Главная // Актуальные документы // Рекомендация / РекомендацииСПРАВКА
Источник публикации
М.: Стройиздат, 1989
Примечание к документу
Название документа
"Рекомендации по комплексному применению пакетов прикладных программ в разработке генеральных планов городов"
"Рекомендации по комплексному применению пакетов прикладных программ в разработке генеральных планов городов"
РЕКОМЕНДАЦИИ
ПО КОМПЛЕКСНОМУ ПРИМЕНЕНИЮ ПАКЕТОВ ПРИКЛАДНЫХ ПРОГРАММ
В РАЗРАБОТКЕ ГЕНЕРАЛЬНЫХ ПЛАНОВ ГОРОДОВ
Рекомендовано к изданию секцией по управлению развитием городов и экономико-математическим методам Научно-технического совета ЦНИИП градостроительства.
Приведены описания теоретических основ, математического обеспечения, структуры, возможностей и методики применения трех пакетов прикладных программ, разработанных ЦНИИП градостроительства для использования в проектировании генеральных планов городов. Даны методические и организационно-технические рекомендации по комплексному применению описанных пакетов в проектном процессе.
Для проектировщиков, занимающихся проектированием генеральных планов городов, и научных работников в области применения методов прикладной математики в градостроительном проектировании.
Табл. 12, ил. 20.
В настоящих Рекомендациях рассматриваются методические и технологические вопросы применения при проектировании генеральных планов городов трех пакетов прикладных программ для ЭВМ, разработанных ЦНИИП градостроительства:
пакета прикладных программ для комплексной оценки и функционального зонирования территории (ППП ФЗГ) (авторы разработки канд. техн. наук А.П. Ромм, математик Н.Н. Резникова);
пакета прикладных программ для проектирования систем городских путей сообщения (ППП ТР) (автор разработки инж. Л.А. Яковлев);
пакета прикладных программ для расчета и субоптимизации размещения объектов обслуживания населения (ППП КБО) (автор разработки канд. физико-матем. наук В.В. Лившиц).
Пакеты в их первоначальной версии были разработаны в 1980 г. С тех пор они значительно усовершенствованы в направлениях расширения их возможностей для решения проектных задач, повышения их технологичности, перевода их в операционную систему ОС ЕС, создания полноценной методической и технической документации и информационного обеспечения.
Все три ППП внедрены в реальное проектирование в различных проектных организациях страны - хотя в разной мере в зависимости от готовности проектировщиков различной специализации к применению новых, количественных методов проектирования, базирующихся на использовании ЭВМ. К настоящему времени ППП ТР внедрен в 37, ППП ФЗГ в 10, ППП КБО в 3 проектных организациях.
Таким образом, указанные три пакета прикладных программ являются относительно завершенными разработками, прошедшими проверку в условиях реального проектирования. Методическая и технологическая совместимость дают основание рекомендовать их к комплексному применению.
Пакеты прикладных программ представляют собой новый инструмент проектирования, переводящий проектирование генпланов городов на существенно иной уровень - уровень количественного расчета, обоснования и конструирования проектного решения. Применение математического моделирования и ЭВМ требует от проектировщика нового образа мышления; освоения целой системы новых понятий и представлений; работы с информацией, которая прежде им не рассматривалась и не принималась во внимание вовсе или учитывалась в ограниченном либо нормативном виде; общения с новой техникой; формирования проектного процесса, включающего эту технику. Поэтому возникает необходимость в разработке методических материалов, которые разъясняли бы сущность программ для ЭВМ как инструмента проектирования и показывали бы использование их для решения проектных задач. К настоящему времени такого рода документация разработана для всех перечисленных ППП и передается пользователям одновременно с программным обеспечением. Однако интересы развития этого направления проектирования требуют опережающего распространения методических материалов среди проектных работников с целью заблаговременной подготовки их к использованию средств автоматизации в градостроительном проектировании.
Проектно-методический аспект приобретает новый характер при переходе от раздельного применения пакетов прикладных программ к комплексному их применению. Если раздельное применение пакетов затрагивает проектирование отдельных городских подсистем и вносит относительно малые возмущения в проектный процесс в целом, комплексное применение вторгается в этот процесс уже более основательно, требует его структуризации и выполнения проектных операций в определенной последовательности. Теоретические проработки и опыт применения действующих пакетов позволяют дать на этот счет определенные рекомендации, показать, на каких этапах процесса проектирования генерального плана города целесообразно использовать те или иные модификации применения ППП, и как такое использование воздействует на формирование самого автоматизированного процесса. Каждый из предлагаемых пакетов прикладных программ представляет собой достаточно сложный программный комплекс со своей теоретической и методической основой, понятийным аппаратом, программным обеспечением, входной и выходной информацией. Невозможно дать рекомендации по комплексному применению пакетов без достаточного подробного изложения направленности, содержания, математического обеспечения, используемой и результирующей информации, методики использования каждого пакета. С этой целью в настоящие Рекомендации включены описания и методические рекомендации по применению трех представляемых пакетов прикладных программ.
Комплексное применение разработанных и внедренных по отдельности пакетов прикладных программ может рассматриваться как второй шаг в процесс автоматизации проектирования генерального плана города. Методически и практически важный сам по себе, он одновременно рассматривается как переходный этап к третьему шагу - созданию автоматизированной системы проектирования генерального плана города (САПР ГПГ). САПР ГПГ разрабатывается в ЦНИИП градостроительства как система проектирования генерального плана, имеющая основной целью повышение качества и степени обоснованности проектных решений и основанная на широком включении в проектный процесс расчетных методов, математических моделей и средств преобразования информации на базе применения электронно-вычислительной техники. Первая очередь САПР ГПГ в настоящее время должна быть разработана и пройти экспериментальное внедрение. Поэтому одна из целей настоящих Рекомендаций - подготовить круг будущих пользователей этой системы в идейном и методическом плане к работе в условиях комплексной автоматизации проектирования генеральных планов городов.
1. АВТОМАТИЗИРОВАННОЕ ПРОЕКТИРОВАНИЕ ГЕНЕРАЛЬНОГО ПЛАНА И КОМПЛЕКСНОЕ ПРИМЕНЕНИЕ ПАКЕТОВ ПРИКЛАДНЫХ ПРОГРАММ
МЕТОДИЧЕСКИЕ ОСНОВЫ КОМПЛЕКСНОЙ АВТОМАТИЗАЦИИ ГРАДОСТРОИТЕЛЬНОГО ПРОЕКТИРОВАНИЯ
1.1. Под автоматизацией проектирования обычно понимают применение в проектном процессе методов прикладной математики и вычислительной техники, не включая сюда другие возможные технические средства, облегчающие и заменяющие труд человека (механические, фотографические и т.п.).
Рассматриваемая в таком смысле автоматизация проектирования возможна в нескольких различных направлениях, например:
проведение различных трудоемких расчетов;
формирование банков данных и разработка информационных систем;
обработка данных обследований;
применение средств отображения графической информации - ввод, визуализация, решение задач компоновки и т.п.;
применение средств формирования текстовой проектной документации;
математическое моделирование.
1.2. Представленные в настоящих Рекомендациях пакеты прикладных программ разработаны в русле последнего из перечисленных направлений. Применение математического моделирования для расчета и формирования проектных решений в градостроительстве (при надлежащей адекватности и достоверности моделей и обеспечении их необходимой информацией) является инструментом объективизации, повышения степени обоснованности, совершенствования качества проектных решений. Оно изменяет и характер проектирования, заменяя или дополняя нормирование проектного решения, как это предусматривается СНиПами, нормированием способа его получения.
1.3. Наибольший по величине и значимости эффект применение методов математического моделирования в градостроительном проектировании дает на тех его стадиях, на которых объектом проектирования является система расселения (схема, проект районной планировки) или город в целом (ТЭО генерального плана, генеральный план). Здесь в наиболее существенной мере проявляются сложность объекта проектирования как большой системы, имеющей сложную, многокомпонентную, разнокомпонентную пространственно распределенную и вместе с тем объединенную структуру и присущие ей социальные, технологические, экономические, психологические законы функционирования. На этих стадиях принимаются ответственные и дорогостоящие проектные решения. Поэтому именно здесь ощущается необходимость в таком потенциально мощном инструменте расчета, оценки и формирования проектных решений, каким является математическое моделирование и проводимый на его основе "вычислительный эксперимент" <*>.
--------------------------------
<*> См. А. Самарский. Современная прикладная математика и вычислительный эксперимент. Журнал "Коммунист", 1983. - С. 31 - 42.
1.4. Ввиду сложности города как объекта проектирования и процесса проектирования как комплексной многоплановой деятельности нереально охватить ни то, ни другое единой математической моделью. Необходимо расчленение процесса проектирования на отдельные операции, с тем чтобы было возможно автоматизировать их по отдельности, одновременно увязывая их в единый комплекс через посредство прямых и обратных связей, с целью сохранения цельности объекта проектирования.
Реализуемая в разработках ЦНИИП градостроительства идея такого расчленения состоит в формировании отдельных блоков проектного процесса по объектным и операционным признакам, т.е. на основе расчленения объекта проектирования на объектные подсистемы и процесса проектирования на поочередную поэтапную проработку подсистем с возрастающей от этапа к этапу детальностью проработки <**>.
--------------------------------
<**> См. Лившиц В.В., Ромм А.П. Иерархический принцип построения операционного блока автоматизированной системы проектирования городов. В сб.: "Автоматизация процессов градостроительного проектирования", ЦНИИП градостроительства. - М.: 1973. - С. 3 - 16.
Представленные в Рекомендациях пакеты прикладных программ реализуют модели, связанные с проектированием трех объектных подсистем - территории (на этапе функционального зонирования), системы городских путей сообщения, системы обслуживания населения. Рекомендуемая этапность их применения рассматривается ниже.
1.5. Применительно к градостроительству следует различать два типа математических моделей. Дескриптивные (описательные) модели представляют собой выраженное в форме математических соотношений или задач описание функционирования некоторой подсистемы города - реального или проектируемого - в предположении, что он будет реализован в соответствии с проектом. Конструктивные (или, как их иногда называют, нормативные) модели представляют собой выраженные в виде математической задачи правила, согласно которым следует конструировать, проектировать данную подсистему. Поскольку нельзя проектировать объект, не учитывая его функционирования, конструктивные модели обычно включают в себя дескриптивные как внутренний компонент. Дескриптивные модели имеют и самостоятельное значение, позволяя производить расчет и сравнение проектных вариантов с целью их выбора (т.е. проводить "вычислительный эксперимент"), а также для выявления целесообразного направления их корректировки.
В описанных ниже пакетах прикладных программ представлены оба типа моделей, большая часть которых является оригинальной.
1.6. Как правило, математические задачи, которые выражают математическую модель объекта градостроительного проектирования, слишком сложны, чтобы возможно было решать их без применения ЭВМ. При этом обычно не удается реализовать всю работу, связанную с использованием ЭВМ для проведения расчетов по модели, в виде одной программы. Необходимость различных модификаций расчета, преобразования исходной информации к форме, в которой она вводится в математическую модель, представления результатов в форме, удобной для восприятия и дальнейшего использования, наконец, ограниченность ресурсов самой ЭВМ требуют разработки программных комплексов даже при использовании одной модели. Более того, при проектировании сколько-нибудь сложной объектной подсистемы возникает необходимость применения нескольких моделей, отражающих различные аспекты подсистемы или один и тот же аспект на разных этапах проектирования. Поэтому программное обеспечение приобретает форму объектно-ориентированных пакетов прикладных программ, каждый из которых служит инструментом проектирования конкретной объектной подсистемы и содержит разнообразные программы, применяемые в рамках более или менее жесткой схемы (последовательности). Совокупность лежащих в основе пакета математических моделей и методов решения задач составляет его математическое обеспечение. На каждый пакет разрабатывается документация, которая содержит как инструктивные, так и методические материалы, вместе охватывающие проектно-методическую и технико-технологическую стороны использования пакета.
1.7. Разработанные и представленные здесь ППП не исчерпывают всех возможностей автоматизации проектирования и применения математического моделирования в задачах проектирования генерального плана города. До настоящего времени не обеспечены действующими пакетами прикладных программ такие объекты подсистемы, как инженерное оборудование, инженерная подготовка территории, жилая застройка, охрана окружающей среды и др. Общая стратегия автоматизации проектирования генерального плана предполагает постепенный охват математическими моделями и ППП все более широкого круга объектных подсистем. Однако такая экстенсивная "мозаичная" автоматизация, основанная исключительно на моделировании объекта проектирования, не только не реализует всех возможностей автоматизации, но и приведет к технологическим трудностям в их внедрении и эксплуатации. Необходимо одновременно как включать в проектный процесс другие направления автоматизации, так и снабжать автоматизированный проектный процесс общесистемным программным обеспечением, которое выполняло бы интегративные функции, превратило бы совокупность отдельных автоматизированных компонент в систему автоматизированного проектирования генерального плана города. Эта работа начата и будет продолжаться и развиваться.
1.8. Одним из проявлений комплексности, интегративности применения ППП в проектном процессе является обеспечение их информационного взаимодействия. Комплексное применение пакетов в достаточно полном смысле не исчерпывается применением нескольких ППП при проектировании одного градостроительного объекта, но предполагает существование информационной связи между ними, так что результаты работы одного пакета передаются как входные данные в другой. Такая необходимость возникает уже при комплексном применении трех представленных здесь пакетов (см. ниже) и будет все более обостряться по мере пополнения "банка" ППП. Как минимум здесь требуется программная передача данных между пакетами через внешнюю память ЭВМ. Представленные пакеты частично содержат такие средства. Однако в настоящее время следует признать недостаточность программно реализованных и опробованных каналов информационной связи между пакетами.
1.9. Работа с каждым ППП в ходе проектирования представляет собой человеко-машинный процесс. Выбор той или иной модификации и последовательности выполнения программ, подготовка исходной информации, анализ результатов, их корректировка по соображениям, не учтенным в математической модели, принятие окончательных проектных решений - таков минимальный набор функций, выполняемых человеком, при использовании пакета в рамках его возможностей. К этому нужно добавить, что на уровне действующего математического и программного обеспечения ППП решают не все задачи, связанные с проектированием соответствующих объектных подсистем (см.
пп. 1.11 -
1.13), и эти задачи должен решать проектировщик традиционными средствами. Во всем процессе проектирования генерального плана действующие ППП покрывают ограниченную часть проектного процесса, и остальные объектные подсистемы также проектируются традиционными средствами. По мере совершенствования действующих и создания новых ППП, реализации общесистемных возможностей автоматизации объем "машинной" части будет возрастать.
Однако применение трех действующих ППП уже требует изменения образа мышления проектировщика. Разработка математической модели требует, как правило, формирования определенного круга понятий, строгого и объективного понимания моделируемого объекта или явления, введение в рассмотрение такой (количественной) информации, которая в традиционном проектировании не используется. Комплексное использование ППП, в свою очередь, добавляет к этому необходимость анализа, структурирования и упорядочения проектного процесса, понимания взаимной связи между различными объектными подсистемами - как объективной, функциональной, так и процессуальной, возникающей в процессе проектирования. Поэтому комплексное применение пакетов следует рассматривать как важный шаг в развитии автоматизированного проектирования по направлению к перспективной САПР, в частности в методологическом аспекте.
ДЕЙСТВУЮЩИЕ ПАКЕТЫ ПРИКЛАДНЫХ ПРОГРАММ
1.10. В настоящие Рекомендации включены материалы по использованию в проектировании генеральных планов городов трех конкретных ППП, разработанных ЦНИИП градостроительства. Эти пакеты прикладных программ предназначены для:
комплексной оценки и функционального зонирования территории (ППП ФЗГ);
проектирования систем городских путей сообщения (ППП ТР);
расчета и субоптимизации размещения объектов обслуживания населения (ППП КБО).
В настоящем разделе дается краткое описание пакетов, необходимое для понимания следующего раздела, где описан порядок их комплексного применения. Более подробные сведения о каждом пакете приводятся в
разд. 2 -
4 настоящих Рекомендаций.
1.11. ППП ФЗГ предназначен для решения проектных задач комплексной оценки и функционального зонирования территории при разработке генеральных планов новых и сложившихся городов. В основе пакета лежит математическая модель оптимизации функционального зонирования, учитывающая как стоимость освоения территории под те или иные виды ее использования, так и пространственные связи между территориальными элементами города, функционирующего как единое целое. Для этого сила связей выражается в стоимостной форме, так что обе компоненты, определяющие функциональное зонирование, становятся сопоставимыми и соизмеримыми. Сила связи между каждой парой территориальных элементов зависит от расстояния между элементами и их функционального использования. При этом существенно различаются связи положительные, стимулирующие взаимное сближение функций и компактность конфигурации соответствующих зон, и отрицательные, стимулирующие взаимное удаление функций, если имеется вредное воздействие одной из них на другую. Учитываются разнообразные виды затрат и потерь, связанных с реализацией функционального зонирования через строительство и последующее функционирование города: затраты и потери, возникающие в связи с отчуждением земель из-под существующего использования, проведением мероприятий по инженерной подготовке территории, существованием грузо- и людопотоков, созданием санитарно-защитных зон, проведением радикальных, пороговых мероприятий и т.д. Особо учитываются затраты на связь функций, размещаемых на проектируемой новой территории, с уже существующей, сохраняемой частью города. В рамках задачи функционального зонирования решается ряд задач, которые обычно рассматриваются как независимые, самостоятельные, а именно: комплексная оценка территории, выбор направлений территориального развития города, выбор площадок для жилищного и промышленного строительства, собственно функциональное зонирование территории.
Пакет допускает два режима использования: оценочный и оптимизационный. В первом режиме программы пакета используются для оценки вариантов, т.е. для вычисления значения критерия оптимальности (целевой функции) вариантов функционального зонирования, разработанных проектировщиком, с целью их сравнения и выбора наилучшего. Во втором режиме осуществляется оптимизация плана функционального зонирования с последующей его оценкой.
В новейшей программной версии пакет допускает учет пространственных связей между территориальными элементами как по "воздушным прямым", так и по магистральным транспортным коммуникациям. Это позволяет использовать ППП ФЗГ на разных этапах проектирования генерального плана, о чем подробнее говорится далее.
1.12. ППП ТР является инструментом проектирования транспортных систем городов. Он обеспечивает проектировщиков и лиц, принимающих решение (представителей заказчика, городских властей, экспертизы) объективными расчетными данными прогноза работы запроектированной транспортной системы.
В основе пакета лежат дескриптивные модели корреспонденций населения и их распределения по элементам улично-дорожной сети. При этом транспортная система может быть представлена с различной степенью детальности в виде:
"воздушных прямых" с учетом обхода препятствий (акваторий, зон сложного рельефа, территорий, прокладка транспортных коммуникаций через которые не допускается);
сети классифицированных и неклассифицированных улиц и дорог для движения автомобилей индивидуального пользования и массового пассажирского транспорта с выделенными линиями скоростного и внеуличного транспорта;
такого же рода сети с системой маршрутов массового транспорта;
сети, представляющей сложные транспортные узлы вместе со схемой организации движения в них.
Таким образом, пакет представляет собой многоцелевое программное обеспечение, возможности использования которого выходят за рамки проектирования генеральных планов городов.
Применение пакета на различных этапах проектирования генерального плана позволяет оценить транспортную потребность города в целом и по отдельным его территориальным элементам до построения улично-дорожной сети и получить разнообразные характеристики запроектированных ее вариантов в зависимости от детальности проработки вариантов. Широкий набор программно рассчитываемых показателей, характеризующих функционирование системы городских путей сообщения и качество транспортного обслуживания, дает проектировщику основания для формирования, корректировки, сравнения и выбора проектных решений.
1.13. ППП КБО предназначен для решения некоторых задач, связанных с проектированием системы объектов обслуживания населения. Из разнообразной номенклатуры объектов, выполняющих функции обслуживания, выделяются объекты массового посещения, не имеющие административно заданных ареала и контингента пользователей, т.е. объекты, посещаемые населением по его выбору. Совокупность разнородных объектов расчленяется на отдельные сети объектов, выполняющих одинаковые (простые или комплексные) функции обслуживания.
Математическое обеспечение пакета составляют модели посещения населением сети объектов обслуживания из источников посетителей различного типа и модели субоптимального пространственного распределения мощностей обслуживания с учетом суточной динамики функционирования системы население - обслуживание.
Пакет позволяет получить рациональное распределение мощности обслуживания по территориальным элементам города на основе расчета посещения объектов обслуживания населением. При этом во внимание принимается размещение мест проживания, перемещение населения в плане города в течение суточного цикла в рабочий день, посещение расположенных в городе объектов обслуживания внегородским населением, специфика пространственного поведения населения по отношению к различным функциям обслуживания. Наряду с решением задачи субоптимизации пакет дает возможность произвести расчет заданного варианта с учетом ограничения посещений пропускной способностью объектов обслуживания. В результате этого расчета определяются потоки посетителей в объекты, локализация и пропускная способность которых задана (например, получена как результат субоптимизации или задана проектировщиком). Полученные данные характеризуют качество обслуживания населения (в планировочном аспекте), функционирование объектов обслуживания (степень загрузки их потоками посетителей), а также нагрузку на транспортную сеть, вызываемую населением при посещении им системы обслуживания.
1.14. Все три пакета разработаны применительно к использованию на ЭВМ серии ЕС с оперативной памятью не менее 512 Кбайт, быстродействием не ниже, чем у ЭВМ типа ЕС-1022, и ориентированы на операционную систему ОС ЕС.
1.15. Как уже отмечалось, рекомендуемые к комплексному применению ППП охватывают автоматизацией часть проектного процесса. Согласно экспертной оценке, проведенной в ЦНИИП градостроительства, доля комплексной оценки и функционального зонирования в проектировании генерального плана (по трудоемкости в традиционном процессе проектирования) составляет 10%, проектирования системы городских путей сообщения 8, проектирования системы обслуживания 3, в сумме около 20%. Разработка перечисленных разделов автоматизируется пакетами по этой же оценке на 20 - 30%. Таким образом, достигаемый совместным применением пакетов уровень автоматизации составляет примерно 5%.
Следует, однако, отметить, что формальный показатель этого уровня не отражает сущности той цели автоматизации, которая в первую очередь преследовалась при создании пакетов. В данном случае автоматизация была направлена главным образом не на ускорение и облегчение труда проектировщика в его рутинном содержании при сохранении на традиционном уровне собственно проектной деятельности, а на изменение ее, на замену субъективного качественного проектирования объективным, подкрепленным количественными обоснованиями и коллективным опытом, выраженным в форме математических моделей, в той мере, в какой это возможно. Благодаря этому повышается качество проектных работ, уровень их обоснованности и в конечном итоге высокий социально-экономический эффект в строительстве и функционировании проектируемого города, выражающийся в экономии капитальных затрат, материальных и энергетических ресурсов, сокращении непроизводительных и вынужденных потерь времени населением, улучшении санитарно-гигиенических условий проживания (см.
п. 1.37). Таким образом, применение трех данных ППП в градостроительном проектировании должно рассматриваться не столько с узковедомственных позиций достигаемого уровня автоматизации, сколько с широких позиций достигаемого народнохозяйственного эффекта.
КОМПЛЕКСНОЕ ПРИМЕНЕНИЕ ПАКЕТОВ ПРИКЛАДНЫХ ПРОГРАММ ПРИ ПРОЕКТИРОВАНИИ ГЕНЕРАЛЬНОГО ПЛАНА ГОРОДА
1.16. Приводимые в настоящем разделе рекомендации по комплексному применению ППП ориентируются на проектирование генерального плана города:
с численностью населения от 50 тыс. до 1 млн. чел.; нижний предел определяется тем, что для городов с меньшей численностью населения генеральный план совмещается с ПДП, т.е. со стадией, на которую пакеты непосредственно не ориентированы, а верхний предел - реальными возможностями проведения расчетов на доступной вычислительной технике;
новый или территориально развивающийся;
без особых природно-климатических условий (горный рельеф, например, вносит изменения в последовательность выполнения проектных операций генерального плана).
1.17. Традиционный процесс проектирования генерального плана имеет естественную иерархическую структуру и последовательность действий, которую схематически можно представить в виде трех крупных этапов:
1-й. Анализ предпроектной ситуации и проведение предпланировочных расчетов.
2-й. Формирование конструктивных решений.
3-й. Расчет показателей проекта и выпуск проектной документации.
1.18. На первом этапе осуществляется анализ предпроектной ситуации и задания на проектирование с целью проконтролировать и обеспечить полноту и взаимную непротиворечивость элементов задания, выявить основные проблемы городского развития, разработать альтернативы исходных установок на проектирование и на этой основе осуществить комплекс предпланировочных операций (расчетов и решений), предшествующих решениям планировочного характера. На этом этапе определяются и уточняются структура и объем градообразующей базы, включая межселенные функции; определяются взаимосвязи в системе расселения, потребности в территории, объемах жилищного и коммунального строительства, стройбазе, энергоносителях и др.; выявляются проблемы, требующие мероприятий порогового характера (строительство мостов, вынос аэродромов, строительство метрополитена и т.п.), и формируются альтернативы исходных установок по этим проблемам; осуществляется комплексная оценка территории (включая вопросы состояния городской среды); выделяются территории, на которых могут размещаться объемы нового промышленного и жилищно-гражданского строительства.
При решении предпланировочных задач в автоматизированном проектном процессе рекомендуется использование ППП ФЗГ для комплексной оценки территории и ППП КБО для расчета потребности в обслуживании внегородского населения, если эти потребности не выявлены на предшествующей стадии проектирования - в проекте районной планировки.
1.19. Этап формирования конструктивных решений состоит из совокупности задач: досетевого уровня, сетевого и эскизной проработки основных функциональных зон и объектных подсистем.
Задачи досетевого уровня решаются с целью выявления основных направлений развития города и формирования расчетно-обоснованных требований к транспортной сети города (как на существующей территории, так и на вновь осваиваемой). На этом уровне транспортная сеть на вновь осваиваемых территориях еще не спроектирована, а существующая транспортная сеть может сознательно игнорироваться, с тем чтобы избежать чрезмерного тяготения к ней размещаемой новой застройки и получить

свободу в поиске новых направлений территориального развития города.
Основными задачами досетевого уровня являются функциональное зонирование территории, архитектурно-планировочное членение селитебной территории и формирование системы центров планировочных районов, досетевой расчет транспортно-планировочных характеристик проектного решения и потенциальной транспортной потребности города и его районов.
Для решения этих задач рекомендуется использовать ППП ФЗГ и ППП ТР.
Последней, завершающей задачей этого уровня, одновременно являющейся переходом к сетевому уровню, является построение магистральной транспортной сети и перерасчет транспортно-планировочных характеристик проектного решения с ее учетом.
Задачи сетевого уровня решаются с учетом построенной транспортной сети. Целями этого уровня являются: формирование и взаимная притирка основных проектных подсистем общегородского значения, функционального зонирования территории, системы центров планировочных районов, транспортной системы (включая улично-дорожную сеть), магистральных инженерных сетей и крупных мероприятий по инженерной подготовке территории. Притирка подсистем осуществляется путем последовательных корректировок проектных подсистем с учетом решений, принятых ранее по другим подсистемам. Для решения соответствующих задач в автоматизированном проектном процессе используются ППП ФЗГ и ППП ТР.
1.20. По выходе из сетевого уровня получается укрупненное представление генерального плана, в целом закомпонованное и увязанное. По степени проработанности оно соответствует ТЭО генерального плана. Если разрабатывается именно ТЭО, то на этом этапе формирование конструктивных решений завершается, в случае же разработки генплана осуществляется переход к совокупности задач эскизной проработки основных функциональных зон и объектных подсистем.
Эскизной проработке подвергаются: зоны общегородского центра, жилой застройки, промышленная и коммунально-складская; транспортная система (включая улично-дорожную сеть); инженерные сети; система объектов обслуживания населения. Функциональные зоны внутренне структурируются. Особое значение приобретает формирование целостной системы озеленения. В общегородском центре выделяются зоны функциональной специализации, в зоне жилой застройки - жилые районы и микрорайоны, в промышленной зоне - специализированные зоны и панели для предприятий. Улично-дорожная сеть магистралей дополняется сетью жилых улиц, инженерные магистральные сети - подводящими сетями. Производится распределение основных видов обслуживания по выделенным структурным планировочным единицам и их общественным центрам.
При комплексном применении ППП для расчета систем городских путей сообщения и обслуживания населения используются ППП ТР и ППП КБО.
1.21. Традиционный процесс проектирования может быть более или менее расчлененным в зависимости от принятой технологии и организационной структуры проектного процесса. Во всяком случае, такое расчленение не является регламентированным и допускает различные вариации. Включение в процесс проектирования комплексного применения пакетов прикладных программ, решающих объектно-ориентированные, отраслевые задачи, причем по-разному на разных этапах проектирования, требует более четкой структуризации проектного процесса, его расчленения с целью приспособления к реальным возможностям ППП.
1.22. Как было отмечено выше, ППП ФЗГ используется на двух этапах проектного процесса: на этапе анализа предпроектной ситуации и предпланировочных расчетов - для комплексной оценки территории в предпроектной ситуации и на этапе формирования конструктивных решений - для оценки и оптимизации плана функционального зонирования территории на досетевом и на сетевом уровнях (на сетевом уровне - несколько раз в итерационном процессе притирки решений по всем проектным подсистемам).
На вход в задачу комплексной оценки территории подаются следующие основные данные:
границы рассматриваемой территории, разбивка ее на квадратные территориальные элементы (ячейки);
план существующего функционального использования, инженерно-геологические характеристики территории, оценка территории по уровню загрязнения природной среды города;
перечень активных функций (т.е. функций, подлежащих размещению в процессе функционального зонирования) и их объемы;
данные по размещению важных точечных объектов (мест водозабора и сброса сточных вод, ТЭЦ, вокзалов, проходных крупных предприятий, крупных универмагов и т.д.);
данные, необходимые для расчета матрицы людских потоков (структура занятости, структура подвижности, средняя скорость сообщения и т.д.) и матрицы грузопотоков;
справочные данные стоимостного характера для вычисления удорожаний, связанных с инженерной подготовкой и оборудованием территории, с отчуждением земель из-под существующего использования, с оценкой ущербов и мероприятий по предотвращению ущербов от загрязнения окружающей среды, а также с оценкой потерь времени населением на транспортные передвижения и некоторые др.
На основе этих данных автоматически формируется матрица комплексной оценки территории, в которой каждой ячейке вновь осваиваемой территории сопоставляются затраты и потери, связанные с предположительным ее использованием под каждую из активных функций, и включающие затраты на инженерную подготовку территории и отчуждение из-под существующего использования, стоимостную оценку ущербов от загрязнения среды, затраты и потери на связи каждой ячейки с остальными ячейками территории, причем для этой ячейки рассматриваются все варианты предположительного использования под новые функции, а для остальных ячеек - виды реально существующего использования. Одно из важных применений полученной комплексной оценки - определение на ее основе территорий, предназначенных для нового строительства, т.е. для размещения активных функций.
1.23. При решении задачи функционального зонирования территории на досетевом уровне формируется начальное приближение плана функционального зонирования (может производиться либо в автомате, либо вручную), производится машинный расчет целевой функции (оценки) начального приближения, формируется оптимальный машинный план функционального зонирования, который также оценивается величиной вычисляемой целевой функции.
Под влиянием количественного учета характеристик плана по всем видам затрат и потерь в процессе оптимизации плана определяется наилучшее размещение и конфигурация функциональных зон относительно территории, функциональных зон существующего города, точечных объектов и относительно друг друга. Полученное функциональное зонирование территории в укрупненном виде представляет собой план города с важнейшими его компонентами. При этом, хотя коммуникационные сети на активной территории еще не построены, общие тенденции связи учтены в форме взаимного положения функций, так что с самого начала заложены основы учета оптимизационных требований к коммуникационным сетям - созданы предпосылки их оптимизации.
На этом этапе расстояния между ячейками учитываются "по воздушным прямым" без учета существующей транспортной сети на сохраняемой территории. Это является принципиальным моментом. Благодаря этому преодолеваются инерционные процессы городского развития и отыскиваются новые территориальные возможности. Если бы с самого начала учитывалась существующая транспортная сеть, то территориальное развитие города заведомо тяготело бы к существующим скоростным магистралям, порождая на них дополнительную нагрузку, хотя магистрали и без того, как правило, перегружены. В этом смысле необходимо на первом шаге осуществить поиск новых направлений развития, что и обеспечивается указанным приемом.
Возможность осуществления связей по воздушным прямым ограничивается существованием препятствий. На досетевом уровне часть препятствий учитывается, часть игнорируется. К учитываемым препятствиям относятся крупные акватории и режимные и охраняемые территории, элементы горного рельефа, т.е. территории, через которые в рамках технически реализуемых решений транспортные магистрали пройти не могут; к неучитываемым относятся линейные препятствия (реки, железные дороги), места перехода через которые (мосты, путепроводы) должны определиться в зависимости от размещения функций нового городского строительства. В тех случаях, когда в исходной ситуации имеются подлежащие учету препятствия, применяется другая модификация программ, производящих расчет и оптимизацию функционального зонирования, в которой расстояния вычисляются по условной плотной квадратно-диагональной коммуникационной сети, обладающей малым коэффициентом непрямолинейности (вершины сети совпадают с центрами ячеек). Те участки территории, через которые коммуникация невозможна, не содержат элементов сети и, следовательно, при определении связи между территориальными элементами по сети обходятся как препятствия (подробнее об этом см. ниже).
Расчет на ЭВМ в режиме оптимизации позволяет получить оптимальное распределение функций по территории. Одновременно программа формирует оценку конкретного функционального зонирования в стоимостной форме. Оценка позволяет сравнить машинный вариант с исходным, предложенным проектировщиком в качестве начального приближения, а также сравнить между собой решения, полученные при разных альтернативных исходных установках.
Как начальное приближение, так и оптимальный план, получаемый программным путем, характеризуются значением целевой функции, имеющей смысл совокупных затрат и потерь, связанных с реализацией данного плана функционального зонирования. Значение целевой функции вычисляется и выводится на печать. Сравнение значений, характеризующих начальное приближение и оптимальный план, позволяет выяснить, в какой мере второй лучше первого (как правило, в 1,5 - 2 раза). Возможен также иной режим использования ППП ФЗГ, при котором рассматриваются несколько вариантов функционального зонирования, разработанных проектировщиком, с целью их оценки, сравнения и выбора из них наилучшего. В этом случае оптимизация не производится, все варианты рассматриваются поочередно в качестве начального приближения и получают оценку, т.е. вычисляемое значение целевой функции. Такой режим рекомендуется использовать организации, впервые внедряющей пакет в проектирование, поскольку он позволяет легче адаптировать новую технологию, выработать к ней отношение доверия.
План функционального зонирования формируется на досетевом и на сетевом уровне с учетом его реализуемости во времени, т.е. содержит информацию об очередности строительства с периодом в 5 лет (1-я, 2-я, 3-я и 4-я очереди строительства). Таким образом, задача выделения плана строительства на очередную пятилетку ставится на методически правильную основу.
1.24. При формировании функционального зонирования с помощью ППП ФЗГ общегородской центр рассматривается как самостоятельный вид использования территории, занимающей относительно малое количество ячеек (в пределе - одну). Полученное решение дополняется (традиционными средствами) локализацией крупных фокусов тяготения населения, существенно влияющих на конфигурацию и характеристики подлежащей проектированию улично-дорожной сети (например, центры планировочных районов).
1.25. Следующим этапом досетевого уровня проектирования генерального плана, на котором используются пакеты прикладных программ, является расчет транспортных характеристик планировочного решения. Пакет программ ППП ТР представляет возможность еще до того, как сконструирована конкретная улично-дорожная сеть, произвести оценку планировочного решения (функционального зонирования) по транспортным показателям. С этой целью анализируемая территория расчленяется на расчетные районы, центры которых "привязываются" к узлам формируемой ЭВМ условной квадратно-диагональной сети гипотетических путей сообщения, плотно (с шагом 0,5 - 1 км) покрывающей всю территорию, за исключением тех ее областей, через которые прохождение будущей реальной сети невозможно. Условия сообщения по этой сети близки к идеальным, обеспечивающим наилучшую возможную связь между районами, и расчет характеристик функционирования этой сети выявляет предельно достижимое удобство и величину связей между расчетными районами.
Количество расчетных районов существенно меньше, чем количество ячеек, на которые разбивается территория для решения задачи функционального зонирования (несколько десятков в первом, несколько сот или тысяч во втором). Конфигурация расчетных районов в принципе может быть произвольной, но должна формироваться на основе конфигурации функциональных зон, полученных при решении задачи функционального зонирования. Удобно компоновать их из ячеек, использованных при описании территории для функционального зонирования, и их характеристики (количество населения, мест приложения труда, мощность системы обслуживания) могут быть определены суммированием по ячейкам данных, полученных в результате решения задачи функционального зонирования территории.
Расчет по программам пакета позволяет оценить планировочную структуру города, представленную на данном этапе проектирования функциональным зонированием, по транспортным критериям.
1.26. Возможности ППП ТР в описанной модификации на данном досетевом этапе проектирования генерального плана не ограничиваются только оценочными функциями. Пакет позволяет найти пространственное распределение (по узлам паутинной сети) поверхностной плотности движения и ее распределение по четырем направлениям (восьми ребрам, сходящимся в узлах) в гипотетических "идеальных" условиях коммуникации. Тем самым проектировщик получает данные о целесообразной плотности и ориентации улично-дорожной сети, а также о необходимости включения в сеть и направлении трассировки скоростных транспортных магистралей.
1.27. Результаты описанных расчетов по ППП ТР позволяют проектировщику более обоснованно подойти к выполняемому традиционными методами построению сети в ее конкретной конфигурации. На данном этапе проектного процесса, рассчитанного на комплексное применение описываемых пакетов прикладных программ, конструирование сети осуществляется не в полном объеме, а лишь на уровне определения основных улиц и дорог и, если это вызывается необходимостью, скоростных линий внеуличного транспорта. Проектирование может вестись вариантно.
1.28. Спроектированная конфигурация сети рассчитывается с помощью ППП ТР уже в модификации расчета неклассифицированной улично-дорожной сети реальной конфигурации с выделенными линиями скоростного внеуличного транспорта. Расчет дает показатели, детально характеризующие ее перспективное функционирование, позволяет сравнить варианты проектных решений, скорректировать наилучшие варианты и таким образом предложить проект сети городских путей сообщения (с целесообразной детальностью его проработки), отвечающей выбранному на предыдущем этапе плану функционального зонирования.
Как уже указывалось выше, с этого момента начинается сетевой уровень проектирования генплана, на котором функциональное зонирование и коммуникационные сети вступают во взаимодействие друг с другом.
1.29. Появление на проектируемой территории улично-дорожной коммуникационной сети изменяет способ и дальность связи между территориальными элементами, что приводит к необходимости изменения конфигурации функциональных зон. Полученное ранее функциональное зонирование нуждается в корректировке, которая также может быть выполнена с помощью ППП ФЗГ. Для этой цели пакет содержит программы, решающие ту же задачу расчета или формирования плана функционального зонирования, но с учетом пространственной неоднородности связей, вызванных наличием, с одной стороны, транспортных коммуникаций, с другой - искусственных препятствий, возникающих при формировании функциональных зон на досетевом уровне (например, территорий промзон).
Этот учет производится следующим образом. Сформированная улично-дорожная сеть расчленяется на две компоненты: дисперсную, "фоновую" часть, составленную из улиц и дорог "местного значения", и выделенную изо всей сети совокупность магистральных улиц и дорог "городского значения" и линий внеуличного скоростного транспорта. Первая компонента в решении задачи функционального зонирования непосредственно не участвует, она заменяется ее "моделью" - квадратно-диагональной сетью условных коммуникаций между ячейками территории с разрывами в тех территориальных областях, через которые коммуникационный транзит невозможен или недопустим (аналогично сети, описанной выше в
пп. 1.23,
1.25). Эта регулярная сеть может быть дополнена элементами, ведущими внутрь территорий-препятствий, т.е. допускающими нетранзитную связь этих территорий с остальными ячейками. Вторая компонента улично-дорожной сети представляется дополнительными участками, связывающими заданные территориальные элементы. Этим участкам приписывается условная длина,

или меньшая их физической длины в зависимости от соотношения предполагаемой скорости движения по этим звеньям и по звеньям регулярной сети. При решении соответствующей программой ППП ФЗГ задачи функционального зонирования стоимость положительных связей между ячейками (которые формируются, главным образом, пассажиро- и грузопотоками) рассчитывается в предположении, что эти связи осуществляются по кратчайшим путям коммуникационной сети. Стоимость же отрицательных связей (которые можно интерпретировать как распространение загрязнений от промышленных источников) определяется в зависимости от расстояния, рассчитываемого по "воздушным прямым", как в описанной выше модификации.
Таким образом, новое функциональное зонирование учитывает запроектированную на предыдущем этапе улично-дорожную сеть.
1.30. В свою очередь, изменение конфигурации функциональных зон вызывает необходимость в изменении конфигурации улично-дорожной сети. При этом, поскольку новое функциональное зонирование существенно учитывало наличие первоначальной конфигурации сети, это изменение не должно быть радикальным. Вариант сети в новой проектной ситуации может быть разработан либо снова, начиная с анализа функционального зонирования и построения новой улично-дорожной сети с использованием ППП ТР как инструмента проектирования (
пп. 1.21,
1.31), либо путем корректировки уже построенной сети, также с применением ППП ТР для расчета и обоснования нового варианта.
Подсистемы функционального зонирования территории и городского транспорта взаимодействуют не только друг с другом, но и с подсистемами инженерных сетей и инженерной подготовки территории, которые также связаны в общем итерационном процессе взаимной притирки подсистем. Взаимодействие первых двух подсистем рассматривается наиболее подробно потому, что они входят в компетенцию рассматриваемых в настоящих Рекомендациях ППП ФЗГ и ППП ТР.
В принципе процесс взаимной "притирки" размещения на территории основных функций и связывающих их коммуникационных сетей требует нескольких итераций. Не следует, однако, преувеличивать достигаемую в ходе такого итерационного процесса степень оптимальности проектного решения, и двухитерационного процесса формирования планировочно-коммуникационной структуры практически достаточно, чтобы при ограниченной трудоемкости и продолжительности подготовки данных и проведения расчетов на ЭВМ получить удовлетворительное проектное решение.
1.31. Описанный процесс приводит, как уже указывалось, к проектному результату, по детальности проработки планировочного решения примерно соответствующему уровню ТЭО генерального плана. В ходе последующей детализации проектного решения (
пп. 1.20,
1.24) более точно определяются локализация и плотность размещения населения и основных фокусов трудового и нетрудового тяготения населения (проходных предприятий в промышленной зоне, структурных общественных центров и т.п.). Теперь появляются основания для более детальной проработки улично-дорожной сети: возможного дополнения сети новыми участками, классификации улиц и дорог по наличию или отсутствию массового общественного транспорта, скорости движения и т.д. Для расчета и оценки более детального варианта улично-дорожной сети применяется ППП ТР в модификации расчета классифицированной сети. Полученная в результате расчета совокупность ее характеристик позволяет на основе рассчитываемых характеристик сети обосновать выбранное проектное решение.
1.32. Проектирование системы обслуживания населения по существу начинается уже на стадиях или этапах проектирования, предшествующих разработке планировочного решения генерального плана города. На стадии районной планировки (или на этапе предпланировочных расчетов, если проект районной планировки отсутствует или устарел) выявляются функции города по межселенному обслуживанию системы расселения, в которую включается проектируемый город, и определяются виды и объемы межселенного обслуживания. На этапе предпланировочных расчетов определяется общий объем объектов обслуживания собственно городского населения. При разработке укрупненной планировочной структуры города в рамках задачи функционального зонирования функции обслуживания включаются в расчет коммуникационной компоненты целевой функции через определение стоимости связей между территориальными элементами жилой застройки и общегородского центра. Здесь функции обслуживания предполагаются частично сосредоточенными в общегородском центре, частично дисперсно распределенными по селитебной зоне (а также, возможно, по промышленной зоне, зонам отдыха и др.). Дальнейшая дифференциация зон и выделение центров различного ранга на досетевом и сетевом этапах проектирования локализует местоположение общественных центров, и часть функций обслуживания (за исключением сугубо "местных") переходит в эти центры, в то время как функции "местного" значения остаются на уровне генплана рассредоточенными по территории.
Поскольку проектирование системы обслуживания на стадии генерального плана практически не доводится до размещения отдельных конкретных объектов (за исключением наиболее крупных объектов, размещаемых в общегородском центре и центрах городских планировочных районов), система обслуживания локализуется в виде дисперсной сети неразличимых объектов, распределенных по территориальным единицам, и сети общественных центров, размещаемых по общим планировочно-транспортным соображениям. С этой точки зрения задача локализации обслуживания на стадии генерального плана может быть решена без применения специфических средств математического моделирования, учитывающих особенности функционирования системы обслуживания. Однако необходимым оказывается решение проблемы распределения мощностей обслуживания по территориальным единицам и их общественным центрам.
1.33. Для решения этой задачи используется пакет прикладных программ ППП КБО. Используя математическую модель посещения населением объектов обслуживания, он позволяет получить распределение мощностей, более адекватное потребностям населения, чем методика, предлагаемая
СНиП II-60-75**, для тех функций обслуживания, которые посещаются населением не из фиксированного ареала, а свободно, причем не только из места жительства, но и места работы и в процессе перемещения по городу - в особенности по дороге с работы домой в вечерние часы "пик". В
СНиП II-60-75** нет различия между посещением таких функций обслуживания и тех функций, которые реализуются объектами, посещаемыми из административно заданных ареалов (например, поликлиники, детские сады) и, которые, следовательно, должны иметь мощность, пропорциональную населению ареалов, и проектировщик ориентируется на единые методы определения мощности столь разных видов обслуживания. Пакет дает возможность найти рациональное распределение мощностей по отдельным функциям обслуживания с учетом различных возможностей посещения их населением города в разное время суточного цикла функционирования города, а также внегородским населением, тяготеющим к данному городу. Получаемое с помощью ППП КБО распределение мощности учитываемых видов обслуживания существенно дифференцировано по территории в зависимости не только от плотности населения, но и от местоположения расчетного района (общественного центра) относительно других районов и относительно основных входов в город иногородних пользователей системой обслуживания. Одновременно с мощностью объектов обслуживания ППП КБО позволяет более точно, чем ППП ТР, определить ту часть культурно-бытовых корреспонденций, которые приходятся на учитываемые функции обслуживания.
Применение этого пакета имеет смысл на том этапе проектирования генерального плана, когда с достаточной детальностью проработаны планировочная структура (локализация населения и обслуживания) и транспортная сеть, определяющая доступность обслуживания для населения, т.е. на заключительных этапах разработки генерального плана. На предварительном уровне взаимодействие населения с системой обслуживания учитывается при проектировании улично-дорожной сети, и ППП ТР содержит для этого собственные средства. Вместе с тем полученные с помощью ППП КБО расчетные потоки посетителей системы обслуживания могут несколько скорректировать характеристики улично-дорожной сети по сравнению с теми, что были найдены при использовании ППП ТР.
Пакет программы КБО использует тот же способ описания территории, что и пакет программ ТР, и наиболее объемная ситуационная информация - данные о временах сообщения - может быть непосредственно заимствована из результатов расчетов по ППП ТР, для чего предусмотрено специальное программное обеспечение.
1.34. В составе генерального плана разрабатывается план строительства на ближайшую пятилетку. Уже само функциональное зонирование, проектируемое с использованием ППП ФЗГ, может включать в себя фактор динамики реализации, для чего пакет располагает соответствующими средствами (см.
разд. 2). Полученное с помощью этих возможностей и дополненное традиционными средствами проектное решение, соответствующее заданному временному срезу (моменту реализации), может быть подвергнуто расчету с применением ППП ТР и ППП КБО. Данные расчета позволяют оценить функционирование частично реализованного объекта с точки зрения транспортного и культурно-бытового обслуживания населения и на этом основании уточнить проект и, возможно, рекомендовать временные мероприятия, обеспечивающие нормальную жизнедеятельность населения.
ОРГАНИЗАЦИОННО-МЕТОДИЧЕСКИЕ ВОПРОСЫ ВНЕДРЕНИЯ И ЭКСПЛУАТАЦИИ ПАКЕТОВ ПРИКЛАДНЫХ ПРОГРАММ
1.35. Как уже указывалось, предлагаемые к комплексному применению пакеты прикладных программ освоены проектными организациями в разной степени. Наибольшее внедрение получил пакет прикладных программ для расчета систем городских путей сообщения. Это связано в первую очередь с тем, что инженеры-проектировщики уже давно используют количественные методы и ЭВМ: до создания ППП ТР широкое применение нашел программный комплекс для ЭВМ "Минск-22". Два других пакета пока используются в меньшей мере, что объясняется неподготовленностью архитекторов-проектировщиков, недостаточным стимулированием внедрения новых методов проектирования и другими причинами. Поэтому практически комплексное применение пакетов будет складываться постепенно путем освоения пакетов по отдельности проектными организациями и первоначальной их эксплуатации в рамках традиционного проектного процесса.
В связи с эксплуатацией программных средств в проектной организации помимо методических аспектов использования пакетов программ возникают организационно-технические аспекты, связанные с поддержкой программных средств, подготовкой данных на машинных носителях, работой на ЭВМ непосредственно или через диалоговые терминальные системы.
В идеале желательно, чтобы вся проектно-эксплуатационная работа с программными средствами, включая подготовку данных и работу на ЭВМ, производилась непосредственно проектными подразделениями
<*>. Функции же поддержки всего программного обеспечения проектной деятельности, включая предлагаемые ППП, целесообразно возложить на специализированные подразделения - ВЦ, САПР. Для осуществления такого распределения функций необходима определенная подготовка проектных подразделений - обучение проектировщиков, включение в состав подразделений специалистов соответствующей квалификации. В переходный период освоения и внедрения программного обеспечения проектирования подразделения САПР должны взять на себя все функции эксплуатации программного обеспечения, оказывая одновременно методическую помощь проектным подразделениям в его освоении с последующей передачей им программных средств для регулярного применения.
--------------------------------
<*> Исключение может составить подготовка на машинных носителях больших массивов данных, которые можно передать специализированной группе при вычислительном центре или подразделении САПР.
1.36. Применение пакетов прикладных программ, направленных на повышение качества и степени обоснованности проектных решений, приводит к некоторому удорожанию проектного процесса за счет необходимости подготовки большего объема информации и использования дорогостоящей техники. Это удорожание многократно компенсируется народнохозяйственным эффектом совершенствования объекта проектирования (см.
п. 1.37), дополнительные расходы, которые ложатся на плечи конкретной проектной организации, должны быть компенсированы заказчиком. В настоящее время разработаны новые расценки на проектные работы, в которых предусмотрена возможность повышения оплачиваемой заказчиком стоимости проектирования, если оно включает в себя работы, связанные с применением новых методик, с использованием программного обеспечения для проведения градостроительных расчетов на ЭВМ. Соответствующие затраты включаются в дополнительную смету на проектные работы (форма 3 П) и подлежат оплате заказчиком проекта.
1.37. В соответствии с разным характером объектных подсистем и математического обеспечения каждый из предлагаемых пакетов прикладных программ имеет свои источники экономического эффекта, достигаемого за счет совершенствования объекта проектирования, и свои возможности их оценки.
Эффект, даваемый оптимизационным аппаратом ППП ФЗГ, состоит в уменьшении затрат на строительство и последующее функционирование города: капитальных затрат на инженерную подготовку территории, отчуждение земель, строительство транспортных и инженерных сетей; потерь времени людей на вынужденные передвижения, затрат на устранение ущерба от загрязнения среды и др. Расчет этого эффекта производится путем сопоставления значения целевой функции (суммы приведенных локализационных и коммуникационных затрат), полученного в результате оптимизации, с его значением для варианта, предложенного проектировщиком в качестве начального приближения или независимо от применения ППП. Если же такой вариант не формировался и начальное приближение подготавливалось автоматически, для оценки эффекта в данном конкретном проекте необходимо формирование специального варианта функционального зонирования исключительно для этой цели.
При проектировании системы городских путей сообщения с использованием ППП ТР источником эффекта является прежде всего экономия затрат времени населением на сообщение с местами приложения труда и объектами обслуживания, достигаемая за счет лучшего построения улично-дорожной сети и организации массового общественного транспорта. Поскольку в пакете нет средств прямой оптимизации транспортной системы, единственная возможность оценки эффекта по этому критерию состоит в сопоставлении проектных вариантов и соотнесении выбранного варианта с наихудшим или средним. Если многовариантная проработка проекта не производилась, то для того, чтобы получить такую оценку, необходимо опять формирование искусственного варианта как базы для сравнения. Возможность расчета эффекта осложняется тем, что критерий затрат времени населения не является единственным. Улично-дорожная сеть и транспортная система характеризуются целым рядом разнокачественных и потому трудно сопоставимых показателей.
Источником эффекта применения ППП КБО является экономия затрат времени населением на их обслуживание за счет выбора правильного соотношения между мощностью объектов и потоками посетителей в них. В качестве базы для сравнения должен быть разработан вариант распределения мощностей обслуживания по традиционной методике, а сама процедура сравнения требует расчета этого варианта по программам ППП КБО и дополнительного расчета времени обслуживания, основанного на соотношениях теории массового обслуживания.
Таким образом, расчет эффекта в каждом конкретном случае требует определенной дополнительной работы.
В ходе первоначального применения пакетов такие оценки были получены и выявили большой народнохозяйственный эффект применения пакетов. Экономический эффект применения ППП ФЗГ, приведенный к одному году жизнедеятельности города (со сроком приведения 20 лет), составляет в среднем для крупного города величину порядка 7 млн. руб., аналогичный эффект применения ППП КБО составляет примерно 25 тыс. руб. в год. (Величина эффектов, естественно, различается в соответствии с масштабом проектируемых подсистем).
Этот эффект проявляется после реализации генерального плана и имеет народнохозяйственный характер. Вместе с тем использование ППП в проектном процессе приводит к некоторому его удорожанию за счет необходимости подготовки дополнительных исходных данных, эксплуатации ЭВМ, обработки результатов расчетов. Согласно проведенной оценке, дополнительные затраты на применение ППП на одном объекте составляют 2,5 тыс. руб. для ППП ФЗГ и 0,3 тыс. руб. для ППП КБО.
Из сказанного вытекает нецелесообразность расчета экономического эффекта при каждом конкретном применении ППП как действия, морально устаревшего. Достаточно ограничиться уже проведенной оценкой или с целью ее уточнения провести дополнительные расчеты по нескольким применениям и распространить полученные данные об эффективности средств автоматизации проектирования на последующую их эксплуатацию.
2. ПАКЕТ ПРИКЛАДНЫХ ПРОГРАММ ДЛЯ КОМПЛЕКСНОЙ ОЦЕНКИ И ФУНКЦИОНАЛЬНОГО ЗОНИРОВАНИЯ ТЕРРИТОРИИ ГОРОДА (ППП ФЗГ)
НАЗНАЧЕНИЕ И ОБЛАСТЬ ПРИМЕНЕНИЯ
2.1. Пакет прикладных программ для комплексной оценки и функционального зонирования территории города (ППП ФЗГ) предназначен для использования при разработке ТЭО, генеральных планов и ТерКСОП новых и сложившихся городов с расчетной численностью от 10 тыс. до 1 млн. чел.
Целью использования пакета является улучшение качества комплексной оценки и функционального зонирования (ФЗ) территории, повышение уровня их обоснованности и в конечном итоге обеспечение высокого функционального качества реальных городов. Совместно с другими ППП для градостроительного проектирования он является базой автоматизации проектных работ уровня генплана города.
2.2. ППП ФЗГ допускает два режима использования: оценочный и оптимизационный. В первом режиме он используется для оценки вариантов функционального зонирования, разработанных проектировщиком, с целью их сравнения и выбора наилучшего. Во втором режиме осуществляется оптимизация плана ФЗ, т.е. автоматическое формирование оптимального решения с последующей его оценкой.
В рамках собственно задачи функционального зонирования территории ППП ФЗГ решается ряд задач, которые обычно рассматриваются как независимые, самостоятельные задачи, а именно:
комплексная оценка территории;
выбор направлений территориального развития города;
выбор площадок для жилищного и промышленного строительства;
собственно функциональное зонирование территории.
Независимое рассмотрение и решение этих задач оправдано в рамках традиционного ручного процесса проектирования стремлением внести максимум упрощений в процесс решения чрезвычайно сложной комплексной задачи. В ППП ФЗГ комплексная оценка территории хотя и сохраняет свою относительную процедурную самостоятельность, но в рамках математической модели неотделима от задачи функционального зонирования. Что касается второй и третьей задач, то и в модельном, и в процедурном отношении они естественным образом теряют смысл как самостоятельные задачи.
СОДЕРЖАТЕЛЬНАЯ ПОСТАНОВКА ЗАДАЧИ И ОБОБЩЕННОЕ ПРЕДСТАВЛЕНИЕ ЦЕЛЕВОЙ ФУНКЦИИ
2.3. Функциональное зонирование является первым собственно планировочным и одним из важнейших этапов разработки генерального плана города, который в значительной мере предопределяет планировочную структуру, функциональную организацию и комфортные характеристики будущего или развивающегося города. Неудачное функциональное зонирование территории может привести к хроническим транспортным затруднениям, излишним затратам времени населения на передвижения, к растягиванию инженерных коммуникаций, ухудшению санитарно-гигиенических и социальных условий проживания, к избыточным затратам на инженерное оборудование (и тем самым - к снижению темпов жилищного строительства), потерям экологического характера, к серьезным препятствиям в пространственном развитии как всего города в целом, так и отдельных его зон.
2.4. Термин "функциональное зонирование" не следует связывать с упрощенными градостроительными концепциями. На уровне генерального плана, как и на других уровнях градостроительного проектирования, функции "труд", "быт" и "отдых" в чистом виде попросту не существуют. Такая, например, функция как "жилье" внутренне сложна и включает места приложения труда, собственно жилые дома, элементы системы обслуживания, элементы озеленения и др. То же относится к функциям "общегородской центр" и другим. Все функции уровня генплана следует трактовать как внутренне сложные, а задачу функционального зонирования - как задачу рационального или оптимального размещения этих функций на территории во взаимосвязи друг с другом.
2.5. В практике традиционного проектирования задача функционального зонирования решается исходя из опыта проектировщика и его представлений о свойствах территории и размещаемых на территории функций. Как бы ни был велик опыт конкретного проектировщика, он, тем не менее, заведомо ограничен и безусловно беднее, чем коллективный опыт проектной организации или, тем более, опыт всей системы градостроительства в целом. Представления проектировщика о свойствах территории и функций носят к тому же в основном образный, обобщенный, качественный, а не количественный характер. Основания принятия тех или иных решений, как правило, не осознаются в полной мере, носят полуинтуитивный характер. Отсюда вытекает необходимость объективизации оснований решения задачи ФЗ. Эта цель достигается разработкой и использованием математической модели и программного обеспечения задачи функционального зонирования.
2.6. Существо задачи функционального зонирования территории (в дискретной постановке) состоит в следующем. Задана некоторая, вообще говоря, избыточная по площади территория, определенная своими границами на топографическом плане и разделенная наложенной на нее квадратной сеткой на элементы, называемые ячейками. Каждая ячейка характеризуется определенными значениями набора параметров (факторов) инженерно-геологического, санитарно-гигиенического, архитектурно-ландшафтного, функционального и экономического характера: видом существующего функционального использования, уклоном поверхности, несущей способностью грунтов, глубиной залегания грунтовых вод и т.д. В ячейках рассматриваемой территории встречаются различные комбинации значений набора параметров, каждая из которых фиксируется как вид земель. Конкретному виду земель может принадлежать, вообще говоря, не одна, а произвольное число ячеек. Задано множество новых (размещаемых) видов использования территории (функций), таких как общегородской центр, парк, жилье различных типов, промышленность различных видов, коммунальное и складское хозяйство и т.д. Заданы объемы функций, т.е. площади территорий, которые должны быть отведены под каждую из размещаемых функций. Вся рассматриваемая территория разделена на две части: пассивную, в пределах которой виды использования территории фиксированы (т.е. либо сохраняются существующие, либо определены на предшествующих стадиях проектирования), и активную, в пределах которой должны быть размещены новые функции в заданных объемах. В пределах активной части территории выделены участки различных типов в зависимости от величины пороговых затрат, связанных с их освоением под новые функции (отсутствие пороговых затрат трактуется как наличие нулевых пороговых затрат).
Виды использования (функции) пассивной части территории называются пассивными, активной части - активными.
Функциональным зонированием называется произвольный план X, ставящий в соответствие каждому элементу территории определенный вид функционального использования при соблюдении баланса по площади функциональных зон. Функциональное зонирование пассивной части территории постоянно при любом плане ФЗ, а функциональное зонирование активной части варьируется. Требуется найти наилучшее по некоторому критерию решение задачи ФЗ, т.е. наилучший план.
Площадь ячейки устанавливается с учетом как необходимой на данной стадии проектирования точности описания объекта проектирования (при слишком крупных размерах ячейки описание объекта становится недопустимо грубым, а при слишком мелких размерах теряется содержательно-градостроительный смысл функции, приписываемой ячейке), так и соображений вычислительного характера, связанных с необходимостью ограничения числа переменных. Ячейка территории рассматривается как простейший элемент планировочной ситуации, внутренне неструктурированный, однородный. Все физико-географические характеристики, такие как уклон рельефа, несущая способность грунтов и т.д., берутся по территории ячейки свернуто, усредненно, и каждая ячейка характеризуется вектором параметров, полностью описывающим все те ее свойства, которые должны быть учтены в рамках рассматриваемой задачи.
Понятие пассивной функции относится к территориально-протяженным элементам проектной ситуации. В то же время существуют элементы проектной ситуации, площадь которых мала по сравнению с площадью ячейки территории, но которые, в силу своего значения, могут оказать существенное влияние на формирование функционального зонирования. Будем называть такие элементы F-точками. Каждая F-точка считается индивидуальной и характеризуется своими координатами и положительными и отрицательными связями с активными функциями. F-точку можно рассматривать как пассивную функцию особого рода, локализуемую в точке, а не распределенную в ячейке.
2.7. При решении любой конкретной проектной задачи практически всегда существует огромное множество вариантов функционального зонирования (при стремлении площади ячейки к нулю оно неограниченно возрастает). Сущность проектной деятельности на этой стадии состоит в выборе наилучшего варианта. Для того чтобы выбрать наилучший вариант, необходимо (хотя и недостаточно) установить отношение порядка на множестве вариантов, иными словами, необходимо уметь указать, какой из двух произвольных вариантов функционального зонирования лучше. Необходимо введение количественной меры, критерия функциональных качеств произвольного варианта функционального зонирования.
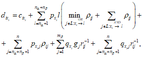
2.8. Комплексный критерий оценки (целевая функция) должен отражать, во-первых, связи размещаемых функций с территорией, характеризуемой в инженерно-геологическом, физико-географическом, экологическом и экономическом аспектах; во-вторых, связи активных функций с пассивными; в-третьих, связи активных функций друг с другом. Целевая функция для произвольного плана X имеет смысл совокупных затрат и потерь, связанных с реализацией плана, и в общем виде может быть представлена:

(1)
Затраты и потери трактуются самым широким образом, включая факторы как непосредственно стоимостного, так и технологического, социального, санитарно-гигиенического, экологического и эстетического характера. В
формуле (1) компоненты

,

,

,

,

,

- суть функции плана
X: это обстоятельство не отражено явно для упрощения записи.
2.9. Локализационная компонента c включает затраты и потери, определяемые размещением активных функций на территории, т.е. затраты на инженерную подготовку и инженерное оборудование территории и отчуждение земель (например, сельскохозяйственных), соответствующие данному плану ФЗ. Она стимулирует размещение функций на территориях, удобных для освоения. Наряду с затратами и потерями, имеющими непосредственно стоимостной характер, локализационная компонента может отражать также факторы, имеющие социальную, санитарно-гигиеническую или экологическую природу, с помощью механизма штрафов и антиштрафов (премий) за размещение различных функций на территориях с теми или иными характеристиками. Если, например, характеристики рассматриваемого участка территории (скажем, южная экспозиция склона) благоприятны по санитарно-гигиеническим соображениям для размещения на нем жилья и неблагоприятны по технологическим соображениям для размещения на нем коммунально-складского хозяйства, то за каждую ячейку данного участка, используемую в плане X под жилье, в целевую функцию вводится антиштраф (премия), включаемый в локализационную компоненту, а за каждую ячейку, используемую под коммунально-складское хозяйство вводится штраф. Величина штрафа и премии определяется экспертно. Поскольку все компоненты целевой функции имеют смысл затрат и потерь, то штрафы являются положительными, а премии - отрицательными числами.
Характерным для локализационных затрат является то, что они представляют собой сумму затрат по отдельным ячейкам, а затраты в каждой отдельной ячейке определяются только присущими ей значениями параметров видов земель и размещаемой в ней функцией, т.е. не зависят ни от локальных характеристик других ячеек, ни от размещаемых в них функций.
2.10. Связевые компоненты 
,

,

,

отражают затраты и потери связевого характера, т.е. затраты на строительство магистральных коммуникационных сетей и потери в процессе функционирования города
<*>. Компоненты

и

соответствуют
положительным связям функций друг с другом, имеющим коммуникационный, технологический и экологический характер и стимулирующим пространственное сближение функций друг с другом, т.е. компактную конфигурацию города, причем компонента

отражает связи активных функций с пассивными, а

- связи активных функций друг с другом. Компоненты

и

соответствуют
отрицательным связям функций друг с другом, имеющим в основном санитарно-гигиенический и экологический характер и стимулирующим пространственное удаление друг от друга функций, находящихся в буферных отношениях, т.е. таких функций, пространственная близость которых нежелательна или даже недопустима (например жилья и вредных отраслей промышленности), причем компонента

отражает связи активных функций с пассивными, а

- связи активных функций друг с другом.
--------------------------------
<*> Магистральными сетями в данном контексте называются сети, связывающие между собой ячейки. Затраты на внутриячеячные (разводящие) коммуникационные сети локализованы в ячейках и входят в локализационную компоненту целевой функции.
Принципиальным отличием связевых компонент целевой функции от локализационной компоненты является то, что они определяются взаимным размещением и конфигурациями функций, так что изменение функционального назначения любой ячейки отражается на всех тех составляющих связевых компонент, которые характеризуют связи с ней остальных ячеек
2.11. Пороговая компонента 
включает затраты порогового характера, т.е. единовременные затраты определенного объема, необходимые для занятия хотя бы малой части некоторой территории под ту или иную активную функцию. Например, использование под жилье или промышленность хотя бы одной ячейки территории, занятой в настоящий момент аэродромом, связано с необходимостью единовременных вложений в вынос аэродрома.
2.12. Оценки по технологическим, социальным и другим факторам, входящим в различные компоненты целевой функции, приводятся так или иначе к стоимостной форме и трактуются как затраты и потери, связанные с реализацией данного (оцениваемого) плана X. Поскольку это так, то из любых двух допустимых планов X1 и X2 лучше тот, которому соответствует меньшее значение целевой функции, а на множестве X всех допустимых планов оптимальным планом X* называется такой план, которому соответствует наименьшее значение целевой функции

(2)
2.13. Пусть проектируется на свободных территориях новый город промышленного профиля с числом жителей ~ 200 тыс. Полагая плотность населения в среднем по городу 2000 жителей/км2, получаем ориентировочно площадь территории города 100 км2.
Рассмотрим стадию разработки технико-экономических обоснований (ТЭО). На этой стадии обычно происходит поиск на территории, в 6 - 8 раз превышающей площадь территории города. Таким образом, рассматриваемая территория имеет площадь ~ 700 км2. Если разбить эту территорию на 2000 ячеек, то площадь одной ячейки будет ~ 0,35 км2 (600 м x 600 м), а территория собственно города будет описываться ~ 300 ячейками. На данной стадии такое описание приемлемо.
На стадии разработки генерального плана рассматриваемая территория может превосходить территорию собственно города примерно в 2 - 4 раза и, следовательно, имеет площадь ~ 400 км2. При разбиении ее на 2000 ячеек собственно город описывается ~ 500 ячейками при площади одной ячейки 0,2 км2 (450 м x 450 м), что также приемлемо.
Следовательно, число ячеек территории можно считать порядка 2000. Из них порядка 600 - активные. Число активных функций с учетом возможности дифференциации на подфункции для решения задачи функционального зонирования территории в динамике (с разбивкой расчетного периода на 4 очереди по пятилеткам) можно положить от 20 до 30. Число пассивных функций и F-точек вместе достигает обычно 40 - 50.
Исходя из этого, в ППП ФЗГ приняты следующие ориентировочные размеры задачи: общее число ячеек от 1000 до 2400, число активных ячеек от 200 до 800, число пассивных ячеек от 800 до 1600, число активных функций от 2 до 30, число пассивных функций от 1 до 40, число
F-точек от 0 до 40, общее число пассивных элементов ситуации от 1 до 50. Верхние границы соответствуют стандартным границам массивов в программах на Фортране, передаваемых большинству пользователей, нижние границы определяют минимально разумные размеры с содержательной точки зрения. Размеры задач при реальных расчетах лежат между нижними и верхними границами. В случае необходимости программы на Фортране могут быть компилированы заново с новыми границами массивов (

или меньшими стандарта).
2.14. Рассматриваемая территория в общем случае имеет произвольную конфигурацию. Это обстоятельство представляет собой существенное неудобство как с точки зрения ввода исходных данных, так и с точки зрения автоматического выполнения ряда вычислительных операций, в частности - вычисления координат ячеек. С целью избежать этого неудобства границы первично рассматриваемой территории расширяются до прямоугольника.
Полигоном называется минимальный по площади прямоугольник заданной ориентации, покрывающий первично рассматриваемую территорию и разбитый квадратной сеткой на ячейки заданного размера. Обозначим длину стороны ячейки s, а число отрезков длины s, укладывающихся в каждой из сторон прямоугольника, соответственно m1 и m2. Общее число ячеек, на которые разбит прямоугольник, следовательно, равно m = m1m2. Все длины будем измерять в километрах.
Условимся называть одну из сторон прямоугольника "горизонтальной", а другую "вертикальной" и нумеровать ячейки по строкам, сканируя полигон слева направо и сверху вниз.
В качестве евклидовых расстояний между ячейками принимаются расстояния между их центрами. Для вычисления расстояний необходимо ввести систему координат, считая координатами ячейки координаты ее центра.
Начало координат условимся связывать с первой ячейкой (т.е. с ячейкой, лежащей в левом верхнем углу полигона), а положительные направления осей - вдоль сторон полигона. Таким образом, избранная система координат является левоориентированной.
Числа m1 и m2 будем называть размерами полигона. Зная размеры полигона и число s, можно вычислить координаты (ui, vi) i-й ячейки как функции ее номера. Этим обстоятельством в значительной мере определяется выбор прямоугольной формы полигона, поскольку, задав три числа m1, m2 и s, вычисление координат ячеек (несколько тысяч чисел) можно осуществить автоматически, освободив от этой работы проектировщика.
ПЛАН ФУНКЦИОНАЛЬНОГО ЗОНИРОВАНИЯ И ОГРАНИЧЕНИЯ ЗАДАЧИ
2.15. Введем обозначения:

- число активных ячеек;

- число активных функций;
xik - независимая переменная, принимающая значение 1, если
i-я ячейка используется под
k-ю функцию, и 0 - в противном случае (

,

,

);
X - произвольный план функционального зонирования,

- матрица, (
i,
k)-й элемент которой равен
xik;
bk - число ячеек, отводимых в произвольном плане
X под
k-ю (активную) функцию
. Выпишем условия задачи:

(3)

(4)

(5)
План функционального зонирования территории, в котором выполнены условия (
3,
4,
5), будем называть
допустимым планом.
Условие (3) означает, с учетом бинарного характера переменных, что каждая (активная) ячейка может быть использована под одну и только под одну функцию;
условие (4) - что число ячеек, отводимых в произвольном плане
X под
k-ю функцию, должно быть равно заданному числу
bk;
условие (5) - что сумма чисел ячеек, отводимых под активные функции, должна быть равна числу активных ячеек.
Поскольку объемы всех функций (числа ячеек, отводимых под функции) заранее фиксированы и неизменны в процессе оптимизации плана ФЗ, то это означает, в частности, принятие предположения о заданности домостроительной базы города и вытекающего из него предположения о заданности структуры жилой застройки по этажности и плотности. Если отказаться от этих предположений, то мы приходим к иной, более сложной постановке задачи ФЗ, реализация которой предполагается в дальнейшем.
НУМЕРАЦИЯ ФУНКЦИЙ. АКТИВНАЯ И ПАССИВНАЯ НУЛЬ-ФУНКЦИИ
2.16. Введем обозначения:

- число пассивных функций в пределах рассматриваемой территории,
- число
F-точек,
n - число всех функций (активных, пассивных и
F-точек):

(6)
Все функции считаются перенумерованными следующим образом: активные от 1 до

, пассивные от

до

,
F-точки от

до

.
2.17. В любом плане ФЗ каждой активной или пассивной ячейке должен быть присвоен соответственно активный или пассивный вид использования. Но размещаемые функции занимают в общем случае лишь часть ячеек активной территории. Встает вопрос: какую функцию присвоить остальным активным ячейкам, которые в данном плане ФЗ остаются "свободными", "незанятыми"?
Для преодоления возникшего затруднения в рассмотрение вводится активная функция особого рода,
активная Нуль-функция, характерным свойством которой является ее полная инертность, нулевая внутренняя плотность положительных и отрицательных связей, отсутствие связей с другими функциями. За активной Нуль-функцией закрепляется номер

, т.е. последний из номеров активных функций. В матрицах ||
c||, ||
p|| и ||
q|| ей соответствуют нулевые строки и (или) столбцы. Если в рассматриваемом плане функционального зонирования (в частности, в оптимальном плане)
i-я активная ячейка используется под активную Нуль-функцию, это означает, что в данном плане за
i-й ячейкой сохраняется тот вид использования, который имеет место в настоящее время (в предплановой ситуации).
Все истинно размещаемые функции, в отличие от активной Нуль-функции, объединяются собирательным наименованием активные MAIN-функции. Это такие функции, размещение которых на активной части территории и составляет предмет решения задачи функционального зонирования. Ни одна из активных MAIN-функций не является вполне инертной: в матрицах ||c||, ||p]| и ||q|| им соответствуют строки и (или) столбцы, которые не могут быть одновременно все нулевыми. В конкретном плане ФЗ активные MAIN-функции размещены в определенных активных ячейках. Это их конкретное пространственное взаиморазмещение будем называть активной MAIN-конфигурацией. Остальные активные ячейки заняты Нуль-функцией, образуя активную Нуль-конфигурацию. Ее можно рассматривать как фон, на котором происходит изменение MAIN-конфигурации, как нейтральную, инертную среду, в которую погружена изменчивая и подвижная MAIN-конфигурация.
По техническим соображениям удобно также ввести в рассмотрение понятие пассивной Нуль-функции, обладающей теми же свойствами, что и ее активный аналог, но идентифицирующей пассивные ячейки. К пассивной Нуль-функции на практике относятся все те пассивные функциональные или ситуационные объекты, которые, занимая определенную территорию, не оказывают сколько-нибудь существенного влияния на формирование функционального зонирования в пределах активной части территории: зеркало воды за пределами береговой полосы крупных рек и водоемов, территории крупных лесных массивов, не имеющих рекреационного и средоохранного значения, сельскохозяйственные территории, территории крупных шахт и промышленных предприятий, не являющиеся источниками вредностей, и т.д.
Все остальные пассивные функции объединяются наименованием пассивные MAIN-функции. В дальнейшем мы будем использовать термины пассивная MAIN-конфигурация и пассивная нуль-конфигурация, имеющие смысл, соответствующий смыслу их активных аналогов.
ЛОКАЛИЗАЦИОННЫЕ ЗАТРАТЫ И ПОТЕРИ
2.18. Введем в рассмотрение матрицу ||
c|| размера

, в которой каждой (
i-й) активной ячейке территории поставлена в соответствие величина локализационных затрат и потерь на ее освоение под
k-ю функцию
c. Как было отмечено выше, в эти затраты и потери входят затраты на инженерную подготовку территории в зависимости от инженерно-геологических характеристик ячейки, затраты на отчуждение ячейки из-под существующего использования в зависимости от вида этого использования и потери санитарно-гигиенического, экологического, технологического и т.п. рода в зависимости от физико-географических характеристик ячейки, выраженные в форме штрафа (премии). Будем считать, что матрица ||
c|| задана или может быть сформирована в рамках некоторой специальной процедуры. Тогда для произвольного плана
X локализационная компонента

определяется равенством

(7)
При содержательной постановке задачи было введено понятие вида земель как некоторой комбинации значений набора параметров, характеризующих ячейки территории, и отмечено, что одному и тому же виду земель может принадлежать, вообще говоря, не одна, а произвольное число ячеек. Конкретной i-й ячейке территории соответствует i-я строка матрицы ||c||, причем элементы этой строки определяются комбинацией значений набора параметров в i-й ячейке, т.е. видом земель, которому принадлежит i-я ячейка. Наряду с i-й ячейкой этому же виду земель может принадлежать еще некоторое множество ячеек, и всем им в матрице ||c|| будут соответствовать одинаковые строки. Ниже будут обсуждены вопросы информационного обеспечения, связанного с формированием матрицы ||c||.
ПОЛОЖИТЕЛЬНО-СВЯЗЕВЫЕ ЗАТРАТЫ И ПОТЕРИ
| | ИС МЕГАНОРМ: примечание. Сноски даны в соответствии с официальным текстом документа. | |
2.19. Введем в рассмотрение матрицу ||
p|| размера
n x
n, (
k,
l)-й элемент которой представляет собой стоимостную оценку затрат и потерь, определяемых положительными связями между функциональными элементами
k-го и
l-го видов, удаленными друг от друга на единичное расстояние
<*>. Отметим сразу, что в приложениях математической модели за единичное расстояние принимается 1 км, а в качестве расстояния между ячейками рассматривается расстояние между их геометрическими центрами. Величина
pkl называется
плотностью положительных связей между функциями
k и
l. Оба входа в матрицу представляют собой перечень функций в порядке их нумерации
<*>. Матрица ||
p|| - симметрическая матрица, имеющая блочную структуру

(8)
где символы

,

и

указывают соответственно на активные функции, пассивные функции и
F-точки (например, подматрица

определяет плотности положительных связей между активными и пассивными функциями), подматрицы

,

и

размерами соответственно

,

и

являются симметрическими матрицами, а пары подматриц (

размером

и

размером

), (

размером

и

размером

), (

размером

и

размером

) являются взаимно транспонированными матрицами.
--------------------------------
<*> Сюда входят как связи вида
k ->
l, так и связи вида
l ->
k.
| | ИС МЕГАНОРМ: примечание. Обозначение сноски дано в соответствии с официальным текстом документа. | |
<*> Под входом в матрицу понимается содержательный смысл строк (столбцов) матрицы. В матрице ||
p|| номера строк и столбцов соответствуют номерам функций.
Матрица ||
p|| содержит избыточную информацию, во-первых, в силу своей симметричности (она могла бы быть заменена своей треугольной подматрицей, лежащей выше главной диагонали) и, во-вторых, потому, что для оценки произвольного плана и в процессе оптимизации блоки

,

,

,

не используются, поскольку содержат плотности связей между пассивными элементами ситуации. Для решения задачи ФЗ фактически достаточно подматрицы вида

(9)
содержащей плотности положительных связей активных функций друг с другом, с пассивными функциями и с
F-точками. В программной реализации модели используется матрица положительных связей
вида (9).
Однако в рамках математической модели удобно оперировать
матрицей вида (8). Кроме того, формирование матрицы положительных связей представляет собой достаточно сложную самостоятельную методическую и вычислительную процедуру, в рамках которой необходимо рассмотрение ее в
форме (8). Поэтому на допрограммном уровне она всюду в дальнейшем рассматривается именно в этом виде.
2.20. В дополнение к обозначениям
пп. 2.16 -
2.19 введем обозначения:

- число пассивных ячеек;
m - общее число ячеек;
gil - элемент

- матрицы определяющей функции пассивных ячеек:
gjl = 1, если
j-я пассивная ячейка используется под
l-ю пассивную функцию, и 0 - в противном случае;
Пусть в конкретном плане
X две интересующие нас ячейки, используемые под функции
k и
l (по крайней мере одна из них - активная), удалены друг от друга на расстояние
pij, вычисленное, если это необходимо, с учетом обхода препятствий и с учетом изменений, вносимых в метрику плана сетью основных транспортных магистралей. Плотность положительных связей между ними, определяемая размещенными в них функциями и извлекаемая из ценника ||
p||, равна
pkl. Затраты и потери, определяемые положительными связями между функциями в этих ячейках и носящие в основном коммуникационный характер, будем считать прямо пропорциональным расстоянию

и, следовательно, равными величине

. Эта величина называется
силой положительных связей данных ячеек. Просматривая в плане
X все пары ячеек, из которых хотя бы одна - активная, и суммируя силы положительных связей для всех этих пар, мы получим совокупные затраты и потери, определяемые положительными связями, т.е. положительно-связевые компоненты

и

целевой
функции (1):

(10)

(11)
Для силы положительных связей двух элементов введем обозначение

(12)
2.21. Необходимо обсудить основания, по которым для учета положительных связей используется
формула (12). В этой формуле величина
pkl является числом, т.е. не зависит от расстояния между связуемыми элементами. В содержательном отношении величина
pkl носит в основном коммуникационный характер и включает две компоненты затратного характера, одна из которых представляет собой затраты на грузоперевозки (будем обозначать ее

), а другая - оценку затрат времени людей на передвижения (будем обозначать ее

). Затраты

на грузоперевозки на единичное расстояние определяются грузопотоком между функциональными элементами видов
k и
l, а этот грузопоток не зависит от расстояния между элементами, так что

представляет собой константу. Оценка

затрат времени на передвижения определяется величиной потока людей (величиной корреспонденции) между функциональными элементами видов
k и
l. Но корреспонденции зависят от расстояния, представляя собой функцию, убывающую с увеличением расстояния (это положение, носящее наименование гравитационной гипотезы корреспонденций, лежит в основе всех расчетов по системам городского транспорта). Опуская для простоты записей индексы
i,
j,
k и
l, мы может таким образом записать

(13)
Однако строить конструктивную математическую модель исключительно на затратных основаниях было бы неверно.
Убывающий характер функции

, т.е. падение величины потока между функциональными
k- и
l-элементами с увеличением расстояния между ними, можно интерпретировать с точки зрения отдельного жителя в терминах уменьшения частоты взаимных посещений между этими элементами. Посещения осуществляются с целью реализации соответствующих потребностей, причем существует оптимальная, социально обусловленная частота посещений, имеющая место при малых расстояниях между элементами
k и
l. По мере роста расстояния происходит уменьшение частоты посещений. Суммарный дискомфорт корреспонденций между
k- и
l-элементами определяется, во-первых, величиной отклонения реальной частоты посещений от оптимальной частоты и, во-вторых, затратами времени на передвижения между элементами. Дискомфорт растет с увеличением расстояния, причем население стремится минимизировать рост дискомфорта путем оптимального сбалансирования обеих его компонент <*>.
--------------------------------
<*> См. В.В. Ливщиц. Разработка математической модели и прикладных программ для проектирования системы учреждений обслуживания городского населения. В сб.: "Достижения и перспективы", МЦНТИ, КСА при президиуме АН СССР. - М.: 1979, вып. 11. Города и системы расселения.
В качестве механизма, препятствующего росту дискомфорта, можно использовать штраф за дискомфорт, возрастающий вместе с дискомфортом. Штраф, следовательно, есть возрастающая функция от расстояния, которую обозначим

. С его учетом плотность положительных связей определяется вместо
(13) выражением

(14)
Поскольку величина штрафа в значительной мере конвенциональна, то будет удобно определить ее таким образом, чтобы компонента плотности, связанная с людскими корреспонденциями, была постоянной

(15)
Графики функций

и

представлены на рис. 1.
Рис. 1. К проблеме зависимости плотности положительной связи
от расстояния


- функция потерь времени на людские корреспонденции,

- штрафная функция. Постулируется независимость суммы

от расстояния

Соотношение (15) дает основание считать плотность
p положительных связей величиной постоянной, не зависящей от расстояния. Благодаря этому обеспечивается компактность города в целом и отдельных его функциональных зон.
ОТРИЦАТЕЛЬНО-СВЯЗЕВЫЕ ЗАТРАТЫ И ПОТЕРИ
2.22. Взаимоотношения между функциями носят противоречивый характер: с одной стороны, существуют факторы, стимулирующие их пространственное сближение, с другой - факторы, стимулирующие их пространственное взаимное удаление. Типичным примером являются взаимоотношения таких функций, как жилье и вредная промышленность: корреспонденции между местами жилья и местами труда стимулируют взаимное притяжение и сближение, а санитарно-гигиенические требования - взаимное отталкивание и удаление этих функций. Следовательно, существует два типа связей между функциями: положительные, рассмотренные выше, и отрицательные, к рассмотрению которых мы переходим. Кроме терминов "взаимное отталкивание" и "отрицательные связи" мы будем для рассматриваемого явления использовать также термины буферизация и буферные отношения.
Если ячейки видов k, l требуют буферизации, то наряду с силами стягивания имеют место силы отталкивания, которым можно дать экономическую интерпретацию, вводя в рассмотрение дополнительные затраты (штраф), необходимые для устранения нежелательных последствий пространственной близости данной пары функций, и ставя эти затраты в зависимость, обратную расстоянию между ячейками, например в зависимость типа степенной функции.
2.23. Аналогично введенному при рассмотрении коммуникационной компоненты целевой функции понятию плотности положительной связи введем в рассмотрение понятие плотности отрицательной связи функции k с функцией l, обозначаемой qkl.
В отличие от положительно-связевых, отрицательно-связевые затраты и потери уменьшаются с увеличением расстояния. В простейшей постановке можно считать силу отрицательной связи обратно пропорциональной расстоянию
rij <*>

(16)
--------------------------------
<*> В
формуле (12) для силы положительной связи расстояние между ячейками
i и
j было обозначено

. В зависимости от этапа разработки генплана города, на котором решается задача ФЗ, это может быть либо евклидово расстояние (расстояние по "воздушной прямой"), либо расстояние, вычисленное с учетом препятствий и транспортной сети. В формуле для силы отрицательной связи фигурирует всегда евклидово расстояние, обозначаемое
rij.
2.24. Пара функциональных элементов k и l под влиянием только положительных связей в процессе оптимизации стремится к максимальному взаимному сближению, под влиянием только отрицательных связей - к максимальному взаимному удалению, а под влиянием обоих типов связей одновременно - к размещению друг относительно друга на некотором расстоянии, которое называется эффективным. Если в вычислениях сил положительной связи используются евклидовы расстояния rij, то эффективное расстояние может быть вычислено по формуле

(17)
2.25. Хотя этот механизм работает в целом удовлетворительно, обеспечивая достаточно правильное взаимное поведение буферизуемых функций, но в некоторых случаях он ведет к неприемлемым результатам. Под влиянием многочисленных связей (положительных и отрицательных) с другими функциями буферизуемые функции
k,
l могут оказаться вплотную прижатыми друг к другу, поскольку жесткость буферизации недостаточна, что в ряде случаев недопустимо. Для того, чтобы избежать подобных явлений, сохранив упрощенный подход к буферизации, вводится в действие вспомогательный механизм
жесткой буферизации. Для этого каждой паре (
k,
l) буферизуемых функций сопоставляется
радиус жесткой буферизации
. При всякой попытке пары функций
k,
l разместиться в ячейках, удаленных друг от друга на расстояние

, значение соответствующей компоненты отрицательной связи обращается в

, что на практике достигается наложением достаточно большого штрафа. Это гарантирует удаленность функций
k,
l друг от друга в оптимальном плане
X* по меньшей мере на расстояние

. Вне пределов круга жесткой буферизации действует механизм мягкой буферизации, стимулирующий еще большее взаимное удаление этих функций. В информационном отношении назначение величин радиусов жесткой буферизации не представляет затруднения для эксперта-проектировщика, пользующегося традиционным понятием санитарно-защитной зоны.
2.26. Понятие пороговых затрат используется в градостроительстве для представления таких ситуаций, когда для освоения какого-либо участка на некоторой территории требуется произвести предварительно крупные капиталовложения, величина которых не зависит от площади осваиваемой территории и зачастую даже - от ее физико-географических характеристик. Как правило, величина этих затрат связана с положением вновь осваиваемой территории по отношению к ранее освоенной территории. Типичным примером такого рода затрат являются затраты, связанные со строительством моста через реку с целью развития города в направлении заречных территорий, в силу ограниченности или дороговизны территориальных ресурсов на основном берегу. Другими примерами могут служить затраты на перенос аэродрома, промышленного предприятия или высоковольтной ЛЭП, затраты на строительство станции перекачки для канализационной сети или насосной станции - для водопроводной сети в тех случаях, когда освоение некоторой территории (пусть даже частичное) невозможно без проведения одного из этих мероприятий.
2.27. Учет пороговых затрат в модели состоит в следующем. Множество ячеек активной части полигона разделяется в простейшем случае на два подмножества: подмножество верхнего и подмножество нижнего уровней по пороговым затратам. Пусть T - величина порогового платежа (threshold - порог), t - пороговая компонента целевой функции, связанная с планом X.
Если в рассматриваемом плане
X все ячейки верхнего уровня заняты активной Нуль-функцией, то

. Если же хотя бы одна ячейка верхнего уровня занята активной
MAIN-функцией (любой активной функцией, кроме Нуль-функции), то
t =
T. Подчеркнем, что величина

остается постоянной независимо от того, сколько именно ячеек верхнего уровня занято под
MAIN-функции, если одна уже все равно занята.
В общем случае может быть несколько подмножеств разных уровней по пороговым затратам, с величинами платежей
T1,
T2, ...,
(
- число типов пороговых затрат), а пороговая компонента целевой функции для произвольного плана представляется в виде

(18)
где
ti = | | 0, если все ячейки i-го уровня заняты активной Нуль-функцией; |
1, если хотя бы одна ячейка i-го уровня занята активной MAIN-функцией. |
2.28. Пусть k и l - две какие-либо функции (виды использования), bk и bl - соответственно числа ячеек этих функций. До сих пор при конструировании целевой функции предполагалось, что, каковы бы ни были функции k и l, сила положительной связи какой-либо ячейки k-го вида с совокупностью ячеек l-го вида всегда представляет собой сумму сил положительной связи ячейки k-го вида со всеми ячейками l-го вида. В некоторых случаях, однако, такое предположение неверно и на практике ведет к серьезным и зачастую неразрешимым проблемам. Речь идет о тех случаях, когда из содержательных соображений достаточно обеспечить пространственную близость ячейки k-го типа с одной (безразлично какой) ячейкой l-го типа (функция k предполагается активной, а функция l - пассивной), после чего учет связей с остальными ячейками l-го типа теряет смысл. Приведем примеры.
Пусть l - железная дорога, k - склады. По транспортным соображениям склады должны находиться близко или вплотную к железной дороге, но в принципе безразлично, где именно осуществится это примыкание. Если силу положительной связи ячейки складов с железной дорогой определить как сумму сил положительной связи со всеми ячейками железной дороги, то k-ячейка будет тяготеть к центру тяжести конфигурации l-ячеек. В действительности же k-ячейка должна иметь возможность свободно скользить вдоль железной дороги, а фиксация ее в определенном месте должна быть результатом взаимодействия с другими функциями.
Пусть l - лес, который может быть использован для рекреаций, k - жилье. Ясно, что желательно разместить жилье близко (вплотную) к лесу. Пусть для простоты активная территория представляет собой круг, лежащий внутри кольца, образованного лесом. Если силу связи k-ячейки с совокупностью l-ячеек определить как сумму сил ее связи со всеми l-ячейками, то k-ячейка будет стремиться занять место в центре круга, т.е. в точке максимального удаления от границы леса, вместо того чтобы разместиться вплотную к лесу. Таким образом, поведение функции k по отношению к l оказывается прямо противоположным тому, которое должно быть.
Для подобных ситуаций вводится новый тип взаимоотношений между функциями. Пусть X - текущий план функционального зонирования, в котором i-я ячейка используется под k-ю (активную) функцию. Для обеспечения правильного взаимоотношения i-й ячейки с ячейками типа l (множество номеров ячеек этого типа обозначим L) достаточно задать силу положительной связи i-й ячейки с совокупностью ячеек типа l соотношением

(19)
Здесь плотность pkl положительной связи между функциями k, l умножается не на сумму расстояний от i-й ячейки до ячеек типа l, а на минимальное из этих расстояний. Отношение между функциями k и l, предполагающее такое определение силы связи k-ячейки с совокупностью l-ячеек, будем называть OR-отношением, в отличие от термина AND-отношение, который будем использовать применительно к введенному ранее типу отношений, определяемому формулой

(20)
Таким образом, при подсчете положительной линейной компоненты

целевой функции для пар, находящихся в
AND-отношениях, используется
формула (20), а для пар, находящихся в
OR-отношениях,
формула (19). Поскольку
OR-отношения вводятся только для пар, в которых одна из функций активная, а другая - пассивная, то в целевой функции компоненты, отличные от

, остаются без изменений.
РАЗВЕРНУТОЕ ПРЕДСТАВЛЕНИЕ ЦЕЛЕВОЙ ФУНКЦИИ
2.29. Обобщенное представление целевой
функции (1) можно представить иначе, сгруппировав некоторые компоненты. Введем обозначения:

(21)

(22)
Тогда целевая функция примет вид

(23)
Здесь

определяет совокупные затраты и потери, связанные с размещением активных функций относительно территории (первое слагаемое

) и затраты на положительные

и отрицательные

связи с пассивными функциями, т.е. на связи с существующим городом. В математическом смысле это линейная компонента целевой функции. Компонента

представляет собой совокупные затраты и потери на связи активных функций друг с другом и в математическом смысле представляет собой квадратичную компоненту.
В детальном представлении целевая функция имеет вид

(24)
где коэффициент квадратичной формы nijkl определяется выражением

(25)
а явное выражение коэффициента линейной формы dik опускается ввиду его громоздкости <*>.
--------------------------------
<*> В
формулах (24) и
(25) не отражен механизм жесткой буферизации, чтобы не осложнять их сверх меры. Этот механизм достаточно просто реализуется непосредственно на программном уровне.
КОМПЛЕКСНАЯ ОЦЕНКА ТЕРРИТОРИИ
2.30. Задача комплексной оценки территории самым тесным образом связана с задачей функционального зонирования территории, будучи предназначена для ее решения. Чтобы убедиться в этом, вернемся к содержательному смыслу коэффициента
dik линейной формы в выражении целевой
функции (24). Как было отмечено, этот коэффициент включает локализационные затраты и потери на связи
i-й активной ячейки со всеми пассивными функциями и
F-точками, в предположении использования ее под
k-ю активную функцию. Таким образом,
dik представляет собой комплексную оценку затрат и потерь, связанных с использованием
i-й ячейки территории под
k-ю функцию. В матрице ||
d||
i-й ячейке соответствует строка

(26)
содержащая затраты и потери, связанные с использованием
i-й ячейки под каждую из

активных функций. Это -
комплексная затратная оценка i-й ячейки в зависимости от функции, под которую она может быть использована. Матрица ||
d||, представляющая собой совокупность строк вида
(26), содержит, следовательно, комплексную затратную оценку всех активных ячеек.
2.31. В отличие от часто встречающейся в литературе точки зрения на комплексную оценку как на числовую характеристику территории, она представляет собой в действительности не число, а вектор, сопоставляемый рассматриваемому элементу территории. Для решения задачи и оптимизации функционального зонирования территории нужна именно такая информация: в произвольном допустимом плане
X в
i-й ячейке размещается вполне определенная функция
k, и тем самым определены затраты и потери
dik, связанные с этим размещением и извлекаемые из
i-й строки матрицы ||
d||, которая к этому моменту (к моменту оценки произвольного плана, например, начального приближения) уже сформирована. Сумма этих затрат и потерь по всем активным ячейкам и есть линейная компонента
(21) целевой функции.
2.32. До сих пор понятие комплексной оценки территории рассматривалось применительно к исходной проектной ситуации. В этом смысле ее можно назвать предплановой. Однако принятие какого-либо плана (например, начального приближения X0) радикально меняет ситуацию. В этой новой (предположительной) ситуации оценки активных ячеек меняются с учетом размещения активных функций. Соответственно может быть пересчитана и комплексная оценка территории. Эту новую комплексную оценку будем называть постплановой, а матрицу комплексной постплановой оценки будем обозначать ||e||. Постплановая оценка i-й активной ячейки в предположении ее использования под k-ю активную функцию определяется формулой

(27)
где первое слагаемое
dik есть предплановая оценка
i-й ячейки под
k-ю функцию, а второе представляет собой сумму сил положительной и отрицательной связи
i-й ячейки со всеми активными ячейками в текущем плане
X (виды использования всех активных ячеек, кроме
i-й, определяются допустимым планом
X, а в отношении i-й ячейки строится предположение об использовании ее под функцию
k; тем самым вводится в рассмотрение некий план

, отличающийся от допустимого плана
X нарушением баланса по
k-й функции в одной ячейке, если только
i-я ячейка не используется в плане
X действительно под
k-ю функцию - тогда

). Матрица ||
e|| играет центральную роль в процессе оптимизации плана ФЗ. Матрица ||
e|| для оптимального плана
X* может использоваться вне сферы проектирования для решения задач экономики и управления развитием города (см.
разд. "Различные применения пакета").
2.33. Предплановой комплексной оценке территории можно придать не затратный, а выигрышный, рентный характер. Для этого достаточно в каждом столбце матрицы ||d|| предплановой затратной оценки отыскать максимальный элемент

(28)
и
комплексную рентную оценку
i-й ячейки, в предположении использования ее под
k-ю функцию, определить как разность между затратной оценкой худшей из ячеек и затратной оценкой
i-й ячейки, т.е.

(29)
Такое определение

соответствует пониманию этой величины как выигрыша, получаемого при размещении функционального
k-элемента в
i-й ячейке по сравнению с его размещением в ячейке с наибольшими затратами

. Матрица

будет при этом представлять комплексную предплановую рентную оценку территории. Аналогичным образом матрица ||
e|| комплексной постплановой затратной оценки территории преобразуется в матрицу

комплексной постплановой рентной оценки. Если матрицы затратной оценки используются непосредственно в решении задачи оптимизации функционального зонирования территории, то область применения матриц рентной оценки лежит в сфере управления развитием города при процедурах отвода территорий землепользователям и проведении соответствующей налоговой политики (см.
п. 2.86).
ФОРМИРОВАНИЕ МАТРИЦЫ ЛОКАЛИЗАЦИОННЫХ ЗАТРАТ
2.34. В матрице ||c|| локализационных затрат каждой активной ячейке сопоставляются затраты на освоение под каждую из активных функций. Эти затраты складываются из затрат на инженерную подготовку территории, отчуждение из-под существующего использования, а также в некоторых случаях из штрафов и антиштрафов, назначаемых экспертно с целью учета факторов нестоимостного характера. Однако в основе лежат затраты на инженерную подготовку территории. Эти затраты существенно связаны со значениями параметров земель в активных ячейках. Для их автоматического подсчета используется соответствующий ценник, представляющий собой матрицу со стандартным перечнем функций на одном входе, стандартным перечнем параметров земель и стандартными шкалами по параметрам на другом и с элементами, представляющими собой коэффициенты удорожания относительно базовой стоимости строительства в данном регионе <*>.
--------------------------------
<*> Матрица коэффициентов удорожания, используемая в ППП ФЗГ-83, разработана в ЦНИИП градостроительства канд. техн. наук В.Б. Беляевым.
2.35. Понятие базовой стоимости существенно связано с действующей системой финансирования строительства объектов культурно-бытового назначения, инженерного оборудования и благоустройства. Затраты на эти виды строительства определяются как определенная доля от затрат на жилищное строительство, которые из всех видов затрат на гражданское строительство являются единственными непосредственно планируемыми затратами.
Базовая стоимость b определяется как стоимость освоения 1 км2 селитебной территории в млн. руб. и зависит от ряда параметров:
s - стоимость 1 м2 полезной площади жилого дома типовой серии, принимаемой в качестве базовой для района (области), руб.;

- плотность жилого фонда, м
2/га селитебной территории;
k - доля затрат на культурно-бытовое строительство, инженерное оборудование и благоустройство от величины капитальных вложений в жилищное строительство, в зависимости от величины города: малый город - k = 0,63, средний - k = 0,81, большой - k = 1.
Формула для расчета базовой стоимости имеет вид

(30)
Пример расчета:
s = 95 руб./м
2;

(средний город);
b = 10
-4·1800·95·1,81 = 31 млн. руб.
Сумма величин базовой стоимости по элементам активной территории не входит в целевую функцию, поскольку является фоновой величиной, не зависящей от функционального зонирования. Целевая функция включает только удорожания строительства, вычисляемые через коэффициенты относительной базовой стоимости.
2.36. Стандартизированный перечень видов использования, выделенных из локализационных соображений
<**>, включает 14 наименований, отобранных таким образом, что различия между любыми двумя функциями перечня являются существенными с точки зрения затрат на инженерную подготовку территории:
1) общегородской центр;
2) зона жилой застройки усадебного типа;
3) зона жилой застройки в 3 - 5 этажей;
4) то же, в 6 - 9 этажей;
5) то же, в 12 и более этажей;
6) общегородская рекреационно-спортивная зона общего типа;
7) общегородская рекреационно-спортивная зона специального типа;
8) коммунально-складская зона общего типа;
9) коммунально-складская зона специального типа;
10) зона внешнего водного транспорта;
11) зона внешнего железнодорожного транспорта;
12) зона отраслей промышленности I типа;
13) то же, II типа;
14) то же, III типа.
--------------------------------
<**> "Стандартизированный" - в том смысле, что этот перечень входит в состав информационного обеспечения ППП ФЗГ, включает номенклатуру функций, встречающихся в большинстве проектных ситуаций, и формируемый при расчетах по конкретному городу перечень активных функций является выборкой из стандартного перечня. Виды использования, входящие в перечень, выделяются, исходя из локализационных соображений, т.е. должны отличаться друг от друга коэффициентами удорожания хотя бы по одному параметру.
К отраслям промышленности I типа отнесены отрасли, предъявляющие наиболее жесткие требования к территории, т.е. требующие ровных (с уклоном не более 5%) больших территорий (сотни гектаров), с нормативным давлением на грунт более 0,25 МПа и глубокой подземной частью (до 7 м). В качестве примеров можно назвать крупные нефтехимические и металлургические комплексы.
К отраслям промышленности II типа отнесены отрасли, предъявляющие средние по степени жесткости требования к территории: ровные (не более 5%) площадки размером в несколько десятков га, нормативное давление на грунт 0,15 - 0,25 МПа, уровень грунтовых вод более 5 м. Например, предприятия текстильной, электротехнической, швейной промышленности.
К отраслям промышленности III типа отнесены отдельные фабрики и мастерские, предъявляющие наименее жесткие требования к территории.
При расчетах по конкретным городам наименования активных функций могут не совпадать с наименованиями стандартизированного перечня, которые служат лишь общим ориентиром при использовании матрицы коэффициентов удорожания. Расхождения конкретных наименований функций с наименованиями стандартизованного перечня могут быть вызваны рядом причин. Например, две функции, различающиеся друг от друга по плотности положительных и (или) отрицательных связей с другими функциями, могут быть идентичными по локализационным затратам, и значения коэффициентов удорожания для них будут извлекаться из одной и той же строки матрицы. Это в наибольшей мере относится к различным видам промышленности.
2.37. Перечень параметров земель включает 12 наименований:
1) нормативное давление на грунты оснований, МПа, в зависимости от мощности слоя, м;
2) глубина залегания грунтовых вод, м;
3) мощность слоя затопления, м;
4) уклон поверхности,

;
5) сейсмичность, баллы;
6) нарушенность поверхности горными выработками (группы деформаций);
7) мощность оползней, м;
8) плотность овражной сети, %, и глубина оврагов, м;
9) глубина слоя многолетней мерзлоты, м, и ее температура, град;
10) доля площади территории, требующей замены почвы на плодородную, %;
11) лесистость, то есть доля территории, занятой естественным или саженым лесом, %;
12) вид существующего использования территории.
Фрагмент стандартной матрицы коэффициентов удорожания приведен в табл. 1.
Таблица 1
N п.п. | Функциональные зоны | 4. Рельеф |
Уклон поверхности,  |
(0; 5] | (5; 50] | (50; 100] | (100; 200] | (200; 300] |
1 | Общегородской центр | 0,02 | 0 | 0,02 | 0,05 | 0,2 |
2 | Зона жилой застройки усадебного типа | 0,008 | 0 | 0 | 0,01 | 0,03 |
3 | Зона жилой застройки в 3 - 5 этажей | 0,01 | 0 | 0,01 | 0,05 | 0,08 |
4 | То же, в 6 - 7 этажей | 0,01 | 0 | 0,01 | 0,05 | 0,08 |
5 | То же, в 12 этажей и более | 0,01 | 0 | 0,02 | 0,05 | 0,1 |
6 | Общегородская рекреационная спортивная зона общего типа | 0 | 0 | 0,01 | 0,03 | 0,05 |
7 | Общегородская рекреационно-спортивная зона специального типа | 0 | 0 | 0,02 | 0,05 | 0,1 |
8 | Коммунально-складская зона общего типа | 0,01 | 0 | 0,01 | 0,05 | 0,08 |
9 | Коммунально-складская зона специального типа | 0,01 | 0 | 0,03 | 0,1 | 0,2 |
10 | Зона внешнего водного транспорта | 0 | 0 | 0,01 | 0,03 | 0,05 |
11 | Зона внешнего железнодорожного транспорта | 0 | 0,01 | 0,1 | 0,2 | 0,4 |
12 | Зона отраслей промышленности I типа | 0 | 0,01 | 0,08 | 0,15 | 0,3 |
13 | То же, II типа | 0 | 0 | 0,05 | 0,1 | 0,2 |
14 | То же, III типа | 0 | 0 | 0,02 | 0,05 | 0,1 |
2.38. Матрица ||
c|| локализационных затрат, используемая для вычисления локализационной компоненты целевой функции, имеет очень большие размеры

, так что число ее элементов может достигать 24 000. Для автоматического формирования матрицы ||c|| используются формируемые программой массив видов земель
land размера
m и матрица
||cost|| размера

(
h - число видов земель): массив
land служит для определения вида земель, которому принадлежит
i-я ячейка, а матрица
cost сопоставляет
landi-у виду земель вектор локализационных затрат (
cost1,
cost2, ...,

), который и заносится в
i-ю строку матрицы ||
c||.
Для формирования массива видов земель (это делает ЭВМ) используются первичные картографические материалы, применяемые в обычной проектной практике для составления схемы планировочных ограничений: топографический план масштаба 1:25 000 или 1:10 000 как источник данных по рельефу и распределению лесов; план с инженерно-геологическими характеристиками территории как источник данных по сейсмичности, нарушенности горными выработками, затопляемости территорий и глубинам залегания грунтовых вод; план распределения сельскохозяйственных земель по видам сельскохозяйственного использования и опорный план (в проектном смысле) как источник данных по типам существующей жилой застройки с характеристиками ее состояния (ветхости, плотности заселения, материала стен).
2.39. В процессе анализа физико-географической и экономической ситуации по этим материалам из числа стандартных параметров видов земель отбираются те параметры, которые существенны для данной проектной ситуации.
Для каждого из параметров подготавливается отдельный, независимый план распределения по территории его значений (например, по параметру "уклон поверхности" в каждой активной ячейке определяется средний уклон поверхности в промилле), а также шкала интервальных значений и матрица коэффициентов удорожания, являющиеся выборкой из стандартной матрицы. Эти данные кодируются и вводятся в машину.
Кроме параметров, связанных с затратами на инженерную подготовку территории, в число существенных параметров практически всегда включается параметр "вид существующего использования территории". Значениями его являются те виды использования территории, которые имеют место в пределах активной части полигона, а величины удорожаний определяются стоимостями отчуждения территорий из-под существующих видов использования.
Существенным отличием параметров, связанных с затратами на отчуждение земель, от параметров, связанных с затратами на инженерную подготовку территории, является то, что величина затрат на отчуждение обычно не зависит от того, под какую функцию предполагается использование занимаемой территории (она зависит только от вида существующего использования территории) и является для каждого значения параметра числом, в то время как затраты на инженерную подготовку являются вектором.
2.40. Независимые планы по параметрам видов земель, шкалы и коэффициенты удорожания являются исходным материалом для формирования перечня видов земель, массива (плана) видов земель land и матрицы ||cost||. Работа по формированию этих массивов в ППП ФЗГ осуществляется автоматически.
Вид земель представляет собой конкретную комбинацию номеров интервалов шкал по всем существенным параметрам, встречающуюся на рассматриваемой территории. Для определения видов земель осуществляется (программными средствами) взаимное наложение независимых планов, регистрация всех встречающихся в ячейках различных комбинаций и их нумерация (т.е. составление перечня видов земель) и присвоение ячейкам соответствующих номеров видов земель.
Для формирования матрицы ||cost|| используются матрицы выборочных коэффициентов удорожания по параметрам: путем наложения их на базовую стоимость получаются матрицы абсолютных величин удорожания, и для каждого вида земель выбираются и суммируются соответствующие абсолютные величины удорожания. Сама базовая стоимость, как уже отмечалось, сюда не входит.
Сформированные массивы
land и
||cost|| используются в дальнейшем (в главной программе

, осуществляющей комплексную оценку и функциональное зонирование территории) для формирования матрицы ||
c|| локализационных затрат по ячейкам:
i-я строка матрицы ||
c|| воспроизводит ту строку матрицы
||cost||, которая соответствует виду земель
i-й ячейки, т.е. числу
landi.
ФОРМИРОВАНИЕ МАТРИЦЫ ПЛОТНОСТЕЙ ПОЛОЖИТЕЛЬНЫХ СВЯЗЕЙ
2.41. В основе методики формирования матрицы ||p|| лежит выделение трех типов объектов, взаимодействие которых порождает потоки людей в городе: объекты типов "Жилье", "Труд" и "Сфера услуг", которые обозначаются соответственно R (residence), W (work) и S (service). Эти три типа объектов порождают шесть типов передвижений: RR (жилье - жилье), RW (жилье - труд и обратно), RS (жилье - сфера услуг и обратно), WW (труд - труд), WS (труд - сфера услуг и обратно), SS (сфера услуг - сфера услуг) <*>.
--------------------------------
<*> Объемы прямых и непосредственно обратных передвижений, например RW и WR, в общем случае не совпадают из-за наличия цепочек вида RWSR. Такая цепочка может быть разложена на три передвижения простейшего вида RW, WS, SR и, следовательно, можно в известном смысле ограничиться рассмотрением только такого вида передвижений.
Опираясь на статистические данные о структуре подвижности, т.е. о числе передвижений всех названных типов на 1 человека в год (а следовательно и на все население города на расчетный период), а также данные о принадлежности каждому из типов объектов функций, определяемых в рамках решения задачи ФЗ, и некоторые другие данные, вычисляется матрица

потоков, порождаемых парами функций единичного объема, т.е. локализованных на территории в 1 км
2. Затем, исходя из средней скорости сообщения в городе, стоимостной оценки потери 1 ч времени людей на передвижения и величины стоимости 1 пассажиро-километра, можно преобразовать матрицу потоков в матрицу потерь, связанных с передвижениями людей, выраженную в стоимостной форме. Путем корректировки с целью учета других факторов (грузопотоков, социальных, гигиенических и прочих факторов) матрица потерь преобразуется в окончательную матрицу ||
p||, которая записывается во внешнюю память и затем используется в расчетах по ФЗ.
2.42. Наряду с понятиями функций и потока между функциями единичного объема используются понятия макрофункции и макропотока. К макрофункциям относятся объекты трех выделенных выше типов R (жилье), W (труд), S (сфера услуг), а под макропотоком понимается поток между двумя какими-либо макрофункциями.
Структура подвижности в городе задается неориентированным графом G1, вершинами которого являются макрофункции, а ребрами - числа передвижений на 1 человека в год (рис. 2).
Рис. 2. Структура подвижности в городе. Вершинами графа
являются макрофункции
R - жилье, W - труд, S - сфера услуг; веса ребер - число
передвижений на 1 чел. в год
Граф G1 и соответствующая ему (3 x 3) - матрица ||E|| определяют числа передвижений шести типов на 1 человека в год. Для определения структуры макропотоков достаточно умножить матрицу ||E|| на численность населения pop и на срок приведения затрат t:
||D|| = ||E||·pop·t. (31)
Население, представленное в макрофункциях и порождающее людские потоки, выступает в R в качестве жителей, в W - в качестве трудящихся, в S - в качестве получающих услуги. Объемом макрофункции R в территориальном элементе A будем называть численность населения в A, объемом макрофункции W - численность трудящихся в A, объемом макрофункции S - общее число посещений объектов сферы услуг в A за время t. Численность населения и численность трудящихся в городе задаются на входе в задачу функционального зонирования, а число посещений объектов сферы услуг равно величине

(32)
Пусть n - число функций (видов использования) и F = {f1, f2, ..., fn} - множество функций.
Каждая макрофункция представляет собой некоторое подмножество множества
F:
R,
W,

, т.е. некоторую совокупность функций. Объем функции - это число ячеек, которые под нее отводятся в любом допустимом плане функционального зонирования. В вычисляемой матрице потоков

должны содержаться потоки между парами функциональных элементов <*>.
--------------------------------
<*> Функциональный элемент k - это объем функции k, локализованный в одной ячейке.
При распределении макропотока
DIJ величина потока

между функциональными элементами
k и
l 
считается пропорциональной объемам макрофункций
I и
J в функциональных элементах
k и
l соответственно. Задача решается в два этапа: распределение объемов макрофункций по функциональным элементам и вычисление элементарных потоков (распределение макропотоков по парам функциональных элементов). Первый этап является центральной, содержательной частью методики, второй этап сводится к чисто вычислительной работе, выполняемой автоматически: формируется (
n x
n) - матрица

, элементы которой представляют собой суммы соответствующих (т.е. определяемых одинаковыми парами функций) элементов шести матриц элементарных потоков.
2.43. Для перехода от матрицы

потоков к матрице ||
p|| потерь в стоимостной форме матрица

умножается на константу
L, представляющую собой потери, связанные с единичным перемещением (перемещением 1 чел.) на единичное расстояние, и определяемую выражением

(33)
где v - средняя скорость сообщения в городе (км/ч);
s1 - стоимостная оценка потери 1 ч времени на передвижения, руб./(ч·чел.);
s2 - стоимость 1 пассажиро-километра, руб./(км·чел.);
10-6 - нормирующий множитель, при котором L имеет размерность млн. руб./(чел.·км).
Средняя скорость сообщения определяется транспортными расчетами. Стоимость пассажиро-километра в транспортных расчетах обычно принимается равной 0,01 руб.
В отношении величины стоимостной оценки часа времени на передвижения рекомендации на конец 70-х годов колеблются от 0,6 до 0,8 руб. <**>. По данным О.С. Пчелинцева, эта оценка возрастает на 7% в год, что дает за период 10 лет возрастание исходной величины вдвое. Принимая на 1980 г. величину 0,8 руб., мы получаем на 10-летнюю перспективу (1990 г.) оценку 1,6 руб., а на 2000 г. - 3,2 руб.
--------------------------------
<**> Экономическая оценка свободного времени населения в проектных расчетах отраслей обслуживания. Сб. научных трудов, вып. 3, ВНИИСИ. - М.: 1978. См. ст. О.С. Пчелинцева, О.К. Кудрявцева, В.А. Щеглова.
2.44. Матрица ||p|| не может рассматриваться как окончательная матрица положительных связей. Ее элементы содержат только потери (измеренные в млн. рублей), связанные с затратами времени людей на передвижения, и транспортные потери, связанные с перевозками людей. Поэтому необходима корректировка матрицы, имеющая целью учет других факторов, влиянием которых нельзя пренебречь. На сегодняшний день методика учета этих факторов отсутствует, и корректировка для расчетов ФЗ по каждому реальному объекту производится на основе экспертных оценок.
ФОРМИРОВАНИЕ МАТРИЦЫ РАССТОЯНИЙ
2.45. В задаче ФЗ в качестве матрицы расстояний может использоваться либо матрица ||
r|| евклидовых расстояний, либо матрица

расстояний, вычисленных с учетом наличия препятствий и транспортной сети. Напомним, что первая из них используется при вычислении сил отрицательных связей, а также при вычислении сил положительных связей на досетевом уровне, когда нет необходимости учитывать наличие препятствий; вторая - при вычислении сил положительных связей на сетевом уровне, а также в некоторых случаях и на досетевом уровне, при учете некоторых типов препятствий.
2.46. Методика вычисления матрицы

сетевых расстояний основана на решении известной задачи о нахождении кратчайших путей на графе
[1] и реализуется программой
DON1. Наиболее известен метод Форда в различных модификациях, зарекомендовавший себя как эффективный.
Для того чтобы свести задачу вычисления расстояний с учетом препятствий и скоростной транспортной сети к задаче построения деревьев кратчайших путей на сети, необходимо рассматривать центры ячеек в качестве вершин некоторой сети, которую будем называть псевдосетью. Псевдосеть представляет собой регулярную квадратно-диагональную сеть, покрывающую полигон, с разрывами (т.е. с отсутствием участков сети) в местах препятствий (рис. 3).
Рис. 3. Покрытие территории в пределах полигона
квадратно-диагональной сетью с разрывами в местах
препятствий. Вершины 13, 19, 20 - центры
ячеек - препятствий, m1, m2 - размеры полигона
Если принять длину стороны ячейки равной 1 (масштабировать расстояние можно позже, перед передачей матрицы расстояний в главную программу

), то длина диагонального ребра равна

. Таким образом, веса ребер псевдосети равны либо 1, либо

. Веса всех ребер, отсутствующих в сети, полагаются равными

, так что кратчайший путь никогда не может пройти через вершину-препятствие. Учет наличия скоростной (магистральной) транспортной сети реализуется следующим образом: сеть магистралей будем представлять как совокупность магистральных линий, а каждую линию - как последовательность вершин, соединенных прямолинейными ребрами. Вершины магистралей совпадают с вершинами псевдосети, а ребра могут совпадать, а могут и не совпадать с ребрами псевдосети, магистрали как бы накладываются сверху на регулярную сеть, дополняя ее. Отличие ребер магистралей от ребер псевдосети состоит в том, что они обладают обычно меньшим весом, приходящимся на единицу евклидовой длины, так что расстояния по ним как бы сжаты, как если бы они имели длину, меньшую действительной: веса ребер мы будем считать прямо связанными с затратами времени на передвижения по ним.
Информация о размещении в полигоне препятствий может быть легко интерпретирована без привлечения каких-либо новых механизмов. Препятствия по определению могут находиться только в пассивных ячейках. Достаточно ввести в число пассивных функций функцию-препятствие, или I-функцию (impediment - препятствие), которой в матрицах ||p|| и ||q|| соответствуют нулевые строки и столбцы, но отличающуюся от пассивной Нуль-функции тем, что расстояние до любой ячейки I-функции от любой другой ячейки полигона считается бесконечным, так что транзит через такую ячейку невозможен.
Таким образом, основу исходных данных для вычисления матрицы

составляет план функционального зонирования территории - либо псевдоплан, либо начальное приближение. Ему в соответствие ставится регулярная сеть с разрывами в местах препятствий (это делается автоматически), она дополняется магистральными линиями (для этого вводятся необходимые данные), и сформированный таким образом граф подается автоматически на вход блока построения деревьев кратчайших путей, в котором вычисляются длины кратчайших путей из всех активных ячеек во все остальные ячейки полигона, т.е. вычисляется
- матрица расстояний

(размеры матрицы определяются тем, что расстояния от пассивных ячеек до пассивных ячеек не нужны).
Рассмотрим последовательно основные шаги этого процесса.
2.47. Шаг 1. Формирование регулярной псевдосети без разрывов.
Игнорируя временно препятствия, покроем весь полигон регулярной сетью без разрывов. Эта процедура легко алгоритмизируется и выполняется автоматически. Единственная необходимая для этого информация - размеры полигона m1 и m2 (рис. 4). Ребра этой сети называются стандартными.
Рис. 4. Шаг 1: покрытие полигона регулярной сетью
без разрывов; m1, m2 - размеры полигона
2.48. Шаг 2. Формирование разрывов регулярной псевдосети в местах препятствий. Необходимые исходные данные - план ФЗ и номер функции-препятствия. Остальное выполняется автоматически, поскольку, как отмечено выше, расстояние от любой ячейки полигона до ячейки-препятствия считается равным

, все связи соответствующей вершины регулярной псевдосети разрываются, т.е. эта вершина считается по всем 8 стандартным направлениям смежной с бесконечно удаленной вершиной 0 (рис. 5).
Рис. 5. Шаг 2: формирование разрывов регулярной псевдосети
в местах препятствий
а - все ребра регулярной псевдосети, инцидентные
вершинам-препятствиям, удаляются: удаляемые ребра показаны
пунктиром; б - псевдосеть с разрывом: вершины-препятствия
являются изолированными вершинами
(обозначены двойным кружком)
Некоторые конфигурации препятствий требуют особого обсуждения и дополнительных соглашений. Речь идет о конфигурациях, в которых все или некоторые ячейки-препятствия со всех сторон окружены обычными ячейками, но в одной точке соприкасаются с соседними ячейками-препятствиями. Будем называть такие конфигурации
локальными X-конфигурациями (рис. 6). Будем трактовать такие конфигурации как
непрерывные препятствия: это означает, что пересекающие их ребра регулярной сети должны быть удалены. Таким образом, учет препятствий состоит не только в разрыве всех связей вершин-препятствий, но и в разрыве связей между вершинами ячеек, не являющихся препятствиями, если эти связи пересекают препятствия в местах локальных
X-конфигураций.
Рис. 6. Локальная
X-конфигурация
а - ячейки-препятствия (функция k) со всех сторон окружены
обычными ячейками, но в одной точке соприкасаются друг
с другом; б - X-конфигурация трактуется как непрерывное
препятствие: пересекающее его ребро (показано пунктиром)
должно быть удалено из сети
Рассмотренные функции-препятствия обладают двумя свойствами, или ограничениями: невозможностью транзита через ячейку и, более того, невозможностью входа, проникновения в ячейку, поскольку все связи ее с соседними ячейками разорваны. Невозможность транзита прямо следует из невозможности входа в ячейку: в этом смысле рассмотренные препятствия можно назвать препятствиями без входов, или жесткими препятствиями.
Полезно, однако, ввести в рассмотрение дополнительно другой тип препятствия: препятствие со входами, или мягкое препятствие, обладающее тем свойством, что через него невозможен транзит, но при этом существуют входы в него. Функцию-препятствие такого рода будем также называть нетранзитной, отмечая тем самым ее основное свойство. Расстояния до нетранзитных ячеек - это обычные расстояния, измеряемые так же, как и до обычных транзитных ячеек.
Отсюда следует, что все ребра регулярной сети, инцидентные нетранзитной вершине, сохраняются, за исключением тех, которые удаляются в связи с учетом препятствий без входов. Это свойство сближает нетранзитные ячейки с обычными транзитными. С другой стороны, нетранзитные ячейки - это препятствия (мягкие), в которых могут иметь место локальные X-конфигурации: все ребра, пересекающие мягкое препятствие в местах X-конфигураций, должны быть удалены из сети. Этим и ограничивается влияние мягких препятствий на конфигурацию сети.
Ясно, однако, что в целом механизм вычисления расстояний с учетом мягких препятствий не может ограничиваться только учетом X-конфигураций, поскольку нетранзитные ячейки в этом случае перестали бы играть роль препятствий и потеряли бы свойство нетранзитности благодаря сохранению ребер, связывающих их с соседними ячейками. Ядро этого механизма находится в операции построения кратчайших маршрутов на сети, т.е. в шаге 4, где свойство нетранзитности вершин учитывается явно, в то время как различия между транзитными вершинами и вершинами - жесткими препятствиями проявляются неявно, только через конфигурацию сети.
При интерпретации проектной ситуации в модельных терминах на уровне подготовки псевдоплана или начального приближения в качестве нетранзитных функций удобно трактовать целый ряд пассивных элементов ситуации: прибрежную полосу реки, железную дорогу и т.п., т.е. элементы, представляющие собой препятствия для транспортных коммуникаций, но в то же время являющиеся функциональными объектами, имеющими положительные и отрицательные связи с другими функциями и, следовательно, предполагающими необходимость измерения до них реальных расстояний. Учитывая это, в программном обеспечении предусмотрена возможность не одной, а нескольких функций-препятствий.
Таковы общие идеи, позволяющие алгоритмизировать формирование разрывов и других корректировок регулярной сети с целью учета препятствий (жестких и мягких). Кроме псевдоплана (или начального приближения), который готовится вне связи с рассматриваемой нами задачей, для этого необходимы в качестве исходных данных только номер функции-препятствия (жесткого), а также массив (перечень) номеров нетранзитных функций. Эти данные позволяют идентифицировать по псевдоплану номера вершин препятствий (жестких и мягких) и произвести необходимые изменения в матрице смежностей ||net|| и матрице весов ||wgt||.
2.49. Шаг 3. Дополнение сети скоростными линиями (формирование расчетной сети).
Сеть скоростных магистралей, которая должна приниматься во внимание при решении задачи ФЗ на некотором шаге проектного процесса, мы всегда будем представлять как совокупность прямолинейных участков, концы которых лежат в центрах ячеек, т.е. в вершинах регулярной сети. Искажения конфигурации сети при этом не превышают половины шага сетки полигона, как и при дискретном представлении функционального зонирования. Поскольку в рядовой вершине регулярной сети сходится 8 стандартных ребер, то вершины, являющиеся концами участков скоростных магистралей, могут иметь, вообще говоря, более 8 ребер, инцидентных им (рис. 7).
Рис. 7. Участок скоростной магистрали, связывающей рядовые
ячейки i, j регулярной сети. В вершинах i, j сходится по 9
ребер: 8 стандартных (с весами 1 и

для стороны квадрата
и диагонали, соответственно) и 1 нестандартное
В программе введено ограничение, что в вершине может сходиться не более 4 нестандартных ребер, являющихся участками магистралей, а всего (с учетом стандартных) не более 12.
Установление весов нестандартных ребер осуществляется следующим образом.
Пусть i, j - пара вершин, связанных нестандартными ребрами, т.е. участком магистрали. Пусть lij - евклидово расстояние между вершинами i, j.
Каждой (k-й) магистрали сопоставляется коэффициент сжатия расстояний ck, представляющий собой отношение ck = tk/t, где tk - затраты времени на прохождение единичного расстояния по k-й магистрали; t - затраты времени на прохождение единичного расстояния по регулярной сети, моделирующей сеть нескоростных транспортных улиц.
Вес ребра, принадлежащего k-й магистрали, определяется формулой
wgtij = lij·ck. (34)
Полагая, что на скоростной магистрали скорость движения больше, чем на участках регулярной сети, и, следовательно, tk < t, имеет соотношение ck < 1, откуда wgtij < lij. Таким образом, вес ребра меньше физического, евклидова расстояния между ячейками i, j: происходит сжатие пространства вдоль скоростных магистралей в соотношении, определяемом величиной ck.
Хотя предположение о величине ck < 1 наиболее естественно, оно не является единственно возможным. В принципе могут выполняться соотношения ck = 1 и ck > 1, если на нестандартных участках сети предполагается обычная средняя или даже пониженная скорость движения.
Для автоматического дополнения магистральными линиями регулярной сети с разрывами, сформированной на шагах 1 и 2, необходимы следующие данные: число скоростных линий и данные по каждой линии, включающие перечень номеров ее вершин в порядке следования от одного конца к другому и коэффициент сжатия расстояний.
2.50. Шаг 4. Построение деревьев кратчайших путей и формирование массива расстояний между ячейками полигона.
Сформированная расчетная сеть подается на вход в блок построения деревьев кратчайших путей и формирования массива расстояний между ячейками полигона. Построение деревьев кратчайших путей ведется по методу Форда, ориентированному на работу с произвольной сетью. В конкретной алгоритмической реализации метода Форда имеется небольшое усложнение, связанное с нетранзитными функциями: как отмечалось выше, свойство нетранзитности не отражается на конфигурации расчетной сети и весах ребер, а привносится непосредственно в блоке построения деревьев кратчайших путей.
В качестве корневых вершин строящихся деревьев принимаются центры активных ячеек полигона: для их распознания используется псевдоплан или план начального приближения: если
k - вид использования
i-й ячейки и

, то
i-я ячейка - активная, если

, то пассивная (

- число активных функций).
От каждой активной ячейки вычисляются расстояния до всех остальных ячеек, так что формируется

- матрица

(

- число активных ячеек,

- число пассивных ячеек,

- общее число ячеек полигона), имеющая блочную структуру:
где
- матрица, содержащая расстояния от активных ячеек до активных ячеек, а
- матрица, содержащая расстояния от активных ячеек до пассивных ячеек.
Матрица

используется в главной программе

в блоке формирования матрицы линейных затрат ||
d||, а матрица

- в блоках вычисления значения целевой функции для начального приближения
X0 и оптимального плана
X* и в блоке оптимизации плана.
ПРЕДПРОГРАММНОЕ ПРЕДСТАВЛЕНИЕ МАТЕМАТИЧЕСКОЙ МОДЕЛИ
2.51. Форма представления модели, принятая выше, удобна на уровне математической постановки задачи, но является во многих отношениях нерациональной с точки зрения ее программной реализации, т.е. с точки зрения сокращения затрат времени ЭВМ и используемой оперативной памяти.
В математической модели, рассмотренной выше, фигурируют бинарные переменные
xik, принимающие значение 1, если в плане
X i-я ячейка используется под
k-ю функцию, и 0 - в противном случае (

;

). Таким образом, массив
X представляет собой

- матрицу, в каждой строке которой один элемент имеет значение 1, а остальные

элементов имеют значение 0. Работа с таким описанием плана неудобна в двух отношениях: массив
X и в особенности все матрицы, в которых один из входов описывается массивом
X (таковы, например, матрицы ||
c|| и ||
d||), занимают много места в памяти машины, а поиск информации о текущем использовании
i-й ячейки отнимает излишнее время.
Очевидно, что единственная существенная информация, которая содержится в
i-й строке матрицы, заключается в номере столбца, соответствующего элементу, равному 1. Эту информацию можно представить в более компактном виде. Достаточно перейти к новым переменным
xi, принимающим значение
k, если
i-я ячейка используется под
k-ю функцию. Тогда произвольный план
X представляет собой

вектор
Если bk - число активных ячеек, отводимых в допустимом плане под k-ю функцию, а L - множество пассивных ячеек вида l, то в новых переменных математическая модель запишется в виде

(35)
при условии
где

(36)

(37)
Новое представление математической модели ФЗ мы будем в дальнейшем называть комбинаторным, в противоположность представлению с бинарными переменными, которые будем в дальнейшем называть бинарным.
МЕТОД ОПТИМИЗАЦИИ: ОБЩАЯ ХАРАКТЕРИСТИКА
2.52. Методом решения задачи оптимизации функционального зонирования территории, реализованным на сегодняшний день в ППП ФЗГ-83, является метод парных обменов, к непосредственному рассмотрению которого мы переходим.
Далее ниже нам будет удобно обращаться к модели ФЗ в комбинаторном представлении. Напомним, что в этом представлении фигурируют целочисленные переменные
xi (
i = 1, 2, ...,

), принимающие значения из множества {1, 2, ...,

}, где

- число активных ячеек,

- число активных видов использования. Пусть
k - вид использования
i-й ячейки,
l - вид использования
j-й ячейки в текущем плане ФЗ. Поменяем местами размещение функций в ячейках
i и
j: в
i-й ячейке разместится функция
l, в
j-й ячейке - функция
k. Такую операцию будем называть парным обменом ячеек
i и
j.
В результате парного обмена i-й ячейке присваивается тот вид использования, который до этого сопоставлялся j-й ячейке, а j-й ячейке присваивается тот вид использования, который до этого сопоставлялся i-й ячейке. Ячейки обмениваются видами использования. Отсюда и название метода.
Парный обмен является элементарным шагом оптимизационного процесса. Результатом обмена является новое текущее состояние плана ФЗ.
2.53. Идея метода в простейшей версии такова. Организуется перебор возможных пар ячеек. Если обмен улучшает план, т.е. значение целевой функции после обмена меньше, чем до обмена, то обмен считается состоявшимся. В противном случае обмен считается несостоявшимся, и рассматривается следующая пара ячеек.
В пакете реализован перебор способом полных проходов. Полным проходом будем называть выполнение двойного цикла, в котором внешняя переменная
i пробегает значения 1, 2, ...,

; внутренняя переменная
j - значения
i + 1,
i + 2, ...,

. Одна ячейка из рассматриваемой пары будет иметь номер, соответствующий текущему значению внешней переменной
i, а вторая - номер, соответствующий текущему значению внутренней переменной
j. Границы такого цикла соответствуют пределам суммирования в комбинаторной модели ФЗ. Таким образом, во внешнем цикле перебираются все активные ячейки, начиная с первой и кончая предпоследней. Для каждой из ячеек в качестве парной ячейки, рассматриваемой на предмет обмена, рассматриваются поочередно все последующие ячейки, т.е. все ячейки, имеющие номер, превышающий
i. В результате за полный проход просматриваются возможности обмена каждой ячейки с каждой.
Если во время полного прохода хотя бы один обмен состоялся, то выполняется следующий проход. Если во время полного прохода не состоялось ни одного обмена, то счет прекращается, и задача считается решенной. Разумеется в общем случае достигается не глобальный минимум целевой функции, а лишь локальный <*>. Однако, как показывает практика испытаний метода, как правило, достигаемый локальный минимум близок к глобальному, а в некоторых, относительно простых ситуациях достигается глобальный минимум.
--------------------------------
<*> Подход к определению понятия "локальный оптимум" для задач дискретного программирования развивается, например, в работе А.А. Корбута и Ю.Ю. Финкельштейна "Дискретное программирование". - М.: Наука, 1969.
2.54. Очевидно, что метод парных обменов гарантирует на каждом шаге улучшения плана соблюдение ограничений задачи, которые сводятся к тому, что каждая ячейка используется под одну и только одну из заданных

функций, и число ячеек
k-й функции равно
bk, если только эти ограничения выполнены в начальном приближении
X0.
Кроме того, метод парных обменов по самой своей сути обеспечивает сходимость процесса оптимизации, причем в силу комбинаторного характера метода обеспечивается достижение локального минимума за конечное число шагов. Более того, это число шагов сравнительно невелико и зависит в основном от числа

активных ячеек.
Важным достоинством метода является то, что он позволяет учитывать самые различные дополнительные ограничения, условия и компоненты целевой функции, и тем самым совершенствовать модель, развивать ее возможности.
С другой стороны, этот метод обладает одним принципиальным недостатком, вытекающим из его существа. Дело в том, что на каждом шаге процесса оптимизации только две переменные могут изменить свои значения, благодаря чему активная MAIN-конфигурация может изменяться лишь малыми шагами, плавно, без радикальных перестроек; смещения этой конфигурации на фоне Нуль-зоны носят, как правило, плавный, "непрерывный" характер, пространственный отрыв отдельных содержательных ячеек затруднен. В ряде случаев может оказаться, что малых смещений недостаточно для преодоления барьера, отделяющего область текущего размещения активной MAIN-конфигурации от более благоприятной области возможного ее размещения (таким барьером может оказаться, например, река или какая-либо другая пассивная зона), и все попытки обмена оканчиваются неудачей: оторвавшаяся ячейка немедленно "втягивается" в MAIN-конфигурацию под влиянием коммуникационной компоненты целевой функции. Вообще в смещениях MAIN-конфигурации наблюдается своеобразный кумулятивный эффект: если уж какой-то барьер преодолен хотя бы одной ее ячейкой, то постепенно он может быть преодолен всей конфигурацией, если только это ведет к минимизации целевой функции.
Средством для преодоления отмеченной трудности является формирование рационального начального приближения, размещающего активную MAIN-конфигурацию с самого начала в пределах благоприятной (по локализационным затратам) области полигона.
МЕТОДЫ ФОРМИРОВАНИЯ НАЧАЛЬНОГО ПРИБЛИЖЕНИЯ
2.55. Метод оптимизации функционального зонирования относится к классу методов последовательного улучшения плана. Опорный план (начальное приближение) при этом играет двоякую роль. Во-первых, он является по крайней мере одним допустимым планом, в котором удовлетворены все ограничения задачи, и дальнейшие улучшения плана строятся таким образом, чтобы при переходе к новому плану эти ограничения не были нарушены. Во-вторых, он имеет непосредственное отношение к скорости достижения оптимума (как правило локального), т.е. к скорости решения задачи, а также к значению целевой функции в точке оптимума.
2.56. В качестве опорного плана (начального приближения) можно принять план функционального зонирования, разработанный проектировщиком. Принятие в качестве опорного плана, разработанного проектировщиком, позволяет ему проверить свои предположения относительно оптимального решения и проследить, в каком направлении идет перестройка плана в процессе машинной оптимизации.
Можно использовать другой простейший метод формирования опорного плана, метод
стандартных присваиваний, выполняемый автоматически. Исходными данными служат псевдоплан и вектор
b чисел ячеек.
Псевдопланом называется план функционального зонирования, в котором пассивным ячейкам присвоены соответствующие пассивные виды использования, а вся активная часть территории заполнена активной Нуль-функцией. Машина просматривает псевдоплан и в ходе этого просмотра формирует начальное приближение. Виды использования пассивных ячеек остаются без изменения, а присваивание функций активным ячейкам осуществляется следующим образом: если
b1,
b2, ...,

- числа ячеек, которые должны быть отведены соответственно под 1-ю, 2-ю, ...,

активные функции, то первые
b1 активных ячеек псевдоплана отводятся под 1-ю функцию, следующие
b2 активных ячеек - под 2-ю функцию, ...,

ячеек - под

функцию. За остальными активными ячейками сохраняется присвоенная им в псевдоплане активная Нуль-функция.
Метод стандартных присваиваний, несмотря на его привлекательность с точки зрения автоматической реализации, может использоваться не всегда: в ситуациях, осложненных наличием пороговых проблем, необходимо формировать начальное приближение (или несколько начальных приближений) вручную, с тем чтобы избежать попадания в "плохие" локальные минимумы, из которых методом парных обменов нельзя выйти. В перспективе предполагается разработка более мощного метода оптимизации, справляющегося с такого рода ситуациями без необходимости прибегать к формированию начального приближения вручную.
ПРОГРАММНОЕ ОБЕСПЕЧЕНИЕ. ОРГАНИЗАЦИЯ И ХАРАКТЕРИСТИКИ ВЫЧИСЛИТЕЛЬНОГО ПРОЦЕССА
2.57. Программное обеспечение ППП ФЗГ выполнено на языке Фортран и ориентировано на ЭВМ серии ЕС средних и старших моделей (не ниже ЕС-1033).
В пакет входят 5 программ:
главная программа

, предназначенная для комплексной оценки территории и оценки и оптимизации плана функционального зонирования территории, выполненная в двух версиях: версия

предназначена для работы на досетевом уровне с использованием только матрицы евклидовых расстояний, версия

предназначена для работы с двумя матрицами расстояний (евклидовых и сетевых) и может использоваться как на сетевом уровне, так и в ряде случаев на досетевом;
программа LCA, предназначенная для автоматического формирования массива видов земель land и матрицы ||cost|| локализационных затрат по видам земель;
программа FMP, предназначенная для автоматического формирования матрицы плотностей положительных связей ||p||;
программа
DON1, предназначенная для вычисления матрицы

расстояний между ячейками полигона с учетом препятствий и имеющейся транспортной сети.
2.58. При работе программ ППП ФЗГ используются файлы на внешних запоминающих устройствах (ВЗУ). Файл N 10 - прямого доступа и может, следовательно, размещаться только на диске. Остальные файлы - последовательного доступа и могут размещаться либо на диске, либо на ленте. В табл. 2 приведены основные характеристики используемых файлов, необходимые программисту-пользователю.
Таблица 2
N п.п. | Номер в Фортран-программе | Метод доступа | Условное имя | Длина: число дорожек НМД ЕС-5061 | Программы, использующие файл | Содержание файла |
запись | чтение |
1 | 7 | Последовательный | LCARES | 10 | LCA | LCA, | Массивы land, cost |
2 | 8 | То же | EXTERN | 18 | FMP | | Массивы для передачи в ППП ТР, массивы land, X* |
3 | 9 | " | MATRIX P | 13 | FMP | | Матрица p плотностей положительных связей |
4 | 10 | Прямой | MATRIX C | 47 | | | Матрица d линейных затрат |
5 | 11 | Последовательный | LU - RESULTS | 40 | | | Все переменные и массивы, используемые в  для продолжения счета после прерывания |
6 | 12 | То же | DSTA | 273 | DON1 | | Матрица расстояний  |
7 | 13 | " | DSTP | 546 | DON1 | | Матрица расстояний  |
8 | 4 | " | DON1 - RES | 27 | DON1 | DON1 | Все переменные и массивы, используемые в DON1 для продолжения счета после прерывания |
Файл N 7 предназначен для передачи в программу

массива видов земель
land и матрицы
||cost||, формируемых в программе
LCA.
Файл N 8 предназначен для передачи в ППП для проектирования систем городских путей сообщения (ППП ТР) массива численности населения на 1 ячейку по функциям, массива численности градообразующих кадров на 1 ячейку по функциям и массива численности обслуживающих кадров на 1 ячейку по функциям, формируемых в программе
FMP, а также массивов начального приближения
X0, оптимального плана
X* и координат
F-точек, вводимых или формируемых в программе

. Этот же файл используется для сохранения массивов
land,
X* и некоторых других с целью использования их при повторном выполнении программы

в процессе калибровки модели, когда в качестве начального приближения очередного расчета принимается оптимальный план
X* предыдущего расчета. Это позволяет существенно сокращать затраты машинного времени на процесс оптимизации.
Файл N 9 предназначен для передачи в программу

матрицы плотностей положительных связей ||
p||, формируемой в программе
FMP.
Файл N 10 (прямого доступа) формируется и используется программой

. Он предназначен для хранения матрицы линейных затрат.
Файл N 11 формируется и используется программой

. Он предназначен для создания контрольных точек, т.е. для сохранения данных, необходимых для возобновления счета в случае его прерывания. Процедура вычисления матрицы линейных затрат и процедура оптимизации плана являются наиболее емкими по затратам машинного времени из всех элементов вычислительного процесса в рамках программы

(в сумме на них приходится в реальных расчетах до 90% всех затрат машинного времени в программе

) и в этом смысле - наиболее вероятными местами прерываний. Основными причинами прерываний являются, как правило, машинные сбои и снятие заданий по лимиту времени.
Файлы N 12 и 13 предназначены для передачи в программу

матрицы расстояний

и матрицы расстояний

, вычисленных с учетом препятствий и наличия транспортной сети в рамках программы
DON1.
Файл N 4 формируется и используется программой
DON1. Предназначен для сохранения данных, используемых в
DON1 (в блоке построения деревьев кратчайших путей) для продолжения счета в случае прерывания (аналогично файлу N 11 в программе

).
2.59. Организация процесса решения задачи функционального зонирования территории на уровне относительно самостоятельных участков этого процесса носит в основном линейный характер. На
рис. 8 представлена блок-схема организации вычислительного процесса. Каждый относительно самостоятельный участок вычислительного процесса оформлен как операционный блок.
Рис. 8. Блок-схема вычислительного процесса
В блок-схеме отражены два возможных режима использования программ пакета: тестовый режим и режим реальных расчетов. В режиме реальных расчетов программы
LCA и
FMP выполняются всегда, программа
DON1 - на сетевом уровне, а в ряде случаев также и на досетевом уровне. В режиме тестовых расчетов по программе

массив
land и матрицы
||cost|| и ||
p||, как правило, задаются специальным образом с целью постановки вычислительных экспериментов и потому формируются вручную, так что выполнение программ
LCA и
FMP отпадает. Использование программы
DON1 в тестовом режиме зависит от того, к какому уровню относится вычислительный эксперимент: к досетевому или сетевому.
Блок 1. Формирование в автомате массивов
land,
cost, p и

. Массивы
land и
cost формируются программой
LCA, записываются на ВЗУ и передаются в главную программу

для использования при формировании матрицы ||
c|| локализационных затрат по ячейкам. В тестовых расчетах ФЗ программа
LCA не выполняется, а массивы
land и
cost задаются в соответствии с целями тестового расчета и считываются программой

с перфокарт. Автоматическое формирование матрицы положительных связей ||
p|| осуществляется программой
FMP, сформированная матрица записывается в файл на ВЗУ и передается в главную программу

для использования при вычислении положительно-связевых компонент целевой функции. В тестовых расчетах необходимо формировать матрицу ||
p|| вручную в соответствии с целями вычислительного эксперимента: тогда программа
FMP не выполняется, а матрица ||
p|| считывается программой

с перфокарт. Автоматическое формирование матрицы

расстояний, вычисленных с учетом препятствий и наличной транспортной сети, осуществляется программой
DON1, сформированная матрица записывается на ВЗУ и передается в главную программу

для использования при вычислении положительно-связевых компонент целевой функции. Последовательность выполнения программ
LCA,
FMP и
DON1 не имеет значения: они независимы как по вводимым данным, так и по используемым файлам на ВЗУ. Режимы чтения массивов с ВЗУ или с перфокарт регулируются в программе

специальными ключами.
Блок 2. Ввод и контроль данных, связанных с полигоном. Вводится текстовая информация об объекте расчета; размеры задачи, определяющие границы массивов; шаг
st сетки полигона (км); перечень имен функций (текстовые данные); ключи, определяющие режимы работы программы: режимы ввода некоторых данных, режимы вывода результатов на печать и др.; массив видов земель
land, массив начального приближения
X0 (программное имя
x) или псевдоплан; число типов пороговых затрат

, массив
tdl распределения территории по типам пороговых затрат, ценник пороговых платежей; массивы координат
F-точек. Если вместо начального приближения введен псевдоплан, то начальное приближение формируется автоматически. Осуществляется независимый и взаимный контроль вводимых массивов
land,
x,
tdl.
Блок 3. Формирование матрицы ||dist||. Формируется автоматически матрица евклидовых расстояний ||dist||, используемая в дальнейшем для вычисления буферных компонент целевой функции, а также для вычисления положительно-связевых компонент, если решается задача ФЗ на той стадии, где препятствия и транспортная сеть не принимаются во внимание.
Блок 4. Формирование новых массивов, соответствующих активной части полигона: автоматически вычисляются массивы координат активных и пассивных ячеек.
Блок 5. Формирование (или ввод) и масштабирование матриц, определяющих свойства функций. Матрица ||cost|| в зависимости от заданного режима либо считывается из файла на ВЗУ, либо вводится непосредственно с перфокарт. Матрица ||p|| определяет плотности положительных связей между функциями; в зависимости от заданного режима либо считывается из файла на ВЗУ, либо вводится непосредственно с перфокарт. Матрица ||q|| определяет плотности отрицательных связей, матрица ||dstbf|| (того же размера, что и матрицы ||p|| и ||q||) - радиусы жесткой буферизации между функциями; эти матрицы, как правило, сильно разрежены (заполнены в основном нулями) и потому формируются автоматически на основе данных, вводимых с перфокарт. Матрицы ||cost||, ||p|| и ||q|| вычисляются или задаются первоначально, исходя из площади единичной ячейки (1 x 1 км). Теперь они масштабируются, т.е. пересчитываются исходя из площади ячейки расчетного полигона (st x st).
Все дальнейшие этапы решения задач комплексной оценки территории и оптимизации функционального зонирования территории в рамках программы

выполняются автоматически, без участия человека и без обращения к устройствам ввода данных: все данные уже введены, и машина переходит в режим счета.
Блок 6. Формирование матрицы ||
d|| линейных затрат. Матрица ||
d|| линейных затрат имеет размер

. Ее
i-я строка содержит линейные затраты, связанные с использованием
i-й ячейки под каждую из

активных функций, куда входят локализационные затраты и затраты на связи
i-й ячейки со всеми пассивными ячейками и с
F-точками. Накопление компонент этих трех видов реализуется в трех соответствующих шагах. На шаге 2 при накоплении положительно-связевых компонент во внимание принимается наличие
AND- или
OR-отношения между функциями. При вычислении положительно-связевых компонент в зависимости от режима (значения соответствующего ключа) используется либо матрица

, считываемая из файла на ВЗУ, либо матрица евклидовых расстояний.
Блок 7. Оценка начального приближения. Целевая функция для начального приближения X0 вычисляется по формуле

(38)
Блок 8. Оптимизация плана
X. Работа блока оптимизации начинается с вычисления соответствующей плану
X0 матрицы ||
e||, представляющей собой в техническом отношении основной инструмент метода парных обменов. Далее организуется цикл перебора пар активных ячеек
i,
j (
i = 1,

,

), называемый полным проходом, в котором для каждой пары ячеек решается вопрос о выгодности или невыгодности обмена для уменьшения значения целевой функции. Если обмен выгоден, то он осуществляется, и производится корректировка матрицы ||
e|| в соответствии с новым текущим планом ФЗ. После некоторого числа шагов улучшения (это число шагов задается в числе данных для расчета) производится распечатка текущего плана на АЦПУ и запись текущего плана и ряда других данных в файл на ВЗУ, дающая возможность продолжить счет с данного места, в случае если по каким-либо причинам произошло прерывание счета. Если в цикле полного прохода был произведен хотя бы один обмен, то осуществляется новый проход. Оптимизация плана завершается, если в очередном проходе не произведено ни одного обмена. Работа блока 8 завершается формированием заново соответствующей оптимальному плану
X* матрицы ||
e||, которая используется в целях вычисления значения целевой функции и ее основных компонент для плана
X* (в дополнение к другим способам вычисления этих величин).
Блок 9. Оценка оптимального плана, вывод результатов. Сформированный план оценивается таким же образом и с использованием тех же подпрограмм, что и начальное приближение в блоке 7: осуществляется прямое вычисление значения целевой функции и ее основных компонент для плана
X* по
формуле (38). Оптимальный план, являющийся основным результатом рассмотренного вычислительного процесса, выводится на печать в числе экземпляров, которое определяется пользователем.
Блок 10. Анализ результатов, принятие решений. Основная задача, решаемая в этом блоке и выполняемая человеком, состоит в установлении меры соответствия поведения функций в процессе оптимизации ожидаемому поведению (исходя из их свойств на качественном уровне). Если имеется существенное расхождение ожидаемого и наблюдаемого поведения функций, то должны быть установлены его причины и определены средства для его устранения, заключающиеся, как правило, в корректировке матриц, определяющих свойства функций.
Блок 11. Корректировка данных. В зависимости от решений, принятых в блоке 10 о завершении или продолжении серии расчетов, осуществляется (или не осуществляется) внесение изменений в данные для расчета массивов
land,
cost и
p и выполнение программ
LCA и
FMP, а также изменений в исходные данные программы

.
Блок 12. Логический блок. Если какие-либо данные потребовали корректировки, то вход повторно в программу

. В противном случае - окончание процесса решения задачи ФЗ.
2.60. С вычислительной точки зрения, т.е. с точки зрения затрат времени ЭВМ на проведение расчета, важнейшими параметрами являются: для программы

функционального зонирования территории (в порядке важности) - число

активных ячеек, число

активных функций и число

пассивных ячеек; для программы
DON1 вычисления матрицы расстояний с учетом препятствий и наличной транспортной сети - число

активных ячеек и число
m ячеек полигона. Программы
FMP и
LCA выполняются настолько быстро (в пределах 5 мин), что рассматривать зависимость затрат времени от параметров не имеет смысла.
В затратах времени в программе

можно выделить две основные компоненты, соответствующие двум вычислительным блокам:
t1 - блоку формирования матрицы ||
d|| линейных затрат и
t2 - блоку оптимизации.
Оценка общих затрат времени t в часах определяется выражением

(39)
Используя
формулу (39), вычислим, например, оценку затрат времени на решение задачи ФЗ программой

при значениях параметров

,

,

:
t = 0,25·10-7·350·10(750 + 6·350) = 0,25 ч
и при значениях параметров

,

,

:
t = 0,25·10-7·700·20(1500 + 6·750) = 2 ч.
Компоненты t1 и t2 определяются соответственно соотношениями

(40)

(41)
Отклонения затрат времени в реальных расчетах от оценок по
формулам (39) -
(41), в зависимости от ряда дополнительных факторов - начального приближения, доли активной территории, занимаемой активной нуль-функцией, соотношения объемов активных
MAIN-функций и др., как правило, находятся в пределах 50%.
В программе
DON1 число элементов формируемой матрицы

равно

, а затраты времени на ее вычисление в часах определяются формулой

(42)
2.61. В состав ППП ФЗГ-83 входят следующие документы:
1) ППП ФЗГ-83. Д1. Общие сведения о пакете (объем 7 с.).
2) ППП ФЗГ-83. Д2. Модельные, алгоритмические и информационные основы пакета. Руководство программиста и проектировщика (объем 284 с.).
3) ППП ФЗГ-93. Д3. Программное обеспечение пакета. Руководство программиста (объем 204 с.).
4) ППП ФЗГ-83. Д4. Методические указания и рекомендации по практической работе с пакетом. Руководство проектировщика (объем 124 с.).
2.62. Описания программ в технической документации на ППП ФЗГ построены по одной и той же схеме:
2. Сборка и технические характеристики.
4. Порядок ввода данных.
5. Организация вычислительного процесса и вывод данных на печать.
6. Диагностика ошибок.
В
п. "Назначение" определяется роль программы в пакете с точки зрения данных, которые являются результатом ее работы.
В
п. "Сборка и технические характеристики" приводятся список программных единиц, включаемых в сборку; размеры области МОЗУ, занимаемой собранной программой, и ориентировочные затраты ЭВМ ЕС-1033 на решение задачи с числом активных ячеек
MA = 800 и числом активных функций
NA = 10.
В
п. "Переменные и массивы" приводятся списки переменных и массивов, не являющихся основными и фигурирующих только в данной программе.
Порядок ввода данных приводится в табличной форме и сопровождается подробными комментариями.
Самыми громоздкими элементами описания программ являются описания организации вычислительного процесса и вывода данных на печать. Эти два описания рассматриваются совместно. Во всех программах пакета принят единый подход к выводу данных на печать, а именно: все вводимые данные выводятся на печать сразу после ввода и все существенные шаги вычислительного процесса фиксируются выводом на печать их результатов с содержательными комментариями. Благодаря этому распечатка прогона программы позволяет прослеживать ход вычислительного процесса со всей необходимой степенью подробности. Это обстоятельство используется для совмещения обоих описаний в рамках одного общего описания организации вычислительного процесса и вывода данных на печать. Описание вычислительного процесса и порядка вывода данных приводится в табличной форме и подробно комментируется.
В
п. "Файлы на ВЗУ" указываются используемые программой файлы.
В
п. "Программные единицы" дается краткое описание программных единиц данной программы, общий характер которого направлен на определение и уточнение роли подпрограмм в вычислительном процессе и перечисление всех подпрограмм, непосредственно вызываемых каждой из программных единиц. Программы рассматриваются в этом смысле наряду с подпрограммами просто как программные единицы.
2.63. В процессе разработки ТЭО и генерального плана города задача функционального зонирования территории решается на двух различных уровнях: досетевом и сетевом. На досетевом уровне используется в значительной мере евклидова матрица полигона, т.е. расстояния между ячейками вычисляются по "воздушным прямым", без учета существующей транспортной сети и во многих случаях - препятствий. На сетевом уровне используется реальная матрица полигона, в которой расстояния между ячейками вычисляются с учетом препятствий, существующей и проектируемой транспортной сети. Задача ФЗ сетевого уровня выполняется неоднократно, в итерационном цикле взаимной увязки с решениями по подсистемам городского транспорта, инженерного оборудования и обслуживания населения.
Разделение расчетов ФЗ на два уровня является принципиальным моментом, позволяющим наилучшим образом решать задачи, стоящие перед разработкой генерального плана. Расчеты на досетевом уровне предназначены для принципиального поиска направлений развития города, преодоления инерционных процессов городского развития и отыскания новых территориальных возможностей. Если бы с самого начала учитывалась существующая транспортная сеть, то территориальное развитие города заведомо тяготело бы к существующим транспортным магистралям, порождая на них дополнительную нагрузку, хотя магистрали и без того обычно перегружены. Аналогично, во многих случаях имеет смысл при расчете расстояний не принимать во внимание существующие препятствия, такие как реки, элементы рельефа, с целью формирования рационального решения ФЗ и последующего определения мест перехода через препятствия - мостов и тоннелей.
2.64. Работа с препятствиями требует аккуратного, дифференцированного подхода. Некоторые виды препятствий требуют учета с самого начала, на досетевом уровне. Таковы, например, крупные акватории (бухты и заливы морей и крупных озер), на берегу которых расположены многие города, крупные элементы горного рельефа, охраняемые ландшафты и другие препятствия, которые заведомо должны обходиться.
2.65. Исходя из реальной проектной ситуации, осуществляется и планирование расчетов по функциональному зонированию территории. Если на досетевом уровне нет подлежащих учету препятствий, то в полигоне используется евклидова матрица, программа
DON1 не выполняется и программа

выполняется в версии

, что обеспечивается соответствующей ее сборкой. Если на досетевом уровне учитываются препятствия, то при подготовке данных к программе
DON1 моделируется только система препятствий (транспортные магистрали игнорируются), и программа

выполняется в версии

. На сетевом уровне в программе
DON1 моделируется система препятствий и транспортная сеть (существующая и проектируемая), программа

выполняется в версии

.
При планировании комплекса расчетов ФЗ в процессе разработки ТЭО и генерального плана города необходимо рассчитать потребные ресурсы труда, машинного и календарного времени. На досетевом уровне формирование решения требует проведения серии расчетов: 3 - 5 расчетов, каждый из которых может потребовать 1 - 3 ч машинного времени. На сетевом уровне также осуществляется серия расчетов в итерационном цикле: 4 - 6 расчетов, каждый из которых может потребовать 2 - 4 ч машинного времени.
ВНУТРЕННЕЕ И ВНЕШНЕЕ ПРЕДСТАВЛЕНИЕ ИСХОДНЫХ ДАННЫХ
2.66. Внутренним представлением исходных данных будем называть совокупность исходных данных, непосредственно входящих в математическую модель, внешним представлением - совокупность данных, которая поступает на вход в этап решения задачи функционального зонирования из этапа предпланировочных расчетов или какого-либо другого этапа в процессе проектирования генерального плана города. Эти представления пересекаются лишь отчасти, и некоторые элементы внешнего представления требуют преобразования в соответствующие элементы внутреннего представления.
2.67. Внутреннее представление исходных данных включает:
1) число активных ячеек

, число пассивных ячеек

;
2) число активных функций

, число пассивных функций

, число
F-точек

;
3) число типов пороговых затрат

и вектор
T пороговых платежей длины

;
4) матрицу
OR-отношения между активными функциями с одной стороны и пассивными функциями - с другой, представляющую собой

- матрицу ||
mator||, (
i,
j)-й элемент которой равен 1, если
i-я и
j-я функции находятся в
OR-отношении, и 0 - в противном случае, т.е. если они находятся в
AND-отношении;
5) матрицу локализационных затрат ||
c|| размера

;
6) матрицу положительных связей ||
p|| размера

и матрицу отрицательных связей ||
q|| того же размера;
7) матрицу сетевых расстояний

размера

, вычисленную с учетом препятствий и наличной транспортной сети

;
8) матрицу евклидовых расстояний ||
r|| размера

;
9) вектор

длины

чисел ячеек, отводимых под активные функции;
10) план
XA функционального зонирования активной территории, сопоставляющий каждой активной ячейке активную функцию при соблюдении условий баланса по объемам, определяемых вектором

(начально приближение

или произвольный оцениваемый план
XA), вектор длины

; план
XP функционального зонирования пассивной территории, определяющий функциональное использование всех пассивных ячеек, вектор длины

; планы
XA и
XP в совокупности образуют план
X функционального зонирования всей территории, в котором всем ячейкам в порядке их нумерации сопоставлены виды использования: активным - активные, пассивным - пассивные;
11) координаты
F-точек, два вектора длины

(присутствуют в модели неявно);
12) план распределения активных ячеек по типам пороговых затрат, вектор длины

(присутствует в модели неявно).
2.68. Внешнее представление исходных данных включает:
1) "Опорный план" - физическую карту масштаба 1:25000 или 1:10000, содержащую дополнительную (отсутствующую на топооснове) градостроительную информацию, инженерно-геологическую карту и карту распределения сельскохозяйственных земель с ориентировочными границами рассматриваемой территории, а также другие графические и текстовые материалы физико-географического, экономического, функционального, транспортного и средоохранного описания территории;
2) перечень и объемы активных функций, подлежащих размещению;
3) длину стороны ячейки st полигона;
4) таблицу удорожаний строительства по отношению к базовой стоимости, связанных с инженерной подготовкой территории и отчуждением сельскохозяйственных земель;
5) данные для формирования матрицы положительных связей: структуру занятости, структуру подвижности, среднюю скорость передвижения, стоимостную оценку 1 человеко-часа затрат времени на транспортные передвижения и т.д.;
6) основные характеристики промышленных предприятий и других объектов приложения труда: численность занятых, грузовые связи, потребность в водных и энергетических ресурсах, характеристики вредных выбросов, особые технологические требования к окружающей среде и т.д.;
7) единовременные затраты на мероприятия, связанные с занятием потенциально доступных территорий (строительство мостов, вынос промышленных предприятий и т.д.).
2.69. Преобразование внешнего представления исходных данных во внутреннее представляет собой совокупность процедур, часть из которых не выходит за рамки средств традиционного проектирования (графические методы, простейшие расчеты), а другая часть реализуется программными средствами, входящими в ППП ФЗГ. С развитием пакета первая часть постоянно сокращается, а вторая расширяется.
РАБОТА С КАРТОГРАФИЧЕСКИМИ ДАННЫМИ В МОДЕЛЬНЫХ ТЕРМИНАХ
2.70. Основу внешних исходных данных составляют картографические данные: крупномасштабные общегеографические и тематические карты. Из тематических карт наибольшее значение имеют карты геологические, почвенные, гидрогеологические - тектонические, карты землепользования (в частности, сельскохозяйственного), карты состояния городской среды и др. На основе картографических данных формируются план существующего использования территории и планы по параметрам видов земель. План существующего использования территории после разделения территории на активную и пассивную части входит своей активной частью в состав планов по параметрам видов земель, а пассивная часть составляет основу формирования псевдоплана или плана начального приближения.
Работа с картографическими данными начинается с фиксации на общегеографической (топографической) карте границ полигона, определения размеров ячейки и разбиения территории в границах полигона квадратной сеткой.
Размеры ячейки на уровне генерального плана города могут колебаться от 0,25 до 1 км2. Выбор более крупной ячейки позволяет вовлечь в рассмотрение большую по площади территорию, но, с другой стороны, влечет за собой некоторую потерю точности решения, что в ряде случаев может оказаться неприемлемым (например, при решении задачи ФЗ в условиях реконструкции сложившегося города).
Наиболее удобным на практике является использование в качестве основы координатной сетки, которая на картах масштаба 1:25000 задается с шагом 1 км: при дополнительной разбивке ее легко получается сетка с шагом 0,5 км.
Если рассматриваемая территория существенно вытянута в каком-либо направлении, отличном от направления север-юг или запад-восток, то во многих случаях приходится отказываться от использования координатной сетки, задавая направление одной из границ полигона параллельным направлению вытянутости территории. При этом надо решить, какая из границ полигона принимается горизонтальной, а какая вертикальной (в распечатке на АЦПУ).
В горизонтальном направлении полигон не может иметь более 57 ячеек из-за ограничений, связанных с распечаткой его на АЦПУ. Общее число ячеек не должно обычно превышать 2400, число активных и пассивных ячеек - 800 и 1600 соответственно.
2.71. Для формирования планов по параметрам земель основным исходным материалом служат картографические данные: карты рельефа в горизонталях, почвенные карты, карты существующего использования земель (распределения сельскохозяйственных земель, лесов, городских земель) и т.д.
Первичным физическим носителем каждого из этих планов является лист кальки (лучше восковка, чем карандашная). Лист кальки с нанесенным на нем полигоном накладывается на картографическую подоснову. На полигоне любым подходящим приемом (например, с помощью фломастера) должны быть показаны границы активной территории. Вся дальнейшая работа осуществляется только в пределах активной территории. На плане фиксируются натуральные значения параметра, округленные до целых чисел. Если, например, средний уклон поверхности в рассматриваемой ячейке равен

, то в этой ячейке фиксируется уклон

. Когда в каждой активной ячейке зафиксировано соответствующее значение обрабатываемого параметра, то план считается подготовленным для дальнейшей работы. Кроме плана, на том же листе кальки следует показать шкалу значений параметра (например, для уклона поверхности 0 - 10, 10 - 50, 50 - 100, 100 - 200, более

) и матрицу, в которой каждому интервалу шкалы параметра сопоставляется вектор коэффициентов удорожания (с учетом штрафов и антиштрафов) в зависимости от активных видов использования. Совокупность таких листов кальки по всем существенным параметрам представляет собой исходные данные для автоматического вычисления массивов
land и
cost.
2.72. Подготовка псевдоплана является центральным моментом формирования плана начального приближения, осуществляемого вручную или программными средствами. На псевдоплане пассивная часть территории детально проработана с показом в каждой пассивной ячейке полигона вида существующего использования, а активная часть заполняется активной Нуль-функцией. При подготовке псевдоплана идентификация функций на топографическом плане сопряжена с определенными сложностями. На топооснове функции выделяются в большинстве случаев не по тем признакам, которые наиболее существенны с точки зрения задачи ФЗ. Жилая застройка, например, не характеризуется с точки зрения плотности населения, степени износа зданий, состояния инженерного оборудования и т.д. При решении задачи ФЗ к наиболее существенным характеристикам предприятий промышленности относятся численность занятых, класс вредности и расположение проходных, т.е. именно те, которых на топооснове нет. Поэтому для идентификации функций используют и другие материалы, которыми располагают проектировщики, а также в ряде случаев прибегают к идентификации по косвенным признакам, имеющимся на топооснове. Не менее существенны и программные ограничения: число пассивных функций

, число
F-точек

,

. Для удовлетворения этих ограничений во многих случаях необходимо агрегирование элементов проектной ситуации, т.е. отождествление двух или более разных объектов как одной и той же функции. Удовлетворению программных ограничений весьма способствует также интерпретация многих элементов проектной ситуации как Пассивной Нуль-функции, например: санитарно-защитных зон, территорий промпредприятий, не являющихся источниками загрязнения окружающей среды, зеркала воды акваторий, заведомо бесперспективных с точки зрения направлений развития города территорий и т.д.
Задача отображения границ функциональных зон, имеющихся на подоснове, решается в основном формально: если граница разделяет ячейку на две части, то ячейка, как правило, относится к той функции, которая занимает большую часть. Отклонения от этого приема связаны обычно со стремлением сохранить правильные соотношения размеров территории под функциями.
ИНТЕРПРЕТАЦИЯ СИТУАЦИОННЫХ ДАННЫХ В МОДЕЛЬНЫХ ТЕРМИНАХ
2.73. В проектной практике проектировщик сталкивается с реальной сложностью проектных ситуаций, которые не содержат прямых указаний на то, какие решения следует принимать в различных случаях при подготовке исходных данных.
От проектировщика, использующего в своей работе ППП ФЗГ, требуется высокая квалификация как специалиста-градостроителя; знание и понимание всех возможностей пакета как инструмента, используемого в проектном процессе; умение осмыслить проектную задачу в терминах математической модели, реализованной в пакете, отбросив в ней все несущественное и сохранив все существенное; умение подобрать в каждом случае минимальные средства из средств, предоставляемых пакетом, не допуская в то же время потерь содержательного характера; способность не оказываться в плену предвзятых идей и находить пути преодоления проблем, возникающих при интерпретации и оценке результатов решения задачи, получаемых на машине.
Характер проблем, возникающих при выборе средств модельного представления проектных ситуаций, весьма разнообразен и требует зачастую тщательного продумывания и проявления изобретательности.
2.74. Пусть, например, проектировщику по каким-либо причинам кажется весьма важным обеспечить выход центра города на реку. Река практически всегда будет описываться как совокупность пассивных ячеек определенного вида l. Если центр города - это функция с номером k, то для достижения поставленной цели можно задать путем экспертной корректировки матрицы ||p|| ненулевое значение плотности положительной связи pkl. Если в условиях пересеченного рельефа имеется склон, особенно благоприятный с санитарно-гигиенической точки зрения для размещения жилья, то ячейки этого склона могут быть описаны как особый вид земель, а локализационные затраты, связанные с использованием этого вида земель под жилье, могут быть положены путем введения антиштрафа существенно ниже стандартных, что будет стимулировать размещение ячеек жилья именно на благоприятном склоне. Следует, однако, заметить, что злоупотребление этими возможностями легко может привести к результатам, которые можно охарактеризовать в терминах "что заложишь, то и получишь на выходе". Принятие той или иной априорной посылки каждый раз должно быть самым серьезным образом аргументировано, а его последствия - заранее оценены.
При интерпретации существующей проектной ситуации в терминах пассивных функций возникает много проблем, требующих от проектировщика известной изобретательности.
Одним из приемов является интерпретация двух или нескольких функционально разных объектов проектной ситуации как одной и той же пассивной функции, если по основным свойствам, определяющим плотности их положительной и отрицательной связи, они близки друг к другу. С другой стороны, некоторые объекты, например, промышленные предприятия, обычно приходится идентифицировать двояким образом: территорию - как пассивную функцию (часто - пассивную Нуль-функцию), а проходную предприятия - как F-точку: F-точка рассматривается как фокус людских потоков, а территория - либо нейтральна, либо источник вредностей, учитываемый в задании матрицы отрицательных связей.
Общим соображением, которым следует руководствоваться при определении перечней активных и пассивных функций, является то, что они являются входами матриц cost, p и q, и различия между любыми двумя функциями должны быть существенны с точки зрения локализационных, положительно-связевых и отрицательно-связевых затрат.
ИСПОЛЬЗОВАНИЕ МОДЕЛЬНЫХ И ПРОГРАММНЫХ СРЕДСТВ ДЛЯ РЕАЛИЗАЦИИ ЦЕЛЕЙ ПРОЕКТИРОВАНИЯ. ЭКСПЕРТНЫЕ ОЦЕНКИ И РЕШЕНИЯ
2.75. Умелое использование отдельных средств, предоставляемых ППП ФЗГ, позволяет проектировщику реализовать адекватным образом цели проектирования.
Во многих случаях необходимо формирование функционального зонирования с учетом динамики его реализации по пятилеткам, то есть в 4 очереди строительства. Выделим основные функции, представляющие интерес с точки зрения очередности строительства, например, городской центр, два вида жилья, два вида промышленности. Каждую из выделенных функций дифференцируем на 4 функции, связанные с определенными очередями строительства, например, жилье 1-1, жилье 1-2, жилье 1-3, жилье 1-4, и определим их объемы таким образом, чтобы они соответствовали возможностям стройбазы в соответствующие периоды, и их сумма равнялась объему материнской функции. Таким образом, 6 материнских функций превратятся в 24 дочерних функции, которые вместе с функциями, не представляющими интереса в смысле очередности, составят перечень функций. Далее следует придать дочерним функциям свойства, роднящие их друг с другом и с материнской функцией и определяющие их очередность. Для этого необходимо, чтобы плотности их положительной связи с остальными функциями уменьшались соответственно очередности строительства. Используя механизм локализационных затрат, можно одновременно решать задачу очередности реконструкции и сноса с учетом физической и моральной амортизации жилого фонда по пятилеткам: остаточная стоимость каждого типа фонда будет максимальной при занятии под жилье 1-й очереди и минимальной при занятии под жилье 4-й очереди строительства. Таким образом, в рамках статической задачи ФЗ найдет разумное решение задача динамического функционального зонирования.
2.76. Решение задачи функционального зонирования территории с использованием ППП ФЗГ-83 представляет собой человеко-машинный процесс. В этом процессе проектировщиком выполняются все работы по подготовке данных для расчетов и, следовательно, связанные с этой подготовкой:
определение границ полигона и активной территории;
интерпретация проектной ситуации в модельных терминах, определение перечней активных и пассивных функций и F-точек, функциональная идентификация элементов проектной ситуации;
определение перечня существенных параметров земель;
экспертная корректировка матрицы положительных связей с учетом грузопотоков, санитарно-гигиенических, экологических, эстетических и других факторов;
определение величин штрафов и антиштрафов, вносимых в матрицу локализационных затрат по параметрам при учете факторов нестоимостного характера;
определение ненулевых элементов матрицы плотностей отрицательных связей и матрицы радиусов жесткой буферизации;
определение территорий с пороговыми затратами и задание начальных приближений для проведения расчетов с учетом пороговых затрат.
2.77. Как правило, не удается с первого раза решить все эти вопросы безошибочно. Особенно трудно сразу хорошо сбалансировать элементы матриц cost, p и q как внутри матриц, так и матриц друг с другом. Допущенные ошибки, просчеты и неточности обнаруживаются при экспертном анализе сформированного машинного решения, в ходе которого выявляются отклонения поведения функций от ожидаемого и причины этих отклонений. Чаще всего они возникают из-за несбалансированности матриц cost, p и q. Внесение в эти матрицы изменений с целью придать функциям необходимые свойства называется калибровкой параметров модели (или просто калибровкой модели). Выявление и устранение различных неточностей требует обычно проведения серии из 5 - 10 расчетов.
2.78. Внесение в матрицу
p экспертных корректировок с целью учета грузопотоков, связей промышленных производств с источниками ресурсов (воды, электроэнергии, газа), технологических, экологических и социальных факторов представляет собой одну из наиболее важных и тонких операций подготовки данных. Ее проведение требует упорядочения и аккуратности. Вначале расчерчивается на листе бумаги матрица с указанием наименований функций, соответствующих строкам и столбцам, и каким-либо образом (например, крестиками) отмечаются элементы, требующие корректировки после выполнения основной части программы
FMP. К такого рода элементам относятся все элементы главной диагонали матрицы, определяющие внутренние технологические связи функций
<*>, элементы, определяющие технологические и грузовые связи различных видов промышленности друг с другом и с железной дорогой, и ряд других. Кроме того, корректировке подлежат элементы, соответствующие функциям, которые находятся друг с другом в
OR-отношении. Следующим шагом является определение диапазона значений экспертных корректировок. При расчете городов численностью 400 - 800 тыс. жителей матрица
p внесения корректировок содержит значения десятичных порядков от -3 до -6. Значения корректировок лежат в этих случаях в диапазоне от +1 до -3. Наибольшее значение всегда присваивается элементу, определяющему внутренние связи общегородского центра, значения того же порядка, но в 2 - 4 раза меньше, присваиваются элементам
OR-отношения, наименьшие связи, как правило, элементу, определяющему внутренние связи рекреационной зелени лесопаркового типа с большим числом ячеек. Остальные значения масштабируются относительно базовых и уточняются в процессе калибровки.
--------------------------------
<*> Термин "технология" понимается существенно шире, чем только применительно к промышленному производству. Можно говорить о технологии функционирования больничного комплекса, жилья, лесопаркового хозяйства и т.д.
2.79. Всесторонняя и тщательная оценка результатов машинного расчета со стороны человека требует представления исходных данных и результатов расчета (промежуточных и конечных) в форме, доступной для обозрения. Это относится, в частности, и к комплексной оценке территории. Как мы уже отмечали, непосредственный вывод на печать матрицы ||d|| в этом качестве лишен смысла, поскольку большие размеры массива делают его необозримым для человека. Необходимо какое-то обобщенное, генерализованное представление этих данных, реализуемое в наглядной форме.
С этой целью программно рассматриваются вектор-столбцы матрицы ||
d||, определяющие оценку всех активных ячеек территории с точки зрения различных функций (число таких столбцов

). Каждый такой столбец содержит сотни чисел

, имеющих существенно разные порядки и определяемых с точностью до 7 знаков. Генерализация представления
k-го вектор-столбца состоит в определении величины интервала, в котором имеет место разброс значений элементов вектора, делении этого интервала на небольшое число
s (от 3 до 10) внутренних интервалов, определении для каждого элемента вектора номера интервала, в который попадает его значение, и выводе на печать полигона, в котором каждая активная ячейка отображается номером своего интервала. Получается наглядная картина "рельефа" оценки территории с точки зрения
k-й функции: минимум стоимостной оценки соответствует значению 1, максимум - значению
s. Ареалы оценок можно сделать особенно наглядными, если ввести на распечатке цветовую покраску, как это делается на шкалах глубин и высот в картографии. В ППП ФЗГ принято деление исходного интервала не равномерное, а со сжатием в сторону минимального значения: тем самым осуществляется более тонкая характеристика территории вблизи малых (наиболее благоприятных) значений оценки.
2.80. Начальное приближение плана ФЗ является отправной точкой процесса оптимизации, в котором оно преобразуется через последовательность промежуточных планов в оптимальный план ФЗ. Оптимальный план можно также назвать машинным решением задачи функционального зонирования.
Начальное приближение может быть либо задано проектировщиком, либо сформировано в автомате.
В первом случае оно кодируется и вводится в числе других исходных данных. Во втором случае кодируется и вводится в числе исходных данных псевдоплан, т.е. план, в котором зафиксировано функциональное зонирование пассивной части территории, а вся активная территория покрыта активной Нуль-функцией; наряду с псевдопланом вводятся объемы активных функций; используя эти данные, машина формирует начальное приближение, т.е. некоторый допустимый план. Допустимый план может быть "неразумным" с точки зрения проектировщика, но это не имеет никакого значения для успеха расчета: "разумное" решение - это оптимальный план, который формирует машина. Наличие "разумного" начального приближения вовсе не влечет за собой лучшее машинное решение: любое начальное приближение преобразуется в нужном направлении.
С точки зрения сокращения трудозатрат на подготовку исходных данных предпочтительнее предоставить машине формирование начального приближения. С другой стороны, для проектировщика весьма важно получить оценку его собственного решения, полученного традиционным путем, пронаблюдать, каким образом оно преобразуется в машинное решение и сравнить эти два решения не только зрительно, но и по оценкам, вычисляемым программно. Машинное решение по значению целевой функции практически всегда существенно (в 1,5 - 2 раза) лучше решения квалифицированного проектировщика.
На начальных этапах освоения технологии проектирования с использованием ППП ФЗГ-83 необходимо использовать в качестве начального приближения решение проектировщика: традиционное проектирование, ведущееся параллельно с машинным, избавляет проектировщика от ощущения рискованности перехода к новой технологии, позволяет сравнить свое решение с машинным, детально проанализировать отличия одного от другого и причины их возникновения, естественно адаптировать новую технологию и в итоге - выработать отношение доверия к пакету и получаемым результатам. Только после этого можно отказаться от запараллеливания работ по функциональному зонированию и целиком ориентироваться на машинное решение, формируя начальное приближение в автомате. Есть еще две причины, по которым может оказаться необходимым формирование начального приближения вручную. Первая - это работа с проектными ситуациями, в которых имеют место пороговые проблемы: пока в ППП ФЗГ реализована оптимизация плана только методом парных обменов, эта необходимость сохраняется. Вторая - это необходимость на первых порах обосновывать внедрение технологии с использованием ППП ФЗГ расчетами ее технико-экономической эффективности: подобная необходимость отпадет с течением времени, когда новая технология станет обычной, будет применяться повсеместно и на всех объектах проектирования.
2.81. Наличие территорий с пороговыми затратами порождает специфические проблемы при том методе оптимизации, который используется в ППП ФЗГ (методе парных обменов). Метод парных обменов основан на малых изменениях текущего плана, и переход от одного плана к другому основан на последовательных, незначительных преобразованиях активной MAIN-конфигурации. Если начальное приближение сформировано на территории без пороговых затрат, то варианты с использованием территорий с пороговыми затратами заранее отсекаются: имеющийся порог может быть преодолен только скачком. С другой стороны, если начальное приближение использует территории с пороговыми затратами, и в процессе оптимизации эти территории постепенно освобождаются, то не исключено, что процесс остановится слишком рано, когда еще небольшая часть MAIN-конфигурации остается на этих территориях: при этом пороговый платеж полностью сохраняется, хотя достаточно освободить еще несколько ячеек - и произойдет уменьшение значения целевой функции сразу на величину порогового платежа.
Чтобы избежать таких неприятностей, достаточно провести расчеты с двумя различными начальными приближениями (их надо формировать вручную), в одном из которых MAIN-конфигурация целиком лежит вне территорий с пороговыми затратами, а в другом - существенно использует территории с пороговыми затратами. Полученные машинные решения сравниваются по значению целевой функции и из них выбирается то, которое характеризуется меньшим ее значением.
РАЗЛИЧНЫЕ ПРИМЕНЕНИЯ ПАКЕТА
2.82. Возможности использования пакета не ограничиваются решением задачи функционального зонирования территории в процессе разработки генплана города. Другие области применения - градостроительные научные исследования и управление развитием и функционированием городов на муниципальном уровне. Из четырех рассматриваемых ниже задач первые две относятся к первой области, две другие - ко второй.
2.83. Задача локализации общегородского центра как совокупности точек ареала наилучшей доступности. Если вычислить матрицу комплексной оценки городской территории с учетом только коммуникационных затрат и потерь, игнорируя локализационные и отрицательно-связевые затраты и потери, и для какой-либо из активных функций рассмотреть распределение значений этой оценки по территории, то найдется ячейка, в которой достигается минимум значения оценки: это и будет центр наилучшей доступности для рассматриваемой функции. Для совокупности активных функций получится совокупность центров доступности, которые, как правило, будут совпадать, но возможен и некоторый разброс. Полученный ареал можно рассматривать как общегородской центр доступности. Представляет интерес исследование степени размытости этого центра для городов различных типов, перемещение этого центра во времени в зависимости от направлений развития города и т.д.
2.84. Результаты расчетов, связанных с локализацией центра доступности, можно рассмотреть шире, построив графически рельеф доступности всех территориальных элементов путем введения интервальной шкалы и генерализованного отображения столбцов матрицы оценки на полигон. Получаемые характеристики определяют доступность ячеек не по отношению к центру (как это делается обычно с помощью изохронограмм доступности центра), а по отношению ко всем ячейкам города, т.е. по отношению к городу в целом.
2.85. Понятие интенсивности использования территории, являясь одним из самых важных в проблематике использования городских земель, до сих пор весьма расплывчато и неопределенно. В советской градостроительной экономике проблемы интенсивности связаны с решением вопросов о выносе из центральных районов городов промышленных и коммунальных предприятий, с политикой в области жилищного строительства (в частности - связи с проблемами реконструкции или сноса жилья) и т.д. Решение задачи ФЗ позволяет уточнить это понятие и включить в арсенал средств проведения реальной градостроительной политики. Если в оптимальном плане ФЗ какой-либо участок территории оказывается занятым какой-либо активной MAIN-функцией, то это означает, что интенсивность его использования в изначально данной ситуации недостаточна (хотя сама по себе может быть и достаточно большой), и размещаемая новая функция обеспечивает большую интенсивность использования с учетом всей совокупности факторов: затрат на отчуждение из-под существующего использования, затрат на инженерную подготовку территории, затрат и потерь связевого характера и др. Принципиальное значение здесь имеет именно оптимальность плана ФЗ, поскольку никакой другой план не дает исчерпывающего решения этих вопросов. Наличие оптимального плана и матрицы постплановой оценки территории открывает городским властям возможность оказывать аргументированное давление на предприятия и организации, занимающие ценные территории, с целью стимулировать их либо к сокращению занимаемой территории (и тем самым - к интенсификации использования), либо к выносу на другие, менее ценные территории. Решение этих вопросов может носить итерационный характер, в котором решения арендаторов территории проверяются новыми расчетами оптимального плана ФЗ.
2.86. Оптимальный план ФЗ дает наилучшее в смысле социально-экономического эффекта размещение всех функций. Многие размещаемые функции представляют собой каждая не одну хозяйственно-экономическую единицу, а несколько или даже большое число таких единиц. Будучи неразличимы в смысле функционального зонирования, образуя одну функцию в силу одинаковости свойств, существенных для ФЗ, эти единицы, тем не менее, начинают проявлять индивидуальное поведение, как только начинается распределение (на уровне процедур отвода земель) территории, отведенной под данную функцию. В матрице постплановой комплексной оценки территории для оптимального плана ячейки, отведенные под эту функцию, неравноценны. Если теперь произвольно распределить эту территорию между пользователями, то они окажутся в неравноценных условиях. Одним из возможных подходов к разрешению этой проблемы может быть выравнивание условий размещения с помощью взимания
ренты местоположения и построения на этой основе процедур распределения территории. Взысканная рента может быть использована на финансирование и ресурсообеспечение мероприятий по развитию городского хозяйства.
ТЕХНИКО-ЭКОНОМИЧЕСКАЯ ЭФФЕКТИВНОСТЬ
2.87. Реальная трудоемкость различных этапов автоматизированного процесса разработки плана ФЗ по материалам внедрения ППП ФЗГ в институте "Гипроград" (Киев) приведена в табл. 3.
Таблица 3
N п.п. | Наименование работ | Состав группы | Трудозатраты, чел.-дн. |
г. Николаев | г. Горловка | г. Винница |
1 | Подготовка плана существующего функционального зонирования территории с выделением активной ее части. Подготовка перечня пассивных функций и F-точек | ГАП | 5 | 4 | 3 |
Рук. гр. инж. | 5 | 4 | 3 |
Ст. архит. | 5 | 4 | 3 |
2 | Определение перечня и объемов активных функций | ГАП | 2 | 2 | 2 |
Рук. гр. инж. | 2 | 2 | 2 |
Гл. экономист | 2 | 2 | 2 |
Ст. архит. | 2 | 2 | 2 |
3 | Подготовка данных для плана видов земель land и матрицы локализационных затрат по видам земель | ГАП | 3 | 2 | 2 |
Рук. гр. инж. | 3 | 2 | 2 |
Ст. архит. | 3 | 2 | 2 |
4 | Подготовка данных для вычисления матрицы p плотностей положительных связей | Гл. экономист | 2 | 2 | 2 |
Рук. гр. инж. | 4 | 4 | 4 |
5 | Подготовка остальных исходных данных, кодирование данных, запись на бланки | Рук. гр. инж. | 10 | 10 | 10 |
6 | Перфорация данных, ее проверка, формирование колоды прогона | Рук. гр. инж. | 4 | 4 | 4 |
Техник | 6 | 6 | 6 |
7 | Обработка результатов расчетов, внесение изменений в данные для серии расчетов | ГАП | 1 | 1 | 1 |
Рук. гр. инж. | 10 | 10 | 10 |
8 | Оформление экспозиционных материалов | ГАП | 7 | 7 | 7 |
Ст. архит. | 30 | 30 | 30 |
| Итого | | 106 | 100 | 97 |
Распределение затрат машинного времени ЕС-1033 по элементам вычислительного процесса в 1-м расчете ФЗ для ТЭО г. Иркутска приведено в табл. 4.
Таблица 4
N п.п. | Наименование элементов вычислительного процесса | Время, мин |
1 | Вычисление матрицы положительных связей (программа FMP) | 3 |
2 | Начальная фаза работы программы  (ввод данных, формирование дополнительных массивов и др.) | 3 |
3 | Формирование массива линейных затрат | 64 |
4 | Вычисление значения целевой функции, ее основных компонент и матриц дезагрегированного представления для начального приближения | 3 |
5 | Вычисление матрицы ||e|| для начального приближения | 3 |
6 | Процесс оптимизации функционального зонирования (формирование в автомате оптимального плана) | 80 |
7 | Вычисление матрицы ||e|| для оптимального плана | 3 |
8 | Вычисление значения целевой функции, ее основных компонент и матриц дезагрегированного представления для оптимального плана, тиражирование результатов | 4 |
| Итого | 163 |
2.88. При разработке пакета предполагалось, что оптимальное машинное решение задачи функционального зонирования территории в общем случае будет выгоднее решения, получаемого в рамках традиционной технологии проектирования, примерно на 10%; такого рода оценка традиционно используется везде, где речь идет об автоматизации проектных работ на уровне оптимизационных задач. Однако эта оценка, видимо, справедлива в наиболее простых случаях, там, где опыт и интуиция проектировщика позволяют справиться с задачей достаточно хорошо. Накопленный к настоящему моменту опыт использования ППП ФЗГ-83 для разработки функционального зонирования территории в генеральных планах городов, показывает, что машинное решение на 30 - 40% выгоднее решения квалифицированного проектировщика, а по локализационной компоненте, т.е. по компоненте, имеющей непосредственно стоимостной характер и связанной с капитальными вложениями в инженерную подготовку территории и отчуждение земель, во многих случаях в 4 - 5 раз.
2.89. При вычислении величины народнохозяйственного эффекта нельзя отождествлять его непосредственно с величиной разности значения целевой функции базового решения (решения проектировщика) и решения в новой технологии (оптимального машинного решения). Необходимо:
1) вычитать из величины этой разности полностью или частично значения штрафов и других условных величин, используемых в механизме оптимизации плана ФЗ;
2) умножать величину, оставшуюся после
п. 1, на понижающие коэффициенты, предусмотренные методикой определения эффективности НИР
[2].
Накопленный опыт использования ППП ФЗГ в разработке генеральных планов городов показывает, что величина народнохозяйственного эффекта зависит от ряда факторов (в первую очередь - от расчетной численности населения города) и лежит в диапазоне величин от нескольких сотен тысяч рублей до нескольких десятков миллионов рублей в год.
2.90. Таким образом, переход к технологии проектирования генеральных планов с использованием ППП ФЗГ-83 может дать большой народнохозяйственный эффект. Однако для самой сферы градостроительного проектирования использование новой технологии сопряжено с некоторыми дополнительными трудозатратами и затратами машинного времени, которые в стоимостном выражении могут быть в среднем оценены величиной 2 - 2,5 тыс. руб. на серию расчетов по одному объекту. Если разработка генплана стоит порядка 60 тыс. руб., то дополнительные затраты на разработку раздела функционального зонирования составляют около 4% этой суммы. По сравнению с технико-экономическим эффектом в народном хозяйстве эти дополнительные затраты ничтожны, так что с государственной точки зрения технология с использованием пакета безусловно эффективна. Однако удорожание проектирования ложится на проектировщиков, в то время как выигрыш, получаемый после реализации проекта, достается городу. Необходимо, следовательно, чтобы внедрение пакета в проектирование сопровождалось соответствующими мерами в сфере финансирования и нормирования проектных работ, стимулирующими проектные организации к внедрению ППП ФЗГ.
1.
Форд Л.Р., Фалкерсон Д.Р. Потоки в сетях. - М.: Мир, 1966.
2.
Временные методические рекомендации по определению эффективности НИР в области градостроительства. - М.: ЦНИИП градостроительства, 1983.
3. Резникова Н.Н., Ромм А.П. Пакет прикладных программ для функционального зонирования территории (ППП ФЗГ-83). Современное состояние и развитие. - Материалы семинара "Совершенствование проектного дела и дальнейшая автоматизация проектирования в строительстве." - М.: МДНТП им. Дзержинского, 1986.
3. ПАКЕТ ПРИКЛАДНЫХ ПРОГРАММ ДЛЯ ПРОЕКТИРОВАНИЯ СИСТЕМ ГОРОДСКИХ ПУТЕЙ СООБЩЕНИЯ (ППП ТР)
МЕТОДИЧЕСКИЕ ОСНОВЫ МОДЕЛИРОВАНИЯ СИСТЕМ ГОРОДСКИХ ПУТЕЙ СООБЩЕНИЯ В ППП ТР
3.1. Математическое моделирование работы систем городских путей сообщения применяется для прогноза работы проектируемой транспортной системы. Прогноз включает получение с помощью расчетов (моделирования) такого набора характеристик функционирования системы городских путей сообщения, который обеспечил бы определенную степень обоснованности и четкости оценки проектного решения.
Цель математического моделирования системы городских путей сообщения - выполнить имитацию процесса функционирования транспортной системы при заданных ее характеристиках.
3.2. Реализованные в ППП ТР математические модели не являются конструктивными, т.е. их результаты не дают непосредственно проектного решения, но позволяют оценить проект объективными расчетными данными и выявить направления и пути его улучшения. Таким образом, математические модели, реализованные в ППП ТР, относятся к типу дескриптивных или имитационных.
3.3. Методическую основу ППП ТР составляют две главные модели, выполняющие:
моделирование корреспонденций населения между условными расчетными районами города или его объектами;
моделирование процесса осуществления корреспонденций путем распределения их по элементам транспортной системы для определения характеристик ее работы и требуемых параметров.
3.4. Корреспонденции населения между районами или объектами могут быть:
подготовлены вне моделей, например, по данным специальных обследований. В этом случае формально первая главная модель опускается, и корреспонденции, являющиеся входной информацией для второй модели, поступают извне, т.е. не являются результатом работы ППП ТР;
рассчитаны с помощью различных моделей, например: путем решения транспортной задачи линейного программирования (в случае моделирования каких-либо массовых мероприятий, требующих строго организованных перевозок населения при выбранных критериях оптимальности плана перевозок), путем расчета по экстраполяционным моделям (при незначительных изменениях транспортно-планировочной проектной ситуации относительно изученного существующего положения, но при наличии данных о существующих размерах корреспонденций); путем расчетов по аналитическим моделям, вскрывающим механизм формирования корреспонденций.
3.5. В ППП ТР используется аналитическая модель, называемая гравитационной моделью корреспонденций:

(43)
где i, j - индексы районов (объектов), между которыми определяются величины корреспонденций Xij, i - индекс района (объекта) прибытия (посещения), j - индекс района (объекта) отправления (источника корреспонденции). Расчетные районы (объекты) могут быть одновременно как районами отправления, так и районами прибытия;
n - количество районов;
Ai - некоторая величина, определяющая притягательность района посещения i;
Bj - величина, определяющая потенциальные возможности района как источника корреспонденций;
Fij = f(cij) - значение функции тяготения населения, отражающей относительную оценку населением условий связи пар районов, измеряемых затратами c;
kj - нормирующие множители, определяемые итерационным способом и называемые коэффициентами корректировки.
3.6. Функция тяготения зависит от оценки условий связи районов, которые выражаются обобщенной трудностью сообщения, включающей стоимость проезда, продолжительность воздействия на пассажира неблагоприятных условий перевозки (транспортная усталость), удобство прямого сообщения или неудобство, обусловленное необходимостью пересадок, полные затраты времени на передвижение. В настоящее время исследованиями установлено, что в оценке связи районов наиболее существенную роль играет фактор времени.
3.7. В общем же случае аргументом функции тяготения могут быть простые или сложные оценки условий связи (cij):
взаимная удаленность пар районов, измеренная по "воздуху" (
Sij), измеренная по "воздуху с обходом непреодолимых препятствий", таких, как реки, акватории, территории со сложным рельефом и т.д.

, измеренные по транспортной сети

;
затраты времени на сообщение между районами, измеренные в предположении о возможности связи районов "по воздуху" с условной скоростью сообщения на транспорте

или "по воздуху с обходом препятствий"

;
затраты времени на сообщение между районами пешком

;
полные затраты времени (с учетом времени подхода-отхода, ожидания, пересадок) сообщения на средствах массового транспорта, измеренные по сети

или с учетом организации маршрутов

;
полные затраты времени (с учетом времени вывода автомобиля со стоянки и времени поиска места паркования) на сообщение на средствах индивидуального транспорта, измеренные по сети улиц и дорог

или с учетом затрат на задержки в транспортных узлах

;
некоторые затраты времени

, средние между

и

(или

,

,

), определенные с учетом степени развитости системы массового транспорта, уровня автомобилизации, сезона года и других условий и факторов;
стоимость проезда (mij);
другие факторы.
3.8. Гравитационная
модель расчета корреспонденций (43) обеспечивает условия

. Для обеспечения условий
, при которых расчетные отправления из каждого района были бы пропорциональны (сбалансированы) фактическим потенциальным возможностям районов как источников корреспонденций, расчет производится итерационным способом.
На каждом шаге итерационного процесса выявляются районы отправления, удобно расположенные относительно мест притяжения или с хорошим транспортным обслуживанием (имеющие в непосредственной близости емкие объекты притяжения или хорошо организованную связь с такими объектами), и отправление из которых вследствие этого выше заданного, и наоборот.
Это происходит вследствие несоответствия реально складывающихся корреспонденций и принимаемой для всего города единой функции тяготения F = f(c). В действительности относительная оценка затрат c на сообщение жителями города, проживающими или находящимися в различных планировочных и транспортных районах, различна.
Коэффициенты

на
m-й итерации вычисляются через корреспонденции

, полученные на (
m - 1)-й инерции, следующим образом:

(44)
где

- относительная подвижность населения в городе;

- относительная расчетная подвижность населения района
j, полученная на (
m - 1)-й итерации.
В ППП ТР включены два программных модуля, выполняющие расчет корреспонденций по гравитационной модели. Модуль GRAM выполняет расчет Xij, принимая для всех районов города единую функцию тяготения, модуль GMDF позволяет при расчете Xij для каждого из расчетных районов отправления принять свою, одну из семи возможных функций тяготения.
3.9. Расчеты корреспонденций Xij выполняются раздельно для корреспонденций различных категорий. Категории корреспонденций следует выделять по признакам их целевой направленности (трудовые; культурно-бытовые к объектам разных видов обслуживания или разным по значению объектам обслуживания; гостевые и т.д.), а также по признакам того, какие условия связей между корреспондирующими объектами имеют решающее значение (затраты времени, удаленность, стоимость сообщения и т.д.).
Например, культурно-бытовые корреспонденции населения к объектам обслуживания могут быть рассчитаны для летнего и зимнего сезонов по-разному, поскольку на их формирование влияет степень использования индивидуальных автомобилей, которая различна для разных времен года. В зимний период корреспонденции будут складываться в основном под влиянием затрат на связь районов на средствах массового транспорта, поскольку зимой снижается активность использования индивидуальных автомобилей, а в летний период влияние использования индивидуальных автомобилей увеличивается.
Формирование регулярных трудовых корреспонденций населения происходит в основном под влиянием затрат времени на сообщение на средствах массового транспорта.
Корреспонденции населения к объектам эпизодического посещения, таким, как вокзалы, уникальные объекты (театр, центральная библиотека, цирк, общегородской стадион и т.д.), складываются независимо (или при малой зависимости) от условий связи с ними. Это означает, что при их расчете можно допустить F = const, т.е. считать функцию тяготения не зависящей от значений cij.
Таким образом, для расчета корреспонденций разных категорий и для различных моделируемых условий могут быть обоснованы разные подходы и приняты разные оценки условий связи cij.
3.10. Выделение различных категорий корреспонденций следует производить с учетом:
цели моделирования и необходимой степени подробности решения проектных задач;
наличия исходных данных и возможной степени детализации представления информации об объекте проектирования.
3.11. Различные оценки условий связи районов или объектов, необходимые для расчета корреспонденций населения, определяются на основании взаимного размещения районов (например, по заданным координатам центров районов) либо путем анализа ребер графа, которым представляется транспортная сеть или системы маршрутов массового транспорта, в том случае, если известна соответствующая характеристика каждого ребра (например: его длина, или затраты времени на преодоление, или стоимость преодоления).
В составе ППП ТР имеются специальные средства в виде отдельных программных модулей, с помощью которых можно определить различные оценки связи. Это программные модули STRE, AIRM.
3.12. Более сложные оценки, такие как

, определяются как производные простых путем арифметических преобразований либо преобразованиями простых оценок через функциональные зависимости.
3.13. В ППП ТР реализована специальная модель определения

, которая позволяет учесть следующие факторы:
уровень автомобилизации города;
соотношения развитости средств массового транспорта и сети улиц и дорог; для движения индивидуальных автомобилей;
дальность сообщения;
скорость сообщения.
Ниже излагается основное содержание модели.
3.14. Расчет

производится с учетом того, какая доля в общем объеме передвижений между каждой отдельной парой корреспондирующих районов
i и
j осуществляется тем или иным способом: на индивидуальных автомобилях, на средствах массового транспорта или пешком.
3.15. Модель основывается на том, что вероятность выбора населением способа передвижения из таких двух как пешком или на транспорте, зависит от двух факторов:
Sij - взаимной удаленности или расстояния (км) между корреспондирующими объектами и скорости передвижения

, предоставляемой средствами транспорта, т.е.

(45)
где
- доля передвижений между
i и
j, осуществляемая на средствах транспорта (массового и индивидуального).
Доля передвижений между i и j, осуществляющаяся пешком, равна соответственно

(46)
3.16. Скорость передвижения на транспорте

рассчитывается по формуле

(47)
где
- затраты времени, полученные взвешиванием затрат времени на сообщение на индивидуальных автомобилях

и на средствах массового транспорта

с учетом того, какая доля в общем объеме передвижений на транспорте между
i и
j выполняется на индивидуальных автомобилях

и какая - на массовом транспорте

:

(48)
3.17. Вероятность выбора населением способа поездки (на индивидуальном автомобиле или на массовом транспорте) зависит от величины отношения

, определяющего соотношение степени удобства, предоставляемого для сообщения. Под степенью удобства следует понимать в первую очередь не комфортабельность поездки с предоставлением места для сидения в удобном салоне, а возможность с меньшими затратами времени совершить необходимое передвижение. Таким образом, вероятность выбора для поездки вида транспорта выражается как

(49)
3.18. Долю поездок на индивидуальных автомобилях следует определять:

(50)
на массовом транспорте:

(51)
3.19. После определения долей передвижений различными способами: пешком

, на индивидуальных автомобилях

и на средствах массового транспорта

следует определить "взвешенные" затраты времени на сообщение между районами или объектами
i и
j:

(52)
где
- затраты времени на сообщение между
i и
j при передвижении пешком.
3.20. Таким образом, для определения

необходимо иметь следующие данные:
Sij - взаимную удаленность районов;
- затраты времени на сообщение между районами на индивидуальных автомобилях;
- затраты времени на сообщение между районами на средствах массового транспорта;

- зависимость, определяющую вероятность выбора способа поездки;

- зависимость, определяющую вероятность выбора способа передвижения (пешком или на транспорте).
3.21. В ППП ТР имеется программный модуль (программный модуль
SPLI), выполняющий показанные выше преобразования для расчета

,

,

.
3.22. Вторая главная модель - модель процесса осуществления корреспонденций, - так же как и модель корреспонденций, может основываться на разных подходах, учитывающих, что при выборе трассы следования из района в район пассажир может принимать во внимание разные факторы:
стремление экономить затраты времени;
стремление сократить длину пути;
стремление проложить путь по популярным, главным магистралям города;
стремление выбрать такой путь, трасса которого обладала бы наибольшей пропускной способностью, наибольшей прямолинейностью, была бы наиболее безопасна и т.д.
3.23. Правильное описание процесса распределения корреспонденций по транспортной системе весьма важно, так как результат выполнения распределения определяет размеры потоков на конкретных направлениях и участках системы, объемы транспортной работы, средние дальности поездок, число перевезенных пассажиров, объемы пересадочного движения и размеры пассажирооборотов узлов, а также ряд других характеристик и показателей, используемых при технико-экономической и комфортной оценке проектного решения.
3.24. В ППП ТР реализована такая модель распределения корреспонденций, с помощью которой корреспонденции распределяются по всем возможным (в пределах заданного ограничения) путям следования, связывающим корреспондирующие объекты. Результаты распределения с помощью этой модели подобны таким, какие можно было бы получить при условии, если бы по каждому пути направлялась часть корреспонденции, зависящая от вероятности его выбора.
3.25. При распределении корреспонденций по группе путей выбираются лишь те пути, для которых затраты на их преодоление для пары корреспондирующих районов cij удовлетворяют условию

(53)
где
- наименьшие возможные затраты на сообщение между корреспондирующими районами по заданной транспортной системе. Величину

задают одинаковой для всех корреспонденций (например, равной 0,1). Величина

называется областью сглаживания для пары районов прибытия - отправления. Пути, удовлетворяющие
условию (53), составляют группу вероятных путей. При распределении корреспонденций по вероятным путям следования обеспечивается выполнение следующих условий:
вероятность выбора пути зависит от величины затрат на его преодоление;
пути с равными затратами на преодоление должны принять равные части корреспонденций;
пути, характеризующиеся меньшими затратами на преодоление, воспринимают большую часть корреспонденций и наоборот.
3.26. Подробное изложение вычислительного метода, реализующего модель распределения корреспонденций по участкам транспортной системы, которые составляют группу вероятных путей, названного методом "стока", дано в [
1,
2].
3.27. Вычислительный метод "стока" не учитывает при распределении корреспонденций пропускных (провозных) способностей участков транспортной системы. При решении ряда проектных задач по организации транспортного обслуживания, особенно в периоды "пиковых" нагрузок на транспорт, необходимо учитывать реальные пропускные (провозные) способности участков или узлов системы.
Учет ограничивающего действия пропускной способности можно обеспечить искусственным приемом разделения всех корреспонденций на части (порции) и последовательного распределения по сети этих частей. Пусть, например, все корреспонденции Xij делятся на такие части: 0,5Xij; 0,3Xij; 0,15Xij и 0,05Xij. Распределение первой части (половины) корреспонденций производится по всем участкам транспортной системы. Полученные в результате этого распределения потоки на участках сравниваются с пропускной способностью участков. При распределении следующей части корреспонденций (30%), те участки, пропускная способность которых исчерпана, исключаются, и распределение производится лишь по тем участкам транспортной системы, на которых потоки меньше их пропускной способности, и так далее.
Таким образом можно определить наиболее "узкие" места транспортной системы и количественно оценить степень их перегрузки.
3.28. Порционное последовательное распределение корреспонденций обеспечивает одинаковое влияние ограничений пропускной способности для всех межрайонных корреспонденций. Однако следует учесть, что ограничение пропускной способности влияет на выбор трасс следования в основном для корреспонденций с большой дальностью, для которых отклонение от целесообразных трасс для обхода перегруженных участков не приводит к значительному относительному увеличению затрат на преодоление путей. В связи с этим более правильным будет распределение корреспонденций с малыми дальностями (например, с дальностями до 3 км) без учета ограничений, а затем порционное распределение корреспонденций с большими дальностями.
3.29. В результате порционного распределения корреспонденций по участкам транспортной системы будут получены состояния загрузки системы потоками от каждой отдельной части корреспонденций (от 0,5Xij; от 0,3Xij ...). Суммирование потоков для каждого такого состояния определит размеры общих потоков, полученных с учетом ограниченных, пропускных (провозных) способностей участков или направлений транспортной системы.
3.30. В ППП ТР включены программные модули ARMA и MOMA, позволяющие выполнить расчленение корреспонденций на порции или части.
3.31. Расчет потоков в периоды пиковых нагрузок на транспортную систему необходимо выполнять специальным распределением корреспонденций населения, выполняющихся в этот период.
В случае если имеются данные о размерах тяготения к каждому району в пиковый период в виде долей суточного тяготения, следует выполнять масштабирование матрицы суточных корреспонденций с помощью программного модуля ARMV.
Если же таких данных нет, то матрица корреспонденций в пиковый период упрощенно определяется из матрицы суточных корреспонденций путем ее масштабирования.
Масштабирование суточных корреспонденций может быть выполнено с помощью программного модуля ARMA.
Наличие данных о размерах тяготения (в абсолютном или относительном измерении) населения в пиковый период нагрузки на транспортную систему к каждому отдельному району позволяет выполнять расчет потоков с прослеживанием их движения во временной динамике. Результаты таких расчетов содержат размеры потоков на элементах транспортной системы в отдельные временные интервалы пикового периода, например в первый интервал из
t мин, во второй, третий и т.д. интервалы. Подробно метод распределения потоков с прослеживанием движения во временной динамике описан в
[5]. Метод реализуется программным модулем
LOIN.
РАЗЛИЧНЫЕ УРОВНИ ПРЕДСТАВЛЕНИЯ ТРАНСПОРТНО-ПЛАНИРОВОЧНОЙ СИТУАЦИИ
3.32. Принятая в проектной практике стадийность определяет круг задач и глубину их проработки на каждой последовательной стадии: технико-экономические основы развития города (ТЭО), генеральный план (ГП), проекты детальной планировки районов (ПДП). Учитывая особую важность, сложность и ответственность решения проектных задач, связанных с системой городских путей сообщения, для городов с населением более 0,5 млн. жителей разрабатываются специальные проекты - комплексные схемы развития транспорта (КТС). Разрабатываются также технические и рабочие проекты отдельных транспортных магистралей и узлов. Естественно, что на разных стадиях проектные решения должны обосновываться прогнозами работы транспортной системы, получаемыми моделированием различной степени подробности и глубины.
3.33. ППП ТР обеспечивает возможность моделирования системы городских путей сообщения на различных уровнях представления ее и планировочной ситуации.
3.34. Уровень 1 - основан на предположении о возможности связи любых районов (объектов) между собой по "воздушным" прямым, обходящим непреодолимые препятствия (водные пространства, рельефные ограничения, планировочные и другие ограничения). Область применения моделей этого уровня - предварительные проектные разработки, следующие за решением задачи функционального зонирования территории.
С помощью таких моделей определяются ориентировочные масштабы транспортной работы, поверхностная плотность движения на городской территории, предварительные (с учетом отмеченного выше предположения) оценки планировочной структуры транспортными характеристиками.
3.35. Уровень 2 - учитывает реальную конфигурацию улично-дорожной сети и сети массового пассажирского транспорта. Результаты моделирования используются для оценки конкретной конфигурации сети, классификации магистралей, выбора видов массового транспорта.
Целесообразно выделить в уровне 2 моделирование транспортной системы, представленной неклассифицированной улично-дорожной сетью и сетью, по которой предполагается движение условного массового транспорта без выделенных видов его и без обозначенных линий скоростного транспорта. Расчетные потоки на такой неклассифицированной сети позволяют определить классификацию отдельных направлений, выделить магистральные направления, определить направления скоростных линий.
3.36. Уровень 3 - учитывает конкретную реальную организацию маршрутной системы массового транспорта. При этом с наибольшей достоверностью определяются затраты на связь корреспондирующих районов (объектов), поскольку учитываются затраты на пересадки, более реалистично моделируются трассы путей, по которым выполняются поездки. Результаты моделирования транспортной системы, представленной в виде организации маршрутов массового транспорта, в том числе и конкретных линий скоростного транспорта, позволяют определять характеристики работы каждого маршрута и решать задачи о подборе подвижного состава и режимов его работы, а при вариантном проектировании - определять трассы оптимальных маршрутов.
3.37. Уровень 4 - учитывает реальную организацию движения в сложных проектируемых транспортных узлах. С помощью моделирования определяются размеры движения по каждому из возможных (в соответствии с проверяемой схемой организации движения) направлений маневров потоков: сквозное, поворотное движение. Моделируемыми транспортными узлами могут быть как узлы улично-дорожной сети, так и сложные узлы массового транспорта: станции скоростного транспорта, вокзалы, сложные пересадочные узлы.
3.38. ППП ТР обеспечивает возможность моделирования работы системы городских путей сообщения на разных уровнях ее представления. Это свойство ППП ТР достигнуто благодаря принятой единой цифровой модели транспортной системы, представляющей ее в сетевой форме.
| | ИС МЕГАНОРМ: примечание. В официальном тексте документа, видимо, допущена опечатка: пункт [6] в Списке литературы к Разделу 3 отсутствует. | |
В расчетах уровня 1 связи между объектами моделируются графом плотной условной сети-паутины, связывающей узлы, регулярно размещаемые на территории [6]. Формирование машинной информации о графах сетей-паутин выполняется автоматически специальными программными модулями IVEB и DVEB, имеющимися в составе ППП ТР.
На уровне 2 транспортная система представляется реальными графами транспортной неклассифицированной или классифицированной сети. При классифицированной сети различные виды транспорта (классы магистралей) представляются сетями, на участках которых принимаются различные скорости движения. Отдельные сети объединяются в единый граф городской транспортной системы звеньями, отображающими пересадки с одного вида транспорта на другой или смену классов магистралей.
На уровне 3 транспортная система представляется набором графов сетей каждого отдельного маршрута массового транспорта, объединенных в систему (единый граф) пересадочными звеньями.
Наконец, задачи моделирования движения в транспортных узлах (уровень 4) решаются на основе представления реальных транспортных узлов семействами определенным, в соответствии с проверяемой организацией движения, образом соединенных участками графа сети.
Таким образом, различные уровни представления городской транспортной системы отличаются друг от друга лишь формой представления информации
(рис. 9), и при разработанной для ППП ТР универсальности ее представления внутри ЭВМ расчетные задачи решаются с помощью единого программного обеспечения.
Рис. 9. Представление транспортной системы
цифровой моделью графа
3.39. Единство представления транспортной системы на разных уровнях и использование для ее моделирования единого программного обеспечения позволяет для любых указанных выше уровней получить расчетные результаты, характеризующие транспортно-планировочную ситуацию, содержательно сопоставимые между собой.
ИСХОДНАЯ ИНФОРМАЦИЯ ДЛЯ МОДЕЛИРОВАНИЯ СИСТЕМ ГОРОДСКИХ ПУТЕЙ СООБЩЕНИЯ
3.40. Исходная информация, внешняя относительно ППП ТР, включает информацию о моделируемом объекте - системе городских путей сообщения, планировочной организации территории в виде характеристик расчетных районов и о зависимостях, используемых при моделировании. Исходная информация об объекте подготавливается пользователем в виде, определенном в технических инструкциях по работе с ППП ТР.
3.41. Информация о моделируемой транспортной системе зависит от уровня моделирования. При моделировании первого уровня следует дать описание границ исследуемой территории, внутри которой автоматически при исполнении специального программного модуля (IVEB) ППП ТР будет сформирована плотная регулярная сеть-паутина. Описание границ территории задается в условной прямоугольной сетке координат выбранного масштаба.
В этой же сетке координат необходимо задать координаты центров расчетных районов, на основании которых другой программный модуль (DVEB) дополнит информацию о сети-паутине информацией об участках, связывающих центры расчетных районов с узлами сети.
3.42. Для моделирования транспортной системы, представленной на 2-, 3- и 4-м уровнях, необходимо задать информацию о графе транспортной сети, описывающую его конфигурацию, и координаты узлов графа.
Узлами графа следует принимать все места транспортной системы, в которых возможно измерение размеров потоков в зависимости от направления движения. Таким образом, узлами сети принимаются пересечения транспортных коммуникаций (перекрестки улично-дорожной сети, транспортные узлы), станции и платформы внеуличного и скоростного транспорта, пересадочные узлы, а также узлы, отображающие центры расчетных районов. Транспортная система вычерчивается в виде графа, узлы которого нумеруются неповторяющимися номерами. Допускается не сквозная нумерация узлов графа, что позволяет присваивать отдельным видам (классам магистралей) транспорта определенные группы номеров. Например, полезно выделить группу номеров узлов уличного транспорта и группы номеров узлов отдельных линий скоростного.
В описании информации о графе транспортной системы (форма описания определена в технических инструкциях) необходимо выделять участки, принадлежащие отдельным видам массового транспорта (или маршрутам при описании маршрутной организации), принадлежащие к определенным классам магистралей (при классифицированной улично-дорожной сети), а также определить реализуемую скорость преодоления участков.
Информация о графе транспортной системы должна содержать также координаты всех узлов графа, определенные в прямоугольной сетке координат выбранного масштаба.
По данным о конфигурации графа, координатам его узлов и значениям скоростей преодоления участков с помощью специального программного модуля INET формируется внутримашинная информация о транспортной системе, в которой для каждого участка графа формируются данные о:
принадлежности его к группе участков, отображающих сеть вида массового транспорта, либо линию скоростного транспорта, либо маршрута массового транспорта, либо к сети определенного класса автомагистралей;
затратах на преодоление участка: его длина (км) и затраты времени на преодоление. Затраты времени на преодоление участка вычисляются делением его длины на скорость преодоления. Необходимо отметить, что скорость преодоления в данном случае выражается величиной, обратной удельным затратам времени на преодоление единицы длины. Следовательно, если в качестве скоростей на преодоление участков задать величины, обратные удельным затратам (например, величину, обратную стоимости преодоления единицы длины), то затраты на преодоление участков будут выражены в соответствующих единицах.
Пример. Задана скорость преодоления участков определенного вида массового транспорта величиной 18 км/ч (0,3 км/мин). Тогда время преодоления участков будет определено как t = (l/0,3) мин. Если же в качестве "скорости" задана величина, обратная стоимости преодоления 1 км, например, U = 0,5 км/коп. (при стоимости преодоления 1 км - 2 коп.) величины затрат на преодоление участков будут определены как c = (l/0,5) коп.
Таким образом, при вычислении затрат на преодоление участков в программном модуле INET принято обобщенное понятие "скорости", как величины, обратной удельным затратам на преодоление единицы длины. Этим можно воспользоваться для автоматического получения с помощью модуля INET данных о затратах на преодоление участков транспортной системы, выраженных разнообразными характеристиками: временем, стоимостью, затратами энергии и т.д.
3.43. Информация о планировочной организации города задается характеристиками расчетных районов. Территория города расчленяется на условные расчетные районы. В каждый расчетный район включаются относительно однородные территории с учетом тяготения населения, проживающего в районе, и населения, прибывающего в район, к транспортным коммуникациям.
При определении размеров расчетных районов и их количества необходимо учитывать следующее:
размер района выбирается, исходя из условия возможности совершения большинства внутрирайонных передвижений пешком;
более мелкие районы формируются в центральной зоне города (10 - 50 га), размеры районов увеличиваются с приближением к периферии (в серединной зоне - 50 - 100 га, в периферийной более 100 га). Размеры районов принимаются также в зависимости от важности решения проектных задач, поскольку с уменьшением их размеров повышается подробность и точность результатов моделирования. Необходимо назначать количество расчетных районов в соответствии с требованиями точности расчетов и степени достоверности, полноты и трудоемкости подготовки информации о них;
рекомендуется формировать границы расчетных районов так, чтобы район обслуживался меньшим количеством узлов транспортной системы.
Границы между районами проводятся условно. Следует стремиться к тому, чтобы осями расчетного района были бы магистрали улично-дорожной сети или трассы внеуличного или скоростного транспорта.
Рекомендуемое число расчетных районов приведено в табл. 5.
Таблица 5
Население города, тыс. чел. | До 50 | До 100 | До 200 | До 500 | 1000 и более |
Число районов | 20 - 30 | 30 - 40 | 40 - 60 | 60 - 80 | Свыше 100 |
3.44. Для каждого из расчетных районов следует определить его характеристики. В ППП ТР разрешается задать до 28 различных характеристик для каждого района. Это могут быть геометрические характеристики (площадь, параметры конфигурации); характеристики затрат на передвижения внутри района, зависящие от его размеров и формы; емкостные характеристики (число жителей, рабочих мест, площадь торговых залов, число посадочных мест, число посещений, объемы предоставляемых услуг и др.); характеристики, выражающие особенности работы объектов, размещенных в районах (относительный размер максимальной рабочей смены, число посещений объектов в различные периоды или часы суток и др.).
Следует иметь в виду, что емкостные характеристики районов будут использоваться при расчете взаимных корреспонденций и, следовательно, размеры корреспонденций будут выражаться в единицах, в которых заданы величины
Ai, определяющие притягательность районов как районов посещения (см.
п. 3.5).
Для получения же корреспонденций, выраженных в единицах, необходимых для расчета потоков на элементах транспортной системы, в которых оперирует проектировщик-транспортник (передвижения, поездки), необходимо выполнить масштабирование рассчитанных корреспонденций с учетом размеров подвижности населения.
Из сказанного следует такой вывод: емкостные характеристики районов могут быть заданы в любых единицах, масштабирование же рассчитанных в этих единицах корреспонденций следует выполнять с учетом величины подвижности населения и ее структуры.
3.45. В практике ряда проектных и исследовательских организаций, использующих математическое моделирование городских транспортных систем и применяющих для этого ППП ТР, сложилась определенная схема представления планировочной организации территории и описание емкостных характеристик расчетных районов. Некоторые аспекты этой схемы приводятся ниже.
3.46. Расчет корреспонденций производится для следующих категорий передвижений: трудовые (категория А); культурно-бытовые передвижения, осуществляемые из дома (категория Б), и культурно-бытовые передвижения, осуществляемые не из дома (категория В).
3.47. Для расчета корреспонденций категории А (трудовые) в качестве емкостных характеристик, определяющих притягательность районов для трудовых передвижений, можно задать количества мест приложения труда в районах, а в качестве характеристик, определяющих потенциальные возможности районов как источников корреспонденций, - количества жителей, проживающих в районах.
В этом случае трудовые корреспонденции между районами будут рассчитаны в местах приложения труда.
3.48. Для расчета корреспонденций категории Б (культурно-бытовые из дома) в качестве емкостных характеристик Ai могут быть заданы объемы услуг, выполняемых объектами района (например, в рублях, если считать, что притягательная способность объектов прямо пропорциональна товарообороту), либо суммарные производственные площади (если считать, что притягательность пропорциональна площади), либо число рабочих мест в объектах обслуживания и т.д. В соответствующих единицах будут рассчитаны корреспонденции.
Характеристиками районов, определяющими возможности районов как источников корреспонденций категории Б, должно быть, так же как и для категории А, количества жителей, проживающих в районах, поскольку выполняется расчет культурно-бытовых корреспонденций из дома (от места жительства).
3.49. Для расчета корреспонденций категории В (культурно-бытовые не из дома) в качестве емкостных характеристик могут быть заданы те же Ai, что и для категории Б, а в качестве характеристик, определяющих возможности районов как источников корреспонденций, - сумма возможных прибытий в районы с трудовыми и культурно-бытовыми целями, но приведенные для суммирования к одинаковым единицам измерения.
3.50. Для перевода рассчитанных корреспонденций отдельных категорий в корреспонденции, выраженные в передвижениях населения, следует выполнить их масштабирование. Для этого необходимо знать общую подвижность населения P0 - количество передвижений, приходящихся на 1 жителя города в год, и структуру общей подвижности: PА, PБ, PВ - количество передвижений соответствующей категории на 1 жителя в год.
Общую подвижность населения, ее структуру и прогноз этих данных на перспективу определяют на основании данных обследований, либо принимают по аналогии с данными обследований аналогичных городов.
В случае отсутствия данных обследований подвижность можно принимать по табл. 6.
Таблица 6
Население города, тыс. чел. | До 50 | До 100 | До 250 | До 500 | До 750 | До 1000 | Свыше 1000 |
P0 | 950 | 1000 | 1050 | 1100 | 1150 | 1200 | 1250 |
3.51. Структура общей подвижности при расчленении ее на категории А, Б и В может быть принята следующей:
категория А: PА = 250 - 260 передвижений на 1 жителя в год;
категория Б: PБ = 0,65; (P0 - PА - PМ) передвижений на 1 жителя в год, где PМ - передвижения внутри районов, осуществляемые пешком, в расчете на учитываемые и составляющие 290 - 300 передвижений на 1 жителя в год;
категория В: PВ = 0,35 (P0 - PА - PМ) передвижений на 1 жителя в год.
3.52. Общий объем передвижений отдельных категорий в расчетный период будет, например:
в год | в средние сутки года | |
для категории А:  | | (54) |
для категории Б:  | | (55) |
для категории В:  | | (56) |
где NГОР - население города, чел.
3.53. Определив объем передвижений отдельных категорий в расчетный период, следует рассчитанные корреспонденции Xij масштабировать:

(57)

(58)

(59)
В ППП ТР включен программный модуль ARMA, позволяющий выполнить такое масштабирование.
3.54. Если имеются данные для более детального расчленения общей подвижности населения на категории (например, можно выполнить раздельное моделирование трудовых корреспонденций, работающих в градообразующей группе предприятий и корреспонденций, работающих в обслуживающей группе), и данные для определения соответствующих емкостных характеристик, следует выполнять раздельное моделирование, так как при этом повышается точность и увеличивается набор результатов, используемых для оценки проектного решения.
3.55. Для расчета

,

,

(см.
пп. 3.12 и
3.56), в случае, если принята модель расчета корреспонденций с использованием

, необходимо использовать зависимость

, определяющую вероятность пользования массовым транспортом при поездках, и зависимость

, определяющую вероятность использования транспорта (массового и индивидуального) для передвижений.
| | ИС МЕГАНОРМ: примечание. В официальном тексте документа, видимо, допущена опечатка: пункт [8] в Списке литературы к Разделу 3 отсутствует. | |
3.56. Прогнозирование распределения поездок между массовым и автомобильным транспортом

производится с учетом уровня автомобилизации, развития массового транспорта, планировочных особенностей города, климатических условий и других факторов. Методика прогнозирования дана в [8]. Ориентировочные данные для зависимости

приведены в табл. 7, в которой даны величины,

, использованные в различных проектах.
Таблица 7
Организация, проект <*>, N | TМАСС/TАВТ |
0,8 | 1 | 1,5 | 2 | 2,5 | 3 и более |
1 | 0,82 | 0,80 | 0,78 | 0,76 | 0,74 | 0,70 |
2 | - | 0,95 | 0,86 | 0,71 | 0,66 | 0,60 |
3 | 1,0 | 0,95 | 0,85 | 0,75 | 0,65 | 0,55 |
4 | - | 0,98 | 0,92 | 0,79 | 0,78 | 0,76 |
-------------------------------- |
| 1 - ЦНИИП градостроительства, проекты генпланов городов Набережные Челны, Елабуга, Иркутск. 2 - ТашНИИПИгенплана, проект генплана г. Ташкента. 3 - Ереванпроект, проект КТС г. Еревана. 4 - Гипроград, проект КТС г. Одессы. |
3.57. Зависимость

определяет коэффициенты пользования транспортом при известной дальности движений и скорости, предоставляемой транспортом. Зависимость может быть принята различной для моделирования работы транспортной системы в разные сезоны года и для моделирования корреспонденций различных категорий передвижений и устанавливается путем обследований. При отсутствии данных обследований зависимость

можно принимать по табл. 8.
Таблица 8
Скорость VТР, км/ч | Дальность передвижений S, км, до |
0,8 | 1 | 2 | 3 | 4 | 5 | 6 | 6 и более |
До 4 | 0,06 | 0,08 | 0,31 | 0,55 | 0,72 | 0,85 | 0,95 | 1 |
" 8 | 0,17 | 0,22 | 0,52 | 0,68 | 0,8 | 0,88 | 0,97 | 1 |
" 12 | 0,29 | 0,34 | 0,58 | 0,71 | 0,83 | 0,9 | 0,98 | 1 |
" 14 | 0,4 | 0,44 | 0,65 | 0,77 | 0,85 | 0,93 | 1 | 1 |
Свыше 14 | 0,6 | 0,7 | 0,9 | 1 | 1 | 1 | 1 | 1 |
3.58. Функции тяготения F = f(c), отражающие оценку населением условий связи корреспондирующих районов, изменяемых затратами времени, следует принимать различными для разных категорий передвижений и определять путем обследований. При отсутствии данных обследований значения F = f(c) можно принимать по табл. 9.
Таблица 9
Затраты времени, мин | По рекомендациям ЦНИИП градостроительства | По рекомендациям Ю.З. Шершевского [4] | Примененные в КТС г. Еревана (Ереванпроект) | Примененные в КТС г. Одессы (Гипроград) | Примененные в генплане г. Ташкента (ТашНИИПИгенплана) |
| | | | |
1 | 2 | 3 | 1 | 2 | 3 | 1 | 4 | 5 | 6 | 1 | 7 | 8 | 1 | 9 |
До 10 | 1000 | 1000 | 1000 | 1000 | 1000 | 1000 | 1000 | 1000 | 1000 | 1000 | 1000 | 1000 | 1000 | 1000 | 1000 |
" 20 | 480 | 330 | 155 | 840 | 1000 | 400 | 350 | 250 | 194 | 150 | 840 | 400 | 1000 | 373 | 208 |
" 30 | 240 | 35 | 55 | 330 | 660 | 100 | 196 | 156 | 135 | 117 | 280 | 100 | 660 | 233 | 78 |
" 40 | 120 | 36 | 18 | 150 | 330 | 30 | 65 | 60 | 50 | 40 | 100 | 30 | 280 | 152 | 37 |
" 50 | 60 | 12 | 6 | 67 | 200 | 10 | 43 | 40 | 30 | 10 | 40 | 10 | 140 | 104 | 20 |
" 60 | 30 | 4,2 | 2,1 | 44 | 130 | 3 | 33 | 30 | 20 | 5 | 10 | 3 | 80 | 72 | 14 |
" 70 | 15 | 1,5 | 0,6 | 27 | 100 | 1 | 21 | 20 | 0 | 0 | 3 | 1 | 10 | 56 | 10 |
" 80 | 7,4 | 0 | 0 | 13 | 73 | 0 | 0 | 0 | 0 | 0 | 1 | 0 | 5 | 35 | 0 |
" 90 | 3,6 | 0 | 0 | 7 | 60 | 0 | 0 | 0 | 0 | 0 | 0 | 0 | 0 | 0 | 0 |
120 и выше | 0 | 0 | 0 | 0 | 0 | 0 | 0 | 0 | 0 | 0 | 0 | 0 | 0 | 0 | 0 |
--------------------------------
1 - передвижения к местам приложения труда;
2 - культурно-бытовые передвижения, осуществляемые из дома;
3 - то же, осуществляемые не из дома;
4 - то же, к объектам общегородского центра;
5 - то же, к объектам районных центров;
6 - то же, к объектам местного значения;
7 - то же, к объектам общегородского значения;
8 - то же, к объектам повседневного обслуживания;
9 - все культурно-бытовые передвижения.
ПРОГРАММНАЯ РЕАЛИЗАЦИЯ МОДЕЛИРОВАНИЯ СИСТЕМ ГОРОДСКИХ ПУТЕЙ СООБЩЕНИЯ
3.59. ППП ТР представляет собой набор отдельных программных модулей - условно независимых, но связывающихся между собой входной информацией и результатами работы. Это означает, что результаты работы одних модулей являются исходной информацией для работы других.
Программный модуль ППП ТР - это самостоятельная, выполняемая независимо от других модулей программа, получающая исходную, определенную информацию заданной структуры и формы, выполняющая определенные действия с этой информацией и формирующая в заданной структуре и форме результат своего действия.
3.60. В ППП ТР включены программные модули, которые в зависимости от их назначения, характера выполнения действий и возможностей могут быть объединены в группы:
пользовательские вычислительные модули, применяемые для выполнения непосредственно расчетов по моделированию работы транспортной системы;
пользовательские сервисные модули, предназначенные для обслуживания работы ППП ТР, с помощью которых можно выполнить перекомпоновку рабочей информации, получить распечатки результатов, распечатки технических инструкций по работе с модулями, распечатки информации по учету использования ППП ТР и др.
3.61. В табл. 10 дан список программных модулей ППП ТР по состоянию на 1 октября 1986 г.
Таблица 10
Состав ППП ТР
Имя программного модуля | Назначение программного модуля |
| Пользовательские вычислительные модули |
IVEB | Формирование первичной информации о плотной регулярной сети-паутине, покрывающей заданную территорию |
DVEB | Дополнение первичной информации о плотной сети-паутине (результата работы IVEB) информацией, связывающей центры районов с узлами сети, выполняется всегда после IVEB |
INET | Ввод, контроль первичной информации о реальном графе транспортной системы (сеть, маршрутная организация движения или организация движения в узлах) |
NORD | Выполнение упорядочивания информации о сети, подготовленной модулями IVEB + DVEB или модулем INET. Программный модуль NORD всегда выполняется вслед за исполнением IVEB + DVEB или INET |
INDI | Ввод и контроль информации о характеристиках районов и функциях тяготения. Выполняется всегда вслед за NORD |
AIRM | Расчет характеристик условий связи пар районов (затраты времени, расстояния, стоимость и др.), измеренных по "воздушным прямым". Определение трасс путей следования между каждой парой районов по заданной сети (сети-паутине, реальной сети, маршрутной системе) по заданному критерию и определение затрат на преодоление этих путей (матриц затрат). С помощью модуля STRE можно определить трассы путей следования, используя одну из трех возможных характеристик, оценивающих затраты на преодоление каждого участка сети |
SPLI | Определение средневзвешенных затрат времени на передвижения между районами и коэффициентов пользования транспортом (массовым и отдельно индивидуальным) по модели, описанной в пп. 3.12 - 3.20 |
GRAM | Расчет корреспонденций населения по гравитационной модели |
GMDF | То же, что и GRAM, но с возможностью для каждого из расчетных районов отправления применять различную (одну из семи возможных) функцию тяготения F = f(c) |
LOAI | Расчет размеров потоков на участках сети методом распределения корреспонденций по участкам транспортной системы (сеть-паутина, реальная сеть, система маршрутов), составляющим возможные трассы путей следования. Возможно распределение определенных корреспонденций (фрагментов матрицы корреспонденций), связанных (или несвязанных) прибытием или отправлением с определенными районами (например, расчет потоков, транзитных относительно каких-то районов) |
LOIN | То же, что и LOAI, но с прослеживанием движения во временной динамике. Применяется для расчетов потоков во временные интервалы периодов пиковых нагрузок |
TRIN | Определение распределений значений элементов одной матрицы (распределяемой) по интервалам значений элементов другой матрицы (распределяющей), а также расчет средневзвешенных величин значений элементов распределяющей матрицы для ее отдельных строк или столбцов, групп строк или групп столбцов и для всей матрицы в целом. Расчет среднего, среднеквадратичного отклонения и коэффициента вариации величин элементов распределяющей матрицы. TRIN применяется, например, для расчетов средних затрат времени (распределяющая матрица - матрица затрат времени) на корреспонденции (распределяемая матрица - матрица корреспонденций) для каждого района отправления (отдельных столбцов матрицы корреспонденций), района прибытия (строк) или групп районов отправления или прибытия, а также для расчета средних затрат времени на корреспонденции по городу в целом. При этом рассчитывается полигон распределения корреспонденций по задаваемым интервалам (например: число корреспонденций с затратами времени до 5 мин..., до 10 мин..., до 20 мин и т.д.). Число интервалов - до 16. TRIN выполняет также "свертку" распределяемой матрицы в матрицу меньшего размера. Например: свертку матрицы корреспонденций между N районами (N - большое число районов) в матрицу корреспонденций между M укрупненными районами, каждый из которых состоит из группы исходных районов. Число укрупненных районов - до 16. Результаты "свертки" матрицы могут быть использованы для анализа размеров корреспонденций между крупными территориальными образованиями, по их результатам могут быть построены векторные диаграммы корреспонденций |
ARMV | Выполнение арифметических действий с элементами матрицы и элементами вектора-столбца или вектора-строки. Результат ARMV-матрица. Вектором может быть вектор значений любой характеристики районов. При выполнении ARMV возможно масштабирование результата. ARMV может быть использован, например для преобразования матрицы корреспонденций в пиковый период в том случае, если значения вектора-столбца определяют доли посещаемости каждого в отдельности района в пиковый период от суточной посещаемости |
ARMA | Выполнение арифметических действий с одноименными элементами двух соразмерных матриц. Результат ARMA-матрица. При выполнении ARMA возможно масштабирование результата. Модуль ARMA может быть использован, например, для расчета матрицы скорости сообщения, если матрицами, с элементами которых будет выполняться арифметическое действие (в данном случае деление), будут матрица расстояний и матрица затрат времени. ARMA может иметь множество содержательных применений: расчет корреспонденций в поездках, если известны корреспонденции в передвижениях и коэффициенты пользования транспортом; масштабирование матриц; расчеты характеристик условий межрайонных связей как производных от известных условий путем простейших преобразований и др. |
DENS | На основании полученных потоков выполняется расчет поверхностей плотности движения на территориальных единицах, а также структуры плотности движения по направлениям. Территориальными единицами могут быть территории (ограниченные задаваемыми условиями), внутри каждой из которых расположен один узел сети (сети-паутины, реальной сети). При расчете поверхностей плотности движения возможен отбор участков сети по их принадлежности к виду массового транспорта или классу магистралей, например: расчет поверхностной плотности движения от пешеходных потоков, от потоков на сети троллейбуса, автобуса и т.д. |
SLIN | По результатам работы модуля LOIN определяются размеры потоков на участках сети в определенный интервал временного периода. Результат может масштабироваться отдельно для потоков, направляющихся в каждый район. SLIN применяется, например, для определения потоков в течение интересующего проектировщика интервала (в 1-ю, 2-ю и другую десятиминутку) часа пиковой нагрузки на сеть |
TRMA | Транспонирование матриц. Модуль TRMA может быть применен, например, для транспонирования матрицы корреспонденций, т.е. при взаимной замене районов прибытия и районов отправления |
VICL | Преобразование размеров потоков, полученных в результате работы модулей LOAI, LOSU или SLIN в размеры движения, выраженные в экипажах (вагонах, составах) или в приведенных транспортных единицах. Возможно применение VICL для подготовки данных для модуля ITOI, в которых из потоков на всех видах массового транспорта (классах магистралей) выделены только потоки на определенных, интересующих проектировщиков линиях |
LOSU | Определение размеров потоков на участках транспортной системы путем суммирования (вычитания) величин потоков, полученных с помощью модулей LOAI, SLIN или самим LOSU. Модуль LOSU используется для суммирования (вычитания) размеров потоков от выбранных по каким-либо условиям корреспонденций (с помощью модуля MOMA); либо потоков, полученных от распределения по транспортной системе фрагментов матрицы корреспонденций, либо потоков на участках в отдельные интервалы временного периода (результаты SLIN) для получения потоков в полный временной период или в течение группы интервалов и т.д. |
ITOI | Обработка любой информации о размерах потоков (результаты работы любого из модулей: LOAI, LOSU, SLIN, VICL) для подготовки и выдачи их на печать и для расчета и печати характеристик работы транспортной системы |
MOMA | Модификация матриц, заключающаяся в исключении (присвоении значения 0) тех элементов любой матрицы, которые отвечают определенным условиям: являются диагональными (внутрирайонными, i = j), либо в соответствии с величинами значений этих же элементов любой другой матрицы. Модуль MOMA может быть применен, например, для исключения из матрицы корреспонденций тех xij, для которых в матрице удаленности значения больше (меньше, равно) определенному Sij. В результате будет получена новая матрица корреспонденций, дальность которых меньше (больше, не равна) Sij |
ARFU | Преобразование элементов одной матрицы ||aij|| в элементы другой ||bij|| через заданную функциональную зависимость: bij = f(aij) + d. Функциональная зависимость задается в табличной форме, d - константа. Модуль ARFU может быть применен, например, для расчета характеристики условий связи районов c как производной от другой характеристики в том случае, если расчет не может быть выполнен с помощью модуля ARMA |
COMR | Модуль COMR выполняет так же, как и TRIN, "свертку" матрицы в матрицу меньшего размера. Например, матрицу корреспонденций между N районами можно "свернуть" в матрицу между укрупненными M районами (M < N), число укрупненных районов, в отличие от TRIN, допускается до 100 |
STRA | С помощью программного модуля STRA можно выполнить преобразование значений aij любых элементов или группы элементов, составляющих фрагменты матрицы, по формуле bij = caij + d, где c и d - константы |
MIND | Масштабирование исходных характеристик расчетных районов |
FZTO | Программный модуль, выполняющий функции информационной стыковки ППП ФЗГ с ППП ТР. С помощью FZTO определяются характеристики расчетных районов, границы которых задаются. Характеристики формируются в виде, воспринимаемом модулем INDI |
| Пользовательские сервисные модули |
PRIM | Выдача на печать любых матриц, межрайонных связей (характеристик условий связи: удаленности, затрат времени, коэффициентов пользования транспортом, размеров корреспонденций и т.д.) |
PRNT | Выдача на печать полной информации об участках моделируемой транспортной системы (сеть-паутина, сеть, маршрутная организация движения и др.) |
PRTR | Выдача на печать трасс путей следования из каждого района в любой район в виде последовательности узлов сети, через которые пролегает трасса, с указанием величин затрат в каждом из промежуточных узлов. Результаты могут быть использованы для построения изолиний затрат на сообщение для любого из районов |
INFA | Выдача на печать справок о состоянии и содержании информации в рабочих наборах данных, с которыми работает ППП ТР |
COPY | Перекомпоновка информации в рабочих наборах данных |
OPEN | "Открытие" ППП ТР для пользования - подготовка рабочего набора данных, в котором будет собираться информация о частоте использования программных модулей ППП ТР и затратах времени ЭВМ на выполнение расчетов |
SPRA | Выдача на печать данных о частоте использования программных модулей ППП ТР и суммарных затратах времени ЭВМ на выполнение расчетов (справка о статистике пользования ППП ТР) |
PRVO | Выдача на печать текстов отдельных разделов или в целом "Руководства программиста-пользователя", содержащего технические инструкции по работе с ППП ТР |
INVO | Пополнение текста "Руководства программиста-пользователя" текстами новых разделов или любой другой текстовой информацией, полезной для пользователя |
COFL | Копирование текстов "Руководства программиста-пользователя" в целом или с выборкой разделов |
XX, ZZ | Программные модули для генерации версии ППП ТР, решающей задачи определенных размеров. Параметрами задачи, определяющими ее размер, являются: N - число районов; NN - число узлов в сети (NN < 3000); NV - число узлов в сети-паутине (NV < 3000); LN - число участков в сети (LN < 15000); LV - число участков в сети-паутине (LV < 15000) |
3.62. Каждый программный модуль ППП ТР выполняется по заданию определенной формы, в котором указывается ЧТО? (сделать), ГДЕ? (взять необходимую информацию), КАК? (выполнить задачу или операцию, выбрать модификацию исполнения модуля) и КУДА? (направить на сохранение результат работы). Сохранение результатов исполнения модулей производится в четырех рабочих наборах данных на магнитных носителях ЕС-ЭВМ (пакетах магнитных дисков или магнитных лентах). Результаты работы модулей - это внутренняя рабочая информация моделирования объекта. Результаты выполнения одних модулей являются входной информацией для работы других модулей.
3.63. При записи для сохранения в рабочих наборах данных информации, полученной в результате работы программных модулей, она сопровождается записью даты ее создания и имени модуля, результатом которого она является. Эти записи выполняются автоматически без участия пользователя. Пользователь же имеет возможность при записи любой информации в рабочий набор данных дополнительно сопроводить ее именем (слово из 8 любых символов), которое задается в составе задания на исполнение модуля.
Пользователю рекомендуется обязательно именовать все результаты исполнения модулей, так как это позволяет контролировать ход выполнения расчета по печатному протоколу, в котором ППП ТР всегда сообщает данные о входной и выходной информации при исполнении каждого модуля.
Подробное описание принципов сохранения информации в рабочих наборах данных содержится в технической документации на ППП ТР.
3.64. Расчет транспортной системы с помощью ППП ТР выполняется в режиме последовательного решения отдельных составляющих расчет задач, т.е. в режиме последовательного исполнения определенных программных модулей. Для составления такой последовательности пользователю необходимо четко представлять цель расчета, промежуточные и конечные результаты, знать возможности ППП ТР и его программных модулей, уметь расчленять общую задачу на последовательный ряд частных задач и операций.
3.65. Важным и ответственным для пользователя является его представление информационного потока в ходе решения общей задачи, так как знание этого позволяет предостеречь от попыток выполнить невыполнимый процесс или от потерь в ходе выполнения вычислительного процесса необходимой промежуточной информации.
3.66. Особо следует отметить следующую важную особенность сохранения информации, получаемой в результате исполнения программных модулей, в рабочих наборах данных. Как было указано в
п. 3.59, каждый программный модуль выполняется в соответствии с заданием, в котором, в частности, должно быть указано "ГДЕ взять информацию?" и "КУДА направить на сохранение результат?". Обращение к информации, содержащейся в рабочих наборах данных (ГДЕ - при чтении и КУДА - при записи), производится по ее порядковому номеру, что предопределяет следующие условия работы:
назначение порядкового номера, под которым необходимо сохранить результат исполнения программного модуля, должно производиться так, чтобы было гарантировано наличие в рабочем наборе данных информации с порядковым номером, на единицу меньшим. Например, запись в рабочий набор данных информации под порядковым номером 13 может быть произведена только в том случае, если в рабочем наборе данных имеются по крайней мере 12 записей;
запись в рабочий набор данных информации под номером N приводит к утрате всех записей с порядковыми номерами N и более, которые были занесены в набор данных ранее. Например, запись результата под номером 3 ведет к потере информации, записанной под номерами 3, 4 и далее.
В работах начинающих пользователей несоблюдение последнего условия часто приводит к потере информации, которая может потребоваться на последующих шагах вычислительного процесса. Вместе с тем назначение в задании на исполнение программных модулей номеров записи информации в рабочем наборе данных, возрастающих от шага к шагу, приводит к чрезмерному разрастанию размеров наборов данных, что увеличивает время счета на ЭВМ.
Несмотря на это, начинающему пользователю рекомендуется сохранять в рабочих наборах данных всю промежуточную информацию и не стремиться к сокращению длины наборов данных.
3.67. Внутренняя рабочая информация сохраняется в четырех рабочих наборах данных, имеющих номера 5, 66, 7 и 9.
В рабочем наборе данных N 5 сохраняется вся исходная информация о моделируемом объекте (информация о транспортной системе, характеристиках районов, зависимостях) и все матрицы, характеризующие связи между районами. Сюда относятся матрицы условий связи и размеров связи, например, удаленности, затрат времени, скорости, коэффициентов пользования транспортом, стоимости, корреспонденций, модифицированные, транспонированные, служебные и другие матрицы. Запись матриц, характеризующих условия и размеры связей, районов, производится моделями: AIRM, STRE, SPLI, ARMA, ARMV, ARFU, STRA, GMDF, MOMA, GRAM, TRMA. Использование таких матриц может потребоваться при исполнении модулей: SPLI, GRAM, LOAI, LOIN, TRIN, COMR, STRA, ARFU, ARMA, ARMV, TRMA, MOMA.
В рабочем наборе данных N 66 сохраняется информация о трассах путей следования между районами. Эта информация создается модулем STRE и используется модулями LOIN, LOAI, PRTR.
В рабочем наборе данных N 7 сохраняется любая информация, представляющая собой вектор значений. Это могут быть:
данные о размерах потоков, записываемые в набор данных модулями LOAI, LOSU, SLIN, VICL;
разного рода распределения, получаемые с помощью модуля TRIN.
Информация набора N 7 требуется при выполнении модулей ITOI, LOSU, VICL, DENS.
Наконец, в рабочий набор данных N 9 производится запись информаций о потоках, направляющихся в каждый отдельный район, в том случае, если выполняется расчет потоков с прослеживанием их движения по сети во временной динамике. Запись информации производится модулем LOIN, и используется она модулями PLIN и SLIN.
3.68. Как было отмечено ранее, каждый программный модуль ППП ТР выполняется по заданию определенной формы (ЧТО? ГДЕ? КАК? КУДА?). Специальное место в задании отведено для размещения любой текстовой информации-комментария к заданию. В комментарии (длина его 50 - 60 любых символов) пользователь может отразить смысл выполняемого шага вычислительного процесса. Текст этого комментария заносится в печатный протокол исполнения вычислительного процесса, и, как показала практика, очень облегчает контроль хода процесса.
Настоятельно рекомендуется использовать возможность вносить текстовые комментарии в задания.
3.69. Из отдельных программных модулей ППП ТР пользователь может "собрать" последовательность, представляющую вычислительный процесс для получения необходимых для решения проектных задач расчетных данных.
Автономность программных модулей позволяет собирать вычислительные процессы, принимая различные модельные основы и методические положения, например:
моделировать работу транспортной системы, представленной различными уровнями ее абстрагирования (условные сети-паутины, неклассифицированные и классифицированные сети, системы организованных маршрутов массового транспорта, системы организации движения в узлах);
моделировать работу системы городских путей сообщения совокупностью взаимосвязанных и взаимно влияющих друг на друга подсистем: массового, индивидуального транспорта и пешеходных путей, а также моделировать их раздельно;
моделировать корреспонденции между районами или объектами на основе гравитационной модели, но принимая при этом различные функции тяготения, аргументами которых могут быть: дальности передвижений, затраты времени, взвешенные затраты времени, стоимость передвижений и др. Число моделируемых категорий корреспонденций не ограничено;
применять различные модели, определяющие распределение пассажироперевозок между массовым и индивидуальным транспортом, и модели, определяющие способ передвижений - на транспорте, или пешком, - для расчета корреспонденций разных категорий;
моделировать работу системы городских путей сообщения в периоды ее пиковых нагрузок, рассматривая во временной динамике процесс следования потоков от мест их отправления к местам их прибытия.
3.70. Вычислительный процесс может состоять из любого количества этапов (шагов, в которых исполняется программный модуль ППП ТР), выполняемых за один сеанс работы на ЭВМ. Это позволяет решать общую задачу по частям, а также дополнять уже законченный, выполненный вычислительный процесс новым процессом.
3.71. Разделение вычислительного процесса позволяет выделить часть процесса, выполняющую ввод исходных данных, подготовленных пользователем: данных о транспортной системе, характеристиках районов и зависимостей
F(
c),

,

.
Этап начального ввода исходных данных всегда состоит из последовательности исполнения модулей:
INET -> NORD -> INDI
или
(IVEB -> DVEB) -> NORD -> INDI.
Выполняя ввод информации, эти модули производят ее проверку. Входная информация, как правило, имеет значительный объем, и вероятность ошибок в ней (содержательных; формальных ошибок, допущенных при подготовке информации на носителях информации) велика. Модули ввода и проверки исходных данных бракуют ошибочную или сомнительную информацию, печатая протокол проверки данных. Степень "жесткости" контроля вводимой информации пользователь может определить в задании на выполнение модулей. В связи с этим рекомендуется выделять этап ввода информации как отдельный этап работы, выполняемый в отдельный сеанс работы на ЭВМ. Протокол выполнения этого этапа поможет внести исправления во входную информацию, что обеспечит дальнейшее успешное прохождение последующих этапов вычислительного процесса.
ПЛАНИРОВАНИЕ ВЫЧИСЛИТЕЛЬНОГО ПРОЦЕССА
3.72. Пользователь должен четко представлять себе конкретную расчетную задачу, выполняемую с помощью модулей ППП ТР, и расчленить ее на последовательные содержательные шаги, после чего определить программные модули, которые будут выполнять эти шаги. Последовательность шагов, с указанием содержательного смысла каждого очередного шага; имени модуля, выполняющего шаг; требуемой информации (место ее хранения, имя); параметров задания, определяющих модификацию исполняемого модуля (если имеются его модификации); информации, получаемой в результате исполнения модуля (место ее хранения, имя) определяет план вычислительного процесса. План вычислительного процесса необходимо зафиксировать в некоторой форме (см. примеры). Планирование лучше проводить, рассматривая планируемый вычислительный процесс с его конца, т.е. от его конечных результатов. Далее приведены примеры планирования вычислительных процессов разной степени сложности, состоящих из разного количества шагов.
Постановка задачи. Требуется рассчитать размеры пассажирских потоков на участках сети массового транспорта в час "пик", создаваемых поездками населения к местам приложения труда. При этом учесть, что тяготение населения к местам приложения труда градообразующей и обслуживающей групп различно, т.е. относительные оценки затрат на трудовые передвижения трудящихся градообразующей и обслуживающей групп, выражаемые зависимостями
F(
c), различны. Аргументами функций тяготения решено принять
TВЗВ, определяемое так, как указано в
пп. 3.13 и
3.73.
Для решения задачи имеется следующая исходная информация:
информация о реальной, проектной транспортной сети города, на участках которой необходимо определить пассажиропотоки;
характеристики расчетных районов: внутрирайонные дальности передвижений (
Sii), затраты времени на внутрирайонные передвижения (
tii), число мест приложения труда градообразующей группы

, число мест приложения труда обслуживающей группы

, число жителей в районах (
Nj). Дана для каждого расчетного района величина, определяющая долю рабочих мест градообразующей группы, занимаемых прибывающими на работу в час "пик"

. Предполагается, что в рассматриваемый час пик занимается П% всех рабочих мест обслуживающей группы каждого района;
функции тяготения населения к местам приложения труда градообразующей группы
FГР и обслуживающей группы
FОБ, зависимости

и

.
Заданы подвижность населения города с трудовыми целями к местам градообразующей группы PГР и к местам обслуживающей группы PОБ в передвижениях на 1 жителя в год. Задана численность населения города (NГ). На основании PГР, PОБ и NГ определены общие объемы передвижений в средние рабочие сутки года:
к местам градообразующей группы QГР = (PГР·NГ)/n;
к местам градообразующей группы QОБ = (PОБ·NГ)/n,
где n - число рабочих дней в году.
Очевидно, что искомые потоки в час "пик" могут быть получены путем распределения по участкам транспортной сети корреспонденций, выраженных в поездках на массовом транспорте в час "пик" от двух категорий передвижений - трудовых градообразующих и трудовых обслуживающих - и их суммирования. Этот заключительный шаг моделирования может быть выполнен модулем LOAI, на вход которого должны быть поданы матрица корреспонденций (назовем ее RСУМП) и информация о путях следования из районов в районы на средствах массового транспорта (назовем ее ПУТИМАСС). Информацию ПУТИМАСС можно получить исполнением модуля STRE. Матрица RСУМП должна быть получена путем умножения элементов матрицы суммарных корреспонденций двух категорий передвижений в час "пик" (назовем ее PСУМП) на элементы матрицы коэффициентов пользования массовым транспортом (назовем ее КПТМАСС). Это действие можно выполнить модулем ARMA.
Матрица PСУМП должна быть получена суммированием элементов двух матриц - матрицы корреспонденций в час "пик" градообразующих кадров (PГРП) и обслуживающих кадров (PОБП). Это действие может быть выполнено модулем ARMA.
Расчет матрицы корреспонденций в час "пик" градообразующих кадров (
PГРП) можно выполнить умножением элементов каждой строки матрицы трудовых корреспонденций градообразующей группы в рабочие сутки (
PГРС) на соответствующий элемент вектора-столбца, который определяет долю градообразующих кадров каждого района в отдельности, начинающих работу в час "пик"

. Таким образом,
PГРС может быть получена как результат действия модуля
ARMV, на вход которого поданы матрица корреспонденций градообразующей группы к местам труда в рабочие сутки (
PГРС) и вектор-столбец

. Расчет корреспонденций обслуживающих кадров в час "пик" (
PОБП) может быть выполнен (см. постановку задачи) масштабированием матрицы корреспонденций трудящихся обслуживающей группы в рабочие сутки (назовем ее
PОБС) с помощью масштабного множителя
M = 0,01П. Это действие можно сделать с помощью модуля
ARMA:

Величину суточных корреспонденций трудящихся градообразующей группы (PГРС) и обслуживающей группы (PОБС), выраженных в передвижениях населения можно определить, если известны размеры тяготения (XГРС и XОБС), выраженные в местах приложения труда, и общие объемы передвижений, соответственно QГР и QОБ, путем масштабирования XГРС и XОБС. Это можно выполнить с помощью модуля ARMA:
Расчет матриц суточных корреспонденций трудящихся градообразующей группы (
PГРС) и обслуживающей группы (
PОБС) к местам приложения труда можно выполнить двумя последовательными исполнениями модуля
GRAM, на вход которого подаются соответствующие характеристики районов и функции тяготения (для градообразующей группы

,
Nj,
FГР, для обслуживающей

,
Nj,
FОБ) и матрица затрат времени на сообщение между районами (назовем ее
TВЗВ).
Матрицу
TВЗВ можно получить исполнением модуля
SPLI, на вход которого поданы зависимости

и

и три матрицы условий связи между районами: матрица расстояний между районами (назовем ее
S), матрица затрат времени на сообщение между районами на средствах массового транспорта (назовем ее
TМАС) и матрица затрат на сообщение между районами на индивидуальных автомобилях (назовем ее
TАВТ).
Матрицы S, TМАС, TАВТ могут быть получены в результате трех последовательных исполнений модуля STRE, на вход которого подается: информация транспортной системы (введенная в рабочий набор данных при исполнении модуля INET и преобразованная модулем NORD) и информация о характеристиках расчетных районов, введенная модулем INDI и содержащая данные о дальностях Sii и затратах времени tii на внутрирайонные передвижения.
Таким образом, прослежен ход выполнения всего вычислительного процесса от его результатов к началу. Естественно, что заключительной частью всего вычислительного процесса должно быть исполнение модуля ITOI, с помощью которого на печать будут выданы результаты работы модуля LOAI - величины потоков на участках транспортной системы. План этого вычислительного процесса представлен в табл. 11.
Таблица 11
Номер, содержание шага вычислительного процесса | Имя используемого программного модуля | Входящая информация (чтение из рабочих наборов данных) | Выходная информация (запись в рабочие наборы данных) |
наборы данных | наборы данных |
5 | 66 | 7 | 5 | 66 | 7 |
| Подготовительный этап ввода информации об объекте | | | | | | | |
1. | Ввод информации о транспортной системе | INET | Нет | Нет | Нет | Первичная информация о сети | Нет | Нет |
2. | Дополнительная обработка информации о транспортной системе | NORD | Первичная информация о сети | Нет | Нет | Рабочая информация о сети | Нет | Нет |
3. | Ввод информации о характеристиках расчетных районов и о функциях тяготения | INDI | Нет | Нет | Нет |  ,  , Nj, FТР, FОБ, Sii, tii,  | Нет | Нет |
| Расчетные шаги | | | | | | | |
4. | Формирование матрицы удаленности районов (Sij) | STRE | Рабочая информация о сети, Sii | Нет | Нет | М1:S | Нет | Нет |
5. | Поиск путей следования из района в район на средствах массового транспорта и формирование матрицы затрат и времени на сообщение на массовом транспорте | STRE | Рабочая информация о сети, tii | Нет | Нет | М2:TМАС | Пути МАСС | Нет |
6. | Формирование матрицы затрат на сообщение между районами на индивидуальных автомобилях | STRE | Рабочая информация о сети, tii | Нет | Нет | М3:TАВТ | Нет | Нет |
7. | Расчет взвешенных затрат времени и коэффициентов пользования массовым и отдельно индивидуальным транспортом (зависимости  и  подаются извне) | SPLI | М1:S М2:TМАС М3:TАВТ | Нет | Нет | М4:TВЗВ М5:КПТАВТ М6:КПТМАС | Нет | Нет |
| Расчет суточных корреспонденций к местам приложения труда градообразующей группы, выраженных в количествах рабочих мест | GRAM |  , Nj, FТРМ4:TВЗВ | Нет | Нет | М7:XГРС | Нет | Нет |
9. | То же, что в п. 8, для обслуживающей группы | GRAM |  , Nj, FОБМ4:TВЗВ | Нет | Нет | М8:XОБС | Нет | Нет |
| Масштабирование XГРС для определения величины корреспонденций градообразующих кадров к местам приложения труда PГРС = (PГРС + PГРС)·QГР/2 | ARMA | М7:XГРС | Нет | Нет | М9:PГРС | Нет | Нет |
11. | То же, что в п. 10, для обслуживающей группы | ARMA | М8:XОБС | Нет | Нет | М10:PОБС | Нет | Нет |
12. | Расчет корреспонденций в передвижениях к местам приложения труда обслуживающей группы в час "пик" PОБП = (PОБС + PОБС)·0,01П/2 | ARMA | М10:PОБС | Нет | Нет | М11:PОБП | Нет | Нет |
13. | Расчет корреспонденций в передвижениях к местам приложения труда градообразующей группы в час "пик" | ARMV | М9: PГРС,  | Нет | Нет | М12:PГРП | Нет | Нет |
14. | Суммирование корреспонденций в передвижениях к местам приложения труда (градообразующей и обслуживающей групп) в час "пик" PСУМП = PОБП + PГРП | ARMA | М11:PОБП М12:PГРП | Нет | Нет | М13:PСУМП | Нет | Нет |
15. | Расчет корреспонденций в поездках на массовом транспорте к местам приложения труда в час "пик" RСУМП = PСУМП·KПТМАС | ARMA | М13:PСУМП М6:KПТМАСС | Нет | Нет | М14:RСУМП | Нет | Нет |
16. | Расчет пассажиропотоков на сети массового транспорта в час "пик" | LOAI | Рабочая информация о сети М14:RСУМП | ПУТИМАСС | Нет | Нет | Нет | ПОТОКМАСС |
17. | Выдача на печать результата расчета пассажиропотоков на сети массового транспорта в час "пик" | ITOI | Рабочая информация о сети | Нет | ПОТОКМАСС | Нет | Нет | Нет |
Как продолжение расчета, выполненного в
примере N 1, требуется рассчитать:
а) средние затраты времени на трудовые передвижения в сутки трудящихся градообразующей группы;
б) средние затраты времени и средние дальности трудовых поездок на средствах массового транспорта в час "пик";
в) средние дальности пешеходных трудовых передвижений к местам приложения труда градообразующей группы в час "пик";
г) средний коэффициент непрямолинейности трудовых поездок градообразующей и обслуживающей групп на массовом транспорте в час "пик";
д) среднюю скорость сообщения для трудовых поездок на массовом транспорте в час "пик".
Требуемые результаты можно получить с помощью программного модуля TRIN, подавая на его вход соответствующие матрицы: распределяемые (матрицы корреспонденций) и распределяющие (это матрицы затрат времени, удаленности районов, коэффициентов непрямолинейности, скорости сообщения на массовом транспорте).
Рассмотрим каждую задачу в отдельности на предмет обеспеченности ее исходной информацией.
Расчет 2а требует подать на вход TRIN распределяемую матрицу суточных корреспонденций трудящихся градообразующей группы (такая матрица имеется - М9:PГРС) и распределяющую матрицу затрат времени (матрица имеется - М4:TВЗВ). Для этой задачи имеется вся необходимая рабочая информация.
Расчет 2б также может быть решен с помощью модуля TRIN, если на его вход подать матрицы М14:RСУМП, М4:TВЗВ и М14:PСУМП, М1:S.
Расчет 2в требует распределяющую матрицу М1:S и распределяемую матрицу пешеходных трудовых корреспонденций (назовем ее RГРПЕШП). Матрицу RГРПЕШП можно получить следующими различными способами.
Способ 1: рассчитать матрицу корреспонденций градообразующей группы на массовом транспорте в час "пик"
RГРМП = PГРП·КПТМАСС;
рассчитать матрицу корреспонденций градообразующей группы на индивидуальном транспорте в час "пик"
RГРАП = PГРП·КПТАВТ;
рассчитать матрицу трудовых поездок (на массовом и индивидуальном транспорте в сумме) градообразующей группы в час "пик"
RГРМАП = RГРМП + RГРАП;
рассчитать матрицу трудовых пешеходных корреспонденций градообразующей группы в час "пик"
RГРПЕШ = PГРП - RГРМАП.
Способ 2: рассчитать матрицу коэффициентов пользования транспортом (в сумме массовым и индивидуальным):
КПТ = КПТАВТ + КПТМАСС;
сформировать служебную матрицу (назовем ее ЕД) все элементы которой равны единице. Это можно сделать делением элементов любой матрицы на элементы этой же матрицы. В качестве любой матрицы лучше всего взять матрицу удаленностей S, поскольку все элементы ее отличны от нуля:
ЕД = S/S;
рассчитать матрицу коэффициентов пешеходного движения (назовем ее КПЕШ) путем вычитания из матрицы ЕД матрицы КПТ:
КПЕШ = ЕД - КПТ;
рассчитать матрицу трудовых пешеходных корреспонденций градообразующей группы в час "пик":
RГРПЕШП = PГРП·КПЕШ.
Способ 3: сформировать матрицу КПТ:
КПТ = КПТАВТ + КПТМАСС;
сформировать матрицу трудовых поездок:
RГРАМП = PГРП·КПТ;
рассчитать матрицу RГРПЕШП:
RГРПЕШП = PГРП - RГРАМП.
Расчет 2г требует на вход в TRIN подать распределяемую матрицу трудовых поездок градообразующей и обслуживающей группы на массовом транспорте в час "пик" (такая матрица имеется - М14:RСУМП) и распределяемую матрицу коэффициентов непрямолинейности сообщения между районами (назовем ее НЕПР). Матрицу НЕПР можно получить делением элементов матрицы удаленностей районов (М1:S) на элементы матрицы удаленностей измененных по воздушным прямым (назовем ее SВОЗ). Формирование SВОЗ можно выполнить с помощью модуля AIRM.
Расчет 2д требует распределяемую матрицу RСУМП и распределяющую матрицу скоростей сообщения на массовом транспорте (назовем ее UМАСС), которую можно получить следующим образом:
UМАСС = (S/TМАСС) 60 (км/ч).
Проведенный анализ всех задач
примера N 2 позволяет сделать вывод о том, что целесообразно выполнить сначала подготовку всех необходимых матриц, после чего произвести серию расчетов с помощью модуля
TRIN.
План вычислительного процесса продолжающего план для
примера N 1, представлен в табл. 12.
Таблица 12
Номер, содержание шага вычислительного процесса | Имя используемого программного модуля | Входящая информация (чтение из рабочих наборов данных) | Выходная информация (запись в рабочие наборы данных) |
наборы данных | наборы данных |
5 | 66 | 7 | 5 | 66 | 7 |
18. | Расчет матрицы удаленности районов, измеренной по воздушным прямым | AIRM | Рабочая информация о сети, Sii | Нет | Нет | М15:SВОЗ | Нет | Нет |
19. | Расчет матрицы коэффициентов непрямолинейности сообщения между районами НЕПР = S/SВОЗ | ARMA | М1:S М15:SВОЗ | Нет | Нет | М15: НЕПР | Нет | Нет |
| Формирование матрицы коэффициентов пользования транспортом (массовым и индивидуальным в сумме) КПТ = КПТАВТ + КПТМАСС | ARMA | М5:КПТАВТ М6:КПТМАСС | Нет | Нет | М16:КПТ | Нет | Нет |
21. | Формирование служебной матрицы ЕД: ЕД = S/S | ARMA | М1:S М1:S | Нет | Нет | М17:ЕД | Нет | Нет |
22. | Формирование матрицы коэффициентов пешеходного движения: КПЕШ = ЕД - КПТ | ARMA | М17:ЕД М16:КПТ | Нет | Нет | М16:КПЕШ | Нет | Нет |
23. | Расчет матрицы трудовых пешеходных корреспонденций градообразующей группы в час "пик" RГРПЕШП = PГРП·КПЕШ | ARMA | М12:PГРП М16:КПЕШ | Нет | Нет | М16:RГРПЕШП | Нет | Нет |
24. | Расчет матрицы скоростей поездок на массовом транспорте между районами UМАСС = (S/TМАСС)·60 | ARMA | М1:S М3:TМАСС | Нет | Нет | М17:UМАСС | Нет | Нет |
25. | Расчет 2а | TRIN | М4:TВЗВ М9:PГРС | Нет | Нет | Нет | Нет | Нет |
26. | Расчет 2б (1-я часть) | TRIN | М3:TМАСС М14:RСУМП | Нет | Нет | Нет | Нет | Нет |
27. | Расчет 2б (2-я часть) | TRIN | М1:S М14:RСУМП | Нет | Нет | Нет | Нет | Нет |
28. | Расчет 2в | TRIN | М1:S М16:RГРПЕШП | Нет | Нет | Нет | Нет | Нет |
29. | Расчет 2г | TRIN | М15:НЕПР М14:RСУМП | Нет | Нет | Нет | Нет | Нет |
30. | Расчет 2д | TRIN | М17:UМАСС М14:RСУМП | Нет | Нет | Нет | Нет | Нет |
В целях сокращения объема рабочего набора данных N 5 запись информации производится плотно с уничтожением промежуточных матриц.
РАСЧЕТНЫЕ РЕЗУЛЬТАТЫ, ПОЛУЧАЕМЫЕ С ПОМОЩЬЮ ПРОГРАММНЫХ МОДУЛЕЙ ППП ТР
3.73. Практически все программные модули ППП ТР выдают на печать те или иные результаты, которые могут быть использованы в проектировании как расчетные обоснования проектных решений.
3.74. Модуль PRTR выдает на печать трассы кратчайших (по заданной характеристике: длине, времени преодоления, стоимости и т.д.) путей следования в один район из всех других. Трассы кратчайших путей печатаются как последовательность узлов транспортной сети, через которые пути пролегают. При этом для каждого промежуточного узла трассы печатается величина затрат от того района, в который ведет трасса. Эти данные следует использовать для построения на плане города изолиний абсолютных затрат на доступность до расчетного района (плана километрических зон доступности, плана изохрон, плана из линий стоимостных затрат и др.).
3.75. Модуль GRAM, выполняющий расчет корреспонденций между районами по гравитационной модели, печатает для каждого расчетного района так называемые коэффициенты корректировки kj. Коэффициенты корректировки kj следует использовать как меру относительной комплексной оценки (планировочной организации территории и транспортного обслуживания) районов отправления по степени "удобства" корреспонденций к объектам тяготения. Районы, для которых kj равны 1, суть районы среднего "удобства", при kj больше 1 - районы "неудобные", при kj меньше 1 - районы удобные.
По данным рассчитанных
kj, территорию города можно дифференцировать по разной степени "удобную" и "неудобную" (
рис. 10,
11).
Рис. 10. Относительная оценка территории проживания
населения по степени удобства корреспонденций с местами
приложения труда
Рис. 11. Относительная оценка территории проживания
населения по степени удобства корреспонденций с объектами
культурно-бытового обслуживания
3.76. Модуль TRIN производит распределение значений элементов одной матрицы (распределяемой) по группам, которые определяются согласно значениям одной матрицы (распределяющей). Модуль TRIN может выполнять различные по смыслу распределения, что зависит от того, какие матрицы подаются на его вход. Например, если на вход TRIN подана как распределяемая матрица корреспонденции между районами, а распределяющая - матрица удаленностей районов друг от друга, то в результате исполнения TRIN будет получено распределение корреспонденций по группам, каждая из которых будет содержать суммы всех корреспонденций с дальностью в определенных интервалах (сколько корреспонденций в абсолютном и относительном выражении осуществляется с дальностью до l1 км, до l2 км ... до ln км). Интервалы включаются в задание на исполнение TRIN. Если же распределяющей матрицей будет матрица затрат времени, то будет получено распределение корреспонденций по интервалам затрат времени. Форма печати распределений представлена на рис. 12.

Рис. 12. Распределение по интервалам для города в целом
(трудовые передвижения)
Такие распределения позволяют получить долю от всех корреспонденций, осуществляемую с затратами времени более некоторой критической величины (например, долю трудовых передвижений с затратами времени более 30, 40, 50 мин. и т.д.), с дальностью более некоторой величины и др.
Весьма важными, используемыми для оценки проектного решения являются получаемые с помощью модуля TRIN средневзвешенные значения показателей распределяющей матрицы (например, средние затраты времени, средние дальности, средние коэффициенты непрямолинейности корреспонденций), вычисляемые как:

(60)
где xij и Rij - соответственно значения элементов распределяемой и распределяющей матриц.
Модуль TRIN вычисляет и выдает на печать также величину стандартного отклонения распределения:
| | ИС МЕГАНОРМ: примечание. Формула дана в соответствии с официальным текстом документа. | |

(61)
и отношение

к величине среднего, называемое коэффициентом вариации:

(62)
Значения

и
v характеризуют степень гармоничности планировочной структуры и однородности транспортного обслуживания.
Кроме указанных показателей с помощью модуля TRIN можно получить данные о средних значениях распределяющей матрицы для каждого расчетного района отправления:

(63)
и района прибытия:

(64)
Пользуясь этими данными, на плане города можно построить изолинии значений показателя распределяющей матрицы (например, план изолиний средних дальностей передвижений или поездок, план изолиний средних затрат времени и др.), что также позволяет оценить территорию города по степени качества транспортного обслуживания (
рис. 13 -
15).
Рис. 13. Изолинии средних затрат времени населения
на сообщение с местами приложения труда
Рис. 14. Изолинии средних затрат времени населения
на сообщение с объектами культурно-бытового обслуживания
Рис. 15. Распределение трудовых передвижений населения
по интервалам затрат времени
С помощью модуля TRIN можно преобразовать распределяемую матрицу размера n x n в матрицу меньшего размера k x k, т.е. выполнить "свертку" матрицы. Если распределяемой матрицей является матрица корреспонденций между расчетными районами, то в результате такой "свертки" будет получена матрица корреспонденций между укрупненными районами или крупными зонами города.
По данным таких "свернутых" матриц можно построить векторные диаграммы тяготения
(рис. 16), графически выявляющие основные направления корреспонденций и их мощности. Модуль
TRIN позволяет получить "свернутую" матрицу размером до 16 x 16, однако, в случае необходимости, аналогичную свертку можно выполнить с помощью модуля
COMR. Предельный максимальный размер "свернутой" матрицы, получаемый с помощью модуля
COMR - 100 x 100.
Рис. 16. Векторные диаграммы тяготения
3.77. Модуль PRIM используется для выдачи на печать информации любой матрицы. Использование PRIM в процессе расчета позволяет заранее, до исполнения таких модулей, как LOAI, LOIN и ITOI, требующих больших затрат времени на счет, предварительно оценить результаты моделирования. Полезно, например, для расчета потоков получить информацию о полном объеме пассажироперевозок (на массовом или индивидуальном транспорте), для того, чтобы оценить результат моделирования и при необходимости внести коррективы в исходные данные. Объем пассажироперевозок можно получить, выдав с помощью модуля по интервалам затрат PRIM на печать сумму элементов соответствующей матрицы корреспонденций.
3.78. Модуль
ITOI выдает на печать данные о величине потоков на каждом участке транспортной системы. Это могут быть данные о загрузке системы в сутки без разделения потоков по направлениям движения, либо о загрузке в пиковые периоды с разделением потоков по направлениям. Такие результаты обычно оформляются графически в виде чертежей картограмм потоков
(рис. 17), что позволяет визуально выполнить количественный анализ и оценку загрузки транспортной системы.
Рис. 17. Картограммы рассчитанных с помощью ППП ТР
пассажирских потоков
В зависимости от уровня представления информации о транспортной системе (неклассифицированная или классифицированная сеть, система маршрутов или сеть с детальным представлением организации движения в узлах) по данным печати, выполненной модулем ITOI, строятся соответствующие картограммы потоков, например картограммы потоков в узлах, картограммы потоков на маршрутах массового транспорта и др.
Модуль ITOI выполняет расчет и печать показателей, характеризующих работу транспортной системы и отдельных ее составляющих: отдельных видов массового транспорта или их маршрутов, отдельных классов автомагистралей или групп участков сети и т.д.
Участки, принадлежащие к составляющей транспортной системы помечаются пользователем при подготовке информации о сети специальными шифрами. Перечень показателей для каждой составляющей включает следующие: суммарную длину (км), суммарные затраты времени (мин), работу (пасскм, пассмин), величины максимального и минимального потока, число перевезенных пассажиров, количество посадок и количество пересадок на вид (маршрут) транспорта, средние дальности, затраты времени и скорость поездки. Печатаются также значения работы и числа перевезенных пассажиров, приходящиеся на один перегон (участок сети) и на один линейный километр сети.
3.79. Модуль MOMA не производит печати каких-либо результатов. Однако, его использование очень полезно, так как с помощью модуля MOMA можно выполнить преобразование (модификацию) любой матрицы. Например, можно в матрице корреспонденций выделить те элементы (корреспонденции между районами), которые удовлетворяют определенным условиям.
Матрицы, полученные с помощью модуля MOMA, могут быть затем поданы на входы таких модулей, как LOAI, LOIN, TRIN и др. Полезным, например, может быть определение средних затрат времени (дальности) для межрайонных корреспонденций (с исключением диагональных элементов матрицы корреспонденции, которые отражают внутрирайонные связи). Для этого на вход в модуль TRIN должна быть подана распределяемая матрица корреспонденций, полученная с помощью модуля MOMA.
Рекомендуется рассчитывать потоки на транспортной системе, образованные корреспонденциями, выделенными по определенным условиям, например, корреспонденции с определенной дальностью (дальние, короткие), так как это позволяет проанализировать структуру потоков.
Расчет потоков, образованных корреспонденциями, выделенными по определенным условиям, можно выполнить, если на вход программных модулей LOAI или LOIN подать матрицу корреспонденций, соответствующим образом преобразованную с помощью модуля MOMA.
3.80. Модуль LOAI также не выдает на печать результаты расчета. Однако умелое его использование позволяет выявить структуру потоков по их принадлежности (по прибытию, отправлению) к определенным районам или группам районов. Для этого предусмотрена возможность с помощью модуля LOAI рассчитывать потоки на транспортной системе, образованные корреспонденциями, отправляющимися или (и) прибывающими в определенные расчетные районы. Для этого в задании на исполнение модуля LOAI необходимо указать, какие элементы матрицы корреспонденций или элементы какого ее фрагмента необходимо отнести к участкам сети. Пользуясь этим, можно получить размеры потоков транзитные относительно каких-либо районов или наоборот - потоки, образованные корреспонденциями, отправляющимися или прибывающими в определенные районы или группы районов.
3.81. Модуль DENS рассчитывает и выдает на печать значения поверхностной плотности движения в территориальных единицах, центрами которых являются узлы графа транспортной сети.
Поверхностная плотность движения характеризует территорию напряженностью движения и является показателем пространственного распределения движения.
Поверхностная плотность рассчитывается модулем DENS как работа (измеренная в пасскм, пассмин, экипажкм, экипажмин и др. ед.) транспорта или пешеходного движения, приходящаяся на единицу площади территории:

(65)
где P(m, n) - величина потока на участке, исходящем из узла графа транспортной сети, размещенного в центре исследуемой n-й территориальной единицы;
c(m, n) - затраты на преодоление участка (m, n) транспортной сети;
k - число участков, исходящих из узла n.
Модуль DENS обрабатывает информацию о размерах потоков, полученных с помощью модулей LOAI, SLIN, LOSU или VICL.
Рассчитывая Wn, программный модуль DENS выполняет также расчленение Wn на четыре ее составляющие по направленности:
 : | 337°30' - 22°30' | и | 157°30' - 202°30'; |
 : | 22°30' - 67°30' | и | 202°30' - 247°30'; |
 : | 67°30' - 112°30' | и | 247°30' - 292°30'; |
 : | 112°30' - 157°30' | и | 292°30' - 337°30'. |
Результаты работы модуля DENS выдаются на печать в табличной форме и в условном графическом представлении в виде планограмм, отпечатанных символами разной плотности, что позволяет оценить территорию величиной плотности движения в зависимости от направленности этого движения.
1.
Яковлев Л.А. Программное обеспечение технического расчета систем городских путей сообщения, представленной в сетевой форме (ЭВМ "Минск-22"), вып. 1. - М.: Стройиздат, 1976.
2.
Яковлев Л.А. Пакет прикладных программ для проектирования систем городских путей сообщения в сб.: "Автоматизация процессов градостроительного проектирования", ЦНИИП градостроительства, 1983.
3. Справочник проектировщика. Градостроительство. - М.: Стройиздат, 1978.
4.
Яковлев Л.А. Метод вычислений расстояний между пунктами с учетом обхода препятствий, в сб.: "Организация, методы и технология проектирования", вып. 3. - М.: ЦНТИ Госстроя СССР, 1976.
5.
Рекомендации по разработке комплексных транспортных схем для крупных городов. - М.: Стройиздат, 1984.
4. ПАКЕТ ПРИКЛАДНЫХ ПРОГРАММ ДЛЯ РАСЧЕТА И СУБОПТИМИЗАЦИИ РАЗМЕЩЕНИЯ ОБЪЕКТОВ ОБСЛУЖИВАНИЯ НАСЕЛЕНИЯ (ППП КБО)
КОНЦЕПЦИЯ СИСТЕМЫ ОБСЛУЖИВАНИЯ И ОБЪЕКТНАЯ ОБЛАСТЬ ПРИМЕНЕНИЯ ПАКЕТА
4.1. В обществе с разделением труда обеспечение жизнедеятельности человека не может быть достигнуто его индивидуальным трудом. Наоборот, отдавая обществу свой труд, индивидуум получает от общества обеспечение своей жизнедеятельности как результат труда других, вообще говоря, индивидуумов.
Обеспечение жизнедеятельности индивидуума производится в двух формах. Часть потребностей, составляющих его жизнеобеспечение, удовлетворяется государственными (общегосударственными или местными) органами независимо от индивидуального запроса на удовлетворение, "автоматически", анонимно. Сюда можно отнести, например, защиту от внешнего посягательства (осуществляется государством через посредство армии), благоустройство территории (осуществляется местными органами государственной власти) и т.п. Другая часть потребителей удовлетворяется по индивидуальному запросу индивидуума, и государство (или частные лица) создает и поддерживает институты, способные этот запрос удовлетворить.
Такое разделение двух форм обеспечения жизнедеятельности никоим образом не противопоставляет интересы государства (общества) и интересы индивидуума. Те аспекты жизнедеятельности, которые обеспечиваются путем удовлетворения индивидуальных запросов, столь же необходимы обществу, сколь и индивидууму. Однако это различие в форме удобно с точки зрения структуризации деятельности и отраслей городского хозяйства.
Таким образом, жизнеобеспечение индивидуума представляется как совокупность потребностей, и выделяются те из них, удовлетворение которых контролируется самим индивидуумом путем обращения к соответствующему институту. Удовлетворение заявки рассматривается как обслуживание. Совокупность институтов, деятельность которых непосредственно связана с обеспечением индивидуальных потребностей населения по его заявкам, составляет систему обслуживания населения.
4.2. С теоретической точки зрения систему обслуживания населения удобно структурировать по функциональному принципу, понимая под функцией обслуживания механизм, удовлетворяющий определенную потребность. В действительности, как и в проектной практике, система имеет объектную структуру: функции обслуживания реализуются через посредство отдельных предприятий и учреждений (объектов), различных не только по функциональному назначению, но и по роли, которую они играют в процессе оказания услуги.
4.3. Этот последний аспект иллюстрируется схемой оказания услуги, представленной на рис. 18.
Рис. 18. Схема оказания услуги
Коль скоро система обслуживания населения предполагает обслуживание населения по его заявкам, реализующий услугу институт неизбежно вступает в контакт с населением, так что институт обслуживания должен иметь соответствующий орган. Оказание услуги требует также некоторой материальной базы и управления самой деятельностью института. Орган контакта с населением назван "пунктом оказания услуги": обычно услуга оказывается по месту обращения заявителя (магазин, парикмахерская, театр - точнее его зрительный зал); если же данный орган лишь принимает заявку на услугу и организует ее выполнение, а физически услуги выполняются другим объектом (например, производственной базой), то с точки зрения заявителя ее все равно оказывает как бы приемный пункт, отвечающий за выполнение заявки. Материальная (производственно-складская) база и орган управления, показанные на рисунке, могут иметь свою иерархическую структуру: их низшая ступень, возможно, территориально совмещена с пунктом оказания услуги (склад магазина и репетиционные помещения театра, дирекция магазина и дирекция театра), другие выделены в самостоятельные учреждения (предприятия), практически не контактирующие с населением (овощная база, управление культуры горисполкома).
4.4. В компетенцию ППП КБО на данном уровне его разработанности входят только пункты оказания услуги и, по необходимости, чтобы сохранить цельность объекта, совмещенные с ними производственно-складские базы и органы управления.
Градостроительный смысл такого выделения состоит в том, что при проектировании этой части системы обслуживания необходимо существенно учитывать наличие контакта с населением и поведение последнего по отношению к объектам обслуживания. Прочие объекты контактируют с населением только как места приложения труда и с этой точки зрения не являются специфичными как объекты системы обслуживания.
4.5. Дальнейшее ограничение компетенции пакета исходит из способа осуществления контакта населения с объектами обслуживания. Выделяются те категории объектов, для которых этот контакт осуществляется как посещение объекта с целью получения услуги. Сюда относятся магазины, предприятия общественного питания, приемные пункты бытового обслуживания, культурно-зрелищные предприятия (театры, кинотеатры, концертные залы), учебные заведения, поликлиники и т.п. Поведение населения по отношению к этим объектам может рассматриваться как фактор, определяющий их функционирование и в значительной степени диктующий их характеристики и требования к размещению. Однако и внутри этой категории есть определенные различия.
4.6. Прежде всего эти различия касаются регулярности и длительности посещений. Можно различить три преобладающих вида посещений:
1) регулярное (каждодневное) обязательное посещение объекта в течение достаточно длительного времени, если этот объект один раз выбран (учебное заведение);
2) пребывание в объекте в течение достаточно длительного времени в процессе получения услуги (дом отдыха, больница);
3) посещение объекта с целью получения услуги, не являющееся формально регулярным, а происходящее спорадически, по мере возникновения конкретной потребности в данном виде обслуживания (магазин, кинотеатр, поликлиника и т.д.).
Первый вид посещений сближает объекты обслуживания с объектами приложения труда (с учетом специфики общеобразовательных школ, посещаемых детьми), и в область применения описываемого пакета такого рода объекты не включаются.
Второй вид посещений относится к специфическим объектам, не создающим массовых потоков посетителей. Размещение этих объектов обычно требует специфических природно-климатических (дома отдыха) или санитарно-гигиенических условий (больницы). Эти объекты также не включаются в сферу действия данного пакета программ <*>.
--------------------------------
<*> Вместе с тем места кратковременного отдыха, доступные всему населению, (зоны отдыха) могут проектироваться с помощью данного пакета, используемого для расчета потоков посетителей.
Остаются объекты нерегулярного кратковременного посещения, причем основная масса этих объектов посещается населением часто и формирует значительные потоки посетителей, в большой степени определяющие специфику их размещения. Однако для окончательного определения разумной области применения ППП необходимо учесть еще одно различие между объектами такого рода.
4.7. По способу организации обслуживания объекты обслуживания можно разделить на три группы:
объекты с не заданным ареалом и контингентом пользователей;
объекты с заданным ареалом;
объекты с заданным контингентом пользователей.
В первую группу включаются объекты, доступные всему населению (магазины, кинотеатры и т.п.). Специфическими объектами этой группы являются уникальные, т.е. представленные в единственном числе объекты (театры) - они близки по характеру функционирования к объектам с заданным ареалом, только этим ареалом является весь город и даже город с тяготеющим к нему населением системы расселения, в которую этот город входит.
Во вторую группу входят объекты, для которых ареал задается административно, так что население не вправе выбирать объекты для посещения (хотя вправе регулировать частоту посещения объекта - поликлиники за исключением хозрасчетных, ДЭЗы и т.п.).
В третью группу включаются объекты обслуживания, имеющие ведомственное подчинение и доступные только определенной категории населения (независимо или в зависимости от места его проживания).
Наиболее эффективным и потому рекомендуемым является применение ППП для проектирования сети объектов первой группы (не включая сюда уникальные объекты). Именно по отношению к объектам этой группы ставится задача, которую решает данный пакет: определение объема посещений объектов обслуживания с учетом их размещения по отношению к источникам посетителей и друг к другу и определение оптимальной мощности объектов.
4.8. Возвращаясь к общему понятию об объектах обслуживания, сформулированному в добавление к
пп. 4.1 -
4.3, следует сделать два замечания:
1. Такие объекты транспортного обслуживания, как остановки общественного транспорта, целиком подпадают под определение пункта оказания услуги. Однако традиционно и в силу отраслевой специфики их размещение относится к транспортному разделу проекта, и в состав объектов обслуживания они не включаются.
2. Существует достаточно обширная группа учреждений, которые выполняют функции обслуживания побочно, наряду с другими функциями. Отделение милиции не только и не столько обслуживает собственно население (в лице отдельных индивидуумов, обращающихся туда за помощью), сколько выполняет общесоциальную функцию охраны общественного порядка. Отделение связи обслуживает не только население, но и другие объекты производства и управления. Органы советской власти суть прежде всего органы управления и выполняют функции обслуживания населения лишь постольку, поскольку исправляют нарушения во вверенной им области деятельности по отношению к отдельным гражданам и т.д. Отнесение или неотнесение их к объектам обслуживания - вопрос соглашения, а целесообразность применения ППП КБО при проектировании определяется тем, какая сторона их деятельности преобладает.
4.9. Таким образом, область применения существующей версии ППП КБО - проектирование сетей объектов обслуживания, формирующих значительные потоки посетителей и не имеющих административно заданных ограничений на посещение, доступных для посещения всему населению, так что посещение того или иного объекта и сети объектов в целом регулируется каждым индивидуумом. Сюда могут быть отнесены магазины, кинотеатры, предприятия общественного питания, приемные пункты бытового обслуживания, зоны кратковременного загородного отдыха.
Проектирование сетей иных объектов является предметом дальнейшего развития пакета.
ДЕЙСТВУЮЩАЯ МЕТОДИКА ПРОЕКТИРОВАНИЯ И НАЗНАЧЕНИЕ ПАКЕТА
4.10. Проектирование системы обслуживания населения на градостроительном уровне регламентируется
СНиП II-60-75**. Оно опирается также на различные методические материалы, например [
2,
4] и др., научные проработки и сложившуюся практику проектирования. СНиП задает условия локализации объектов обслуживания в виде привязки к структурно-планировочным единицам города или, более конкретно, к общественным центрам этих единиц, а также удельные нормативы мощностей обслуживания в натуральных единицах. В документах методического характера содержатся дополнительные требования к локализации (так, в
[3] определяется "радиус обслуживания" дня предприятий торговли местного значения 500 м, что приводит к необходимости размещать эти объекты определенным образом по отношению к жилой застройке).
Что касается мощности объектов обслуживания, то, хотя СНиПом это не оговорено, в реальной практике проектирования на основе разработанных ранее концепций сложилась практика расчета мощности по номинальной "зоне обслуживания": предполагается, что объект "микрорайонного значения" обслуживает свой микрорайон, а объект "районного значения" свой жилой или планировочный район. Так, в [
3, с. 14] прямо сказано, что "потребность в магазинах и предприятиях общественного питания по каждой зоне определяется умножением количества жителей в данной зоне на нормативы расчета сети предприятий местного значения".
4.11. Подобная методика определения мощностей объектов обслуживания выделенного выше функционально-поведенческого типа представляется неверной с теоретической и практической точек зрения. Во-первых, имея формальное право посещения любого объекта из сети объектов данного функционального назначения, житель города посещает, хотя и с различной частотой, не только "свой" объект, но и "чужие", даже в том случае, если это посещение производится из места проживания. Во-вторых, для современного активного жителя города характерно посещение объектов обслуживания не только с места жительства, но и с места работы, по дороге с работы домой, попутно с передвижением по городу с другими целями. В-третьих, объект, скажем, "городского значения" обычно содержит в себе функции обслуживания как специфические, так и те, что реализуются в объектах "местного значения", и потому может использоваться как объект "местного значения" как жителями ближней к нему зоны, так и попутно приезжими пользователями специфических функций. Наконец, такая замкнутость игнорирует или по крайней мере плохо учитывает посещение объектов обслуживания, расположенных в городе (в том числе и "местного значения"), жителями пригородных и ближних к городу населенных пунктов.
Для адекватного расчета мощности учреждений выделенного типа необходим производимый на количественном уровне учет пространственного поведения населения города и близлежащих населенных пунктов. Именно на эту задачу ориентирован ППП КБО, и если он способен решить ее в ограниченной мере, то это происходит не от непонимания задачи, а от ограниченности ресурсов разработки и сложностей, связанных с информационным обеспечением задачи, о чем будет говориться ниже.
4.12. Полная задача проектирования сети некоторых объектов, выполняющих определенную функцию (или набор функций) обслуживания, включает в себя:
определение общей (суммарной) мощности объектов;
локализацию, т.е. определение местоположения объектов;
определение мощности каждого объекта;
выбор или разработку конкретного проекта для каждого объекта.
Однако градостроительное проектирование ведется стадийно и степень детальности проработки всех городских подсистем, включая и систему обслуживания, регламентируемая инструкцией
ВСН 38-82 [5], зависит от стадии проектирования. Определение общей мощности объектов производится на стадии генерального плана (а желательно еще ранее, на стадии проекта районной планировки с учетом роли города в системе расселения) по нормативам СНиПа. На стадии генерального плана локализуются только наиболее крупные объекты, размещаемые в общегородском центре (в виде эскиза центра), а достаточно точно производится локализация лишь структурных центров (общегородского, центров планировочных и жилых районов) и специализированных центров. Поэтому реально на этой стадии можно говорить не об объектах, а лишь о мощности функции обслуживания, размещаемой в той или иной структурной планировочной единице или в ее общественном центре. Объектная структура системы обслуживания проявляется практически только на стадии проекта детальной планировки, а выбор конкретных проектов происходит уже на стадии проекта застройки.
4.13. С учетом описанной детальности проработки системы обслуживания на стадии генерального плана задача локализации объектов обслуживания не составляет проблемы: локализация либо задается местоположением центров, которое выбирается исходя из более общих соображений, либо вообще не рассматривается, а объекты считаются существующими в теле всех (жилых) структурных планировочных единиц. Однако задача распределения общей мощности системы обслуживания между различными структурными единицами (или центрами) имеет существенное значение. Локальная мощность объектов обслуживания в значительной мере определяет баланс территории, влияет на организацию системы городских путей сообщения и, наконец, передается в проекты детальной планировки соответствующих планировочных единиц. Правильное распределение мощностей с учетом пространственного поведения населения в масштабах всего города позволит сохранить цельный подход к проектированию системы обслуживания при переходе к стадиям, на которых объектом проектирования является уже не весь город, а только проектируемая его часть.
4.14. Основное назначение ППП КБО - расчет функционирования системы объектов обслуживания в ее взаимодействии с обслуживаемым населением и, на основе этого расчета, нахождение в некотором смысле оптимального распределения мощности между объектами обслуживания (районами, центрами).
ОСНОВНЫЕ ОПРЕДЕЛЕНИЯ И ПРЕДСТАВЛЕНИЯ. СОСТАВ МАТЕМАТИЧЕСКОГО ОБЕСПЕЧЕНИЯ ПАКЕТА
4.15. Как уже было указано в
пп. 4.10 -
4.11, проектирование подсистем объектов обслуживания, посещение которых населением производится посредством его выбора, требует специального инструмента расчета мощностей объектов обслуживания, основанного на методике, отличной от той, которую предполагает СНиП и различные действующие методические документы. ППП КБО представляет собой именно такой инструмент. В его основе лежит дескриптивная математическая модель посещения населением объектов обслуживания выделенного типа. Эта модель является исходной для формирования конструктивных математических моделей распределения общей мощности объектов данной подсистемы обслуживания между объектами. Для формирования этих моделей используется некоторая совокупность исходных понятий и представлений о поведении населения по отношению к объектам обслуживания, выходящих за рамки представлений и терминологии СНиПа. В последующих пунктах даются определения основных понятий и описание представлений, необходимых для понимания основных математических моделей, программной реализацией которых и является ППП КБО.
4.16. Под функцией обслуживания понимается удовлетворение определенных потребностей населения. Функции обслуживания различаются между собой качественно - содержанием (набором) услуг - и количественно - характеристиками поведения населения в процессе посещения объектов, реализующих данные функции. К таким характеристикам относятся: потребная частота посещения, влияние фактора времени на частоту пользования услугой и т.п. Объект обслуживания (посещения) - функция обслуживания, локализованная в учреждении (предприятии), или в заданном расчетном районе, или в общественном центре.
Функционально объектная структура системы обслуживания, представленная в СНиПе, не вполне отвечает назначению пакета. Сеть кинотеатров и кинозалов клубов реализует единую функцию обслуживания. Такая общая отрасль обслуживания, как "торговля промышленными товарами" внутренне неоднородна, поскольку торгует товарами самой разной частоты спроса; то же можно сказать и о торговле продовольственными товарами. Здесь под функцией обслуживания нужно понимать торговлю товарами определенной (не слишком широкой и не слишком узкой) товарной группы. С другой стороны, специализированные магазины и соответствующие отделы универсальных магазинов образуют единую сеть объектов данной функции (как в примере с кинотеатрами).
4.17. Под источником посетителей понимается некоторая социально-демографическая группа населения, обладающая (в данный момент суточного цикла жизнедеятельности) определенными поведенческими характеристиками по отношению к рассматриваемым функциям обслуживания и определенным образом локализованная в городском пространстве в виде части населения некоторого расчетного района, части сотрудников некоторого места приложения труда, потока населения, передвигающегося между двумя расчетными районами и по пути посещающего объекты обслуживания - и т.п. Примеры приводятся ниже в связи с конкретными рекомендациями по применению ППП.
4.18. Планировочная структура города схематически представляется как совокупность точек, связанных коммуникационной (транспортно-пешеходной) сетью. Каждая точка изображает альтернативно население данного расчетного района, совокупность мест приложения труда в данном расчетном районе, объекты обслуживания (отдельные учреждения или их совокупность) данного расчетного района. Общественные центры могут рассматриваться как самостоятельные расчетные районы (не имеющие собственного населения или имеющие его). В общем понятие расчетного района совпадает с тем, которое используется в транспортных расчетах (см.
разд. 3). Такое представление генерального плана города будет называться схематизированным планом. Предполагаются известными времена сообщения между точками схематизированного плана по коммуникационной сети. В принципе возможно существование нескольких матриц времени сообщения (практически двух - на массовом и индивидуальном транспорте); население, реализующее различные времена сообщения, относится к разным источникам посетителей. Источник посетителей на схематизированном плане изображается как некоторая его точка, имеющая население или работающих в местах приложения труда, или как поток индивидуумов, передвигающихся от одной точки к другой (например, от места приложения труда к месту проживания). Объект посещения изображается точкой.
4.19. Совокупность источников посетителей и объектов обслуживания (посещения), соединенных между собой коммуникационной сетью с определенным временем сообщения между источниками и объектами, образуют систему источники-объекты, которая и является предметом расчета и субоптимизации.
4.20. Реальная система источники-объекты функционирует в течение суточного цикла неравномерно. Основной причиной такой неравномерности является динамика размещения источников посетителей. Так, трудящаяся часть населения в рабочее время находится на работе и не посещает объекты обслуживания, в обеденный перерыв посещает объекты обслуживания с места работы и возвращается в него, в вечерний пик возвращается домой, по пути посещая объекты обслуживания.
Для того чтобы приближенно учесть суточную динамику, суточный цикл разбивается на отдельные "стационарные (мгновенные) режимы", в каждом из которых источники посетителей имеют фиксированные локализацию и количественные характеристики. Суточный цикл составляется из таких стационарных режимов.
4.21. Все параметры, описывающие систему источники-объекты, группируются в две категории - ситуационные и поведенческие. В число ситуационных включаются такие характеристики источников, как их тип (точечный источник, источник-поток; подробнее об этом будет сказано позже), количество составляющих каждый источник индивидуумов и некоторые другие; характеристики объектов (например, их пропускная способность); время сообщения источники-объекты. Поведенческие параметры описывают индивидуальное поведение индивидуумов, относящихся к различным источникам заданного вида в заданном стационарном режиме по отношению к заданной функции обслуживания. Предполагается, что возможно выделить достаточно крупные категории населения, для которых индивидуальное поведение по отношению к посещению объектов обслуживания можно считать одинаковым.
4.22. Применительно к представленным выше основным исходным понятиям картина функционирования системы источники-объекты представляется следующим образом.
Хотя посещение объектов выделенного класса не является регулярно обязательным (см.
п. 4.6), оно осуществляется каждым индивидуумом (в среднем) с некоторой частотой. При этом предполагается существование для индивидуума, принадлежащего к источнику данного вида, по отношению к данной функции обслуживания некоторой социально обусловленной априорно потребной частоты посещения, не зависящей от конкретной планировочной организации системы обслуживания. Реализующаяся частота посещения является результатом приспособления населения к предложенной системе объектов. Удаленность от источника даже ближайшего к нему объекта обслуживания вызывает снижение частоты посещений объектов обслуживания, причем степень снижения зависит от удаленности (ближайшего) объекта различным образом в зависимости от жизненной важности функции, от возможности пропустить "очередное" ее посещение.
При наличии нескольких объектов, выполняющих данную функцию обслуживания, посещения разделяются между объектами, так что частота посещений из данного источника некоторого объекта тем больше, чем ближе объект к источнику и чем больше его пропускная способность.
Уменьшение частоты посещения при удалении объекта посещения от источника есть проявление детерминирующих свойств времени сообщения на пользование системой обслуживания. Зависимость распределения частоты между объектами от соотношения их пропускных способностей - проявление стохастических свойств системы, поскольку отношение индивидуума к системе обслуживания не полностью детерминируется временными факторами, но содержит и другие компоненты, проявляющиеся в его поведении как случайные.
При этом один объект посещается, естественно, из разных источников, и если его пропускная способность недостаточна, она ограничивает суммарный поток посетителей. Это обстоятельство вызывает снижение частоты посещений из этих источников, и принадлежащие им индивидуумы, стремясь компенсировать это снижение, перераспределяют свои посещения между объектами, увеличивая частоту посещения менее загруженных и в том числе дальних объектов.
В результате такого взаимодействия источников с объектами возникает некоторое стационарное (в данном мгновенном режиме) распределение посещений из каждого источника между объектами и устанавливается определенная реализующаяся частота для каждого источника. Устанавливается соответственно некоторое распределение потоков посетителей между источниками и объектами, так что из каждого источника исходит некоторый поток, не превышающий априорно потребного (определяемого как произведение априорно потребной персональной частоты посещения на количество индивидуумов в источнике), а в каждый объект входит поток, не превышающий его пропускной способности.
4.23. Изложенные представления о функционировании системы население-объекты обслуживания лежат в основе математической модели посещения объектов обслуживания. Модель описывает наложение априорных поведенческих характеристик индивидуумов, принадлежащих к разным источникам посетителей, на любую планировочную ситуацию, выраженную через взаимное размещение и мощность источников посетителей и объектов посещения. Результатом применения модели является описание функционирования некоторой сети объектов одного функционального назначения в ее взаимодействии с совокупностью источников посетителей в данном стационарном режиме. С ее помощью можно произвести расчет проектного решения локализации и назначения пропускных способностей объектов и получить некоторые его оценки, имеющие конструктивный характер, т.е. указывающие на слабые места варианта и направление его корректировки.
4.24. Более непосредственно конструктивная задача проектирования системы обслуживания населения решается с помощью математической модели субоптимизации размещения объектов. Поскольку локализация объектов относительно источников задана, варьировать можно только мощность объектов. При этом время, затрачиваемое населением на достижение объектов обслуживания практически не зависит от этого распределения. Поэтому ставить задачу минимизации времени сообщения с объектами, как это иногда делают, говоря об оптимизации размещения объектов обслуживания, в данном случае лишено смысла, и оптимальность распределения мощности между объектами определяется другим критерием.
Даже если суммарная пропускная способность объектов достаточно велика, чтобы пропустить весь потребный поток посетителей, нерациональное ее распределение между объектами может привести к перегрузке потоками посетителей одних объектов и недогрузке других. Это снижает социальную и экономическую эффективность работы системы за счет формирования очередей в одних и одновременно недоиспользования мощностей других объектов обслуживания. С этой точки зрения наилучшим является такое распределение мощностей между объектами, при котором относительная загрузка всех объектов потоками посетителей одинакова. Поиск именно такого распределения мощностей между объектами рассматривается как субоптимизация размещения объектов (оптимизация при заданной локализации).
4.25. Полученные в разных стационарных режимах суточного цикла субоптимальные распределения мощностей, естественно различаются между собой. Для того чтобы определить номинальные, т.е. постоянные для всего суточного цикла, пропускные способности объектов, используется математическая модель компромиссной субоптимизации. Модель составляет из полученных для разных стационарных режимов распределений пропускных способностей единое распределение - такое, чтобы наибольшая относительная перегрузка по всем объектам и всем мгновенным режимам была наименьшей.
4.26. В число источников посетителей объектов обслуживания включаются потоки трудящихся, возвращающихся с работы домой и по пути посещающих объекты обслуживания. В математическое обеспечение пакета входит модель расчета трудовых корреспонденций, включающая потоки трудящихся между районами приложения труда и районами проживания в число источников посетителей системы обслуживания.
МАТЕМАТИЧЕСКОЕ ОБЕСПЕЧЕНИЕ. ДЕСКРИПТИВНЫЕ МОДЕЛИ КОРРЕСПОНДЕНЦИЙ
4.27. В последующем тексте использованы следующие обозначения и аппроксимации:

- число сочетаний из
M элементов по
N;

- число размещений из
M элементов по
N;
L(x) = x lnx - x - функция, введенная автором;

(
n >> 1,
n = 0);

(
n <<
N).
4.28. В общем задача моделирования корреспонденций формулируется следующим образом. Имеется некоторое количество (
m) источников потенциальных посетителей и некоторое количество (
n) объектов посещения. Индивидуумы, составляющие источники, посещают объекты по собственному выбору. Требуется определить количество выборов (посещений) каждого объекта, производимых из каждого источника, (
xij). Уточнение и доопределение задачи производится в ходе более конкретной ее постановки и формирования математической модели.
4.29. Вначале рассмотрим ситуацию разового выбора - выбор производится однократно на длительный срок (например, выбор мест приложения труда). Тогда мощность объектов характеризуется количеством индивидуумов, которых он способен принять, (количеством мест)
P = (
Pj). В свою очередь, источники характеризуются количеством составляющих их индивидуумов
Q = (
Qi).
Общий принцип расчета матрицы выбора X состоит в следующем. Все индивидуумы и места в объектах перенумерованы. Под микросостоянием системы источники-объекты понимается выборка перенумерованных индивидуумов из источников, распределенная по перенумерованным местам в объектах, а под макросостоянием - совокупность всех микросостояний, формирующих данную матрицу X (уже без учета нумерации). Микросостояния, относящиеся к данному макросостоянию, различаются только нумерацией, и поэтому их естественно считать равновероятными. Микросостояния же, относящиеся к разным макросостояниям, равновероятными, вообще говоря, не являются. Вероятность макросостояния X при этих предположениях
где N(X) - количество микросостояний в данном макросостоянии, w(X) - вероятность любого микросостояния, входящего в X.
В соответствии с данным выше определением микросостояния можно представить
где
N' - количество выборок из источников, а
N" - количество способов распределения каждой выборки по местам в объектах.
В рассмотрение вводятся понятия "комфорт" c и "дискомфорт" d как две меры индивидуального удобства выбора, однозначно связанные между собой соотношением
d = -lnc. (68)
Коллективный комфорт определяется мультипликативно, а коллективный дискомфорт - аддитивно:

(69)
где ck, dk - комфорт и дискомфорт k-го индивидуума (соответственно), M - полное количество индивидуумов:

(70)
Одной из основных гипотез всего метода моделирования является гипотеза о характере зависимости вероятности состояния от обеспечиваемого им коллективного комфорта. Именно, считается, что

(71)
Здесь

- параметр системы, определяющий степень воздействия комфорта на вероятность. При

вероятность состояния системы вообще не зависит от комфорта, при

ничтожные различия в комфорте существенно определяют различия в вероятности. Если считать получение комфорта детерминирующим фактором выбора, то

описывает его стохастический фактор и может рассматриваться как "температура" системы. Поскольку этот фактор предполагается заданным (фиксированным), рассматриваемая система население - объекты посещения является "изотермической".
Конкретные выражения для
N'(
X),
N"(
X) и
C(
X) зависят от моделируемой ситуации. Коль скоро они известны, можно, подставив их в
(66), найти выражение для вероятности (с точностью до нормирующего множителя). Реализующееся состояние системы может быть (приближенно) приравнено состоянию, имеющему наибольшую вероятность
<*>. Удобнее использовать логарифм вероятности, так что поиск реализующегося состояния сводится к решению задачи
--------------------------------
<*> Более строго, оно соответствует математическому ожиданию
X; ошибка, связанная с определением его через наиболее вероятное, уменьшается с увеличением размеров системы (количества индивидуумов).
4.30. В задаче о расчете трудовых корреспонденций выполняется условие трудового баланса системы

(73)
и выбор является обязательным:

(74)
Для этой ситуации комбинаторный подсчет дает:

(75)
а коллективный комфорт равен:

(76)
Индивидуальный дискомфорт dij отождествляется с трудностью сообщения между источником i и объектом j и аппроксимируется двухпараметрической функцией времени сообщения tij:

(77)
Подставляя
(75) в
(67),
(76) в
(71),
(67) и
(71) в
(66),
(66) в
(72), отбрасывая члены, не зависящие от переменных
xij, обозначая

и используя приведенную в начале раздела аппроксимацию, получим следующую задачу:

(78)
при
условиях (74). Решая ее при заданных
P,
Q и (
gij), найдем корреспонденции (
xij).
4.31. Описанная модель выбора интерпретируется как модель формирования трудовых корреспонденций. Модель посещения объектов обслуживания строится на тех же исходных принципах, но учитывает два обстоятельства, существенно отличающие ее от описанной модели: непрерывный характер выбора и необязательность посещения объекта обслуживания со строго заданной средней частотой, т.е. возможность саморегулирования частоты посещения.
Непрерывный характер посещения объектов обслуживания специфичен для посещения с места жительства: посетив объект обслуживания, индивидуум возвращается домой и готов вновь посетить тот же или иной объект обслуживания
<*>. Этот процесс в стационарной ситуации происходит равномерно в течение неопределенного времени (конечность интервала времени, в течение которого процесс можно считать непрерывным, вводится отдельно). В соответствии с этим представлением для описания системы вместо матрицы количества выборов
X вводится матрица потоков посетителей из источников в объекты
X. Для
i-го источника, содержащего
Qi индивидуумов, средняя персональная частота
fij посещения
j-го объекта связана с потоком посетителей в него
xij соотношением

(79)
а полная частота посещений из i-го источника

(80)
--------------------------------
<*> Возможен и другой тип посещения, о котором говорится ниже. Посещение нескольких объектов обслуживания за один выход из источника данной моделью не описывается.
4.32. Как было указано при описании моделируемого явления
(п. 4.22), предполагается известной априорная потребная частота посещения. Она характеризует потребность в посещении данной функции (набора функций) обслуживания индивидуума, принадлежащего к некоторому источнику посетителей, т.е. зависит от социально-демографической принадлежности субъекта и от того, в каком мгновенном режиме данный субъект находится. Будем обозначать ее
f(m), а реализующуюся частоту
f.
4.33. Отклонение
f от
f(m), какими бы причинами оно ни было вызвано, приводит к возникновению персонального дискомфорта. Назовем эту, зависящую от соотношения
f и
f(m), компоненту дискомфорта частотным дискомфортом
D(F). Зависимость
D(F)(
f) должна иметь вид, показанный на
рис. 19. Действительно, при полной реализации потребности
f =
f(m) эту компоненту дискомфорта естественно приравнять нулю. По мере уменьшения
f дискомфорт, очевидно, возрастает, и, если мы предполагаем посещение данной функции обслуживания жизненно необходимым, стремится к бесконечности при
f -> 0. Менее очевидно возрастание
D(F) при увеличении
f сверх
f(m) (правая ветвь
D(F) на рисунке) - однако это должно быть так, поскольку описывающая потребность частота
f(m) должна рассматриваться как оптимальная.
Рис. 19. Дискомфорт в зависимости от частоты посещений
В математической модели зависимость D(F)(f) аппроксимируется выражением:

(81)
Здесь параметр D0 есть просто масштабный коэффициент частотного дискомфорта, который может иметь любое удобное положительное значение.
4.34. Однако дискомфорт формируется не только за счет отклонения реализующейся частоты от потребной, но и как результат затрат времени на достижение объекта. Очевидно эта компонента дискомфорта (назовем ее коммуникационным дискомфортом D(C)) должна быть тем больше, чем больше затраты времени на посещение объекта и чем больше таких посещений. Если посещается только один объект, то принимается аппроксимация:

(82)
где
- коммуникационный дискомфорт на одно посещение, зависящий от времени сообщения источника с объектом
t. Эта зависимость для двух значений

показана на
рис. 19 
.
4.35. Полный дискомфорт по определению равен:
D(
f) =
D(F)(
f) +
D(C)(
f). (83)
| | ИС МЕГАНОРМ: примечание. В официальном тексте документа, видимо, допущена опечатка: не указан номер рисунка. Возможно, имеется в виду рисунок 19. | |
Из
рисунка видно, что по мере ухудшения доступности частота, соответствующая минимуму дискомфорта, уменьшается, и при этом минимальный достижимый дискомфорт возрастает.
4.36. Зависимость

аппроксимируется выражением, аналогичным
(77):

(84)
где p и q - параметры зависимости: q - показатель степени в аппроксимации, p - масштабный коэффициент коммуникационного дискомфорта. Соотношение D0 и p соразмеряет величины частотного и коммуникационного дискомфортов, поэтому при заданном D0 величина p уже не может выбираться произвольно.
4.37. Если индивидуум принадлежит к источнику
i и имеет возможность посещать объекты

, выполняющие одинаковые функции обслуживания, то
соотношения (81) и
(82) приобретают вид

(85)
и

(86)
Поскольку частоты
fij связаны с потоками посетителей
xij (79), дискомфортная
функция (83) может рассматриваться как функция потоков в равной мере как и функция частоты.
4.38. Далее, представим функционирование системы следующим образом. Пусть некоторое значение потоков зафиксировано:

. Вблизи точки

система флюктуирует, причем распределение вероятностей возможных ее состояний определяется дифференциальным дискомфортом (
dij):

(87)
Произведя расчет распределения вероятностей состояний и найдя, в соответствии с исходными принципами, наиболее вероятное состояние, получим некоторое значение потоков

, которое, вообще говоря, отличается от

, но им определяется:

(88)
где символом X обозначен оператор преобразования

в

, зависящий от заданных параметров системы. Стационарное состояние достигается в неподвижной точке этого оператора, т.е. является решением уравнения

(89)
Задача заключается в том, чтобы найти оператор X, а затем его неподвижную точку.
4.39. Пусть потоки

фиксированы. Тогда все параметры системы, зависящие от потоков, известны, для расчета потоков

можно воспользоваться методикой формирования модели разового выбора, но только применяя ее к выбору за малый интервал времени
.
4.40. Пусть в j-м объекте содержится wj пустых мест, а в i-м источнике ui индивидуумов. При предполагающемся значении потоков эти величины определяются соотношениями:

(90)
где
Tij - время, затрачиваемое индивидуумом от момента выхода из источника для очередного посещения до момента возвращения, а

- среднее время пребывания посетителя в объекте;
Pj - количество "мест" в объекте посещения, т.е. количество индивидуумов, которые могут в нем одновременно находиться, так что пропускная способность объекта

(91)
4.41. Поскольку выбор каждым индивидуумом какого-либо объекта для посещения в фиксированном интервале времени не является обязательным, в модель вводится новое понятие - поток индивидуумов, участвующих в выборе объекта обслуживания. Более точно, в рассмотрение вводится матрица величин

, где
- поток, который направляется от источника
i к объекту
j, если бы этот объект: 1) был единственным и 2) имел бесконечно большую пропускную способность. Если для каждого источника рассматривать объекты по величине обеспечиваемого их посещением комфорта, то, очевидно, для каждого источника величины

были бы ранжированы в том же порядке. Для того чтобы формализовать сказанное, введем матрицу порядка
R = (
rik) такую, что для любого
i

(92)
(объекты ранжированы в порядке от худшего к лучшему). Тогда, как было сказано,

(93)
Логично, однако, предположить большее, а именно, что множество индивидуумов, участвующих в выборе некоторого объекта, целиком содержится в множестве индивидуумов, участвующих в выборе лучшего объекта. Эта гипотеза служит исходной при подсчете комбинаторного члена
N' [см.
разъяснение к соотношению (67)].
4.42. Для того чтобы иметь право пользоваться соотношениями
разд. 4.29, перейдем от выбора непрерывного к выбору разовому за малый интервал времени

. Для компактности записи удобно ввести обозначения частных сумм потоков выборов:

(94)
В этих обозначениях результат подсчета N' имеет вид

(95)
Количество способов размещения посетителей в объектах

(96)
Наконец, вероятность микросостояния определяется через дифференциальный дискомфорт аналогично
(76) выражением

(97)
Подставляя полученные выражения в выражение для полной вероятности макросостояния, получаем аналог
задачи (78) для данной моделируемой ситуации:

(98)
где переменные

и

связаны
соотношениями (94). Величина

при этом выносится за общие скобки и сокращается; величины, не зависящие от

, отброшены.
Входящие в
(98) параметры (
wj), (
dij),

зависят от

, так что оно и представляет собой оператор
(88).
Связь (
wj) с

дается вторым
соотношением (90), а связь (
dij) с

-
соотношениями (87) и
(86). Что касается зависимости от матрицы выбора параметров

, то она еще не была рассмотрена. В модели выбора объектов для посещения, имеющего описанный выше циркуляционный характер, эта зависимость аппроксимируется следующим образом:

(99)
Предполагается, что сам факт "участия в выборе" связан обратной зависимостью с его дискомфортом,

- параметр этой зависимости. Дополнительный параметр
f0 вводится из соображений размерности и имеет смысл случайной частоты посещений (она определяет количество участвующих в выборе при

). Параметру

, так же как и введенному выше параметру

, может быть дана стохастическая интерпретация, поскольку он определяет степень зависимости потребности в посещениях от детерминирующего фактора - дифференциального дискомфорта. Реализующийся поток посетителей

не может превзойти величину

, так что последнюю можно интерпретировать как "поток потребности" в посещениях объекта
j из источника
i. Зависимость

от

определяется зависимостью
dij и
ui от

.
Теперь оператор X полностью определен. Поиск его стационарной точки в программах пакета производится итерационными методами.
4.43. Найдя установившиеся потоки посетителей в объекты обслуживания, можно с помощью
соотношений (83),
(85),
(86) определить значение дискомфорта и использовать его для оценки моделируемой ситуации.
4.44. Приведенное краткое описание иллюстрирует существо подхода к моделированию посещения населением объектов обслуживания. Более полная версия модели, реализованная в пакете прикладных программ, содержит ряд дополнительных возможностей, которые мы лишь перечислим.
Выражение (98) несколько видоизменено, так что в него вместо параметра
wj входит непосредственно пропускная способность объектов
(91). В соответствии с этим отпадает необходимость в учете второго
соотношения (90), что упрощает решение задачи.
Помимо источников циркуляционного типа в модель включаются источники двух других типов. Источники второго типа описывают посещения, производимые один раз в течение суточного цикла (например, мест загородного кратковременного отдыха). Источники третьего типа представляют собой потоки индивидуумов, передвигающихся от одной точки города к другой и по пути посещающих объекты обслуживания (например, трудящиеся, возвращаются с места работы домой). Модели посещения объектов из источников этих типов несколько отличаются по математическим соотношениям от описанной при полном единстве исходных принципов.
Даже объекты, выполняющие совершенно одинаковые функции обслуживания и с этой точки зрения равноценные, в действительности различаются теми или иными факторами привлекательности (например, места загородного отдыха - природными условиями, магазины - ассортиментом). В модель введены два параметра, позволяющие дифференцировать объекты по привлекательности, что расширяет ее возможности с точки зрения описания реальных ситуаций.
МАТЕМАТИЧЕСКОЕ ОБЕСПЕЧЕНИЕ. КОНСТРУКТИВНЫЕ МОДЕЛИ СУБОПТИМИЗАЦИИ РАЗМЕЩЕНИЯ ОБЪЕКТОВ
4.45. Описанная модель посещения объектов обслуживания позволяет при заданных источниках посетителей, локализации и пропускной способности объектов обслуживания получить потоки посетителей во все объекты: поток посетителей в
j-й объект в мгновенном стационарном режиме, матрицей потоков

:

(100)
Если считать закрепленными все параметры системы кроме пропускных способностей объектов, то совокупность потоков в объекты

есть функция вектора пропускных способностей
. Суммарный поток посетителей объектов обслуживания

(101)
зависит от

таким образом, что увеличивается при увеличении любой компоненты
P, стремясь, однако, к конечному пределу. Предельный поток при

равен:

(102)
сумме наибольших (для каждого источника) потоков потребности в посещениях.
4.46. В соответствии с принятыми критериями субоптимальности
(п. 4.24) при заданной суммарной пропускной способности

должно быть найдено такое распределение пропускной способности между объектами
p1 :
p2 : ... :
pn, при котором все коэффициенты заполнения объектов потоками посетителей

(103)
т.е. одинаковы. Эта задача решается приближенно.
Пусть вся совокупность объектов имеет чрезвычайно большую пропускную способность

. При этом суммарный поток посетителей в объекты конечен и определяется
соотношением (102), так что все
kj -> 0. В этой ситуации субоптимизация состоит в выравнивании условных коэффициентов заполнения:

(104)
равных отношению доли общего потока посетителей к доле общей пропускной способности. Эта задача решается итерационно с использованием на каждом шаге специальной версии модели посещения объектов обслуживания при бесконечной пропускной способности объектов. Заметим, что при произвольном исходном соотношении пропускных способностей условные коэффициенты заполнения

могут быть как меньше, так и больше 1, а при субоптимальных пропускных способностях

не только одинаковы, но равны 1. Что же касается абсолютных коэффициентов заполнения, то они, как указывалось, малы, но одинаковы между собой.
Пусть теперь абсолютные пропускные способности объектов уменьшаются от бесконечно большого до конечных значений, сохраняя между собой субоптимальное соотношение. Коэффициенты заполнения при этом увеличиваются, но до тех пор, пока суммарная пропускная способность объектов остается существенно большей суммарного предельного потока посетителей, равенство коэффициентов заполнения между собой приближенно сохраняется. При дальнейшем уменьшении суммарной пропускной способности, когда сказывается ограничивающее действие конечной пропускной способности каждого объекта, потоки посетителей в объекты также уменьшаются, и равенство коэффициентов заполнения нарушается. Однако при сильном ограничении потоков пропускной способностью коэффициенты заполнения всех объектов стремятся к 1, т.е. снова становятся одинаковыми (но уже по другой причине). Поэтому нарушение субоптимальности в переходной области

не должно быть существенным.
Таким образом, строго субоптимальное распределение бесконечно больших пропускных способностей объектов является приближенным для конечных не слишком малых пропускных способностей. Именно это распределение и позволяют найти программы пакета. В принципе возможно и прямое решение задачи субоптимизации с конечным значением p, но оно требует существенно большего машинного времени, что оправдывает описанный приближенный метод решения.
4.47. В определенных ситуациях
условие (104) для всех объектов одновременно оказывается невыполнимым. Поэтому в математической модели субоптимизации это условие дополняется альтернативным: для тех объектов, для которых оно не может быть выполнено, должно выполняться другое условие - обращение в нуль пропускной способности объекта:

(105)
В таком виде модель показывает, что некоторые локализованные объекты по существу не нужны, не имеют "права на существование". В их число могут попасть лишь те объекты, которые не являются ближайшими по отношению ни к одному из источников посетителей.
4.48. Пусть суточный цикл расчленен на
L мгновенных стационарных режимов, и для каждого (
i-го) режима определено субоптимальное распределение пропускных способностей между объектами

и найдены потоки посетителей в объекты в предположении бесконечно большой суммарной пропускной способности, которые обозначим
. Из
соотношения (104) следует, что

(106)
где

- суммарный поток посетителей.
Поскольку

различны в разных режимах, а абсолютное значение пропускных способностей не определено, режимы оказываются несопоставимыми. Для того чтобы получить условный "абсолютный" уровень, суммарное значение пропускной способности во всех режимах приравнивается наибольшему по режимам суммарному потоку посетителей:

(107)
При этом коэффициенты заполнения всех объектов, в каждом режиме одинаковы, но различаются для разных режимов, причем ни в одном не превышают 1, а в том, которому свойствен наибольший поток посетителей, равен 1:

(108)
Если теперь задать некоторое единое для всех режимов распределение пропускных способностей при выполнении
условия (107), то
условие (108) не выполняется, и, вообще говоря,
| | ИС МЕГАНОРМ: примечание. Формула дана в соответствии с официальным текстом документа. | |

(109)
где

- коэффициент заполнения
j-го объекта в
i-м режиме, т.е. возможна относительная перегрузка каких-либо объектов в некоторых мгновенных режимах.
4.49. Задача компромиссной субоптимизации ставится так: найти такие значения

, чтобы минимизировать наибольший условный коэффициент заполнения:

(110)
В ППП КБО эта задача решается в линейном приближении. Искомое значение пропускных способностей представляется как линейная комбинация субоптимальных значений по режимам с неизвестными весами

:

(111)
С помощью специальной версии модели посещения объектов обслуживания проводится расчет потоков в каждом режиме с пропускными способностями всех режимов (каждый такой набор пропускных способностей субоптимален в своем режиме и не субоптимален в остальных). Если обозначить поток в
j-й объект в
i-м режиме с пропускными способностями, субоптимальными для
h-го режима,

, то поток посетителей в этот же объект в этом же режиме при компромиссных значениях приближенно представляется аналогично
(111):

(112)
а коэффициенты заполнения

(113)
Суть функции вектора

. Задача сводится к поиску вектора

, при котором выполняется
соотношение (110). Эта задача решается перебором возможных значений

по узлам регулярной
L-мерной сетки.
ПРОГРАММНОЕ ОБЕСПЕЧЕНИЕ. ТЕХНИЧЕСКАЯ ДОКУМЕНТАЦИЯ
4.50. Программное обеспечение пакета реализует на ЭВМ описанное выше математическое обеспечение, а также некоторые вспомогательные действия, связанные с подготовкой входных данных.
Пакет построен как программный комплекс, позволяющий решать следующие задачи:
1) расчет проектного варианта системы источники посетителей - объекты обслуживания в мгновенном режиме;
2) субоптимизация проектного варианта в мгновенном режиме;
3) субоптимизация проектного варианта на совокупности мгновенных режимов;
4) получение сводных характеристик суточного цикла, составленного из нескольких мгновенных режимов.
Расчет варианта может быть произведен как с учетом ограниченной пропускной способности объектов, так и в предположении бесконечно большой пропускной способности, субоптимизация производится всегда во втором предположении.
Пакет содержит также программы, предназначенные для подготовки данных, необходимых для решения перечисленных основных задач. Эти программы позволяют:
записать подготовленные на перфокартах массивы ситуационных данных во внешнюю память ЭВМ для многократного использования;
заимствовать матрицу времени сообщения из результатов расчетов транспортной сети, проведенных с помощью ППП ТР (см.
разд. 3);
произвести расчет трудовых корреспонденций или использовать уже известные корреспонденции (в частности, заимствовать их из ППП ТР) и преобразовать их в ситуационные данные для решения основных задач;
калибровать модель посещения.
4.51. Весь процесс применения пакета для решения проектной задачи расчленен на ряд операций, выполняемых отдельными программами пакета - последовательно и/или циклически. В зависимости от конкретной задачи используются те или иные программы и их последовательности.
4.52. Весь набор программ пакета КБО может быть разбит на две группы:
программы подготовки данных для решения основных задач;
программы, решающие основные задачи и дающие результаты, используемые в проектировании.
Первая группа включает в себя следующие программы:
1. Программа CALIB используется в ходе подготовки поведенческих параметров.
2. Программа INPREC позволяет записать подготовленные на перфокартах массивы данных в файл на магнитном диске или на магнитной ленте, с тем чтобы многократно использовать их без включения в задание для ЭВМ громоздких колод перфокарт.
3. Программа TRANSER позволяет заимствовать матрицу времени сообщения между районами города, а также матрицу трудовых корреспонденций (последняя может быть получена и независимо с помощью описываемой ниже программы MCORS). Программа считывает эти данные из файла, сформированного ППП ТР, и записывает их в надлежащем виде в файл исходных данных, принадлежащий ППП КБО.
Далее в эту же группу входят программы, которые используются тогда, когда в число источников посетителей включаются потоки трудящихся работа-дом. Этот субпакет состоит из трех выполняемых последовательно программ 4, 5, 6.
4. Программа MCORS производит расчет трудовых корреспонденций или их ввод из файла, куда они были записаны программой TRANSER.
5. Программа MRDUC производит уменьшение количества корреспонденций, отбрасывая несущественные малые корреспонденции.
6. Программа
MCROT формирует матрицу времени сообщения для потоков как источников типа 3 (см.
п. 4.44).
Во вторую группу входят следующие программы:
7. Программа MDIP вводит подготовленные исходные данные мгновенного режима, производит их контроль, отбрасывает заведомо малые потоки посетителей источник-объект, формирует дополнительные данные, необходимые для расчета или субоптимизации системы в некотором мгновенном режиме.
8. Программа MSOR производит, в зависимости от модификации, расчет или субоптимизацию системы в мгновенном режиме. Она использует данные, подготовленные программой MDIP, однако допускает автономный ввод пропускных способностей объектов. Эти последние замещают те значения, которые были введены программой MDIP. Таким образом, после одного выполнения программы MDIP можно выполнить программу MSOR несколько раз, варьируя пропускные способности объектов. Все прочие характеристики системы при этом остаются неизменными.
9. Программа COMP производит приближенное определение набора пропускных способностей объектов, компромиссного между субоптимальными для отдельных мгновенных режимов. Исходные данные для нее готовятся выполнением программ MDIP и MSOR в учитываемых мгновенных режимах.
10. Программа MCID позволяет получить сводные характеристики суточного цикла, составленного из нескольких мгновенных режимов.
Перечисленные 10 программ (точнее 11, поскольку программа MSOR разработана в двух версиях, различающихся размерами решаемой задачи) и составляют ППП КБО в версии 1986 г.
4.53. Программы составлены на языке "Фортран" и ориентированы на выполнение на ЭВМ серии ЕС (класса не ниже ЕС-1022 с оперативной памятью не менее 512 Кбайт) в операционной системе ОС ЕС. Общий объем программного обеспечения характеризуется следующими данными: объем библиотеки исходных модулей (подпрограмм и основных программ) на НМД типа 5061 составляет около 140 дорожек, объем библиотеки объектных модулей (подпрограмм и основных программ) около 90 дорожек. Объем библиотеки загрузочных модулей (отредактированных выполняемых программ) около 230 дорожек.
4.54. Поскольку при расчленении вычислительного процесса часть информации должна передаваться из одной программы в другую, организована передача данных между программными единицами непосредственно через машинные носители данных - магнитные ленты или магнитные диски (в отдельных случаях через перфокарты, подготавливаемые самою ЭВМ через системный перфоратор).
Для этой цели организуются следующие последовательные наборы данных на пакете дисков или магнитной ленте:
наборы исходных данных (до 3 наборов);
наборы данных, используемые для решения задач ППП КБО (не менее одного);
набор данных, куда заносятся результаты расчетов, проведенных ППП КБО;
набор данных, используемых программами расчета трудовых корреспонденций как источников посетителей.
4.55. Собственно техническая документация ППП КБО включает в себя два документа: "Описание и методические рекомендации по применению для решения проектных задач" и "Руководство программиста". Общая концепция автоматизированного проектирования системы обслуживания населения изложена в виде отдельного документа в составе Основных положений по технологической линии автоматизированного проектирования генерального плана города, и с этим документом рекомендуется ознакомиться при внедрении пакета.
Указанная документация поставляется пользователю вместе с программным обеспечением.
4.56. Проектный процесс с применением программы пакета описан в последующих разделах. Описание отдельных программ дается в мере их включения в этот процесс. Вся техническая сторона эксплуатации программного обеспечения исключена из рассмотрения в данных рекомендациях, составленных по материалам первого и третьего из перечисленных в
п. 4.55 документов; она подробно изложена в Руководстве программиста.
ОБЩИЕ СВЕДЕНИЯ О ПРИМЕНЕНИИ ППП КБО
4.57. В соответствии с направленностью и содержанием описанных математических моделей реализующий их пакет прикладных программ рекомендуется применять для расчета функционирования и выбора мощностей объектов, составляющих сети объектов обслуживания одинакового функционального состава, посещаемых населением из источников разного рода по его выбору. Сюда относятся сети кинотеатров, предприятий торговли, комплексных центров обслуживания, территорий кратковременного загородного отдыха и т.п.
4.58. Сети объектов разного функционального назначения рассчитываются независимо друг от друга. При расчете объектов, функции которых по существу являются комплексными (торговля товарами разных товарных групп), или комплексных центров обслуживания в рамках единой сети "объектов" рассматриваются некоторые "части" реальных объектов обслуживания, несущие единые функции. Так, при иерархическом построении системы центров обслуживания, в которую входят центры разного ранга, обычно предполагается, что объект более высокого ранга выполняет все функции низшего ранга плюс функции, специфические для данного ранга. Поэтому на нижнем ранге в расчет включены все центры обслуживания, на более высоком - те из них, которые выполняют специфические функции данного ранга, и так далее.
4.59. В реальности наличие в объекте обслуживания функций высокого ранга привлекает в этот объект и дополнительное количество посетителей функций более низкого ранга. Наличие такого взаимодействия функций может быть приближенно учтено назначением объекту повышенного предпочтения по функциям низших рангов (см. ниже). Более строгий прием - включение посетителей функций более высокого ранга в число источников посетителей функции более низкого ранга, - в принципе возможный, практически не использовался.
4.60. Основной целью применения пакета является определение разумных (субоптимальных) пропускных способностей объектов обслуживания при заданной их локализации с учетом различных, наиболее мощных источников посетителей. В число последних может быть включено как население города (с учетом различных его социально-демографических групп и пространственного перераспределения населения в течение суточного цикла), так и население населенных пунктов системы расселения, в которую входит проектируемый город. На стадии генерального плана расчету подлежат, как правило, не отдельные объекты, но виды обслуживания, сосредоточенные в расчетных районах или центрах планировочных единиц города. Дополнительным результатом применения пакета являются расчетные потоки посетителей из источников посетителей в объекты посещения. Этот результат может рассматриваться как расчет части общей массы культурно-бытовых корреспонденций, дополняющий и уточняющий расчет, проведенный с помощью ППП ТР (см.
разд. 3).
4.61. Поскольку для применения данного пакета нужно знать размещение источников посетителей и объектов посещения, а также времена сообщения между ними, его целесообразно применять на достаточно поздних этапах проектирования генерального плана, когда соответствующие исходные данные уже сформировались.
4.62. Процедура применения пакета в конкретной проектной или научно-проектной работе может быть естественно расчленена на четыре этапа: планирование расчетов, подготовка данных, проведение расчетов, использование результатов. Этап подготовки данных расчленяется на два подэтапа: подготовка ситуационных и поведенческих данных. Ниже приводится содержание этапов и даются рекомендации по их проведению, основанные на опыте применения пакета.
4.63. Начальным этапом применения пакета в каком-либо конкретном проекте является составление общего плана расчетов.
Прежде всего должна быть дана конкретная формулировка проектных задач, которые предполагается решить с помощью данного пакета. В формулировку задачи входит:
расчленение всей системы обслуживания на подсистемы (совокупности равнофункциональных объектов) и выбор тех, которые подлежат расчету;
выбор подлежащих расчету суточных циклов и составляющих их мгновенных режимов;
определение содержания расчетов: расчет вариантов, субоптимизация подсистем по отдельным мгновенным режимам, сводная субоптимизация по нескольким (каким именно) мгновенным режимам;
выбор физических источников посетителей (жилые районы, места приложения труда, трудовые корреспонденции, пригородное население);
выбор учитываемых категорий населения.
На этом же этапе формируется схематизированный план города:
город расчленяется на расчетные районы - специально для данной задачи, или принимается решение об использовании районирования, сформированного для проведенных ранее транспортных расчетов;
определяются районы города, в которых предполагается размещение объектов данной функции обслуживания; если расчету подвергается подсистема рекреации, формируется перечень учитываемых зон загородного отдыха.
В частности, должно быть составлено представление о размерах рассчитываемой системы, с тем чтобы можно было проверить соответствие размеров задачи возможностям программ пакета и в случае необходимости произвести их взаимную адаптацию.
4.64. При проведении расчетов системы обслуживания населения рекомендуется использовать районирование города, сформированное для транспортных расчетов, проводимых с помощью ППП ТР. Это избавляет от необходимости специально уточнять распределение по районам населения и мест приложения труда, поскольку эти данные могут быть заимствованы из данных транспортных расчетов. Оттуда же может быть заимствована и матрица времен сообщения между районами. Реальное количество расчетных районов, доступное для программ пакета, с учетом предусмотренной в программах возможности отбрасывания несущественных корреспонденций, при расчетах с включением трудовых корреспонденций составляет примерно 50.
4.65. Понятие "функции обслуживания" применительно к расчетам с помощью ППП КБО является достаточно условным, так как с формальной стороны разные функции различаются чисто количественно - поведенческими параметрами и локализацией. Практически расчет имеет смысл для таких функций, как:
кинотеатры (размещаются обычно в центрах отдельных жилых районов и общегородском центре);
торговля продовольственными товарами в предприятиях местного значения (размещаются практически во всех расчетных районах, имеющих население, а также в некоторых промрайонах);
торговля продовольственными товарами в предприятиях городского значения (размещаются в отдельных расчетных районах, представляющих центры расчетных районов и общегородской центр);
торговля промтоварами стандартного состава (центры жилых районов и общегородской центр).
Возможны расчеты сетей и других объектов обслуживания, если они соответствуют сформулированным выше критериям. Расчет зон кратковременного загородного отдыха практически производился только для проектов районной планировки.
4.66. Для укрупненных расчетов на стадии генерального плана достаточно учесть две основные категории населения - трудящихся и нетрудящихся. Расчет имеет смысл проводить для двух суточных циклов: рабочий день и нерабочий день, в который функционирует рассчитываемая подсистема обслуживания (суббота). Нерабочий день для простоты составляется из одного стационарного режима, и все источники посетителей формируются населением жилых районов. Рабочий день в проводимых до сих пор расчетах расчленяли на 4 стационарных режима:
рабочее время - объекты обслуживания посещаются только нетрудящимися из жилых районов;
обеденный перерыв - объекты обслуживания посещаются как нетрудящимися из жилых районов, так и трудящимися с мест приложения труда (с возвратом в места приложения труда);
вечерний пик - источники посетителей - нетрудящееся население жилых районов и трудовые корреспонденции, т.е. трудящиеся, возвращающиеся с работы домой;
вечернее время - трудящиеся и нетрудящиеся могут посещать объекты обслуживания только из жилых районов.
Пригородное население до сих пор в расчетах не учитывалось, хотя это на самом деле следует делать.
4.67. Полный цикл расчетов по ППП КБО включает в себя:
субоптимизацию (определение распределения мощности системы обслуживания по объектам) в каждом стационарном режиме;
компромиссную субоптимизацию для рабочего дня по учтенным стационарным режимам; считается, что различие в субоптимальной мощности объектов в рабочий и выходной день должно отразиться в организации работы системы обслуживания в процессе ее функционирования;
окончательный расчет выбранного варианта распределения пропускных способностей во всех стационарных режимах;
получение данных сводного суточного цикла.
Эта схема расчетов описывается в последующих разделах. В зависимости от конкретных целей применения ППП в проекте она может быть сокращена.
ПОДГОТОВКА СИТУАЦИОННЫХ ДАННЫХ
4.68. К числу ситуационных данных относятся данные, характеризующие источники посетителей (в их планировочном аспекте), объекты посещения и времена сообщения между источниками и объектами.
4.69. По характеру общения с объектами источники посетителей делятся на три типа:
1-й - источники посещений циркуляционного типа - посещение объектов из этих источников с последующим возвратом в них идет непрерывно в течение всего времени существования источника. Этот тип посещения приписывается жилым районам;
2-й - источники посещения разового типа - посещение имеет разовый характер, после посещения объекта обслуживания индивидуум возвращается в источник и в течение времени существования источника (в пределах одного суточного цикла) более систему обслуживания не посещает (район приложения труда в обеденный перерыв);
3-й - поток индивидуумов, передвигающихся между двумя районами города с некоторой целью и по пути посещающих объекты обслуживания (трудящиеся в вечерний пик, возвращающиеся с работы домой).
4.70. Каждый физический источник с фиксированным типом и пространственной локализацией может состоять из нескольких социально-демографических групп населения, обладающих разным поведением по отношению к заданной функционально определенной сети объектов обслуживания. Такой физический источник представляется несколькими формальными источниками по числу выделенных категорий населения: например, жилой район в вечернее время и в выходной день представляется как два источника, составленные из трудящегося и нетрудящегося населения района.
4.71. Для каждой совокупности источников одного типа и одной категории населения должно быть задано время существования в течение суточного цикла
<*>. Так, источники, представляющие нетрудящееся население, посещающее систему обслуживания из жилых районов равномерно в течение всего дня, имеют время существования, равное времени функционирования объектов обслуживания (скажем, 11 ч: с 8 до 20 ч с часовым перерывом на обед); время существования источников "трудящиеся в обеденный перерыв" может быть принято равным 1 ч; продолжительность "вечернего пика", в течение которого формируются возвратные трудовые корреспонденции, 2 ч и т.д.
--------------------------------
<*> В документации на ППП КБО этот параметр по некоторым причинам объединяется с поведенческим. По существу же он является ситуационным.
4.72. Разные источники могут существовать в течение одного стационарного режима, другие существуют в разных стационарных режимах. Нетрудящиеся в рабочий день участвуют во всех стационарных режимах. Трудящиеся, как категория населения, формируют разные пространственно локализованные источники разных типов в разных режимах.
4.73. Каждый (формальный) источник характеризуется его емкостью, т.е. количеством составляющих его индивидуумов. Источники "нетрудящиеся в жилых районах" и "трудящиеся в жилых районах" имеют емкости, равные численности соответствующего контингента населения по районам; источники "трудящиеся в обеденный перерыв" - емкость, равную количеству работающих в соответствующих расчетных районах; источники "возвратные потоки трудящихся" - емкость, приблизительно равную трудовым корреспонденциям между соответствующими парами районов.
Данные о населении и о количестве мест приложения труда в расчетных районах предполагаются известными, так же как и данные о долях трудящегося и нетрудящегося населения, и определение емкости источников типов 1 и 2 обычно не составляет труда. Что же касается данных о емкости источников трудовых корреспонденций, то иногда они известны из проведенных обследований, но, как правило, в процессе разработки генерального плана они подлежат расчету. ППП предлагает специальные средства для определения емкости этих источников, описанные ниже в
п. 4.79.
4.74. Данные об объектах обслуживания по существу задаются величиной пропускной способности объектов (в чел./ч), размещаемых в данном расчетном районе. Описание локализации объектов сводится к тому, что в тех районах, где размещение объектов не предполагается, задается нулевое значение пропускной способности. В том случае, когда производится расчет варианта системы источники-объекты, введенные ненулевые значения пропускной способности используются как таковые - они либо ограничивают потоки посетителей в объекты, либо - если расчет производится в предположении бесконечно большой общей пропускной способности системы - рассматриваются программами как задающие пропорцию между пропускными способностями и определяющие, наряду с другими факторами, распределение потоков посетителей. В режиме же субоптимизации введенные значения используются только как начальное приближение, практически не влияющее на результат, так что можно задавать все ненулевые значения одинаковыми.
4.75. В пакете программ предусмотрена возможность, рассматривая совместно все объекты, приписывать отдельным объектам дополнительные характеристики привлекательности. Некоторый номинальный уровень обслуживания считается стандартным. Вводятся два параметра привлекательности:
надежность, показывающая во сколько раз реже нужно посещать данный объект по сравнению со стандартным, чтобы получить то же значение частотного дискомфорта;
предпочтение, показывающее, во сколько раз чаще будет посещаться данный объект по сравнению со стандартным, если оба объекта имеют одинаковую мощность и расположены в одной точке пространства (в одном расчетном районе).
Для стандартного объекта значение обоих параметров равно 1, для нестандартного объекта значение каждого параметра может быть как более 1 (объект лучше стандартного), так и менее 1 (объект хуже стандартного).
В проведенных до сих пор расчетах использовался только второй параметр при расчете рекреации в проекте районной планировки, где он отражал различные природно-климатические условия зон отдыха. При проектировании системы обслуживания в генеральном плане города эта возможность программного обеспечения еще не испытана.
4.76. Среднее время пребывания посетителя в объекте определяется функцией и технологией обслуживания посетителей. Для кинотеатров эта величина достаточно определенна и равна среднему времени между началом сеансов. Для таких объектов, как магазины, она назначается на основании экспертной оценки; ее значение некритично и слабо влияет на результат расчета (рекомендуется величина 15 мин).
4.77. Источники посетителей и объекты посещения связываются в единую систему матрицей времен посещения между источниками и объектами. Для работы программ пакета необходимо указать время сообщения между каждым формальным источником и каждым объектом. Практически же достаточно знать время сообщения между расчетными районами. Для источников типов 1 и 2 эти времена используются непосредственно. Поскольку времена сообщения для разных категорий населения, размещенных в одних и тех же физических источниках, одинаковы <*>, одна матрица межрайонных времен сообщения используется многократно.
--------------------------------
<*> Можно выделить в специальную категорию часть населения, пользующуюся для посещения объектов обслуживания личным транспортом, и для них матрица времен сообщения будет иной. Практически эта возможность до сих пор при проектировании генерального плана не опробовалась.
Для источников типа 3 время сообщения от источника до объекта считается равным половине разности времен сообщения между истоком и стоком исходного потока (от места приложения труда до дома) при движении через объект обслуживания и напрямую. Это время рассчитывается одной из программ пакета на основе все той же матрицы времен сообщения между расчетными районами.
4.78. Для подготовки матрицы времен сообщения рекомендуется использовать пакет прикладных программ для проектирования системы городских путей сообщения (ППП ТР). Практически расчеты системы КБО проводятся после проведения транспортных расчетов, в ходе которых эта матрица уже формируется. Специальная программа пакета (TRANSER) позволяет считать эту матрицу из набора данных ППП ТР и записать ее в набор исходных данных ППП КБО, откуда она считывается и используется программами данного пакета.
4.79. В состав ППП КБО включены программы, подготавливающие данные о трудовых корреспонденциях, как источниках посетителей системы обслуживания (программы
MCORS,
MRDUC,
MCROT). Программы выполняют следующие основные действия:
1) производят расчет трудовых корреспонденций по модели, описанной в
пп. 4.28 -
4.30, при заданных ситуационных и поведенческих параметрах. К ситуационным параметрам относятся количество трудящихся, проживающих в расчетных районах, количество трудящихся, работающих в расчетных районах, матрица времен сообщения между районами. Поведенческие параметры представлены двумя параметрами аппроксимации зависимости дискомфорта от времени сообщения (см. ниже);
2) с целью сокращения количества источников исключают малые корреспонденции по задаваемому критерию;
3) формируют матрицу времен сообщения для расчета корреспонденций к объектам обслуживания;
4) записывают полученные результаты в наборы исходных данных ППП КБО для последующего использования его программами.
4.80. Поскольку в полном цикле расчетов
(п. 4.67) исходные ситуационные данные используются многократно, рекомендуется предварительно записать их в наборы исходных данных ППП КБО. Помимо уже упоминавшихся программы
TRANSER и программ расчета трудовых корреспонденций для этой цели используется программа
INPREC, переписывающая массивы данных с перфокарт в наборы исходных данных ППП КБО.
ПОДГОТОВКА ПОВЕДЕНЧЕСКИХ ДАННЫХ
4.81. Под поведенческими понимаются данные, характеризующие априорное, т.е. не зависящие от конкретной планировочной ситуации, отношение индивидуумов к объектам обслуживания с точки зрения их посещения с целью получения обслуживания. Значения поведенческих параметров определяются: 1) функцией обслуживания, 2) категорией населения и 3) мгновенным режимом, в котором население данной категории взаимодействует с объектами посещения, выполняющими данную функцию обслуживания. В частных случаях возможно считать, что население некоторой категории ведет себя одинаково в разных мгновенных режимах.
Полный перечень поведенческих параметров модели посещения объектов обслуживания, описанной в
пп. 4.31 -
4.44, включает в себя:
f(m) - априорно потребную частоту посещения объектов обслуживания;
f0 - случайную частоту посещения объектов обслуживания;
D0 - масштабный множитель, определяющий абсолютный уровень дискомфорта;
q, p - параметры аппроксимации коммуникационного дискомфорта как функции времени сообщения;

- параметр аппроксимации зависимости потребности в посещениях от коммуникационного дифференциального дискомфорта;

- параметр аппроксимации зависимости вероятности состояния системы от коллективного дифференциального дискомфорта.
4.82. Масштабный параметр D0 может иметь произвольное значение. Обычно полагают D0 = 100. Значение f0 по некоторым соображениям выбирается равным f(m). Прочие параметры должны задаваться дифференцированно.
4.83. В настоящее время не имеется экспериментальных данных (данных обследований), на основании которых можно было бы предположить достаточно проверенные значения параметров поведения населения по отношению к объектам обслуживания, и их назначение производится экспертным путем. Для облегчения этой процедуры в пакет включена программа CALIB, применение которой разъясняется ниже.
4.84. Априорная потребная частота посещений
f(m) выражается в количестве посещений в сутки (т.е. за время существования источника в течение суточного цикла) на индивидуума, принадлежащего к данному источнику. Представление о ее величине можно составить на основе анализа структуры подвижности населения подобно тому, как это делается в транспортных расчетах
(разд. 3), статистических отраслевых данных о посещении тех или иных функций обслуживания, из простых соображений и т.п. Так, в одном из расчетов сети торговли продовольственными товарами повседневного спроса были приняты следующие значения
f(m):
для нетрудящихся во всех мгновенных режимах 0,74;
для трудящихся в нерабочий день 1,5;
для трудящихся в рабочий день в режиме "обеденный перерыв" 0,1;
для трудящихся в рабочий день в режиме "вечерний пик" (возвращение с работы домой) 0,2;
для трудящихся в рабочий день в режиме "вечернее время" (по возвращении с работы домой) 0,28.
4.85. Остальные поведенческие параметры характеризуют априорное пространственное поведение населения. Для того чтобы описать это поведение в наглядных терминах, удобно представить себе две предельные ситуации.
В первой ситуации предполагается существование единственного объекта бесконечной пропускной способности, размещенного на разном времени доступности от источника посетителей. По мере его удаления частота его посещения падает от
f(m) при нулевом времени сообщения до нуля при времени, стремящемся к бесконечности
(рис. 20). Скорость спада зависит от жизненной необходимости функции и от возможности компенсировать уменьшение частоты посещения увеличением объема услуг, получаемых за одно посещение (например, закупать больше продуктов питания при каждом посещении магазина).
ТОРГОВЛЯ ПРОДТОВАРАМИ ПОВСЕДНЕВНОГО СПРОСА: 1 - НЕТРУДЯЩИЕСЯ И ТРУДЯЩИЕСЯ В НЕРАБОЧИЙ ДЕНЬ; 2 - ТРУДЯЩИЕСЯ В РАБОЧИЙ ДЕНЬ ВЕЧЕРОМ ИЗ ДОМА; 3 - ТРУДЯЩИЕСЯ ПО ДОРОГЕ С РАБОТЫ ДОМОЙ; 4 - ТРУДЯЩИЕСЯ В ОБЕДЕННЫЙ ПЕРЕРЫВ.
ТОРГОВЛЯ ПРОДТОВАРАМИ ПЕРИОДИЧЕСКОГО - ЭПИЗОДИЧЕСКОГО СПРОСА: 5 - НЕТРУДЯЩИЕСЯ И ТРУДЯЩИЕСЯ В НЕРАБОЧИЙ ДЕНЬ; 6 - ТРУДЯЩИЕСЯ В РАБОЧИЙ ДЕНЬ ВЕЧЕРОМ ИЗ ДОМА И ПО ДОРОГЕ С РАБОТЫ ДОМОЙ.
Рис. 20. Зависимость частоты посещения единственного объекта
от его удаленности (пример)
Методика определения параметров с помощью программы CALIB требует задания такой зависимости (точнее, двух точек на ней, не считая точки, соответствующей нулевому времени сообщения).
Во второй ситуации предполагается, что объектов посещения неопределенно много, и они расположены равномерно на всех временах сообщения, начиная "от порога" источника посетителей. Объекты все выполняют одну функцию обслуживания и одинаковы во всем, кроме их удаленности от источника. Тем не менее, предполагается, что из источника будет посещаться не только ближайший объект, как было бы при строгой детерминированности посещений временем сообщения. По совокупности других причин, которая представляет собой случайный фактор поведения, посещения, постепенно убывая по частоте, охватывают некоторую зону, временная протяженность которой названа "временем рассеяния". Эта величина также должна быть задана.
Используя указанные данные, с помощью программы CALIB можно получить значения тех параметров, которые непосредственно используются в модели посещений и в программах пакета.
4.86. Расчет трудовых корреспонденций пакета требует задания нескольких поведенческих параметров (их можно свести к двум, аналогичным параметрам -
q,
p в списке
п. 4.81). Однако по анализу трудовых корреспонденций накоплен некоторый экспериментальный материал, который позволяет более или менее обоснованно рекомендовать значения этих параметров
[6].
СУБОПТИМИЗАЦИЯ В ОТДЕЛЬНЫХ СТАЦИОНАРНЫХ РЕЖИМАХ
4.87. Следующим после подготовки данных этапом в полной схеме расчетов является определение для данной функции обслуживания субоптимальных пропускных способностей объектов в каждом стационарном (мгновенном) режиме (
пп. 4.45 -
4.47). Каждый такой расчет требует в общем случае последовательного выполнения двух программ -
MDIP и
MSOR.
4.88. Программа MDIP выполняет следующие основные действия:
1) ввод подготовленной на машинных носителях исходной информации в ЭВМ;
2) устранение нулевых источников и объектов, если таковые имеются, и уплотнение массивов данных в оперативной памяти ЭВМ;
3) отбрасывание заведомо несущественных связей между источниками и объектами;
4) преобразование исходных данных в данные, необходимые для работы программы MSOR, и запись их в набор данных для решения задачи.
Необходимость устранения нулевых источников и объектов связана с тем, что в исходном представлении ситуации могут встретиться идентифицированные источники, имеющие нулевую емкость и объекты, имеющие нулевую пропускную способность. Например, в число источников посетителей данной функции обслуживания могут быть включены все источники, действующие в системе в разных мгновенных режимах (см.
п. 4.103), и для расчета заданного режима часть источников, в нем не действующая, представляется нулевыми источниками. Матрица времен сообщения, полученная при проведении транспортных расчетов, может включать в себя промышленные районы, не имеющие собственного населения, и чтобы ее использовать, необходимо включать эти районы в число источников, приписывая им нулевую емкость. Точно так же в этой матрице могут быть строки (столбцы), относящиеся к районам, в которых не предполагается размещение объектов; эти районы представляются как объекты с нулевой пропускной способностью.
Устранение несущественных связей источники-объекты имеет иной смысл. Из каждого источника посещаются, строго говоря, все объекты, однако при наличии нескольких объектов посещаемость быстро падает с удалением объекта от источника. Отбрасывание заведомо малых корреспонденций источник-объект позволяет существенно сократить память ЭВМ, необходимую для решения реальной задачи. Это отбрасывание производится по заданному критерию еще до расчета корреспонденций, по приближенному прогнозу распределения корреспонденций между объектами.
4.89. Программа MSOR производит все операции, связанные с расчетом корреспонденций источники-объекты и определением субоптимальных пропускных способностей объектов. Под этим названием в пакете обозначается несколько модификаций выполняемой программы, которые собираются редактором операционной системы из программных модулей пакета, и которые решают различные задачи.
Модификация, выполняющая субоптимизацию размещения объектов, производит подбор пропускных способностей объектов (из числа заданных как ненулевые) в соответствии с критериями, сформулированными выше: пропускная способность объекта либо равна потоку посетителей в него изо всех источников, либо равна нулю (точнее, достаточно мала по заданному критерию). Строго говоря, при работе программы оптимальное значение пропускной способности объектов предполагается бесконечно большим и определяется только соотношением пропускных способностей; лишь на выходе программы формируются "абсолютные" значения пропускных способностей, равные потокам посетителей. За исключением значений некоторых служебных параметров всю информацию программа получает из набора данных, сформулированного программой MDIP.
4.90. Выходные данные программы включают в себя, помимо субоптимальных значений пропускной способности объектов, набор результатов, выдаваемых программой MSOR во всех ее модификациях:
корреспонденции и частоты посещения для всех неисключенных связей источники-объекты;
для каждого источника - реализующуюся частоту посещения, среднее время, затрачиваемое на достижение объектов, частотную и коммуникационную компоненту дискомфорта и их сумму;
для каждого объекта - поток посетителей в него (в данном случае равный пропускной способности) и его отношение к пропускной способности (в данном случае равное 1), среднее время, затрачиваемое посетителями на достижение объекта.
Эти данные выводятся на печать и могут использоваться проектировщиком для оценки функционирования системы, например, в таких аспектах:
выявления в системе слишком малых или слишком больших объектов (или объемов обслуживающих учреждений по районам);
выявления в системе плохо обслуженных источников (большое время сообщения, малая реализующаяся частота посещения, большой дискомфорт).
Результат работы программы выводится также в наборы данных на внешних запоминающих устройствах для использования на последующих этапах работы с ППП КБО.
ПЕРЕКРЕСТНЫЙ РАСЧЕТ СТАЦИОНАРНЫХ РЕЖИМОВ И КОМПРОМИССНАЯ СУБОПТИМИЗАЦИЯ
4.91. В результате субоптимизации формируется столько субоптимальных наборов пропускных способностей объектов, сколько было задано стационарных режимов (функция обслуживания фиксирована). Для проведения последующей компромиссной субоптимизации по нескольким мгновенным режимам необходимы перекрестные расчеты потоков посетителей в объекты в каждом мгновенном режиме с пропускными способностями, субоптимальными во всех других режимах. Так же, как и субоптимизация, эти расчеты проводятся в предположении бесконечно большой пропускной способности объектов, однако формально на выходе программы пропускным способностям приписывается конечное, полученное на стадии субоптимизации значение пропускной способности. Поэтому в результате поток посетителей в объекты может оказаться больше его пропускной способности (условный коэффициент заполнения объекта более 1).
4.92. Для каждого такого расчета нужно, вообще говоря, выполнять пару программ MDIP и MSOR (в соответствующей модификации). Можно, однако, сформировать такую тактику расчетов, при которой количество выполнений программы MDIP уменьшается, и возможно выполнение нескольких расчетов по MSOR при одном выполнении MDIP (эта тактика описана в технической документации на ППП). Однако готовить каждый раз информацию об объектах не нужно, она может быть считана из набора данных на ВЗУ, куда была занесена при субоптимизации. Результаты перекрестного расчета заносятся в тот же файл и будут использованы при компромиссной субоптимизации.
4.93. В результате субоптимизации и компромиссного расчета формируется количество наборов потоков посетителей в объекты обслуживания, равное квадрату количества стационарных режимов, рассматриваемых совместно в рамках компромиссной субоптимизации. Возможно, что некоторые стационарные режимы рассматриваются отдельно (например, выходной день имеет собственное распределение пропускных способностей объектов, отличное от распределения в будни). Они не включаются в перекрестный расчет и обрабатываются отдельно.
4.94. Компромиссная субоптимизация по нескольким мгновенным режимам в постановке, изложенной в
пп. 4.25,
4.48, производится программой
COMP. Программа заимствует данные субоптимизации и перекрестных расчетов из файла на ВЗУ и формирует компромиссный набор пропускных способностей, при котором наибольший условный коэффициент заполнения объекта по всем мгновенным режимам минимален. Как указывалось, это дает возможность определить номинальное распределение пропускной способности системы обслуживания, постоянное в течение всего суточного (или даже недельного) цикла функционирования системы обслуживания и обеспечивающее наименьшую неравномерность нагрузки на отдельные объекты. Дополнительное приспособление к динамике функционирования, уже лежащее за пределами компетенции градостроителя, может осуществляться внутриотраслевыми средствами.
РАСЧЕТЫ С ОГРАНИЧЕННОЙ ПРОПУСКНОЙ СПОСОБНОСТЬЮ. СВЯЗЬ С НОРМАТИВАМИ СНиПа. СВОДНЫЙ СУТОЧНЫЙ ЦИКЛ
4.95. Предшествующие расчеты проводились в предположении бесконечно большой пропускной способности всех объектов, не ограничивающей потоки посетителей, и все результаты, хотя и содержат некоторые условные значения пропускной способности, по существу используют лишь соотношение пропускных способностей. Для получения более корректного результата, приближенного к реальному функционированию системы обслуживания, необходимо произвести серию расчетов системы, задавая конечные значения пропускных способностей объектов. Используя как приближенные результаты субоптимизации, мы должны назначить суммарную пропускную способность всей сети объектов, выполняющих данную функцию обслуживания, и распределить ее по объектам пропорционально субоптимальным значениям.
4.96. Расчет с бесконечно большими пропускными способностями объектов при любом распределении мощностей (в том числе и при субоптимальном) дает поток посетителей в систему обслуживания из каждого источника и в целом по системе, наибольший возможный при данной локализации (ненулевых) объектов. Поток при фиксации конечной, но очень большой пропускной способности практически равен потоку при бесконечной пропускной способности и уменьшается при уменьшении пропускной способности системы - вначале несущественно, а при переходе через некоторую критическую область, когда начинает сказываться ограничивающее действие пропускной способности, в той же мере, в какой уменьшается пропускная способность (см.
п. 4.46). Критическая область суммарной пропускной способности находится вблизи ее значения, равного наибольшему потоку посетителей.
4.97. При назначении абсолютной величины пропускной способности сети объектов возникает несколько проблем достаточно принципиального характера, связанных с погрешностью значения поведенческих параметров, с самим понятием пропускной способности, с единицами измерения мощности объектов, принятыми в СНиПе и практике проектирования, с соотношением понятий "функция" и "объект" обслуживания.
4.98. Поведенческие параметры, как указывалось, могут быть определены лишь очень приближенно. Это относится и к априорно потребной частоте посещения данной функции, определяющей общий уровень посещения системы. Если взять такую сравнительно простую функцию обслуживания, как кинообслуживание, объекты которой - кинотеатры - имеют достаточно определимую пропускную способность, и то истинную потребность в посещениях кинотеатров, да еще с учетом суточной динамики, определить затруднительно, а следовательно, затруднительно соотнести потребную мощность (или наибольший поток посетителей) с мощностью, задаваемой СНиПом. Таким образом, ограничивающее действие нормативной мощности обслуживания точно смоделировать не удается. Из этой ситуации есть два выхода. Первый состоит в том, чтобы применительно к данной функции обслуживания получить из анализа ряда наблюдаемых фактических ситуаций такое значение потребной частоты посещения, которому можно доверять. Тогда, задавая суммарную мощность по нормативу СНиПа, можно найти истинную (на уровне проектной проработки) картину функционирования сети, в данном случае - кинотеатров. Другой выход основан на доверии к СНиПу. Считается, что нормативная (на перспективу) мощность обеспечивает истинные потребности населения с небольшим разумным запасом. Сама потребная частота посещения определяется на основе этой нормативной мощности. Тогда в окончательных расчетах именно эта мощность распределяется между отдельными объектами (районами их размещения) пропорционально субоптимальным значениям.
4.99. Еще сложнее обстоит дело с объектами торговли. Само понятие пропускной способности для них достаточно условно, и механизм ограничения потоков посетителей - образование очередей и возрастание времени обслуживания - вступает в действие плавно, по мере нарастания потока посетителей. СНиП оперирует такими единицами измерения мощности объектов (м2 торговой площади), которые прямо не связаны с понятием "пропускной способности". Теоретически, для перевода этих единиц в пропускную способность нужны переводные коэффициенты, которые в настоящее время не разработаны. Здесь реальным является второй из указанных в предыдущем пункте путей - принятие суммарной нормы СНиПа (по крайней мере на перспективу) как обеспечивающей потребности населения.
4.100. При расчетах системы торговли под функцией обслуживание следует понимать торговлю товарами определенной товарной группы. В многофункциональных объектах приходится выделять часть торговой площади, предназначенную для торговли теми или иными товарами, что влечет за собой дополнительные трудности при определении абсолютного уровня пропускной способности.
4.101. Таким образом, достаточно общим примером учета, ограничивающего действие пропускной способности, является следующий. Считается, что норматив на перспективу обеспечивает потребности населения с некоторым запасом (скажем, 10%); тогда при расчете системы с ограниченной пропускной способностью суммарная пропускная способность системы полагается равной наибольшему потоку посетителей, умноженному на 1,1, и распределяется по объектам (районам) пропорционально субоптимальным значениям пропускной способности. При расчетах в пределах первой очереди пропускная способность уменьшается пропорционально уменьшенному значению норматива.
4.102. Комплекс расчетов с ограниченной пропускной способностью производится во всех мгновенных режимах с компромиссными субоптимальными пропускными способностями, умноженными на введенный выше коэффициент запаса. Расчеты снова проводятся с помощью пары программ
MDIP-MSOR, последняя берется в модификации, производящей расчет варианта с конечными значениями пропускной способности объектов. Результаты расчетов записываются в набор данных на ВЗУ (файл результатов).
4.103. По результатам расчета отдельных стационарных режимов с помощью специальной программы
MCID могут быть получены сводные показатели суточного цикла - средние частоты посещений, суточные количества посетителей и т.п. Если предполагается использование этой программы, то предваряющие расчеты, описанные в
п. 4.102, должны проводиться с выполнением определенных требований, а именно:
в каждом мгновенном режиме должны вводиться данные обо всех источниках посетителей, действующих в течение суточного цикла; если в данном стационарном режиме они фактически не существуют, то их емкостям приписывается нулевое значение;
режимы, составляющие суточный цикл, должны обрабатываться подряд один за другим, так чтобы записи результатов в файле результатов для этих режимов не перемежались другими записями.
При выполнении этих условий программа MCID считывает информацию об отдельных режимах из файла результатов и производит расчет характеристик сводного суточного цикла.
ИСПОЛЬЗОВАНИЕ РЕЗУЛЬТАТОВ. ТЕХНИКО-ЭКОНОМИЧЕСКИЙ ЭФФЕКТ ПРИМЕНЕНИЯ ППП КБО
4.104. В результате проведения полного цикла расчетов с помощью ППП КБО для выбранных функций обслуживания определяются:
субоптимальные при заданной локализации объектов пропускные способности объектов для определенных стационарных режимов и в целом для суточного цикла;
корреспонденции между источниками посетителей и объектами обслуживания;
для источников - характеристики их обслуживания сетью объектов: частота посещений с учетом локализации объектов и ограничивающего действия их для конечной пропускной способности, затраты времени на достижение объектов обслуживания с учетом распределения посещений между объектами, дискомфортная оценка размещения объектов;
для объектов - характеристики их использования: потоки посетителей, коэффициенты загрузки посетителями в разных стационарных режимах суточного цикла и в целом для суточного цикла;
для всей системы источники-объекты - усредненные характеристики ее функционирования и общая ее дискомфортная оценка.
4.105. Смысл применения пакета состоит в получении дифференцированного по территории распределения мощности объектов обслуживания различного функционального назначения. При этом учитывается возможность посещения объектов обслуживания не только из дома и в пределах ограниченного "радиуса обслуживания", но и из различных других источников посетителей (посещение с места работы в обеденный перерыв, при возвращении с работы домой, посещение объектов, размещенных в пределах города, внегородским населением) с учетом распределения посещений между несколькими объектами, суточной динамики размещения и активности источников. При этом норматив СНиПа используется для определения общей мощности обслуживания, а ее распределение по объектам (по территориям) получает расчетное обоснование.
4.106. Применение пакета внутри проектного процесса позволяет, путем оценки той или иной локализации объектов и сопоставления полученного распределения мощности с возможностями территории и номенклатуры проектов соответствующих объектов, подобрать удовлетворительную локализацию объектов и сформировать конкретную объектную структуру функций обслуживания.
4.107. Полученные в результате применения ППП КБО потоки посетителей между источниками посетителей и объектами посещения могут быть использованы в транспортных расчетах как часть культурно-бытовых корреспонденций, загружающих сеть городского массового транспорта. Для реализации такой возможности разрабатывается соответствующее программное обеспечение.
4.108. Основной технико-экономический эффект применения пакета состоит в возможности получить рациональное распределение мощности объектов нескольких подсистем обслуживания в плане города при заданной локализации объектов. Это распределение обеспечивает устранение или уменьшение перегрузки отдельных объектов (или отдельных районов размещения объектов) потоками посетителей, которая возникает - одновременно с недогрузкой других объектов или районов - при нерациональном размещении. Опосредованно это ведет к экономии времени, которое посетитель затрачивает на пользование системой обслуживания, за счет уменьшения времени обслуживания (очередей) в потенциально перегруженных объектах (районах). Количественная оценка этого эффекта, проведенная по материалам одного из применения пакета, дает величину порядка 0,4 - 0,5 мин на посещение. Годовой эффект экономии для города с населением 500 тыс. чел. имеет порядок 300 тыс. ч, что при стоимостной оценке 0,7 руб./ч дает условный экономический эффект порядка 200 тыс. руб./год.
1.
Строительные нормы и правила. Часть II - нормы проектирования. Гл. 60: планировка и застройка городов, поселков и сельских населенных пунктов
(СНиП II-60-75**). - М.: ЦИТП, 1985.
2.
Справочник проектировщика. Градостроительство. - М.: Стройиздат, 1978.
3.
Методические указания по составлению перспективных планов (схем) развития и размещения сети предприятий розничной торговли и общественного питания в развитии генеральных планов городов. ЦНИИЭП торгово-бытовых зданий и туристских комплексов. - М.: 1982.
4.
Руководство по проектированию общественных центров городов, поселков и сельских населенных мест. - М.: Стройиздат, 1982.
5.
Инструкция о составе, порядке разработки, согласования и утверждения схем и проектов районной планировки, планировки и застройки городов, поселков и сельских населенных пунктов.
ВСН 38-82. - М.: Стройиздат, 1978.
6.
Лившиц В.В., Стрельников А.И. Калибровка и проверка гравитационной статистической модели трудовых корреспонденций. В сб.: "Автоматизация процессов градостроительного проектирования", ЦНИИП градостроительства. - М.: 1983. - С. 79 - 101.