Главная // Актуальные документы // Рекомендация / РекомендацииСПРАВКА
Источник публикации
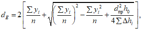
М.: Стройиздат, 1987
Примечание к документу
Название документа
"Рекомендации по использованию инженерно-геологической информации при выборе способов противокарстовой защиты"
(рекомендованы Решением ПНИИИС Госстроя СССР)
"Рекомендации по использованию инженерно-геологической информации при выборе способов противокарстовой защиты"
(рекомендованы Решением ПНИИИС Госстроя СССР)
ПО ИСПОЛЬЗОВАНИЮ ИНЖЕНЕРНО-ГЕОЛОГИЧЕСКОЙ ИНФОРМАЦИИ
ПРИ ВЫБОРЕ СПОСОБОВ ПРОТИВОКАРСТОВОЙ ЗАЩИТЫ
Рекомендованы к изданию решением Научно-технического совета ПНИИИС Госстроя СССР.
Приведен перечень видов противокарстовой защиты и условий их применения в промышленном и гражданском строительстве. Показаны характерные ошибки, встречающиеся при выборе способов противокарстовой защиты из-за недостаточного использования инженерно-геологической информации. Представлены способы учета этой информации при выборе противокарстовой защиты.
Для инженерно-технических работников, занятых инженерными изысканиями и проектированием зданий и сооружений.
Закарстованные территории занимают значительную часть территории СССР. Поэтому в связи с постоянно возрастающими объемами капитального строительства, дефицитом свободных для строительства территорий, а также существенным влиянием современной технологии на интенсивность карстовых процессов освоение закарстованных территорий в СССР является весьма актуальной народнохозяйственной задачей.
Проблема защиты зданий и сооружений от вредного влияния карста является достаточно сложной, требующей глубокого понимания природы карстового процесса, знания степени ответственности защищаемого объекта и основных его параметров. Объемы противокарстовой защиты в различных условиях могут существенно отличаться. В некоторых случаях выполнять ее нецелесообразно, в других же стоимость противокарстовых мероприятий может составлять более десяти процентов сметной стоимости проектируемого объекта.
Таким образом, проблема противокарстовой защиты является не только технической или инженерно-геологической, но и экономической.
В "Рекомендациях по проектированию зданий и сооружений в карстовых районах СССР" (М., ПНИИИС, 1967) были впервые определены сферы применения различных способов противокарстовой защиты планировочного, геотехнического и конструктивного характера, что позволило в значительной степени упорядочить выбор видов противокарстовой защиты. Однако в этих Рекомендациях не указано, каким образом следует непосредственно использовать ту или иную инженерно-геологическую информацию. Используя эти Рекомендации ввиду отсутствия нормативного документа по выбору противокарстовой защиты, многие изыскательские и проектные организации не учитывают в должной мере природу карстового процесса и необходимых его параметров при выборе противокарстовой защиты, что часто приводит к серьезным ошибкам.
Следствием этих ошибок является или недостаточная противокарстовая защита, приводящая к авариям или повреждениям зданий и сооружений под действием карстовых деформаций" или же, наоборот, их излишняя защита, которая вызывает повышение стоимости строительства. И то и другое влечет за собой существенные экономические потери.
Таким образом, решение задачи повышения эффективности инженерной защиты строящихся и эксплуатируемых объектов от вредного влияния карстовых процессов является весьма актуальным.
Под эффективностью противокарстовой защиты понимается соотношение между фактически достигнутым и нормированным в зависимости от степени ответственности сооружения и расчетного срока его службы значением определенных параметров (фактической и допустимой надежностью, величиной вероятного ущерба и капиталовложениями в противокарстовую защиту, фактическим и нормированным коэффициентом опасности полости и т.д.).
Реализация эффективных решений противокарстовой защиты возможна лишь при условии рассмотрения вопросов изысканий, оценки карстоопасности и проектирования, а также технологии строительства и эксплуатации зданий и сооружений в рамках единой системы.
Сложность природы карстового процесса и многообразие видов противокарстовой защиты требуют взаимоувязанности действий при проведении изысканий и проектировании и своевременного взаимного корректирования.
В связи с этим в настоящих Рекомендациях приведены основные сведения о природе карстового процесса с точки зрения назначения видов противокарстовой защиты и их инженерно-геологическая классификация. Эта классификация ни в коей мере не противоречит инженерно-строительной классификации, приведенной в "Рекомендациях по проектированию зданий и сооружений в карстовых районах СССР" (М., ПНИИИС, 1967). Принцип построения классификации позволяет использовать ее непосредственно как при изысканиях, так и на стадиях проектирования, строительства и эксплуатации, особенно при организации комплексной инженерной защиты.
При подготовке Рекомендаций было проанализировано большое число заключений по изысканиям в карстовых районах и проектов промышленных гражданских и транспортных объектов, расположенных на закарстованных территориях, а также зарубежные публикации по этим вопросам (ГДР, Франция, ФРГ, США и др.).
Рекомендации по использованию инженерно-геологических информаций при выборе видов противокарстовой защиты планировочного и конструктивного характера и оценке их эффективности подготовлены по материалам исследований, выполненных в основном в карстовой лаборатории ПНИИИС (г. Дзержинск).
В работе принимали участие сотрудники ПНИИИС: канд. техн. наук В.В. Толмачев (
разд. 1 -
7), канд. геол.-минерал. наук В.П. Хоменко
(разд. 2), инженеры В.Б. Сорокина
(разд. 4), О.Б. Нещеткин (
прил. 3,
4), а также инж. Г.М. Троицкий (НИИОСП) -
разд. 3,
6,
прил. 2, канд. техн. наук Ю.Д. Чертыков (Гидроспецпроект) -
прил. 1.
Рекомендации разработаны под общей редакцией канд. техн. наук В.В. Толмачева.
Замечания и предложения просим направлять по адресу: 606023, Дзержинск, Горьковская обл., ул. Маяковская, 33. Карстовая лаборатория ПНИИИС Госстроя СССР.
1.1. Настоящие Рекомендации могут быть использованы при инженерных изысканиях и проектировании объектов промышленного и гражданского строительства, расположенных на закарстованных территориях. Часть положений справедлива также при изысканиях и проектировании объектов транспортного строительства.
1.2. Рекомендации не распространяются на изыскания и проектирование гидротехнических сооружений, расположенных в карстовых районах.
1.3. В Рекомендациях отсутствует описание защиты сооружений от карстовых деформаций путем тампонажа карстовых полостей. Опыт использования инженерно-геологической информации при составлении проектов тампонажа, накопленный Гидроспецпроектом Минэнерго СССР, изложен в
прил. 1.
1.4. В рекомендациях не излагаются вопросы, связанные с методикой получения в результате инженерных изысканий инженерно-геологической информации используемой при выборе способов противокарстовой защиты.
1.5. Под противокарстовой защитой понимаются специальные инженерные решения планировочного, конструктивного, строительно-технологического, эксплуатационного, геотехнического (в том числе гидрогеологического) характера, направленные на предотвращение или уменьшение последствий вредного влияния карстового процесса, выражающегося в образовании в основании зданий и сооружений тех или иных карстовых проявлений. В дальнейшем вместо термина "здания и сооружения" будет употребляться термин "сооружения".
2. ОСНОВНЫЕ СВЕДЕНИЯ О ПРИРОДЕ КАРСТОВОГО ПРОЦЕССА
Классификация карста
2.1. При определении способов противокарстовой защиты необходимо учитывать классификацию карста и некоторые характеристики его различных типов, приведенные в табл. 1.
Тип карста | Характеристика |
1. По растворимости карстующихся пород под действием подземных вод (по литологии карстующихся пород) |
Карбонатный карст в труднорастворимых породах с подтипами: | |
в известняках и доломитах | Размеры отдельных карстовых форм, развивающихся в естественных условиях из-за растворения, практически неизменны в течение срока службы сооружения Мощности разрушенных зон и прослоев карбонатной муки крайне не выдержаны в плане. Карбонатная мука подвержена суффозионному выносу; ее несущая способность снижается при увлажнении |
в мелу | Легкая размываемость. Несущая способность значительно снижается при увлажнении. Увлажненный мел может переходить в разжиженное состояние при динамическом воздействии |
в кластических породах с карбонатным цементом | Несущая способность значительно снижается при увлажнении |
Сульфатный карст в среднерастворимых породах с подтипами: | |
в гипсах в ангидритах | Размеры карстовых форм в результате растворения пород в течение срока службы сооружений могут существенно измениться |
Хлоридный (соляной) карст в легкорастворимых породах с подтипами: | |
в каменной соли в калийной соли | Возможен катастрофический рост карстовых форм из-за растворения пород или при искусственном изменении режима подземных вод |
2. По расположению карстующихся пород |
относительно земной поверхности |
Открытый (голый) карст (непосредственно на поверхности или породы задернованы) | Наиболее опасны проявления карста на поверхности земли, как правило, в виде провалов больших размеров вследствие обрушения кровли полости |
Покрытый карст (перекрывается нерастворимыми породами) с подтипами перекрывающихся пород: | Проявление карста на поверхности земли в виде провалов, проседаний и оседаний вследствие обрушения грунтов кровли полости или прогибов грунтов кровли полости |
водонепроницаемы или полупроницаемы |
водопроницаемы | Обрушения грунтов в полости и (или) суффозии в полости и (или) трещиноватые зоны |
относительно уровня подземных вод |
В зоне аэрации В зоне постоянного водонасыщения В зонах аэрации и постоянного водонасыщения | При техногенном изменении гидрогеологического режима в течение срока службы сооружений один тип карста может переходить в другой |
относительно активной зоны основания сооружения |
В активной зоне | Снижение несущей способности карстующихся пород в основании в течение службы сооружения может иметь существенное значение. Карстовые формы опасны для сооружений |
Вне активной зоны | Карстовые формы в карстующихся породах лишь потенциально опасны (характер и степень опасности определяются по результатам изысканий) |
3. По глубине расположения потенциально опасных карстовых форм в карстующихся породах |
Глубокий карст | Карстовые формы невозможно с достаточной надежностью фиксировать современными геофизическими методами <1> |
Неглубокий карст | Карстовые формы можно фиксировать с достаточной надежностью современными геофизическими методами |
--------------------------------
<1> Современные геофизические методы позволяют фиксировать карстовые полости, расположенные на глубине примерно до 20 м.
Механизм карстовых деформаций
2.2. Под механизмом карстовых деформаций понимается совокупность рассматриваемых последовательно во времени и в пространстве процессов сдвижения горных пород над подземными карстовыми формами, размеры которых и состояние изменяются вследствие растворения, кольматации и декольматации полостей и трещиноватых зон, изменения напряженного состояния и свойств горных пород.
2.3. Механизм карстовых деформаций в значительной мере определяет выбор как самих принципов противокарстовой защиты, так и отдельных ее видов.
2.4. Механизм карстовых деформаций зависит от многих естественных и техногенных факторов. Большое влияние на него оказывают особенности региона: гидрогеологические условия, состав, растворимость, трещиноватость, физико-механические характеристики пород, изменяющиеся даже на сравнительно небольших по площади территориях.
2.5. Механизм развития карстовых полостей из-за растворения (коррозии) и эрозии горных пород в настоящее время изучен крайне недостаточно. Однако он существенным образом не влияет на механизм развития деформаций грунтов над карстовыми полостями.
2.6. Под критическим размером полости понимается ее ширина (2bк), при которой происходит частичное или полное обрушение ее кровли.
Характер деформаций кровли полости при достижении ею критической ширины 2
bк практически не зависит от глубины ее расположения (
H) при
bк <
H (рис. 1) и определяется в основном состоянием и механическими характеристиками грунтов кровли. При этом обрушение грунтов над полостью происходит с образованием сводов. При небольшой мощности кровли это проявляется в образовании наклонных трещин на приопорных участках, при достаточно большой мощности очертание сводов близко к параболе.
Рис. 1. Характер деформаций пород кровли полости
а - кровля полости сложена скальными грунтами; б - кровля
полости сложена глинистыми грунтами; в - вывал отдельных
блоков; г - обрушение консолей
1 - первичный свод в покровной толще;
2 - трещина на приопорных участках
В скальных грунтах развиваются хрупкие деформации, в глинистых - пластические деформации.
При
bк >
H очертание сводов обрушения устанавливается при необходимости экспериментальным путем. Выявлена следующая закономерность появления деформаций грунтов кровли полости: критический размер полости тем больше, чем больше мощность кровли
m и расстояния между горизонтальными трещинами

.
При этом в глинистых грунтах эта закономерность проявляется значительно слабее, чем в скальных.
2.7. Вертикальная трещиноватость пород кровли полости существенно влияет на величину критического пролета. Поэтому для прогнозирования устойчивости кровли необходимо знание точного месторасположения вертикальных трещин в кровле полости.
Следует иметь в виду, что деформации пород кровли могут проявляться в виде вывалов отдельных блоков или обрушения консолей. В большинстве случаев примерно в середине поперечного сечения полости имеется вертикальная трещина, величина раскрытия и закольматированность которой характеризуют силу трения между блоками породы и механизм обрушения кровли полости.
2.8. При выходе карстовой полости (вследствие растворения, эрозии или обрушения ее кровли) на контакт с неводонасыщенными нескальными грунтами в последних образуются своды обрушения. При определенных условиях они могут выйти на поверхность земли.
В процессе дальнейшего расширения полости в толще грунтов дискретно образуются последовательные своды (первичный, вторичный, третичный и т.д.). При этом каждый последующий свод оказывается более крутым, чем предыдущий, а очертание сводов меняется от параболического к эллиптическому.
2.9. На очертания сводов в покровных нескальных грунтах оказывает влияние также время, в течение которого происходит расширение полости в их основании. При мгновенном расширении полости (обрушение кровли, выпадение отдельных блоков) своды в грунтах оказываются более крутыми, чем при медленном росте ширины полости.
2.10. На развитие деформаций водонасыщенных песчаных грунтов, перекрывающих подземные карстовые формы или сквозные нарушения сплошности региональных или локальных водоупоров, помимо поля гравитационных сил оказывает влияние поле гидродинамических сил, которое проявляется в местах нарушения стабильного фильтрационно-гидродинамического режима. В условиях покрытого карста такое нарушение может быть вызвано внезапным проявлением гидравлических связей между ранее разобщенными горизонтами трещинно-карстовых и надкарстовых вод вследствие развития и роста подземных карстовых форм и разрушения водоупоров, представляющих собой кровлю карстовых полостей.
2.11. При определенных обстоятельствах водонасыщенный грунт может приобретать свойства вязкопластичной массы и способность к истечению через отверстия и щели. В условиях развития карстовых деформаций это явление может наблюдаться при потере грунтом несущей способности вследствие его разжижения или гидравлического разрушения подземным потоком. Процесс истечения (при отрыве частиц грунта друг от друга) аналогичен процессу истечения сухого песка; разжиженный песок принимает над сквозным нарушением в водоупоре положение естественного откоса. Воронка с углами откоса наблюдается также и на поверхности водонасыщенного песка.
При постоянной ширине полости и различной мощности зоны насыщения своды обрушения в песках как бы вытягиваются вслед за поверхностью грунтовых вод и начинают терять параболические очертания, приближаясь к эллипсовидной форме. Решающим фактором, влияющим на конфигурацию сводов обрушения, является отношение мощности зоны насыщения к ширине полости (критерий, отражающий интенсивность гидродинамического воздействия). При некоторой весьма малой величине этого отношения свод обрушения имеет очертания и параметры параболы, не отличающейся от контура свода обрушения в неводонасыщенных грунтах.
Если ширина карстовой полости, перекрытой водонасыщенными песками, становится меньше некоторой критической величины, гравитационное обрушение грунта исключается.
В этом случае в покрывающих отложениях при появлении сквозного нарушения сплошности водоупорного слоя, отделяющего трещинно-карстовые воды от надкарстовых, начинают развиваться карсто-суффозионные процессы, состоящие из: ползучего разжижения водонасыщенного песка и истечения разжиженной массы, фильтрационного разрушения, вязкопластичного истечения грунта в пределах зон фильтрационного разрушения и гравитационного обрушения грунтов зоны аэрации и насыщения.
2.12. Особенности деформаций (сдвижений) водонасыщенных грунтов в карстовые полости и в трещины показаны в табл. 2.
Таблица 2
Процессы | Явления, наблюдавшиеся при экспериментальном изучении процессов | Характер изменения параметров |
Гравитационное сдвижение водонасыщенных песков | | Свойства песка 2b | | const < H1 - var |
H2 = 0 h' < h" < h"' |
Фильтрационное сдвижение водонасыщенных песков | | 2ap - var 2a' < 2a" < 2a"' |
Вязкопластичное истечение водонасыщенного песка внутри зоны фильтрационного сдвижения | | Свойства песка - var l' < l" < l"' H2 = 0 |
Ползучее разжижение водонасыщенных песков, истечение плывуна и разрушение полости разжижения | | H2 - var 2a' < 2a" < 2a"' H2 > 0 |
| | |
1 - песчаные грунты различного гранулометрического состава; 2 - водонапорный слой со сквозными нарушениями сплошности; 3 - карстующиеся породы; 4 - зона фильтрационного сдвижения песчаного грунта; 5 - подземная полость, не заполненная водой; 6 - подземная полость, заполненная водой; 7 - полость обрушения, заполненная вышележащим грунтом; 8 - полость разжижения, заполненная вышележащим грунтом; 9 - пьезометрический напор подземных вод; 10 - уровень безнапорных подземных вод
2.13. При внезапном образовании достаточно крупного сквозного нарушения в водоупоре (обрушение кровли полости, вывалы отдельных блоков) размеры полости разжижения увеличиваются до тех пор, пока над ней не произойдет внутренний вывал грунта
(рис. 2). В результате в зоне насыщения образуется первая полость обрушения, которая быстро заполняется поступающей вверх водой. Обвальная полость постепенно разрушается, а на ее месте формируется новая, более широкая полость разжижения, которая разрушается так же, как и первая, вследствие вывала грунта внутри свода обрушения больших размеров. Таким образом, происходит последовательное скачкообразное продвижение вверх сменяющих друг друга полостей разжижения и обрушения все более крупных размеров в плане, пока очередная полость разжижения не достигнет в своей верхней части пролета, достаточного для выхода обрушения на поверхность грунтового массива. При этом уровень грунтовых вод над полостью повышается из-за восходящей фильтрации, возникающей при отжатии воды из полости вследствие заполнения ее материалом обрушения.

Рис. 2. Характер деформаций водонасыщенной толщи грунтов
при внезапном образовании крупного сквозного нарушения
в водоупоре
2.14. В процессе обрушения грунтов в нижележащие полости на всех стадиях развития карстовых деформаций в грунтовой толще происходит процесс самоликвидации полостей из-за разрыхления обрушивающихся грунтов. Степень разрыхления зависит от типа грунтов, степени их раздробленности и вертикального размера полости. Грунты с меньшей связностью и большей раздробленностью обладают меньшей степенью разрыхления. Чем меньше высота полости, в которую происходит обрушение грунтов, тем ниже коэффициент разрыхления.
2.15. Карстовые деформации по характеру их проявления на земной поверхности делятся на деформации с нарушением сплошности поверхности грунта (провалы, карстовые просадки) и без нарушения.
2.16. Провалы могут формироваться путем непосредственного выхода свода на поверхность (
рис. 3,
а) или путем вертикального сдвижения, принимая при этом круглоцилиндрическую форму (
рис. 3,
б,
в). В дальнейшем происходят оползание и уположение стенок провала с формированием воронки почти одновременно с провалом или более длительное время. Время формирования воронки зависит от состояния и свойств грунтов, характера растительности и задернованности земной поверхности, диаметра (
dпр) и видимой глубины провала (
рис. 3,
г), геоморфологических и климатических условий, степени влияния нагрузки и других антропогенных воздействий.
Рис. 3. Механизм образования карстового провала
на земной поверхности
а - непосредственный выход на поверхность; б - образование
круглоцилиндрического провала над сводом в покровных
отложениях; в - образование круглоцилиндрического провала
непосредственно над полостью в карстующихся породах;
г - расчетная схема образования круглоцилиндрического
провала
Условие предельного равновесия грунта имеет вид
(Q0 + Q) - (Cп + Fп) = 0, (1)
где Q0 - нагрузка с поверхности на цилиндр грунта ABCD весом Q;
Cп, Fп - силы сцепления и трения, возникающие по боковой поверхности цилиндра грунта.
2.17. Процесс образования проседаний (локальных оседаний) в настоящее время изучен недостаточно. Продолжительность же этого процесса составляет от нескольких дней до нескольких месяцев. Размеры проседаний в плане достигают нескольких десятков метров при относительно небольшой (до 1 - 2 м) глубине.
Проседания могут иметь два способа образования.
При сравнительно неглубоком местоположении полостей в карстующихся или покровных некарстующихся грунтах, имеющих относительно небольшой размер (
hп) по вертикали свободного от заполнителя пространства (
рис. 4,
а), или полостей разжижения (
рис. 4,
б) может происходить плавный прогиб толщин глинистых грунтов над полостями с образованием на земной поверхности проседаний с достаточно большими уклонами

.
При образовании разуплотненной зоны на сравнительно небольшой глубине, например, из-за заполнения свода равновесия грунтом при его обрушении происходит уплотнение грунта под действием собственного веса, веса вышележащих пород и внешней нагрузки (
рис. 4,
в). При этом, чем больше высота разуплотненной зоны (
Hп), тем больше глубина оседания (
h).
Рис. 4. Возможные механизмы проседаний
а - при наличии незаполненных карстовых полостей;
б - при наличии полостей разжижения;
в - при наличии разуплотненной зоны
2.18. Карстовые оседания, занимающие относительно большие по площади территории, могут иметь разный механизм образования.
При перекрытии карстовых полостей пластичными грунтами последние могут плавно прогибаться. Если полости расположены рядом, то деформации прогиба сливаются между собой, образуя на земной поверхности оседания в виде мульды
(рис. 5). Продолжительность процесса зависит от скорости расширения карстовых полостей.
Рис. 5. Возможные механизмы оседаний
а - при расположении карстовых полостей на небольшом
расстоянии друг от друга; б - при наличии суффозии 1 типа;
в - при растворении поверхности карстующихся пород;
г - при объемном растворении толщи карстующихся пород;
д - эпюра напряжений при прогибе грунтовой толщи
При определенных градиентах нисходящей фильтрации может происходить суффозионный вынос из песчаного грунта частиц заполнителя, свободно лежащих в порах скелета, не сопровождающийся деформацией скелетной структуры грунта (суффозия I типа), вследствие которого образуются разуплотненные зоны (
рис. 5,
б).
При динамическом воздействии или действии больших статических нагрузок происходит постепенное уплотнение грунтов в этих зонах с образованием на поверхности плавных оседаний. Деформации такого рода имеют тенденцию к затуханию при неизменяющихся гидрогеологических условиях и внешних воздействиях.
При интенсивном поверхностном растворении карстующихся пород может происходить неравномерное по площади снижение уровня этой поверхности, ведущее к прогибу всей толщи горных пород над эти снижением (
рис. 5,
в). Аналогичен процесс оседания и при объемном растворении толщи карстующихся пород (
рис. 5,
г)
.
Оседания, вызванные поверхностным и объемным растворением пород, имеют практически непрекращающийся характер.
На краях мульд оседаний, вызванных прогибом толщи грунтов, возникают растягивающие напряжения (
рис. 5,
д), ведущие к образованию разуплотненных зон. В таких зонах облегчаются условия инфильтрации воды в грунт и увеличивается скорость нисходящей фильтрации, которая может привести к полному разрушению скелетной структуры грунта и соответствующим деформациям (суффозия II типа).
Классификация карстовых деформаций для решения архитектурно-планировочных задач
2.19. Для микрорайонирования закарстованных территорий, используемого при решении архитектурно-планировочных задач, следует использовать классификации карстовых деформаций, приведенные в табл. 3 и
4.
Виды карстовых разрушений | Изменения механизма карстовых разрушений под влиянием техногенных факторов |
тип | подтип | статические нагрузки | динамические нагрузки | изменение уровня надкарстовых вод | изменение режима трещинно-карстовых вод |
повышение | снижение | повышение напора | снижение напора | увеличение растворяющей способности |
Обрушение полости | с выходом на поверхность --------------------------- с образованием полостей в покровных грунтах | 2 | 2 | 1 ------ 13 14 | 12 | 3 15 ------ 12 | 1 | |
Обрушение полости и суффозия II типа | восходящая фильтрация --------------------------- нисходящая фильтрация | 2 11 | 2 4 | 1 | 3 15 | 1 15 16 | 5 |
Суффозия через небольшие нарушения в водоупоре | суффозия II типа | нисходящая фильтрация -------------- восходящая фильтрация | 10 | 4 10 | 5 ------- 7 | 8 ------------------ 5 | 5 ------ 7 | |
суффозия I типа | 6 | 5 | 8 | 5 | |
Прогиб толщи | над карстовыми полостями | | 13 | | 13 | |
грунтов | над поверхностью растворения | 9 | 14 | 12 | 14 | |
над зонами объемного растворения | 6 | 15 | 15 | 15 | |
Примечание. В
табл. 3 приняты следующие цифровые обозначения: 1 - уменьшение устойчивости кровли полостей и разрушение сводов; 2 - то же, при расположении их в активной зоне основания; 3 - повышение устойчивости кровли полостей; 4 - разжижение грунтов с истечением их в полости; 5 - интенсификация разрушений; 6 - то же, с образованием оседаний; 7 - затухание разрушений с возможным переходом к суффозии I и II типа при нисходящей фильтрации; 8 - то же, с возможным переходом к суффозии II типа при восходящей фильтрации; 9 - возможен переход к обрушению полости; 10 - возможен переход к обрушению полости в сочетании с суффозией II типа; 11 - возможен переход к суффозии через небольшие нарушения в водоупоре; 12 - возможен переход к обрушению полости в сочетании с суффозией II типа при восходящей фильтрации; 13 - то же, при нисходящей фильтрации; 14 - возможен переход к суффозии II типа через небольшие нарушения в водоупоре; при нисходящей фильтрации; 15 - то же, при восходящей фильтрации; 16 - возможен переход к суффозии I типа через небольшие нарушения в водоупоре
Виды деформаций по характеру проявления их на земной поверхности | Интервалы прогнозируемых (средневероятных) параметров <1> |
диаметра | глубины | наклона бортов | скорости деформаций |
С нарушением сплошности | Дискретные | провалы | + | - | - | - |
карстовые просадки | + | + | - | - |
Без нарушений сплошности грунта | проседания | + | + | - | - |
Непрерывные | оседания | - | - | + | + |
--------------------------------
<1> Классы деформаций в зависимости от прогнозируемых параметров
пп. 2.23 -
2.26.
2.20. Механизм карстовых деформаций, происходящих в толще грунтов, в значительной степени определяет их характер при изменении природной обстановки в результате хозяйственной деятельности, которое неизбежно в той или иной мере при освоении закарстованных территорий. При составлении генпланов и проектов детальной планировки и застройки, прокладке трасс различных коммуникаций и т.п. представляется важным наличие данных по чувствительности разных частей осваиваемой территории к различным техногенным воздействиям. Тенденцию изменения параметров карстовых деформаций можно установить для конкретных инженерно-геологических и техногенных условий, лишь отчетливо представляя механизм карстовых деформаций.
2.21. При выборе статических и конструктивных схем зданий и сооружений, способов противокарстовой защиты необходимо учитывать виды деформаций в зависимости от характера их проявления на земной поверхности.
2.22. Карстовые деформации с нарушением сплошности земной поверхности целесообразно делить по их видимой глубине на провалы (h > 25 см) и карстовые просадки (h <= 25 см). При h <= 25 см здания и сооружения можно проектировать аналогично зданиям с учетом воздействия деформаций типа "уступ" в соответствии с методиками по расчету и проектированию зданий и сооружений на подрабатываемых территориях.
2.23. Карстовые деформации без нарушения сплошности земной поверхности делятся в зависимости от значения наклона бортов (
i), представляющего собой отношение разности вертикальных деформаций двух соседних точек мульды к расстоянию между ними, на
проседания (
i > 20 мм/м) и
оседания (
i <= 20 мм/м).
При проектировании зданий и сооружений на территориях, где возможны оседания, целесообразно пользоваться методикой расчета зданий и сооружений на подрабатываемых территориях с учетом характера и продолжительности карстовых оседаний. В этом случае карстовые оседания аналогично оседаниям, вызванным подработкой территорий, целесообразно разделять на четыре разновидности в зависимости от значений i, мм/м: 20 - 10, 10 - 7, 7 - 5, менее 5.
2.24. В большинстве случаев характер воздействия провалов и проседаний на сооружения во многом совпадает. Одним из основных расчетных параметров при оценке объемов конструктивной противокарстовой защиты является прогнозируемый (средневероятный) размер в плане. Поэтому целесообразно установить следующие интервалы размеров провалов и проседаний в плане (d) в зависимости от степени сложности конструктивной защиты зданий:
Размер провалов и проседаний Степень сложности конструктивной
в плане d, м: защиты растений
больше 20 ................... защита крайне затруднена или невозможна
20 - 10 ..................... затруднена
10 - 3 ...................... достаточно сложна
меньше 3 .................... не применяется или применяется
в ограниченном объеме
2.25. Карстовые просадки (неглубокие провалы) целесообразно подразделять в зависимости от глубины проседания на две разновидности: глубиной менее 5 и равной 5 - 25 см по аналогии деления просадочных грунтов на два типа просадочности.
2.26. Воздействие проседаний на здания и сооружения во многом одинаково с воздействием провалов при сравнительно большой глубине проседаний (условно
h >= 25 см) или с воздействием карстовых просадок (
h < 25 см).
Выделение территорий по видам и разновидностям карстовых деформаций производится, если имеется достаточное для их статистической обработки число.
Классификация карстопроявления для проектирования конструктивной противокарстовой защиты
2.27. При проектировании конструктивной противокарстовой защиты следует пользоваться классификацией карстопроявлений, представленной в табл. 5.
Таблица 5
Типы и виды карстопроявлений | Характеристика карстопроявлений | Взаимосвязь карстопроявлений во времени |
форма | устойчивость к разрушению в естественном состоянии | характер воздействия на фундамент | предшествующие | сопутствующие | последующие |
в разрезе | в плане |
Поверхностные | с нарушением сплошности грунта | Провалы | сводообразные | | округлая | неустойчивые | | полости | зоны разуплотнения в покрывающих породах | конические провалы |
цилиндрические | | малоустойчивые | | |
конические | | | | цилиндрические провалы ------------- сводообразные провалы | | |
карстовые просадки | | устойчивые | | полости | | |
без нарушения сплошности грунта | проседания (локальные оседания) | | овальная | | | зоны дезинтеграции в карстующихся породах | | |
оседания | | любая округлая | | | зоны разуплотнения в покрывающих породах | | |
понижения в кровле карстующихся пород | зоны разуплотнения в покрывающих породах | |
Подземные | | понижения в кровле карстующихся пород | | | | | зоны дезинтеграции в карстующихся породах | локальные и обширные оседания |
не имеющие четких границ | - |
Ослабленные зоны | разуплотнения в покровных породах | | малоустойчивые | | - | - | - |
провалы и просадки, понижения в кровле карстующихся пород, полости в покрывающих породах | локальные и обширные оседания полости в карстующихся породах |
зоны дезинтеграции в карстующихся породах | | |
ограниченные в пространстве | полости | в карстующихся породах | | любая | | | - | | зоны разуплотнения и фильтрационные разрушения в карстующихся породах |
в неводонасыщенных покрывающих породах | | любая округлая | | | зоны дезинтеграции в карстующихся породах | заполнитель полостей в карстующихся породах | зоны гравитационного сдвижения в покрывающих породах |
| в неводонасыщенных покрывающих породах | | неустойчивые | | полости в карстовых породах | зоны гравитационного сдвижения и фильтрационных разрушений в покрывающих породах | зоны фильтрационного разрушения в покрывающих породах |
зоны дезинтеграции в карстующихся породах | сводообразные и цилиндрические провалы, карстовые просадки, зоны разуплотнения в покрывающих породах |
зоны гравитационного сдвижения в покрывающих породах | | малоустойчивые | полости, зоны фильтрационных разрушений в покрывающих породах | полости в покрывающих породах |
зоны фильтрационного разрушения в покрывающих породах | | | полости в карстующихся породах |
заполнитель полостей в карстующихся породах | | любая | | зоны дезинтеграции в карстующихся породах | полости в карстующихся породах | зоны гравитационного сдвижения и фильтрационного разрушения в покрывающих породах |
2.28. Карстопроявления необходимо подразделять на поверхностные и подземные, выделяя в них группы в зависимости от границ этих проявлений: для поверхностных - с нарушением сплошности грунта на земной поверхности и без него; для подземных - не имеющие достаточно четких границ и ограниченные в пространстве. Эти данные прежде всего необходимы при планировании инженерных изысканий с целью прогнозирования возможных размеров карстопроявлений и выбора типа фундаментов.
2.29. Деление поверхностных карстопроявлений на провалы, карстовые просадки, проседания и оседания производится по тем же признакам, что и в классификации для решения архитектурно-планировочных задач. Однако в отличие от этой классификации выделение поверхностных карстопроявлений по размерам отдельных видов не имеет смысла, так как для расчета конструкций важны конкретные размеры деформаций, а не интервалы их значений.
2.30. Провалы целесообразно условно делить по их форме в разрезе на сводообразные, цилиндрические и конические. Такое деление необходимо для правильной интерпретации результатов инженерно-геологических прогнозов о возможных размерах провалов. Кроме того, эти сведения необходимы для расчета конструкций с учетом кратковременного и долговременного воздействия дискретных карстовых деформаций на сооружение.
2.31. В грунтовой толще на закарстованных территориях возникают различные ослабленные зоны, как не имеющие четких границ в пространстве, вызванные процессами объемного растворения карстующихся пород, суффозией (большей частью в песчаных грунтах), разуплотнением нескальных грунтов вследствие изменения напряженного состояния массива над карстовыми полостями, так и более или менее четко ограниченные в пространстве.
2.32. Выделенные виды карстопроявлений характеризуются различным воздействием на фундамент во времени и возможной их сменой в течение срока службы сооружений, что необходимо учитывать при проектировании оснований и фундаментов.
Оценка опасности карстопроявлений, выявленных при изысканиях
2.33. Выявленные или прогнозируемые в результате проведения инженерных изысканий карстопроявления должны быть оценены с точки зрения их опасности для проектируемых или эксплуатируемых сооружений.
Оценка опасности карстопроявлений должна учитывать величину активной зоны основания, расчетный срок службы сооружения и другие параметры.
2.34. Степень объективности оценки карстоопасности может быть различной в зависимости от полноты исходной инженерно-геологической информации.
При использовании в качестве исходной информации лишь самого факта обнаружения карстопроявлений (без определения геометрических и других параметров, характеризующих механизм их дальнейшего развития) можно оценить степень карстоопасности (табл. 6), разделив карстопроявления на опасные (вероятность появления тех или иных деформаций за срок службы сооружений равна 1) и потенциально опасные (0 - 1).
Карстопроявления | Наличие в активной зоне основания | Причины карстовых деформаций | Прогноз опасности | Дополнительные условия |
суффозия | обрушения | вид возможных деформаций | степень вероятности образования деформаций (P) |
Незаполненные и заполненные карстовые полости | + | При любых условиях | Провалы проседания | 1 | - |
Незаполненные карстовые полости | - | + | - | Провалы оседания | 0 - 1 | Вероятность увеличивается при утечках хозяйственных и откачках подземных вод, вибрационных воздействиях |
- | + | Провалы | то же | - |
Заполненные карстовые полости | - | + | + | Провалы Оседания | 0 - 1 | При потенциальной возможности выноса заполнителя из полости в течение срока службы сооружения |
Полости в покрывающей толще | При любых условиях | Провалы | 1 | - |
Трещиноватые и разрушенные зоны | + | + | - | Оседания Провалы | 0 - 1 | Вероятность образования провалов повышается при наличии незаполненных полостей вблизи участка |
+ | - | + | Проседания | то же | - |
Прослои доломитовой муки | + | При любых условиях | Проседания | 0 - 1 | Вероятность увеличивается при локальном замачивании и сосредоточенных нагрузках |
Зоны фильтрационного разрушения в покрывающих породах | При любых условиях | Провалы | 1 | - |
Зоны гравитационного сдвижения в покровных породах | + | - | - | Провалы | то же | - |
То же | - | - | - | Провалы | 0 - 1 | Вероятность увеличивается при утечках хозяйственных вод |
Погребенные (засыпанные) провалы и воронки | + | - | - | карстовые просадки (неглубокие провалы, h <= 25 см) проседания | 1 | - |
Формы, образовавшиеся в результате поверхностного растворения | При любых условиях | - | Оседания | 0 - 1 | При продолжающемся интенсивном поверхностном растворении |
Карстопроявления, образовавшиеся в результате объемного растворения | При любых условиях | + | - | Оседания | 0 - 1 | Вероятность увеличивается при динамическом воздействии и утечках хозяйственных вод |
Провалы | При любых условиях | | Повторные провалы | 0 - 1 | Участки вблизи свежих провалов также считаются опасными для строительства |
Мульды оседания | При любых условиях | | Оседания провалы | 0 - 1 | - |
Примечание. Знаками (+) и (-) обозначено соответственно наличие и отсутствие данного признака.
2.35. Более высокие уровни оценки карстоопасности предусматривают уточнение значения вероятности появления деформации (P) для потенциально опасных карстопроявлений и установления их размеров. Для выполнения такой оценки необходимо, используя методы моделирования, установить параметры, определяющие механизм карстовых деформаций.
Вероятностный способ прогнозирования локальных деформаций (провалов)
2.36. Изменение карстовых провалов, являющихся одним из основных параметров карстовых деформаций, подчинено определенным вероятностно-статистическим закономерностям, которые необходимо использовать при прогнозе.
2.37. Вероятностно-статистический метод прогноза значений диаметров карстовых провалов заключается в построении кривой их распределения и оценке статистических параметров, необходимых в дальнейшем для определения расчетного размера карстовых провалов: среднего диаметра

, дисперсии

, эмпирического среднеквадратического отклонения

, максимального значения
dmax.
2.38. Подбор теоретических кривых распределения необходимо проводить по эмпирическим графикам распределения диаметров провалов. Знание теоретического закона распределения диаметров карстовых провалов позволяет более обоснованно определять исходные данные для расчета защитных конструкций и оценки их эффективности.
На
рис. 6 приведен пример оценки эффективности противокарстовых конструкций, рассчитанных на диаметр провала 12 м. Значения надежности
Pd этих конструкций при использовании эмпирической и теоретической кривых распределения составляют соответственно 0,74 и 0,5. В данном случае эффективность запроектированных конструкций переоценена.
Рис. 6. Пример оценки эффективности противокарстовых
конструкций с использованием эмпирических (1)
и теоретических (2) кривых распределения диаметров провалов
1а - гистограмма; 2а - выровненная по нормальному закону
дифференциальная кривая; 1б и 2б - соответственно
эмпирическая и теоретическая интегральные кривые
распределения
2.39. В большинстве случаев кривые распределения диаметров провалов подчинены логарифмически нормальному распределению
(рис. 7).
Рис. 7. Логарифмическая нормальная кривая распределения
диаметров карстовых воронок (карстовый район пос. Мухтолово
Горьковской обл.)
1 - гистограмма; 2 - кривая, выровненная по закону Гаусса
Методика подбора теоретических кривых распределения по гистограммам описана в справочной и учебно-методической литературе по математической статистике и теории вероятностей. Сравнение эмпирических и теоретических кривых распределения диаметров карстовых провалов рекомендуется проводить по критерию согласия Пирсона.
2.40. На участках, однородных с точки зрения постоянства факторов, влияющих на значение диаметра карстовых провалов, кривые их распределения близки к нормальным (см.
рис. 6). При этом, чем больше учтено природных факторов, тем кривая распределения диаметров становится ближе к нормальной.
2.41. Закон распределения карстовых провалов во времени близок к закону Пуассона (закону редких событий).
Вероятность происхождения x провалов за данный промежуток времени

(2)
где e - основание натурального логарифма;

- среднее число провалов за данное время на данной площади.
При этом в расчет принимаются провалы, образования которых независимы друг от друга (образование провала в одном месте не изменяет вероятности его появления в другом); первичные провалы (вторичные и последующие в одной точке считаются за один провал - проявление одной полости).
2.42. Вероятность того, что на данной территории в заданное время не произойдет ни одного провала (x = 0), равна

(3)
Вероятность появления хотя бы одного провала на данной территории в определенное время равна
P1-n = 1 - P0. (4)
Закон распределения провалов во времени справедлив как для всей территории в целом, так и отдельных ее участков. Применительно к единице площади территории и единице времени
формула (2) будет иметь вид

(5)
где

- интенсивность карстовых провалов на единицу площади на единицу времени.
2.43. Под надежностью площадки площадью
F относительно карстовых провалов, образующихся с интенсивностью

, понимается вероятность
P0 того, что она в течение расчетного срока службы сооружения
T не будет повреждена карстовыми провалами с диаметрами, превышающими некоторый размер
d, или
P0 = e-L, (6)
где

(7)
Pd - вероятность того, что при образовании провала его диаметр не будет превышать d. Значение Pd определяется по интегральной кривой распределения диаметров провалов.
2.44. Вероятностно-статистические методы при оценке карстоопасности отдельной строительной площадки применимы при условиях:
однородности площадки с участком, для которого были определены эти параметры (относительно интенсивности провалов и их размеров);
отсутствия влияния на интенсивность провалов и величину их диаметров.
3. ПРОТИВОКАРСТОВАЯ ЗАЩИТА И УСЛОВИЯ ЕЕ ПРИМЕНЕНИЯ
3.1. Противокарстовая защита должна обеспечить: предотвращение или сведение до минимума возможности катастрофических разрушений и безопасность людей (необходимое условие); рентабельность строительства с учетом возможного экономического ущерба от карстовых явлений и расходов на специальные изыскания и противокарстовую защиту (достаточное условие).
3.2. Объем противокарстовой защиты для выполнения необходимого условия определяется в каждом конкретном случае в зависимости от прогнозируемых видов и размеров карстовых деформаций, степени взрыво- и пожароопасности производства, характера и масштаба воздействия на окружающую среду, в том числе на рядом стоящие сооружения при повреждении защищаемых объектов вследствие карстовых деформаций, количества одновременно находящихся в защищаемом здании людей, особенности технологических процессов и т.п.
Во многих случаях выполнение противокарстовой защиты для удовлетворения достаточного условия ведет к выполнению и необходимого условия.
3.3. Противокарстовая защита может быть направлена на: изменение естественного хода карстовых процессов; сохранение зданий и сооружений и обеспечение безопасности людей без воздействия на естественный ход карстового процесса; уменьшение вредного влияния хозяйственной деятельности на карстовые процессы.
Как правило, направление противокарстовой защиты следует выбирать по результатам инженерных изысканий на ранних стадиях (обобщение данных о природных условиях района, инженерно-геологическая рекогносцировка).
3.4. В зависимости от путей реализации выбранных направлений противокарстовой защиты последняя делится на типы и подтипы.
Как правило, выбор типов и подтипов противокарстовой защиты следует проводить по результатам инженерно-геологической рекогносцировки и съемки.
Способы противокарстовой защиты
/ | \
/ | \
/ | \
изменяющие ход не изменяющие ход уменьшающие вредное влияние
карстовых процессов карстовых процессов хозяйственной деятельности
Изменяющие ход карстовых процессов
/ \
/ \
/ \
уменьшающие интенсивность воздействующие на механизм
растворения деформаций
/ \ / \
/ \ / \
воздействующие воздействующие воздействующие воздействующие
на карстующиеся на покрывающие на карстующиеся на покрывающие
породы породы породы породы
| | | |
| | | |
1 - 2 3 - 4 5 - 9 10 - 15
Не изменяющие ход карстовых процессов
/ | \
/ | \
/ | \
архитектурно-планировочные конструктивные решения контроль за карстовым процессом
решения
/ \ / | \ / \
/ \ / | \ / \
рациональное рациональная прокладка статические конструкции в массиве на дневной
размещение форма линейных схемы несущих фундаментов поверхности
объектов сооружений сооружений конструкций
| | | | | | |
| | | | | | |
16 - 19 20 - 21 22 - 25 26 - 35 36 - 43 44 - 46 47 - 50
Уменьшающие вредное влияние хозяйственной деятельности
/ \
/ \
/ \
уменьшающие интенсивность воздействующие на механизм
растворения деформаций
/ \ / \
/ \ / \
уменьшающие уменьшающие ограничение изменений ограничение
водообмен агрессивность напоров и уровней динамического
вод подземных вод воздействия
| | | |
| | | |
51 - 53 54 - 55 56 - 57 58 - 59
Конкретные виды защиты, показанные цифрами на четвертом уровне, обозначают: 1 - фильтрационные завесы; 2 - осушение массива путем устройства линейных или кольцевых дренажей; 3 - регулирование поверхностного стока; 4 - увеличение площади водонепроницаемых покрытий; 5 - обрушение карстовых полостей путем трамбовки с последующей засыпкой и уплотнением образовавшегося понижения; 6 - заполнение полостей несвязными инертными материалами; 7 - заполнение полостей тампонажными растворами; 8 - закрепление трещиноватых и разрушенных зон тампонажными растворами; 9 - цементация основания, сложенного карстующимися породами, с устройством водонепроницаемой зоны со стороны движения подземных вод; 10 - инжектирование воды для искусственного образования карстово-суффозионных провалов; 11 - закрепление основания корневидными буронабивными сваями; 12 - применение армированного грунта в основании; 13 - закрепление грунта, заполняющего погребенные карстовые формы; 14 - вертикальная планировка, обеспечивающая отвод поверхностных вод от сооружений; 15 - устройство деформационных траншей вдоль стен зданий в зонах сжимающих напряжений; 16 - расположение сооружений на менее опасных участках; 17 - расположение зданий и сооружений за пределами участков обнаружения полости и поверхностных карстовых форм; 18 - ориентация сооружений в зависимости от параметров карстовых форм; 19 - регулирование плотности застройки; 20 - назначение рациональной формы сооружений; 21 - изменение высоты сооружений; 22 - прокладка трассы по наиболее безопасным участкам или пересечение опасных участков по кратчайшему направлению; 23 - дублирование и кольцевание трубопроводов на карстоопасных участках; 24 - устройство раздельного земляного полотна железных и автомобильных дорог разных направлений движения; 25 - устройство пролетных строений мостов на раздельно стоящих опорах (по направлениям движения); 26 - выбор рациональной конструктивной схемы; 27 - изменение статической схемы конструкции сооружений; 28 - назначение минимального количества температурных и деформационных швов; 29 - разрезка на укороченные отсеки; 30 - устройство дополнительных связей в каркасных конструкциях; 31 - устройство податливых соединений в стыках между блоками и панелями зданий; 32 - назначение податливой конструкции трубопроводов; 33 - усиление несущих элементов конструкций армированными обоймами, рубашками; 34 - использование горизонтальных армированных поясов, тяжей; 35 - назначение жесткой конструкции трубопроводов; 36 - монолитное или сборно-монолитное решение железобетонных фундаментов с устройством консольных выпусков; 37 - увеличение площади опирания фундаментов для уменьшения контактного давления на основание; 38 - применение фундаментов с опиранием на породы ниже зоны карстования; 39 - назначение свайных фундаментов с резервным числом сваи и ростверком, обеспечивающим их выскальзывание; 40 - применение фундаментов с горизонтальными связями; 41 - устройство фундаментов с подпругами; 42 - применение конструкции фундаментов и полов подвалов со сквозными отверстиями для ликвидации карстовых форм; 43 - применение устройств по выравниванию сооружения; 44 - устройство глубинных грунтовых марок в покровной толще пород; 45 - установка площадной и линейной сигнализации; 46 - назначение сети наблюдательных гидрогеологических скважин (уровень, скорость и направление движения подземных вод, химический состав подземных вод); 47 - контроль за оседаниями земной поверхности; 48 - наблюдение за оседанием и деформациями конструктивных элементов сооружений; 49 - визуальное наблюдение за состоянием конструкций; 50 - устройство маяков на трещинах в конструкциях; 51 - ограничение откачек трещинно-карстовых вод; 52 - устройство ливневой и промышленной канализации; 53 - предотвращение утечек промышленных стоков; 54 - запрещение сброса химически агрессивных промышленных и бытовых вод; 55 - ограничение и регулирование добычи подземных ископаемых подземным растворением пород; 56 - регулирование откачек подземных вод; 57 - ограничение утечек промышленных и хозяйственных вод в грунт; 58 - ограничение источников вибрации; 59 - ограничение взрывных работ.
3.5. В зависимости от способов реализации того или иного направления противокарстовой защиты последняя делится на виды.
Как правило, вид противокарстовой защиты определяется в результате инженерно-геологической съемки и разведки.
3.6. Условием выбора видов противокарстовой защиты является проведение тщательного анализа: основных особенностей защищаемых объектов (степень ответственности, расчетный срок службы, конструктивные решения, размеры активной зоны основания, нагрузки, технологический режим, условия строительства и эксплуатации и т.д.); инженерно-геологической обстановки, выявленной в результате инженерных изысканий (наличие или отсутствие подземных карстовых форм в активной зоне основания или за ее пределами, тип и размеры возможных карстовых деформаций в основании сооружений, механизм карстовых деформаций с учетом влияния на него возможных техногенных воздействий и т.д.).
3.7. Вид противокарстовой защиты следует выбирать путем сравнения различных вариантов и исходя из целесообразности применения в конкретных природных и строительно-эксплуатационных условиях. При составлении вариантов противокарстовой защиты рекомендуется использовать инженерно-геологическую классификацию противокарстовой защиты, представленную в виде иерархического "дерева".
Выбор вида противокарстовой защиты зависит от природных и строительно-эксплуатационных условий.
Таблица 7
Природные условия | Буквенное обозначение | Строительно-эксплуатационные условия | Буквенное обозначение |
Участки интенсивного растворения пород | А | Наличие технико-экономического обоснования с учетом сроков службы сооружения и фильтрационной завесы | а |
Наличие прогноза об изменении гидрогеологической обстановки и интенсивности карстовых процессов на прилегающих территориях | Б | В основании ответственных сооружений | б |
Неглубокое залегание карстующих пород | В | Для зданий и сооружений любых типов | в |
Водопроницаемая покрывающая толща | Г | В котлованах под фундаменты | г |
Неглубокое залегание полостей | Д | При расположении полостей вне активной зоны оснований | д |
В карбонатных породах | Е | Для ответственных зданий и сооружений | е |
В сульфатных и соляных породах при затухающем процессе растворения | Ж | При расположении трещиноватых и разрушенных пород в активной зоне оснований | ж |
При скоростях движения подземных вод, не размывающих заполнитель | З | При строительстве на незастроенных территориях | з |
При расположении полостей на глубине до 12 - 15 м | И | При специальном технико-экономическом обосновании | и |
При критических размерах полости | К | При наличии в активной зоне оснований погребенных карстовых форм | к |
При любых размерах полости и возможности карстово-суффозионных деформаций | Л | Для зданий и сооружений с жесткой конструктивной схемой | л |
При возможности карстово-суффозионных деформаций | М | Для выгнутых в плане зданий и сооружений | м |
При перекрытии карстующихся пород песчаными необводненными отложениями мощностью до 20 м | Н | В селитебных зонах при специальном технико-экономическом обосновании | н |
При оседаниях и небольших (диаметром до 5 м) провалах | О | Для ответственных технологических, городских и магистральных трубопроводов | о |
При заполнителе с низким показателем несущей способности | П | Для ответственных участков дорог | п |
При любых видах карстовых деформаций | Р | Для каркасных конструкций зданий и сооружений | р |
При крупных мульдах оседаний | С | Для зданий большой протяженностью и при изменении этажности | с |
При опасной карстовой полости свежих провалах и локальных оседаниях | Т | Для блочных и панельных зданий | т |
При старых поверхностных карстовых формах | У | Для кирпичных зданий | у |
При провалах и проседаниях | Ф | Для сооружений с небольшой площадью опирания и точечных опор | ф |
В зависимости от вида и параметров карстовых деформаций | Х | При больших нагрузках от зданий и сооружений | х |
При провалах и проседаниях значительных размеров | Ц | При регулярном контроле за состоянием здания | ц |
Для трубопроводов при провалах средним диаметром более 20 м | Ч | При закладке сети контрольных гидрорежимных скважин | ч |
Для железных и автомобильных дорог при провалах любых диаметров | Ш | На застроенных участках | ш |
При провалах диаметром более 10 м | Щ | На территориях с перспективной застройкой | щ |
При глубоком залегании карстующихся пород | Ы | При обосновании проведения взрывных работ вблизи застроенной территории | ы |
При оседаниях | Э | | |
При провалах | Ю |
При провалах и проседаниях небольших размеров | Я |
При провальных проседаниях диаметром не более размера шага колонн | |
При большой мощности покрывающей толщи | Й |
При соляном и сульфатном карсте | Ж' |
При любых типах карста | Р' |
При соляном карсте | Ж" |
Зависимость вида противокарстовой защиты от условий применения примет следующий вид (табл. 8).
Таблица 8
Вид защиты | Условия применения | Вид защиты | Условия применения |
природные | строительно-эксплуатационные | природные | строительно-эксплуатационные |
1 | А, Б, В | а | 7 | Б, К, Л | в |
2 | А, Б | б | 8 | Б, М | е |
3 | А, Г | в | 9 | В | ж |
4 | А, Г | в | 10 | Н | з |
5 | Д | в, г | 11 | В, М | и |
6 | Е, Ж, З, И | в, д | 12 | О | б |
Продолжение табл. 8
Вид защиты | Условия применения | Вид защиты | Условия применения |
природные | строительно-эксплуатационные | природные | строительно-эксплуатационные |
13 | П | к | 37 | Я | ф |
14 | Р | в | 38 | Щ | х |
15 | С | л | 39 | Ю | е |
16 | Р | в | 40 | Я | ф |
17 | Т, У | в | 41 | | р |
18 | С | м | 42 | Ф | в, ц |
19 | Ф | н | 43 | В, Я | и |
20 | Х | в | 44 | Й | е |
21 | Ц | и | 45 | Ф | е |
22 | Ч, Ш | и | 46 | М, Р | в |
23 | Щ | о | 47 | Р | е |
24 | Ф | п, и | 48 | Р | р |
25 | Ф, Ы | п, и | 49 | Р | р |
26 | Х | р | 50 | Р | в |
27 | Х | и | 51 | Ж' | ч |
28 | Ф | и | 52 | Ж' | в |
29 | С | с | 53 | Ж' | ш |
30 | С | р | 54 | Р' | щ |
31 | Э | т | 55 | Ж" | щ |
32 | Э | с | 56 | Ж' | в |
33 | Р | т | 57 | Ж' | в |
34 | Ф | у | 58 | М, Р' | в |
35 | Ю | с | 59 | М, Р' | ы |
36 | Ф | в | | | |
3.8. Противокарстовую защиту можно выполнять в следующие периоды: инженерной подготовки закарстованной территории (участка) в целом (например, осушение карстующегося массива в пределах участка путем устройства кольцевых дренажей); строительства сооружений (например, заполнение карстовых полостей в основании сооружений, устройство фундаментов и т.п.); эксплуатации объекта (например, предотвращение утечек промышленных и хозяйственных вод в грунт).
В проектах противокарстовой защиты обязательно должен быть указан период выполнения защиты, а связанная с этим разновременность затрат должна быть учтена при сравнении вариантов противокарстовой защиты в соответствии с методикой оценки эффективности хозяйственных мероприятий.
4. ХАРАКТЕРНЫЕ ОШИБКИ ПРИ ИСПОЛЬЗОВАНИИ ИНЖЕНЕРНО-ГЕОЛОГИЧЕСКОЙ ИНФОРМАЦИИ В ПРОЦЕССЕ ВЫБОРА ПРОТИВОКАРСТОВОЙ ЗАЩИТЫ
4.1. Наиболее характерные ошибки при использовании инженерно-геологической информации в процессе выбора противокарстовой защиты, выявленные при анализе отечественных и зарубежных материалов, приводят к необоснованным в инженерно-геологическом и технико-экономическом отношениях проектным решениям.
4.2. Ошибки встречаются на стадиях изысканий, проектирования, строительства и эксплуатации сооружений.
Основными причинами ошибок являются:
недостаточное знание специалистами основных закономерностей карстового процесса и влияния их на надежность сооружений;
неучет изыскателями наиболее характерных параметров сооружений при планировании работ в конкретной инженерно-геологической ситуации;
отсутствие в технических заданиях на изыскания сведений о возможных реальных вариантах противокарстовой защиты;
недостаточная согласованность действий проектных и изыскательских организаций;
неучет при изысканиях и проектировании многоаспектности опасности карста;
недостаточная разработанность методики определения некоторых параметров карстового процесса, необходимых для выбора противокарстовой защиты.
Ниже приведены характерные ошибки, встречающиеся при проектировании противокарстовой защиты.
Архитектурно-планировочные решения
1. Не учитывается вероятностный характер карстового процесса.
2. Не учитываются предварительные проработки архитектурно-планировочных решений при планировании изысканий.
3. Не применяется вариантное проектирование планировочных решений.
Расположение сооружений на наиболее безопасных территориях
4. Не проводится микрорайонирование территории, учитывающее различные аспекты карстоопасности.
5. Не выделяются участки возрастающей карстоопасности в результате техногенного воздействия при районировании закарстованных территорий.
6. Не выделяются зоны и не исследуются условия образования карстовых деформаций в результате суффозии.
7. Не учитывается направленность карстового процесса в пространстве и во времени.
Расположение зданий и сооружений за пределами опасных и потенциально опасных участков (зон расположения карстовых форм)
8. Не дается прогноз опасности обнаруженной полости, в том числе с учетом нагрузки от сооружения.
9. Не определяется безопасное расстояние от обнаруженной полости до места расположения сооружения.
10. Не оценивается несущая способность грунтов в зоне вокруг карстовых воронок.
11. Не даются указания по характеру опасности зоны вблизи полостей и поверхностных карстовых форм на период строительства и эксплуатации сооружения.
12. По результатам бурения одиночных скважин определяют отсутствие подземных карстовых форм в основании сооружений или вблизи него.
Ориентация зданий и сооружений в зависимости от размеров оседаний земной поверхности
13. Не даются размеры мульды оседания в плане.
Ограничение плотности и этажности застройки
14. Не определяются интенсивность и вероятные диаметры карстовых провалов.
Конструктивные решения
15. Субъективно выбирается расчетный размер карстовой деформации.
Выбор рациональной статистической и конструктивной (податливой, жесткой или комбинированной) схемы зданий и сооружений
16. При районировании не принимается в расчет классификация территорий по виду деформаций.
Дублирование и кольцевание трубопроводов на карстовых участках
17. Не принимается в расчет интенсивность карстовых провалов.
18. Не определяются статистические характеристики диаметров карстовых провалов (локальных оседаний).
Прокладка трасс линейных сооружений по наиболее безопасным участкам или пересечение опасных участков по минимальному направлению
Устройство раздельного земляного полотна железных и автомобильных дорог для разных направлений движения
Устройство монолитных железобетонных фундаментов (ленточных, плитных, решетчатых)
19. Не прогнозируется изменение размеров провалов и вероятности их образования под воздействием сооружения.
Устройство фундаментов уширенного опирания
20. Не учитывается, что данный вид защиты целесообразен при небольших диаметрах провалов.
Устройство фундаментов с опиранием на породы ниже зоны карстования
21. Не прогнозируется снижение несущей способности грунтов основания во времени (за период срока службы сооружения).
22. При определении глубины заложения фундаментов не учитывается расположение активной зоны основания относительно уровня залегания карстующихся пород.
23. Не предусматривается инженерно-геологический контроль за состоянием грунтов основания в период эксплуатации.
Устройство фундаментов с подпругами
24. Не учитывается, что данный вид защиты эффективен лишь при расчетном размере провала меньше шага колонн.
Применение свайных висячих фундаментов с резервным числом свай и усиленным ростверком
25. Не прогнозируются деформации грунтов по глубине.
26. Не учитываются параметры подземных карстовых проявлений.
Геотехнические решения
Устройство противофильтрационных завес на пути движения подземных вод (линейных на отдельных участках или кольцевых по контуру защищаемой территории) и осушение карстующихся пород
27. Не прогнозируется изменение активности карстового процесса на защищаемом участке после выполнения защиты.
28. Не прогнозируется изменение активности карстовых процессов на прилегающих участках.
Регулирование бытовых и промышленных стоков.
Обрушение кровли карстовых полостей трамбованием с последующим плотным заполнением воронки
29. Не учитывается, что данный вид защиты эффективен лишь при неглубоком залегании карстующихся пород.
30. Не учитывается возможность просадки заполнителя воронки обрушения.
Заполнение полостей несвязными инертными материалами
31. Не учитывается, что данный вид защиты эффективен при практически неразвивающихся полостях.
32. Не прогнозируется возможность выноса заполнителя.
Заполнение полостей тампонажными растворами
33. Перед началом работ не определяются размеры и очертания полости.
34. Задается высокая прочность материала заполнителя.
35. Не учитывается, что при незначительной прочности грунта кровли полости возможно трещинообразование.
Закрепление трещиноватых и разрушенных зон тампонажными растворами
36. Не учитывается, что данный вид защиты эффективен лишь в случае карсто-суффозионных деформаций.
Цементация основания, сложенного карстующимися породами
37. Не предусматриваются мероприятия по стабилизации несущей способности грунта во времени.
Эксплуатационные и строительные решения
Установка глубинных реперов
Геодезический контроль за оседанием земной поверхности
38. Не выявляется скорость оседаний.
Ограничение искусственного изменения гидрогеологических условий
39. Не прогнозируется изменение интенсивности карсто-суффозионных деформаций.
Снижение статических нагрузок от сооружения
40. Не учитывается, что данное мероприятие целесообразно при залегании подземных карстовых форм в активной зоне основания
Снижение динамических нагрузок и воздействий (ограничение технологической вибрации, взрывных работ, отказ или уменьшение объемов погружения свай путем забивки или вибрационного погружения)
5. ИСПОЛЬЗОВАНИЕ ИНЖЕНЕРНО-ГЕОЛОГИЧЕСКОЙ ИНФОРМАЦИИ ПРИ ВЫБОРЕ ПРОТИВОКАРСТОВОЙ ЗАЩИТЫ НА СТАДИИ ПРИНЯТИЯ АРХИТЕКТУРНО-ПЛАНИРОВОЧНЫХ РЕШЕНИЙ
Основные требования
5.1. Основным требованием к инженерно-геологической информации, получаемой в результате инженерно-геологической рекогносцировки и инженерно-геологической съемки и используемой при выполнении проектов детальной планировки и застройки жилых районов, микрорайонов и генпланов промышленных предприятий, размещаемых на закарстованных территориях, является полнота исходных данных, достаточная для создания обоснованных архитектурно-планировочных решений.
5.2. Инженерно-геологическая информация должна обеспечить многовариантность архитектурно-планировочных решений и сравнение их по степени карстоопасности. Выбор наиболее эффективного варианта позволяет установить рациональный объем и вид изысканий, выполняемых при инженерно-геологической разведке, результаты которых будут использованы при определении вида противокарстовой защиты на стадиях принятия конструктивных, геотехнических и других решений, а также при уточнении планировки выбранного варианта застройки.
Микрорайонирование закарстованной территории
5.3. Перед началом работы над проектами детальной планировки и застройки жилых районов и микрорайонов и генпланами промышленных предприятий необходимо в масштабе выполнения соответствующих проектов выполнить микрорайонирование территории застройки по ее карстоопасности.
Под микрорайонированием закарстованной территории понимается дифференцирование ее на зоны и участки по ряду признаков, характеризующих степень и характер опасности карста для зданий и сооружений за расчетный срок их службы и непосредственно определяющих инженерно-планировочные решения в соответствующих проектах.
5.4. Микрорайонирование закарстованных территорий должно базироваться на районировании территории по условиям развития карста, которое выполняется на предпроектных стадиях (районная планировка, генплан города). В результате районирования должны быть определены типы и виды карста (см.
табл. 1).
5.5. Рассматриваемая территория или отдельные ее участки должны быть соотнесены с одним из типов карста с учетом глубины залегания карстующих пород и в зависимости от:
реальных технических возможностей обнаружения подземных карстовых форм в карстующихся породах (карст глубокий или неглубокий);
преобладающих размеров активной зоны сооружений (карстующиеся породы залегают в активной зоне основания сооружений или за ее пределами).
5.6. Выделение зон при микрорайонировании должно проводиться по двум группам признаков:
характеристикам потенциальных карстовых деформаций земной поверхности (оснований сооружений) - А;
характеру и степени чувствительности карстового процесса к различным техногенным воздействиям (см.
табл. 3) - Б.
5.7. Внутри зон выделяются участки наличия (отсутствия) с разной степенью опасности выявленных в результате изысканий карстовых форм (группа признаков В).
5.8. Группу А составляют следующие характеристики деформаций земной поверхности (оснований сооружений):
I. Вид.
II. Разновидность по механизму образования.
III. Интенсивность.
IV. Основные размеры.
5.9. В зависимости от вида (см.
табл. 3,
4) деформаций (признак А.I) выделяются зоны, в которых прогнозируется образование: деформаций земной поверхности (оснований сооружений), имеющих дискретный характер (провалы, просадки, проседания); оседаний (мульд); оседаний и дискретных деформаций.
Выделение зон по виду деформаций необходимо для предварительной ориентации проектировщика при обосновании рациональной схемы функционального зонирования территории и выбора принципиального вида конструктивной защиты. Например, в зонах провалов при конструктивной защите зданий и сооружений предпочтение следует отдавать главным образом жесткой конструктивной схеме зданий, в зонах же оседаний - податливой.
Если имеются достаточные статистические данные отдельно по провалам, карстовым просадкам (неглубоким провалам), проседаниям, то целесообразно внутри деформаций зон земной поверхности выделять соответствующие подзоны.
5.10. В зависимости от механизма образования карстовых деформаций (признак А.II) выделяются зоны с развитием карсто-обвальных, карсто-суффозионных и карсто-обвально-суффозионных дискретных деформаций, оседаний вследствие прогиба толщи пород над карстовыми полостями, развития суффозии (с выделением, если представляется возможность, подзон в зависимости от различных механизмов суффозии), поверхностного или объемного растворения карстующих пород.
Выделение этих зон необходимо для прогноза размеров карстовых деформаций, степени опасности обнаруженных карстовых полостей, оценки степени влияния техногенного воздействия, установления параметров проектирования противокарстовой защиты, направленной на уменьшение техногенного воздействия (ограничение откачек подземных и инфильтрации бытовых и производственных вод в грунт, ограничений динамических воздействий при строительстве и эксплуатации зданий и сооружений и т.д.).
5.11. Для количественной оценки карстоопасности необходимо знать интенсивность карстовых деформаций (признак А.III).
Для зон с дискретными деформациями (признак А.III
Д) общепринятым показателем интенсивности является среднегодовое число деформаций на 1 км
2 в год

. Этот параметр может быть определен для отдельных участков в результате натурных наблюдений или соответствующих расчетов с учетом комплекса природных факторов. Для определения надежности вариантов застройки и отдельных сооружений рекомендуется дифференцировать выделенный участок по показателю интенсивности провалов с учетом неравномерности их распределения, ориентации и направления провального процесса (
прил. 3 и
4).
Интенсивность оседаний (признак А.IIIО) характеризуется скоростью перемещения земной поверхности по вертикали v. В зависимости от величины v решается вопрос о принципе защиты зданий и сооружений на участках оседаний. Рекомендуется выделять зоны с малыми (v <= 10 мм/год) и большими оседаниями (v > 10 мм/год).
Если в первом случае достаточна конструктивная защита, аналогичная для зданий на подрабатываемых территориях, то во втором - конструктивная защита зданий является целесообразной лишь при выполнении защиты геотехнического характера, которая позволила бы уменьшить скорость оседаний.
5.12. В зависимости от прогнозируемых на основе геомеханических или стохастических моделей размеров карстовых деформаций земной поверхности (признак А.IV) закарстованную территорию необходимо делить на зоны, соответствующие определенным классам значений размеров карстовых деформаций.
Такое деление позволяет выбрать принципы конструктивной защиты в различных зонах. Для зон с карстовыми провалами представляется возможность, используя методику определения расчетного размера карстовых провалов (см.
разд. 6), ориентировочно оценить необходимость и объем конструктивной противокарстовой защиты.
На
рис. 8 в качестве примера показаны результаты определения значений размеров карстовых провалов
lp, на которые должны рассчитываться фундаменты для зон с определенными классами показателей (менее или равно 0,01; 0,01 - 0,05 - 0,1; 0,1 - 1 провалов/км
2 в год) и прогнозируемых диаметров провалов (менее или равно 3 - 10, 10 - 20 и более 20 м), на которых располагаются здания размером в плане 70 x 90 м с расчетным сроком службы
T, равным 50 - 150 лет.
Рис. 8. Пример определения условий одинаковой
надежности зданий с различным сроком службы
Зависимости, представленные на
рис. 8, позволяют определить объем противокарстовой защиты и условия одинаковой надежности зданий с различным сроком службы, располагаемых в разных зонах, отличающихся как по интенсивности провалов, так и по прогнозируемым диаметрам карстовых провалов. Так, для зданий с расчетным сроком службы 50, 100 и 150 лет, расположенных на территории с

провалов на 1 км
2 в год и прогнозируемым (средневероятным)
d = 20 м, одинаковая надежность обеспечивается при
lp = 7,5; 11 и 13,5 м соответственно. Из этого примера видно также, что для зданий со сроком службы 100 лет, расположенных на территории с

провалов/км
2 в год, и
d = 10 м проектировать специальные фундаменты нет необходимости.
5.13. Выделение подзон в зависимости от глубины карстовых просадок (неглубоких провалов) или наклонов мульд оседаний позволяет выполнять противокарстовую конструктивную защиту в соответствии с руководством по проектированию зданий и сооружений на просадочных грунтах или на подрабатываемых территориях.
5.14. При микрорайонировании закарстованных территорий на основе признаков группы Б целесообразно прежде всего выделять зоны с различной чувствительностью карстового процесса к техногенному изменению гидрогеологических условий (откачка подземных вод, повышение уровней подземных вод разных горизонтов и т.п.). При этом выделяются зоны с изменением интенсивности деформаций (признак Б.I) и их размеров (признак Б.II). Эти изменения могут быть связаны с такими явлениями, как увеличение или уменьшение скорости растворения карстующихся пород, вынос заполнителя из карстовых полостей, усиление или ослабление процессов суффозии, включая возможность разжижения грунтов, увеличение или уменьшение давления на кровлю карстовых полостей.
5.15. На основе анализа конкретной инженерно-геологической и гидрогеологической обстановки выделяются зоны, в которых в результате того или иного техногенного воздействия на карстовый процесс интенсивность деформаций (признак Б.I) и их размеры (признак Б.II) увеличиваются, уменьшаются или практически не изменяются.
В зависимости от различного сочетания значений признаков Б.I и Б.II возможно получить девять зон.
Выделение таких зон на основе качественного прогноза окажет положительное влияние на выбор защиты с учетом реального техногенного воздействия.
5.16. Для выделения участков по выявленным в результате изысканий подземным и поверхностным карстовым формам (группа признаков В) необходимо оценить степень их опасности (см.
табл. 6).
При этом степень опасности выявленных потенциально опасных карстовых форм при составлении проектов планировки, как правило, количественно не оценивается. Такая оценка может потребоваться на более поздних стадиях изысканий при выборе противокарстовой защиты для конкретных сооружений. Исключение составляет случай, когда та или иная выявленная карстовая форма принципиально влияет на всю планировку.
Методика оценки степени опасности отдельных карстовых форм заключается в моделировании в лабораторных условиях процесса их развития.
5.17. Основанный на результатах изысканий прогноз отсутствия подземных карстовых форм на изучаемом участке позволяет сделать вывод о его безопасности.
Достоверность прогноза зависит от учета таких дополнительных факторов, как тип зоны, выделенной при микрорайонировании, информативность метода изысканий (бурение, бурение с каротажем, наземные геофизические методы и т.д.), особенность геологического строения и состояние карстующихся пород.
Данные (хотя и неполные) о наличии или отсутствии карстовых форм самым непосредственным образом влияют на принятие планировочных решений, при этом тем в большей степени, чем больший объем изысканий осуществлен. В связи с этим все обнаруженные в результате изысканий карстовые формы, а также участки (точки), где подземные карстовые формы не зафиксированы, должны иметь координатную привязку.
Контуры поверхностных карстовых форм должны быть сняты инструментально и с соответствующей точностью нанесены на карты и планы. Их местоположение в плане непосредственным образом должно использоваться при размещении сооружений. Так, например, при невозможности вынесения застройки за пределы мульды оседания здания предпочтительнее располагать вдоль мульды, нежели поперек.
5.18. Значения всех признаков показываются на нескольких или одной (синтетической) карте микрорайонирования. Выделенные на ней зоны и участки имеют полную характеристику для последующего выполнения противокарстовой защиты различных видов (ограничительные мероприятия по планировке, строительству и эксплуатации, конструктивной защите, геотехнические мероприятия).
Учет данных по интенсивности и диаметрам карстовых провалов при составлении проектов планировки
5.19. Значения показателя интенсивности карстовых провалов

, средние (прогнозируемые) диаметры
d, а также максимальные диаметры
dmax возможных провалов должны определяться в результате изысканий, проводимых для составления проектов планировки.
5.20. Значения средних и максимальных диаметров карстовых провалов в различных зонах осваиваемой территории определяются путем построения гистограмм, теоретических кривых распределения диаметров и определения среднеарифметического и среднеквадратического отклонения.
При отсутствии достаточного количества данных для построения кривых распределения диаметров провалов в отдельных зонах территории рекомендуется использовать кривые распределения диаметров провалов, построенные для других участков данного закарстованного района, аналогичных по условиям, определяющим размеры карстовых провалов.
5.21. Если прогноз диаметров возможных провалов вероятностно-статистическими методами не может быть выполнен, то рекомендуется использовать экспериментальные и расчетно-детерминистические методы (см.
разд. 2).
5.22. По значениям

,
di,
dmax на карте выделяются зоны с равными значениями соответствующих параметров
(рис. 9), что позволяет оценивать степень надежности застройки на закарстованных территориях.
Рис. 9. Варианты планировочных решений застройки
микрорайона с учетом показателя интенсивности
и диаметров карстовых провалов
5.23. Под надежностью комплекса зданий и сооружений с расчетным сроком службы
T, расположенного на закарстованной территории площадью
S, характеризующейся показателем интенсивности провалов

и кривой распределения диаметров провалов с параметрами распределения

и
dmax понимается вероятность, равная
где Pс - вероятность нахождения одного из зданий (сооружений) рассматриваемого комплекса в зоне влияния карстового провала за время T

(9)
где
Fз - площадь застройки;
F0 - площадь участков между сооружениями и линией, очерченной на расстоянии

от контура сооружений
(рис. 10);

(10)
Рис. 10. Расчетная схема определения
надежности комплекса застройки
5.24. Если зоны характеризуются лишь одним расчетным диаметром d, то

(11)
где

- площадь участков вокруг зданий и сооружений, очерченная на расстоянии
d/2 от их контура.
5.25. Надежность для конкретных вариантов застройки закарстованной территории с площадями, различающимися по интенсивности провалов (
n зон с интенсивностью

), диаметрам провалов (
m зон с диаметрами провалов
dj и
dmaxj), определяется в такой последовательности.
Вначале находим средневзвешенное значение

:

(12)
где
T - срок службы большинства зданий комплекса застройки:

;
Ta - срок службы сооружений, отличающийся от T;

- площадь застройки сооружений со сроком службы
Ta;
Fa - площадь участков между линией сооружений со сроком службы
Ta и линией, очерченной на расстоянии

от контура сооружений;
r - число сооружений с расчетным сроком службы, отличающимся от T.

(13)
На основе расчета надежности подбираются наиболее рациональные варианты застройки. Например, из трех вариантов застройки, показанных на
рис. 9 (при

,

,

,
d1 = 12,
d2 = 15 и
d3 = 18 м), значения надежности соответственно для I, II и III вариантов застройки оказались равными 0,41; 0,38; 0,48. Таким образом, вариант III является наиболее надежным.
Определение надежности варианта застройки, в котором сооружения запроектированы с противокарстовой защитой на расчетный пролет
c, производится по
формуле (8). При этом в случае применимости
формулы (9) справедливо выражение

(14)

(15)
где

- вероятность образования провала диаметром не более
c, определяемая по интегральной кривой распределения диаметров провалов
(рис. 11);

- вероятность попадания в зону образования провала сооружения размером не более
c на площади
Fз +
F0, определяемая по интегральной кривой распространения параметра
l, методика построения которой изложена в
разд. 6.
Рис. 11. Интегральные кривые распределения
диаметров провалов d и параметра l
6. ОПРЕДЕЛЕНИЕ РАСЧЕТНОГО РАЗМЕРА КАРСТОВОГО ПРОВАЛА ДЛЯ ПРОЕКТИРОВАНИЯ ФУНДАМЕНТОВ
6.1. Размер карстовых провалов в плане l является основным параметром при расчете фундаментов. Для большинства зданий именно этот размер в наибольшей степени определяет объем и стоимость конструктивной защиты.
6.2. В условиях покрытого глубокого карста при залегании карстующих пород за пределами активной зоны расчетный размер карстового провала рекомендуется определять на основе вероятностного подхода, рассматривая размеры карстовых провалов и параметры проектируемого инженерного сооружения в рамках одной системы.
6.3. Исходными данными для определения расчетного размера карстового провала в плане являются следующие:
показатель интенсивности карстовых провалов

;
среднее или прогнозируемое расчетное значение диаметра карстового провала

;
максимальное значение диаметра провалов
dmax, определяемое как

(при нормальном законе распределения диаметров) или по

(при логарифмически нормальном законе распределения), где

и

- соответственно среднеквадратическое отклонение диаметров и логарифмов диаметров,

- математическое ожидание lg
d;
расчетный срок службы сооружения T;
размеры и очертания фундамента в плане;
степень ответственности объекта.
При этом следует иметь в виду, что значение
dmax, полученное по кривым распределения, должно иметь инженерно-геологическое обоснование, составленное с учетом выявленных закономерностей формирования провальной воронки (см.
разд. 2).
6.4. Расчетный размер карстового провала рекомендуется определять в такой последовательности:
построение кривой распределения размера l провала при условии образования его под фундаментом;
определение условной вероятности образования провала под фундаментом при условии, что провал произойдет;
определение безусловной вероятности образования провала под фундаментом;
назначение допустимого значения надежности фундамента;
определение расчетного пролета фундамента над провалом.
6.5. Распределение линейных размеров карстовых провалов при попадании их под фундамент рекомендуется находить методом статистических испытаний.
6.6. При небольшом объеме возможно проведение статистических испытаний вручную
(рис. 12) в такой последовательности.
Рис. 12. Пример расчетной схемы определения распределения
размеров провалов под фундаментом
- координаты вероятных провалов
в пределах x <= X, y <= Y
Задаются тройки случайных чисел [x, y, d], где x, y - центры возможных провалов. Их значения берутся по таблицам случайных чисел: для x и y используются таблицы равномерно распределенных, а для d - нормально распределенных случайных чисел, если распределение d подчинено нормальному закону. Если распределение диаметров провалов подчинено логарифмически нормальному закону, то по таблицам случайных нормально распределенных чисел определяются значения lgd, а затем соответствующие значения d. Если же распределение d не установлено, то случайное значение d определяется в соответствии с гистограммой распределения диаметров провалов по "урновой схеме без возвращения".
Для этого в урну закладывают одинаковые по форме жетоны (шары) с номерами интервалов в соответствии с гистограммой распределения
d. Затем вынимают любой жетон, по которому определяют значение диаметра, соответствующее номеру интервала, указанному на жетоне, и графически находят значение
l (рис. 13). После этого жетон снова опускают в урну, и процедура повторяется. Как показал опыт практического использования метода статистических испытаний по выявлению функции
P(
l), число значений
l для статистической обработки должно быть не менее 100. При этом в расчет принимают лишь те провалы, которые попадают под подошву фундамента.
Рис. 13. Функция распределения параметра l
1 - интегральная кривая; 2 - выровненная
дифференциальная кривая; 3 - гистограмма
По результатам статистических испытаний строят гистограмму распределения и выровненные дифференциальную и интегральную кривые распределения P(l).
6.7. Условную вероятность образования карстового провала под фундаментом при условии, что провал произойдет, определяют в такой последовательности (см.
рис. 12).
Вычисляют условную вероятность попадания под фундамент провала при образовании его в зоне вокруг сооружения по формулам:
при распределении диаметров провалов по нормальному закону

(16)
при распределении диаметров провалов по логарифмически нормальному закону

(17)
при неустановленном виде распределения диаметров провалов значение

находят методом статистических испытаний.
Затем определяют условную вероятность попадания под фундамент провала при образовании его в зоне одного из отсеков плана фундамента размерами a1 и b1 (a1 < b1):

(18)
где

- среднее значение диаметров провалов в интервале от 0 до
a1 (рис. 14);

- вероятность образования провалов до
a1.
Рис. 14. Интегральная кривая
распределения диаметров провалов
Аналогично вычисляют вероятность

попадания под фундамент провала при образовании его в соседнем,
j-том отсеке размерами
aj и
bj - (без учета части фундамента, общей с первым отсеком).
Общую условную вероятность попадания под фундамент провала при образовании его в контуре сооружения и зон около него (на площади F) определяют по формуле

(19)
где n - количество отсеков;
F1 - площадь в пределах контура 1-го отсека фундамента;
Fкj - площадь в пределах контура j-го отсека фундамента;
F - площадь, определяемая по формуле

(20)
6.8. Вероятность непоражения площади
F, расположенной на территории с интенсивностью провалов

, за срок службы сооружения
T определяют как

(21)
6.9. Безусловная вероятность образования провала под фундаментом составит
PF = (1 - P0)Pf. (22)
6.10. Вероятность того, что размер провала под фундаментом будет меньше l, примет вид

(23)
Минимально допустимое значение надежности [P] назначается в зависимости от степени ответственности объекта.
Для зданий и сооружений с чисто экономической ответственностью значение [
P] необходимо определять по минимуму приведенных затрат (см.
разд. 7).
Для зданий и сооружений, повреждения которых имеют социально-экономические последствия, нормированное значение должно быть не менее 0,95.
6.11. Используя интегральную кривую распределения
l по значению

, находится расчетное значение деформации фундамента
lp (см.
рис. 13).
Если [P] + PF <= 1, то lp = 0, т.е. для обеспечения заданной надежности [P] противокарстовая защита не требуется.
7. ОЦЕНКА ЭФФЕКТИВНОСТИ ПРОТИВОКАРСТОВОЙ ЗАЩИТЫ
7.1. Термин "эффективность противокарстовых мероприятий" объединяет два взаимосвязанных понятия: "инженерно-геологическая" и "экономическая" эффективность.
Инженерно-геологическая эффективность противокарстовой защиты характеризует ее способность повысить надежность, уменьшить возможный размер карстового провала и вероятный ущерб независимо от технико-экономических условий.
Инженерно-геологическую эффективность противокарстовой защиты не всегда удается выразить количественно. Однако и качественная оценка инженерно-геологической эффективности позволяет достаточно объективно назначать принципиально возможные варианты противокарстовой защиты.
Например, устройство оповестительной глубинной точечной сигнализации над обнаруженной карстовой полостью для здания с небольшой площадью опирания в плане является достаточно эффективным средством для обеспечения безопасности людей защищаемого здания. Устройство же такой сигнализации в условиях неопределенности местоположения карстовых полостей в основании сооружений с большой площадью опирания или линейных сооружений будет малоэффективно.
7.2. В отчеты по инженерно-геологическим изысканиям на основании изучения закономерностей карстового процесса на участке строительства необходимо включать возможные варианты противокарстовой защиты с оценкой инженерно-геологической эффективности каждого из них. Это позволит проектировщикам выбрать конкурентоспособные варианты, реализация которых будет отвечать конкретным условиям строительства и эксплуатации защищаемого сооружения.
7.3. Под экономической эффективностью противокарстовой защиты понимается отношение параметра, характеризующего результат, достигнутый благодаря выполнению противокарстовой защиты (надежность, сокращение вероятного ущерба) к ее стоимости, выражаемой соответственно показателем эффективности и абсолютной эффективностью.
7.4. Показателем эффективности противокарстовой защиты является отношение приращения надежности (в процентах или долях единицы) благодаря выполнению противокарстовой защиты к стоимости C по сравнению с существующей или достигнутой надежностью при использовании других видов противокарстовой защиты

(24)
При этом значение надежности для конструктивных видов противокарстовой защиты определяется по формуле

(25)
а для принятия архитектурно-планировочных решений - по
формуле (8). Вычисляя значение
W для различных видов противокарстовой защиты, можно определить их рациональный комплекс.
Используя показатель эффективности противокарстовой защиты, вычисляют следующие параметры, необходимые при проектировании: расчетный размер карстового провала, оптимальную плотность застройки. Так, в примере, показанном на
рис. 15, видно, что эффективность проектирования противокарстовых фундаментов, рассчитанных на пролет
l >= 12 м, весьма незначительна.
Рис. 15. Пример зависимости коэффициента эффективности
противокарстовых фундаментов от расчетного пролета lp
7.5. Абсолютную эффективность противокарстовой защиты рекомендуется определять по формуле

(26)
где в числителе показан вероятный ущерб от карстовых деформаций с учетом отдаления его во времени, который может быть предотвращен путем проведения противокарстовой защиты стоимостью C; U - ущерб от повреждения защищаемого объекта карстовыми деформациями.
Величина U представляет собой
U = A + V, (27)
где A - стоимость восстановительных работ; V - народнохозяйственные потери, связанные с постоянным или временным прекращением или затруднением эксплуатации объекта; Kпр - коэффициент приведения отдаленных во времени затрат, учитывающих образование ущерба в течение расчетного срока службы сооружения T.
Величину Kпр определяем по формуле

(28)
где Eн.п - норматив для приведения разновременных затрат, принимаемый в настоящее время равным 0,08.
7.6. Сравнение вариантов противокарстовой защиты производится по приведенным затратам (сравнительная эффективность) по формуле
P =
C + (1 -
P)
UKпр. (29)
Первый и второй члены в
формуле (29) взаимосвязаны. С увеличением стоимости противокарстовой защиты
C увеличивается надежность
P защищаемого объекта
(рис. 16) и, следовательно, уменьшается вероятный ущерб. Это позволяет по суммарной кривой находить минимум приведенных затрат, которому соответствуют оптимальная надежность
Pопт и оптимальный объем противокарстовой защиты
Cопт.
Рис. 16. Определение допустимой надежности
по минимуму приведенных затрат
1 - стоимость противокарстовой защиты;
2 - вероятный ущерб; 3 - приведенные затраты
Для объектов с чисто экономической ответственностью минимально допустимая надежность [P] = P.
ИСПОЛЬЗОВАНИЕ ИНЖЕНЕРНО-ГЕОЛОГИЧЕСКОЙ ИНФОРМАЦИИ
ПРИ СОСТАВЛЕНИИ ПРОЕКТОВ ТАМПОНАЖА КАРСТОВЫХ ПОЛОСТЕЙ
(ОПЫТ ИНСТИТУТА ГИДРОСПЕЦПРОЕКТ)
Тампонаж заключается в нагнетании через буровые скважины в карстовые полости и закарстованные зоны тампонажного (инъекционного) раствора, который через определенное время твердеет и превращается в прочный и нерастворимый материал (тампонажный камень), заполняющий открытые карстовые полости, каверны и крупные трещины в породах.
Для выполнения тампонажа необходимы следующие сведения о грунтах, залегающих в основании сооружений: тип и разновидность, мощность, отметки подошвы и кровли пород и физико-механические характеристики отдельных слоев.
Пробы следует брать из зон, не нарушенных карстовыми процессами. На основании данных о геолого-литологическом строении участка можно установить:
вид бурения (колонковое, роторное, ударно-канатное); тип промывочной жидкости, ее состав, расход на 1 м бурения и общее количество на весь объем бурения; расход материалов (воды, бентонитовой глины и добавок) на приготовление промывочной жидкости; количество сменяемых диаметров труб; глубину обсадки скважин, необходимое количество обсадных извлекаемых труб и неизвлекаемых труб-кондукторов, которыми оборудуют скважины после окончания бурения в нескальных грунтах; расход истирающих материалов на бурение; категорию пород по буримости для выбранного вида бурения; стоимость бурения и связанных с ним вспомогательных работ.
Помимо сведений о грунтах необходимы следующие данные о гидрогеологических условиях: уровень карстовых и надкарстовых вод на период производства тампонажных работ; количество горизонтов грунтовых вод; сведения о напоре и химическом составе карстовых и надкарстовых вод; температура воды в зоне развития карста; направление движения потока и его градиенты в пределах площадки тампонажных работ; коэффициент фильтрации обводненных пород.
Эти данные позволяют оценить агрессивность грунтовых вод к тампонажному камню, возможность размыва его до начала схватывания и, следовательно, выбирать тип цемента, состав тампонажного раствора, последовательность бурения и отработки скважин. Например, в условиях сульфатной агрессии необходимо применять сульфатостойкий портландцемент. При больших скоростях фильтрации целесообразно со стороны потока устраивать цементную завесу, под защитой которой выполнять основные тампонажные работы, а в состав раствора желательно вводить ускорители схватывания, например жидкое стекло. Температурный режим подземных вод в зоне тампонажа имеет значение при выборе интервала между циклами бурения и нагнетания раствора, поскольку при низких положительных температурах сроки схватывания тампонажного раствора удлиняются. Кроме того, на сроки схватывания тампонажного раствора оказывает влияние химический состав грунтовых вод.
Для принятия обоснованного решения по тампонажу карстовых зон основными данными о характере закарстованности пород являются: тип карста; механизм карстовых деформаций: скорость растворения карстующихся пород; мощность закарстованной зоны; размеры и формы карстовых полостей в плане и по высоте; количество карстовых полостей по всей площади тампонажных работ; пространственное положение карстовых полостей и их связь с тектоническими условиями; ярусность (этажность) карстовых полостей; состав заполнителя полостей, его физико-механические характеристики, а также степень заполнения; наличие полостей вблизи площадки тампонажных работ.
Сведения о типе карста по литологии карстующих пород (карбонатный, сульфатный, соляной) позволяют прогнозировать развитие карста, на основании чего принимается решение о необходимости выполнения тампонажных работ и их объеме. Например, для карбонатного карста при появлении деформации вследствие обрушения кровли полостей достаточно обнаружить и заполнить крупные карстовые полости, представляющие опасность для устойчивости сооружений. Малые же полости, каналы и трещины можно не тампонировать, если не требуется уменьшить водопроницаемость пород основания сооружения. Для сульфатного и соляного карста недостаточно только обнаружить и ликвидировать крупные полости с неустойчивыми кровлями. Здесь необходимо затампонировать и мелкие полости убрать, чтобы уменьшить водопроницаемость закарстованного массива пород и тем самым максимально замедлить карстовый процесс.
Данные по глубине развития и мощности зоны карста позволяют обоснованно назначать глубину тампонажных скважин. Обычно зона развития карста в сульфатных и галогенных породах составляет 5 - 15 м. Трещин в массиве пород мало, и их можно быстро ликвидировать вторичным гипсом или солью. Основное развитие карста происходит в кровле пород на контакте с рыхлыми, обладающими хорошей водопроницаемостью породами.
В карбонатных скальных породах трещиноватость более развита, ликвидация трещин происходит медленнее, поэтому карст может развиваться по всей толще пород, хотя интенсивность его на контакте с покровными отложениями выше, чем в остальной толще пород. В связи с этим при карбонатном или смешанном типе карста тампонаж следует проводить по всей толще карстующихся пород.
Данные по размерам карстовых полостей в плане и по высоте, их общему количеству в пределах участка, если это представляет опасность для устойчивости зданий и сооружений, дают основание правильно наметить сетку тампонажных скважин, охватывающую полости.
Кроме этого, данные позволяют достаточно точно определить объем заполнения каждой скважины и всего участка, выбрать тип инъекционного оборудования и его количество. Наличие достоверных сведений о характере заполнителя карстовых полостей дает возможность наметить состав тампонажого раствора, определить оптимальную технологию тампонажных работ (способ нагнетания раствора, давление, длительность нагнетания и т.п.). Например, в условиях необводненных карстующихся пород можно применять любые тампонажные растворы: цементно-песчаные, цементно-глинистые, цементно-песчано-глинистые. Если же полости заполнены водой, то целесообразно использовать более стабильные растворы, например, цементно-глинистые или цементно-песчано-глинистые, так как они не расслаиваются при попадании в воду. При наличии в полостях рыхлого заполнителя в отдельных случаях бывает оправдано применение более дорогих чисто цементных растворов, а нагнетание их следует проводить отдельными порциями при поступательном движении с короткими интервалами, так как скважина постоянно заплывает материалом заполнителя полостей.
МЕТОД ОПРЕДЕЛЕНИЯ ДИАМЕТРОВ КАРСТОВЫХ ПРОВАЛОВ
С УЧЕТОМ НАГРУЗКИ ОТ СООРУЖЕНИЙ
Расчет диаметра карстового провала
Расчет размера карстового провала выполняется из условия равновесия круглоцилиндрического столба грунта, зависающего над карстовой полостью, вес которого уравновешивается суммарным трением, действующим по его боковой поверхности (рис. 1).
Рис. 1. Расчетная схема к определению диаметра
круглоцилиндрического провала
1 - распределение напряжений в основании от внешней
нагрузки; 2 - распределение напряжений по глубине
основания от собственного веса грунта
Расчетное значение диаметра dпр является минимальным диаметром провала, образование которого возможно с глубины расположения полости. Для возможности образования провала с этой глубины необходимо, чтобы размер полости в плане был не менее расчетного значения dпр.
Метод позволяет учитывать равномерно распределенную нагрузку от одного или нескольких сооружений, учитывая их форму и размеры в плане, глубину заложения фундамента (Hz), взаимное расположение сооружения и провала.
Диаметр провала определяется по формуле:

(1)
где
hj - толщина
j-го слоя грунта с заданными значениями удельного сцепления
cj, угла внутреннего трения

, удельного веса

;

(2)

(3)

(4)
где

- коэффициент распределения напряжений по глубине основания согласно главе
СНиП "Нормы проектирования. Основания зданий и сооружений";
i =
j - 1,
j - 2 и т.д. - порядковые номера слоев грунта, залегающих над
j-ым слоем;
P0 - среднее давление под подошвой фундамента сооружений, с учетом действующего бытового давления в грунтах. Видимая глубина провала
h0 принимается равной высоте полости, свободной от заполнителя.
Расчет диаметра провальной воронки
После образования на поверхности земли или под фундаментом сооружения цилиндрического или сводообразного провала, под действием веса грунта и нагрузки от сооружения происходит уположение склонов до их устойчивого состояния. В зависимости от типа грунта в пределах видимой глубины провала h0, величины нагрузки от сооружения P0 этот процесс может происходить почти одновременно с процессом выхода провала на земную поверхность. В результате провал принимает форму воронки с диаметром по верху dE. Метод расчета диаметра провальной воронки, как и метод расчета диаметра провала, позволяет учитывать заглубление фундамента, взаимное расположение воронки и сооружений, а также многослойность грунтов.
Расчет диаметра провальной воронки заключается в следующем (рис. 2).
Рис. 2. Расчетная схема определения
конечного диаметра провала
Определяется очертание устойчивого склона борта провальной воронки (в прямоугольной системе координат h - y с началом координат в произвольной точке на земной поверхности или под фундаментом сооружения):

(5)
где
yi - ордината поверхности устойчивого склона на глубине
hi;

- толщина элементарных слоев грунта (рекомендуется принимать

).
Рассчитывается размер провальной воронки по формуле:

(6)
где n - количество рассчитываемых элементарных слоев.
Процесс вычисления сумм

,
yi и

производится до выполнения одного из следующих условий:

- ордината склона
yi на глубине
hi равна радиусу провальной воронки
dE/2; или

- глубина провальной воронки
hi равна видимой глубине
h0 провала.
МЕТОДЫ ДИФФЕРЕНЦИРОВАНИЯ ЗАКАРСТОВАННЫХ ТЕРРИТОРИЙ
ПО ИНТЕНСИВНОСТИ КАРСТОВЫХ ПРОВАЛОВ
Дифференцирование рекомендуется проводить посредством трансформации поля провалов в поле их плотности, используя принципы скользящего кружка. Радиус кружка, обеспечивающий наибольшую контрастность поля плотности провалов, определяется по формуле
где l - расстояние между точками измерений.
Методика трансформации поля провалов в поле их плотности заключается в следующем. На карту наносят квадратную сеть точек измерений с выбранным расстоянием l, в каждую точку помещают центр кружка радиусом R, подсчитывают количество провалов в его пределах и присваивают полученные значения соответствующей точке измерений.
Эти значения плотности провалов, рассчитанные на площадь кружка, и образуют поле. Поскольку плотность провалов при такой трансформации может выражаться лишь целыми числами, полученное поле плотности дискретно. Это позволяет провести границы между зонами с разной плотностью, в пределах которых плотность провалов постоянна в любой точке. Пример трансформации показан на
рис. 1.
Рис. 1. Пример трансформации
поля провала в поле их плотности
1 - точка измерения со значением плотности провала;
2 - карстовые провалы; 3 - границы разноплотностных
зон; 4 - разноплотностные зоны со значениями
плотности провала (1, 2, 3, 4)
Провалы представляются точками, соответствующими их центрам. При подсчете количества провалов не учитываются те, центры которых лежат на границе кружка. Границы зон с разной плотностью проводят по аналогии с изолиниями
(рис. 2). Местоположение границ соответствует середине расстояния между двумя соседними значениями плотности провалов. При этом промежуточные значения плотности рассчитывают только между соседними точками измерений, образующими квадраты. Внешняя граница является границей поля плотности провалов.
Рис. 2. Пример трансформации поля провалов
в поле их плотности с учетом значений
плотности в местах расположения провалов
Интенсивность провалов для каждой выделенной зоны рассчитывают по формулам:
при


(2)
при


(3)
где

- интенсивность провалов для
i-той зоны;

- среднее значение интенсивности провалов для выделенного поля плотности;
Пi - величина плотности провалов в i-той зоне;
S0 - площадь выделенного поля плотности провалов;
Si - площадь i-той зоны;
n - количество зон с разной плотностью.
Величина

определяется по формуле

(4)
где N - количество провалов в выделенном поле плотности;
T - период времени, за который образовалось N провалов.
Необходимость более точного учета неравномерности распределения провалов может возникнуть при освоении участков со значительной карстоопасностью, строительстве особо ответственных и ответственных сооружений в непосредственной близости с местами сгущения провалов. В этом случае рекомендуется измерять плотность в точках, соответствующих центрам провалов. Расчет промежуточных значений плотности в квадратах, образованных соседними точками измерений, при наличии провалов производится методом треугольников. При этом необходимо стремиться к построению треугольников, близких к равносторонним.
Для детального определения конфигураций границ с разной плотностью зон рекомендуется следующий метод трансформации поля провалов в поле их плотности. На карту наносят квадратную сеть точек измерений плотности с выбранным расстоянием l, в каждую точку помещают центр кружка радиусом R, определяют количество провалов в пределах кружка, расстояние от точки измерения до центра провалов и рассчитывают значение плотности в точке измерения по формуле
где m - количество провалов в пределах кружка;
rj - расстояние от точки измерения до центра j-го провала.
Такая трансформация позволяет получить непрерывное распределение плотности провалов в пределах выделенного поля плотности. Для приведения поля к дискретному виду в соответствии с физическим смыслом измеряемой плотности провалов необходимо провести изолинии плотности 0,5; 1,5; 2,5 и т.д. и определить значения плотности в каждом интервале изолиний. Расчет промежуточных значений плотности проводится по методике, указанной в данном приложении.
Таким образом, изолиния 0,5 является границей слоя плотности провалов, а интервалы изолиний 0,5 - 1,5; 1,5 - 2,5; 2,5 - 3,5 и т.д. соответствуют зонам с плотностью провалов 1, 2, 3 и т.д. Пример такой трансформации представлен на
рис. 3. Расчет интенсивности провалов для выделенных зон проводится по
формулам (2),
(3).
Рис. 3. Пример трансформации поля провалов в поле
их плотности с учетом расстояний между точками
измерений и центрами провалов ri
Уточнение местоположения границ разноплотностных зон проводится по методике, проведенной в данном приложении. Пример такой обработки представлен на
рис. 4.
Рис. 4. Пример трансформации поля провалов в поле
их плотности с учетом значений ri и значений
плотности в центрах провалов
Методы трансформации поля провалов в целом дают сходные поля плотности провалов.
Количество точек измерений плотности и величина радиуса кружка зависят от степени геологической изученности участка исследования и окружающей его территории и определяются следующим образом.
Если степень геологической изученности территории такова, что позволяет выделить участки, однородные по основным геологическим условиям, влияющим на образование провалов, то необходимо определить границы этих участков, рассчитать для них среднее значение интенсивности провалов, а затем в пределах каждого участка трансформировать поле провалов в поле их плотности.
При этом количество точек измерений плотности провалов на единицу площади выбирается согласно общему количеству точек наблюдений в масштабе исследования при инженерно-геологических изысканиях в сложных условиях, что позволяет добиться одинаковой информативности полей плотности и других видов инженерно-геологических данных и дает возможность их корректного сопоставления и совместной обработки.
Если в пределах участка, однородного по основным геологическим условиям, влияющим на образование провалов, существуют зоны, характеризующиеся нулевым значением плотности, хотя образование провалов в них возможно, то выбирают такой радиус кружка, чтобы любая точка участка характеризовалась бы каким-либо значением плотности провалов, отличным от нуля. Эта операция сравнительно легко выполняется методом подбора.
Если степень геологической изученности территории недостаточна для выделения однородных участков, то рекомендуется на участке исследования определять границу потенциально опасной зоны, вне пределов которой вероятность образования провалов незначительна. Критерием выделения такой границы служит какой-либо геологический фактор, влияние которого на образование провалов наибольшее по сравнению с другими факторами. В большинстве случаев критерием может служить мощность закарстованной зоны (сумма мощностей заполненных и незаполненных карстовых полостей, разрушенных и сильно трещиноватых зон), которая является суммой большинства геологических факторов, влияющих на образование провалов. Для определения границы потенциально опасной зоны строят карту выбранного фактора в изолиниях и график изменения плотности провалов, рассчитанной в каждом интервале изолиний в зависимости от величины фактора. Это позволяет определить значение фактора, соответствующее нулевому значению плотности, а следовательно, и границе потенциально опасной зоны. В пределах этой зоны проводят трансформацию поля провалов, количество точек измерения и радиус кружка выбирают в соответствии с приведенными рекомендациями.
Если геологическая изученность территории и участка исследований недостаточная или отсутствует, рекомендуется определять границу потенциально опасной зоны, используя математическую модель, предложенную исследователями из ГДР Ф. Ройтером (F. Reuter), Д. Стояном (D. Stoyan) и П. Олейкевичем (P. Oleikewitz). Граница зоны определяется "радиусом влияния" Rв, оконтуривающим поле провалов. Доказано, что вероятность образования провалов в пределах выделенной зоны намного выше, чем вне ее. Радиус Rв находят через функцию D(r), которая представляет собой количество пар провалов с расстоянием между ними меньше r. Функция D(r) имеет следующий вид:
где a1, b1, a2, b2 - эмпирические коэффициенты;
R0 - наименьшее расстояние между провалами.
Радиус
Rв есть абсцисса точки пересечения двух парабол. Например, для поля провалов (см.
рис. 1, прил. 3) функция
D(
r) представлена на рис. 5.
Рис. 5. Пример определения "радиуса влияния"
Во всех вариантах трансформации поля провалов в поле их плотности должно выполняться
соотношение (1).
МЕТОДЫ ОПРЕДЕЛЕНИЯ НАПРАВЛЕНИЯ ПРОВАЛЬНОГО ПРОЦЕССА
И ОРИЕНТАЦИИ ПОЛЯ ПРОВАЛОВ
Направление провального процесса рекомендуется определять по относительному возрасту провалов путем визуального осмотра. Все провалы разделяются по возрасту на старые, молодые, свежие. Для каждой возрастной градации рассчитывают координаты центров плотности провалов по формулам:

(1)
где xi, yi - координаты i-го провала данной возрастной градации;
n - количество провалов данной возрастной градации.
Эти центры на карте последовательно (от старой градации к молодой) соединяются стрелками, указывающими направление провального процесса. При этом в каждой возрастной градации должно быть не менее шести провалов. Пример определения направления провального процесса представлен на
рис. 1.
Рис. 1.
Пример определения направления провального процесса
1 - молодые провалы; 2 - старые провалы;
3 - центры плотности молодых и старых провалов
Если центры плотности провалов различных возрастных градаций находятся в непосредственной близости или совпадают, рекомендуется оценивать возможное направление провального процесса с помощью средних расстояний между точкой совмещения центров плотности и провалами в каждой градации. Если среднее расстояние для молодых провалов меньше среднего расстояния для более старых провалов, то провальный процесс имеет направление к совмещенному центру плотности.
В противном случае провальный процесс имеет направление от совмещенного центра плотности. Если средние расстояния близки по величине, то направленность провального процесса отсутствует.
Ориентация поля провалов - это направление, вдоль которого группируются провалы исследуемого поля. Определение азимутов ориентации необходимо для выявления факторов, влияющих на распределение провалов и уточнения направления провального процесса.
Азимуты ориентации рекомендуется определять посредством трех функций ориентации, имеющих общий вид:
где N - количество всех возможных пар провалов;
ri - расстояние между провалами в каждой паре.
Функции ориентации определяются в каждом интервале азимута с последующим построением роз-диаграмм. При этом рекомендуется выбирать интервал, равный 10°, с измерением азимута с точностью до 1°. Для определения значений функций ориентации измеряют азимуты и длины всех возможных линий, соединяющих провалы попарно, и рассчитывают значения функций в каждом интервале.
Значение функции f1(0) в каком-либо интервале азимута выражается количеством линий, соединяющих провалы попарно (т.е. количество пар провалов) и имеющих азимуты, соответствующие данному интервалу. Эта функция не учитывает величину расстояния между провалами. Поэтому одинаковое количество пар провалов с различными расстояниями между ними дает одинаковое значение функции f1(0) в различных интервалах азимута. Вместе с тем более близкое расположение провалов при прочих равных условиях должно определять наиболее вероятное направление ориентации поля провалов.
Функция f2(0) учитывает как количество пар провалов, так и расстояние между провалами. Величина ее в каком-либо интервале азимута выражается суммой квадратов значений обратных расстояний для всех пар провалов, которые имеют азимуты соединяющих линий, соответствующих данному интервалу. В случае, когда какой-либо интервал характеризуется одной парой провалов, расположенных очень близко, величина функции f2(0) будет значительна. Вместе с тем близкое расположение всего двух провалов может быть случайным и не отражать действительного направления ориентации поля провалов.
Функция
f3(0)
, являющаяся произведением функций
f1(0) и
f2(0), лишена недостатков рассмотренных функций. Розы-диаграммы всех функций ориентации для поля провалов представлены на
рис. 2.
Рис. 2. Функции ориентации для исследуемого поля провалов
Поскольку количество вероятных направлений ориентации поля провалов для каждой функции может быть большим, то выделение главных направлений ориентации по какой-либо одной функции затруднительно.
Рекомендуется главные направления ориентации поля провалов определять с учетом всех функций. Для этого по розам-диаграммам рассчитывают среднее значение
f(0) и среднеквадратическое отклонение

для каждой функции и оценивают в баллах возможные азимуты ориентации поля провалов. Баллы присваиваются следующим образом:
при

значение функции
f(0) соответствует 1 баллу;
при

- 2 баллам;
при

- 3 баллам;
при

- 4 баллам.
Результаты такой оценки для рассматриваемого примера представлены в таблице.
Интервалы азимутов ориентации, град | Оценка значений функций ориентации, баллы | Сумма баллов |
f1(0) | f2(0) | f3(0) |
0 - 9 | 0 | 1 | 1 | 2 |
10 - 19 | 1 | 0 | 0 | 1 |
20 - 29 | 1 | 0 | 0 | 1 |
40 - 49 | 1 | 1 | 1 | 3 |
300 - 309 | 1 | 1 | 1 | 3 |
310 - 319 | 2 | 2 | 3 | 7 |
320 - 329 | 1 | 3 | 3 | 7 |
330 - 339 | 1 | 0 | 0 | 1 |
340 - 349 | 3 | 0 | 1 | 4 |
350 - 359 | 1 | 2 | 1 | 4 |
Выбор главных направлений ориентации, которые рекомендуется выносить на карту, должен определяться общим количеством баллов. В рассматриваемом примере главные направления ориентации поля провалов характеризуются средними азимутами СВ 45° и СЗ 320°.
Рекомендуется определять факторы, влияющие на ориентацию поля провалов. В рассматриваемом примере такими факторами являются тектонические нарушения, азимуты которых в целом соответствуют азимутам ориентации поля провалов. В этом случае возможно определение вероятных границ распространения провального процесса путем выделения полос распространения провалов. Границы этих полос определяются линиями, проходящими через крайние провалы согласно основным азимутам ориентации (см.
рис. 1). Рекомендуется уточнять азимуты ориентации провалов в каждой выделенной полосе и вероятные границы распространения провального процесса следующим образом. Для провалов в пределах каждой полосы определяют линию ориентации провалов с аппроксимацией ее по формуле
y = a + bx,
где
a,
b - эмпирические коэффициенты. Затем рассчитывают среднее расстояние от этой линии до провалов

и среднеквадратическое отклонение

. Вероятные границы распространения провального процесса определяются интервалами

. Пример расчетов представлен на
рис. 3. В данном примере около 40% провалов практически совпадает с линиями ориентации поля провалов, а 92% находятся в пределах выделенных полос, что указывает на правомерность выделения таким методом полос распространения провалов.
Рис. 3. Пример определения границ полос
распространения провального процесса
Сведения об ориентации поля провалов позволяют уточнить направления провального процесса. Для этого общее направление провального процесса раскладывается на составляющие согласно азимутам ориентации поля провалов (см.
рис. 1 прил. 2). Данные по ориентации поля провалов и направлениям провального процесса могут быть использованы для относительной оценки карстоопасности участков и выбора рациональных планировочных решений. В частности, при прочих равных условиях не рекомендуется размещать сооружения в пределах выделенных полос развития карста, а также в примыкающих к полосам зонах, куда направлен провальный процесс. В пределах самих полос наиболее опасной является зона, которая находится по направлению провального процесса дальше относительно других зон и зоны пересечения полос. Данные Рекомендации справедливы и для зон, однородных по плотности провалов.