Главная // Актуальные документы // Представление (форма)СПРАВКА
Источник публикации
М.: Стройиздат, 1983
Примечание к документу
Название документа
"Рекомендации по разработке комплексных транспортных схем для крупных городов"
"Рекомендации по разработке комплексных транспортных схем для крупных городов"
ПО РАЗРАБОТКЕ КОМПЛЕКСНЫХ ТРАНСПОРТНЫХ СХЕМ
ДЛЯ КРУПНЫХ ГОРОДОВ
Рекомендованы к изданию Научно-техническим советом КиевНИИП градостроительства.
Приведены требования, предъявляемые к комплексным транспортным схемам, рекомендации по проектированию сетей массового пассажирского транспорта, магистральных улиц и дорог, развитию внешнего транспортного узла города и прилегающего района.
Для проектировщиков.
Рекомендации разработаны для городов с расчетной численностью населения 250 - 500 тыс. чел. на основе обобщения опыта проектирования и реализации комплексных транспортных схем (КТС), составленных в разное время различными проектными организациями (Гипрокоммундортранс МЖКХ РСФСР, Гипроград УССР, БелНИИП градостроительства, КиевНИИП градостроительства, Казгипрокоммунстрой и др.) для городов РСФСР, УССР, БССР, КазССР, отличающихся величиной, географическим местоположением, народнохозяйственным профилем и планировочной структурой.
Проведенное обобщение теоретических и проектных материалов по развитию транспортных систем больших и крупных городов позволяет использовать Рекомендации и при создании комплексных транспортных схем крупнейших городов, но при этом необходимы дополнительные технико-экономические обоснования применения тех или иных видов скоростного транспорта.
В Рекомендациях раскрывается методическая сторона разработки КТС, что должно способствовать решению задач развития отдельных элементов транспортной системы города на основе сложившейся научно обоснованной методологии транспортных расчетов и обоснований.
Рекомендации подготовлены авторским коллективом в составе: канд. техн. наук Христюк Н.М. (отв. исполнитель) -
пп. 1.1 -
1.3,
2.8 -
2.14,
4.5 -
4.16,
5.13 -
5.23,
гл. 6; канд. техн. наук Ставничий Ю.А. -
пп. 1.1 -
1.3,
2.15 -
2.24,
4.1 -
4.4,
4.17 -
4.31; канд. техн. наук Роговин А.Е. -
пп. 1.4 -
1.13,
2.1 -
2.7,
гл. 3,
пп. 5.1 -
5.12; инж. Ширяева Т.И. -
пп. 2.8 -
2.12,
6.1 -
6.47; инж. Кривошеев Д.П. -
пп. 3.3,
3.8,
3.14 -
3.19,
3.23,
3.25 -
3.30; инж. Погребной В.Г. -
пп. 2.13 -
2.14,
4.5 -
4.16,
5.20 -
5.23.
В работе приняли участие: инженеры Авдеев Ю.В., Байрамов К.Ш., Калюта Л.Н.; канд. техн. наук Стрельников А.И.
В Рекомендациях использованы материалы докторов техн. наук Полякова А.А.; Шештокаса В.В.; кандидатов техн. наук Шаповалова Э.В., Юшкявичуса П.П., Якшина А.М.; канд. геогр. наук Хасдана И.Г.; инженеров Глика Ф.Г., Назарова В.П. и Добросельской Т.М.
Общая редакция выполнена Христюком Н.М., Ставничим Ю.А., Роговиным А.Е.
ЦЕЛИ И ЗАДАЧИ РАЗРАБОТКИ КОМПЛЕКСНЫХ ТРАНСПОРТНЫХ СХЕМ
1.1. Основной задачей разработки транспортной системы города является определение направлений развития пассажирского городского и пригородного транспорта на 10 - 15 лет, в том числе на 5 - 7 лет первой очереди строительства
(прил. 1), реализуемых в форме принципиальных технических решений на основе имеющихся видов транспорта, типовых проектов и т.п. с адресной конкретизацией размещения основных транспортных устройств и сооружений. Разработка проекта КТС как основы планов развития транспортного обслуживания городов должна представлять непрерывный процесс со сдвижкой расчетных сроков каждую пятилетку или, как исключение, каждые 10 лет.
Основные укрупненные характеристики разработки КТС по задачам, исходным данным, методам расчета, результатам, принципам выбора вариантов и по отдельным элементам транспортной системы города приведены в
прил. 2. Подробное описание характеристик и методика их получения содержатся в последующих разделах Рекомендаций.
1.2. При разработке КТС рекомендуется исходить из следующих принципов:
все основные показатели работы транспорта должны быть получены из материалов соответствующих обследований и анализа этих материалов с применением методов математической статистики. Проведение обследований и обработку материалов следует выполнять в соответствии с
Руководством [19];
при проектировании транспортных подсистем необходимо учитывать сложившиеся тенденции развития (например, с помощью проверки отдельных перспективных технико-экономических показателей путем экстраполяции существующих фактических данных за ряд лет, проведения транспортных обследований на этап существующего положения для калибровки и определения существующих закономерностей на базе материалов обследований);
все первоочередные мероприятия по созданию или реконструкции транспортной системы должны быть увязаны с ресурсными возможностями города на основе изучения фактического состояния и тенденций роста капиталовложений в транспорт, трудовых и других ресурсов;
решение транспортной системы для каждого этапа развития города должно удовлетворять условиям дальнейшего ее развития по генеральному плану и быть связанным с решениями для предыдущего и последующего этапов.
В целях принятия наиболее эффективных решений КТС по I очереди строительства рекомендуется учитывать следующие направления совершенствования транспортных систем:
рационализация проектируемой схемы маршрутов массового пассажирского транспорта (в качестве критерия оптимальности принимается минимум затрат времени на поездки с трудовыми целями с учетом затрат времени на подход, ожидание, передвижение на транспорте и пересадки);
улучшение условий перевозок и регулярности движения пассажирского транспорта с пересмотром (в случае необходимости) графиков работы предприятий и учреждений города для рассредоточения часов пик;
развитие ремонтно-эксплуатационной базы, обеспечивающей улучшение использования парка подвижного состава и его обновление;
улучшение условий движения пассажирского транспорта и повышение его скорости путем реконструкции существующих и строительства новых транспортных магистралей и инженерных сооружений (мосты, путепроводы, развязки - транспортные и пешеходные - в одном и разных уровнях и др.), повышение их пропускной способности и качества дорожных покрытий;
упорядочение движения грузового автомобильного транспорта с организацией специализированных магистралей для пропуска грузовых потоков;
использование линий железнодорожного транспорта для внутригородских и особенно пригородных перевозок, а также улучшение условий пересадки в пригородно-городском сообщении;
внедрение диспетчерского управления движением общественного пассажирского транспорта и использование средств автоматики, телемеханики и вычислительной техники для регулирования уличного движения.
1.3. В результате разработки первоочередных мероприятий формируется программа поэтапного строительства и реконструкции транспортной системы города и прилегающего района, которая должна послужить основой для составления проектных заданий на рабочее проектирование специализированным проектным организациям.
Перечень транспортных объектов, на которые должны разрабатываться проектные задания, рекомендуется включить в состав предложений комплексной транспортной схемы в целях ускорения реализации основных решений схемы.
ТЕХНОЛОГИЯ ПРОЕКТИРОВАНИЯ ТРАНСПОРТНОЙ СИСТЕМЫ ГОРОДА
1.4. Технология - состав, содержание и последовательность выполнения операций при проектировании транспортной системы города - устанавливается с учетом положений программно-целевого метода. При этом и современное положение, и проектируемое состояние транспортной системы характеризуются единым комплексом параметров, по которым оценивается степень развития транспортной системы.
Главная цель развития транспортной системы - обеспечить объективно обусловленные потребности в перемещении грузов и населения по территории города. Для этого необходимо:
обеспечить доступность объектов трудового и культурно-бытового тяготения, грузообразующих и грузопоглощающих зон;
создать социально целесообразную и экономически оправданную систему городских путей сообщения с учетом перспектив ее развития, определяемых генеральным планом города;
обеспечить соответствие пропускной и провозной способностей транспортных коммуникаций объемам городского движения;
обеспечить экономическую эффективность, безопасность и комфортабельность пассажирских и грузовых перевозок;
сохранять и рационально использовать окружающую среду.
1.5. Основанием для разработки проекта являются план проектно-изыскательских работ и задание на проектирование, которые выдаются проектной организации заказчиком.
Кроме того, заказчик обеспечивает сбор и подготовку исходной информации, контролирует выполнение проектных работ, принимает проектную документацию, проверяет и оценивает ее качество и полноту, направляет проект на согласование и представляет его на утверждение.
В задании на проектирование указываются:
объект проектирования и территория, охватываемая проектно-изыскательскими работами;
источники финансирования обследований и проектных работ;
расчетные сроки проектирования (10 - 15 лет) с выделением I очереди строительства на 5 - 7 лет (с обязательной увязкой со сроками пятилетних планов экономического и социального развития страны);
наличие утвержденного генерального плана города и другой проектной документации по транспортным сооружениям города и пригородной зоны, необходимость их корректировки;
наличие исходной информации и необходимость проведения транспортных обследований для ее получения; перечень необходимых исходных данных, необходимость проведения транспортных обследований и состав получаемых на их основе показателей определяются проектной организацией в соответствии с
Руководством [19] и согласовываются с заказчиком;
особые условия проектирования, к которым относятся требования о детальной разработке транспортных коммуникаций в отдельных зонах города, необходимость разгрузки некоторых зон от транспорта, задачи по обоснованию планировочных решений и сроков строительства отдельных транспортных сооружений и введение новых видов транспорта;
сроки выполнения проектных работ.
1.6. Разделы комплексной транспортной схемы разрабатываются поэтапно в следующем порядке:
анализ современного состояния элементов транспортной системы города (внешний и пригородный транспорт, сеть магистральных улиц и дорог, городской и пассажирский транспорт, транспортное хозяйство города);
сводная оценка современного состояния транспортной системы и уровня обслуживания населения;
оценка возможностей обслуживания города существующими видами транспорта и определение необходимости создания новых видов транспорта и развития элементов транспортной системы;
формирование вариантов развития транспортной системы города с учетом обеспечения реализации принципиальных положений генерального плана;
технико-экономические расчеты по определению размеров городского движения, оценки пропускной и провозной способности транспортных коммуникаций, объемов и очередности капиталовложений в строительство и эксплуатацию элементов транспортной системы города;
основные принципиальные положения и технико-экономические показатели транспортной системы города.
Детализация и методика разработки каждого из перечисленных этапов устанавливаются с учетом социально-экономических и транспортно-планировочных особенностей проектируемого города в зависимости от наличия, срока давности разработки и результатов реализации выполненной ранее проектной документации по развитию города, городского и внешнего транспорта и транспортных сооружений; наличия и срока давности проведения транспортных обследований; особых условий, предусмотренных заданием на проектирование.
1.7. Оценка существующих путей сообщения и сложившейся системы транспортного обслуживания проектируемого города производится с целью выявления специфики и потребностей в развитии городского пассажирского транспорта и установления закономерностей для разработки проектных предложений.
Варианты проектного решения по развитию транспортной системы формируются на основе сопоставления объективно существующих потребностей во внутригородских перевозках и реально действующих ограничений.
1.8. При определении потребностей в пассажирских и грузовых перевозках следует учитывать следующие факторы:
социальные - размеры города, его роль в системе расселения, уровень развития социальной инфраструктуры, которые определяют общую подвижность населения и целевую структуру передвижений, грузооборот и состав перевозимых грузов;
технологические - характер размещаемых в городе производственных объектов, соотношение административных учреждений, научно-исследовательских и проектных организаций, предприятий культурно-бытового обслуживания, различных видов производства, которые определяют особенности расселения трудящихся и объективные закономерности концентрации транспортных потоков в отдельные периоды суток или сезоны года;
планировочные - особенности размещения в плане города отдельных функциональных зон, объектов тяготения, структуру путей сообщения, взаимосвязь города с другими населенными пунктами, зонами массового отдыха, которые определяют направление и интенсивность корреспонденций населения и грузов, степень использования различных видов транспорта в передвижениях.
1.9. Потребности города в пассажирских и грузовых перевозках, выявленные с учетом формирующих их факторов, количественно выражаются в параметрах развития путей сообщения города, перечень которых для конкретного объекта устанавливается в соответствии с рекомендациями, содержащимися в
разд. 2 -
6 с учетом реально действующих для проектируемого города ограничений.
Под воздействием ограничений увеличиваются непрямолинейность и протяженность путей сообщения, дальность и продолжительность передвижений населения и перевозок грузов, снижается комфортность поездок, повышаются эксплуатационные расходы на пассажирские и грузовые перевозки.
1.10. При изучении ограничений устанавливаются:
особенности размещения в плане города и размеры планировочных зон, историко-архитектурных и природных охраняемых объектов, их положение относительно существующих путей сообщения, возможности обеспечения кратчайших связей между жилыми районами, промзонами и основными объектами тяготения;
наличие естественных и искусственных рубежей (водных пространств, железнодорожных путей и устройств, закрытых территорий), существующие переходы через них, возможности создания новых переходов;
гидрологические условия и наличие подземных инженерных коммуникаций и сооружений (в местах предлагаемого размещения мостовых и тоннельных переходов, по направлению возможных трасс внеуличного транспорта);
размеры и конфигурация санитарно-защитных зон, необходимость природоохранных мероприятий, связанных с прокладкой транспортных коммуникаций;
размеры капиталовложений в развитие пассажирского транспорта (сетей магистральных улиц и дорог, транспортного хозяйства города), возможности их освоения городскими строительными организациями с выделением доли капиталовложений за счет бюджета местных Советов, за счет долевого участия промышленных предприятий, министерств и ведомств, за счет средств, выделяемых целевым назначением на отдельные транспортные сооружения.
В случае если уровень развития транспортной системы города, с учетом воздействия ограничений, не удовлетворяет нормативным требованиям, разрабатываются мероприятия по снижению воздействия этих ограничений:
корректировка принятого функционального зонирования, размеров, конфигурации и емкостей планировочных зон введением скоростных внеуличных путей сообщения;
уточнение размещения жилых районов, общественных центров, промышленных узлов относительно магистральных путей сообщения и грузовых дорог;
обоснование дополнительных целевых капиталовложений на градостроительное освоение территорий и создание новых скоростных и обладающих высокой провозной способностью видов транспорта.
1.11. Конструирование системы путей сообщения города производится с учетом результатов оценки современного уровня обслуживания населения, возможности использования существующих видов транспорта для освоения перспективных объемов перевозок для принятого планировочного решения города, его функционального зонирования и структуры сети магистральных улиц и дорог.
При необходимости рассмотрения возможностей развития различных видов транспорта и технико-экономическом обосновании выбора видов транспорта и их трасс конструирование сетей производится для каждого из вариантов развития системы пассажирского транспорта.
Структура путей сообщения формируется в соответствии с композицией городского плана и объективными закономерностями расселения трудящихся. Возможности создания рациональной структуры сетей в свою очередь должны учитываться при оценке вариантов территориального развития города и функционального зонирования территории в расчетные сроки комплексной транспортной схемы.
1.12. Технико-экономические расчеты по вариантам развития транспортной системы города производятся с целью:
обеспечения соответствия провозной способности сетей пассажирского транспорта перспективным размерам пассажироперевозок;
обеспечения выбора наиболее эффективного варианта;
оценки объемов капиталовложений и условия реализации проектных решений.
В процессе технико-экономических расчетов определяются:
размеры ожидаемых объемов пассажироперевозок и интенсивность городского движения;
провозная и пропускная способность участков сетей применительно к градостроительным условиям проектируемого города;
условия эксплуатации по видам транспорта;
капиталовложения и расходы, связанные с эксплуатацией видов транспорта и осуществлением перевозок, необходимые для реализации проектных предложений.
1.13. Численность и состав парка подвижного состава устанавливаются в соответствии с ожидаемыми объемами и размерами пассажиропотоков с целью установления размеров территории для размещения транспортного хозяйства города, определения необходимых капиталовложений и эксплуатационных расходов.
Капиталовложения в развитие системы пассажирского транспорта, эксплуатационные расходы и приведенные затраты по сравниваемым вариантам определяются в соответствии с Указаниями Госплана СССР, приведенными в
прил. 1 и методическими рекомендациями Института комплексных транспортных проблем при Госплане СССР
[12], а также по проектам-аналогам.
Выбор вида транспорта производится на основе технико-экономических обоснований с учетом результатов анализа градостроительных особенностей развития города, предполагаемых размеров пассажироперевозок, функциональных и эксплуатационных характеристик видов транспорта и их провозной способности.
2. ТРАНСПОРТНО-ПЛАНИРОВОЧНАЯ ОЦЕНКА ГОРОДА
И УРОВНЯ ТРАНСПОРТНОГО ОБСЛУЖИВАНИЯ НАСЕЛЕНИЯ
ГОРОДСКОЙ ПАССАЖИРСКИЙ ТРАНСПОРТ
2.1. Анализ развития системы пассажирского транспорта города и обеспечиваемого уровня пассажирского обслуживания населения осуществляется на основе изучения:
планировочной структуры и технического состояния транспортных коммуникаций;
передвижений и поездок населения города и приезжих на массовом транспорте;
тенденций развития города и его транспортной системы.
Планировочная структура и техническое состояние транспортных коммуникаций изучаются графоаналитическим методом на плане города в масштабе 1:10 000 или 1:25 000 по данным бюро инвентаризации и рекогносцировочно.
При этом устанавливаются:
протяженность транспортных коммуникаций и маршрутов различных видов транспорта по транспортно-планировочным зонам и по городу в целом;
участки сетей, где параметры улиц и дорог не соответствуют техническим нормативам или не обеспечивается безопасность движения;
размещение и технико-эксплуатационная характеристика транспортного хозяйства, гаражей и автостоянок общественного и индивидуального транспорта;
численность населения и площадь территории транспортно-планировочных зон и города в целом;
положение в плане города наиболее крупных объектов трудового и культурно-бытового тяготения, ценных природных ландшафтов и архитектурных ансамблей, естественных и искусственных рубежей, препятствующих организации прямолинейного движения.
Передвижения населения и пассажироперевозки на массовом транспорте изучаются по результатам транспортных обследований, после обработки материалов которых должны быть определены:
общая и транспортная подвижность населения города и отдельных транспортно-планировочных зон;
относительная и транспортная подвижность следующих групп населения: рабочих, служащих, пенсионеров, домохозяек и школьников, студентов;
относительная и транспортная подвижность следующих возрастных групп населения: 7 - 18, 19 - 25, 26 - 60 лет и старше 60 лет;
доля следующих типов передвижений в суточном объеме: на работу, на учебу для студентов и работающих, деловых, к предприятиям торговли промышленными товарами, к предприятиям торговли продовольственным товарами, к учреждениям здравоохранения, на отдых, к предприятиям коммунально-бытового обслуживания, к культурно-просветительным учреждениям, к административным учреждениям, к прочим объектам, возвращение к месту жительства раздельно с работы, учебы, от культурно-бытовых объектов;
интенсивность корреспонденций населения и пассажирских корреспонденций между зонами города с трудовыми и культурно-бытовыми целями;
распределение трудовых, культурно-бытовых и возвратных передвижений по затратам времени на сообщение и по времени суток;
средние значения коэффициента пользования транспортом и изменение его в зависимости от дальности передвижения;
доля поездок без пересадок в общем объеме передвижений жителей города с использованием массового пассажирского транспорта;
характеристики использования легковых автомобилей;
доля поездок на каждом из видов массового и индивидуального транспорта и ее изменение в зависимости от соотношения затрат времени на передвижение;
средние затраты времени на трудовые и культурно-бытовые передвижения для города в целом и для населения отдельных планировочных зон;
численность приезжающих в город с трудовыми, культурно-бытовыми целями и распределение приезжих по планировочным зонам;
объемы пассажироперевозок различными видами транспорта;
частота движения на маршрутах массового транспорта;
пассажиропотоки на сетях пассажирского транспорта в час пик, за сутки;
распределение пассажироперевозок по часам суток;
насыщенность сетей пассажирского транспорта подвижным составом.
При анализе тенденций развития города и различных видов пассажирского транспорта устанавливаются:
особенности планировочной структуры города;
динамика численности населения, его социально-возрастная структура;
тенденции развития сетей и устройств пассажирского транспорта;
динамика инвентарного парка подвижного состава пассажирского транспорта и его технико-эксплуатационная характеристика;
капиталовложения в развитие пассажирского транспорта за предыдущие две-три пятилетки.
Транспортно-планировочное зонирование и районирование территории выполняется с учетом принятого в генеральном плане функционального и планировочного зонирования, административных границ, естественных рубежей, тяготения населения к узлам общественного пассажирского транспорта, особых требований методики проектных расчетов. Должна быть обеспечена идентичность транспортно-планировочного зонирования и районирования как при анализе современного состояния и проведения обследований, так и при разработке проектных предложений к проведению расчетов пассажирских корреспонденций и пассажиропотоков.
2.2. Планировочная структура сетей массового пассажирского транспорта характеризуется геометрическими особенностями построения коммуникаций в городе в целом (для коммуникаций, связывающих планировочные зоны города между собой и пригородной зоной) и в отдельных планировочных зонах, плотностью и прямолинейностью коммуникаций, разветвленностью маршрутной сети.
Плотность сети линий пассажирского транспорта определяется для города в целом

и для планировочных зон

, км/км
2, и характеризует возможности обеспечения доступности остановочных пунктов:
где Lc, Lci - протяженность сети линий общественного транспорта соответственно для города в целом и для i-ой планировочной зоны, км;
So, Si - площадь территории городской застройки соответственно для города в целом и для i-й планировочной зоны, км2.
Для оценки значения показателя

в жилых районах города необходимо учитывать расположение зоны в плане города и структуру пассажирских связей. При этом рекомендуются следующие пределы значений

, км/км
2:
в периферийных жилых районах,
обслуживаемых только радиальными связями с
центром города ........................................... 1 - 1,2;
в периферийных и срединных жилых районах,
обслуживаемых радиальными связями
с центром города; кольцевыми и хордовыми
связями с соседними районами .............................. 1,2 - 1,5;
в центральных районах, через которые
проходят только радиальные и диаметральные
линии ..................................................... 1,5 - 2;
в центральных районах с развитой сетью
радиальных, диаметральных и хордовых
линий ...................................................... 1,7 - 3,3
Для промышленных зон и районов с обширными рекреационными территориями, выставочными комплексами и т.п., значение показателя

оценивается в зависимости от особенностей функционального зонирования и с учетом возможности обеспечения доставки населения к проходным промышленных предприятий или входам в зоны отдыха, выставочным или торгово-общественным комплексам.
Непрямолинейность сообщений жилых зон с основными зонами тяготения, вызываемая естественными или искусственными рубежами (водные пространства, охраняемые территории, закрытые производственные зоны, железнодорожные станции и пути, резкие перепады рельефа), вызывает увеличение протяженности сетей, пробега транспортных средств, затрат времени на сообщение, что может обусловливать необходимость организации скоростных сообщений.
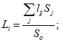
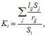
Степень прямолинейности линий пассажирского транспорта оценивается коэффициентом непрямолинейности Ko для города в целом и Ki для планировочных зон:
где Si, Sj - площадь городской застройки соответственно для жилых зон (i) и зон тяготения (j), км2;
So - площадь городской застройки для города в целом, км2;
rij - расстояние между центрами жилых зон и зон тяготения по воздушной прямой, км;
lij - кратчайшее расстояние между центрами тех же зон с учетом реальных возможностей перехода через препятствия и обхода их, км.
Значение коэффициента непрямолинейности должно быть не выше: для линий, связывающих жилые районы с центром города, - 1,2; для линий, связывающих периферийные районы между собой и в среднем для всей сети, - 1,3.
Разветвленность маршрутных сетей оценивается для города в целом маршрутным коэффициентом

, который определяется для каждого вида транспорта и общий для всех пассажирских коммуникаций:
где Lм - суммарная протяженность маршрутов, км.
Значение показателя

, определяемого для всех видов пассажирских коммуникаций города, должно находиться в пределах 2 - 4. При меньших значениях

малая совмещенность маршрутов ухудшает условия организации пересадок, ограничивает возможности удобного взаимодействия видов транспорта. При больших значениях

излишняя разветвленность маршрутов снижает насыщение их транспортными средствами, приводит к увеличению маршрутных интервалов движения.
2.3. Градостроительные условия развития видов и сетей пассажирского транспорта города и его планировочных зон характеризуются показателями плотности населения, удаленности объектов тяготения от жилых зон и средним радиусом доступности объектов тяготения для населения жилых зон. Кроме того, при характеристике градостроительных условий следует оценить размещение в плане города естественных и искусственных рубежей, природоохранных зон, архитектурных ансамблей; возможности обхода этих зон и объектов транзитным движением и их влияние на организацию прямолинейных связей районов города между собой и с пригородной зоной.
Плотность населения Pi, тыс. чел./км2 определяется для селитебных и производственно-селитебных планировочных зон:
где Hi - емкость i-ой зоны, определяемая численностью расселяемого в ней населения, тыс. чел.;
Si - площадь застроенной территории, км2.
При анализе современного состояния на основании параметра плотности населения необходимо оценить возможности организации пассажирского обслуживания населения планировочных зон города.
При P менее 3 - 5 тыс. чел./км2, что соответствует в основном усадебной 1 - 2-этажной застройке, пассажирское обслуживание населения рекомендуется обеспечивать организацией автобусного сообщения, в том числе и транзитного по отношению к данной зоне.
При P от 5 до 10 - 12 тыс. чел./км2, что соответствует капитальной малоэтажной (в основном не выше пяти этажей) застройке, пассажирское обслуживание населения рекомендуется обеспечивать автобусом и троллейбусом с устройством конечных пунктов маршрутов этих видов транспорта, либо прокладкой линий рельсового электротранспорта (трамвая).
При P более 12 тыс. чел./км2, что соответствует высотной капитальней застройке, пассажирское обслуживание населения рекомендуется базировать на преимущественном развитии электротранспорта (трамвая и троллейбуса) с размещением конечных пунктов маршрутов всех видов наземного пассажирского транспорта.
Показатели средней удаленности объектов тяготения от жилых зон Li (для отдельных планировочных зон) и Lo (для города в целом) и среднего радиуса доступности Di и Do характеризуют взаиморазмещение и емкость функциональных зон города и присущую данному планировочному решению потребность в развитии городского пассажирского транспорта:
где Fj - емкость объектов тяготения, размещаемых в j-ой зоне тяготения, тыс. чел.;
Fo - то же, в целом для города;
Hi, Ho - численность населения соответственно для i-ой жилой зоны и города в целом, тыс. чел.;
Si, Sj, So - площадь городской застройки для соответствующих зон и для города в целом, км2;
lij - кратчайшее расстояние между центрами жилых зон и зон тяготения с учетом реальных условий перехода через естественные и искусственные препятствия, км.
Расчет показателей L и D рекомендуется производить, как правило, для оценки размещения объектов трудового тяготения относительно жилых районов и соответствия их емкости численности населения близлежащих жилых зон. В отдельных случаях при развитии на расчетные сроки комплексной транспортной схемы крупных общественно-торговых центров подобный анализ может быть выполнен и для объектов культурно-бытового тяготения.
При анализе современного положения по значению показателей L и D необходимо оценить существующие потребности в организации пешеходных коммуникаций или скоростных сообщений и объективные возможности реализации этих потребностей в расчетные сроки проекта исходя из приведенных ниже рекомендаций.
При

емкости жилых зон и объектов тяготения не соответствуют их взаиморасположению и создаются дополнительные трудности по организации пассажирских сообщений: увеличиваются коэффициент пользования транспортом и объемы пассажироперевозок, средняя дальность поездки и работа пассажирского транспорта, затраты времени на сообщение и транспортная усталость. В этом случае рекомендуется по мере возможности пересмотреть очередность жилищного строительства и увеличить его объемы в зонах, прилегающих к наиболее крупным промышленным предприятиям.
При Di < 2 - 3 км для отдельных направлений трудовых или культурно-бытовых корреспонденций обеспечивается пешеходная доступность объектов тяготения и в системе транспортных коммуникаций необходимо выделять специальные трассы пешеходного движения - аллеи, бульвары и т.п.
При Di от 3 до 10 - 12 км нормативные затраты времени на сообщения могут быть в основном обеспечены наземными видами пассажирского транспорта.
При Di более 10 - 12 км для обеспечения нормативных затрат времени на сообщение для обслуживания отдельных, наиболее протяженных пассажирских корреспонденций населения необходима организация скоростных пассажирских корреспонденций - экспресс-автобуса или скоростного трамвая - в зависимости от размеров пассажиропотока.
2.4. Уровень пассажирского обслуживания населения оценивается по следующим параметрам:
объемы передвижений населения - по показателям общей и транспортной подвижности, ее целевой структуре и пространственной неравномерности;
доступность объектов тяготения, обеспечиваемая системой пассажирского транспорта, - по среднему радиусу расселения, средним затратам времени на сообщения, доле передвижений с затратами времени в пределах до 30, 40, 60 мин;
эффективность функционирования системы пассажирского транспорта по обслуживанию населения - по средней скорости перемещения в пространстве города, уровню наполнения подвижного состава и интервалам движения на сетях пассажирского транспорта, доле передвижений, совершаемых без пересадки, с одной, двумя и более пересадками.
2.5. Общая и транспортная подвижность населения и ее целевая структура устанавливаются для города в целом и характерных планировочных зон и оцениваются по соотношению с данными обследований по городам, близким проектируемому по планировочной структуре, социально-экономическому потенциалу и роли в системе расселения.
Для оценки пространственной неравномерности подвижности населения в соответствии с рекомендациями ЦНИИПградостроительства
[14] на плане города с транспортными районами, по которым проведено обследование подвижности населения, наносятся характеристики передвижений жителей районов города:
P - среднесуточная подвижность населения за период обследования;
T - среднесуточные затраты времени на все передвижения, совершенные в течение суток, мин.
Производится расчет следующих статистических характеристик совокупностей P, T:
средние арифметические

,

;
минимальные и максимальные значения показателей Pmin, Pmax, Tmin, Tmax;
средние квадратические отклонения показателей

,

.
По результатам расчета на плане города удобного масштаба строятся изолинии показателей
P,
T и выделяются территории, благоприятные и неблагоприятные по транспортному обслуживанию. По каждой из характеристик передвижений
i-го района выделяются территории, где значение признака выше и ниже среднего. Благоприятными считаем территории, где сформировались подвижность населения выше средней, а затраты времени ниже средних:

,

.
Неблагоприятными считают территории, где подвижность населения ниже средней, а затраты времени выше средних:

,

.
Путем сопоставления чертежей изолиний P и T с выделенными по каждому показателю неблагоприятными зонами определяется зона, не благоприятная по комплексу всех показателей.
В случае если неблагоприятная территория оказалась обширной и на ней нужно выделить самые неблагоприятные участки, повторяется описанная процедура, но на базе измененной шкалы оценок. Смещение производится на величину одного порядка - на среднее квадратическое отклонение признака. Наиболее неблагоприятными считаются территории, характеризуемые следующими значениями показателей:

;

.
2.6. Средний радиус расселения учитывает объективные закономерности расселения населения относительно объектов тяготения в создаваемых в системах пассажирского транспорта условиях для совершения передвижений, и определяется для селитебных планировочных зон Ri и города в целом Ro:

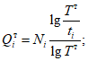
- для
i-й жилой зоны;

- для города в целом;
где qij - фактические размеры корреспонденций населения между i-й жилой зоной и j-й зоной тяготения по результатам обследований (для оценки современного положения) и расчетные размеры корреспонденций населения (для проектного решения).
При R < D система пассажирского транспорта ограничивает ареал доступности объектов тяготения. На плане города выделяются планировочные зоны, где Ri <= 0,8D и Ri >= 5 км.
Средние затраты времени на сообщение между районами города устанавливаются для трудовых, культурно-бытовых и других видов передвижений. По этим показателям, отнесенным на плане города к центрам транспортных районов, строятся изохронограммы затрат времени на сообщение по перечисленным выше целям передвижений и выделяются территории, для которых значение затрат времени свыше 30, 40 и 60 мин.
При регулярном проведении обследований рекомендуется установить динамику этого показателя в процессе развития города и выявить изменение его составляющих - затрат времени на подход к остановочному пункту, на отход от него, ожидание транспорта, собственно поездку.
Оценка распределения передвижений по продолжительности производится исходя из рекомендуемой доли передвижений с затратами времени: до 30 мин - не более 80%, до 40 мин - не более 85 - 90%, до 60 мин - не более 95%.
По результатам анализа доступности объектов тяготения для населения планировочных зон выделяются территории с неудовлетворительным уровнем пассажирского обслуживания населения, возможности организации скоростных сообщений и прокладки более прямолинейных путей сообщения. Кроме того, проверяются условия совершения поездок населением таких зон (наполнение подвижного состава, дальность подхода к остановочным пунктам, частота движения транспортных средств) и оцениваются возможности их улучшения.
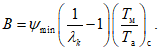
2.7. Реально обеспечиваемая системой пассажирского транспорта скорость перемещения в пространстве города
Vi,
Vo, км/ч, характеризуется соотношениями:

- для
i-й жилой зоны;

- для города в целом,
где Ti и To - соответственно средние затраты времени на сообщение с объектами тяготения для жителей i-й жилой зоны или города в целом, определяемые по результатам обследований или в процессе расчета корреспонденций населения между районами города, мин.
Значения Vi и Vo оцениваются по их соответствию показателю скорости перемещения в пространстве города, необходимой для обеспечения доступности объектов тяготения;

- для
i-й жилой зоны;

- для города в целом,
где T* - предельно допустимые затраты времени на передвижение к объектам тяготения.
При V < 0,7V* система пассажирского транспорта работает неудовлетворительно. Кроме того, при абсолютных значениях Vi < 4 - 5 км/ч система пассажирского транспорта работает нерационально.
Уровень наполнения подвижного состава оценивается отношением числа стоящих пассажиров (при занятых местах для сидения) к свободной площади салона. Рекомендуется обеспечивать следующее наполнение подвижного состава на 1 м2 свободной площади пола:
для массовых видов пассажирского транспорта с обычным режимом работы и расстоянием между остановочными пунктами 500 - 600 м - 5 пассажиров на 1 м2;
для экспрессных автобусных перевозок и скоростного трамвая при расстоянии между остановочными пунктами 1 - 1,2 и более км - 6 пассажиров на 1 м2.
При более высоком уровне наполнения подвижного состава снижается комфортность пассажироперевозок и ухудшаются эксплуатационные показатели работы пассажирского транспорта - увеличивается время простоя на остановочных пунктах, уменьшается эксплуатационная скорость, снижается производительность транспортного средства.
При анализе интервалов движения подвижного состава выявляются участки сетей с маршрутными интервалами более 5 мин и сетевыми интервалами менее 1 мин.
Большие маршрутные интервалы допускаются только на маршрутах, обслуживаемых транспортными средствами малой вместимости при небольших пассажиропотоках (менее 700 пассажиров в час пик). Меньшие сетевые интервалы затрудняют нормальную эксплуатацию подвижного состава и снижают регулярность движения.
По доле передвижений, совершаемых без пересадок
d0, с одной
d1, двумя и более пересадками
d2, определяется коэффициент пересадочности для отдельных планировочных зон

и города в целом

:
Рекомендуемые значения

при обслуживании населения:
одним видом пассажирского транспорта

;
двумя видами транспорта

;
тремя и более видами транспорта

.
По результатам анализа современного положения составляется сводная его оценка, выявляются потребности и возможности совершенствования системы пассажирского транспорта города.
ПРИГОРОДНЫЙ ПАССАЖИРСКИЙ ТРАНСПОРТ
2.8. Вопросы развития транспортной сети пригородной зоны разрабатываются детально и должны базироваться на анализе современного состояния всех видов пригородного транспорта. При этом учитываются уровень развития путей сообщения и транспортного хозяйства пригородной зоны и степень загрузки транспортной сети города и его пригородной зоны потоками пассажиров и транспорта пригородно-городского сообщения; закономерности формирования пассажиропотоков в сообщении "город-пригород" и уровень транспортного обслуживания территории и населения пригородной зоны.
2.9. Анализ и оценка современного состояния дорожно-транспортной сети и транспортного хозяйства пригородной зоны производится на основе сбора, обработки и систематизации данных, характеризующих:
планировочные особенности путей сообщения, их протяженность, технические параметры (ширина колеи, количество путей на перегонах, вид тяги; ширина проезжей части автомобильных дорог, вид покрытий; для водных путей - ширина и глубина фарватера), среднюю плотность путей сообщения
(прил. 3);
основные искусственные (развязки, мосты, тоннели, переправы) и крупные транспортные сооружения (вокзалы, станции, порты, пристани) с указанием места расположения и их соответствия объему и характеру работы, территориальные резервы для дальнейшего развития;
динамику распределения пригородных пассажироперевозок по видам транспорта;
технико-эксплуатационные и экономические показатели работы различных видов пригородного пассажирского транспорта;
маршрутную схему пригородного пассажирского транспорта, плотность сети линий транспортных коммуникаций, основные показатели работы маршрутов.
2.10. Для прогнозирования пригородных пассажиропотоков следует выявить существующие закономерности расселения жителей пригородной зоны относительно мест работы в городе-центре, тяготение населения к пунктам обслуживания (культурно-бытового и рекреационного), а также тенденции изменения этих закономерностей в связи с изменениями демографического состава, условий проживания населения, планировочной структуры города и его зоны влияния и т.д.
2.11. Для оценки условий реализации транспортных связей в пригородной зоне следует определить степень соответствия начертания линий пассажирского транспорта основным направлениям тяготения населения (по неравномерности распределения перевозок по участкам сети маршрутов, загрузке транспортных коммуникаций потоками пассажиров и транспорта), установить интенсивность движения транспортных потоков на подходах к городу, а также соответствие технических параметров участков транспортной сети потокам транспорта.
Одним из наиболее важных показателей, характеризующих качественный уровень транспортного обслуживания населения пригородной зоны, являются затраты времени на передвижения с различными (прежде всего трудовыми) целями, определяемые в результате обследования пассажиров пригородного сообщения.
Транспортная доступность основных центров тяготения населения определяется путем построения изохрон с использованием расписаний движения автобусов и поездов, с учетом распределения межселенных пассажиропотоков между различными видами транспорта (включая и легковой автотранспорт). В расчет следует вводить реально достигнутые скорости сообщения подвижного состава, затраты времени пассажиров на подход к остановочным пунктам массового пассажирского транспорта и ожидание подвижного состава.
Транспортная обслуженность территории рассматриваемой зоны определяется выявлением населенных пунктов, расположенных за пределами нормативной доступности города-центра, а также не охваченных сетью маршрутов массового пассажирского транспорта (см.
прил. 4).
2.12. Анализ современного состояния транспорта и оценка территории рассматриваемой пригородной зоны по обеспеченности транспортом и доступности основных центров тяготения должны выявить имеющиеся недостатки и диспропорции в транспортном обслуживании пригородной зоны, направления транспортных коммуникаций, не обеспечивающих нормативных затрат времени для достижения центров тяготения или с исчерпанной пропускной способностью; недостающие звенья в начертании сети (отсутствие подъездов к станциям железных дорог, пристаням и т.д.), ее разомкнутость.
ГРУЗОВОЙ АВТОМОБИЛЬНЫЙ ТРАНСПОРТ
2.13. Характеристика современного состояния работы грузового автотранспорта должна включать:
информацию о расположении грузообразующих и грузопоглощающих пунктов и складского хозяйства на территории города и его пригородной зоны;
анализ и оценку показателей работы грузового автотранспорта (среднюю дальность перевозки грузов, грузоподъемность автомобилей, коэффициенты использования пробега, грузоподъемности и т.д.);
анализ сложившихся корреспонденций между грузоформирующими пунктами и размеров грузового движения как внутри, так и на выходах из города;
наличие и емкость крупных грузовых автотранспортных предприятий, размещение устройств и сооружений грузового транспорта на территории города.
Основными источниками получения информации являются:
материалы генерального плана или ТЭО развития города - размещение грузообразующих и грузопоглощающих пунктов, устройств и сооружений грузового транспорта;
отчетные данные по технико-экономическим показателям работы автотранспорта, получаемые в статистических органах и управлениях грузового автотранспорта;
материалы специально проведенных анкетных и натурных обследований, отражающих размеры и корреспонденции грузопотоков, интенсивность и состав машинопотоков по направлениям и участкам транспортной сети города и на выходах из него, транзитный грузопоток.
2.14. Для анализа стабильных грузовых корреспонденций между корреспондирующими объектами в сложившихся городах рекомендуется применять типовые модели грузовых связей, содержащие характеристику распределения объема перевозок между взаимосвязанными объектами по категориям грузов, перевозимых автотранспортом, согласно разработанной Гипроградом методике расчета грузовых корреспонденций.
СЕТЬ МАГИСТРАЛЬНЫХ УЛИЦ И ДОРОГ
2.15. Транспортно-планировочная оценка существующей улично-дорожной сети (УДС) проводится на основе обследований ее планировочных параметров и технических характеристик, а также организации движения и включает в себя:
характеристику планировки улично-дорожной сети и имеющихся в городе дорожно-транспортных сооружений (развязок, мостов, путепроводов, эстакад, пешеходных переходов);
транспортно-планировочные особенности магистралей и их классификацию;
оценку существующих методов и форм организации движения;
санитарно-гигиеническую оценку магистральной сети.
Работу улично-дорожной сети следует оценивать на основе таких характеристик, как:
уровень загрузки магистралей и основных узлов;
скорость движения транспортных потоков;
уровень безопасности движения транспорта и пешеходов;
доля транзитного движения;
плотность магистральной сети с учетом дифференциации по зонам города.
Эти характеристики должны выявить разрыв между существующим и нормативным уровнями, т.е. остроту проблемы в части развития УДС, и обеспечить необходимый материал для разработки проектных предложений на расчетные сроки КТС.
Исходя из того, что КТС является этапом реализации генерального плана города, целесообразно давать краткое описание магистральных улиц и дорог по
СНиП II-60-75* "Планировка и застройка городов, поселков и сельских населенных пунктов", в соответствии с которым УДС классифицирована в генеральном плане. При этом рекомендуется для улиц и дорог на этапе существующего положения выполнить оценку соответствия рассматриваемых конкретных магистралей нормам СНиП. Результаты оценки рекомендуется свести к
ф. 1 прил. 5, в которой должны быть выделены все категории магистральных улиц и дорог. По каждой категории следует определить протяженность и плотность, а также установить суммарную плотность магистральных улиц и дорог в целом по городу (в дальнейшем все таблицы, содержащие графу "Наименование магистралей", желательно давать в порядке перечисления данной таблицы).
2.16. При анализе существующей сети помимо функционального признака критериями причисления улиц к магистральной сети в исторически сформировавшихся городах могут служить наличие постоянных линий общественного транспорта, загрузка потоками интенсивностью более 300 ед./ч <*> на полосу в часы пик, наличие транзитного, по отношению к району, обслуживаемому данной улицей, движения в объеме, превышающем 50% общего потока на улице в часы пик.
--------------------------------
<*> Здесь и далее размерность ед./ч применяется к интенсивности, измеряемой в приведенных транспортных единицах, размерность авт./ч (авт./сут) - к интенсивности, измеряемой в натуральных (физических) транспортных единицах.
2.17. Имеющаяся магистральная УДС может быть оценена (на основе обследований скоростей движения) по уровню обеспечения скорости сообщения машинопотока легковых автомобилей в час пик на достаточно протяженных участках. Рекомендуемые значения скорости сообщения машинопотока, км/ч, приведены в табл. 1
[27].
Таблица 1
Магистральные улицы | Скорость сообщения машинопотока, км/ч, в зонах |
центральной | остальных |
Общегородского значения | 30 | 40 |
Районного значения | 20 | 30 |
Кроме оценки УДС необходимо также привести характеристики мостов, путепроводов, транспортных и пешеходных развязок по их длине, ширине проезда и тротуаров, а также материалу.
2.18. В фактических условиях дорожного движения в городах с населением до 500 тыс. жителей при отсутствии магистралей непрерывного движения пропускная способность УДС полностью определяется пропускной способностью пересечений - суммой максимального количества транспорта (в приведенных единицах в час), которое может пройти через сечения проезжих частей на подходах к пересечению. Фактическую пропускную способность узлов рекомендуется определять по имеющемуся распределению потоков на регулируемых и саморегулируемых пересечениях и принятым на время обследования условиям организации движения циклов светофорного регулирования. Пропускную способность нерегулируемых пересечений, а также кольцевых саморегулирующихся узлов рекомендуется принимать по данным табл. 2 и
3.
Таблица 2
Соотношение пересекающихся потоков | Пропускная способность пересекающихся полос при однополосных проезжих частях, ед./ч |
главная улица | второстепенная улица | всего |
1:5 | 850 | 170 | 1020 |
1:4,5 | 830 | 180 | 1010 |
1:4 | 800 | 200 | 1000 |
1:3 | 740 | 240 | 980 |
1:2 | 630 | 320 | 950 |
1:1,5 | 560 | 370 | 930 |
1:1 | 450 | 450 | 900 |
Длина линии слияния, м | Пропускная способность линии слияния, ед./ч, при скорости, км/ч |
40 | 55 |
30 | 700 | 350 |
60 | 1000 | 600 |
90 | 1200 | 750 |
120 | 1400 | 900 |
2.19. Пропускную способность регулируемых узлов рекомендуется принимать на основе конкретных расчетов по известным методикам [
20,
21,
27] с учетом следующих положений:
конфликтующими направлениями при однополосных проезжих частях являются, как правило, прямые потоки, на Т-образных перекрестках - прямые и левоповоротные потоки;
при наличии двух полос на главной улице и преимущественном движении в прямом направлении суммарную пропускную способность следует принимать по сравнению с однополосным движением с коэффициентом 1,7 - 1,9;
при наличии большого левоповоротного движения следует выбирать сочетания, которые дают меньшую пропускную способность, т.е. либо пару прямых направлений, либо прямое и левоповоротное;
при наличии трамвайного движения по главной улице его можно не учитывать, при трамвайном движении на второстепенной улице необходимо уменьшать пропускную способность главного направления на ту долю, которую занимает трамвай в расчетном часе.
В отдельных случаях, например при исключении полосы для размещения стоянки, для приоритетного пропуска массового общественного транспорта в прямом или встречном направлении, размещении на перегоне пешеходного перехода - может возникнуть необходимость расчета пропускной способности проезжей части на перегоне. В этом случае рекомендуется пользоваться данными табл. 4 или производить конкретный расчет по вышеуказанным методикам.
Таблица 4
Магистрали | Пропускная способность полосы <*> движения, ед./ч |
Общегородского значения: | |
непрерывного движения | 1900 - 1400 |
регулируемого движения <**> | 850 - 700 |
| 750 - 650 |
Дороги грузового движения <**> | 850 - 700 |
--------------------------------
<*> При двух полосах движения принимаются максимальное и среднее значения, при числе полос более двух указанные значения принимаются для крайних полос, левой и правой соответственно, а для промежуточных полос - по линейной интерполяции.
<**> Из условия пропуска транспорта по данному направлению в течение 50% времени.
Пропускную способность кольцевых саморегулируемых пересечений рекомендуется определять по пропускной способности линии слияния
(табл. 3). В отдельных случаях следует рассматривать пропускную способность узла более детально в различных его сечениях, так как возможны большие правые или дальние левые повороты, для которых необходимо отводить свои полосы и тогда пропускная способность узла будет больше.
2.20. По результатам расчета пропускной способности узлов определяется уровень загрузки, представляющий собой отношение соответствующей максимальной загрузки узла по данным обследования к пропускной способности. Данные расчетов сводятся в
ф. 2 прил. 5.
Рекомендуется рассматривать пересечения в порядке описания магистральной УДС, а узлы в таблице типизировать в зависимости от методов расчета по категориям пересечений: I - нерегулируемое; II - кольцевое; III - со светофорным регулированием.
На основе определения уровней загрузки узлов должны быть сделаны выводы о запасе или исчерпании пропускной способности отдельных пересечений или магистральных направлений. При этом особое внимание следует обратить на вылетные узлы, а также на пересечения, пропускная способность которых определяется большими пешеходными потоками, поскольку такие узлы требуют специфических проектных решений.
2.21. Организация и безопасность движения оцениваются по структуре и скоростям транспортных потоков на основных магистралях, по наличию конкретных технических средств регулирования и способам организации движения, по уровню безопасности движения транспорта и пешеходов.
Классификация магистралей по структуре и скоростям транспортных потоков является основой для дифференциации улично-дорожной сети по видам транспорта и скоростям движения. Классификация проводится на основе натурных обследований.
Для классификации магистралей по движению преимущественных видов необходимо по данным обследований по каждой магистрали определить долю различных видов транспорта в общем потоке по интенсивности движения в приведенных единицах за час пик или (если есть обследования) за 12 ч или одни сутки.
К магистралям преимущественно грузового движения следует относить магистрали, на которых объем грузового движения составляет более 55%, смешанного движения - 45 - 55%, преимущественно легкового и общественного - менее 45%.
Кроме того, в классификации следует учитывать особые случаи организации движения массового пассажирского транспорта и показывать улицы с преимущественным движением трамвая, троллейбуса или автобуса, если таковые имеются.
Результаты рекомендуется представлять по
ф. 3 прил. 5.
Для классификации магистралей по скоростям движения необходимо, по данным скоростей сообщения машинопотока по обследованиям, получить кумулятивные кривые среднеходовых скоростей и от них перейти к максимальной скорости расчетного автомобиля, используя следующие коэффициенты:
85%-ное значение среднеходовой
скорости, км/ч ............................... 40 50 60 70 80
Коэффициент перехода к
максимальной расчетной ....................... 1,1 1,15 1,20 1,30 1,50
При наличии только средних скоростей движения (т.е. 50%) надо пользоваться этими же коэффициентами, а затем увеличивать скорость на 7 - 12 км/ч (разница, которая сейчас наблюдается между 50%-ными и 85%-ными значениями кумуляты).
Скорости движения классифицируются по трем категориям:
с ограничением скоростей не более 40 км/ч;
со скоростями в пределах, допускаемых действующими правилами дорожного движения, т.е. до 60 км/ч;
с повышенными скоростями движения до 80 км/ч.
Результаты рекомендуется представлять по
ф. 4 прил. 5.
2.22. Характеристику средств управления движением транспорта и пешеходов рекомендуется представлять по
ф. 5 прил. 5.
Необходимо также описать магистрали с особыми случаями организации движения (одностороннее, по принципу зеленой волны, пешеходная улица и т.п.), указать размещение крупных автомобильных стоянок, оказывающих влияние на прилегающие магистрали, площади кольцевого движения, а также дислокацию пешеходных переходов в разных уровнях.
2.23. Оценку условий безопасности движения рекомендуется давать в целом по городу и по основным магистралям.
В целом по городу рекомендуется указать число аварий и наездов раздельно за ряд лет (по карточкам учета ДТП в ГАИ), а также их относительные значения: на 1 тыс. жителей, на 1000 транспортных средств, на 1 км основных магистралей и на 1000 маш./км пробега.
Вместе с тем важна не только общая опасность магистрали, но и концентрация дорожно-транспортных происшествий на отдельных перегонах и перекрестках. В связи с этим необходимо раздельно для аварий и наездов определить все участки магистралей, где совершается не менее одного дорожно-транспортного происшествия в течение трех (лучше 5) лет подряд.
Результаты рекомендуется представлять по
ф. 6 прил. 5.
2.24. Все перечисленные в настоящем разделе характеристики желательно давать в их динамике (а при повторной разработке КТС данного города это обязательно) с тем, чтобы попытаться дать тенденцию изменения характеристик и, следовательно, на основе анализа существующего положения более обоснованно наметить задачи проектных решений.
Текстовой и табличный материал транспортно-планировочной оценки УДС и организации движения желательно сопроводить графической интерпретацией результатов в форме следующих картограмм и схем:
уровни загрузки узлов улично-дорожной сети;
картограмма структуры транспортных потоков;
классификация магистралей по структуре потоков;
среднеходовые скорости транспортных потоков;
классификация магистралей по допускаемым скоростям движения;
схема существующей организации движения;
картограмма относительной опасности магистралей по числу наездов на пешеходов и аварий, отнесенных к пробегу;
распределение дорожно-транспортных происшествий по участкам магистралей.
3. ПРОГНОЗ РАСЧЕТНЫХ ПАРАМЕТРОВ И ПРОЕКТИРОВАНИЕ СЕТЕЙ
МАССОВОГО ПАССАЖИРСКОГО ТРАНСПОРТА ГОРОДА
3.1. Проектирование сетей пассажирского транспорта при разработке комплексных транспортных схем ведется в следующем порядке:
выполняется транспортное районирование территории с учетом принятого в генеральном плане планировочного зонирования, административных границ, естественных рубежей, особенностей тяготения населения к линиям общественного транспорта, особых требований методики расчетов;
уточняются современное и проектируемое размещение нового жилищного и промышленного строительства, административно-общественных центров, численность населения и производственных кадров, емкость объектов культурно-бытового назначения в планировочных зонах и транспортных районах с учетом решений генерального плана города, его реализации в расчетные сроки КТС;
оцениваются сложившаяся планировочная организация сетей пассажирского транспорта, уровень развития различных видов общественного и индивидуального транспорта и транспортного хозяйства города, достигнутый уровень пассажирского обслуживания населения;
выявляются специфика сложившегося расселения трудящихся, особенности трудового и культурно-бытового тяготения населения, уровень подвижности и направление основных корреспонденций населения, особенности использования населением различных видов общественного и индивидуального транспорта в передвижениях по территории города и прилегающего района;
выявляются объективно действующие в расчетные сроки проектирования ограничения на удовлетворение потребностей населения в пассажироперевозках и устанавливаются возможности реализации в расчетный период КТС мероприятий по развитию пассажирского транспорта, намеченных генеральным планом города, количественные значения параметров и нормативов развития сетей пассажирского транспорта;
формируются варианты развития пассажирского транспорта и рассчитываются пассажирские корреспонденции и пассажиропотоки;
оцениваются уровень пассажирского обслуживания населения, обеспечиваемый по вариантам развития сетей, технико-экономические показатели вариантов;
для принятого варианта развития пассажирского транспорта проводятся необходимые уточнения и детальные разработки, выделяются первоочередные мероприятия.
Расчеты пассажирских корреспонденций и пассажиропотоков выполняются раздельно для следующих групп передвижений:
к местам приложения труда (трудовые передвижения);
к объектам культурно-бытового обслуживания населения (культурно-бытовые передвижения).
В процессе расчета определяется нагрузка сетей пассажирского транспорта за средние (расчетные) сутки и за час пик.
ОПРЕДЕЛЕНИЕ ОСНОВНЫХ ПАРАМЕТРОВ И ХАРАКТЕРИСТИК
СИСТЕМЫ ПАССАЖИРСКОГО ТРАНСПОРТА ГОРОДА
3.2. Количественные значения параметров и характеристик, определяющих планировочную организацию и уровень транспортного обслуживания населения, устанавливаются с учетом:
очередности и степени реализации принципиальных положений генерального плана города;
достигнутого уровня развития транспортных коммуникаций;
объективных потребностей населения в передвижениях и реально действующих в период расчетного срока проекта ограничений;
перечня параметров и характеристик, использованных при анализе современного состояния.
Комплекс показателей, содержащих исходную информацию для прогнозных расчетов нагрузки сетей пассажирского транспорта (объемов пассажироперевозок, пассажирских корреспонденций и пассажиропотоков), устанавливается в соответствии с требованиями и особенностями применяемых программ для ЭВМ. При этом, как правило, выделяются три группы информации:
описание варианта сети пассажирского транспорта, для которого производится расчет;
параметры, служащие основанием для определения емкости районов отправления (количество передвижений, начинающихся в условном районе за расчетный период) и емкости районов тяготения (количество передвижений, заканчивающихся в условном районе за расчетный период);
закономерности выбора цели, времени и способа совершения передвижений. Кроме того, может быть подготовлена дополнительная информация, содержащая требования к проведению предстоящего расчета с учетом особенностей программы для ЭВМ (задание на расчет).
3.3. Информация о размещении населения и объектов тяготения по территории города формируется по условным территориальным единицам - транспортным районам.
В каждый транспортный район включаются относительно однородные территории жилой застройки, промышленных зон, объектов культурно-бытового обслуживания с учетом тяготения населения к линиям массового пассажирского транспорта.
В каждом районе выделяются центры отправления (как центры тяжести жилых образований), центры прибытия с трудовыми целями (как центры тяжести совокупности мест приложения труда) и центры прибытия с культурно-бытовыми целями (как центры тяжести совокупности объектов культурно-бытового обслуживания). В районе крупных промышленных предприятий или общественно-торговых учреждений центры прибытия намечаются с учетом расположения входов на эти объекты. Рекомендуется совмещать центры районов с узлами сети пассажирского транспорта. При этом необходимо учитывать, что в процессе расчета территориальные различия размещения объектов тяготения и населения в плане района сводятся к точке - центру транспортного района, несущей всю информацию о данном районе, в том числе и ориентацию на узел транспортной сети всех пассажирских корреспонденций, зарождающихся в районе или тяготеющих к нему.
При определении размеров транспортных районов и их числа необходимо учитывать следующее:
увеличение количества расчетных районов повышает точность расчетов, но чрезмерное дробление территории затрудняет получение исходной информации по транспортным районам, увеличивает трудоемкость и время счета;
размер района выбирается исходя из условия возможности совершения большинства внутрирайонных передвижений пешком;
более мелкие районы принимаются в центральной зоне города и постепенно укрупняются с приближением к периферии;
необходимо назначать количество транспортных районов в соответствии с требованиями точности расчетов, их трудоемкости, а также степени достоверности и полноты исходной информации;
максимальное число расчетных районов ограничивает используемая программа для ЭВМ;
в случае применения в городе скоростного внеуличного транспорта его остановочные пункты желательно совмещать с центрами транспортных районов.
Нумерацию транспортных районов необходимо производить с учетом последующей их группировки в укрупненные планировочно-транспортные зоны так, чтобы в зону входили районы с последовательной нумерацией.
3.4. Описание сетей пассажирского транспорта производится путем формализации системы городских путей сообщения, которая представляется в виде графа, состоящего из узлов и ребер, связывающих эти узлы. Каждое ребро графа характеризуется протяженностью, возможностью передвижения по нему тем или иным способом (пешком, на наземных видах общественного транспорта, на легковых автомобилях, на метро и т.д.), скоростными или временными характеристиками передвижения.
Подход к остановочным пунктам, а в модели - к узлам графа, моделируется посредством расчета усредненных для всей территории района затрат времени на подход (отход). В случае если в реальных планировочных условиях района центры тяжести отправления или тяготения значительно удалены от узлов пассажирского транспорта, дополнительные затраты времени на передвижение к остановочному пункту моделируются с помощью дополнительных ребер, связывающих центр тяжести района с узлом графа сети. Конкретные требования к форме подготовки информации о сети массового транспорта приводятся в инструкциях к программам для ЭВМ.
3.5. Емкость условных транспортных районов отправления и тяготения определяется на основе данных о численности населения, количестве рабочих мест, мощности объектов культурно-бытового тяготения, размещаемых в этих районах, а также прогнозируемой на расчетный срок проекта подвижности населения.
Показатель подвижности населения характеризует число передвижений, совершаемых населением города в единицу времени (в сутки, год), отнесенное на одного жителя.
Общая подвижность населения характеризует суммарное число всех передвижений, совершенных в пределах города, в единицу времени жителями города и приезжими, отнесенное к численности постоянного населения города.
Транспортная подвижность населения характеризует суммарное число транспортных передвижений, совершенное в пределах города жителями города и приезжими, отнесенное к численности населения города.
Прогноз подвижности населения для каждого проектируемого города осуществляется путем уточнения ориентировочных нормативных данных для городов соответствующей категории по результатам транспортных обследований подвижности и расселения населения с учетом предполагаемых изменений в социально-демографическом составе населения в процессе развития города.
На перспективу может прогнозироваться как общая подвижность (
пп. 3.6 -
3.8), так и только количество прямых (без учета возврата домой) передвижений
(п. 3.9).
3.6. Общая подвижность населения определяется в составе следующих элементов:
где Pо - общая подвижность населения города (передвижений на жителя в год);
Pг, Pпр, Pпг - подвижность соответственно городского населения; населения, въезжающего из других городов, и населения, въезжающего из пригородной зоны (передвижений на жителя в год);

- среднесуточный удельный вес населения города, не принимающего участия в передвижениях (в долях единицы);

,

- среднесуточный удельный вес населения, въезжающего из других городов и пригородной зоны, в общей численности населения города (в долях единицы).
3.7. Ориентировочные расчетные показатели перспективной подвижности населения могут быть приняты на основании табл. 5.
Таблица 5
Группы городов | Рекомендуемые показатели |
Pг | Pпр | Pпг | | | |
Столицы союзных республик, региональные центры | 1000 - 1500 | 1700 - 2550 | 850 - 1275 | 0,1 - 0,15 | 0,05 - 0,10 | 0,05 - 0,15 |
Областные центры | 950 - 1200 | 1615 - 2040 | 807 - 1020 | 0,1 - 0,15 | 0,03 - 0,08 | 0,05 - 0,13 |
Крупные промышленные центры | 850 - 1050 | 1445 - 1785 | 722 - 892 | 0,1 - 0,15 | 0,02 - 0,05 | 0,03 - 0,10 |
Остальные города | 830 - 910 | 1410 - 1545 | 755 - 723 | 0,1 - 0,15 | 0,01 - 0,03 | 0,02 - 0,08 |
Прогноз подвижности населения на перспективу производится следующим образом. Изменение выявленного обследованием показателя подвижности на перспективу определяется исходя из динамики факторов, с которыми связана подвижность, - социальной и демографической структуры населения, транспортной доли в бюджете времени, характеристики транспортно-планировочного состояния во временных показателях.
Рекомендуется следующая процедура расчета.
Зафиксирована обследованием подвижность населения по социальным группам. Зная современный социальный состав населения и его предполагаемые исходя из гипотезы развития города изменения на перспективу, определяем изменение подвижности населения. При этом принимается стабильной подвижность каждой группы населения, а изменяются лишь соотношения численности групп в общей структуре населения с учетом изменений соотношения населения по роду занятий, уровню образования и другим социальным группам.
Коэффициент перехода к перспективной подвижности населения по этому фактору конструируется следующим образом (фактор "а" - социальная структура) - для i-й социальной группы
где
Pi и

- подвижность и доля в составе населения
i-й социальной группы на перспективу;
Pср - средняя подвижность по всем социальным группам.
Аналогично конструируется коэффициент перехода к перспективной подвижности по фактору "б" - демографической структуре. При этом могут быть учтены изменение соотношения возрастных групп, соотношение различных по составу семей и другие демографические характеристики населения.
Изменение абсолютной подвижности населения на перспективу в связи с фактором "в" - бюджетом времени производится с помощью коэффициента перехода от современной подвижности к перспективной:
где

и

- свободное время жителя города (современное и на перспективу).
Динамика подвижности населения в связи с динамикой транспортно-планировочного состояния определяется на перспективу с помощью коэффициента перехода от современной к перспективной подвижности по фактору "г" - транспортно-планировочное состояние:
где

- современные средневзвешенные затраты времени на сообщение (по обследованию);

- то же, на перспективу (по оценочным расчетам).
Результирующий коэффициент перехода от современной к перспективной подвижности населения получается перемножением коэффициентов по каждому фактору:

.
Расчет общей подвижности населения на перспективу производится с учетом выявленных обследованием и прогнозируемых значений Pпр и Pпг, а также Kпр и Kпг.
3.8. Для передвижений с трудовыми целями в качестве емкости районов по отправлению берется численность населения в районе. В том случае, если имеются данные, характеризующие неравномерное распределение самодеятельного населения в плане города, в качестве емкости по отправлению принимается численность самодеятельного населения.
Для культурно-бытовых передвижений в качестве емкости районов по отправлению берется численность населения в районе. При разделении культурно-бытовых передвижений на два вида, для передвижений "из дома" в качестве емкости по отправлению принимается численность населения, а для передвижений "не из дома" - величина суммарного прибытия в район с культурно-бытовыми целями.
Массивы прибытия в районы представляют собой распределение суммарного количества передвижений данного вида по транспортным районам пропорционально емкости объектов тяготения.
Основой для определения прибытия с трудовыми целями в расчетные районы Fт служат данные о количестве трудящихся и трудовой подвижности.
Если расчет выполняется на средние сутки года, то суммарное количество передвижений в городе в средние сутки будет равно:
где Nт - число трудящихся в городе;
Дт - количество рабочих дней в году;
Kв - коэффициент возвратности.
Суммарное количество трудовых передвижений в городе распределяется по районам пропорционально величине Nт каждого района.
Прибытие с культурно-бытовыми целями определяется на основании данных о распределении объектов культурно-бытового тяготения по расчетным районам, культурно-бытовой подвижности и данных натурных обследований о неравномерности культурно-бытовой посещаемости в плане города.
Суммарное количество передвижений в городе с культурно-бытовыми целями Fкб в средние сутки устанавливается следующим образом:
где Pо - расчетная общая подвижность, передвижений в год;
Pтр - подвижность с трудовыми целями, передвижений в год;
H - численность населения.
Для практических целей при разделении культурно-бытовых передвижений на два вида можно принимать следующее соотношение: с отправлением "из дома" - 60 - 65%, "не из дома" - 35 - 40%.
Распределение суммарного объема культурно-бытовых передвижений в городе по районам прибытия осуществляется пропорционально числу обслуживающих кадров в каждом транспортном районе. При отсутствии этих данных - пропорционально численности населения. Необходимо при подготовке данной информации учитывать неравномерность посещаемости объектов культурно-бытового тяготения в плане города, заключающуюся в том, что аналогичные объекты в центре города посещаются чаще (на одного работника обслуживающей группы), чем в серединной и периферийных зонах.
3.9. Прогноз подвижности населения в прямых передвижениях осуществляется раздельно для трудовых передвижений (к объектам приложения труда) и для передвижений с культурно-бытовыми целями. При этом общая подвижность населения определяется следующим образом:
где

и

- количество передвижений (посещений) соответственно с трудовыми и культурно-бытовыми целями, приходящееся в среднем на одного жителя города в год без учета возвратных передвижений (от объекта посещения к месту жительства);
Kв.тр, Kв.кб - коэффициенты возвратности для передвижений соответственно с трудовыми и культурно-бытовыми целями (Kв > 1).
Величина

определяется на основе данных о числе мест приложения труда
M, размещаемых в проектируемом городе, и количества дней в году Д
тр, когда совершаются трудовые передвижения;
где H - проектная численность населения города;

- коэффициент, учитывающий деловые передвижения и повторные (в течение рабочего дня) посещения объекта приложения труда, принимается в пределах 1,1 - 1,4.
Значения Дтр устанавливаются в зависимости от соотношения групп трудящихся города с разной продолжительностью рабочей недели. Для современных условий с 5 - 6-дневной рабочей неделей Дтр = 240 - 260.
Большие значения Д
тр и

принимаются для быстроразвивающихся городов с развитой системой разнообразных мест приложения труда и высших учебных заведений.
Количество прямых передвижений к объектам культурно-бытового обслуживания населения

, приходящееся в среднем на одного жителя в год, предопределяется возможностью посещать такие объекты в рамках имеющегося бюджета свободного времени.
В качестве нормативных значений для ориентировочных расчетов могут быть приняты следующие величины

(передвижений в год):
города - столицы союзных республик и развитые региональные центры - 600 - 700;
города - областные центры - 500 - 600;
города - промышленно развитые центры систем расселения, не имеющие статуса областного центра, - 450 - 500;
прочие большие города - 350 - 450.
Указанные значения

подлежат уточнению по результатам транспортных обследований в следующем порядке.
В зависимости от размеров города и степени дифференциации планировочных зон по уровню развития систем культурно-бытового обслуживания в процессе обследований устанавливаются значения

для города в целом, и для характерных планировочных зон, а также и долевая структура прямых передвижений по основным группам целей к:
культурно-просветительным учреждениям;
спортивным сооружениям и на отдых;
учреждениям здравоохранения;
предприятиям бытового обслуживания;
учреждениям общественного питания;
объектам торговли продовольственными товарами;
объектам торговли промышленными товарами.
С учетом результатов оценки достигнутого уровня обслуживания населения и намечаемого в расчетный период его улучшения устанавливаются:
предполагаемая долевая структура культурно-бытовых передвижений по группам целей - исходя из увеличения доли передвижений с культурно-просветительными целями и на отдых и некоторого сокращения доли передвижений к объектам торговли;
предполагаемая емкость объектов по тем же группам, что и указанные выше цели передвижения;
ожидаемое изменение значения средневзвешенных затрат времени на передвижение с культурно-бытовыми целями исходя из необходимости повышения доступности объектов тяготения.
Показатель

на перспективу определяется для города в целом и для характерных планировочных зон:
где

- подвижность населения с культурно-бытовыми целями в прямых передвижениях (посещениях) за год;

,
mk - емкость
k-й группы объектов культурно-бытового обслуживания, соответственно предполагаемая на перспективу и по результатам обследования;

,

- доля передвижений к
k-й группе объектов тяготения, соответственно на перспективу и по результатам обследования;
Tп, T - средневзвешенные затраты времени на передвижения с культурно-бытовыми целями, соответственно предполагаемые на перспективу и по результатам обследования.
Значения коэффициентов возвратности устанавливаются уточнением ориентировочных нормативных значений по результатам обследований, отражающих специфику проектируемого города. При этом необходимо учитывать, что общей тенденцией является увеличение доли одноцелевых передвижений как с трудовыми, так и с культурно-бытовыми целями по мере повышения уровня культурно-бытового обслуживания населения и, соответственно, приближением значения Kв к 2.
Емкости транспортных районов отправления и прибытия рассчитываются раздельно для передвижений с трудовыми и культурно-бытовыми целями.
Емкость районов отправления Ni для расчета трудовых корреспонденций определяется с учетом численности населения каждого района Hi:
Емкость районов прибытия Fj для расчета трудовых корреспонденций определяется с учетом числа рабочих мест в каждом районе Mj:
Емкость районов прибытия для расчета культурно-бытовых передвижений рассчитывается с учетом намеченных емкостей Vkj объектов k-й сети культурно-бытового обслуживания, находящихся в каждом районе, и гипотезы структуры передвижений.
Притягательность крупных предприятий торговли, кинотеатров, стадионов и других объектов культурно-бытового обслуживания, расположенных в центральных районах города, учитывается введением коэффициентов c = 1,1 - 1,2 к показателю Vkj.
Дальнейший расчет производится в следующем порядке: пусть
xk - доля передвижений
k-й сети (
k = 1,7) из общего объема передвижений, а
Vkj - емкость объектов
k-й сети, сосредоточенных в
j-м районе прибытия

. Тогда количество передвижений в
j-й район к объектам
k-й сети:
где Д - количество дней в году, когда совершаются передвижения (рекомендуется принимать для культурно-бытовых целей Д = 365).
Суммарная емкость района прибытия в прямых передвижениях в сутки:
Емкость районов отправления для расчета культурно-бытовых корреспонденций Ni определяется с учетом того, что
где Hi - численность населения i-го района.
Для получения размеров пассажирских корреспонденций и пассажиропотоков за час пик используется показатель - "максимальная доля трудящихся, занятых в сменах, начинающих работу в течение часа суток

".
Значение этого показателя устанавливается в соответствии с особенностями технологии производства и организации работы предприятий и учреждений с учетом результатов обследований и прогнозируемого развития производственных зон города.
Рекомендуются следующие значения показателя

:
для предприятий машиностроения, приборостроения и подобных им с 2 - 3-сменной организацией производства,

; для предприятий стройиндустрии, комплексов вузов и т.д. с 1 - 2-сменной организацией производственного цикла,

;
для зон с преобладанием предприятий торговли и общественного обслуживания, научно-исследовательских и проектно-конструкторских организаций, административных учреждений

.
Для получения значений пассажиропотоков как за средние сутки, так и за час пик предусматривается умножение в процессе расчета емкостей районов (за сутки) на коэффициенты

и возвратности
Kв = 1,7 - 2,0.
3.10. Закономерности выбора цели и способа совершения передвижений устанавливаются на основе результатов обследования передвижений населения и корректируются с учетом прогнозируемых изменений в расселении населения и его социально-демографической структуры, развития объектов трудового и культурно-бытового тяготения и сетей пассажирского транспорта.
Способ использования этих закономерностей при проведении расчета на ЭВМ определяется особенностями программ расчета.
Закономерность выбора объекта, к которому совершается передвижение, определяется в виде зависимости размеров корреспонденций населения от затрат времени на сообщение и используется при анализе современного положения для установления причин возникновения передвижений и при прогнозных расчетах для распределения объема передвижений из районов отправления между районами тяготения. В зависимости от методики прогнозных расчетов эта закономерность может быть представлена в виде:
функции тяготения, выражающей оценку населением фактора комфортности времени при установлении корреспонденций;
таблицы значений относительной густоты тяготения, отражающих изменение вероятности совершения передвижений по мере увеличения их продолжительности.
Закономерность выбора способа сообщения может быть выражена в виде функции изменения коэффициента пользования:
транспортом в зависимости от дальности передвижения пешком между объектами или в зависимости от дальности и скорости поездки на массовом транспорте;
легковыми автомобилями в зависимости от соотношения значений затрат времени на передвижение с использованием легкового автомобиля и значений затрат времени на сообщение между теми же пунктами города с использованием массового транспорта;
скоростным транспортом в зависимости от соотношения затрат времени на сообщение между пунктами города на скоростных и нескоростных видах массового транспорта.
3.11. Функция тяготения населения при передвижениях с трудовыми и нетрудовыми целями является одним из важнейших элементов модели расчета пассажирских корреспонденций. От вида функции зависят распределение передвижений по дальности и, следовательно, общая вероятность пользования транспортом, вероятность распределения перевозок между скоростными и нескоростными его видами, а также доля поездок на легковом автомобиле.
В общем виде функция тяготения зависит от обобщенной трудности сообщения, включающей стоимость проезда, продолжительность воздействия на пассажира неблагоприятных условий перевозки (транспортная усталость) и собственно полных затрат времени на передвижение. В настоящее время экспериментами установлена достаточная существенность фактора времени.
При моделировании корреспонденций по "гравитационной модели" функция тяготения может извлекаться направленным подбором по данным обследований по критерию минимального уклонения расчетной матрицы корреспонденций от фактической. Исходными данными для этого служат генерализованная матрица межрайонных передвижений с фиксированной целью (трудовые, нетрудовые) и полная матрица затрат времени между районами, включая и те связи, по которым не зафиксированы передвижения. Для получения этих данных рекомендуется проведение обследования трудового расселения с извлечением соответствующей функции тяготения для проверки степени применимости модели для данного города и для обоснованных прогнозов расселения. Для сложных проектных случаев требуется также проведение анкетных обследований подвижности населения с представительной выборкой по всем транспортным районам. Приближенное значение функции тяготения с нетрудовыми целями можно получить аналогичным способом из матрицы корреспонденций, представляющей разницу между всем объемом передвижений и их трудовой частью. Матрица затрат времени при этом может приниматься общей как для трудовых, так и для нетрудовых корреспонденций. Полную матрицу затрат времени можно получить как путем моделирования существующей транспортной системы, так и путем экстраполяции эмпирической зависимости названных в анкетах затрат времени от дальности между районами.
Функция тяготения используется при проведении расчетов пассажиропотоков по комплексу программ ЦНИИП градостроительства, где имеется специальная программа выделения функции по результатам обследований изложенным выше способом.
3.12. Функция относительной густоты тяготения определяется при отнесении доли передвижений, затраты времени на совершение которых попадают в выбранные интервалы времени, к доле емкостей объектов тяготения, расположенных по отношению к району отправления в тех же интервалах затрат времени на сообщение.
Исходными данными для получения функции относительной густоты тяготения служат результаты обследования передвижений населения с ограниченным объемом выборки (3 - 5% численности населения города), проводимого в составе обследовательских работ по анализу современного состояния транспортной системы города.
Учитывая субъективность оценок населением затрат времени на сообщение, рекомендуется полученные в процессе обследования данные о передвижениях населения распределять по 10-минутным интервалам затрат времени (в долях единицы).
На плане города на построенную в процессе анализа современного положения изохронограмму с 10-минутным шагом изохрон наносятся данные о емкости районов тяготения, центры тяжести которых попадают в зону между изохронами, и рассчитывается распределение этих емкостей (в долях единицы) относительно исследуемого центра тяготения.
Значения относительной густоты тяготения рассчитываются для каждого 10-минутного временного интервала делением относящихся к этому интервалу доли передвижений на долю емкостей тяготения.
Рекомендуется определять значения функции относительной густоты тяготения для характерных транспортно-планировочных зон, включающих один или несколько транспортных районов и отличающихся между собой по положению в плане города и близости к крупным производственным зонам, развитости и разнообразию расположенных внутри жилой зоны или вблизи ее мест приложения труда, давности заселения.
Полученные количественные выражения функций тяготения для планировочно-транспортных зон отличаются значительной стабильностью и для прогнозных расчетов могут корректироваться лишь при предполагаемом значительном количественном изменении расположенных вблизи объектов тяготения, перепрофилировке существующих и возникновении новых крупных промышленных предприятий (для расчета трудовых передвижений), создании новых крупных общественно-торговых центров (для расчета культурно-бытовых передвижений). Общими тенденциями изменения значения функции относительной густоты тяготения являются:
увеличение значений функции в начальных интервалах затрат времени (до 20 мин) - для районов центральной зоны и расположенных вблизи вновь создаваемых объектов тяготения;
увеличение значений функции для интервалов затрат времени свыше 40 мин - для новых периферийных жилых районов, особенно таких, где численность самодеятельного населения будет значительно превышать число мест приложения труда.
После выявления и корректировки функция относительной густоты тяготения пересчитывается таким образом, чтобы сумма ее значений для всех интервалов затрат времени была равна единице.
Комплекс программ "КАРАТ-800" предполагает использование в качестве исходных данных значений функции, задаваемых в табличной форме для каждого транспортного района. Для городов с расчетной численностью населения 250 - 500 тыс. жителей рекомендуется использовать от трех до шести типов функций для характерных групп районов.
3.13. Закономерность изменения коэффициента пользования транспортом в зависимости от дальности передвижения пешком устанавливается по результатам обследований передвижений населения раздельно для трудовых и культурно-бытовых передвижений и сопоставляется со шкалой коэффициента, предложенной А.А. Поляковым, которая рассчитана на полное удовлетворение потребностей жителей города в использовании транспорта (табл. 6).
Категория передвижений | Коэффициент пользования транспортом при дальности передвижений (по А.А. Полякову) |
до 1 | 1 - 1,5 | 1,5 - 2 | 2 - 2,5 | 2,5 - 3 | более 3 |
Трудовые | 0,3 | 0,65 | 0,9 | 1 | 1 | 1 |
Культурно-бытовые | 0,15 | 0,4 | 0,65 | 0,8 | 0,9 | 1 |
Поскольку уровень развития пассажирского транспорта в сложившихся городах, как правило, не полностью удовлетворяет потребности населения в пользовании транспортом, обследования дают значения коэффициента пользования транспортом менее приведенных в
табл. 6, особенно при дальности передвижений до 2 - 3 км.
Значения коэффициента пользования транспортом, принимаемые для расчета перспективных пассажиропотоков, должны отражать предполагаемое улучшение транспортного обслуживания населения и повышение доли пользующихся транспортом с учетом имеющихся ресурсов.
При расчете пассажиропотоков на основе комплекса программ "КАРАТ-800" значения коэффициента пользования транспортом задаются в табличной форме, а расстояние передвижения - по времени движения пешком при скорости 4 - 5 км/ч.
3.14. При расчете пассажиропотоков на основе комплекса программ ЦНИИП градостроительства закономерность изменения доли пользующихся транспортом в зависимости от дальности и скорости совершения поездки может быть определена по данным обследования. Форма шкалы коэффициента пользования транспортом и его ориентировочные значения приведены в табл. 7 и могут быть использованы при отсутствии данных обследования.
Таблица 7
Расстояние, км | Скорость, км/ч |
4 | 6 | 8 | 12 | 14 | 60 |
0 | 0,04 | 0,08 | 0,12 | 0,15 | 0,20 | 0,25 |
0,8 | 0,06 | 0,10 | 0,17 | 0,29 | 0,32 | 0,40 |
1,0 | 0,08 | 0,14 | 0,22 | 0,34 | 0,37 | 0,44 |
1,2 | 0,10 | 0,20 | 0,29 | 0,39 | 0,42 | 0,48 |
1,4 | 0,14 | 0,29 | 0,37 | 0,46 | 0,48 | 0,58 |
1,7 | 0,20 | 0,37 | 0,44 | 0,52 | 0,54 | 0,59 |
2,0 | 0,31 | 0,46 | 0,52 | 0,58 | 0,60 | 0,65 |
2,5 | 0,44 | 0,56 | 0,60 | 0,66 | 0,68 | 0,72 |
3,0 | 0,55 | 0,67 | 0,68 | 0,71 | 0,74 | 0,77 |
3,5 | 0,64 | 0,72 | 0,74 | 0,77 | 0,78 | 0,82 |
4,0 | 0,72 | 0,77 | 0,80 | 0,83 | 0,84 | 0,85 |
4,65 | 0,79 | 0,83 | 0,84 | 0,86 | 0,88 | 0,89 |
5,0 | 0,85 | 0,87 | 0,88 | 0,90 | 0,92 | 0,93 |
6,0 | 0,95 | 0,96 | 0,97 | 0,98 | 0,99 | 1,00 |
51,1 | 1,00 | 1,00 | 1,00 | 1,00 | 1,00 | 1,00 |
3.15. Доля перевозок на легковом автотранспорте для каждой пары районов определяется с помощью закономерности вида
где Tм/Tа - соотношение полных затрат времени на поездку массовым транспортом и легковым автомобилем.
При установлении формы зависимости учитывается, что:
доля перевозок на легковых автомобилях ограничивается некоторой величиной, определяемой уровнем автомобилизации, и подвижностью семей, имеющих автомобиль;
минимальному соотношению затрат времени будет соответствовать минимальная величина доли перевозок на легковых автомобилях;
среднее по городу соотношение затрат времени соответствует среднему значению доли перевозок на легковых автомобилях

.
Таким образом:
Для определения величины параметров
A и
B необходимо найти величину

, которая определяется по формуле
где

- средняя по городу доля легковых автомобилей в движении;
a - степень автомобилизации (авт./1000 жит.);

- количество дней использования автомобиля в году;
l - средняя дальность внутригородской поездки, км;
L - суточный пробег автомобиля в городе в день использования, км;
b - наполнение автомобиля при внутригородских поездках, чел.;
Po - общая подвижность (передвижений в средние сутки);

- коэффициент пользования массовым транспортом;

- доля владельцев, использующих автомобиль для поездок в средние сутки.
Значения параметров для данного города на расчетный период прогнозируются следующим образом:
величина степени автомобилизации
a либо принимается по
СНиП II-60-75 "Планировка и застройка городов, поселков и сельских населенных пунктов", либо рассчитывается одним из известных методов;
величина общей подвижности Po прогнозируется в соответствии с методикой, изложенной выше. Значение средней для города величины коэффициента пользования транспортом на первом этапе расчетов принимается либо по аналогии с другими городами, либо экстраполируется существующее значение для данного города, которое затем уточняется по данным предварительных расчетов;
значения

принимаются: на первую очередь - 0,8; на расчетный срок - 0,9;
отношение

принимается по данным обследования.
Для определения величины наполнения автомобиля можно пользоваться уравнением:

, где
a - степень автомобилизации. Значения параметров

,

определяются по данным обследования использования легкового автотранспорта, с учетом некоторого их роста на перспективу, но не более 10%.
Можно также пользоваться следующими уравнениями для оценки существующего положения и на первую очередь:

или

где

- количество дней в году со среднесуточной температурой выше 0 °C;

- количество дней в году со среднесуточной температурой выше 8 °C.
На расчетный срок

.
Значение

принимается по уравнению
Значения параметров

и

определяются следующим образом:
где

- доля владельцев, использующих автомобиль круглый год,

.
Для закономерности

значения параметров
A и
B для каждого конкретного города определяются из следующих выражений:
где

- среднее по городу соотношение затрат времени;
K - отношение максимального соотношения

к минимальному

;
Тогда

, где

-
k-е значение доли перевозок на легковом автотранспорте в шкале отвода, соответствующее
k-му значению
Tм/
Tа; (
Tм/
Tа)
k - переменные значения соотношения времен в шкале отвода (аргумент в выражении)
Процедура определения значений шкалы

заключается в следующем:
а) на искомый расчетный период определяется значение

- средней по городу доли перевозок на легковом автотранспорте;
б) на основании данных обследований определяется значение (Tм/Tа)с - среднее для данного города. Ввиду стабильности этого показателя по времени принимается его значение, полученное по данным обследований, которое может быть уточнено в процессе предварительных расчетов;
в) величина параметра

зависит от величины города и принимается для городов:
до 250 тыс. жителей - 1,5;
до 500 тыс. жителей - 2,0;
св. 500 тыс. жителей - 2,5;
г) параметры

и

, величина которых прогнозируется на основании данных обследования, отражают климатические особенности данного города, во многом определяющие интенсивность использования легковых автомобилей для внутригородских поездок;
д) найденные значения вышеуказанных параметров подставляются в выражение для

и выполняется расчет значений шкалы отвода на легковой автомобиль, начиная от (
Tм/
Tа)
k = (
Tм/
Tа)
min - с шагом 0,1 (например: 0,8; 0,9; 1,0; 1,1 ... 1,8; 1,9 и т.д.) до (
Tм/
Tа)
k = (
Tм/
Tа)
max.
При отсутствии данных об использовании легкового автотранспорта рекомендуется пользоваться усредненными данными по четырем климатическим зонам, на которые делится вся территория нашей страны по признакам

и

, т.е. по количеству теплых дней в году (табл. 8).
Таблица 8
Номер зоны | | | | | | | |
I | 310 - 365 | 220 - 265 | 220 - 280 | 0,95 | 1,05 | 0,76 | 0,8 |
II | 270 - 310 | 190 - 220 | 165 - 190 | 0,83 | 1,2 | 0,5 | 0,6 |
III | 230 - 270 | 160 - 190 | 140 - 165 | 0,77 | 1,3 | 0,35 | 0,45 |
IV | 190 - 230 | 80 - 160 | 120 - 140 | 0,71 | 1,4 | 0,21 | 0,3 |
Для расчета значения

в шкале отвода определяется отношение города к климатической зоне по величине параметров

и

. Соответствующие значения параметров

и

подставляются в выражение для

.
При K, характерном для данного города, и значении (Tм/Tа)с определяются:
3.16. Для оценки надежности улично-дорожной сети города целесообразно выполнять расчет пассажиропотоков на легковом автотранспорте в летние сутки года, когда интенсивность использования легкового автотранспорта максимальна.
При расчете значений шкалы для летних суток выражения для A и B принимают вид:
Величина (
Tм/
Tа)
max будет равна (
Tм/
Tа)
с, а значение

.
Процедура расчета значений

аналогична процедуре, изложенной для средних суток.
3.17. Для определения максимальной нагрузки на сети массового пассажирского транспорта целесообразно выполнять расчет пассажиропотоков на легковом автотранспорте в зимние сутки, когда степень использования легковых автомобилей мала и пассажиры в большей степени пользуются массовым транспортом.
Для расчета значений шкалы отвода для зимних суток рекомендуется пользоваться следующими выражениями:
Величина (
Tм/
Tа)
max =
K(
Tм/
Tа)
с, а значение (
Tм/
Tа)
min определяется из условия

.
Таким образом
КОНСТРУИРОВАНИЕ СЕТЕЙ И ФОРМИРОВАНИЕ ВАРИАНТОВ РАЗВИТИЯ
ПАССАЖИРСКОГО ТРАНСПОРТА ГОРОДА
3.18. Варианты развития видов и сетей пассажирского транспорта должны обеспечить выбор наиболее экономичного использования существующих и новых для проектируемого города видов пассажирского транспорта и трассировки их линий. Варианты должны быть сопоставимы по уровню обеспечиваемого пассажирского обслуживания и доступности объектов тяготения.
Структура сетей и выбор видов пассажирского транспорта для каждого из сравниваемых вариантов, как правило, производятся на основе принципиальных решений генерального плана города.
При разработке предложений по развитию видов пассажирского транспорта следует предусматривать преимущественное развитие электротранспорта, а по направлению основных, наиболее мощных пассажирских корреспонденций - экспресс-автобуса и скоростного трамвая. В городах, где, в соответствии с размерами ожидаемых пассажиропотоков, нет необходимости в создании скоростного рельсового транспорта, необходимо резервировать территории (транспортные коридоры) для прокладки его линий за пределами расчетного срока.
Проектные предложения по развитию сетей пассажирского транспорта должны учитывать результаты анализа современного состояния транспортных систем города по оценке обеспечиваемого уровня обслуживания населения и дифференцированное развитие сетей в различных планировочных зонах города в соответствии с возникающей на перспективу оценкой потребностей этих зон в пассажирском обслуживании.
3.19. На начальном этапе проектирования сетей пассажирского транспорта необходимо оценить градостроительные условия, определяющие потребности в развитии видов пассажирского транспорта города в целом и отдельных планировочных зон на основе показателей плотности и подвижности населения, удаленности объектов тяготения от жилых зон и среднего радиуса тяготения для населения жилых зон.
При этом следует исходить из того же комплекса показателей и их нормативных значений, что и при анализе современного состояния.
При необходимости более детального анализа градостроительных условий и потребностей в развитии сетей и видов пассажирского транспорта рекомендуется смоделировать осуществление всех транспортных связей в городе по "воздушным" расстояниям, исключив влияние движения по организованной сети с ее непрямолинейностью и ограничениями различного рода. Показатели, полученные в этой ситуации, будут характеризовать взаимное размещение объектов тяготения в плане города, реакцию населения на планировочную организацию территории и объем транспортной работы в условиях максимального удовлетворения транспортной потребности.
Таким образом, первым уровнем представления транспортной сети в процессе проектирования является моделирование транспортных связей по воздушным прямым, которое выполняется с помощью регулярной геометризированной сети, к узлам которой привязываются центры транспортных районов. При наличии препятствий в плане города моделируется их обход, либо наличие коридора, проходящего через эти препятствия. Методически расчет пассажиропотоков не отличается от расчета по реальной сети. При анализе результатов расчета рекомендуется:
построить изолинии изменения значений коэффициентов корректуры в плане города, показывающие потенциально привлекательные и непривлекательные зоны города в оценке населением их взаимного расположения;
построить изолинии изменения средних затрат времени по районам города (по прибытию и отправлению), показывающие доступные и малодоступные зоны города в оценке населением их взаимного расположения;
построить картограммы (цифрограммы) интенсивности движения с выделением направлений с достаточно большим движением.
Учитывая одинаковые площади тяготения к узлам геометризированной сети и длины перегонов, суммарную нагрузку в узлах можно рассматривать как плотность движения в узле и проанализировать изолинии изменения плотности движения в плане города.
Анализ результатов расчета по геометризированной сети позволяет более обоснованно подойти к формированию транспортной сети основного варианта, сопоставляя результаты этого расчета с данными расчетов по генеральному плану. При проверке возможности создания сети скоростного внеуличного транспорта целесообразно геометризированный граф его сети совместить с основным геометризированным графом всей сети городского транспорта. Сопоставление результатов расчета с "нулевым" вариантом (без скоростного транспорта) позволит определить эффективность его введения с точки зрения как разгрузки некоторых направлений и зон, так и с точки зрения его пропускной способности.
3.20. По результатам анализа современной системы пассажирского транспорта, потребностей и градостроительных условий его развития формируются варианты развития системы пассажирского транспорта и его отдельных видов, конструируются сети линий массового пассажирского транспорта.
Конфигурация сети линий каждого наземного массового пассажирского транспорта должна быть, по возможности, простой, без сложных узлов с пересечением многих линий в одном пункте.
В составе сети каждого вида транспорта должна быть учтена необходимость размещения транспортных устройств, разворотных колец, соединительных и накопительных колец на конечных пунктах и в местах массового скопления пассажиров для обеспечения рациональной организации и оперативного управления движением.
Конструирование сети пассажирского транспорта должно обеспечить взаимодействие, координирование, функционирование и развитие различных видов транспорта на основе:
подведения линий массового транспорта к узловым остановочным пунктам сетей скоростных видов транспорта;
кооперирование работы различных видов пассажирского транспорта для обслуживания наиболее крупных жилых районов, общественных центров, промышленных узлов.
Взаимное наложение различных видов массового пассажирского транспорта на отдельных направлениях и участках сети рекомендуется в следующих случаях:
при значительных различиях в технико-эксплуатационных характеристиках используемых видов транспорта (скорость движения, провозная способность);
для обеспечения высокой провозной способности линий, обслуживающих крупные жилые районы, общественные центры и промышленные узлы;
при необходимости создания пересадочных узлов.
3.21. Для принятого варианта развития функционального зонирования сеть пассажирского транспорта формируется таким образом, чтобы она в наибольшей степени соответствовала направлению вероятных корреспонденций населения. При этом сеть линий видов транспорта, обладающих наибольшей провозной способностью, должна соответствовать направлению наиболее интенсивных корреспонденций населения.
Степень соответствия трассировки сетей пассажирского транспорта направлению вероятных корреспонденций населения оценивается коэффициентом непрямолинейности исходя из тех же нормативных значений, что и при оценке современного состояния.
Достаточность запроектированных в жилых районах сетей пассажирского транспорта по обеспечению нормативной дальности подхода к остановочным пунктам оценивается показателем плотности линий общественного транспорта, который следует проверять для города в целом и отдельных планировочных зон с учетом их положения в плане города и структуры сетей.
Для оценки плотности запроектированных сетей следует исходить из тех же нормативов, что и при оценке современного состояния.
Достаточность запроектированных сетей пассажирского транспорта по степени соответствия из провозной способности перспективным размерам пассажироперевозок может быть предварительно, до проведения детальных расчетов пассажиропотоков, оценена по значениям суммарного объема пассажироперевозок и размерам пассажиропотоков в основных сечениях сети:
объем пассажироперевозок массовым транспортом Qг, тыс. чел., за год определяется по формуле
где Hг, Hп - численность соответственно, постоянного населения города и приезжающего взрослого населения за средние сутки, тыс. чел.;

- доля населения города в возрасте старше 7 лет;

- коэффициент пользования общественным транспортом при внутригородских передвижениях;

- коэффициент пересадочности при внутригородских передвижениях.
Значение коэффициента

на перспективу устанавливается на основе изучения динамики этого показателя по результатам обследований с учетом размеров и формы территории расселения.
При отсутствии материалов обследований среднее для города или отдельной функциональной зоны значение коэффициента

в перспективных расчетах рекомендуется определять в зависимости от среднего расстояния между соответствующими зонами города
l:
l, км | до 1 | 1 - 2 | 2 - 3 | 3 - 4 | 4 - 6 | Более 6 |
| 0,1 | 0,2 | 0,4 | 0,6 | 0,7 | 0,8 |
Значение коэффициента

на перспективу устанавливается на основе изучения динамики этого показателя по результатам обследований в зависимости от численности населения города и разветвленности сетей пассажирского транспорта.
При отсутствии материалов обследований ориентировочное значение коэффициента

для перспективных расчетов рекомендуется принимать при обслуживании города одним видом массового транспорта - 1,1 - 1,15; двумя - 1,15 - 1,25; тремя и более видами транспорта - 1,25 - 1,4.
Объем пассажироперевозок массовым транспортом за час пик Qпик, тыс. чел. в сутки максимальной нагрузки на транспорт, определяется по формуле
где Qг - объем пассажироперевозок массовым транспортом за год, тыс. чел.;
K', K" - коэффициенты неравномерности пассажироперевозок соответственно по сезонам года и дням недели;

- доля часа пик в объеме перевозок за сутки.
Значение коэффициентов
K' и
K" на перспективу устанавливается на основе анализа результатов обследований. При отсутствии данных обследования могут быть приняты следующие ориентировочные значения:
K' = 1,1 - 1,3; для городов - центров рекреации
K' = 1,5 - 1,6;
K" = 1,1 - 1,2;

(меньшее значение принимается для городов - центров систем расселения с развитой сетью объектов культурно-бытового обслуживания).
Максимальный пассажиропоток между городом и периферийной производственной зоной Пmax, тыс. чел./ч, составит:
где F - численность работающих в производственной зоне, тыс. чел.;
S - доля трудящихся, занятых в сменах, начинающих работу в течение наиболее загруженного часа суток;

- коэффициент пользования транспортом;

- коэффициент внутричасовой неравномерности перевозок, принимаемый в пределах 1,6 - 1,8.
Значение параметра S устанавливается в соответствии с особенностями технологии производства и организации работы предприятий и учреждений. Для ориентировочных оценок на перспективу могут быть приняты следующие значения:
для предприятий машиностроения, приборостроения и других с 2 - 3-сменной организацией производства S = 0,35 - 0,45;
для предприятий стройиндустрии и других с 1 - 2-сменной организацией производства S = 0,5 - 0,6;
для производственных зон с преобладанием предприятий бытового обслуживания, проектно-конструкторских бюро и т.п. S = 0,7 - 0,8.
Значение среднего коэффициента пользования массовым транспортом для трудящихся производственной зоны определяется в зависимости от ее удаленности от основных жилых районов, км: до 2 - 0,5; 2 - 4 - 0,7; более 4 - 0,9.
Максимальный пассажиропоток между сложившейся частью города и новым периферийным производственно-селитебным районом Псеч, тыс. чел./ч, на перспективу определяется по формуле
где T - численность трудящихся, проживающих в новом районе, на расчетный срок, тыс. чел.;
F - число рабочих мест, намеченных к размещению в новом районе, на расчетный срок;

,
K',
K" - коэффициенты неравномерности потоков в часы пик, по сезонам года и по дням недели. Рекомендации в отношении выбора значений

,
K',
K" приведены выше.
3.22. Запроектированная сеть линий пассажирского транспорта должна обеспечивать соответствие провозной способности размерам перевозок в основных сечениях сети и рациональную планировочную организацию пассажирских перевозок с учетом экологических и композиционных требований. С этой целью при достижении предела провозной способности сложившихся линий рекомендуется:
создание вылетных линий массового транспорта и организация пригородно-городского сообщения - для защиты городского пассажирского транспорта от транзитных перевозок, связанных с выполнением городом-центром функций в системе расселения;
формирование хордовых и полукольцевых линий пассажирского транспорта для обеспечения кратчайших связей периферийных селитебных и промышленных районов города и защиты центрально-расположенных жилых зон и общественных центров от транзитных по отношению к ним перевозок городских пассажиропотоков;
создание местного транспорта в отдельных жилых зонах, крупных жилых районах, территориально развитых общественных центрах, выставочных центрах и т.п. для организации подвоза населения к крупным предприятиям, общественно-торговым центрам, остановочным пунктам.
3.23. Варианты развития системы пассажирского транспорта должны являться обоснованием различного соотношения видов транспорта и возможного начертания их сетей.
При обосновании необходимости создания в городе системы внеуличного вида транспорта, обладающего высокой провозной способностью или скоростью, вариант с сетью этого вида транспорта принимается за основной. В обязательном порядке одним из рассматриваемых альтернативных вариантов должен быть вариант только с наземными видами транспорта. Результаты расчета пассажиропотоков по этому варианту должны показывать, что произойдет, если в городе не будет создан внеуличный вид транспорта.
Варианты должны быть сопоставимы по технико-экономическим показателям при одинаковом качестве транспортного обслуживания. Изменения в трассировке линий автобуса или замена маршрута автобуса маршрутом троллейбуса не могут считаться вариантами развития сети массового транспорта, так же как и предложения об использовании экспресс-автобуса без выделения специальных полос движения.
Изменения в трассировке магистральных улиц и дорог и их классификация, заложенные в генеральном плане, допускаются в отдельных случаях при появлении и достаточном обосновании новых факторов, не учтенных при разработке генплана.
При достаточном техническом обосновании и с учетом существующих ограничений экономического и технического характера, в качестве варианта развития сети массового транспорта может ставиться вопрос об изменении очередности застройки или реконструкции того или иного района города в рамках архитектурно-планировочного решения генерального плана города.
В ряде случаев для городов рассматриваемой величины в специфических транспортно-планировочных условиях отсутствует обоснованная альтернативность в возможных проектных предложениях. В этом случае дается укрупненное обоснование возможности рассмотрения одного варианта, который и представляется в работе с одним-двумя подвариантами поэтапного развития сети массового транспорта.
При обосновании радикальных изменений в существующей системе городского транспорта, необходимости значительных капиталовложений в развитие и реконструкцию существующей улично-дорожной сети может быть выполнен расчет перспективных пассажиропотоков по существующей улично-дорожной и транспортной сети города с целью показа последствий невыполнения необходимых реконструктивных мероприятий.
ОБОСНОВАНИЕ ВАРИАНТОВ РАЗВИТИЯ
ПАССАЖИРСКОГО ТРАНСПОРТА ГОРОДА
3.24. Обоснование вариантов развития сетей, выбор видов транспорта и их соотношения в освоении пассажироперевозок производятся на основе технико-экономических расчетов с учетом результатов анализа градостроительных особенностей развития города, предполагаемых размеров пассажироперевозок, функциональных и эксплуатационных характеристик видов транспорта и их провозной способности, приведенных затрат и возможности осуществления проектных предложений.
Расчеты по вариантам развития сетей пассажирского транспорта производятся с целью определения:
соответствия провозной способности сетей пассажирского транспорта перспективным размерам пассажироперевозок;
условий эксплуатации видов транспорта;
размеров капиталовложений в развитие сетей, эксплуатационных расходов и условий реализации проектных предложений.
В процессе технико-экономических расчетов определяются:
размеры ожидаемых объемов перевозок на сетях пассажирского транспорта города и их соотношение по видам транспорта;
провозная способность сетей и видов пассажирского транспорта применительно к градостроительным условиям проектируемого города;
эксплуатационные характеристики видов транспорта;
капиталовложения и расходы, связанные с эксплуатацией видов транспорта и осуществлением перевозок и необходимые для реализации проектных предложений.
Сравнение вариантов сетей пассажирского транспорта производится по следующим параметрам и характеристикам:
доступность объектов тяготения, обеспечиваемая системой пассажирского транспорта;
соответствие провозной способности линий нагрузкам сети пассажирского транспорта;
предельные затраты времени на сообщения и распределение трудовых передвижений и поездок по продолжительности;
капиталовложения, эксплуатационные расходы и приведенные затраты в развитие системы пассажирского транспорта.
Для принятого варианта дополнительно приводятся:
плотность линий общественного транспорта для города в целом и для отдельных функциональных зон;
прямолинейность сообщений (для отдельных линий скоростного рельсового транспорта и города в целом);
частота движения транспортных средств и насыщенность сетей подвижным составом;
беспересадочность сообщений;
степень совмещения маршрутов на сети пассажирского транспорта города.
Расчет нагрузки (корреспонденций населения, пассажирских корреспонденций, пассажиропотоков) сетей пассажирского транспорта производится, как правило, на ЭВМ на основе одного из комплексов программ для ЭВМ, принятых в установленном порядке в фонд алгоритмов и программ Госгражданстроя при Госстрое СССР. Подготовка исходной информации для расчета и перечень получаемых показателей и характеристик определяются особенностями каждого комплекса программ и методическими рекомендациями по их использованию.
3.25. Расчет пассажиропотоков на сети массового транспорта и улично-дорожной сети выполняется на ЭВМ методом взаимных корреспонденций между транспортными районами с последующим наложением корреспонденций на анализируемую сеть городского пассажирского транспорта.
В результате расчета пассажиропотоков на ЭВМ должны быть получены следующие показатели:
1. Количество пассажиров на массовом транспорте с полной дальностью поездки в средние сутки года, в характерные сутки, в час пик.
2. Количество пассажиров на легковом автотранспорте в средние сутки года, в характерные сутки, в час пик.
3. Величина транспортной подвижности (поездок на жителя) на массовом транспорте, на легковом автотранспорте, на всех видах пассажирского транспорта в целом, подсчитанная на основе первых двух показателей.
4. Число пассажиров на каждом виде массового пассажирского транспорта, учитываемое в расчете.
5. Величина транспортной работы (пасс./км) на каждом виде массового транспорта и на легковом автотранспорте.
6. Величина средней дальности поездки (км) на каждом виде массового транспорта, на легковом автотранспорте, на всех видах транспорта в целом.
7. Полная дальность поездки на массовом транспорте.
8. Картограммы (цифрограммы) пассажиропотоков по каждому виду массового транспорта и на легковом автотранспорте в средние сутки года, в характерные сутки, в час пик.
9. Величина посадки и высадки на станциях внеуличного транспорта.
10. Картограммы (цифрограммы) пассажиропотоков на каждом виде массового транспорта и на легковом автотранспорте в любой расчетный период, имеющих местом прибытия определенную заданную зону города.
11. Матрицы корреспонденций в передвижениях, поездках на массовом транспорте и легковом автотранспорте между транспортными районами и укрупненными зонами.
12. Матрицы затрат времени и дальности передвижений между транспортными районами города.
13. Средние затраты времени и дальности передвижений по транспортным районам, укрупненным зонам и средние по городу в целом.
14. Полигоны распределения передвигающихся по затратам времени и дальности по укрупненным зонам и городу в целом.
Моделирование пассажиропотоков и их распределение по видам массового пассажирского транспорта выполняется на сети массового транспорта, представленной в виде совмещенных графов, каждый из которых представляет вид массового транспорта.
Целесообразность выделения какого-либо вида массового транспорта (при наличии в проектном предложении нескольких видов массового транспорта в транспортной системе города) в виде самостоятельного графа обусловливается:
отличием скоростей движения на данном виде транспорта от остальных (скоростной автобус, метро и т.п.);
наличием самостоятельной изолированной сети данного вида транспорта (трамвай, метро, железная дорога);
решением специфических для данного вида транспорта проблем;
необходимостью определить объем работы данного вида транспорта отдельно от остальных;
наличием вылетных направлений данного вида транспорта, увязанных с внутригородской сетью транспорта.
Нецелесообразно в большинстве случаев выделять в виде отдельного графа (за исключением вышеизложенных случаев):
сеть троллейбуса отдельно от сети автобуса;
линии маршрутных такси;
линии железной дороги, не выполняющей внутригородские перевозки;
линии водного транспорта;
ведомственный автотранспорт.
3.26. Если сеть массового транспорта в городе представлена одним видом транспорта, то граф сети состоит из узлов, изображающих перекрестки улично-дорожной сети и основные остановочные пункты (предполагаемые вне перекрестков) этого вида транспорта, а ребра - перегоны сети. В большинстве случаев основным видом массового транспорта является автобус, граф сети которого и является основным графом. При наличии двух, трех и более видов массового транспорта, сеть которых целесообразно представить в виде графа, параллельно основному строятся графы сетей этих видов транспорта, узлы которых являются остановочными пунктами, а ребра - перегонами сетей этих видов транспорта. Для комплекса программ "КАРАТ-800" сеть всех видов массового транспорта может быть введена в ЭВМ в виде единого графа, для каждого ребра которого указывается возможность передвижения пешком, на видах наземного транспорта, на одном, двух или трех видах скоростного или внеуличного транспорта, на легковых автомобилях. Единичные графы связываются между собой и с основным графом пересадочными ребрами, моделирующими возможность пересадки с одного вида транспорта на другой.
Необходимо учитывать, что расчет выполняется в сетевой форме, поэтому в программах моделируется условная пересадочность, не учитывающая возможность пересадки с одного маршрута на другой в сети одного вида транспорта.
Учитывая допущения, принятые в модели, и ее неполную адекватность действительному процессу пересадки, рекомендуется в процессе предварительных расчетов (одного-двух) откалибровать затраты времени на пересадочных ребрах. Затраты времени на пересадочных ребрах должны соответствовать внутримодельным соотношениям затрат времени на каждом виде транспорта.
Все узлы графа сети нумеруются. В совмещенном графе рядом расположенные узлы графов различных видов транспорта нумеруются раздельно собственными номерами или по каждому ребру указываются возможные способы движения.
Необходимо далее задать для каждого ребра графа его длину, затраты времени, необходимые для его преодоления. В большинстве случаев задаются координаты узлов, по которым затем программа рассчитывает длины ребер. В этом случае на очень криволинейных участках необходимо задавать условные промежуточные узлы, чтобы не вводить большую ошибку в длины ребер за счет их спрямления при расчете по координатам.
Затраты времени на ребре графа являются функцией его длины и скорости вида транспорта, сеть которого изображает данный граф. Скорость задается в виде шкалы в качестве исходной информации, и затраты времени рассчитываются на ЭВМ. Необходимо учитывать, что в шкале скоростей должна задаваться скорость движения пассажира на данном виде транспорта, а не транспортного средства, т.е. требуется учесть некоторое время ожидания подвижного состава на остановке.
3.27. В процессе расчета корреспонденций, выполняющемся в передвижениях, из матрицы корреспонденций с помощью закономерности изменения коэффициента пользования транспортом и закономерности отвода на легковой автомобиль выделяется матрица корреспонденций на массовом пассажирском транспорте. С целью получения картограмм (цифрограмм) пассажиропотоков матрицу корреспонденций на массовом транспорте распределяют по графу сети массового транспорта.
Распределение пассажиропотоков по видам массового транспорта происходит в процессе "развозки" - распределения суммарной матрицы по совмещенному графу.
Таким образом, пассажиропотоки на сети каждого вида массового транспорта, объем перевезенных пассажиров, транспортная работа и средняя дальность поездки получаются в процессе моделирования выбора вида транспорта в процессе поездки.
Основным показателем, в соответствии с которым происходит моделирование выбора вида транспорта, являются затраты времени - внутримодельное соотношение затрат времени (скоростей).
Часто бывает, что из-за недостаточно продуманного назначения скоростей по видам транспорта, накладных расходов времени на подход и пересадку, распределение пассажиропотоков по видам транспорта получается нелогичным. Рекомендуется в процессе предварительных расчетов, варьируя соотношением скоростей на различных видах транспорта и накладными расходами, получить логически непротиворечивые результаты.
Поскольку речь идет о распределении пассажиропотоков по нескольким видам транспорта, то в процессе калибровки большую роль играет определенное соотношение между скоростями различных видов транспорта и соотношение накладных расходов времени, нежели их абсолютные значения.
Для учета в процессе расчета передвижений приезжающих в город из прилегающего района в объемы передвижений по районам, на территории которых расположены станции и остановочные пункты внешнего и пригородного транспорта, включаются объемы передвижений приезжих исходя из их численности и подвижности.
Расчет пассажиропотоков на массовом транспорте может выполняться за средние сутки года, за характерные (будни, праздники, летние, зимние) сутки, за час пик. Час пик может учитывать либо только трудовые передвижения, либо только культурно-бытовые, либо их совмещение. Расчет пассажиропотоков в средние сутки выполняется с целью определения среднесуточного, а, следовательно, и годового объема перевозок, на основе которого рассчитываются экономические показатели.
Картограммы суточных пассажиропотоков представляют меньший интерес, но в сопоставлении с пиковыми позволяют оценить внутрисуточную неравномерность пассажиропотоков, особенно для крупных периферийных промышленных зон, а также при выборе местоположений мостовых переходов. Для внеуличных и скоростных видов транспорта целесообразно определять суточный пассажирооборот остановочных пунктов. Картограммы пассажиропотоков в час пик позволяют оценить размеры максимальной нагрузки на перегонах сети и сопоставить их с провозной способностью линий общественного транспорта.
Расчет пассажиропотоков в характерные сутки позволяет оценивать нагрузку на сеть массового транспорта либо в некоторых экстремальных ситуациях, либо в периоды, неблагоприятные для работы массового транспорта. Например, для городов с крупным промузлом целесообразно моделировать работу в будний день зимнего периода, а для курортов - максимальные летние сутки с учетом подвижности отдыхающих.
3.28. Расчет внутригородских пассажиропотоков на легковом автотранспорте выполняется в составе единого расчета пассажиропотоков на городском транспорте, совместно и во взаимосвязи с системой массового пассажирского транспорта. Расчетная суммарная матрица корреспонденций на городском пассажирском транспорте разделяется на матрицу поездок на массовом транспорте и матрицу поездок на легковом автотранспорте с помощью шкалы отвода, рассчитанной в соответствии с закономерностью

.
Полученная матрица корреспонденций на легковом автотранспорте распределяется по улично-дорожной сети (с учетом классификации магистралей), которая также представляется в виде графа, узлами которого являются перекрестки, а ребрами - перегоны улично-дорожной сети.
В процессе расчета затраты времени на движение по перегону улично-дорожной сети определяются как функции длины перегона и скорости движения легкового автомобиля, которая дифференцируется по классам магистралей. Для каждого класса магистралей задается своя скорость движения с учетом особенностей и характера их функционирования. К этим особенностям относятся факторы, влияющие на величину скорости движения и пропускную способность магистралей:
характер прилегающей застройки и расположение крупных центров тяготения;
предварительные соображения о классе узлов и пересечений;
наличие или отсутствие линий общественного транспорта и особенно электрифицированного рельсового и безрельсового;
наличие или отсутствие движения грузовых автомобилей;
наличие или отсутствие участков улично-дорожной сети с малой пропускной способностью, но не подлежащих реконструкции, и т.п.
Следует отметить, что при назначении классов магистралей не следует ориентироваться только на нормативную классификацию. Поскольку с помощью классификации магистралей имеется возможность моделировать различные скоростные режимы движения, то проектировщик, выделяя наиболее интенсивные участки улично-дорожной сети в собственные классы, может моделировать либо повышение скорости на магистралях низких нормативных классов, либо снижение скоростей движения на отдельных участках, в специфических условиях данного города, с учетом упомянутых выше особенностей.
Накладные затраты времени при передвижениях на легковом автотранспорте призваны моделировать затраты времени на подход к автомобилю, подготовку автомобиля к движению и выезд на магистральную уличную сеть и задаются в виде условных ребер, соединяющих центры транспортных районов и узлы графа улично-дорожной сети.
Накладные затраты времени при передвижениях на легковом автомобиле устанавливаются в зависимости от градостроительных особенностей района, плотности магистралей, размещения объектов тяготения, гипотезы размещения и пользования гаражами и стоянками и т.п.
Оперируя величиной накладных затрат времени в районах отправления, можно моделировать условия паркирования в них. В центральных районах, увеличивая накладные затраты времени, моделируют ограничения на паркирование у объектов тяготения в центре города.
В любом случае величина накладных затрат времени при моделировании работы легкового автотранспорта назначается исходя из особенностей и допущений модели, и может быть рекомендована в диапазоне 5 - 7 мин (для средних условий).
Расчет пассажиропотоков на легковом автотранспорте выполняется как для средних или характерных суток года, так и для часа пик. Наибольший интерес для анализа загрузки улично-дорожной сети города представляет расчет пассажиропотоков на легковом автотранспорте в летние сутки года и в соответствующий час пик. Расчет пиковых потоков в летние сутки года позволяет оценить возможности улично-дорожной сети города при максимальной загрузке. При этом необходимо учитывать, что подобный расчет не позволяет оценить объем среднесуточной, а, следовательно, и годовой работы легкового автотранспорта и, кроме того, занижает данные о загрузках сети массового общественного транспорта. В связи с этим необходимо дополнительно выполнять расчет пассажиропотоков на легковом автотранспорте в средние сутки года, результаты которого должны быть использованы при определении объемов работ на всех видах городского транспорта и долевого участия каждого из них.
Для оценки работы массового общественного транспорта целесообразно выполнять расчет на зимние сутки года при минимальной работе легкового автотранспорта.
В результате расчета пассажиропотоков на легковом автотранспорте должны быть получены:
число пассажиров, перевезенных легковым автотранспортом;
величина работы легкового автотранспорта (пасс./км);
средняя дальность поездки;
картограмма (цифрограмма) пассажиропотоков на улично-дорожной сети.
3.29. Результаты расчета пассажиропотоков на массовых видах пассажирского транспорта и легковых автомобилях служат основанием для:
оценки провозной способности линий общественного транспорта;
установления интенсивности движения и оценки пропускной способности сети магистральных улиц и дорог города;
определения парка подвижного состава пассажирского транспорта и потребностей в развитии транспортного хозяйства города;
определения капиталовложений в развитие пассажирского транспорта города и ожидаемых расходов на его эксплуатацию.
Соответствие провозной способности размерам перспективных пассажиропотоков оценивается исходя из нормативной вместимости и допустимой частоты движения подвижного состава по видам транспорта. Количественные значения параметров принимаются такими же, как и при оценке современного состояния. Частота движения экипажей общественного транспорта, соответствующая (при нормативном уровне вместимости) перспективному пассажиропотоку в сечениях сети, характеризует интенсивность движения маршрутизированного транспорта. Провозную способность линий массового транспорта следует дополнительно оценивать по пропускной способности остановочных пунктов.
Оценку пропускной способности улично-дорожной сети с учетом пассажиропотоков на массовом транспорте целесообразно выполнять из условия, что 80% пропускной способности правой полосы движения в каждом направлении реализуется за счет массового транспорта.
Для получения картограммы экипажепотоков на улично-дорожной сети города необходимые данные о пассажиропотоках на перегонах разделить на величину наполнения автомобилей.
В отдельных случаях для оценки нагрузки улично-дорожной сети сводными машинопотоками можно пользоваться следующим приемом. Картограмму пассажиропотоков на легковом автотранспорте, полученную в результате расчетов в средние сутки года, можно интерпретировать как сводную картограмму машинопотоков в летние сутки года. Если принять, что для средних климатических условий коэффициент сезонной неравномерности примерно равен 1,3 - 1,4, а доля грузовых автомобилей в потоке на перспективу в среднем по городу будет составлять примерно 0,2 - 0,25, то при перемножении этих коэффициентов для оценки максимальной нагрузки получим величину 1,6 - 1,75. Если принять во внимание, что на перспективу наполнение автомобилей будет также находиться в этих пределах, то их отношение будет практически равно единице.
Таким образом, при отсутствии необходимости в детальных расчетах потоков грузовых автомобилей можно интерпретировать среднесуточную картограмму пассажиропотоков на легковом автотранспорте (так же как и пиковую среднесуточную) как картограмму сводных машинопотоков.
Данные о прибытии в транспортные районы на легковом автотранспорте, полученные в результате расчета пассажиропотоков, могут быть использованы при расчете потребного количества машиномест для временного хранения автомобилей у объектов тяготения.
3.30. Технические возможности и экономическая целесообразность реализации проектных предложений по развитию системы пассажирского транспорта города оцениваются по:
объему пассажирских перевозок за год и за час пик для города в целом и по отдельным видам транспорта;
пассажиропотокам за средние сутки и час пик по участкам сети и прежде всего в тех сечениях, где ограничены возможности прокладки дублирующих участков сетей - при переходе через естественные или искусственные рубежи, на входе в наиболее крупные промышленные районы и т.п.;
средней дальности поездки по сети и на маршрутах отдельных видов транспорта;
численности инвентарного парка подвижного состава и размерам ежегодного приобретения новых транспортных средств по отдельным видам транспорта;
капиталовложениям в развитие видов пассажирского транспорта и срокам строительства необходимых транспортных сооружений;
эксплуатационным расходам, необходимым для обеспечения функционирования видов пассажирского транспорта и транспортной системы города в целом.
При выборе варианта развития системы пассажирского транспорта следует исходить из комплексной градостроительной оценки вариантов с учетом:
уровня пассажирского обслуживания населения, обеспечиваемого в каждом из вариантов, которые оцениваются по комплексу показателей, принятому при анализе современного состояния;
экономических показателей каждого из вариантов, характеризующихся капиталовложениями в их реализацию, расходами на их эксплуатацию и относительной экономической эффективностью, выраженной в приведенных расходах;
условий производства строительных работ и последующей эксплуатации линий и видов пассажирского транспорта, характеризующихся наличием и мощностью строительных организаций, возможностью закрытия на период строительства участков транспортных коммуникаций, наличием кадров трудящихся, ремонтной и строительной баз;
воздействия на городскую среду, характеризующегося уровнем транспортного шума и вредными выбросами в атмосферу, а также возможностью сочетания транспортных сооружений со сложившейся городской застройкой.
4. ПРОЕКТИРОВАНИЕ МАГИСТРАЛЬНОЙ УЛИЧНО-ДОРОЖНОЙ СЕТИ.
ОРГАНИЗАЦИЯ ДВИЖЕНИЯ ТРАНСПОРТА И ПЕШЕХОДОВ
4.1. Цель проектирования - обоснование мероприятий по развитию улично-дорожной сети (УДС) и организации движения (ОД), обеспечивающих необходимую безопасность движения и пропускную способность УДС на расчетные сроки КТС.
Задачи проектирования, в соответствии с целью, включают:
определение линейного развития УДС, конкретных приемов реконструкции поперечных профилей и пересечений улиц и дорог, очередности развития этих элементов при новом строительстве;
определение режимов движения транспортных потоков на основных магистралях города, принципов регулирования транспортных и пешеходных потоков на пересечениях улиц и дорог;
определение мероприятий, обеспечивающих удобство и безопасность движения транспорта и пешеходов;
оценку эффективности мероприятий по развитию УДС и организации движения и определение объема необходимых капиталовложений.
4.2. В соответствии с задачами и методиками расчетов и обоснований исходные данные должны включать:
картограммы существующей загрузки УДС потоками транспорта и пешеходов, планировочные характеристики перегонов и пересечений магистральной сети;
картограммы интенсивности и структуру транспортных потоков на расчетные сроки КТС, схему развития магистралей по генеральному плану, решения улиц и дорог для новых и реконструируемых районов (особенно по центру) по проектам детальных планировок;
картограммы скоростей движения на перегонах основных магистралей, мест концентрации дорожно-транспортных происшествий, а также данные о режимах регулирования на пересечениях улиц и дорог;
данные о капвложениях на развитие УДС и ОД по всем источникам финансирования за предыдущую пятилетку (если возможно, с разбивкой по годам).
4.3. Результаты расчетов и проектных решений должны быть выражены в виде следующих материалов (помимо текста пояснительной записки):
таблиц уровней загрузки узлов на существующее положение и на первую очередь, их графическая интерпретация на плане УДС;
схемы поэтапного развития УДС (желательно на копии схемы магистралей генерального плана);
поперечных профилей основных магистралей с выделением очередности их развития;
принципиальных схем сложных пересечений в одном уровне и всех пересечений в разных уровнях;
схемы принципов организации городского движения с классификацией магистралей по структуре и скоростям движения узлов по режимам регулирования;
таблицы детального описания поэтапной реконструкции основных перегонов и пересечений улиц и дорог (включая конкретизацию мероприятий по обеспечению безопасности движения);
сводной таблицы капиталовложений по этапам развития УДС (возможно с разбивкой первой очереди по годам), включая затраты предшествующего пятилетия.
4.4. В разделе рекомендуется перечислить объекты УДС, которые необходимо разрабатывать на стадиях техно-рабочего проектирования с указанием их основных технических характеристик, а также сформулировать основные положения развития УДС на первую очередь с оценкой необходимых капвложений как материал для разработки развития этой отрасли городского хозяйства в пятилетнем плане.
ПРОГНОЗИРОВАНИЕ ГРУЗОПОТОКОВ И РАСЧЕТ ИНТЕНСИВНОСТИ
ГРУЗОВОГО ДВИЖЕНИЯ
4.5. При прогнозировании работы внутригородского грузового автотранспорта рекомендуется применять метод взаимных корреспонденций, основными составляющими которого являются:
характеристика перевозимых грузов с разделением их по категориям;
определение границ транспортных районов с выявлением основных грузообразующих и грузопоглощающих пунктов (складских территорий, промышленных предприятий, строительных баз, железнодорожных и автомобильных транспортных устройств) и расстояния между ними;
увязка существующих внутригородских корреспонденций по каждой категории грузов при определении перспективных грузовых связей грузоотправителей и грузополучателей между собой;
расчет перспективных грузопотоков с наложением на магистральную улично-дорожную сеть города.
При определении перспективных грузовых корреспонденций между транспортными районами необходимо учитывать:
уровень развития промышленности, строительной индустрии, транспортной базы, складских хозяйств города и его пригородной зоны;
перспективное расселение населения;
нормативный уровень обеспеченности населения продуктами питания и промышленными товарами, уровень обслуживания населения;
размещение в плане города грузообразующих и грузопоглощающих пунктов и их перспективные мощности.
4.6. На первую очередь строительства и расчетный срок КТС по генеральному плану города или ТЭО его развития принимаются следующие показатели:
стоимость строительно-монтажных работ или валовой продукции, млн. руб.;
численность живущих, работающих или посещающих объекты культурно-бытового обслуживания;
удельный вес объектов данного типа, расположенных на территории города и его зоны влияния, %.
4.7. В целях упрощения расчета грузовых корреспонденций (с привлечением ЭВМ) территория города условно делится на грузовые транспортные районы, границы которых рекомендуется совмещать с границами пассажирских районов.
Размеры грузовых транспортных районов в границах застройки для крупных городов следует принимать не более 500 га.
4.8. Исходными данными для выполнения расчетов являются приведенные удельные грузовые корреспонденции, которые записываются в модели раздельно по четырем группам грузов.
Типовые модели грузовых корреспонденций используются для расчета грузовых корреспонденций объектов данного типа и могут быть многократно использованы на перспективу. В случае изменения корреспонденций модели данного типа объектов необходимо скорректировать.
4.9. Суммарный объем грузоперевозок на первую очередь и проектный период возрастает не прямо пропорционально росту валовой продукции. Это является следствием происходящих в городе и пригородной зоне изменений, названных увеличением объема автомобильных перевозок за счет снятия с железнодорожного транспорта короткопробежных грузов (при перевозках на расстояние менее 150 км), ликвидации малодеятельных железнодорожных подъездных путей (особенно для промышленных предприятий, имеющих грузооборот менее 10 условных вагонов в сутки), расширения бесперевалочных контейнерных перевозок.
На основе анализа транспортного обслуживания промышленных предприятий с учетом вышеперечисленных факторов определяют дополнительные перспективные объемы автомобильных перевозок промышленных грузов.
При ориентировочном определении годовых объемов корреспонденций по грузам жилищного, культурно-бытового и коммунального строительства, массу строительных материалов, деталей и конструкций с учетом понижающего коэффициента (на первую очередь - 0,95 и на расчетный срок - 0,9) следует принимать из расчета на 1000 м2 жилой площади, или на 1 млн. руб. сметной стоимости строительно-монтажных работ.
4.10. В соответствии с установившимися корреспонденциями, с учетом возможных изменений размещения грузообразующих и грузопоглощающих пунктов, а также на основании данных о перспективных объемах грузов, перевозимых автотранспортом по предприятиям и организациям, включая и пригородные, составляются таблицы матриц, дифференцированные по категории грузов. Годовые перспективные грузовые корреспонденции рекомендуется рассчитывать с использованием алгоритма (см.
прил. 6) по программе "Грузы-80", разработанный в Гипрограде УССР. В результате получают объемы перевозок по отдельным категориям грузов, а также суммарный объем грузовых корреспонденций на первую очередь и расчетный срок.
4.11. Для определения перспективной интенсивности движения грузовых автомобилей по магистральной сети города грузопотоки (тыс. т) переводятся в автомобилепотоки (авт./сут).
Проектная суточная интенсивность движения грузовых автомобилей по магистральной сети Mсут определяется из выражения:
где Пгод - годовой грузопоток, принимаемый на основании картограммы грузовых корреспонденций, т;
kсез - коэффициент сезонной неравномерности, равный 1,1;
kгр - коэффициент использования грузоподъемности грузовых автомобилей, принимается в пределах 0,80 - 0,85;
kпр - коэффициент использования пробега, равный 0,6;
q - средняя грузоподъемность грузового автомобиля, принимается на первую очередь 4 т и на расчетный срок 4,5 - 5 т;
260 - количество рабочих дней в году.
4.12. При определении интенсивности движения грузовых автомобилей в пиковый период рекомендуется принимать ее величину в размере 10 - 12% суточного объема грузового движения как величину устойчивую, связанную для сложившихся городов с постоянным режимом производственной деятельности города и установившимися связями в городе.
4.13. Перспективные расчетные показатели интенсивности движения грузового автотранспорта должны быть определены в приведенных единицах с применением переводных коэффициентов (глава СНиП II-60-75* "Планировка и застройка городов, поселков и сельских населенных пунктов",
п. 9.4) и при суммировании машинопотоков всех видов транспорта (массового пассажирского, легкового и грузового) положены в основу расчета поперечных профилей магистралей города в соответствии с принятым в генеральном плане их функциональным назначением.
4.14. В общем потоке автомобильного транспорта участвует и междугородний грузовой автотранспорт, удельный вес которого определяется по материалам обследований. При отсутствии таких данных перспективную интенсивность междугородного транзитного грузового автотранспорта следует определять по картограмме машинопотоков (формула
п. 4.11) либо принимать в пределах 10 - 12% максимальной интенсивности движения грузовых магистралей.
4.15. При распределении перспективных грузопотоков по магистральной сети города должны учитываться его планировочная структура и соблюдаться следующие требования:
осуществление грузоперевозок по магистралям преимущественно грузового движения (по наиболее грузонапряженным направлениям) в соответствии с пропускной и провозной их способностью;
дифференциация потоков грузового и пассажирского транспорта;
обеспечение удобных связей между грузокорреспондирующими объектами;
осуществление грузоперевозок автомобильным транспортом с минимальными затратами (по возможности по кратчайшим направлениям);
снижение вредного воздействия транспорта на городскую среду и условия проживания городского населения (при организации движения грузового автотранспорта);
максимальный вывод грузового движения из центральной части города.
4.16. В связи со специфическими условиями транспортирования грузов и их классификацией, грузовые корреспонденции по магистральной улично-дорожной сети можно распределить следующим образом: корреспонденции промышленных грузов пропускать в основном по магистралям грузового движения, обходным дорогам и в особых случаях по улицам общегородского и районного значения, а строительных - при наличии строящихся объектов в селитебных районах - временно по улицам общегородского и районного значения. Для пропуска корреспонденции потребительских и коммунальных грузов используются все категории улиц и дорог.
ПРОГНОЗИРОВАНИЕ ИНТЕНСИВНОСТИ ДВИЖЕНИЯ НА СЕТИ УЛИЦ И ДОРОГ
4.17. Прогнозирование интенсивности движения транспорта на перспективу и первую очередь строительства проводится на основе выполненных ранее расчетов пассажирских и грузовых перевозок, а также материалов обследований загрузки узлов существующей улично-дорожной сети (УДС) и статистики изменения парка различных транспортных средств.
Загрузка улично-дорожной сети всеми видами транспорта определяется в приведенных единицах как сумма следующих расчетных потоков:
пассажиропотоков на массовом транспорте (при наличии трамвая он должен быть выделен и учитываться только при оценке пропускной способности узлов), пересчитанных на интенсивность движения наземного общественного транспорта (автобуса, троллейбуса) и затем на приведенные единицы;
пассажиропотоков на легковом автомобильном транспорте, пересчитанных на интенсивность движения легковых автомобилей;
грузопотоков, пересчитанных на интенсивность движения грузового транспорта и затем на приведенные единицы.
Кроме этих потоков, получаемых непосредственно расчетами, необходимо учитывать дополнительную загрузку улично-дорожной сети транзитными, по отношению к городу, транспортными потоками, а также специализированными видами транспорта (санитарные, пожарные и другие автомобили). Эти виды дополнительной загрузки, не получаемые вышеуказанными картограммами, учитываются через повышающие коэффициенты по их фактической доле в потоке на основе материалов обследований интенсивности транспортных потоков.
Расчетный час для получения суммарной загрузки берется на основании допущения, что час пик суммарной загрузки, полученный по данным обследования, сохраняется и на перспективу. Для этого часа и берутся соответствующие значения интенсивности движения из картограмм потоков общественного, легкового и грузового транспорта.
4.18. Суммарная загрузка УДС на первую очередь может быть определена так же, как и на расчетный срок, на основе аналогичных картограмм пассажиро- и грузопотоков. При наличии нескольких обследований существующей интенсивности движения на магистралях города, целесообразно прогнозировать загрузку магистралей с учетом коэффициентов роста. Суть такого прогнозирования сводится к следующему:
на основе статистики роста парка за последние 7 - 10 лет устанавливаются закономерности изменения по видам транспорта - общественному, легковому и грузовому;
по каждой магистрали на основе сравнения материалов ряда обследований определяются коэффициенты роста интенсивности, которые затем необходимо обобщить путем усреднения по классам магистралей и зонам города. В результате для трех зон - центральной, срединной и периферийной, для магистралей преимущественно легкового, смешанного и преимущественно грузового движения могут быть получены коэффициенты роста интенсивности движения различных видов транспорта;
сравнивая коэффициенты роста интенсивности движения с коэффициентами роста парка за этот же период рекомендуется установить коэффициенты взаимосвязи между ростом парка и изменением интенсивности движения. Перемножением этих коэффициентов и существующей интенсивности получается загрузка УДС на первую очередь в натуральных единицах, которые затем необходимо пересчитать в приведенные.
При отсутствии данных обследований интенсивности за предыдущий период можно пользоваться следующими допущениями:
рост интенсивности грузового и автобусного движения в ближайшие 5 - 7 лет примерно пропорционален росту парка;
рост интенсивности движения легковых автомобилей примерно пропорционален росту парка до уровня автомобилизации 30 - 40 легковых автомобилей на 1000 жителей. При большей автомобилизации рост интенсивности будет несколько меньше прироста парка. В зависимости от обеспеченности гаражами и величины города понижающий коэффициент следует принимать в пределах 0,8 - 0,9.
ОБОСНОВАНИЕ МЕРОПРИЯТИЙ ПО РАЗВИТИЮ УЛИЧНО-ДОРОЖНОЙ СЕТИ
ГОРОДА И ОРГАНИЗАЦИИ ДВИЖЕНИЯ
4.19. Обоснование развития улично-дорожной сети на перспективу рекомендуется проводить в следующем порядке:
по суммарной загрузке перегонов и узлов УДС определяются принципиальные решения узлов (регулируемый или в разных уровнях) и необходимое число полос движения на перегонах с учетом решения узла;
указанные принципиальные решения сопоставляются с техническими параметрами магистральной сети по генеральному плану (имея в виду, что пропускная способность улично-дорожной сети в генплане зарезервирована на уровень автомобилизации 150 - 180 легковых автомобилей на 1000 жителей). На основе этого сопоставления из перспективных решений генплана и выделяются этапы на расчетный срок КТС.
При выборе сетевого развития магистралей целесообразно в первую очередь стремиться к достижению дифференциации магистралей по видам движения за счет выделения магистралей грузового движения и магистралей с преимущественным движением общественного транспорта по будущим трассам непрерывного движения.
Только после использования сетевых возможностей развития УДС следует переходить к увеличению пропускной способности узлов за счет развязок в разных уровнях, сначала разделяя потоки транспорта и пешеходов, а затем - потоки транспорта между собой.
Для количественных оценок и технических расчетов рекомендуется пользоваться данными и методами, изложенными ниже.
4.20. Обоснование первоочередных мероприятий по развитию УДС и организации движения рекомендуется проводить на основе оценки сопоставления интенсивности движения на первую очередь и пропускной способности существующей УДС, определяя коэффициенты загрузки узлов существующей сети потоками первой очереди. На основании уровней загрузки узлов при существующем положении и на первую очередь рекомендуется определять основные направления совершенствования организации движения и реконструкции с оценкой их по конкретному обеспечению необходимой пропускной способности. При этом изменение диапазона уровней загрузки от существующих до первой очереди позволяет, соответственно, намечать и мероприятия от немедленных (первые 1 - 2 года) до конечных (последний год первой очереди).
Результаты оценки уровней загрузки и краткое описание конкретных мероприятий рекомендуется представлять по
ф. 7 прил. 5 (порядок перечисления магистралей желательно сохранить таким же, как и в
формах 1,
2,
3,
4,
6 прил. 5).
4.21. При выборе мероприятий следует идти от полного использования различных методов организации движения к планировочной реконструкции узла в соответствии с генеральным планом или проектом детальной планировки. Таким образом, первоочередные мероприятия включают:
переход от нерегулируемого движения к саморегулируемому;
введение светофорного регулирования;
частичную реконструкцию подходов к пересечению;
строительство подземных пешеходных переходов;
строительство развязки в разных уровнях (возможно по этапам);
строительство новой магистрали как дублера существующей;
перераспределение потоков за счет дифференциации улично-дорожной сети в районе (что обычно связано с новым строительством).
| | ИС МЕГАНОРМ: примечание. Взамен ГОСТ 23457-79 Постановлением Госстандарта СССР от 24.06.1986 N 1685 с 1 января 1987 года введен в действие ГОСТ 23457-86. | |
4.22. Для определения необходимости введения светофорного регулирования следует руководствоваться требованиями ГОСТ 23457-79. В соответствии с этими требованиями на перекрестках и пешеходных переходах светофоры должны устанавливаться при наличии хотя бы одного из следующих условий:
в течение суток рабочего дня недели имеются 16 получасовых интервалов, в каждый из которых интенсивность движения транспортных средств не менее указанной в табл. 9;
Таблица 9
Количество полос проезжей части, используемых для движения в одном направлении | Интенсивность движения транспортных средств для городов и других населенных пунктов с населением 10 тыс. человек и более, ед./ч |
главная (более загруженная) дорога | второстепенная (менее загруженная) дорога | на главной дороге в двух направлениях | на второстепенной дороге в одном, наиболее загруженном направлении |
1 | 1 | 750 | 75 |
670 | 100 |
580 | 125 |
500 | 150 |
410 | 175 |
380 | 190 |
2 или более | 1 | 900 | 75 |
800 | 100 |
700 | 125 |
600 | 150 |
500 | 175 |
400 | 200 |
2 или более | 2 или более | 900 | 100 |
825 | 125 |
750 | 150 |
675 | 175 |
600 | 200 |
525 | 225 |
480 | 240 |
в течение суток рабочего дня недели имеется 16 получасовых интервалов, в каждый из которых интенсивность движения транспортных средств и пешеходов не менее указанной в табл. 10;
Таблица 10
Населенный пункт | Интенсивность движения транспортных средств в двух направлениях, ед./ч | Интенсивность пешеходного движения через дорогу в одном, более загруженном направлении, чел./ч |
при отсутствии разделительной полосы | при наличии разделительной полосы |
Город или другой населенный пункт с населением 10 тыс. чел. и более | 600 | 1000 | 150 |
в течение суток рабочего дня недели имеется 16 получасовых интервалов, в каждый из которых интенсивность пешеходного движения по переходу, расположенному на перекрестке, не менее 120 чел./ч в одном, более загруженном направлении при интенсивности движения транспортных средств не менее указанной в табл. 11;
Таблица 11
Количество полос проезжей части, используемых для движения в одном направлении | Интенсивность движения, ед./ч |
по главной дороге в двух направлениях | по второстепенной дороге в одном, наиболее загруженном направлении |
главная (более загруженная) дорога | второстепенная (менее загруженная) дорога | при отсутствии разделительной полосы | при наличии разделительной полосы |
1 | 1 | 600 | - | 60 |
540 | - | 80 |
2 или более | 1 | 800 | 800 | 40 |
720 | - | 60 |
640 | - | 80 |
560 | - | 100 |
480 | - | 120 |
2 или более | 2 или более | 800 | 800 | 60 |
720 | - | 80 |
660 | - | 100 |
600 | - | 120 |
540 | - | 140 |
480 | - | 160 |
за последние 12 мес на перекрестке совершено не менее трех дорожно-транспортных происшествий, которые могли бы быть предотвращены при наличии светофорной сигнализации (например, столкновение транспортных средств, движущихся с поперечных направлений; наезды транспортных средств на пешеходов, переходящих дорогу; столкновения между транспортными средствами, движущимися в прямом направлении и поворачивающими налево со встречного направления). При этом первое и второе условия должны выполняться на 80% или более.
Указанные выше нормативные положения об условиях введения светофорного регулирования следует рассматривать как ориентировочные данные для проведения анализа транспортной ситуации для выбора конкретного решения по совершенствованию работы узла.
4.23. Для обоснования дальнейшего развития пересечений рекомендуется использовать комплексные теоретические граничные условия эффективного (с точки зрения задержек и повышения условий безопасности) применения светофорной сигнализации в зависимости от его геометрических параметров и вида организации движения, приведенные в табл. 12
[2].
Таблица 12
Вид организации движения на пересекающихся улицах | Сочетание числа полос на главной и второстепенной улицах для движения в одном направлении | Нижняя граница суммарной загрузки перекрестка, ед./ч | Верхняя граница суммарной загрузки перекрестка, ед./ч |
главная | второстепенная | главная | второстепенная |
Одностороннее | Одностороннее | 1 | 1 | 150 | 750 |
2 | 1 | 250 | 3000 |
2 и более | 2 и более | 250 | 5000 |
Одностороннее | Двустороннее | 1 | 1 | 150 | 750 |
2 | 1 | 250 | 4000 |
2 и более | 2 и более | 250 | 6000 |
Двустороннее | Одностороннее | 1 | 1 | 250 | 3000 |
2 | 1 | 600 | 5000 |
2 и более | 2 и более | 600 | 7000 |
Двустороннее | Двустороннее | 1 | 1 | 250 | 4000 |
2 | 1 | 600 | 6000 |
2 и более | 2 и более | 600 | 8000 |
| | ИС МЕГАНОРМ: примечание. Взамен ГОСТ 23457-79 Постановлением Госстандарта СССР от 24.06.1986 N 1685 с 1 января 1987 года введен в действие ГОСТ 23457-86. | |
Несколько меньшие значения нижней границы суммарной загрузки объясняются тем, что в ней учтено влияние снижения числа дорожно-транспортных происшествий, а условия 1 и 2 ГОСТ 23457-79 выполняются на уровне 80%.
4.24. Анализ проектной практики позволяет следующим образом оценить роль различных планировочно-реконструктивных и организационно-регулировочных мероприятий по повышению пропускной способности пересечений магистральных улиц в одном уровне:
создание направляющих островков и правильный подбор циклов светофорного регулирования (в часы пик) с учетом интенсивности движения по основной магистрали позволяет повысить пропускную способность перекрестка на 10 - 15%. Таким образом, эти мероприятия могут намечаться при уровнях загрузки узлов 1,1 - 1,15. Эти же мероприятия должны намечаться при уровнях загрузки, близких к 1, с тем, чтобы не создавать излишних задержек транспорта внутри 2 - 3 часов пик;
уширение подходов к перекрестку, если это возможно по планировочным условиям, позволяет повысить пропускную способность пропорционально увеличению числа полос движения на подходах. В зависимости от возможности уширений это мероприятие целесообразно при уровнях загрузки узлов 1,3 - 2;
если параллельно с уширением подходов будут намечены различные мероприятия по канализированию транспортных потоков и в дальнейшем будут подобраны рациональные циклы светофорного регулирования в сочетании с координированием движения в пределах одной или нескольких магистралей, то можно увеличить пропускную способность узла по сравнению с существующим положением еще на 10 - 15%.
Таким образом, повышение пропускной способности узла в одном уровне возможно не более чем в 2 - 2,5 раза. Если уровни загрузки узлов превышают эти пределы, приходится намечать развязки в разных уровнях (если они предусмотрены в этих узлах в генеральном плане), либо намечать дублеры, которые должны снять потоки с перегруженной магистрали.
В связи с невозможностью уширения подходов часто приходится предусматривать дублеры при уровнях загрузки 1,2 - 1,5, что характерно для главных улиц городов, где в будущем не намечается введение режима непрерывного движения, а интенсивность движения транспорта и пешеходов велика.
4.25. При кардинальной планировочной реконструкции узлов следует сопоставлять пропускную способность узла с пропускной способностью полос проезжей части на перегоне. При этом следует исходить из следующих допущений:
пропускную способность одной полосы на перегоне следует принимать 1400 - 1500 ед./ч;
следует учитывать фактический режим многополосного движения на перегоне и вводить коэффициенты снижения пропускной способности, которые составляют для второй полосы 0,85, для третьей - 0,7.
Если на первой полосе разрешены стоянки и имеются остановки, в расчет следует вводить для первой полосы коэффициент 0,6 - 0,7. При интенсивном движении троллейбусов и автобусов более 40 - 45 авт./ч и разрешенных остановках легкового транспорта первую полосу следует вообще исключать из расчета суммарной пропускной способности проезжей части на перегоне.
4.26. После определения пересечений, на которых будет вводиться светофорное регулирование, необходимо решить вопрос об этапах развития целостной системы регулирования движения, руководствуясь следующими соображениями:
I этап. Интенсивность движения по магистрали в обоих направлениях до 600 ед./ч, движение может быть организовано без регулирования с применением в узлах направляющих островков или кольцевого движения.
II этап. Интенсивность до 1200 ед./ч (до 300 ед. на полосу). Введение светофорного регулирования в узлах с суммарной интенсивностью более 800 ед./ч. Управление светофорами с помощью автоматических переключателей жесткого режима (УК-1), а при больших колебаниях потока - с помощью систем гибкого регулирования. Отдельные группы перекрестков, отстоящих на расстоянии не более 600 м, целесообразно объединить в системы координированного регулирования с несколькими жесткими режимами.
III этап. Интенсивность по магистралям 1200 - 1300 ед./ч (до 500 - 600 ед./полосу). Координированное управление светофорами с применением многопрограммных гибких или жестких систем регулирования.
IV этап. Возникновение системы взаимно пересекающихся магистралей с интенсивностью движения 1200 - 2000 ед./ч (700 - 900 ед./полосу), имеющей до 50 - 200 регулируемых перекрестков, что требует применения гибкой многопрограммной системы регулирования, управляемой ЭВМ.
Реализация систем IV этапа может дать сокращение времени задержек на 20 - 30% и увеличение скоростей на 10 - 15% по сравнению с I этапом.
4.27. При классификации магистралей по составу транспортных потоков помимо указания трех категорий (преимущественно общественного и легкового, смешанного и грузового транспорта) целесообразно выделить из первых двух категорий магистрали, где необходимо обеспечивать полный приоритет движения массового транспорта - трамвая (комплексом средств организации движения) или автобуса (троллейбуса), когда этот приоритет обеспечивается выделением соответствующих полос проезжей части.
При классификации магистралей по скоростям движения транспортных потоков следует учитывать реконструктивно-планировочные предложения и организационно-регулировочные мероприятия с точки зрения повышения скорости путем экспертной оценки сокращения задержек.
4.28. На схеме организации движения транспорта и пешеходов рекомендуется показать типы узлов по методам регулирования, улицы одностороннего движения, места пешеходных переходов в разных уровнях, улицы пешеходного движения, кольцевые площади, а также размещение автомобильных стоянок временного хранения, оказывающих влияние на пропускную способность магистрали, к которой они примыкают. Исследованиями установлено, что при выезде со стоянки более 50 автомобилей в час возникает необходимость установки светофора или создания добавочной полосы на магистрали.
4.29. Из капитальных мероприятий I очереди строительства следует выбирать наиболее неотложные мероприятия (на первые 1 - 2 года), которые позволяют обеспечить необходимый уровень транспортного обслуживания города в период до ввода в эксплуатацию сложных и дорогостоящих сооружений при условии их соответствия финансовым возможностям города с привлечением средств заинтересованных министерств и ведомств. К числу этих мероприятий относятся: разгрузка центра от сквозных потоков транспорта, особенно грузового; устройство дублеров для улиц - выездов из города; строительство новых путепроводов, пешеходных туннелей и мостов; введение одностороннего движения на смежных параллельных улицах; уширение проезжих частей на подходах к перекресткам; повышение качества дорожных покрытий. Исключение составляют крупные объекты дорожно-транспортного строительства, например мостовые переходы, начало строительства которых может входить в состав первоочередных работ при соответствующем технико-экономическом обосновании.
4.30. При проектировании типовых поперечных профилей магистральных улиц следует учитывать схему организации движения и предусматривать:
выделение самостоятельных полос для дифференциации транспортных потоков и обеспечения преимущественного пропуска общественного транспорта, а также полос для скоростного и транзитного движения;
вынос трамвая на обособленное полотно (на общегородских магистралях) и организацию посадочных площадок;
устройство карманов вдоль проезжей части (за счет озеленяемых полос) для остановок общественного транспорта и кратковременной стоянки автомашин;
перераспределение потоков транспорта в целях защиты застройки от транспортного шума, устройство шумозащитных стенок и экранов и других инженерных шумозащитных мероприятий.
4.31. Результаты проектирования развития улично-дорожной сети помимо текстового описания в пояснительной записке рекомендуется представлять по
формам 8 и
9 прил. 5.
5. СООРУЖЕНИЯ И ПРЕДПРИЯТИЯ ПО ОБСЛУЖИВАНИЮ
ТРАНСПОРТНЫХ СРЕДСТВ
ОПРЕДЕЛЕНИЕ ПАРКА ПОДВИЖНОГО СОСТАВА И ПРИНЦИПЫ ОРГАНИЗАЦИИ
ДВИЖЕНИЯ НА ЛИНИЯХ ПАССАЖИРСКОГО ТРАНСПОРТА
5.1. Расчет парка подвижного состава выполняется для определения:
строительно-эксплуатационных затрат при сравнении вариантов развития городского и пригородного транспорта;
капиталовложений на I очередь и на перспективу;
размеров территорий для размещения обслуживающих транспортных устройств с целью резервирования их при разработке КТС.
5.2. При расчетах на перспективу (10 - 15 лет), т.е. на период, для которого схема маршрутов не разрабатывается, необходимая численность парка подвижного состава Wдв, ед., устанавливается в целом по сети для каждого вида транспорта, исходя из объема пассажироперевозок, осваиваемого этим видом транспорта за средние сутки, что может быть выражено формулой
где Qс - объем пассажироперевозок, осваиваемых видом транспорта за средние сутки (пассажиров), при
(Qг - объем пассажироперевозок, осваиваемых видом транспорта за год, пассажиров);
l - средняя длина поездки, км. Принимается по результатам анализа плана города и обследований с учетом изменений, связанных с территориальным развитием города и совершенствованием его планировочной структуры;
Vэ - эксплуатационная скорость вида транспорта, км/ч; принимается с учетом условий движения и среднего расстояния между остановочными пунктами;
t - среднее число часов работы транспортных средств на линии за сутки, 12 - 14 ч;
m - нормативная вместимость единицы подвижного состава, пассажиров;
k - среднесуточный коэффициент использования вместимости, 0,3 - 0,25;

- коэффициент сезонной нерановмерности, 1,04 - 1,1;

- коэффициент суточной неравномерности, 1,04 - 1,1.
5.3. На первую очередь, т.е. на период 5 - 7 лет, парк подвижного состава определяется для каждого городского или для отдельных, наиболее загруженных пригородных маршрутов, а также для перевозки отдыхающих к местам загородного отдыха в зависимости от соотношения времени оборота

и продолжительности расчетного периода
Tр, т.е. периода времени, для которого производится расчет. При
tоб <=
Tр или, применительно к часу пик, при

, расчет производится по формуле
При
tоб >
Tр или

необходимо увеличить продолжительность расчетного периода до величины
tоб. В этом случае расчет сводится к определению количества транспортных единиц, отправленных в направлении преобладающего пассажиропотока за период, равный продолжительности времени оборота транспортных единиц на маршруте. При этом необходимо учесть изменение пассажиропотока за пределами часа пик:
или

при 1 <
tоб < 2;

при 2 <
tоб < 3,
где Lм - протяженность маршрута, км;
tоб - время оборота, ч;
Пчп - пассажиропоток в час пик в одном направлении в наиболее загруженном сечении маршрута, пассажиров;

- коэффициенты, учитывающие изменение пассажиропотоков по отношению к
Пчп в часы, следующие за часом пик,
j = 2,
n;

- коэффициенты использования подвижного состава в часы, следующие за часом пик;
n - целая часть числа tоб, при tоб = 1,3 ч n = 1.
Интервалы движения на маршруте i, мин, определяются по формуле

при

;

- в час пик при

;

- в следующий час;

- во все последующие часы.
5.4. В пригородно-городских сообщениях количество подвижного состава в движении, определенное изложенным способом, необходимо проверить из условия обеспечения транспортной доступности города-центра, предусмотренной на соответствующий расчетный период проектом районной планировки с учетом формирования систем расселения. Необходимость проверки обусловлена тем, что заданный уровень доступности может быть достигнут лишь при определенной частоте движения пригородного транспорта.
Проверка осуществляется путем определения коэффициента обеспечиваемой транспортной доступности Kо, величина которого зависит от суммарного количества рейсов пригородных маршрутов на соответствующем участке сети, и затрат времени Tп на передвижение в город-центр при предельной транспортной доступности, определяемой без учета частоты движения, и устанавливается по табл. 13.
Таблица 13
Суммарное количество рейсов в сутки | Значение коэффициента Kо при затратах времени Tп, ч |
0,5 | 1,0 | 1,5 | 2 | 2,5 |
1 | 10 | 5,55 | 4,17 | 3,33 | 2,86 |
3 | 3,3 | 2,2 | 1,8 | 1,6 | 1,41 |
5 | 2,4 | 1,72 | 1,47 | 1,35 | 1,35 |
10 | 1,64 | 1,31 | 1,22 | 1,16 | 1,16 |
15 | 1,41 | 1,22 | 1,15 | 1,11 | 1,11 |
20 | 1,28 | 1,14 | 1,11 | 1,07 | 1,07 |
25 | 1,23 | 1,11 | 1,09 | 1,06 | 1,06 |
30 | 1,18 | 1,09 | 1,06 | 1,04 | 1,04 |
Рекомендуемые значения частоты движения и коэффициента обеспечиваемой транспортной доступности приведены в табл. 14.
Затраты времени в часах | Рекомендуемые значения |
Kо | частоты движения, рейсов в сутки |
| |
0,5 | 1,4 - 1,3 | 15 - 20 | 9 - 12 |
1 | 1,3 - 1,2 | 10 - 15 | 5 - 7 |
1,5 | 1,3 - 1,2 | 8 - 11 | 4 - 5 |
2 | 1,25 - 1,16 | 7 - 10 | 3 - 4 |
2,5 | 1,2 - 1,13 | 6 - 8 | 3 - 4 |
Если количество рейсов, установленное в соответствии с расчетным пассажиропотоком, ниже значений, приведенных в
гр. 3 при заданной скорости сообщения
Vс (принятой при определении
Tп), необходимо использовать подвижной состав меньшей вместимости.
Недостаточную частоту движения можно частично компенсировать увеличением скорости сообщения при сохранении намеченных радиусов доступности.
В
табл. 14 приведены рекомендуемые значения частоты движения при увеличении скорости сообщения в 1,5 раза (с 35 до 53 км/ч), при которых достигаются те же значения
Kо (гр. 4).
5.5. Качество пассажирского обслуживания, обеспечиваемое парком подвижного состава городского транспорта, проверяется на основе расчета нормативного числа транспортных средств на сети данного вида транспорта:
или на маршруте
где i* - нормативный интервал движения на сетях пассажирского транспорта, мин. Принимается i* <= 5 мин - для связей основных жилых районов с центром города и наиболее крупными производственными зонами, i* <= 10 мин - для остальных связей;
z - коэффициент надежности обеспечения нормативного интервала движения, равный 1,6;
Lс - протяженность сети линий данного вида транспорта, км;

- маршрутный коэффициент, принимаемый в пределах 1,5 - 4.
В случае если Wчп значительно (в 1,15 - 1,2 раза) превышает Wс, устанавливается число часов работы t' подвижного состава:
Отношение t'/t показывает, во сколько раз должен быть снижен максимальный часовой пассажиропоток за счет раздвижки начала работы трудящихся. При нецелесообразности или невозможности установления такой раздвижки следует повышать провозную способность транспортных средств в часы пик.
В случае если

значительно превышает
Wчп, определяется провозная способность участков сети, которая обеспечивается при нормативной частоте движения транспортных средств, и намечаются мероприятия по концентрации пассажиропотоков на этих участках либо намечается использование подвижного состава меньшей вместимости. Нормативная вместимость единицы подвижного состава определяется по табл. 15.
Таблица 15
Подвижной состав | Число | Максимальная скорость, км/ч | Число мест для сидения | Свободная площадь пола для стоящих пассажиров, м2 | Общая вместимость единицы подвижного состава при наполнении свободной площади пола, чел./м2 |
тип | вместимость | осей | дверей |
5 | 6 |
Вагоны трамвая |
КТМ-2 | Средняя | 2 | 2 | 50 | 27 | 12,2 | 88 | 100 |
КТМ-3 | " | 2 | 2 | 55 | 27 | 12,2 | 88 | 100 |
МТВ-82 | Большая | 4 | 2 | 50 | 39 | 12,5 | 101 | 114 |
КТМ-5М3 | " | 4 | 3 | 65 | 46 | 12,3 | 107 | 120 |
РВЗ-6М (РВЗ-6М2) | " | 4 | 2 | 65 | 37 | 16,5 | 119 | 136 |
(ЛМ-68М) | " | 4 | 2 | 65 | 35 | 16,0 | 115 | 131 |
Т-2 (Чехословакия) | " | 4 | 3 | 60 | 25 | 16,0 | 105 | 121 |
Т-3 (Чехословакия) | " | 4 | 2 | 65 | 25 | 18,0 | 115 | 133 |
Троллейбусы |
МТБ-82Д | Средняя | 2 | 2 | 45 | 38 | 6,0 | 68 | 74 |
ЗИУ-5 | Большая | 2 | 2 | 55 | 34 | 11,0 | 89 | 100 |
ЗИУ-9 | " | 2 | 3 | 55 | 30 | 11,8 | 89 | 101 |
Автобусы |
ЛАЗ-672 | Малая | 2 | 2 | 80 | 23 | 2,75 | 37 | 40 |
ЛАЗ-695Н | Средняя | 2 | 2 | 80 | 33 | 5,1 | 59 | 64 |
ЛАЗ-4202 | " | 2 | 2 | 77 | 25 | 8,7 | 69 | 77 |
ЛИАЗ-677 | Большая | 2 | 2 | 70 | 25 | 11,0 | 80 | 91 |
"Икарус-260" | " | 2 | 3 | 63 | 22 | 10,6 | 75 | 86 |
5.6. По установленной численности парка подвижного состава, находящегося в движении, определяется численность инвентарного парка транспортных средств:
где

- коэффициент выпуска подвижного состава. Принимается в пределах 0,8 - 0,85 с учетом достигнутого значения в транспортных хозяйствах проектируемого города.
В соответствии с инвентарной численностью парка подвижного состава намечаются потребные территории для развития транспортного хозяйства пассажирского транспорта города.
ПРЕДПРИЯТИЯ И УСТРОЙСТВА ПО ОБСЛУЖИВАНИЮ
ГОРОДСКОГО ПАССАЖИРСКОГО ТРАНСПОРТА
5.7. При разработке КТС решаются следующие задачи развития транспортного хозяйства массового пассажирского транспорта и легковых таксомоторов:
определение количества, типа и вместимости депо, парков и гаражей, размещение их в плане города;
определение количества и размещение тяговых подстанций городского электрического транспорта;
размещение конечных станций и оборотных пунктов массового пассажирского транспорта;
определение необходимости организации и строительства центральной диспетчерской службы городского пассажирского транспорта.
Исходными данными для этих расчетов служат: проектируемая транспортная сеть и маршрутная схема, картограмма пассажиропотоков, варианты предполагаемого развития городского массового пассажирского транспорта и расчетное количество подвижного состава.
5.8. Хранение, техническое обслуживание и эксплуатационные ремонты подвижного состава городского пассажирского транспорта осуществляются: вагонов трамваев и троллейбусов - в депо; автобусов - в парках; легковых таксомоторов - в гаражах.
В автобусных парках и таксомоторных гаражах осуществляются все виды технического обслуживания и ремонта подвижного состава (кроме капитального ремонта). По степени развития ремонтных устройств различают трамвайные и троллейбусные депо эксплуатационные, представляющие собой комплекс зданий и сооружений, предназначенных для хранения, технического обслуживания и мелкого ремонта подвижного состава, и эксплуатационно-ремонтные (кроме комплекса эксплуатационных зданий они имеют еще ремонтные мастерские и выполняют ремонты подвижного состава).
5.9. Потребность в трамвайных или троллейбусных депо и автобусных парках определяется в зависимости от расчетного количества и состава соответствующих транспортных средств, конфигурации и структуры транспортной сети с учетом следующих требований:
обеспечение равномерного обслуживания территории города;
снижение непроизводительных (нулевых) пробегов подвижного состава;
увеличение до оптимального размера вместимости депо (парков) для обеспечения полноценного и механизированного технического обслуживания подвижного состава.
При парке трамвайных вагонов в городе от 150 до 500 единиц рекомендуется размещать несколько трамвайных депо по 150 единиц каждое. При количестве трамвайных вагонов менее 150 вместимость депо можно определять общим числом вагонов в городе, но с учетом расширения в перспективе до вместимости 150 единиц. Для больших трамвайных хозяйств (более 500 вагонов) с сильно развитой маршрутной сетью рекомендуется проектировать депо на 200 единиц. Депо большей вместимости нецелесообразны вследствие серьезных затруднений, возникающих при выпуске вагонов из депо.
Для троллейбусных хозяйств общей численностью от 100 до 350 машин рекомендуется размещать в городе троллейбусные депо вместимостью 100 - 150 единиц каждое. Для малых троллейбусных хозяйств с инвентарным количеством подвижного состава до 50 единиц вместимостью депо можно определять общим числом машин в городе, но при выборе участка рекомендуется предусматривать возможность его расширения в перспективе до 100 ед. При инвентарном количестве подвижного состава свыше 500 ед. и хорошо развитой троллейбусной сети вместимость депо можно принять 200 - 250 ед.
При выборе типа трамвайного или троллейбусного депо следует исходить из следующего:
при проектировании в городе одного депо его следует предусматривать с ремонтными мастерскими;
при проектировании в городе нескольких депо для однотипного подвижного состава целесообразно проектировать эксплуатационные депо и ремонтные мастерские или определять необходимость строительства ремонтных мастерских исходя из наличия в городе соответствующих мастерских или ремонтных заводов.
Для городов с числом автобусов менее 100 вместимость парка принимается с учетом увеличения его на перспективу до 100 ед. Для городов с числом автобусов до 500 средняя вместимость парка может приниматься от 150 до 200 ед. в зависимости от конфигурации автобусной сети. При числе автобусов от 500 до 1000 и выше и сильно развитой автобусной сети: средняя вместимость автобусного парка может быть увеличена до 300 - 350 ед.
Потребность в таксомоторных гаражах определяется расчетным количеством легковых таксомоторов в данном городе. Таксомоторные гаражи при дефиците городской территории следует предусматривать многоэтажными. Для городов с числом таксомоторов до 500 вместимость единственного гаража может определяться числом таксомоторов (и не менее 400 с учетом расширения парка такси в перспективе). При числе легковых таксомоторов от 500 до 1000 и выше рекомендуется использование одного или нескольких гаражей, вместимость которых определяется действующими типовыми проектами (400 и 650 ед.).
5.10. Расположение депо и парков в плане города по отношению к транспортной сети выбирают по градостроительным соображениям, критерию минимума нулевых пробегов и обеспечения равномерного обслуживания всей территории города.
Автобусные парки, гаражи таксомоторов, трамвайные и троллейбусные депо рекомендуется размещать в промышленных и коммунально-складских зонах города. Если в городе проектируется депо или парк, место для него следует выбирать в наиболее плотно застроенном районе или поблизости от него, учитывая направления основных трудовых пассажиропотоков. При наличии в городе нескольких депо или парков для однотипного подвижного состава их следует размещать так, чтобы каждый маршрут обслуживался не более, чем двумя депо или парками. Депо или парки целесообразно размещать на конечных участках сети, в пунктах образования мощных пассажиропотоков.
При размещении депо и парков городского массового пассажирского транспорта и таксомоторных гаражей в промышленных и коммунально-складских зонах площадь участков для предварительных расчетов рекомендуется принимать по табл. 16.
Таблица 16
Объект | Расчетная единица | Вместимость объекта | Площадь участка на 1 объект, га |
Трамвайные депо объединенные (без вагоноремонтных мастерских) | Вагон | 100 | 6 |
150 | 7,5 |
200 | 8 |
Трамвайные депо (с вагоноремонтными мастерскими) | " | 100 | 6,5 |
Троллейбусные депо (без ремонтных мастерских) | Троллейбус | 100 | 3 |
200 | 5,5 |
250 | 6,5 |
Троллейбусные депо с ремонтными мастерскими (объединенные) | " | 100 | 4 |
150 | 6 |
Автобусные парки | Автобус | 100 | 2,3 |
200 | 3,5 |
300 | 4,5 |
500 | 6,5 |
Многоэтажные гаражи для легковых таксомоторов | Таксомотор | 300 | 1,2 |
400 | 1,3 |
500 | 1,6 |
650 | 2,0 |
800 | 2,1 |
1000 | 2,3 |
Для условий реконструкции приведенные размеры земельных участков могут быть уменьшены при соответствующем обосновании.
Земельный участок для ремонтных мастерских по величине должен соответствовать производственной мощности мастерских. Расположение ремонтных мастерских по отношению к транспортной сети может быть произвольным при условии обеспечения удобных (рельсовых и нерельсовых) подъездов к депо.
Величина земельных участков для ремонтных мастерских может приниматься при инвентарном количестве подвижного состава до 100 ед. - 2,5 га, от 100 до 150 ед. - 3 га, от 150 до 200 ед. - 3,5 га.
5.11. В систему транспортно-обслуживающих устройств для городского электротранспорта входят тяговые подстанции и тяговые сети (контактная сеть троллейбуса и трамвая, рельсовая сеть трамвая и кабельная питающая и отсасывающая сети).
Количество тяговых подстанций и протяженность тяговых сетей определяются (для технико-экономического сравнения вариантов развития городского массового пассажирского транспорта) проектируемой протяженностью сети линий троллейбуса или трамвая, ее конфигурацией, плотностью размещения в плане города, принятой системой питания тяговых сетей и интенсивностью движения. При этом следует исходить из полного развития сети и перспективного объема перевозок, предусмотренных в КТС на расчетный срок.
По принципу устройства системы питания тяговых сетей электротранспорта делятся на централизованные и децентрализованные. Централизованную систему питания целесообразно принимать при разветвленной сети линий троллейбуса или трамвая. Централизованная система питания предполагает устройство мощных тяговых подстанций, которые имеют зону обслуживания с большим радиусом действия. Децентрализованную систему питания целесообразно применять на вылетных линиях электротранспорта либо на одиночных внутригородских линиях достаточно большой протяженности. При такой системе питания необходимо большое количество тяговых подстанций небольшой мощности.
При принятой централизованной системе питания для расчета необходимого количества тяговых подстанций вся сеть городского электротранспорта разделяется на зоны обслуживания тяговых подстанций. Необходимо, по возможности, чтобы зоны имели компактную форму, подстанции при этом надо размещать ближе к центру зон и вблизи узлов сети, т.е. у пунктов наибольшего сосредоточения нагрузок.
При децентрализованной системе питания тяговые подстанции размещаются вдоль контактной линии на небольших расстояниях друг от друга. Каждая подстанция располагается вблизи контактной сети, питает только ближайшие к ней участки, получающие питание также от соседней подстанции. При выходе из строя одной подстанции нагрузку принимает на себя смежная с ней. Расстояния между подстанциями зависят от интенсивности движения и ориентировочно для централизованной и децентрализованной систем принимается по табл. 17.
Таблица 17
Средневзвешенный сетевой интервал движения в час пик, мин | Ориентировочные расстояния между тяговыми подстанциями, км |
троллейбус | трамвай |
При централизованной системе питания |
4 | 4,5 - 5 | 5,5 - 6 |
3 | 4 - 4,5 | 5 - 5,5 |
2 | 3,5 - 4 | 4 - 5 |
1,5 | 3 - 3,5 | 3,5 - 4 |
1 | 2 - 3 | 2,5 - 3 |
При децентрализованной системе питания |
4 | 2,5 - 2,8 | 3,3 - 3,5 |
3 | 2,5 - 2,3 | 3 - 3,3 |
2 | 2,3 - 2 | 3 - 2,5 |
1,5 | 2 - 1,7 | 2,5 - 2 |
1 | 1,7 - 1,4 | 2 - 1,5 |
В качестве типовых тяговых подстанций для городов с численностью населения до 500 тыс. жителей рекомендуется принимать:
для централизованной системы питания - трехагрегатную подстанцию с выпрямительным агрегатом типа ВАКЛЕ-1000/600 общей мощностью 1800 кВт;
для децентрализованной системы питания - одно-двухагрегатные подстанции с выпрямительными агрегатами типа ВАКЛЕ-1000/600 мощностью соответственно 600 и 1200 кВт.
Протяженность контактных сетей троллейбуса и трамвая Lк.с и рельсовой сети трамвая Lр.с определяется как функция длины сети линий электротранспорта Lо в двухпутном либо однопутном исчислении:
где

- коэффициент, учитывающий удлинение контактных и рельсовых сетей за счет оборотных петель и ответвлений на конечных станциях, равный 1,05.
Протяженность кабельной сети принимается из расчета:
для централизованной системы питания - 0,8 - 1 км на 1 км контактной сети;
для децентрализованной системы питания - 0,2 - 0,4 км на одну тяговую подстанцию.
5.12. Конечные станции служат для отстоя подвижного состава, организации мелкого ремонта и диспетчерского управления работой подвижного состава массового пассажирского транспорта на линии. Эти станции должны иметь:
для трамвая - оборотное кольцо с обгонными путями для отстоя и обгона поездов;
для троллейбуса - дополнительную площадку для отстоя и маневрирования и дополнительную контактную сеть;
для автобуса - только площадку для отстоя, свободную от движения другого транспорта.
В непосредственной близости от станционных путей или разворотной площадки должно находиться здание конечной станции, которое предназначено для регулирования движения, отдыха поездных бригад и линейного ремонта подвижного состава.
Конечные станции необходимо размещать в зонах концентрации пассажирообразования на свободных территориях с учетом обеспечения безопасности уличного движения и требований экологии. На конечные станции следует выводить не менее трех маршрутов пассажирского транспорта.
Оборотные пункты устраиваются на концах маршрутов пассажирского транспорта при нецелесообразности создания конечных станций и должны иметь только оборотные петли (для трамвая) или разворотные площадки (для троллейбусов или автобусов) и устройства диспетчерского контроля. Ввиду того, что размещение оборотных пунктов требует наличия свободной территории (примерно 1200 м2), не следует располагать их в центральных зонах городов без особой необходимости. При отсутствии необходимой площадки для размещения оборотной петли или кольца разворот подвижного состава может осуществляться вокруг кварталов.
Современные технологические схемы диспетчерского руководства при наличии в городе двух и более видов транспорта предусматривают создание централизованной диспетчерской системы управления, при которой вся информация о движении сосредоточивается в одном месте - центральной диспетчерской станции (ЦДС). ЦДС оснащаются совершенными технологическими средствами связи, сигнализации, автоматики и телемеханики. ЦДС могут применять в городах с населением свыше 250 тыс. чел. При проектировании в городе двух и более видов городского пассажирского транспорта следует в объемах капиталовложений на развитие всех видов городского пассажирского транспорта предусматривать строительство ЦДС. Участок для размещения ЦДС целесообразно отводить в центральном районе города.
ПРЕДПРИЯТИЯ ПО ОБСЛУЖИВАНИЮ ЛЕГКОВОГО АВТОТРАНСПОРТА
5.13. На первую очередь и расчетный срок в КТС определяется общая численность и состав парка легковых автомобилей, а также распределение его по функциональным зонам (транспортным районам) города исходя из следующих критериев и показателей:
народнохозяйственного профиля города и среднего уровня доходов населения;
демографического состава населения города;
местоположения города в системе расселения, его трудовых и культурно-бытовых взаимосвязей с другими населенными пунктами;
существующего уровня автомобилизации в городе и динамики его изменения за предыдущие 5 - 10 лет;
природно-климатических условий, состояния и перспектив использования рекреационных территорий и развития автотуризма, особенно в городах, богатых памятниками истории и культуры, природными и другими достопримечательностями;
зависимости между существующим и ожидаемым соотношением численности индивидуальных легковых автомобилей и других мототранспортных средств.
Одна из возможных методик расчета уровня автомобилизации на первую очередь и ближайшую перспективу (10 - 15 лет) с учетом этих и других факторов приведена в
прил. 7.
5.14. Соотношение категорий легковых автомобилей расчетного парка, а, следовательно, видов хранения (постоянное и временное) можно определять путем экстраполяции, сопоставляя полученные показатели с данными табл. 18.
Таблица 18
Виды легковых автомобилей | Количество автомобилей на 1000 жителей |
I очередь | расчетный срок |
Ведомственные и специальные автомобили (включая производственные, служебные и др.) | 3 - 4 | 3 - 4 |
Такси (легковые) | 1 - 2 | 1 - 2 |
Прокат автомобилей | 1 - 4 | 1 - 4 |
Итого | 5 - 10 | 5 - 10 |
Индивидуальные автомобили | 55 - 80 | 85 - 110 |
Всего легковых автомобилей | 60 - 90 | 90 - 120 |
5.15. Распределение расчетного парка легковых автомобилей по функциональным зонам следует производить исходя из условий их хранения и паркирования в гаражах (подземных, полуподземных, наземных со средней этажностью 2 - 5 этажей и др.) и на открытых автостоянках, мощность которых следует наращивать с ростом количества автомобилей, а в дальнейшем - в гаражах, сооружаемых на месте автостоянок. Средняя этажность устройств для постоянного хранения автомобилей, размещаемых в различных функциональных зонах города, принимается с учетом площади территорий, которые могут быть отведены для автостоянок и гаражей, потребного количества мест хранения, а также норм расхода территории на 1 машиноместо при различной этажности устройств.
Типы сооружений хранения, номенклатура и очередность применения которых определяются по принципу поэтапного повышения эффективности использования территорий с наращиванием мощности сооружений, уточняются на последующих стадиях градостроительного проектирования.
5.16. Распределение общего количества мест хранения и паркирования расчетного парка легковых автомобилей, а также других мототранспортных средств по районам города для предварительных расчетов следует принимать согласно табл. 19.
Таблица 19
Распределение машиномест по основным зонам города | Ориентировочное распределение расчетного парка легковых автомобилей |
В жилых районах |
Для постоянного хранения автомобилей в гаражах и на открытых автостоянках | На перспективу 100% расчетного парка легковых автомобилей, принадлежащих гражданам данного района |
Для временного размещения легковых автомобилей на автостоянках | 10 - 15% расчетного парка легковых автомобилей, принадлежащих гражданам данного района |
В промышленных и коммунально-складских районах |
Для временного хранения легковых автомобилей на автостоянках при предприятиях и учреждениях | 25 - 35% общего расчетного парка легковых автомобилей города (населенного пункта) |
Для сезонного (зимнего) хранения легковых автомобилей в гаражах, на автостоянках общего пользования и на базах консервации | В зависимости от совокупности конкретных условий |
В общегородском общественном центре (для временного размещения легковых автомобилей в основном на открытых автостоянках) |
В крупнейших и крупных городах | 5 - 10% общего расчетного парка легковых автомобилей города |
В больших городах | 10 - 12% общего расчетного парка легковых автомобилей города |
В средних и малых городах, поселках городского типа | 12 - 15% общего расчетного парка легковых автомобилей города (поселка) |
В пригородных зонах массового отдыха |
Для временного размещения легковых автомобилей на организованных автостоянках (берега рек и озер, лесопарки, базы отдыха и др.) | 25 - 35% общего расчетного парка легковых автомобилей города (поселка), а также других, тяготеющих к этим зонам отдыха пунктов |
Суммарная площадь функциональных зон, отводимых под строительство сооружений для хранения индивидуальных автомобилей в балансе территорий жилых районов и их элементов определяется в соответствии с
прил. 5 -
8 главы СНиП II-60-75* "Планировка и застройка городов, поселков и сельских населенных пунктов" в зависимости от плотности жилого фонда и нормы жилищной обеспеченности.
Суммарная площадь земельных участков, отводимых под строительство сооружений для временного хранения индивидуальных автомобилей в промышленных и коммунально-складских зонах и районах, определяется в зависимости от общей потребности в местах хранения, средней этажности применяемых сооружений и расхода территории на 1 машиноместо при принятой этажности сооружений (см.
табл. 53 главы СНиП II-60-75*).
Размеры участков для строительства многоэтажных гаражей постоянного хранения таксомоторов и легковых автомобилей специального назначения рекомендуется принимать: при вместимости гаража 100 автомобилей - 1 га; 300 - 1,2; 500 - 1,6; 800 - 2,1 и 1000 автомобилей - 2,3 га.
В крупных зонах массового отдыха в пределах города следует предусматривать преимущественно временное хранение легковых автомобилей на открытых стоянках, в том числе и многоярусных, решаемых в комплексе с берегоукрепительными, противооползневыми и другими инженерными сооружениями.
5.17. При проектировании сети сооружений технического обслуживания легкового автотранспорта индивидуальных владельцев общее количество постов на станциях технического обслуживания, необходимое в целом по городу, рекомендуется определять из расчета 1 пост на 180 - 200 индивидуальных автомобилей.
5.18. Нагрузка городских автозаправочных станций, т.е. суточное количество заправок автомобилей всеми станциями, состоит из заправок автопарка города и транзитных автомобилей.
Расчетное количество заправок автомобилей города A рекомендуется определять по формуле
где N - количество автомобилей, числящихся в городе;

- годовой пробег инвентарного автомобиля, км;
q - расход топлива на 100 км пробега, л;
V - средний объем одной заправки автомобиля, л;
Kмес - коэффициент месячной неравномерности количества заправок.
Так как подвижной состав автомобильного транспорта существенно отличается по показателям, которые входят в формулу, суточное количество заправок следует определять как сумму заправок отдельных групп автомобилей. Ориентировочные значения некоторых показателей работы различных типов автомобилей приведены в табл. 20.
Таблица 20
Показатель | Единица измерения | Автомобили |
грузовые | автобусы | легковые ведомственные | такси | легковые индивидуальные |
Годовой пробег инвентарного автомобиля | тыс. км | 30 - 60 | 50 - 80 | 20 - 40 | 60 - 80 | 6 - 10 |
Расход топлива на 100 км пробега | л | 27 | 36 | 10 | 10 | 10 |
Средний объем заправки | л | 160 | 100 | 25 | 35 | 35 |
Коэффициент месячной неравномерности количества заправок | - | 1,1 - 1,2 | 1,1 - 1,2 | 1,1 - 1,2 | 1,1 - 1,2 | 1,7 - 2,5 |
Количество заправок транзитных автомобилей Aтр рекомендуется определять как сумму заправок автомобилей, въезжающих в город по всем автодорогам:
где Aтр - количество заправок транзитных автомобилей в сутки;
Pi - суточная интенсивность движения автомобилей на i-том въезде в город;
Li - расстояние от въезда в город до ближайшей придорожной АЗС, км;
p - количество заправок на 1 км дороги на 1000 автомобилей (рекомендуется принимать p = 3).
Автозаправочные станции и станции технического обслуживания автотранспорта города рекомендуется размещать в промышленных и коммунально-складских зонах, на магистральных улицах и дорогах. Рекомендации по принимаемой мощности АЗС и СТО и размерам их участков приведены в
п. 6.51.
5.19. Пропускную способность городских пунктов для мытья легкового автотранспорта, базирующегося в городе (такси и ведомственных автомашин), рекомендуется рассчитывать на ежедневную гигиеническую чистку этого парка; индивидуальных автомобилей - в зависимости от частоты заездов на обслуживание. Необходимую пропускную способность загородных моечных пунктов, расположенных на подходах к городу, следует определять с учетом интенсивности движения, состава автотранспортного потока и удельного веса загрязненных автомобилей в потоке.
Территория моечных пунктов легковых автомобилей в зависимости от их мощности составляет 0,1 - 1 га.
УСТРОЙСТВА ГРУЗОВОГО АВТОТРАНСПОРТА <1>
--------------------------------
<1> Рекомендации по размещению грузовых устройств внешнего транспорта (железнодорожного, автомобильного и водного) см.
пп. 6.48 -
6.58.
5.20. Подвижной состав грузового автотранспорта сосредоточивается в специализированных и общего пользования автотранспортных предприятиях (АТП) вместимостью 100, 150, 200, 300, 500 и 800 единиц.
Способы хранения подвижного состава определяются природно-климатическими зонами размещения АТП и условиями эксплуатации автотранспортных средств. Рекомендуемые способы хранения грузовых автотранспортных средств в зависимости от этих факторов приведены в табл. 21 (ОНТП-АТП-СТО-80).
Таблица 21
Эксплуатационные условия | Климатические зоны и районы | Способ хранения |
Перевозка промышленных, строительных и сельскохозяйственных грузов | Iа, Iб | Закрытый |
Iб, IА | Открытый с подогревом и частично закрытый (50 - 60%) |
II | Открытый с подогревом |
Перевозка торговых грузов | I | Закрытый |
II | Открытый с подогревом и частично закрытый (30 - 40%) |
III и IV | Открытый без подогрева |
5.21. Мощность, количество и местоположение АТП определяются планировочными, санитарно-гигиеническими и стратегическими условиями, наличием материальных и трудовых ресурсов, а также технико-эксплуатационными характеристиками грузовых автомобилей (см.
прил. 8).
5.22. Емкость АТП зависит от размеров и характера грузооборота обслуживаемых автотранспортными предприятиями объектов (промышленных предприятий, складов, торговых и строительных пунктов, железнодорожных грузовых дворов, портов и т.д.) и принимается (не менее 100 единиц) в зависимости от расчетного количества подвижного состава.
При размещении АТП должны учитываться:
планировочная структура и функциональное зонирование города;
дислокация грузопотребителей и грузопоставщиков по ввозу и вывозу продукции;
классификация перевозимых грузов;
зональное обслуживание, взаимоувязка с пригородными потребителями и поставщиками по объектам и направлениям;
техническая оснащенность улично-дорожной сети в соответствии с потребностями движения транспортных средств.
АТП целесообразно размещать вблизи крупных грузообразующих-грузопоглощающих пунктов (промышленно-складских и коммунальных зон, грузовых железнодорожных и автомобильных станций), в местах наибольшей концентрации грузопотоков на автодорожных выходах из города.
При нахождении вблизи города-центра других населенных пунктов, тяготеющих к нему, при соответствующем технико-экономическом обосновании целесообразно предусматривать в таких населенных пунктах филиалы грузовых автотранспортных предприятий, обслуживающих группу населенных мест.
5.23. Площадь открытых стоянок для грузовых автомобилей различных марок приведена в табл. 22, а ориентировочный расход территории и стоимость строительства грузовых АТП в расчете на автомобиль грузоподъемностью 5 т - в
прил. 9.
Таблица 22
Марка автомобиля | Грузоподъемность, т | Площадь на одно место хранения, м2 |
Автомобили грузовые |
УАЗ-451 ДМ | 1 | 20 |
ГАЗ-53 А | 4 | 31 |
ЗИЛ-130 | 6 | 34 |
КамАЗ-5320 | 8 | 37 |
МАЗ-500 А | 8 | 36 |
КрАЗ-257 | 12 | 54 |
Автопоезда |
ЗИЛ-130В1 + ОдАЗ-885 | 7,5 | 93 |
ЗИЛ-130 + ГКБВ-178 | 11 | 105 |
МАЗ-504А + МАЗ-5245 | 14 | 112 |
КамАЗ-5410 + ОдАЗ-9370 | 14,2 | 128 |
КамАЗ-5320 + ГКВ-835 | 16 | 131 |
Примечания: 1. Нормы площади открытых стоянок приведены для следующих условий:
стоянки не оборудованы подогревом;
для одиночных автомобилей принята прямоугольная расстановка и 50% независимого выезда;
для автопоездов принята расстановка под углом 45° и 100% независимого выезда.
2. При условиях, отличных от вышеуказанных, принимаются следующие коэффициенты:
при расстановке одиночных автомобилей со 100% независимого выезда - 1,3; при оборудовании площадки средствами подогрева - 1,4.
6. ФОРМИРОВАНИЕ И РАЗВИТИЕ ВНЕШНЕГО ТРАНСПОРТНОГО УЗЛА
ГОРОДА И ЕГО ПРИГОРОДНОЙ ЗОНЫ
6.1. В комплексных транспортных схемах решаются следующие вопросы, связанные с совершенствованием пассажироперевозок дальнего междугородного и пригородного сообщения:
определение потребного развития транспортных устройств для совершенствования перевозок пассажиров в междугородном и пригородном сообщении, обоснование необходимости строительства новых транспортных комплексов или реконструкции существующих;
поэтапный вывод устройств внешнего транспорта за пределы селитебных территорий в целях создания наиболее благоприятных условий проживания населения;
обеспечение рационального взаимодействия междугородного и пригородного пассажирского транспорта с внутригородским, а также взаимоувязки внешних и внутригородских магистральных путей сообщения.
Внешний (дальний междугородный и пригородный) транспорт рассматривается в КТС в объеме, необходимом для принятия решений по развитию внутригородского транспорта и обслуживанию пассажироперевозок в пределах пригородной зоны. Основные направления развития магистральных видов внешнего транспорта принимаются из проектных разработок генерального плана или ТЭО развития города, а также ведомственных отраслевых схем. В случае необходимости при разработке КТС внесения изменений в транспортно-планировочные решения, принятые в генеральном плане, даются рекомендации по их уточнению и корректировке.
МЕЖСЕЛЕННЫЕ ПАССАЖИРОПОТОКИ И ОСВОЕНИЕ ИХ
РАЗЛИЧНЫМИ ВИДАМИ ТРАНСПОРТА
6.2. Объем пригородных пассажиропотоков (трудовых, культурно-бытовых, рекреационных) определяется подвижностью населения в пригородном сообщении, величина которой зависит от размеров города, его роли в системе расселения, емкости, разнообразия и размещения производственных зон, сетей культурно-бытового обслуживания и мест загородного отдыха, географических, народнохозяйственных и других условий. В качестве ориентировочной на расчетный срок может быть названа предельная межселенная подвижность на массовом пассажирском транспорте, составляющая 90 - 100 поездок на одного жителя в год.
Для получения достоверных прогнозов подвижности необходимо иметь данные транспортно-социологических обследований пассажиров пригородного сообщения за ряд лет, позволяющие наиболее точно
<1> определить величину подвижности на массовом пассажирском транспорте (с учетом пассажиров, совершающих поездки в пригородном сообщении на общественном транспорте по сезонным и месячным проездным, служебным билетам и без билетов, а также пользующихся немаршрутным автотранспортом - заказными, ведомственными и почасовыми автобусами) и выявить тенденции изменения подвижности. Поэтому применение методики определения пригородных пассажиропотоков с использованием гипотезы возрастания подвижности и являющейся экстраполяционным методом расчета предпочтительнее для краткосрочных прогнозов - расчета корреспонденций пригородного сообщения на I очередь (из-за невозможности прогнозирования темпов возрастания показателя подвижности, связанных с изменениями транспортно-градостроительной ситуации рассматриваемой пригородной зоны на расчетный срок). Использование этого метода возможно для городов, где имеются результаты опросных обследований пассажиров пригородного сообщения.
--------------------------------
<1> Получение фактической величины подвижности в пригородном сообщении по отчетным данным транспортных предприятий невозможно из-за недоучета в этих документах значительного количества перевезенных пассажиров вследствие распространенности различных форм оплаты их проезда, а также несовершенства документации о работе почасовых, заказных и ведомственных автотранспортных средств.
Прогнозирование подвижности и объемов перевозок межселенного транспорта по этой методике производится следующим образом
[17]:
по данным обследования определяется объем межселенных связей города Q, т.е. общее число пассажиров, прибывших в город и отправленных из него во внегородском сообщении за предшествующий 10-летний период;
вычисляется подвижность населения P в сообщении город-пригород, поездок на одного жителя в год:
где Nг - численность населения города;
Nпр - численность населения пригородной зоны города;
выявляются среднегодовые темпы роста подвижности населения на массовом пассажирском транспорте за последние 3 - 4 года, по отдельным видам транспорта и суммарно, сложившиеся и ожидаемые на перспективу тенденции роста транспортной подвижности населения города и тяготеющих к нему районов, анализируются факторы, влияющие на величину подвижности;
принимается гипотеза роста подвижности после исключения из величины P ее составляющей с рекреационными целями (расчет пассажиропотока к зонам и местам отдыха рекомендуется производить отдельно с учетом проектируемой емкости рекреационных объектов и режима их работы). Предполагается, что среднегодовые темпы прироста подвижности на массовом пассажирском транспорте вследствие возрастания уровня автомобилизации населения снизятся на расчетный срок в 2 - 3 раза;
уровень снижения темпов прироста подвижности при расчете пассажиропотоков первой очереди может быть определен исходя из сложившейся тенденции изменения среднегодовых темпов прироста подвижности на массовом пассажирском транспорте;
объем перевозок пригородного сообщения, предлагаемый к освоению всеми видами пассажирского транспорта, определяется как произведение прогнозируемой подвижности и численности населения города и зоны его влияния.
6.3. При полученной в результате обследования целевой структуре межселенных пассажиропотоков, а, следовательно, и структуре подвижности, наряду с выявлением факторов, воздействующих на величину подвижности населения пригородной зоны рекомендуется определить также тенденции изменения целевой структуры подвижности населения, что позволит получить перспективные объемы пассажиропотоков трудового характера, культурно-бытовых, рекреационных и наиболее рационально распределить их между различными видами транспорта пригородного сообщения.
6.4. Расчет количества передвижений пригородного населения в город-центр с трудовыми и объем прибытий в него с нетрудовыми целями, а также нагрузка на городской пассажирский транспорт от поездок приезжего пригородного населения рекомендуется производить по методике и в последовательности, приведенной в
прил. 10.
6.5. Загрузка межселенного транспорта определяется поездками пассажиров с трудовыми, культурно-бытовыми и рекреационными целями. Наиболее достоверным и приемлемым способом расчета пригородных пассажиропотоков является расчет каждого вида связи в отдельности с учетом характерных для него закономерностей.
Межселенные и внутригородские поездки к местам приложения труда и культурно-бытового обслуживания имеют сходную социально-психологическую природу, поэтому для прогнозирования трудовых и культурно-бытовых связей в пригородных зонах городов может применяться гравитационная модель, используемая для расчета внутригородских корреспонденций по трудовым целям
[23]:
где Dij - численность работающих в месте приложения труда i и расселяющихся в месте жительства j;

- коэффициент, величина которого зависит от возможностей трудоустройства жителей места расселения
j;
Nj - численность населения места жительства j;
f(Tij) - функция влияния дальности или затрат времени на передвижение между пунктами i и j на вероятность трудоустройства в месте труда i жителей места расселения j.
В связи с невозможностью представления рассматриваемого в КТС территориального образования в виде системы, где необходимым условием является трудоустройство всего самодеятельного населения либо в собственном, либо в окружающих поселениях, целесообразно расчет трудовых связей производить по упрощенной модели вида:
где F(Tij)i - функция влияния затрат времени на величину трудовой связи, определяемая эмпирическим путем для каждого поселения - центра приложения труда.
6.6. В отличие от моноцентрических систем, ядро агломерации в промышленном районе образуется сгустком поселений. Характер формирования трудовых корреспонденций здесь напоминает скорее внутригородские, чем межселенные связи. Реализацию трудовых пассажиропотоков между поселениями в промышленных районах рекомендуется описывать регрессионной гравитационной моделью вида:
Dij = KNiTjhij,
где Dij - величина трудового потока между районом расселения i и местом приложения труда j;
K - нормирующий множитель, определяемый из условия:

;

- число самодеятельного населения района
i;
Tj - число работающих в районе j;
hij - вероятность трудовой связи между районами i и j, зависящая от расстояния между ними.
После калибровки эта модель применяется для прогнозирования трудовой маятниковой миграции.
6.7. Объем пассажиропотоков с культурно-бытовыми целями в пригородных зонах городов промышленного развития, имеющий высокий уровень урбанизации и обеспеченности транспортными коммуникациями, рекомендуется устанавливать по методике, заключающейся в определении гипотезы расчета вероятной подвижности населения в пригородном сообщении с культурно-бытовыми целями (в зависимости от числа жителей населенных пунктов и их удаленности от города-центра). Эта методика является достаточно достоверной, объективно учитывающей основные тенденции формирования пассажиропотока. Однако при расчете культурно-бытовых корреспонденций с использованием формул и номограмм В.Г. Давидовича происходит, как правило, завышение пассажиропотока. Следует учитывать, что малые города, поселки, села пригородной зоны и в перспективе будут обслуживаться транспортными путями не в такой степени, как ближайшие к городу-центру поселения-спутники городского типа, для определения подвижности населения по номограммам рекомендуется вводить коэффициенты: например 0,5 - для поселков городского типа, 0,25 - для сельских населенных пунктов.
6.8. При расчете культурно-бытовых корреспонденций рекомендуется не принимать во внимание жителей населенных пунктов пригородной зоны, занятых на промышленных предприятиях города-центра, так как культурно-бытовые поездки они совмещают с трудовыми; однако при расчете объема трудовых поездок следует учитывать временное население дачных поселков пригородной зоны. При расчете культурно-бытовых поездок в город-курорт следует учитывать временное население зоны влияния города - неорганизованно отдыхающих, подвижность которых с культурно-бытовыми целями обычно несколько превышает подвижность постоянного населения пригородной зоны города-курорта.
6.9. Прогнозирование пассажиропотоков, вызванных миграцией населения с целями загородного отдыха, рекомендуется осуществлять с учетом проектируемой вместимости рекреационных объектов, их специализации, размещения, режима работы, а также вероятного числа поездок к ним. При рассмотрении вопросов транспортного обслуживания мест кратковременного отдыха следует ориентироваться на летний сезон. Рекомендуется определять рекреационные средние пассажиропотоки для всего летнего сезона и максимальные в пиковый период лета (погожий выходной день).
Для прогнозирования передвижений на кратковременный отдых необходимо выяснить популярность различных мест массового отдыха, фактически складывающийся спрос населения на их посещение. Потенциальная вместимость мест кратковременного отдыха определяется следующим образом: на 1 га лесопарка приходится в среднем 5 чел., леса - до 3 чел., а на 1 км береговой полосы - 5000 чел. Эти цифры уточняются в зависимости от качественных характеристик мест отдыха в каждом конкретном случае.
Здесь следует отметить, что емкость мест кратковременного отдыха для крупного города достигает обычно 20 - 30% численности населения города, а в выходные погожие дни летнего периода пригородную зону с целями отдыха посещает до 30 - 40% населения города. Для крупных городов максимально допустимыми затратами времени на поездку к местам кратковременного отдыха могут быть признаны 1,5 ч.
6.10. Количество поездок к местам кратковременного отдыха следует рассчитывать с учетом ожидаемой сезонной и внутринедельной неравномерности их посещения, учитывая следующие рекомендации
[17]:
подвижность к местам отдыха (кратковременного и смешанного) составляет по отношению к летнему периоду зимой до 20 - 30%, ранней осенью обычно не менее 45%, поздней осенью и весной 10 - 20%;
максимальное количество поездок к местам кратковременного отдыха на массовом пассажирском транспорте ожидается в воскресенье;
количество поездок на повседневный отдых (в будние дни) составляет 20 - 25% поездок воскресного дня, в пятницу - 40 - 50%, в субботу - 70 - 90%;
максимальный выезд в зоны и места смешанного отдыха - в субботу;
наибольшая загрузка пассажирского транспорта имеет место в воскресенье во второй половине дня, когда необходимо за 3 - 4-часовой период вывезти практически всех отдыхающих из зон отдыха - 60 - 90% суточного объема перевозок, в том числе в час пик до 30%;
основное время выезда за город на индивидуальном транспорте - вечером в пятницу и утром в субботу, возвращение - вечером в воскресенье.
6.11. С ростом уровня автомобилизации населения тенденция преимущественного использования легкового транспорта для еженедельных поездок жителей крупных городов к местам отдыха, по-видимому, будет иметь устойчивый характер во времени, так как преимущества использования легкового автомобиля заключаются в семейном характере пользования, свободе выбора маршрута следования, отсутствии пересадок, комфорте; при поездках за город на расстояние более 25 км - выражаются в сокращении затрат времени в 2 раза по сравнению с поездками на общественном транспорте.
Объем перевозок пассажиров на кратковременный отдых и дачи на индивидуальных автомобилях Mи.а из крупного города может быть определен по формуле
Mи.а = P°K1K2K3K4Himi,
где P° - наполнение автомобилей при поездках на отдых;
K1 - коэффициент, учитывающий число лиц, использующих автомобиль в месяц;
K2 - коэффициент, учитывающий часть автомобилей, находящихся в расчетный период за пределами района тяготения данной магистрали;
K3 - коэффициент, учитывающий количество индивидуальных автомобилей, используемых для поездок на загородный отдых и дачи (принимается в пределах 0,82 - 0,9);
K4 - коэффициент, учитывающий неравномерность выезда отдыхающих и их возвращения по дням недели;
Hi - численность населения i-го поселения, тыс. чел.;
mi - количество индивидуальных автомобилей на 1000 чел. в i-м поселении.
Значения параметров, входящих в предлагаемую формулу, могут быть получены в ходе обследования передвижений владельцев автомобилей. Среднее наполнение автомобиля при поездках на отдых для расчета потоков пассажиров к местам отдыха может быть принято в пределах 2,6 - 2,8 чел.
6.12. Расчет пассажиропотоков к местам загородного отдыха может быть выполнен по формуле, являющейся разновидностью гравитационной модели, учитывающей потенциальные возможности территорий, выделяемых для отдыха:
где По - подвижность населения к местам загородного отдыха;
Fj - потенциальная емкость территорий для отдыха (см.
п. 6.9);
Ni - численность населения поселения i;
hij - привлекательность места загородного отдыха j для населения пункта i в зависимости от расстояния между i и j.
Определение параметра По и зависимости hij предполагает наличие данных опросного обследования населения города-центра в сообщении с местами загородного отдыха.
6.13. При определении объемов пассажирских перевозок к местам длительного отдыха (домов отдыха, санаториев, пансионатов, спортивных и пионерских лагерей) рекомендуется учитывать, что:
смена состава отдыхающих в учреждениях длительного отдыха производится во все дни недели;
перевозка детей в специализированные учреждения отдыха (детские дачи, пионерлагеря), а взрослых в профилактории осуществляется преимущественно на заказном и ведомственном транспорте;
основной пассажиропоток к учреждениям длительного детского отдыха составляют родители, число которых достигает в субботу 50 - 60%, в воскресенье - 80 - 90% численности отдыхающих детей и должно быть учтено при расчете к местам кратковременного отдыха в летний выходной день;
продолжительность летнего сезона для учреждений длительного сезонного отдыха взрослых принимается 5 - 5,5 мес., детей - 3 мес.
6.14. Расчет максимальных пассажиропотоков на сетях пригородного транспорта для выходных дней летнего периода следует производить с учетом не только поездок к местам отдыха в пригородной зоне, поездок гостевого и прогулочного характера, но и поездок в город жителей пригородной зоны с культурно-бытовыми целями.
6.15. При определении расчетных нагрузок пригородного пассажирского транспорта на I очередь строительства (5 - 7-летний период) рекомендуется использовать экстраполяционные методы прогнозирования на базе накопленных материалов обследований и транспортной статистики, показателей современного состояния и результатов перспективных расчетов. Корреспонденции рекомендуется рассчитывать не условно с центром города, а со всеми его расчетными транспортными районами.
6.16. Пригородные пассажиропотоки между видами транспорта должны распределяться с учетом конкретных условий каждой пригородной зоны, тенденций, выявленных при ретроспективном анализе участия различных видов транспорта в освоении пригородных корреспонденций, а также изменений, ожидаемых в транспортно-градостроительной ситуации зоны влияния города.
6.17. Виды пригородного транспорта выбираются в зависимости от величины пассажиропотоков, их целевой структуры на отдельных направлениях, дальности поездки пассажиров, скорости сообщения и затрат времени на поездку, наличия сложившейся сети дорог, транспортных сооружений и остановочных пунктов. При этом учитывается беспересадочность сообщения для возможно большего числа пользующихся транспортом, интервалы движения, безопасность и комфортабельность поездки. Важным критерием выбора вида пригородного транспорта служат технико-экономические показатели: капиталовложения (в устройства транспорта и подвижной состав), сопутствующие и эксплуатационные затраты. При равных стоимостных показателях вариантов окончательный, наиболее приемлемый вариант транспортной сети выбирают по качественным показателям, основными из которых являются минимальные потери времени, удобство и комфорт поездки
[12].
6.18. При сравнении эффективности различных видов пассажирского транспорта необходимо учитывать полные затраты времени на передвижение (состоящие из передвижений по территории пригородного населенного пункта, прилегающего района и города-центра), включающие в себя и время на подход к остановочному пункту пригородного транспорта, а также ожидание транспортных средств.
Для определения времени нахождения транспорта в пути рекомендуется руководствоваться следующими значениями скоростей сообщений подвижного состава:
при расстоянии между остановками 0,8 - 1 км и удаленности от города до 25 км автобус движется по автодорогам местного значения со скоростью 22 - 25 км/ч, по автодорогам областного и районного значения с переходным типом покрытия скорость достигает 30 - 35 км/ч, усовершенствованным - 35 - 40 км/ч;
при удаленности более чем на 50 км от города скорость сообщения по автодорогам общегосударственного и республиканского значения (в зависимости от расстояния между остановками) составляет 40 - 45 км/ч;
при движении по участку однопутной неэлектрифицированной железнодорожной линии с расстоянием между остановками 2 - 4 км скорость подвижного состава составляет 40 - 45 км/ч, а при движении по двухпутному электрифицированному участку - 50 - 55 км/ч;
речные и морские суда на линиях пригородного сообщения развивают скорость 15 - 20 км/ч;
легковые автомобили при движении по загородным магистралям со средней интенсивностью движения и удалении более 25 км от города-центра развивают (в зависимости от ширины проезжей части) скорость 55 - 65 км/ч;
вблизи города (в 10 км от его центра) при высокой интенсивности движения на автодороге средняя скорость сообщения легкового автомобиля составляет 30 - 40 км/ч.
6.19. Население ориентируется обычно не на расстояние от места жительства до места приложения труда, а на время, необходимое на преодоление этого расстояния. На перспективу показатель затрат времени на трудовые передвижения для преобладающего большинства пассажиров (80 - 90%) не должен превышать в крупных городах одного часа, а к местам отдыха - полутора часов.
6.20. В целях соблюдения предельных затрат времени на поездки могут быть использованы следующие схемы организации транспорта:
разветвленная сеть обычных видов транспорта;
комбинированная сеть со скоростным и подвозящим (автобус или другой вид) транспортом, например устройство вылетных линий городского транспорта (скоростной трамвай, электрифицированная железная дорога и т.д.) в пригородную зону.
При проектировании маршрутной схемы необходимо выявить основные направления пассажиропотоков и стремиться установить прямую связь между главными пунктами транспортного тяготения.
6.21. Транспортная сеть пригородной зоны должна быть достаточно разветвленной и при минимальной протяженности обеспечивать поселения сетью маршрутов так, чтобы в пределах 20-минутной пешеходной доступности остановочных пунктов проживало бы максимальное число населения. При выборе варианта сети рекомендуется производить оценку разветвленности маршрутов по методике, приведенной в
прил. 4.
6.22. Пропускная и провозная способность отдельных видов транспорта должна приниматься в соответствии с данными
табл. 23.
Стоимостная оценка эффективности применения различных видов межселенного транспорта определяется по разработанной Институтом комплексных транспортных проблем при Госплане СССР типовой методике, в которой по всем видам пассажирского транспорта определены укрупненные нормативы капиталовложений и эксплуатационных затрат.
6.23. Наиболее удобным и комфортабельным, обладающим большой провозной способностью и высокой скоростью сообщения является железнодорожный транспорт, который успешно используется в густонаселенных районах преимущественно для трудовых поездок, не связанных с пересадками на автобус или автомобиль. Однако железные дороги эффективно выполняют свои функции лишь в том случае, если их остановочные пункты хорошо увязаны с остановочными пунктами других видов транспорта. В пригородных районах к станциям железных дорог должны подходить автобусные маршруты, графики работы которых согласовываются с графиком движения поездов.
Вид транспорта | Тип подвижного состава | Вместимость поездов (машин) при расчетном наполнении 1 м2 свободной площади пола 5 чел./3 чел. | Минимальный интервал движения, мин | Пропускная способность в одном направлении, тыс. чел. в 1 ч | Провозная способность, тыс. чел. в 1 ч, при расчетном наполнении 1 м2 свободной площади пола 5 чел./3 чел. |
Электрифицированная железная дорога | ЭР-1, 2, 9 10 вагонов | 1646/1366 | 2 | 30 | 49,4/41 |
ЭР-22 8 вагонов | 1590/1350 | 2 | 30 | 47,7/40,5 |
Скоростной трамвай | Шестиосные сочлененные: | | | | |
1 вагон | 155/112 | 1 | 60 | 9,4/6,8 |
3 вагона | 471/342 | 1 | 60 | 20,4/8,7 |
Автобус | Большой вместимости | 80/58 | 1 | 60 | 4,8/3,5 |
Средней вместимости | 65/50 | 1 | 60 | 3,9/3 |
Малой вместимости | 37/31 | 1 | 60 | 2,2/1,9 |
Троллейбус | Большой вместимости | 88/68 | 1 | 60 | 5,3/4,1 |
Организация маршрутов подвозящего автотранспорта к периферийным станциям железной дороги или трамвая позволит увеличить зону транспортного обслуживания территории города, сократит время на поездку, увеличит пассажиропоток периферийных участков скоростного транспорта, что приведет к выравниванию нагрузки на линиях железной дороги или трамвая.
6.24. Железнодорожный транспорт целесообразно применять на направлениях с пассажиропотоками свыше 20 тыс. чел.-ч в радиусе сообщения 50 - 70 км с организацией (путем создания глубоких вводов или диаметров) прямых беспересадочных сообщений с городом-центром. При этом в 1,5 - 2 раза сокращается время на передвижения.
При наличии отдельной пары путей для пригородного движения железнодорожный транспорт может перевозить в одном направлении пассажиропоток до 40 тыс. чел./ч. На направлениях концентрированных, но нестабильных пассажиропотоков к местам отдыха рекомендуется предусматривать развитие зонных станций и пунктов оборота пригородных поездов, размещаемых на расстоянии 10 - 20 км друг от друга в целях реализации этих потоков меньшим числом составов за счет организации при необходимости укороченных маршрутов. Среднее расстояние между остановочными пунктами железнодорожного транспорта составляет в среднем 2 - 4 км
[13].
6.25. Для связи города-центра с периферийными районами и близрасположенными населенными пунктами, городами-спутниками, а также местами массового отдыха трудящихся и аэропортами на направлениях с пассажиропотоками более 20 тыс. чел. целесообразно применение вылетных линий железной дороги, а с пассажиропотоком 10 - 20 тыс. чел. - трамвая на обособленном полотне или скоростного.
6.26. Автобусный транспорт выполняет роль как основного вида транспорта, так и подвозящего к остановкам скоростных видов сообщения. Его применение эффективно при максимальных пассажиропотоках до 6 - 8 тыс. чел., а при отчуждении для скоростного движения отдельной полосы, что рентабельно при частоте движения 30 автобусов/ч, - до 10 тыс. чел./ч в одном направлении. Среднее расстояние между остановками пригородного автотранспорта в черте города 1 - 1,5 км, в пригородной зоне - 2 - 2,5 км (минимальное расстояние 0,7 - 1 км). Остановочные пункты должны размещаться по возможности ближе к поселениям, местам приложения труда и зонам отдыха.
6.27. По характеру функционирования пригородные автобусные маршруты могут быть обычными (с остановками во всех остановочных пунктах), полуэкспрессными и экспрессными.
Маршруты типа экспресс организуются между пунктами тяготения при существовании между ними стабильных интенсивных связей, обычно трудовых или к местам отдыха в выходные дни.
Рекомендуется предусматривать организацию скоростного автобусного движения в сочетании с обычными нескоростными маршрутами автобусов с частыми остановками, если это оправдано расположением населенных мест и пунктов тяготения.
6.28. На участках сети со значительными пассажиропотоками и резким колебанием их по длине с целью высвобождения части подвижного состава рекомендуется создавать укороченные маршруты. Кроме того, на основе выявления устойчивых связей между районами города и зонами кратковременного отдыха следует предусматривать специальные так называемые рекреационные маршруты: в будние дни - с автовокзалов и автостанций, по выходным дням для их разгрузки - с начальными пунктами в центрах жилых районов, для чего рекомендуется использовать конечные или промежуточные диспетчерские пункты городских маршрутов. Необходимо предусматривать в выходные дни также продление маршрутов городского транспорта за пределы городской застройки в ближайшие зоны кратковременного отдыха.
6.29. Для сокращения общих затрат времени на поездки между городом и его пригородной зоной конечные пункты автобусных маршрутов рекомендуется располагать в срединной зоне крупного города-центра. Движение по таким маршрутам организуется созданием глубоких вводов пригородного транспорта в города, что обеспечивает потребности как приезжего населения, так и горожан при поездках в зону влияния города. Время сообщения между городом и пригородом (при экспрессном движении транспорта в пределах пригородной зоны) сокращается на таких беспересадочных пригородно-городских маршрутах в 1,5 - 2 раза.
6.30. При разработке маршрутов пригородного транспорта (на I очередь) следует учитывать, что на промежуточных остановочных пунктах, расположенных в черте города, совершает посадку значительная часть (иногда до 20 - 50%) пассажиров пригородного сообщения.
6.31. На расчетный срок следует предусматривать, что в час пик погожего летнего дня на перевозках отдыхающих может быть занято до 70% инвентарного парка внегородских маршрутных автобусов, до 25% парка автобусов, занятых в рабочие дни на городских маршрутах, практически весь парк заказных автобусов автохозяйств общего пользования и ведомственных автобусов, поездов и речных судов.
6.32. Ближайшие к городу-центру места загородного отдыха рекомендуется обслуживать преимущественно общественными видами транспорта, а перевозки к наиболее отдаленным зонам осуществлять индивидуальным транспортом. При дифференцированном уровне автомобилизации N удельный вес ближайших к городу мест кратковременного отдыха, обслуженных общественным транспортом D, ориентировочно может приниматься согласно данным табл. 24.
Таблица 24
N, авт./1000 жит. | D, % |
50 | 85 |
100 | 76 |
150 | 69 |
200 | 65 |
Предполагается, что в перспективе до 50% семей, имеющих легковой автомобиль, в пиковые дни и часы летнего сезона будут одновременно выезжать в зоны кратковременного отдыха, до 65% общего числа легковых автомобилей будут использоваться для поездки за город в выходные дни.
6.33. Удельный вес автомобилей индивидуального пользования в освоении культурно-бытовых корреспонденций населения пригородной зоны в город-центр на расчетный срок достигнет 30 - 35%; на первую очередь КТС составит 10 - 20%.
На расчетный срок средствами индивидуального транспорта из населенных пунктов пригородной зоны будет перевезено до 30% всего трудового пассажиропотока.
6.34. В случаях когда крупная река пересекает территорию пригородной зоны, связь населенных пунктов с местами отдыха, курортными и туристскими зонами, поездки прогулочного характера, а также по трудовым целям (при размещении поселений вдоль водных путей) организуются с помощью речного транспорта - теплоходов, быстроходных судов на подводных крыльях и т.д. В последние годы получают развитие суда на воздушной подушке, для эксплуатации которых достаточна глубина реки менее 0,6 м. Использование таких судов дает возможность расширения сферы обслуживания водным транспортом пригородно-городских перевозок по различным целям.
Провозная способность водного транспорта при перевозках пассажиров к местам массового отдыха достигает 3 тыс. чел./ч в одном направлении.
6.35. После разработки мероприятий по развитию сети транспорта пригородной зоны рекомендуется оценить перспективный уровень транспортного обслуживания и обеспечиваемую запроектированной сетью доступность города-центра и основных объектов тяготения пассажиров. При необходимости следует внести коррективы в трассировку путей сообщения, выбор видов транспорта, размещение и емкость основных объектов, образующих и поглощающих пассажиропотоки.
Целесообразно провести уточнение ожидаемой загрузки железнодорожных линий, головных участков магистральных автодорог и отдельных участков дорог областного и районного значения, прежде всего автодорожных выходов из города транспортными потоками пригородного сообщения и при необходимости дать предложения по корректировке разработанной ранее проектной документации. Для определения полной загрузки магистральных путей сообщения необходимо добавить для железных дорог перспективное количество поездов пассажирского движения (дальнего и местного) и грузовые поезда по проектным данным МПС (в летние сутки и в часы пик), для автомагистралей - перспективное количество грузовых автомобилей, как транзитных, так и обслуживающих перевозки для нужд города и зоны его влияния (по материалам проектных ведомственных организаций).
Суммарный поток всех видов поездок и экипажей по каждой из магистралей позволит судить о соответствии технической вооруженности и других параметров транспортных коммуникаций ожидаемым на перспективу потребностям в перевозках.
При сопоставлении проектных размеров движения с пропускной способностью коммуникаций необходимо предусматривать резерв пропускной способности в размере 30% на автомагистралях и 15 - 20% на рельсовых линиях с автоматической или полуавтоматической блокировкой.
6.36. Перевозки грузов в пределах пригородной зоны рекомендуется осуществлять главным образом автомобильным транспортом, экономические преимущества которого при транспортировке грузов на короткие расстояния (менее 150 км) очевидны.
ПУТИ СООБЩЕНИЯ И ОСНОВНЫЕ ПРИНЦИПЫ ИХ ПРОЕКТИРОВАНИЯ
6.37. Сеть автомобильных дорог, плотность которой значительно превышает плотность линий железнодорожного транспорта, а начертание отражает направление важнейших связей города с прилегающим районом, имеет первостепенное значение для транспортного обслуживания пригородной зоны. При проектировании автодорожной сети необходимо руководствоваться следующими основными принципами:
обеспечение удобных подъездов к основным элементам пригородной зоны (городским и сельским поселениям, местам отдыха, промышленно-складским и коммунальным предприятиям);
создание сети скоростных автомагистралей с трассированием их в обход населенных пунктов и развязками в разных уровнях, парковых и прогулочных автомобильных дорог, пешеходных и велосипедных дорожек, туристских троп, а в местах массового посещения - стоянок для легковых автомобилей;
дифференциация транзитного и местного движения;
обеспечение круглогодичной эксплуатации автомобильных дорог.
6.38. В пригородных зонах в большинстве случаев можно ограничиться сформировавшейся магистральной автодорожной сетью, присоединяя к ней местную сеть подъездных дорог и путей, с увеличением пропускной способности отдельных узлов. При этом необходимо предусматривать подъезды к перспективным населенным пунктам, а также местам отдыха трудящихся, пунктам, представляющим интерес в археологическом, историческом, природном отношении, с соответствующим инженерным оборудованием их и благоустройством (маркировка, организация остановочных пунктов, автостоянок, оформление выездов-въездов в зоны отдыха и т.д.).
6.39. Поперечные профили дорог должны проверяться (по своей пропускной способности) на максимальную нагрузку в пиковые нерабочие дни летнего сезона с учетом применения реверсивной полосы для компенсации резкой неравномерности потоков по направлениям.
В целях повышения пропускной способности существующих дорог должны намечаться такие реконструктивные мероприятия, как усиление покрытия, уширение проезжей части, строительство развязок, спрямление трасс, смягчение уклонов, частичное изменение трассы с целью обхода населенных мест и т.д.
При проектировании автодорожных выходов из города рекомендуется обеспечивать выезд в течение 2 - 2,5 ч в предвыходные дни приезжих из пригородной зоны, работающих в городе и прибывающих на легковых автомобилях, а также выезд в это же время до 30% населения города на кратковременный отдых. Перспективные параметры автодорог на выходах из города должны гарантировать возможность использования летом 55 - 65% общей численности индивидуальных автомобилей для поездок на кратковременный отдых и пропуск в час пик на наиболее загруженных направлениях до 20% эксплуатируемых легковых автомобилей
[17].
6.40. На участках с высокой интенсивностью движения, непосредственно примыкающих к городу-центру, следует предусматривать (в зависимости от ожидаемой интенсивности движения, особенностей поездок по целям) следующие мероприятия:
уширение проезжей части до 3 - 4 полос движения на протяжении 10 - 15 км от городской застройки с укреплением обочин на этих участках и проведением работ по усовершенствованию покрытий. Там, где заканчивается уширение проезжей части, необходимо организовывать ответвление прогулочных парковых и туристских дорог к местам массового отдыха. Головные участки автомобильных дорог должны иметь искусственное освещение;
устройство прогулочных дорог к местам отдыха, что позволит разделить потоки грузовых и легковых автомобилей;
выделение на пригородных участках дорог, ведущих к зонам отдыха, на протяжении 8 - 10 км и более от границы города обособленных велосипедных дорожек, отделяемых от проезжей части и пешеходного движения зеленой полосой;
организацию в местах расположения туристских баз, лагерей и прочих труднодоступных для автотранспорта местах сети туристских пешеходных троп и троп для верховой езды.
Загородные прогулочные, парковые и туристские автодороги следует трассировать по наиболее живописным местам с учетом использования ландшафта и обеспечения доступности расположенных здесь памятников культуры, заповедников и мест исторических событий.
6.41. При перегрузке существующих загородных автодорог необходимо сооружать дублирующие магистрали, что позволит обеспечить высокие скорости и безопасность движения транзитных и местных потоков на основных направлениях. Кроме разгрузки существующих магистралей эти дублеры, проходя по территориям, не обеспеченным усовершенствованными дорогами, будут способствовать улучшению транспортного обслуживания населенных пунктов пригородной зоны благодаря более равномерной трассировке межселенной автодорожной сети.
6.42. Сеть дорог в пределах зоны влияния города должна быть увязана со всеми планировочными элементами системы расселения, а также с внутригородскими магистралями, основными направлениями движения массовых потоков транспорта. Особое внимание должно обращаться на планировочную взаимосвязь вводов в город автодорог пригородной зоны с городскими магистралями.
При трассировании вводных автомагистралей необходимо проводить анализ существующих и перспективных потоков транспорта с разложением их на потоки, проходящие мимо города и тяготеющие к нему, а также распределение их по зонам города, что позволит определить направление магистралей и распределительных кольцевых дорог. Пропускная способность вводных автодорог должна соответствовать перспективной интенсивности движения в час пик.
6.43. При значительных транзитных потоках в малых городах целесообразно трассировать внегородские дороги касательно к планировочной границе вне его территории. Въезд в город и выезд из него осуществляется по магистральным улицам или городским скоростным дорогам, примыкающим к внегородским автодорогам. В условиях агломераций сооружение сети внегородских дорог с присоединением к ним населенных пунктов дает более рациональное и экономичное решение, чем устройство обходных дорог вокруг каждого населенного пункта.
В больших городах целесообразно применение комбинированной схемы с размещением внегородской дороги за пределами жилой застройки для транзитного движения и одновременного ввода автомобильной дороги в город для местных потоков, начинающихся или заканчивающихся в данном городе.
Ввод внегородских дорог по хордовым направлениям приводит к пропуску через территорию города транзитных потоков, перегрузке узлов пересечений дорог между собой, большим перепробегам и неудобным транспортным связям между периферийными районами города, поэтому хордовые направления целесообразно сочетать с кольцевыми обходами и внутригородскими кольцевыми магистралями. Ввод внегородских дорог непосредственно к внутригородской кольцевой дороге или магистрали приводит к ее перегрузке, пропуску в центральные районы междугородного транзита и слиянию внешних и внутригородских транспортных потоков.
В крупных городах рекомендуется устраивать кольцевые и полукольцевые дороги в обход города для пропуска транзитного движения, распределения транспортных потоков по секторам города и обеспечения связей между периферийными районами города. Кроме того, необходимо предусматривать внутреннее городское кольцо скоростной дороги или магистрали непрерывного движения для распределения и пропуска внутригородских потоков, транзитных относительно центральных районов города.
Кольцевые (обходные) дороги необходимо специализировать: дальние (от города-центра) выделять для местного движения между периферийными районами пригородной зоны, ближние - для перераспределения транспорта, направляющегося в город, между отдельными автодорожными направлениями.
6.44. Автодорожная сеть пригородной зоны должна быть дифференцирована по разрешаемым скоростям движения и преимущественному составу транспортных потоков. Функция дороги определяется преобладающим видом движения по ней грузовых или легковых автомобилей, автобусов. В крупных городах с развитой промышленностью и наличием больших и стабильных грузопотоков обязательно выделение специализированных грузовых магистралей, трассируемых по границам промышленно-складских зон, в полосах отвода железных дорог, с соблюдением нормируемых размеров санитарно-защитных зон при прохождении вблизи селитебных территорий. При проектировании дорог, ведущих к промышленным предприятиям, следует учитывать необходимость пропуска потоков грузового автотранспорта с внешних направлений в обход жилых районов.
6.45. Рекомендуемая плотность автодорожной сети всех категорий в среднем 30 - 40 км на 100 км2 территории пригородной зоны с колебаниями от 100 до 20 км по мере удаления от крупного города и снижения интенсивности движения.
6.46. В связи с тем, что железнодорожная сеть в границах пригородных зон в основном сформировалась, ее развитие в перспективе намечается обычно за счет усиления существующих железнодорожных направлений, в частности головных участков с интенсивным пригородным движением и внутриузловых ходов, электрификации пригородных линий.
При интенсивности пригородного движения более 12 пар поездов в час пик для него необходимо выделять на ближних подходах к узлу отдельную пару главных путей с соответствующим развитием головных станций, а при интенсивности более 17 - 18 пар использовать в часы пик и главные пути, предназначенные для дальнего и местного пассажирского движения. Повышение размеров пригородного движения на внутриузловых ходах обычно бывает возможно лишь при разгрузке их посредством сооружения обхода узла для транзитных грузовых перевозок или укладки дополнительных путей с переустройством станций и сооружений, строительством необходимых путепроводных развязок.
6.47. В целях улучшения судоходных условий на речных путях может намечаться строительство судоходных каналов (подходных, обходных, соединительных), плотин и шлюзов для регулирования стока, выпрямление русла рек, дноуглубительные и руслоочистительные работы в местах с недостаточными глубинами судового хода (в соответствии с проработками специализированных институтов).
РАЗМЕЩЕНИЕ НОВЫХ И РЕКОНСТРУКЦИЯ СУЩЕСТВУЮЩИХ
ТРАНСПОРТНЫХ СООРУЖЕНИЙ И УСТРОЙСТВ
6.48. Для обслуживания пассажирских и грузовых перевозок, а также эксплуатации подвижного состава в границах города и пригородной зоны необходимо предусматривать развитие существующих и размещение новых устройств для различных видов транспорта - железнодорожных и автобусных вокзалов и станций, автопавильонов, речных и морских портов-пристаней, аэропортов, вертолетных станций, станций технического обслуживания, автозаправочных станций и т.д., мощность и размещение которых определяются исходя из их роли в системе транспортных коммуникаций пригородной зоны и общей транспортной сети республики, а также объема транспортно-экономических связей. Количество и местоположение устройств определяются в каждом конкретном случае с учетом эксплуатационных затрат на перевозки, строительство и содержание комплекса, качества обслуживания населения (время проезда пассажиров, удобство пересадочных операций при осуществлении смешанных перевозок, безопасность движения и т.д.).
При размещении транспортных комплексов должна бронироваться территория для их развития на перспективу, а также предусматриваться устройство санитарно-защитных зон и соблюдение противопожарных требований.
6.49. В крупных городах-центрах необходимо предусматривать размещение одного центрального автовокзала для дальнего междугородного (конечного и транзитного) сообщения и нескольких (одной - трех) пригородных пассажирских автостанций, размещаемых в срединной зоне города вблизи основных наиболее загруженных выездов-въездов. В населенных пунктах пригородной зоны при отправлении не менее 100 пассажиров в сутки размещаются пассажирские автостанции, а на автодорогах вблизи населенных пунктов, мест массового отдыха трудящихся либо в местах примыкания местных дорог к магистральным - остановочные пункты (автопавильоны). Вместимость автовокзала по нормам технологического проектирования составляет 7 - 12%, пассажирской автостанции - 12 - 17% суточного отправления пассажиров, а необходимая для строительства территория в зависимости от класса автовокзала-автостанции - в пределах 0,4 - 2 га.
При большой пересадочности (свыше 70% общего числа пассажиров) целесообразно предусматривать размещение автовокзала-автостанции в составе комплекса основного пассажирообразующего вида транспорта, организуя объединенные железнодорожно-автобусный, автобусно-морской либо автобусно-речной вокзалы (см.
пп. 6.65 -
6.67).
6.50. В городах необходимо предусматривать размещение грузовых автостанций и их филиалов исходя из учета градостроительных и транспортно-эксплуатационных условий, требующих: выноса грузовых автостанций в периферийные районы (на 5 - 7 км от городского центра), в промышленно-складскую зону, организации удобной транспортной связи со всеми обслуживаемыми автостанцией грузообразующими и грузопоглощающими пунктами города (по кратчайшим расстояниям, с минимальными затратами времени и средств на доставку грузов потребителям), а также основными выходами из города внешних автодорог и обходными магистралями.
В городах с развитым внешним транспортным узлом грузовые автостанции необходимо размещать вблизи промышленно-складских районов, удаленных от железнодорожных и водных грузовых устройств, рядом с магистралями грузового движения, а при большом объеме работ по перегрузке грузов с одного вида транспорта на другой - совмещать с родственными по технологии комплексами. При отводе территории для строительства грузовых автостанций в зависимости от объема и характера выполняемых операций общие размеры участка рекомендуется принимать в пределах 0,3 - 2 га.
6.51. Станции технического обслуживания и автозаправочные станции для обслуживания транзитного автотранспорта следует размещать, как правило, у автомобильных дорог I и II категорий на подходах к городам. Размеры участков станций технического обслуживания и автозаправочных станций рекомендуется принимать в зависимости от их пропускной способности по табл. 25 и
26.
Таблица 25
Тип станции обслуживания | Размеры земельных участков, га |
При АЗС (с постами мойки и смазки) | 0,4 |
На 10 постов | 1,0 |
На 15 постов | 1,5 |
На 25 постов без продажи автомобилей | 2,0 |
То же, с продажей автомобилей | 2,6 |
На 50 постов | 3,5 |
Центры обслуживания на 100 и более постов | По индивидуальным проектам |
Мощность автозаправочных станций (количество заправок в сутки) | Количество топливо-раздаточных колонок | Размеры земельных участков (без учета подъездов), га |
100 | 2 | 0,1 |
250 | 5 | 0,2 |
500 | 7 | 0,3 |
750 | 9 | 0,35 |
1000 | 11 | 0,4 |
6.52. Возможными местами размещения мотелей и кемпингов на подходах к городам, в их пригородных зонах являются участки на автодорогах I и II технических категорий, вблизи пересечений с обходными магистралями, мест массового отдыха трудящихся, в живописных и исторических местах. Площадь территории мотелей и кемпингов определяется исходя из норм 200 - 300 м2 на 1 машиноместо.
6.53. На существующих и проектируемых железных дорогах размещение железнодорожных устройств должно быть увязано с основными планировочными элементами пригородной зоны (населенными пунктами, местами отдыха, крупными промышленными предприятиями), остановочными пунктами других видов транспорта.
В крупных городах обычно функционирует одна железнодорожная пассажирская станция. В железнодорожных узлах с большим числом подходов при соответствующем обосновании может проектироваться несколько пассажирских станций (дальнего и пригородного сообщения), причем на одной из них должны быть сосредоточены все операции с транзитными поездами, беспересадочными вагонами, транзитной почтой и багажом. Увеличение пропускной способности пассажирских станций достигается их постепенным развитием за счет использования путей для грузового движения, выноса сортировочных и грузовых устройств в новые районы и т.д.
Размеры территории, занимаемой пассажирскими устройствами железной дороги, должны приниматься по табл. 27.
Таблица 27
Тип раздельного пункта | Длина площадки, м, при расположении путей и парков | Ширина площадки, м |
продольном | поперечном |
Остановочный пункт | 800 - 1000 | 300 - 500 | 20 - 30 |
Разъезд | 2000 - 2800 | 1100 - 1600 | 50 - 100 |
Промежуточная станция | 2300 - 3100 | 1200 - 1700 | 100 - 150 |
Зонная пассажирская станция | 1500 - 2000 | 800 - 1200 | 50 - 160 |
Участковая станция | 3000 - 3800 | 1700 - 1300 | 250 - 350 |
Примечание. Ширина площадки указана для наиболее широкой части.
6.54. Количество и специализация развиваемых грузовых станций и грузовых дворов должны устанавливаться исходя из типов железнодорожных узлов, размещения промышленных территорий, селитебных районов, сортировочных станций и др.
В зависимости от конкретных условий грузовые станции должны размещаться на внутриузловых ходах, окружных дорогах, соединительных ветвях или специализированных ходах, обслуживающих ряд промышленных предприятий. Территории для размещения крупных грузовых станций должны быть длиной 2,5 - 3 км и шириной до 300 м.
Грузовые дворы рекомендуется приближать к потребителям, обеспечив прямые транспортные связи с обслуживаемыми районами города, сортировочными и грузовыми станциями узла.
Примерные размеры площадок, необходимые для размещения устройств грузовых дворов, составляют при прибытии:
до 25 вагонов/сут ..................................... 3 га
" 50 - 75 " ...................................... 5 - 7 "
" 100 - 150 " ...................................... 9 - 12 "
" 200 - 300 " ...................................... 15 - 20 "
6.55. Сортировочные станции должны быть вынесены за пределы городской застройки; для сокращения пробегов автомобильного транспорта их следует располагать вблизи перевалочных пунктов и пунктов местной работы, железнодорожных обходов городов.
Территория, необходимая для односторонней сортировочной станции с последовательным расположением парков должна приниматься длиной 5,3 - 6,5 км (при полезной длине путей 850 - 1250 м) и шириной 300 - 450 м, а для двусторонней станции - соответственно 5,5 - 6,7 км и 600 - 700 м.
6.56. Для обеспечения перевозок воздушным транспортом в городах и их пригородных зонах размещаются аэропорты, городские аэровокзалы и агентства, вертолетные станции и порты. Аэропорт должен размещаться в 30 - 40-минутной транспортной доступности от города-центра (расстояние 20 - 40 км) и обслуживать несколько близлежащих населенных пунктов.
Примерные размеры участков, необходимые для строительства аэропортов (без полос воздушного подхода) в зависимости от класса аэропорта, принимаются в пределах 225 - 800 га.
Городские аэровокзалы воздушных сообщений создаются в каждом городе, имеющем аэропорт, а также в городах, расположенных в зоне обслуживания данного аэропорта, где на перспективу ожидается пассажирооборот не менее 2 млн. чел. в год и аэропорт удален от города не менее чем на 15 км. В городах с населением 300 тыс. чел. и более предусматриваются городские агентства.
Городские аэровокзалы и агентства целесообразно располагать на основной магистрали, соединяющей аэропорт с городом, вблизи пересечений транспортных магистралей в местах, удобно связанных городским транспортом с центром города и его основными жилыми массивами, при соответствующем обосновании объединяя с автобусной станцией, железнодорожным, речным или морским вокзалом.
Годовой пассажиропоток
П между городом и аэропортом определяется по формуле
[13]
где А - годовой пассажиропоток;
N - численность работающих в аэропорту;

- коэффициент, учитывающий перевозку лиц, встречающих и провожающих пассажиров аэропорта.
Средние значения коэффициента

принимаются для аэропортов I и V классов - 0,3; внеклассных и IV класса - 0,4; III класса - 0,5.
Наиболее приемлемым и в настоящее время распространенным видом связи аэропорта с городом считается экспресс-автобус (до 85% всех перевозок), обслуживающий пассажиропоток до 6 тыс. чел./ч в одном направлении. Постоянно увеличивающаяся плотность автомобильного движения в крупных городах и на подходах вызывает необходимость подвода к аэропортам (при соответствующем технико-экономическом обосновании) электрифицированной железной дороги, скоростного трамвая на обособленном полотне, вертолетного сообщения.
Вертодромы в пределах пригородных зон следует размещать на периферии городов за пределами жилых районов (при отсутствии вертопорта техническое обслуживание и заправка вертолетов производятся в аэропортах), а вертолетные станции - на городских площадях и набережных, на крышах почтамтов, железнодорожных и автобусных вокзалов, гаражей, гостиниц, над водной поверхностью рек, озер и т.д. Участок вертолетной станции должен иметь свободные воздушные подходы и хорошие транспортные связи с различными поселениями системы, а вертолетные трассы - проходить по возможности над незастроенными территориями, зелеными массивами, водоемами, вдоль автомобильных дорог и железнодорожных линий.
Размеры земельных участков для устройства вертолетных станций и портов с годовым объемом перевозок менее 50 тыс. чел. могут приниматься в зависимости от весовой категории вертолетов и интенсивности их движения в часы пик в пределах 1 - 5 га.
6.57. В крупных приречных городах речной вокзал должен размещаться по возможности ближе к центральной части города, основным пунктам образования и поглощения пассажиропотоков (железнодорожным станциям и автовокзалам, крупным промышленным предприятиям, учреждениям, учебным заведениям, новым селитебным районам и т.д.) и иметь удобную, надежную и быструю транспортную связь с пассажирскими устройствами внешнего железнодорожного и автомобильного транспорта (в больших городах возможно совмещение речных вокзалов с железнодорожными и автобусными). По берегам рек вблизи отдельных крупных пассажирообразующих-поглощающих пунктов, а также городских и сельских поселений и мест массового отдыха трудящихся должна быть создана сеть пассажирских причалов, увязанная с остановками общественного транспорта.
6.58. Для городов, расположенных на берегах рек, озер, водохранилищ и морей, количество моторных речных (морских) судов индивидуального пользования рекомендуется принимать на I очередь - 20 - 30 и расчетный срок - 35 - 40 лодок и катеров на 1000 жителей (максимальные показатели принимаются для районов с благоприятными природно-климатическими условиями эксплуатации водомоторных средств).
Береговые базы, а также ремонтно-отстойные пункты (РОП) индивидуального маломерного флота (водных малогабаритных мототранспортных средств, принадлежащих гражданам) следует размещать в пригородной зоне или городской черте (вне центральных районов города) на берегах водных путей сообщения за пределами фарватера. На береговых базах вместимостью более 500 судов рекомендуется предусматривать ремонтные мастерские.
Среднюю норму площади для хранения водных средств индивидуального пользования рекомендуется принимать: акватории - в пределах 25 - 30 м2, береговой территории - 20 - 25 м2 на 1 место хранения.
ПЛАНИРОВОЧНЫЕ ПРИНЦИПЫ ВЗАИМОДЕЙСТВИЯ
ВНУТРИГОРОДСКОГО И МЕЖСЕЛЕННОГО ТРАНСПОРТА
По мере усиления взаимосвязи "город-пригородная зона" усложняется взаимодействие городского, межселенного пригородного и дальнего междугородного транспорта. Единая взаимодействующая система этих видов транспорта формируется организацией беспересадочных маршрутов типа "город-пригород" либо разветвленной сети транспортно-пересадочных узлов
[31].
А. Организация беспересадочных
пригородно-городских сообщений
6.59. Создание единой беспересадочной транспортной системы типа "город-пригород" обеспечивается устройством глубоких вводов железнодорожных и автобусных линий, секущих (диаметральных и хордовых), кольцевых и полукольцевых линий, а также вылетных линий городского общественного транспорта - обычного и скоростного трамвая и автобуса, проходящих параллельно железным и автомобильным дорогам, либо в секторах между ними. Для связи городов с аэропортами, городами-спутниками, местами загородного отдыха возможно применение новых видов транспорта, дополняющих, а в отдельных случаях заменяющих традиционные виды пассажирского транспорта.
6.60. Развитие беспересадочных пригородно-городских сообщений должно идти в основном по пути усиления роли рельсового транспорта с большой провозной способностью - железных дорог, скоростного трамвая, создающих структурную основу транспортной системы во взаимосвязи "город-пригород", к которой присоединяются другие виды пассажирского транспорта. Создание сквозных пригородно-городских железнодорожных диаметров обеспечивает удобное сообщение населения не только прибывающего извне, но и выезжающего в пригород, разгружает головные пассажирские станции и привокзальные площади, рассредоточивая пассажиров по остановочным пунктам пути следования внутри города.
6.61. Автомобильные дороги, являясь одним из основных системообразующих элементов пригородной зоны, должны обеспечивать связь города со всеми тяготеющими к нему населенными пунктами, устройствами внешнего транспорта, зонами массового отдыха трудящихся. Создание глубоких автомобильных вводов в города способствует организации беспересадочных автобусных пассажироперевозок. Ввод экспрессных (полуэкспрессных) автобусных маршрутов с остановками вблизи крупных промышленных зон, комплексов торгового и культурно-бытового обслуживания, организация ответвлений и хордовых направлений движения автобусов позволит повысить роль этого вида транспорта в пригородно-городском сообщении.
6.62. Совместно с железнодорожными диаметрами и вылетными автомобильными дорогами сеть пригородно-городских сообщений создают вылетные линии обычного и скоростного трамвая, трассы которых прокладываются в тоннелях, на эстакадах или на обособленном полотне для связи с городами-спутниками или зонами массового отдыха. Конечные остановки этих линий рекомендуется использовать как пункты пересадки на пригородные железные дороги, автобус, легковые автомобили.
Б. Взаимодействие различных видов транспорта
в транспортно-пересадочных узлах
6.63. Прямую беспересадочную связь с городом имеют те пригородные поселения, которые расположены на радиальных железных или автомобильных дорогах. Населенные пункты, преимущественно сельские, размещаемые в секторах между магистральными дорогами, в большинстве случаев на местных автодорогах, такой связи не имеют и их транспортное взаимодействие реализуется по схеме: сельский населенный пункт - местный центр (преимущественно райцентр) - крупный город. В этих условиях возрастает роль пересадочных узлов, в которых происходит стык различных уровней и видов транспортных сетей: городского и пригородного транспорта между собой, междугородным и пригородным транспортом различных видов. Функции внутрисистемных пересадочных узлов заключаются либо в обеспечении перехода с одного вида или линии пригородного транспорта на другой вид или линию внутригородского транспорта, либо перехода с подвозящего транспорта на скоростной.
В зависимости от стыкующихся транспортных коммуникаций, транспортно-пересадочные узлы проектируются как узлы пересадки с пригородных линий железной дороги и автобусов на скоростные (трамвай, внутригородская железная дорога) и обычные наземные виды массового пассажирского транспорта, и обратно, или как узлы пересадки легкового индивидуального транспорта, следующего в пригородном сообщении, на массовый городской транспорт.
6.64. Особенно целесообразна организация пересадок с железнодорожного транспорта на автомобильный и обратно на пригородных остановочных пунктах. Заслуживает внимания взаимодействие общественного и индивидуального транспорта по системе "Park-and-Ride", когда в периферийной части города (на въездах) у остановок железной дороги либо трамвая располагаются автостоянки, обеспечивающие быструю, удобную и безопасную пересадку "загородников" - владельцев легковых автомобилей на городские виды транспорта. Развитие в отечественной практике системы паркирования по типу "Park-and-Ride" позволит, с одной стороны, рассматривать легковой транспорт как подвозящий к внутригородским транспортным линиям, а с другой - как фактор, ограничивающий доступ индивидуальных автомобилей в центральную часть города, способствующий ослаблению нагрузки на улично-дорожную сеть.
6.65. Меж- и внутрирегиональные связи городов и пригородных зон обеспечиваются через размещаемые в городах-центрах железнодорожные и автомобильные вокзалы, аэропорты и порты, образующие вместе с подвозящими (внутрисистемными), а иногда, особенно в малоосвоенных районах, и внутрирегиональными видами транспорта сложные транспортно-пересадочные узлы. В настоящее время в этих узлах осуществляется взаимоувязка работы как дальнего междугородного, так и пригородного транспорта с внутригородским, а также междугородного и пригородного между собой.
6.66. Анализ эксплуатации объединенных комплексов показывает значительные удобства функционирования (особенно для пересаживающихся пассажиров), а также экономическую их целесообразность: стоимость строительства объединенного вокзала примерно на 25% меньше стоимости сооружения раздельных зданий, а суммарные эксплуатационные расходы вследствие уменьшения обслуживающего персонала сокращаются на 10 - 15%.
В крупных городах создание объединенных вокзалов обычно нецелесообразно из-за высокой концентрации пассажиров, усложняющей нормальную эксплуатацию вокзала и привокзальной площади. Возможность и выгодность объединения следует решать путем вариантного проектирования и сопоставления вариантов по критерию стоимости и затрат времени в каждом конкретном случае.
6.67. В подавляющем большинстве крупных городов предпосылок для объединения пассажирских устройств нет - отсутствуют свободные территории, здания размещены в разных городских районах и не подлежат ни сносу, ни реконструкции. В таких случаях возникают излишние затраты времени на переезды пассажиров с багажом со станции на станцию с неоднократными пересадками. В целях сокращения потерь времени на переезды и повышения комфортности поездок необходима организация прямых беспересадочных маршрутов, связывающих комплексы внешнего транспорта между собой и предназначенных для обслуживания в основном транзитных пассажиров, совершающих пересадку с одного вида магистрального транспорта на другой.
6.68. Местом пересадки и движения в транспортно-пересадочных узлах магистральных видов транспорта являются, как правило, привокзальные площади, на которых концентрируются значительные пассажиропотоки, рассредоточиваемые по территории города обычными и скоростными видами внутригородского транспорта.
Размеры привокзальных площадей рекомендуется принимать от 0,5 до 2,5 га в зависимости от числа и ширины примыкающих к площади улиц, размеров движения на них, величины вокзала и организации движения транспортных средств на площади, характера ее застройки, озеленения и др.
ГОСУДАРСТВЕННЫЙ ПЛАНОВЫЙ КОМИТЕТ СОВЕТА МИНИСТРОВ СССР
(ГОСПЛАН СССР)
УКАЗАНИЯ
ПО РАЗРАБОТКЕ КОМПЛЕКСНЫХ СХЕМ РАЗВИТИЯ ВСЕХ ВИДОВ
ГОРОДСКОГО ПАССАЖИРСКОГО ТРАНСПОРТА ДЛЯ ГОРОДОВ
С НАСЕЛЕНИЕМ 250 ТЫС. ЖИТЕЛЕЙ И БОЛЕЕ, ПРЕДСТАВЛЯЕМЫХ
НА СОГЛАСОВАНИЕ В ГОСПЛАН СССР
(Извлечения)
1. ОБЩИЕ ПОЛОЖЕНИЯ
1.1. Комплексные схемы развития всех видов городского пассажирского транспорта (в дальнейшем "комплексные транспортные схемы") разрабатываются во исполнение
постановления Совета Министров СССР от 26 декабря 1967 г. N 1152 "О мерах по улучшению обслуживания населения городским пассажирским транспортом" для всех городов с проектной численностью населения 250 тыс. чел. и более, на расчетный срок 10 - 15 лет, с выделением первоочередных работ на ближайшие 5 лет и с определением на эти годы объектов работ по строительству инженерных и дорожно-транспортных сооружений.
При тесной взаимосвязи нескольких близко расположенных городов и других населенных мест, образующих единую городскую агломерацию, "комплексная транспортная схема" разрабатывается для всей агломерации.
1.2. В "комплексной транспортной схеме" должны предусматриваться основные направления и очередность осуществления мероприятий по развитию системы городского пассажирского транспорта и пригородных сообщений, а также магистралей и улиц, обеспечивающие перевозки населения к местам приложения труда, массового отдыха и объектам культурно-бытового назначения с достаточной степенью комфортабельности и затратами времени на поездки, отвечающим градостроительным и другим действующим нормам.
Выбор оптимального варианта решения транспортной проблемы города осуществляется на основе всесторонних технико-экономических сравнений нескольких вариантов и рекомендуемый вариант должен обеспечивать при минимальных капитальных вложениях и приведенных народнохозяйственных затратах наиболее эффективное улучшение обслуживания населения городским пассажирским транспортом в течение рассматриваемого периода.
1.6. Утвержденная в установленном порядке "комплексная транспортная схема" является основным документом для транспортных и проектных организаций по разработке последующих проектных зданий на строительство объектов пассажирского транспорта и дорожно-транспортных инженерных сооружений, на развитие и реконструкцию существующей транспортной сети города, а также руководством для горисполкомов, обл(край)исполкомов, плановых органов союзных и автономных республик при разработке народнохозяйственных планов по развитию городского пассажирского транспорта.
1.7. Исходными данными для разработки "комплексных транспортных схем" являются:
а) материалы генерального плана или ТЭО развития города;
б) отчетные данные по технико-эксплуатационным и экономическим показателям работы городского и пригородного пассажирского транспорта - метрополитена, трамвая, троллейбуса, автобуса, такси, железнодорожного и водного сообщений;
в) материалы специально проведенных обследований:
расселения населения и его подвижности (общей и транспортной);
размеров и корреспонденции пассажиропотоков по направлениям, участкам и узлам транспортной сети города;
организации городского движения (транспорта и пешеходов) и условий безопасности его;
интенсивности движения транспортных потоков по улицам, магистралям, транспортным узлам и на подходах к городу.
Примечание. Давность обследований не должна превышать 2 - 3 года.
1.8. В случае выявления при разработке "комплексной транспортной схемы" необходимости внесения изменений в принятые в генплане города транспортно-планировочные решения, должны быть даны соответствующие рекомендации по их уточнению и корректировке.
2. СОСТАВ И СОДЕРЖАНИЕ "КОМПЛЕКСНОЙ ТРАНСПОРТНОЙ СХЕМЫ"
2.1. "Комплексная транспортная схема" разрабатывается и представляется на согласование и утверждение в составе пояснительной записки и графических материалов, отражающих характеристику современного состояния и обслуживания населения всеми видами пассажирского транспорта и обоснования принятых проектных решений по их улучшению и развитию на перспективу.
2.2. Пояснительная записка к "комплексной транспортной схеме" должна состоять из следующих разделов:
Город и его функциональная характеристика;
Городской пассажирский транспорт;
Грузовой автомобильный транспорт;
Магистрали и улицы;
Пригородный пассажирский транспорт;
Внешний транспорт;
Первая очередь строительства.
Примечание. Вопросы развития городского и пригородного пассажирского транспорта прорабатываются детально. Развитие магистралей и улиц, грузового автомобильного и внешних видов транспорта прорабатываются в объемах, необходимых для принятия обоснованного решения по развитию городского и пригородного пассажирского транспорта. Основные данные по указанным вопросам принимаются из проектных разработок генерального плана или ТЭО развития города, а также ведомственных отраслевых схем.
ОСНОВНЫЕ ХАРАКТЕРИСТИКИ И СОДЕРЖАНИЕ РАЗРАБОТОК
ЭЛЕМЕНТОВ КОМПЛЕКСНОЙ ТРАНСПОРТНОЙ СХЕМЫ ГОРОДА
1. ГОРОДСКОЙ ТРАНСПОРТ
1.1. Городские пути сообщения
Характеристики | Элементы путей сообщения |
улично-дорожная сеть | рельсовый транспорт |
Задачи | Определение параметров узлов и участков улиц и дорог, необходимых на расчетный срок и первую очередь КТС как этапа реализации улично-дорожной сети, намеченной в генеральном плане | Определение направлений трасс, станций и остановок рельсового транспорта на расчетный срок и первую очередь КТС как этапа реализации схемы развития рельсового (скоростного) транспорта, намеченной в генеральном плане |
Исходные данные | 1. Перспективные решения генплана по развитию городских путей сообщения. 2. Характеристики существующих путей сообщения. 3. Группа данных, характеризующих распределение населения по районам города и объектам тяготения (на расчетный срок и первую очередь КТС). 4. Материалы транспортно-градостроительных обследований (подвижности, расселения, интенсивности движения и т.д.) |
Методы расчета | 1. Метод взаимных корреспонденций для расчетов потоков пассажиров и грузов на расчетный срок (в сетевой форме). 2. Метод коэффициентов роста для расчетов интенсивности движения на первую очередь (на базе статистических и обследовательских материалов). 3. Определение параметров магистралей на основании технических расчетов |
Получаемые результаты (количественные и графические) | Протяженность путей сообщения различных категорий с выделением участков и узлов, а также элементов поперечных профилей на расчетный срок и первую очередь КТС |
Принципы выбора вариантов (альтернатив) | Наименьшие приведенные затраты для обоснования принципиальных технических решений улично-дорожной сети, линий и станций скоростного транспорта с учетом требований охраны окружающей среды, безопасности движения и экономии времени на транспортные передвижения |
Показатели, переходящие как задания для последующих стадий | Потоки пассажиров и интенсивность движения транспорта на расчетный срок и первую очередь КТС для заданий на разработку технических проектов дорожно-транспортных объектов и для учета требований первоочередного строительства в ПДП |
1.2. Транспортные средства
Характеристики | Вид транспортного средства |
массовый пассажирский транспорт различных видов (включая такси) | грузовой автотранспорт | ведомственные легковые автомобили | легковые автомобили и другие транспортные средства личного пользования |
Задачи | Определение необходимого количества подвижного состава в инвентаре (приведенного к основному перспективному типу данного вида транспорта) |
Исходные данные | Расчетные объемы пассажирских перевозок по принятым видам транспорта; провозная способность данного вида при перспективной комфортной вместимости | Расчетные объемы грузоперевозок | Автомобилизация по данным категориям легкового автомобильного транспорта и других транспортных средств |
Методы расчета | Определение количества подвижного состава на основании годовой работы единицы данного вида транспорта | Определение количества автомобилей по нормативам годовой производительности | Определение количества транспортных средств по показателям автомобилизации на единицу численности населения |
Получаемые результаты (количественные и графические) | Инвентарное количество подвижного состава (приведенное к основному типу данного вида транспорта) |
Принципы выбора вариантов (альтернатив) | По приведенным затратам при выборе подвижного состава разной вместимости внутри одного вида | Варианты отсутствуют |
Показатели, переходящие как задания для последующих стадий | | | | Перспективное количество транспортных средств различного вида для определения территорий для хранения транспорта индивидуального пользования ПДП |
1.3. Сети транспортного обслуживания
Характеристики | Элементы сети |
гаражи государственного автотранспорта, депо и парки общественного транспорта, станции технического обслуживания и АЗС | места постоянного хранения легковых автомобилей и других транспортных средств личного пользования |
Задачи | 1. Потребность города в данных сооружениях. 2. Размещение объектов в плане города с определением потребных территорий | Определение необходимого количества машиномест и территорий для постоянного хранения |
Исходные данные | Определенные ранее в подсистеме "транспортные средства" количества легковых автомобилей индивидуального пользования, ведомственных, грузового автотранспорта, общественного транспорта |
Методы расчета | Определение искомых значений по нормативам хранения и т.д. территорий - по укрупненным показателям типовых проектов сооружений |
Получаемые результаты (количественные и графические) | Количество сооружений и объектов с размещением их в плане города на соответствующей схеме | Количество мест с распределением по зонам, определение территорий |
Принципы выбора вариантов (альтернатив) | Практически не варьируются, подбираются условно по действующим типовым проектам; главное - резервирование территории в соответствующих функциональных зонах |
Показатели, переходящие как задания для последующих стадий | Адресные привязки объектов (с дальнейшим уточнением их характеристик в технических проектах) |
1.4. Управление движением
Характеристики | Элементы системы |
здания и сооружения для размещения систем управления - ЦДС, ЦУП, диспетчерские пункты и т.д. | технические системы и средства регулирования движения |
Задачи | Адресная привязка зданий и сооружений | 1. Определение скоростных режимов движения по сети существующих магистралей 2. Определение узлов, где необходимо введение регулирования движения 3. Общие соображения по этапам развития автоматизированных систем регулирования движения |
Исходные данные | Существующее размещение объектов управления движением в увязке с системой радиотелефонной связи города | 1. Данные обследований интенсивности и условий движения на существующей сети магистралей 2. Классификация улично-дорожной сети по проекту генерального плана 3. Интенсивность и структура потоков на расчетный срок и первую очередь КТС |
Методы расчета | | Определение пропускной способности узлов улично-дорожной сети по существующим методикам расчетов |
Получаемые результаты (количественные и графические) | Количество зданий и сооружений для управления движением с адресной привязкой к функциональным зонам города на схеме организации движения | 1. Классификация улично-дорожной сети города по допускаемым режимам движения и составу транспортных потоков 2. Схема классификации транспортных узлов по типам регулирования движения и выделением узлов, где это регулирование вводится впервые 3. Системы автоматизированного регулирования, рекомендуемые на расчетный срок |
Принципы выбора вариантов (альтернатив) | Не варьируется | Обоснование необходимости введения регулирования движения или его совершенствования на базе оценки задержек, скоростей потоков, безопасности движения |
Показатели, переходящие как задания для последующих стадий | Адресная привязка для задания на разработку технического проекта | Все указанные выше результаты, как принципиальная основа для разработки ПДП, технических проектов реконструкции улично-дорожной сети города и специальных проектов по системам организации движения в городе |
2. ВНЕШНИЙ ТРАНСПОРТ
2.1. Железнодорожный транспорт
Характеристики | Элементы системы - пассажирские станции и платформы |
Задачи | Определение необходимого развития пассажирских устройств для совершенствования пригородных и внутригородских пассажирских перевозок |
Исходные данные | 1. Материалы по развитию железнодорожного узла на расчетный срок КТС и ближайшую пятилетку по проектным проработкам отраслевых проектных организаций и соответствующих ведомств 2. Материалы генерального плана по перспективным параметрам и территориальному размещению устройств |
Метод расчета | Определение технических параметров сооружений и устройств по укрупненным нормативам пропускной и провозной способности |
Получаемые результаты (количественные и графические) | Количество станций и платформ (реконструируемых и новых) с адресной привязкой на соответствующей схеме |
Принципы выбора вариантов (альтернатив) | По капитальным затратам для обоснования технических параметров станций и платформ |
Показатели, переходящие как задания для последующих стадий | Технические параметры и адресная привязка станций и устройств для разработки задания на технический проект объекта |
2.2. Воздушный, водный и внешний автомобильный транспорт
Характеристики | Элементы подсистемы |
воздушный транспорт | водный транспорт | автомобильный транспорт |
аэропорты | аэровокзалы | (пассажирские порты и причалы) | вводы внешних автодорог | пассажирские станции |
Задачи | Совершенствование транспортной связи с аэропортами и аэровокзалами; в случае необходимости - обоснование строительства новых или реконструкции существующих аэропортов и аэровокзалов | Определение необходимых мероприятий по развитию и реконструкции пассажирских районов порта и причалов местного сообщения | Обеспечение необходимой пропускной способности вводов и узлов примыканий к внутригородской улично-дорожной сети | Обоснование необходимости строительства или реконструкции |
Исходные данные | 1. Объемы перевозок пассажиров и грузов на расчетный срок КТС и ближайшую пятилетку по данным соответствующих ведомств и проектных институтов 2. Материалы генерального плана по перспективным параметрам и территориальному размещению устройств и сооружений |
Методы расчета | Определение технических параметров линий, устройств и сооружений по укрупненным нормативам пропускной и провозной способности |
Получаемые результаты (количественные и графические) | Технические параметры (поперечные профили, схемы узлов, протяженности участков, провозная и пропускная способность), количество и типы вокзалов, станций, портов и причалов и т.д. с адресной привязкой на соответствующей схеме |
Принципы выбора вариантов (альтернатив) | По капитальным затратам для обоснования технических параметров соответствующих устройств и сооружений |
Показатели, переходящие как задания для последующих стадий | Технические параметры и адресная привязка соответствующих устройств и сооружений для разработки задания на технический проект объекта |
МЕТОДЫ ОЦЕНКИ СТЕПЕНИ РАЗВИТИЯ ТРАНСПОРТНОЙ СЕТИ
ПРИГОРОДНОЙ ЗОНЫ
Плотность транспортной сети не может считаться основным и достаточным критерием ее удовлетворительности. Слишком большая плотность сети сама по себе лишь в малой степени определяет ее возможности, зависящие от технических характеристик путей (число полос движения, состояние полотна дорог и т.д.), от характера транспорта (преимущественно пассажирский или грузовой), расселения населения.
Степень развития транспортной системы зоны влияния города рекомендуется оценивать коэффициентом пространственного транспортного потенциала K, учитывающим в заданных границах территориальное развитие сети и ее пропускную способность:
где q - пропускная способность транспортных коммуникаций, маш./сут или пасс./сут;
l - протяженность транспортных коммуникаций соответствующей пропускной способности, км;
F - территория, обслуживаемая данной транспортной системой, км2.
В случае когда транспортная сеть не однородна по структуре и состоит из коммуникаций разных видов транспорта, отличающихся по техническим и эксплуатационным характеристикам, параметр q удобно представить в приведенных единицах к провозной способности транспорта, движущегося по магистрали определенной категории.
Коэффициенты приведения пропускной способности
транспортных коммуникаций по категориям
Автомобильные дороги технической категории:
I с числом полос движения:
6 ................................................................. 2,5
4 ................................................................. 1,7
II .................................................................... 1,0
III ................................................................... 0,7
IV и V ................................................................ 0,1
Коэффициент пространственного транспортного потенциала в этом случае рекомендуется определять по формуле
где параметры даются в следующих измерениях:
q' - в приведенных единицах;
l - в тыс. км;
F - в тыс. км2.
МЕТОДЫ ОЦЕНКИ РАЗВЕТВЛЕННОСТИ СЕТИ МАРШРУТОВ
МАССОВОГО ПАССАЖИРСКОГО ТРАНСПОРТА ПРИГОРОДНОЙ ЗОНЫ
И ДОСТУПНОСТИ ОБЪЕКТОВ ТЯГОТЕНИЯ
Для выявления населенных пунктов, не охваченных линиями движения массового пассажирского транспорта, рекомендуется определить величину коэффициента разветвленности сети маршрутов ki, определяемого для каждого транспортного района пригородной зоны по формуле
где

- численность пригородного населения, проживающего на территории 20-минутной пешеходной доступности
j-х остановочных пунктов
i-го транспортного района;
Мi - общая численность населения транспортного района i.
В качестве показателя, позволяющего оценить разветвленность маршрутов массового пассажирского транспорта, которые обеспечивают связи с местами отдыха в пригородной зоне, следует принимать коэффициент kмоi, определяемый для транспортных районов пригородной зоны по формуле
где

- расчетное количество мест кратковременного отдыха, находящихся на территории 15-минутной пешеходной доступности
j-х остановочных пунктов
i-го района;
Mоi - общее количество мест кратковременного отдыха i-го транспортного района.
Условная оценка величины коэффициентов ki и kмоi может быть произведена следующим образом: при ki и kмоi < 0,6 разветвленность сети пассажирского транспорта считается недостаточной; ki, kмоi = 0,6 - 0,8 - удовлетворительной; ki, kмоi = 0,8 - 0,9 - хорошей; ki, kмоi > 0,9 - разветвленность сети достаточна.
Такой анализ может быть произведен по транспортной схеме зоны влияния города с нанесенными остановочными пунктами массового пассажирского транспорта, а также с указанием численности населения, проживающего в поселениях, и емкости мест кратковременного отдыха.
Условная оценка доступности основных объектов тяготения в городе и пригородной зоне может быть произведена по величине коэффициента доступности kд:
где tт - теоретические затраты времени на сообщение при условной замене других видов транспорта индивидуальным автомобилем;
t - средневзвешенные затраты времени на поездку с учетом использования различных видов массового пассажирского транспорта.
При величине kд < 0,5 доступность объектов тяготения считается неудовлетворительной; 0,5 - 0,6 - удовлетворительной; 0,6 - 0,7 - хорошей; при kд > 0,7 условия доступности достаточные.
ФОРМЫ ПРЕДСТАВЛЕНИЯ РЕЗУЛЬТАТОВ ОЦЕНКИ
СУЩЕСТВУЮЩЕГО ПОЛОЖЕНИЯ И ПРОЕКТНЫХ ПРЕДЛОЖЕНИЙ
ПО УЛИЧНО-ДОРОЖНОЙ СЕТИ
N п/п | Наименование магистралей | Протяженность, км | Ширина, м | Покрытие | Соответствие СНиП | Примечания |
проезжей части | трамвайного полотна | улицы в красных линиях |
1 | 2 | 3 | 4 | 5 | 6 | 7 | 8 | 9 |
N п/п | Тип узла | Пересечение | Загрузка узла | Пропускная способность | Уровень загрузки узла |
1 | 2 | 3 | 4 | 5 | 6 |
N п/п | Наименование магистралей и их участков | Доля различных видов транспорта, % | Наличие приоритета в движении общественного транспорта |
грузовой | легковой | общественный массовый |
1 | 2 | 3 | 4 | 5 | 6 |
N п/п | Наименование магистралей и их участков | 85%-ное значение среднеходовой скорости потока, км/ч | Расчетная скорость движения автомобиля, км/ч | Допускаемая скорость движения, км/ч |
1 | 2 | 3 | 4 | 5 |
N п/п | Место расположения светофоров, тип, система регулирования | Общий цикл, с | Продолжительность такта, с |
зеленый | желтый | красный |
1 | 2 | 3 | 4 | 5 | 6 |
N п/п | Наименование магистралей и их участков | Наезды на пешеходов | Аварии транспортных средств |
число | основные причины возникновения, % | число | основные причины возникновения, % |
1 | 2 | 3 | 4 | 5 | 6 |
N п/п | Тип узла | Наименование магистрали, узла | Основные конфликтующие направления на узле | Число полос движения на подходе к узлу по каждому из направлений | Существующая пропускная способность по каждому из направлений | Существующее положение | Первая очередь | Рекомендации по организации движения и реконструкции | Получаемая пропускная способность по каждому из направлений |
загрузка | коэффициент загрузки | ожидаемая загрузка | коэффициент загрузки |
1 | 2 | 3 | 4 | 5 | 6 | 7 | 8 | 9 | 10 | 11 | 12 |
Примечание. За основные конфликтующие направления принимаются те потоки (в одном направлении), которые определяют наибольшую загрузку в узле - два наибольших пересекающихся (наиболее часто встречающийся случай), один прямой и один левоповоротный, два левоповоротных и т.п. Загрузка и выбор мероприятия определяются по основному направлению, в связи с этим суммарное значение пропускной способности узла по всем направлениям можно не определять.
N п/п | Категория магистралей | Протяженность магистралей, км |
Существующее положение | I очередь | расчетный срок | генеральный план, всего |
всего | в том числе | всего | в том числе |
новые | реконструируемые | новые | реконструируемые |
1 | 2 | 3 | 4 | 5 | 6 | 7 | 8 | 9 | 10 |
1. | Скоростные дороги |
2. | Магистральные улицы и дороги Общегородского значения: непрерывного движения регулируемого движения |
3. | Районного значения |
4. | Дороги грузового движения |
5. | Другие улицы и дороги |
| Итого Плотность магистральной сети, км/км2 |
N п/п | Наименование элементов улично-дорожной сети, мероприятий по организации движения | Единица измерения | Стоимость единицы измерения, тыс. руб. | I очередь | Расчетный срок | Всего |
объем | общая стоимость, тыс. руб. | объем | общая стоимость, тыс. руб. | объем | общая стоимость, тыс. руб. |
1 | 2 | 3 | 4 | 5 | 6 | 7 | 8 | 9 | 10 |
1. | Строительство магистралей (по категориям) | | | | | | | | |
2. | Реконструкция магистралей (по категориям) | | | | | | | | |
3. | Транспортные узлы в разных уровнях | | | | | | | | |
4. | Путепроводы через железнодорожные пути | | | | | | | | |
5. | Мосты | | | | | | | | |
6. | Пешеходные тоннели | | | | | | | | |
7. | Создание автоматизированной системы регулирования движения | | | | | | | | |
| Итого | | | | | | | | |
ПРИНЦИПИАЛЬНЫЕ ПОЗИЦИИ АЛГОРИТМА РАСЧЕТА ГРУЗОПОТОКОВ
1. Исходными данными для расчета грузовых корреспонденций между транспортными районами являются положения, изложенные в
пп. 4.5 -
4.8.
2. Данные о расположении объектов грузообразования-грузопоглощения по транспортным районам и об их перспективной мощности записываются раздельно по группам в таблицу по принципу родственности выпускаемой продукции с точки зрения технологии или на основе общности их потребительских характеристик.
3. По выпускаемой продукции, с точки зрения технологии промышленных предприятий или потребительских характеристик объектов, подбираются типовые модели грузовых корреспонденций.
4. В расчете учитываются объекты (склады, базы, грузовые дворы и т.п.), которые обслуживают объекты грузообразования и грузопоглощения, расположенные не только в городе, но и за его пределами; для них составляются модели с включением корреспонденций с объектами, расположенными вне города.
5. На основании анкетного обследования объектов выбирается вариант транспортирования груза - либо только автотранспортом (при отсутствии железнодорожного подъездного пути), либо автотранспортом и железной дорогой.
6. Объекты, имеющие однотипные модели и общих поставщиков или потребителей и расположенные в одном транспортном районе, объединяются, их перспективные мощности суммируются.
7. Величина приведенного груза определяется по формуле
где pnm - коэффициент приведения для данного вида груза.
8. В модель заносятся приведенные удельные грузовые корреспонденции, % общего удельного приведенного грузооборота:
9. Исходные данные для расчета записываются в таблицы раздельно (по четырем группам грузов). Из этих таблиц выбирается объект шифра Nk и в соответствующей таблице осуществляется поиск одинаковых шифров и районов их расположения.
10. По
Nk выбираются связи

и по величине

и перспективной мощности объекта

определяется абсолютная величина связи

, т, по формулам:
а) для промышленных предприятий
б) для торговых организаций
в) для строительных организаций
г) для коммунальных организаций
где

- удельная величина грузовой корреспонденции, % общей величины удельного грузооборота;

- перспективная мощность объекта типа
n, расположенного в районе
i;

- коэффициент уменьшения величины грузооборота на перспективу в результате технического прогресса;

- удельная величина грузооборота объекта типа
n;

- коэффициент, учитывающий увеличение объема строительно-монтажных работ в максимальный год по сравнению со среднегодовым

;

- срок данного вида строительства на площадках района
i 
;
a - коэффициент, учитывающий величину самодеятельного населения; определяется по проработкам генерального плана города;

- число живущих в транспортном районе
i;

- число работающих в транспортном районе
i.
11. При наличии в городе не одного объекта
Mр определяются

всех объектов типа
Nk; определение производится согласно критерию

по матрице кратчайших расстояний.
12. Производится запись

в соответствующую ячейку матрицы межрайонных корреспонденций и выполняется расчет корреспонденций на ЭВМ, а также определение грузовой работы

.
13. На основании расчета грузовых корреспонденций выполняется распределение перспективных грузопотоков (картограмма грузопотоков) по магистральной сети города, определяется величина интенсивности движения грузовых автомобилей.
РАСЧЕТ УРОВНЯ АВТОМОБИЛИЗАЦИИ
На ближайшую перспективу (5 - 15 лет) уровень автомобилизации конкретного города определяется по формуле
где n - перспективный уровень автомобилизации города через k лет, авт./1000 жит.;
no - уровень автомобилизации города в исходном году;
Ai - продажа легковых автомобилей населению в СССР в i-ом году, тыс. шт.;
x1 - фактор, учитывающий климатические условия республики (в РСФСР, Украинской ССР и Казахской ССР - области, где находится город):
где a - количество дней в году с температурой выше минус 5 °C;
x2 - фактор, учитывающий густоту автомобильных дорог:
где

- плотность автомобильных дорог в
j-той республике (в РСФСР, Украинской ССР и Казахской ССР - области, где находится данный город), км/1000 жит.;

- плотность автомобильных дорог в СССР, км/1000 жит.;
Lj, Lo - протяженность автомобильных дорог (все дороги) данной республики (области) и в СССР в исходном году, км;
Нj, Нo - население данной республики (области) и СССР в исходном году, тыс. жителей;
Сг - сумма вкладов населения в сберегательных кассах в данном городе в исходном году, млн. руб.;
Сo - сумма вкладов населения в сберегательных кассах в СССР в сходном году, млн. руб.;
Нг - население данного города в исходном году, тыс. чел.
Данные для расчета могут быть получены из следующих источников: nо - в ГАИ города; Ai - по изданию "Результаты деятельности предприятий и организаций по техническому обслуживанию и ремонту транспортных средств, принадлежащих гражданам" (издается ежегодно НИИавтопромом и имеется на каждой станции системы "Автотехобслуживание" крупного города); a - по книге "Справочник по климату СССР. Часть II. Температура воздуха". Вып. 1-34. Табл. 5. Для республик с приближенно одинаковыми климатическими условиями k1 равняется: Белорусская ССР - 1,04; Узбекская ССР - 1,12; Грузинская ССР - 1,11; Азербайджанская ССР - 1,13; Литовская ССР - 1,08; Латвийская ССР - 1,06; Армянская ССР - 1,08; Киргизская ССР - 1,09; Молдавская ССР - 1,12; Туркменская ССР - 1,13; Таджикская ССР - 1,12; Эстонская ССР - 1,04; Lj, Lo, Hj, Ho, Hг, Co - по справочнику ЦСУ СССР "Народное хозяйство СССР" за исходный год; Cг - в Управлении сберегательных касс города.
Отдельные районы городов нередко имеют различные уровни автомобилизации, отличающиеся между собой в 1,5 - 2 раза. Для соответствующих расчетов на перспективу следует использовать метод экстраполяции, учитывающий существующие закономерности распределения парка легковых автомобилей по районам данного города.
При определении удельного расхода территории для хранения автомобилей

и площади под гаражами в балансе территории
Sгар необходимо кроме перспективного уровня автомобилизации учитывать и парк индивидуальных мототранспортных средств по формуле
nр = 1,1n, или nр = 1,2n,
где nр - расчетный уровень автомобилизации, учитывающий уровень моторизации и потребности мотопарка в местах хранения (с учетом переводного коэффициента 1 автомобиль = 3 мотоциклам), авт./1000 жит.;
1,1 - принимается при уровне автомобилизации свыше 60 авт./1000 жит.;
1,2 - принимается при уровне автомобилизации менее 60 авт./1000 жит.
ТЕХНИКО-ЭКСПЛУАТАЦИОННЫЕ ХАРАКТЕРИСТИКИ
ОСНОВНЫХ ТИПОВ АВТОТРАНСПОРТНЫХ СРЕДСТВ
Тип и марка автомобиля | Грузоподъемность, т | Максимальная скорость, км/ч | Стоимость, руб. | Теоретическая производительность, т/ч |
Автомобили бортовые |
УАЗ-451ДМ | 1 | 100 | 1600 | 100 |
ГАЗ-51А | 2,5 | 70 | 1200 | 70 |
ГАЗ-52 (52-04) | 2,5 | 70 | 1500 | 70 |
ГАЗ-53А | 4 | 86 | 2565 | 86 |
ГАЗ-51П | 4 | 70 | 1200 | 70 |
ГА3-54 (перспективные) | 5 | - | 3020 | - |
ЗИЛ-130Г | 5 | 90 | 3200 | 90 |
ЗИЛ-130 | 6 | 90 | 3600 | 90 |
МАЗ-200 | 7 | 65 | 3350 | 65 |
МАЗ-500 | 7,5 | 75 | 5860 | 75 |
ЗИЛ-133Г | 8 | 80 | 8000 | 80 |
МАЗ-500А | 8 | 85 | 6050 | 85 |
КамАЗ-5320 | 8 | 85 | 15400 | 85 |
КрАЗ-2576 | 12 | 68 | 8270 | 68 |
МАЗ-514 | 14 | 85 | 15000 | 85 |
МАЗ-516Б | 14,5 | 85 | 7500 | 85 |
Автомобили с прицепами |
ГАЗ-53А + 2ПН-2 | 6 | 80 | 3615 | 80 |
ЗИЛ-130Г + ИАПЗ-754В | 9 | 70 | 4220 | 70 |
ЗИЛ-130 + ГКЗ-817В | 11 | 85 | 4800 | 85 |
МАЗ-500А + МАЗ-5243 | 14,8 | 85 | 8950 | 85 |
МАЗ-500А + МАЗ-8926 | 16 | 85 | 8950 | 85 |
КамАЗ-5320 + ГКВ-835 | 16 | 80 | 18500 | 80 |
МАЗ-500А + МАЗ-886 | 16,5 | 85 | 7850 | 85 |
Тягачи с полуприцепами |
ЗИЛ-164АН + ММЗ-584Б | 7 | 55 | 3220 | 55 |
ЗИЛ-130В + ОдАЗ-885 | 7,5 | 80 | 4375 | 80 |
КАЗ-608А + КАЗ-717 | 11,5 | 70 | 7030 | 70 |
МАЗ-200В + МАЗ-5245 | 12,5 | - | 5150 | 55 |
МАЗ-504В + МАЗ-524Б | 14 | 80 | 8700 | 85 |
КамАЗ-5410 + ОдАЗ-9370 | 14,2 | 80 | 20400 | 85 |
ЗИЛ-133В + ОдАЗ-760 | 16 | - | 10600 | 80 |
МАЗ-504В + МАЗ-5205А | 20 | 80 | 9500 | 80 |
КрАЗ-258 + ОдАЗ-740 | 23 | 68 | 12620 | 60 |
МАЗ-515В + МАЗ-941 | 25 | - | 19000 | 80 |
РАСХОД ТЕРРИТОРИИ И СТОИМОСТЬ СТРОИТЕЛЬСТВА ГРУЗОВЫХ АТП
N п/п | Условия хранения | Среднесуточный пробег, км | Площадь, м2 |
стоянки на одно место хранения | земельного участка | стоимость строительства на один автомобиль, тыс. руб. |
Списочное количество автомобилей, единиц |
100 | 150 | 200 | 300 | 500 | 800 | 100 | 150 | 200 | 300 | 500 | 800 | 100 | 150 | 200 | 300 | 500 | 800 |
1 | 2 | 3 | 4 | 5 | 6 | 7 | 8 | 9 | 10 | 11 | 12 | 13 | 14 | 15 | 16 | 17 | 18 | 19 | 20 | 21 |
| Открытый с подогревом, 50% полуприцепов | 100 | 50,5 ------ 65,0 | 50,5 ------ 65,0 | 50,4 ------ 65,0 | 50,5 ------ 65,0 | 50,5 ------ 65,0 | 50,5 ------ 65,0 | 211 | 193 | 175 | 156 | 134 | 123 | 4,93 | 4,51 | 4,08 | 3,55 | 2,91 | 2,55 |
150 | | | | | | | | | | | | | 5,27 | 4,82 | 4,36 | 3,79 | 3,11 | 2,72 |
200 | | | | | | | | | | | | | 5,61 | 5,13 | 4,64 | 4,04 | 3,31 | 2,90 |
250 | | | | | | | | | | | | | 5,89 | 5,38 | 4,87 | 4,24 | 3,47 | 3,04 |
300 | | | | | | | | | | | | | 6,17 | 5,64 | 5,10 | 4,44 | 3,64 | 3,19 |
350 | | | | | | | | | | | | | 6,33 | 5,79 | 5,24 | 4,56 | 3,74 | 3,27 |
2. | Открытый с подогревом | 100 | 50,5 | 50,5 | 50,5 | 50,5 | 50,5 | 50,5 | 183 | 168 | 152 | 136 | 117 | 107 | 4,43 | 4,05 | 3,67 | 3,19 | 2,61 | 2,29 |
150 | | | | | | | | | | | | | 4,74 | 4,33 | 3,92 | 3,41 | 2,79 | 2,44 |
200 | | | | | | | | | | | | | 5,04 | 4,61 | 4,17 | 3,63 | 2,97 | 2,60 |
250 | | | | | | | | | | | | | 5,30 | 4,84 | 4,38 | 3,81 | 3,12 | 2,73 |
300 | | | | | | | | | | | | | 5,55 | 5,07 | 4,59 | 3,99 | 3,27 | 2,87 |
350 | | | | | | | | | | | | | 5,69 | 5,21 | 4,71 | 4,10 | 3,36 | 2,94 |
| Открытый без подогрева, 50% полуприцепов | 100 | 50,5 ------ 65,0 | 50,5 ------ 65,0 | 50,5 ------ 65,0 | 50,5 ------ 65,0 | 50,5 ------ 65,0 | 50,5 ------ 65,0 | 211 | 193 | 175 | 156 | 134 | 123 | 4,53 | 4,14 | 3,75 | 3,26 | 2,67 | 2,34 |
150 | | | | | | | | | | | | | 4,84 | 4,43 | 4,01 | 3,48 | 2,86 | 2,50 |
200 | | | | | | | | | | | | | 5,16 | 4,71 | 4,26 | 3,71 | 3,04 | 2,66 |
250 | | | | | | | | | | | | | 5,41 | 4,94 | 4,48 | 3,90 | 3,19 | 2,79 |
300 | | | | | | | | | | | | | 5,67 | 5,18 | 4,69 | 4,08 | 3,34 | 2,93 |
350 | | | | | | | | | | | | | 5,82 | 5,32 | 4,82 | 4,19 | 3,44 | 3,00 |
4. | Открытый без подогрева | 100 | 50,5 | 50,5 | 50,5 | 50,5 | 50,5 | 50,5 | 183 | 168 | 152 | 136 | 117 | 107 | 4,07 | 3,72 | 3,37 | 2,93 | 2,40 | 2,10 |
150 | | | | | | | | | | | | | 4,35 | 3,98 | 3,60 | 3,13 | 2,57 | 2,25 |
200 | | | | | | | | | | | | | 4,64 | 4,23 | 3,83 | 3,33 | 2,73 | 2,39 |
250 | | | | | | | | | | | | | 4,86 | 4,44 | 4,03 | 3,51 | 2,87 | 2,51 |
300 | | | | | | | | | | | | | 5,10 | 4,66 | 4,22 | 3,67 | 3,00 | 2,63 |
350 | | | | | | | | | | | | | 5,23 | 4,78 | 4,33 | 3,77 | 3,09 | 2,70 |
5. | Закрытый | 100 | 43,0 | 43,0 | 43,0 | 43,0 | 43,0 | 43,0 | 165 | 151 | 137 | 122 | 105 | 96 | 5,08 | 4,64 | 4,20 | 3,66 | 3,00 | 2,63 |
150 | | | | | | | | | | | | | 5,43 | 4,96 | 4,49 | 3,91 | 3,20 | 2,81 |
200 | | | | | | | | | | | | | 5,79 | 5,29 | 4,79 | 4,17 | 3,41 | 3,00 |
250 | | | | | | | | | | | | | 6,07 | 5,54 | 5,02 | 4,37 | 3,58 | 3,14 |
300 | | | | | | | | | | | | | 6,36 | 5,87 | 5,26 | 4,58 | 3,75 | 3,29 |
350 | | | | | | | | | | | | | 6,54 | 5,98 | 5,41 | 4,71 | 3,82 | 3,39 |
| Частично закрытый (30%) | 100 | 50,5 ------ 43,0 | 50,5 ------ 43,0 | 50,5 ------ 43,0 | 50,5 ------ 43,0 | 50,5 ------ 43,0 | 50,5 ------ 43,0 | 165 | 151 | 137 | 122 | 105 | 96 | 4,72 | 4,31 | 3,91 | 3,40 | 2,78 | 2,44 |
150 | | | | | | | | | | | | | 5,05 | 4,62 | 4,18 | 3,64 | 2,98 | 2,62 |
200 | | | | | | | | | | | | | 5,37 | 4,91 | 4,45 | 3,87 | 3,17 | 2,78 |
250 | | | | | | | | | | | | | 5,64 | 5,15 | 4,66 | 4,06 | 3,32 | 2,92 |
300 | | | | | | | | | | | | | 5,90 | 5,39 | 4,88 | 4,25 | 3,48 | 3,06 |
350 | | | | | | | | | | | | | 6,07 | 5,54 | 5,02 | 4,37 | 3,58 | 3,14 |
| Частично закрытый (60%) | 100 | 50,5 ------ 43,0 | 50,5 ------ 43,0 | 50,5 ------ 43,0 | 50,5 ------ 43,0 | 50,5 ------ 43,0 | 50,5 ------ 43,0 | 165 | 151 | 137 | 122 | 105 | 96 | 5,00 | 4,57 | 4,14 | 3,60 | 2,95 | 2,59 |
150 | | | | | | | | | | | | | 5,35 | 4,88 | 4,42 | 3,85 | 3,15 | 2,77 |
200 | | | | | | | | | | | | | 5,68 | 5,19 | 4,70 | 4,09 | 3,35 | 2,94 |
250 | | | | | | | | | | | | | 5,97 | 5,46 | 4,94 | 4,30 | 3,52 | 3,09 |
300 | | | | | | | | | | | | | 6,25 | 5,71 | 5,17 | 4,50 | 3,69 | 3,24 |
350 | | | | | | | | | | | | | 6,43 | 5,88 | 5,32 | 4,63 | 3,79 | 3,33 |
| Закрытый, 50% полуприцепов | 100 | 43,0 ----- 55,0 | 43,0 ----- 55,0 | 43,0 ----- 55,0 | 43,0 ----- 55,0 | 43,0 ----- 55,0 | 43,0 ----- 55,0 | 189 | 174 | 157 | 140 | 120 | 111 | 5,67 | 5,18 | 4,69 | 4,08 | 3,34 | 2,93 |
150 | | | | | | | | | | | | | 6,06 | 5,53 | 5,01 | 4,36 | 3,57 | 3,13 |
200 | | | | | | | | | | | | | 6,44 | 5,89 | 5,33 | 4,64 | 3,80 | 3,34 |
250 | | | | | | | | | | | | | 6,76 | 6,18 | 5,60 | 4,87 | 3,99 | 3,50 |
300 | | | | | | | | | | | | | 7,08 | 6,47 | 5,86 | 5,10 | 4,18 | 3,67 |
350 | | | | | | | | | | | | | 7,28 | 6,65 | 6,02 | 5,24 | 4,29 | 3,77 |
Примечания: 1. В основу расчета таблицы положены следующие показатели: грузоподъемность размещаемых автомобилей 5 т, полуприцепов - до 8 т; способы расстановки: грузовых автомобилей - прямоугольная, автопоездов - косоугольная под 45° со 100% независимого выезда; изменение площади стоянки на 1 место хранения для автопоездов при прямоугольной расстановке определяется коэффициентом 1,1.
2. Площади стоянок на 1 место хранения указаны: в
поз. 1,
3 и
8 (графы 4 - 9) над чертой для одиночных автомобилей, под чертой - с полуприцепом; в
поз. 6 и
7 (графы 4 - 9) над чертой для одиночных автомобилей на открытой площадке, под чертой - в закрытом помещении.
ОПРЕДЕЛЕНИЕ НАГРУЗКИ НА ГОРОДСКОЙ ПАССАЖИРСКИЙ ТРАНСПОРТ
ОТ ПОЕЗДОК ПРИГОРОДНОГО НАСЕЛЕНИЯ
Расчет передвижений пригородного населения в город с трудовыми и культурно-бытовыми целями, а также определение нагрузки на городской пассажирский транспорт от поездок приезжего пригородного населения рекомендуется производить следующим образом:
1. На схеме пригородной зоны строятся изохронограммы доступности города-центра с учетом поездок на массовом

и немаршрутном

транспорте по средневзвешенным затратам времени
ti на передвижения пригородного населения ("от двери до двери"):
Изохронограммы строятся через 10 - 30 мин (для расчетов на I очередь при наличии материалов специальных обследований предпочтительнее принимать величину временных интервалов 10 мин).
При определении полных затрат времени следует учитывать, что время передвижения жителя пригородной зоны по территории города-центра до места назначения в крупных городах составляет приблизительно 30 - 35 мин. Среднее время ожидания подвижного состава зависит от величины интервала движения b и равно b0,7, его можно принимать в городе 5 - 10, в пригороде - 7 - 12 мин.
Доля поездок на массовом транспорте
Kм при определении величины трудовых связей пригородного населения с городом-центром может быть определена по зависимости

, аналогичной функции для определения доли владельцев, использующих легковой автомобиль для внутригородских поездок с трудовыми целями.
В каждой зоне затрат времени (между двумя изохронами) устанавливается общая численность населения и численность населения по группам поселений с примерно одинаковым количеством жителей в них, ориентировочно выявляется тяготение населения к линиям предварительно намеченной транспортной сети, численность тяготеющих групп поселений.
2. Рассчитывается распределение по зонам общего числа расселяющегося в пригороде и занятого в городе-центре населения

и объем нетрудовых центростремительных передвижений пригородного населения

:
где Ni - общая численность пригородного населения в i-й зоне средневзвешенных затрат времени;
ni - - средняя численность пригородного населенного пункта в i-й зоне;
N - численность населения города-центра;
P - количество посещений объектов культурно-бытового назначения, приходящееся на одного жителя зоны влияния, оценивается по количеству посещений жителей города-центра без учета посещений школ и дошкольных учреждений;
Tт, Tн - предельный порог затрат времени на передвижения пригородного населения в город-центр (соответственно с трудовыми и нетрудовыми целями);
ti - средние затраты времени на полное передвижение в город-центр из i-й зоны.
Общее количество занятых в городе-центре пригородных жителей Qт и общий объем прибытий в него с нетрудовыми целями Qн определяется следующим образом:
При отсутствии необходимых исходных данных для расчетов Qн можно ориентировочно рассчитывать по формуле
Коэффициент

, выражающий соотношение трудовых и нетрудовых передвижений пригородного населения в город для больших и крупных городов находится в пределах 1,2 - 1,5.
3. Нагрузка на городской маршрутный транспорт от поездок приезжего пригородного населения выражается суммой поездок пригородного населения в городе с трудовыми Пт и нетрудовыми Пн целями:
где Qт - количество прибытий пригородного населения в город-центр на работу и учебу (с учетом коэффициента повседневности, выражающего долю маятниковых мигрантов, совершающих трудовые передвижения за одни рабочие сутки в общем числе трудящихся, занятых в городе-центре и расселяющихся в пригородной зоне и составляющего в весенне-летний период для больших и крупных городов 0,7 - 0,8);
- коэффициент возвратности трудовых передвижений пригородного населения в городе-центре (1,5 - 1,7);
- коэффициент пользования внутригородским транспортом для пригородного населения при трудовых передвижениях (может быть принят на 10 - 20% ниже, чем для жителей города-центра при поездках с трудовыми целями; при отсутствии материалов обследований принимается в пределах 0,7 - 0,85 -

значение для городов

величины, а также городов, для которых объем пригородных пассажирских перевозок по железной дороге является доминирующим - здесь

может достигать даже 0,9);

- коэффициент пересадочности при поездках пригородного населения на внутригородских маршрутах (1,05 - 1,15) <1>.
--------------------------------
<1> Количественные параметры расчетных коэффициентов, входящих в формулы предлагаемой методики, определены для городов Белорусской ССР и должны быть уточнены на основании проведенных обследований при использовании их в расчете пассажиропотоков для городов других, имеющих свои специфические особенности республик, краев, областей.
Количество внутригородских поездок пригородного населения с нетрудовыми целями Пн складывается из поездок приезжих как занятых, так и не занятых на работе в городе-центре:
где Pт - внутригородская нетрудовая подвижность пригородного населения, занятого в городе-центре (рекомендуется принимать 1,5 - 1,6 передвижения на одного приезжего с трудовыми целями за сутки);
Pн - внутригородская подвижность пригородного населения, прибывающего в город-центр с нетрудовыми целями (принимается 2,6 - 2,7 передвижения на одного приезжего с нетрудовыми целями за сутки); следует учитывать, что чем крупнее город-центр, тем меньше в заданных пределах должна приниматься величина показателей Pт и Pн;

- коэффициент пересадочности при поездках на внутригородских маршрутах (аналогично коэффициенту для трудовых передвижений - 1,05 - 1,15);

- коэффициент пользования внутригородским транспортом для пригородного населения при нетрудовых передвижениях (рекомендуется оценивать по коэффициенту пользования транспортом жителей города-центра, увеличивая этот коэффициент на 15 - 25%; при отсутствии материалов обследований может быть принят в пределах 0,5 - 0,6, значение коэффициента выше для больших городов; при значительном удельном весе железнодорожных пригородных перевозок

может достигать 0,7, так как жители пригородной зоны, прибывшие в город по железной дороге, пользуются внутригородским транспортом чаще, чем прибывшие на автобусах).
Величина коэффициента пользования транспортом для пригородного населения в значительной мере зависит от планировочной структуры города, в первую очередь от размещения элементов узла внешнего транспорта города в периферийной, срединной или центральной зонах. Для перспективных расчетов необходимо дифференцировать коэффициент пользования транспортом по районам города-центра с учетом размещения в них устройств внешнего транспорта. Работа внутригородского транспорта за счет поездок населения зоны влияния города на его территории устанавливается с использованием величины средней дальности поездки, принимаемой (при отсутствии данных обследования передвижений пригородного населения в городе-центре) равной 0,7l, где l - дальность поездок жителей города.
1. Автомобилизация и проблемы градостроительства. В помощь проектировщику-градостроителю. - Киев: Будiвельник, 1975. - 108 с.
2.
Верейкин В.Е. Исследование эффективности использования светофорной сигнализации на перекрестке. - Тр. ВНИИБД МВД СССР. - М., 1979, N 4.
3. Глик Ф.Г. Прогнозирование объема передвижений пригородного населения к городу-центру. - В кн.: Город и транспорт. Комплексное развитие транспортных систем крупных городов и их зон. 4-я Ленингр. Науч.-техн. конф. М., 1979, с. 125 - 126.
4. Глик Ф.Г., Роговин А.Е. Развитие системы пассажирского транспорта в крупных городах (на примере Минска)/БелНИИП градостроительства. - М.: Стройиздат, 1977. - 99 с.
5. Голубев Г.Е. Многоуровневые транспортные узлы. - М.: Стройиздат, 1981. - 152 с.
6. Гольц Г.А. Транспорт и расселение. - М.: Наука, 1981. - 248 с.
7. Гулев Я.Ф., Лебединский П.К. Основные показатели и измерители работы транспорта. Справочник. - М.: Транспорт, 1980. - 216 с.
8. Крамар М.С. Прогнозирование транспортных потоков в регионе. - Строительство и архитектура, 1980, N 5, с. 14 - 15.
9. Кудрявцев О.К., Федутинов Ю.А., Чуверин И.И. Транспорт городских центров. - М.: Транспорт, 1978. - 110 с.
10. Методические рекомендации по проектированию и реконструкции сетей трамвайного транспорта. - Киев: Гипроград, 1980. - 29 с.
11. Методические рекомендации по проектированию транспортной сети групповых систем населенных мест/КиевНИИП градостроительства. - Киев: 1978. - 84 с.
12. Определение экономической эффективности систем городского пассажирского транспорта: Метод. пособие/ИКТП. - М.: Транспорт, 1977. - 65 с.
13. Пассажирский транспорт в пригородной зоне крупного города/Под ред. И.А. Молодых. - М.: Транспорт, 1976. - 144 с.
14. Повышение качества транспортно-планировочных решений в градостроительном проектировании: Сб. науч. тр./ЦНИИП градостроительства. Под ред. Ю.А. Ставничего. - М.: 1977. - 80 с.
15. Правдин Н.В., Негрей В.Я. Взаимодействие различных видов транспорта в узлах. - Минск: Вышейш. школа, 1977. - 295 с.
16. Проблемы комплексного развития транспортных систем городов: Тезисы докладов и сообщений Всесоюзного научно-технического семинара, Минск, 17 - 19 мая 1978 г. - Минск, 1978. - 196 с.
17. Проектирование транспортных систем в зонах влияния городов-центров систем расселения Белорусской ССР: Методические рекомендации /БелНИИП градостроительства. - Минск, 1981. - 76 с.
18. Роговин А.Е. и др. Расчет нагрузки сетей пассажирского транспорта в городах. - Минск: Изд-во БГУ, 1975. - 104 с.
| | ИС МЕГАНОРМ: примечание. В официальном тексте документа, видимо, допущена опечатка: возможно, имеется в виду Руководство по проведению транспортных обследований в городах. | |
19.
Руководство по проведению транспортных обследований/БелНИИП градостроительства, ЦНИИП градостроительства. - М.: Стройиздат, 1982. - 73 с.
20.
Руководство по проектированию городских улиц и дорог/ЦНИИП градостроительства. - М.: Стройиздат, 1980. - 222 с.
21. Руководство по регулированию дорожного движения в городах/МВД СССР, МЖКХ РСФСР. - М.: Стройиздат, 1980.
22. Самойлов Д.С. и др. Организация и безопасность городского движения. - М.: Высшая школа, 1981. - 256 с.
23. Социальные основы развития городов (социальные проблемы расселения)/КиевНИИП градостроительства; Науч. ред. Г.А. Заблоцкий. - М.: Стройиздат, 1975. - 186 с.
24. Справочник проектировщика. Градостроительство. - М.: Стройиздат, 1978. - 367 с.
25. Транспортные проблемы групповых систем населенных мест: Совместные исследования по плану научно-технического сотрудничества между СССР и ЧССР. - М.: Стройиздат, 1979. - 63 с.
26. Фатеев И.А., Пырялина Т.В. Из опыта экспертизы комплексных схем развития городского пассажирского транспорта. - Тр./ИКТП. М., 1979, вып. 73. Развитие транспортных узлов, с. 169 - 184.
27.
Фишельсон М.С. Городские пути сообщения. - М.: Высшая школа, 1980. - 292 с.
28. Хиценко В.В. Скоростной трамвай. - Л.: Стройиздат, Ленингр. отд., 1976. - 180 с.
29. Хорхот А.Я., Шаповалов Э.В., Слепцов Б.В. Опыт разработки и реализации комплексных транспортных схем городов. - Строительство и архитектура, 1981, N 3, с. 17 - 18.
30. Христюк Н.М., Крамар М.С. Проектирование транспортных систем в районной планировке. - Киев: Будiвельник, 1983. - 72 с.
31.
Христюк Н.М. Планировочная взаимосвязь транспортной инфраструктуры города и зоны его влияния. - Градостроительство: Теория и практика градостроительства. Вып. 34. Киев: Будiвельник, 1983. - с. 95 - 103.
32. Шабарова Э.В. Система пассажирского транспорта города и агломерации. - Рига: Зинатне, 1981. - 279 с.
33. Шаповалов Э.В. Прогнозирование интенсивности движения грузовых автомобилей при проектировании генеральных планов и комплексных транспортных схем городов. - Сб. научн. тр./КиевНИИП градостроительства, 1977. Вопросы совершенствования транспортных систем городов, с. 79 - 83.
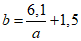
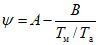
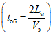
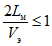
34. Якшин А.М. и др. Графоаналитический метод в градостроительных исследованиях и проектировании. - М: Стройиздат, 1979. - 204 с.