бистального сечения, Ry = 330 МПа. Расчет прочности с учетом развития пластических деформаций позволил принять сечение: стенка - 620 x 8 мм, пояса - 160 x 12 мм.
8.4. Сжато-изогнутые сварные колонны
Расчет выполняем для средней величины разности расчетных сопротивлений Rf и Rw. В каждом из случаев производим подбор сечений по двум различным методикам.
Расчетные усилия: изгибающий момент
Mx = 2210 кН·м, продольная сила N = 1700 кН, нагрузка статическая. От усилий
N и
M нормальные напряжения

одного знака в элементе сечения
A1.
а) Расчет бистального сечения по Рекомендациям.
Для стали поясов
Rf = 330 МПа, стенок
Rw = 230 МПа. Принимаем сечение, показанное на рис. 7. По
формуле (2.2)
Рис. 7
| | ИС МЕГАНОРМ: примечание. Текст дан в соответствии с официальным текстом документа. | |
Для обоих поясов
Rf = 330 МПа. Проверяем прочность сечения. По
табл. 3 для конструкций 4 группы при

для соотношения площадей элементов сечения
A2/
A1 = 113,6/100 = 1,136;
A3/
A1 = 48,4/100 = 0,484 коэффициент
Cx = 1,143. По
табл. 7 при отношении
N/(
AfRf +
A2Rw) = 1700/ (148,4 x 33 + 113,6 x 23 = 0,226 коэффициенты

);

. По
формуле (3.9)
По
формуле (3.3) условное напряжение в верхней фибре большего пояса
б) При упругой работе поясов бистального сечения расчет привел к увеличению площадей поясов: верхнего - 430 x 25 мм, нижнего - 250 x 22 мм, без изменения площади стенки - 710 x 16 мм.
8.5. Подкрановые балки
Расчетные усилия: изгибающие моменты - вертикальный
Mx = 2160 кН·м, горизонтальный
My = 73,1 кН·м; поперечная сила
Q = 203,2 кН. Расчетное давление колеса крана
F = 275 кН. Режим работы крана - нормальный. Тип кранового рельса КР70. Материал стенки и тормозной балки - сталь ВСт3Гпс5-1, материал поясов - сталь 09Г2С гр. 1, расчетные сопротивления для толщин листового проката 11 - 20 мм,
Rf = 300 МПа; 4 - 10 мм,
Rw = 240 МПа. При наличии проходов вдоль крановых путей принимаем сечение с тормозной балкой. Коэффициент условий работы при учете пластических деформаций

.
8.5.1. Симметричное сечение основной балки (рис. 8).
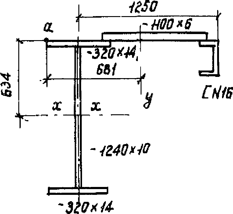
Рис. 8
а) Расчет по Рекомендациям.
в расчете коэффициент Kloc не учитывается. Касательное напряжение
в расчете не учитывается.
Соотношения площадей элементов сечения основной балки по
табл. 1:
A3/
A1 = 1,0;
A2/
A1 = 124/44,8 = 2,77; для тормозной балки, состоящей из верхнего пояса основной балки -
A1, тормозного листа -
A2 и швеллера -
A3,
A2/
A1 = 66/44,8 = 1,473;
A3/
A1 = 18,1/44,8 = 0,404. По
табл. 1 коэффициенты
Cx = 1,01;
Cy = 1,074. По
формуле (7.1) условное напряжение в точке
a
В связи с удовлетворением
условию (33) проверку устойчивости стенки выполняем по
п. 7.6 СНиП II-23-81, при шаге ребер 1,5 м устойчивость стенки обеспечена.
Проверяем устойчивость верхнего пояса по
п. 4.2. Нормальные напряжения от изгиба в верхнем поясе
Так как устойчивость балки обеспечена тормозным устройством

.
б) Расчет бистальной подкрановой балки с симметричным основным сечением по методике расчета типовых бистальных подкрановых балок (в пределах упругой работы материала поясов) и по Рекомендациям (с учетом развития пластических деформаций в поясах при коэффициенте условий работы

) дает практически одинаковые результаты.
8.5.2. Асимметричное сечение основной балки
а) Расчет по Рекомендациям.
Принимаем сечение, показанное на
рис. 9. Коэффициенты
Kloc и

в расчете не учитываются по причинам, указанным в предыдущем примере. Соотношения площадей элементов сечения по
табл. 1 для основной балки
A2/
A1 = 124/47,6 = 2,61;
A3/
A1 = 34,8/47,6 = 0,731, для тормозной балки
A2/
A1 = 65,4/47,6 = 1,374; A
3/A
1 = 18,1/47,6 = 0,380. По
табл. 1 коэффициенты
Cx = 1,064;
Cy = 1,084. По
формуле (7.1) условное напряжение в точке
a сечения
Так как
формула (33) СНиП II-23-81 удовлетворяется, устойчивость стенки обеспечивается проверкой по
п. 7.9 СНиП II-23-81.
bef/tf = 16,5/1,5 = 11,79 < 14,41 (см.
п. 8.5.1).
б) Расчет асимметричной бистальной подкрановой балки по Рекомендациям с учетом развития пластических деформаций в полках при

дает по сравнению с расчетом при упругой работе полок экономию стали по площади сечения основной балки 2,1%.
9. ГЛАВНЫЕ ОБЛАСТИ ПРИМЕНЕНИЯ И ЭКОНОМИЧЕСКИЙ ЭФФЕКТ
Использование Рекомендаций в дополнение к
СНиП II-23-81 расширяет область учета развития ограниченных пластических деформаций на бистальные балки, что обеспечивает значительный экономический эффект.
Вид получаемого экономического эффекта зависит от сравниваемых случаев расчета и конструктивного решения балок и может проявляться как в снижении массы конструкций, так и в уменьшении их стоимости.
При проектировании бистальных балок использование Рекомендаций по сравнению с применяемым ранее способом расчета
(п. 1.4 а) приводит к дополнительной экономии стали и уменьшению стоимости конструкций, а также расширяет область учета развития пластических деформаций, главным образом, для случая двухосного изгиба, в которых при работе поясов в пределах упругости менее прочная стенка также, как правило, работает упруго.
Возможности экономии стали и снижения стоимости иллюстрируют данные
таблиц 10 и
11, в которых приведены соответствующие данные по результатам примеров расчета
(раздел 8). В таблицах приведено сравнение полученного расхода стали и стоимости при использовании различных методик расчета. При этом расход стали по площади сечения и величине стоимости для сечений, рассчитанных по Рекомендациям, приняты за единицу. Расчеты стоимости выполнены при увеличении стоимости стали с
Rf = 300 МПа на 25% по сравнению со сталью с
Rw = 230 МПа, с
Rf = 330 МПа на 50% и с
Rf = 400 МПа на 85% соответственно.
N пп. | Методика расчета | Одноосный изгиб симметричного сечения | Двухосный изгиб |
Rf = 300 МПа Rw = 230 МПа | Rf = 400 МПа Rw = 230 МПа | Rf = 330 МПа Rw = 230 МПа |
расход стали | стоимость | расход стали | стоимость | расход стали | стоимость |
1 | Рекомендации | 1,0 | 1,0 | 1,0 | 1,0 | 1,0 | 1,0 |
2 | Упругие пояса | 1,041 | 1,046 | 1,014 | 1,018 | 1,200 | 1,231 |
3 | Моно, Rw | 1,136 | 1,024 | 1,359 | 0,991 | 1,291 | 1,060 |
4 | Моно, Rf | 0,945 | 1,065 | 0,905 | 1,221 | 1,0 | 1,231 |
N пп. | Методика расчета | Одноосный изгиб симметрич. сечений | Сжато-изогнутые стержни | Подкрановые балки |
Rf = 330 МПа Rw = 230 МПа | Rf = 330 МПа Rw = 230 МПа | Rf = 300 МПа Rw = 230 МПа |
расход стали | стоимость | расход стали | стоимость | расход стали | стоимость |
1 | Рекомендации | 1,0 | 1,0 | 1,0 | 1,0 | 1,0 ---- 1,0 | 1,0 ---- 1,0 |
2 | Упругие пояса | 1,116 | 1,143 | 1,054 | 1,063 | 1,0 ------- 1,021 | 1,0 ------- 1,027 |
Примечание: В числителе числа для подкрановых балок с симметричным основным сечением, в знаменателе - с асимметричным сечением (

).
Из
табл. 10 видно, что при малой разности расчетных сопротивлений
Rf и
Rw при одноосном изгибе бистального сечения методика Рекомендаций по сравнению с прежним методом расчета дает экономию стали в 4,1% при снижении стоимости на 4,6%. При большой разности
Rf и
Rw эти цифры падают от 1,4% до 1,8%. Таким образом методика Рекомендаций наиболее эффективна только при небольшой разности
Rf и
Rw. При двухосном изгибе эффективность методики Рекомендаций существенно возрастает - экономия стали 20%, снижение стоимости 23,1%.
Обратим внимание на наиболее характерные цифры из сравнения с моностальными сечениями, рассчитанными с учетом пластических деформаций по
Рекомендациям по расчету стальных конструкций на прочность по критериям ограниченных пластических деформаций. Моностальные балки, выполненные из стали стенки (
Rw = 230 МПа), имеют стоимость, почти равную стоимости бистальных (+6 ... -0,9%) при существенно большем расходе стали (13,6 ... 35,9%). Моностальные балки, выполненные из стали пояса (
Rf = 300 ... 400 МПа), имеют несколько меньший или равный расход стали (0 ... -9,5%) при большей стоимости (на 6,5 ... 23,1%). Таким образом по сравнению с моностальными балками Рекомендации дают экономию стали при использовании в моностальных балках только низкопрочной стали и экономию стоимости при использовании только стали большей прочности.
Высокими получаются дополнительные экономия стали и снижение стоимости при расчете бистальных балок по Рекомендациям по сравнению с прежним расчетом - 11,6% и 14,3% соответственно. Несколько меньшей, но достаточно заметной оказывается экономия стали и снижение стоимости для сжато-изогнутых стержней - 5,4% и 6,3%.
Расчет бистальной подкрановой балки с симметричным основным сечением по Рекомендациям с учетом развития пластических деформаций в поясах и по методике расчета типовых бистальных подкрановых балок в пределах упругой работы материала поясов (при коэффициенте условий работы

по Рекомендациям) дает одинаковые результаты. Сравнение аналогичных методик расчета для асимметричных основных сечений бистальных подкрановых балок дает при расчете по Рекомендациям экономию стали на 2,1% и снижение стоимости на 2,7%, что практически является одинаковыми результатами.
В бистальных подкрановых балках введение коэффициента условий работы 0,95 при симметричных сечениях основных балок дает формально практически одинаковые результаты при учете пластических деформаций в поясах по Рекомендациям и расчете в предположении работы поясов в пределах упругости, как это принималось при разработке типовых бистальных подкрановых балок. При асимметричных сечениях основных подкрановых балок согласно Рекомендациям может быть получена экономия стали около 2%.
Введение коэффициента условий работы 0,95 вызвано тем, что назначение новых коэффициентов надежности по материалу, новых коэффициентов сочетаний согласно
СНиП II-6-74, а также коэффициентов надежности по назначению дает значительное облегчение подкрановых балок по сравнению с предыдущей расчетной практикой уже при расчете в предположении упругой работы поясов и дальнейшее облегчение подкрановых балок впредь до накопления соответствующего опыта не представляется возможным. Однако указанные новые коэффициенты, применяемые для расчета подкрановых балок и дающие их значительное облегчение, взаимно недостаточно увязаны и их применение для расчета бистальных балок оправдано только благодаря резервам прочности, имеющимся в развитии пластических деформаций в поясах и соответствующем увеличении пластических деформаций в стенке. Таким образом, экономия стали, получаемая сейчас для бистальных подкрановых балок по сравнению с предыдущей расчетной практикой, достигается в действительности в большой степени за счет критерия ограниченных пластических деформаций, принятого для бистальных конструкций в настоящих Рекомендациях.
Таким образом, применение Рекомендаций в случаях одноосного изгиба симметричных сечений при небольшой разности Rf и Rw, а также одноосного изгиба асимметричных сечений, двухосного изгиба и изгиба с продольной силой при всех соотношениях Rf и Rw дает экономию стали по сравнению с расчетом в пределах упругой работы полок в пределах 4 - 20%, при одновременном снижении стоимости на 5 - 23%.
Для всех случаев, кроме подкрановых балок, расчет бистальных балок по Рекомендациям по сравнению с моностальными балками из низкопрочной стали стенки (Rw) дает экономию стали в пределах 14 - 29%, а по сравнению с моностальными балками из стали повышенной прочности поясов (Rf) приводит к экономии средств в пределах 7 - 23%.
1. Строительные нормы и правила, часть II, глава 23. Стальные конструкции. Нормы проектирования.
СНиП II-23-81. М., Стройиздат, 1981.
2.
Рекомендации по расчету элементов стальных конструкций на прочность по критериям ограниченных пластических деформаций. М., ЦНИИпроектстальконструкция им. Мельникова, 1985.
3. Балдин В.А., Кочергова Е.Е. Балки из двух марок стали. Промышленное строительство, 1964, N 11.
4. Вахуркин В.М. Балки из двух марок стали (бистальные балки). Сб. "Материалы по металлическим конструкциям", выпуск 9. М., Стройиздат, 1965.
5. Киреенко В.И. Исследование прочности, устойчивости и выносливости бистальных элементов. Строительная механика и расчет сооружений, 1976, N 1.
6. Киреенко В.И. Совершенствование расчета бистальных балок. Труды ЦНИИпроектстальконструкция под редакцией Н.П. Мельникова "Исследование надежности металлических конструкций", М., 1979.
7. Чернов Н.Л., Шебанин В.С. Особенности расчета бистальных двутавров по критерию предельных пластических деформаций. - Изв. Вузов. Строительство и архитектура, 1983, N 9.