Главная // Актуальные документы // Рекомендация / РекомендацииСПРАВКА
Источник публикации
М.: Стройиздат, 1984
Примечание к документу
Название документа
"Рекомендации по геокриологической съемке и районированию равнинных территорий для размещения объектов нефтяной и газовой промышленности по стадиям проектирования"
"Рекомендации по геокриологической съемке и районированию равнинных территорий для размещения объектов нефтяной и газовой промышленности по стадиям проектирования"
ПО ГЕОКРИОЛОГИЧЕСКОЙ СЪЕМКЕ И РАЙОНИРОВАНИЮ
РАВНИННЫХ ТЕРРИТОРИЙ ДЛЯ РАЗМЕЩЕНИЯ ОБЪЕКТОВ НЕФТЯНОЙ
И ГАЗОВОЙ ПРОМЫШЛЕННОСТИ ПО СТАДИЯМ ПРОЕКТИРОВАНИЯ
Рекомендованы к изданию решением геокриологической секции Научно-технического совета ПНИИИС Госстроя СССР.
Разработаны на основе обобщения опыта инженерно-геокриологических изысканий при производстве съемки на равнинных территориях Западной Сибири и Европейского Севера применительно к нефтегазовому строительству. Унифицированы объемы, методы съемок и работ по составлению текстовых и графических материалов применительно к различным стадиям проектирования.
Приведены макеты карт специального районирования, инженерно-геокриологических карт и разрезов.
Для инженерно-технических работников проектно-изыскательских и научных организаций.
Существующие республиканские и ведомственные нормативно-методические документы не содержат единства методических приемов и способов проведения съемочных работ, определяющих условия проектирования, строительства и эксплуатации трубопроводов и объектов обустройства месторождения.
При разработке Рекомендаций был обобщен опыт проведения геокриологической съемки в нефтегазоносных районах, выполненной различными организациями (ПНИИИС, ВСЕГИНГЕО, ЮЖНИИГИПРОгаз, МГУ, НИИОСП, ВНИИСТ, Фундаментпроект и др.), учтены существующие инструктивно-нормативные документы и методические разработки.
В Рекомендациях разработаны и унифицированы номенклатура и объем обязательных полевых, стационарных, лабораторных и камеральных работ применительно к проектированию и строительству магистральных трубопроводов и объектов обустройства нефтегазовых месторождений - строительных площадок, установок комплексной подготовки газа (УКПГ), насосных станций, дожимных компрессорных станций (ДКС), промышленных зон и др.; унифицированы методы прогноза, объем и оформление отчетно-графических материалов. Это обеспечит сопоставимость получаемой информации, повысит качество анализа и оценки материалов геокриологических исследований.
Рекомендации разработаны ПНИИИС Госстроя СССР (кандидаты геогр. наук Уваркин Ю.Т., Шаманова И.И., Корейша М.М., Белопухова Е.Б., Иванова Т.Ф., канд. техн. наук Духин И.Е., кандидаты геол.-минер. наук Боголюбов А.Н., Кузнецова И.Л., инж. Сухов А.Г.) при участии НИИОСП Госстроя СССР (инженеры Лынов В.А., Лысенко О.Ф.) и ЮЖНИИГИПРОгаз Мингазпрома СССР (инж. Махонин Г.И.).
Общее редактирование Рекомендаций осуществлено д-ром геол.-минер. наук Баулиным В.В., кандидатами геогр. наук Уваркиным Ю.Т., Ивановой Т.Ф., при участии канд. геогр. наук Мейстера Л.А.
Замечания и предложения просьба направлять по адресу: 105058, Москва, Окружной проезд, 18. Дирекция ПНИИИС.
1. СОДЕРЖАНИЕ ГЕОКРИОЛОГИЧЕСКОЙ СЪЕМКИ И РАЙОНИРОВАНИЯ
НА РАЗЛИЧНЫХ СТАДИЯХ ПРОЕКТИРОВАНИЯ
1.1. В настоящих Рекомендациях производство геокриологической съемки рассматривается на стадии технического проектирования (ТП) и стадии рабочих чертежей (РЧ).
В зависимости от стадии проектирования задачи геокриологической съемки решаются с различной степенью детальности, и полученные данные выносятся на карты различных масштабов.
1.2. На стадии технического проектирования.
На полосу трасс трубопроводов:
составляются инженерно-геокриологические карты и разрезы масштаба 1:25 000;
производится микрорайонирование полосы трассы в том же масштабе;
выполняются полевые работы с целью выбора оптимального направления трасс; в зависимости от сложности геокриологических условий ширина съемочной полосы изменяется от 1,5 до 4 км; все съемочные работы осуществляются ключевым методом;
осуществляется прогноз возможных изменений естественных геокриологических условий в полосах трасс по материалам полевых работ, лабораторных исследований и результатам решения тепловых задач для обоснования способа прокладки и режима эксплуатации проектируемых трубопроводов при обеспечении их заданной устойчивости.
На строительных площадках для объектов обустройства:
составляются инженерно-геокриологические карты и разрезы в масштабе 1:10 000 - 1:5 000;
при полевых работах на вариантах площадок или на выбранном варианте площадь исследуемой территории должна назначаться с резервом, обеспечивающим компоновку проектируемых объектов обустройства вне участков с особо неблагоприятными геокриологическими условиями; резерв площади зависит от сложности условий; общая площадь съемки в 2 - 3 раза больше размеров площадки;
производится микрорайонирование территории выбранной площадки;
геокриологическая съемка и природное микрорайонирование должны дать достаточные материалы для прогнозирования возможных изменений геокриологических условий площадок и обоснованного размещения объектов, разработки технических решений оснований и фундаментов.
1.3. На стадии рабочих чертежей.
По трассе трубопроводов:
детализируются сведения, полученные ранее, горно-буровыми, геофизическими и лабораторными работами, и на их основе составляются карты и разрезы масштабов от 1:10 000 до 1:5 000;
выполняются съемочные работы сплошь по всей трассе с детальностью, требуемой масштабом карты;
прогнозируются возможные изменения естественной природной обстановки с целью назначения и разработки мероприятий по обеспечению устойчивости трубопроводов и охране окружающей среды.
Комплекс полученных сведений обусловливает достаточную основу для проектирования трубопроводной системы в любых сложных условиях.
На строительных площадках для объектов обустройства:
составляются инженерно-геокриологические карты и разрезы в масштабе 1:500;
выполняются съемочные работы на участках размещения конкретных зданий и сооружений и на прилегающих к ним участках с целью получения информации, достаточной для расчетов, предусмотренных техпроектом оснований и фундаментов;
прогнозируется поведение объектов в процессе строительства и эксплуатации и вырабатываются рекомендации по обеспечению их устойчивости;
природное микрорайонирование территории не обязательно.
Природное микрорайонирование - основа
геокриологической съемки и районирования
1.4. Для производства геокриологической съемки любого масштаба проводится природное микрорайонирование. При микрорайонировании выделяются микрорайоны - территориальные единицы, которые в масштабе съемки характеризуются определенной общностью геолого-географических условий и соответствующих им геокриологических обстановок. Природное микрорайонирование производится с учетом классификационных признаков, определяющих на равнинных территориях основные особенности геокриологических условий: геоморфологический уровень, мезо- и микрорельеф, состав поверхностных отложений, дренированность поверхности, растительность. Выделенные на основе перечисленных признаков типы природных микрорайонов являются комплексными ландшафтными индикаторами геокриологических условий.
Внешний облик природных микрорайонов дает возможность ориентировочно судить о распространении многолетнемерзлых пород (ММП), их составе, льдонасыщенности, среднегодовой температуре, а также о глубине сезонного промерзания и протаивания грунтов (СМС - СТС) и развитии физико-геологических образований.
1.5. Важным моментом съемки является выявление дешифровочных признаков комплексных индикаторов, т.е. способов отображения их на аэрофотоматериалах. Знание дешифровочных признаков дает возможность получать информацию о геокриологических условиях путем камерального и полевого дешифрирования аэрофотоматериалов и производить их типизацию.
1.6. До начала полевых работ составляется предварительная карта микрорайонирования, которая является рабочей схемой геокриологических условий района.
В полевой период эта карта уточняется исследованиями на ключевых участках, в результате чего составляется специализированная карта природного микрорайонирования. Она служит основой для составления полевых и окончательных инженерно-геокриологических карт различного назначения.
2. ПРЕДПОЛЕВЫЕ РАБОТЫ ПРИ ГЕОКРИОЛОГИЧЕСКОЙ СЪЕМКЕ
2.1. Целью предполевых работ является предварительная оценка геокриологических условий территории строительства объектов нефтегазового промысла и назначение целесообразных объемов полевых работ.
Предполевые работы состоят из сбора, систематизации и анализа опубликованных и фондовых материалов, изучения карт различного назначения (топографических, геологических, инженерно-геологических, геоботанических, геокриологических, геоморфологических и др.) дешифрования аэрофотоснимков.
На топографических картах с использованием геолого-геоморфологических данных и результатов дешифрирования аэрофотоснимков выделяются геоморфологические уровни и дается их описание. По геологическим материалам составляется характеристика литологического состава отложений и гидрогеологических условий района работ.
Собираются сведения о растительном покрове района, его климатических условий. Из справочников выписывается информация по температуре воздуха, осадкам, снежному покрову, направлениям ветров.
2.2. Геокриологические карты, материалы предшествующих изысканий и тематических исследований позволяют дать предварительную оценку геокриологических условий территории (распространение, мощность и среднегодовая температура ММП, их криогенное строение и льдистость, физико-геологические процессы и образования, сезонное промерзание и протаивание грунтов).
Все выполненные ранее на территории горно-буровые и геофизические работы наносятся на карту фактического материала и принимаются во внимание при определении объемов полевых работ.
2.3. В результате систематизации всех собранных геолого-географических данных и анализа взаимосвязей между различными компонентами ландшафта устанавливаются ландшафтные (комплексные) индикаторы геокриологических условий. Для удобства комплексные индикаторы сводятся в индикационную таблицу. В
прил. 1 в качестве примера приводится таблица ландшафтных индикаторов для зоны прерывистого распространения мерзлых пород в Западной Сибири.
2.4. В предполевой период производится предварительное геокриологическое дешифрирование аэрофотоснимков: используются контактная печать и фотосхемы. Виды и количество необходимых для дешифрирования аэрофотоматериалов устанавливаются с учетом особенностей природных условий района, степени их дешифрируемости, наличия материалов аэрофотосъемки, дешифрированных при ранее проведенных исследованиях.
Предварительное дешифрирование аэрофотоснимков основывается на собранных сведениях о ландшафтно-индикационных закономерностях. На аэроснимках распознаются отдельные объекты, определяются дешифровочные признаки (тон, рисунок, форма и размеры объектов) и раскрывается их геокриологическое содержание.
Работы проводятся в следующей последовательности: 1) контурное (нестереоскопическое) дешифрирование фотосхем (фотопланов) с целью общего ознакомления с районом; 2) изучение под стереоскопом типов выделенных рисунков аэрофотоизображения с целью выявления предварительных дешифровочных признаков ландшафтных индикаторов; 3) составление ландшафтно-индикационных таблиц. С использованием этих таблиц по аэрофотоснимкам предварительно устанавливаются геокриологические условия территорий.
2.5. Основным документом, который выполняется в предполевой период, является предварительная (рабочая) карта природного микрорайонирования, составленная в результате совместного анализа всех имеющихся карт, литературных и фондовых материалов и дешифрования аэрофотоматериалов. На ней выделяются типы ландшафтных (природные микрорайоны) и дается ориентировочная характеристика ММП для каждого из них. Эта карта является основой для проведения последующих полевых исследований. По ней рассчитываются и намечаются ключевые участки и опорные маршруты, определяются объемы полевых работ.
3. ПОЛЕВЫЕ РАБОТЫ ПРИ ГЕОКРИОЛОГИЧЕСКОЙ СЪЕМКЕ
Аэровизуальные наблюдения
3.1. Аэровизуальные наблюдения являются вспомогательным методом изучения природных и геокриологических условий. Цель аэровизуальных наблюдений - уточнение предполевого дешифрования аэрофотоматериалов, предварительной карты природного районирования, уточнение месторождения выбранных ключевых участков, опорных маршрутов и разрешение опорных вопросов после завершения полевых работ.
3.2. Аэровизуальные наблюдения - весьма сложный вид работ, требующий тщательной организационной подготовки и высокой квалификации бортнаблюдателей.
Для осуществления полетов наиболее целесообразно использовать малогабаритные вертолеты или самолеты со скоростью не более 350 - 500 км/ч на высоте до 150 м. Лучшим временем года для проведения аэровизуальных работ в равнинных условиях считается летний период с ясной погодой при максимальном развитии растительного покрова; лучшее время суток - ранние утренние и послеобеденные часы. Масштаб аэровизуальных наблюдений, как правило, крупнее масштаба обычно применяемых аэрофотоснимков.
3.3. Аэровизуальные наблюдения наиболее широко следует использовать в начале полевых работ для общего ознакомления с геокриологической обстановкой в районе, получения представления о наиболее типичных индикаторах мерзлых пород, таликов, физико-геологических образований, а также о проходимости местности, наличии и состоянии дорог и троп, местах возможных посадок вертолетов.
При организации работ во время полетов и разбивке маршрутов следует придерживаться рекомендаций, выработанных во ВСЕГИНГЕО [Методическое руководство по инженерно-геологической съемке масштабов 1:200 000 (1:10 000 - 1:500 000). - М.; Недра, 1978].
3.4. Во время аэровизуальных наблюдений фиксируются данные, с которых считывается информация о ММП:
по распределению, составу, высоте, сомкнутости древостоя, подлеска и кустарников, господствующим видам травянокустарничкового яруса и мохово-лишайникового покрова опознаются характер распространения мерзлых и талых пород, слоев сезонного промерзания-протаивания, глубина залегания верхней поверхности ММП, их температура;
строение речных долин, густота размещения и величина озер дают представление о степени прерывистости толщи мерзлых пород, типах и размерах таликов и т.д.;
особенности рельефа, в частности, степень и характер расчленения, распределение по площади определенных форм рельефа или мезорельефа также дают возможность устанавливать степень прерывистости толщи мерзлых пород, их состав, льдистость, степень охлажденности;
по наличию физико-геологических и криогенных образований (оползни, растрескивание, бугры пучения и т.д.) дается представление о характере проявления криогенных процессов.
Получаемая в процессе облетов информация позволяет дифференцировать исследуемую территорию по сложности геокриологических условий, намечать в ее пределах участки с различным типом распространения мерзлых пород (сплошное, несплошное, островное и др.), оконтуривать массивы с самыми льдистыми или "холодными" отложениями, устанавливать преобладающий тип криогенного процесса и степень хозяйственного освоения.
Полевое дешифрирование аэрофотоснимков
3.5. Основное назначение полевого дешифрирования состоит в уточнении и максимальной детализации данных предварительного дешифрирования. В этот период производится изучение ландшафтных индикаторов геокриологических условий и их дешифровочных признаков. На ключевых участках для каждого типа рисунка производится традиционный набор исследований для получения комплексной характеристики основных геокриологических параметров.
Повторяемость в пределах исследуемой территории ландшафтных индикаторов и способов их отображения дает возможность производить их типизацию на ключевых участках и использовать при картировании экстраполяцию, т.е. переносить данные о геокриологических условиях одного микрорайона на другие, не изучаемые специально однотипные микрорайоны.
В соответствии с этим процесс геокриологического дешифрирования складывается из дешифрирования различных ландшафтных комплексов, отображенных в рисунках аэрофотоснимков, и выявлении соответствующих этим комплексам геокриологических условий с помощью дешифровочных признаков.
3.6. При дешифрировании важным моментом является выбор масштаба аэрофотоснимков. В пределах территорий, которые по геокриологическим условиям относятся к сравнительно легко дешифрируемым, масштаб аэрофотоснимков и съемки могут быть примерно одинаковыми: более крупный масштаб снимков обычно применяется лишь в районах с высокой сложностью геокриологических условий и трудно дешифрируемых, а также при отработке ключевых участков.
Используя опыт геокриологов по применению материалов аэрофотосъемки в равнинных районах, предлагается следующее соотношение масштабов, которые смогут обеспечить успешное проведение исследований и составление геокриологических карт (табл. 1).
Таблица 1
Масштаб геокриологической съемки | Рекомендуемый масштаб аэрофотоснимков |
всей исследуемой территории | в пределах ключевых и особо сложных участков |
1:100 000 | 1:60 000, фотосхемы | 1:20 000 |
1:25 000 | 1:20 000 - 1:10 000 | 1:10 000 - 1:5 000 |
1:10 000 - 1:5 000 | 1:10 000 - 1:5 000 | 1:5 000 |
3.7. При полевом дешифрировании на ключевых участках производится: фиксация точек наземных наблюдений на оборотную сторону аэрофотосхемы (АФС) и в полевой дневник; нанесение границы ландшафтных комплексов непосредственно на АФС или кальку; составление полевого варианта ландшафтной карты или карты микрорайонирования на основе разработанной в предварительный период и дополненной в поле легенды.
Желательно к полевой ландшафтной карте составлять ландшафтно-индикационные схемы-таблицы, включающие проанализированный полевой материал. Эти таблицы подразделяются на две части: в левой приводится эталонный аэрофотоснимок и характеристика индикаторов (ландшафтных комплексов), в правой - объекты индикации (геологическое и геокриологическое содержание ландшафтных комплексов). На основе этих материалов в конце полевого сезона составляется предварительная инженерно-геокриологическая карта.
3.8. Бурение инженерно-геологических скважин (механическое вращательное и ручное ударно-вращательное) глубиной до 10 - 15 м производится для выяснения литологического состава грунтов, определения состояния грунтов (мерзлые или талые), изучения криогенного строения грунтов и распределения в них льда по разрезу, отбора образцов грунта, установления гидрогеологических условий, изучения температурного режима грунтов, определения глубины сезонного промерзания-протаивания и особенностей залегания мерзлых грунтов по глубине.
Бурение зондировочных скважин глубиной в среднем до 3 м выполняется для определения состава приповерхностного слоя грунтов, глубины сезонного промерзания или протаивания грунтов, глубины болот, мощности торфа и т.д.
В процессе бурения мерзлых пород должны соблюдаться требования:
возможно малая скорость вращения породоразрушающего наконечника для получения керна ненарушенного сложения (при механическом бурении) и предупреждения оттаивания содержащихся в нем ледяных включений;
укороченные рейсы проходки (не более 0,5 - 0,6 м);
исключение подогрева наконечника.
3.9. При проходке скважин для длительных температурных наблюдений необходимо стремиться как можно меньше нарушать естественный покров (дерн, кустарник, снег и т.д.) в радиусе 8 - 12 м от устья скважины и по возможности восстанавливать его по окончании бурения.
После проходки скважины должна быть обеспечена устойчивость ее стенок и защита от поступления в нее поверхностных и грунтовых вод. Характер обсадки скважин определяется их назначением (термометрические или зондировочные), состоянием проходимых грунтов (мерзлые, талые), степенью обводненности поверхности, мощностью сезонно-талого слоя.
3.10. Скважины, пройденные на участках с СТС, оборудуются в приустьевой части кондуктором с плотной крышкой. Длина кондуктора должна превышать мощность слоя сезонного протаивания не менее, чем на 0,3 - 0,5 м. В других случаях скважины оборудуются колонкой труб, герметически скрепленных друг с другом, исключающих попадание в них воды.
Для бурения в мерзлых породах применяются следующие типы буровых станков:
в грунтах без включений крупнообломочного материала - мотобур Д-10, станки типа УПБ-25 и УГБ-12/25; в качестве бурового снаряда используются колонковые трубы или ложки;
в грунтах с включениями крупнообломочного материала - ручное бурение, станки типа УБР-1В; в качестве бурового снаряда применяются колонковые трубы.
3.11. Шурфы применяются при необходимости отбора крупных монолитов грунтов ненарушенной структуры для определения их физических и механических свойств, более детального описания структуры грунтов и других целей, не достигаемых путем бурения. Шурфы крепятся на полную глубину слоя сезонного протаивания или промерзания грунтов до кровли ММП.
3.12. Каждая скважина или шурф тщательно документируется. Проинтервально дается описание состава, строения и текстуры грунтов, включений грубообломочного материала, растительных остатков, состояния грунтов (мерзлое или талое), суммарной влажности ледяных включений, фиксируются появления водоносных горизонтов и другие особенности разреза. Все эти данные наносятся на колонку скважины или приводится зарисовка стенок шурфа.
3.13. Данные температурных измерений в скважинах необходимы для прогнозирования изменения температурного поля в грунтовом массиве в естественных условиях, в результате строительства и эксплуатации сооружений, а также для расчетов несущей способности грунтов.
Измерение температуры грунтов должно производиться, как правило, во всех скважинах, при проходке которых был проведен полный отбор проб грунтов. При съемках 1:25 000 они производятся на ключевых участках, при 1:50 000 - 10 000 термометрические скважины закладываются на территориях сплошной съемки в пределах наиболее типичных микрорайонов. При съемке масштаба 1:500 измерения температуры грунтов производят во всех скважинах.
Скважины рекомендуется закладывать на площадках с однородными поверхностными условиями в радиусе, превышающем глубину скважины.
Температура в скважине измеряется на глубине 0,5; 1; 1,5; 2; 3; 4; 5; 7; 10 м. В более глубоких скважинах целесообразно измерять температуру также на глубине 12 и 15 м.
3.14. При нестационарных (краткосрочных) термокаротажных работах обычно используются связки ртутных термометров (цена деления 0,2° и меньше), заключенных в специальную оправу с гидротермоизоляцией. Тепловая инерция ртутных термометров искусственно должна быть доведена до 1,5 - 2 мин, что достаточно для извлечения термометров из скважины и снятия отсчета.
Во избежание примерзания термометров к стенкам и забою скважины их необходимо обернуть либо сухой бумагой, либо густо смазать минеральным маслом (техническим вазелином, солидолом и др.); нижний термометр не должен касаться забоя скважины.
Продолжительность выстойки ртутных термометров зависит от температуры грунта - чем она выше, тем больше время выстойки. Связку термометров в скважине необходимо выдерживать в среднем не менее 2 - 3 ч. По истечении этого времени в каждой скважине следует провести, по крайней мере, три контрольных измерения с интервалом 0,5 - 1 ч; если разница в показаниях термометров не будет превышать +/- 0,1 °C, то снятый отсчет можно считать верным.
Время выстойки скважин, пройденных без промывки, принимается равным 1 - 2 сут и контролируется серией температурных измерений.
3.15. Для краткосрочных наблюдений можно использовать также полупроводниковые термометры сопротивления (термисторы) в комплекте с соответствующей электроизмерительной аппаратурой. Преимущество этих датчиков заключается в том, что при отчете их не нужно извлекать на поверхность и для выстойки требуется меньше времени (1 - 1,5 ч).
В шурфах температуру измеряют в свежих стенках. Для этого бурят на заданной глубине слегка наклоненные шпуры длиной 1 - 1,5 м диаметром, несколько превышающим диаметр термодатчика; устье шпура закрывают вязким водонепроницаемым материалом.
Отбор образцов для лабораторных исследований
| | ИС МЕГАНОРМ: примечание. Взамен ГОСТ 12071-72 Постановлением Госстроя СССР от 20.09.1984 N 166 с 01.07.1985 введен в действие ГОСТ 12071-84. | |
3.16. Отбор образцов мерзлого грунта для определения его физических и механических свойств производится из однородных по литологическому составу и криогенному строению горизонтов. Мощность этих горизонтов не должна быть менее 1 - 1,5 м. При значительной неоднородности горизонта по простиранию и глубине отбирается несколько образцов в различных его частях по ГОСТ 12071-72. Грунты. Отбор, упаковка, транспортирование и хранение образцов.
Для определения состава грунта отбирают образцы с нарушенным сложением после оттаивания, для определения влажности - с нарушенным сложением, не допуская оттаивания, для определения механических свойств - мерзлые монолиты с ненарушенным сложением.
3.17. Размеры и вес отобранных образцов определяются принятой методикой лабораторных исследований и должны обеспечить необходимый комплекс определений основных физических, теплофизических и механических параметров для каждой генетико-литологической разновидности грунтов. Масса отобранных образцов с нарушенным сложением должна быть не менее 1,5 кг для глинистых грунтов, 2 кг - для песчаных и 10 кг - для крупнообломочных. Монолиты мерзлого грунта с ненарушенным сложением должны иметь размеры не менее 10 см в поперечнике, керн с ненарушенным сложением - не менее 94 мм в диаметре и 100 мм по высоте.
3.18. Монолиты или керн мерзлого грунта при отборе в зимнее время должны быть покрыты намороженной коркой льда. В летнее время отбор мерзлых монолитов с ненарушенным сложением производят только при обеспечении немедленной доставки их в лабораторию, не допуская таяния с помощью теплоизоляционных материалов или специальных термосов.
Образцы для определения физических, теплофизических и механических свойств мерзлых грунтов должны отбираться из горизонтов с однородной криогенной текстурой, массивной или порфировидной. При отборе из грунта с сетчатой или слоистой текстурой размеры включений льда и расстояния между ними должны быть несоизмеримо меньше размеров образца. В остальных случаях изучение свойств должно быть отнесено к грунту между крупными ледяными включениями.
Геофизические исследования
3.19. Геофизические методы широко применяются при геокриологических изысканиях. Их использование основывается на дифференциации мерзлых и талых грунтов по электрическим сопротивлениям.
Наибольшей разрешающей способностью при изучении мерзлых грунтов обладает электроразведка на постоянном токе, преимущества которой сводятся к следующему:
применимость в районах, сложенных любыми грунтами;
наличие хорошо разработанной методики проведения полевых работ и приемов интерпретации результатов наблюдений;
сравнительно высокая производительность и мобильность.
Методы постоянного тока подразделяются на электропрофилирование (ЭП) и вертикальное электрическое зондирование (ВЭЗ).
3.20. Электропрофилирование (ЭП) применяется для решения следующих задач: выявления границ между мерзлыми и талыми породами; изучения характера залегания верхней поверхности мерзлых пород; выявления подземных льдов и разграничение участков с различной льдистостью мерзлых пород; обнаружения трещиноватых и закарстованных зон в талых и мерзлых грунтах.
В зависимости от измеряемых параметров выделяется электропрофилирование методом кажущегося сопротивления (КС) и электропрофилирование методом двух составляющих (МДС),
прил. 2.
3.21. Вертикальное электрическое зондирование применяется для решения следующих задач: определения глубины залегания верхней и нижней поверхностей толщ мерзлых пород и межмерзлотных таликов; выявления в мерзлых толщах наиболее льдонасыщенных горизонтов, пластов подземных льдов, изучения литологических особенностей породе мерзлой толщи; определения удельных сопротивлений пологопадающих (до 20°) слоев талых и мерзлых грунтов.
В зависимости от измеряемых параметров выделяются вертикальные зондирования методом кажущегося сопротивления (ВЭЗ КС) и вертикальные зондирования по методу двух составляющих (ВЭЗ МДС). Примеры использования двух методов электрозондирования для решения указанных задач даны в
прил. 3.
3.22. Последовательность проведения электроразведочных работ при геокриологической съемке на различных стадиях принципиально одинакова. Во всех случаях геофизические работы целесообразно проводить одновременно и в комплексе с другими видами исследований или опережая их, причем желательно последнее. Вопросы постановки геофизических работ при геокриологической съемке освещены в научно-методической работе ("Основные требования к инженерно-геологическим изысканиям для строительства газопроводов в районах распространения мерзлых грунтов". - М.: Мингазпром, 1975).
Изучение сезонного промерзания и протаивания пород
3.23. Исследование сезонного промерзания и протаивания пород производится в каждом природном микрорайоне для типичных грунтовых разностей. Определяются основные характеристики сезоннопротаивающего (СТС) и сезоннопромерзающего (СМС) слоев: мощность, литологический состав, криогенное строение (льдистость) грунтов, температура, ход сезонного промерзания и протаивания. Объемы работ при изучении сезонно-талых и сезонно-мерзлых грунтов приведены в
табл. 2.
Изучение СТС, СМС производится с помощью маршрутных исследований, полустационарных (в течение одного месяца и более) и режимных (в течение 1 года и более) наблюдений на площадках, расчетных методов.
3.24. При маршрутных исследованиях в каждом типе природных микрорайонов производится до 10 замеров глубин СТС, СМС для каждой грунтовой разности и затем выводится средняя величина, а также указываются экстремальные значения. При полустационарных исследованиях количество замеров увеличивается до 15. Необходимо также делать 5 - 10 замеров на нетипичных для данного природного микрорайона локальных участках, на которых мощность СТС, СМС может существенно отличаться от типичной для данного природного микрорайона.
Характеристики СТС, СМС | Количество точек определений на один природный микрорайон |
технический проект | рабочие чертежи |
Мощность СТС, СМС | До 10 | До 15 |
Литологический состав, криогенное строение | " 5 | " 10 |
Температура грунтов | " 3 | " 5 |
Ход промерзания-протаивания | " 3 | " 5 |
Для определения мощности СТС, СМС применяются следующие методы:
метод непосредственных измерений глубин промерзания и протаивания грунтов с помощью разведочных выработок (скважин, шурфов). Металлический щуп используют для определения глубины протаивания при мощности СТС, не превышающей 1,5 м;
криотекстурный метод определения мощности СТС, основанный на изменении криогенных текстур в вертикальном разрезе СТС и верхних горизонтов ММП. Применение этого метода возможно лишь в случаях, когда четко выражена вертикальная дифференциация криогенных текстур. Его преимущество состоит в том, что максимальная глубина сезонного протаивания может быть определена в течение большей части города, тогда как другими методами она может фиксироваться лишь в сентябре-октябре;
геофизический метод (вертикальное электрическое зондирование). Применяется при значительных мощностях СТС, СМС (2 м и более);
расчетный метод: для расчета мощности СТС, СМС в естественных условиях могут быть использованы формулы В.А. Кудрявцева ("Основы мерзлотного прогноза при инженерно-геологических исследованиях". - М.: МГУ, 1974), а нормативных глубин СТС, СМС по формулам главы СНиП по основаниям и фундаментам на вечномерзлых грунтах;
температурный метод основан на определении изменения глубины нулевой изотермы и используется преимущественно в крупнодисперсных породах, температура фазовых переходов которых близка к 0 °C.
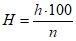
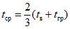
Максимальные глубины сезонного протаивания грунтов фиксируются в сентябре-октябре, сезонного промерзания - в конце апреля - начале мая. Глубины протаивания, наблюдаемые в разное время года (весной, летом), приводятся к максимальным значениям за год по формуле

, где
H - максимальная глубина протаивания, м;
h - глубина протаивания на момент исследований, м;
п - процент протаивания на момент исследований (значения берутся по кривой интенсивности оттаивания при наличии режимных наблюдений или устанавливаются по многолетним температурным наблюдениям ближайшей метеостанции).
3.25. Изучение литологического состава и криогенного строения (льдистости) грунтов СТС, СМС производится во всех типах природных микрорайонов для основных грунтовых разностей. При описании состава и криогенного строения грунтов СТС, СМС рекомендуется пользоваться методикой и классификациями, разработанными для ММП.
Особое внимание следует обращать на сложение породы, ее структурные и текстурные особенности; содержание органических веществ, обломочного материала, мощность торфяного слоя, ожелезнение и пр.
Отбор проб определения влажности пород при маршрутных исследованиях производится одновременно с зондировкой СТС, СМС и является массовым (не более 10 точек для каждого типа природных микрорайонов). В случае неоднородного разреза пробы на влажность отбираются из каждой литологической разности и из каждого горизонта с различной криогенной текстурой.
3.26. Среднегодовая температура на подошве СТС, СМС, определяющая уровень теплообмена в них, является результирующей характеристикой температурного режима СТС, СМС. Эта температура используется при расчете глубин сезонного промерзания и протаивания по номограммам и формулам. При отсутствии режимных наблюдений среднегодовую температуру грунтов на подошве СТС, СМС можно считать приблизительно равной среднегодовой температуре пород на глубине нулевых годовых амплитуд.
3.27. Для изучения хода сезонного промерзания и протаивания организуются режимные наблюдения на опытных площадках, которые оборудуются в наиболее типичных микрорайонах. На этих площадках не реже 1 раза в 10 дней фиксируются глубины промерзания и протаивания с помощью щупа, бурения скважин, проходки шурфов, а также мерзлотомеров различных систем. Сведения о ходе сезонного промерзания и протаивания могут быть получены путем режимных наблюдений в скважинах, а также по данным ближайших метеостанций.
Изучение распространения и мощности
многолетнемерзлых горных пород
3.28. Характер распространения ММП определяется соотношением площадей, на которых распространены мерзлые и немерзлые (талые) породы (табл. 3).
Таблица 3
Характер распространения | Соотношение площадей с мерзлыми и талыми породами | Площадь, занятая многолетнемерзлыми породами, % |
Сплошное | Сплошные толщи многолетнемерзлых пород с редкими сквозными и несквозными таликами под реками и озерами | Св. 95 |
Прерывистое | Острова и массивы талых пород на фоне мерзлых | 95 - 50 |
Массивно-островное | Крупные массивы многолетнемерзлых пород на фоне талых | 50 - 10 |
Островное | Острова многолетнемерзлых пород на фоне талых | Менее 10 |
Изучение распространения мерзлых пород производится на основе ландшафтно-индикационных наблюдений, горно-буровых работ, электропрофилирования и электрозондирования. Ландшафтно-индикационные исследования позволяют по компонентам ландшафта ориентировочно устанавливать особенности распространения многолетнемерзлых пород. Наиболее информативным и надежным методом является бурение скважин, проходка шурфов, расчистка естественных и искусственных обнажений. Скважины закладываются в пределах основных природных микрорайонов в наиболее типичных геокриологических условиях. Распределение скважин производится после проведения электропрофилирования, сопровождаемого ландшафтно-индикационными описаниями. При проведении границ между мерзлыми и талыми породами большую помощь оказывает полевое дешифрирование аэрофотоснимков.
Мерзлые породы при бурении устанавливаются по температуре, появлению в образе породы включений льда, прочности породы и изменению ее при таянии образца.
При изучении распространения мерзлых пород в полосе магистральных трубопроводов глубина исследований должна составлять 10 - 15 м, а для объектов обустройства месторождений на строительных площадках - до 20 м и более.
3.29. Мощность многолетнемерзлых толщ определяется в основном геофизическими методами (вертикальное электрозондирование). Следует иметь в виду, что этот метод дает хорошие результаты лишь в случае резкого изменения кажущихся сопротивлений

мерзлых и талых горных пород. В южной части области распространения ММП на участках, где мощность их невелика (первые десятки метров), она должна устанавливаться с помощью бурения скважин. При этом нижняя граница мерзлой толщи фиксируется либо по наличию в породе льда, или появлению воды в скважине, либо измерением температуры в скважинах, полностью прошедших мерзлую толщу (границей мерзлых и талых пород считается геоизотерма 0 °C).
В скважинах, не прошедших толщу мерзлых пород на полную мощность, их нижнюю границу можно устанавливать по температурным кривым. Однако экстраполяция температурных кривых верхних горизонтов мерзлых толщ на нижние не всегда правомерна, поэтому пользоваться этим методом следует ограниченно.
Наблюдения за грунтовыми водами
3.30. Изучению подлежат грунтовые воды, залегающие на глубине до 15 - 20 м. Это воды сезонно-талого слоя, сквозных и несквозных таликов, а также воды среди слоев мерзлых пород, в том числе охлажденные ниже 0 °C. Поэтому наблюдения за грунтовыми водами связаны с изучением таликов, в которых они накапливаются и по которым могут разгружаться. Воды сезонно-талого слоя отличаются малой обильностью, спорадическими распространением и кратковременным (сезонным) существованием. Эти воды влияют на процессы промерзания-протаивания и пучения грунтов, солифлюкции, термоэрозии. Кроме того, они могут оказывать корродирующее влияние на подземные бетонные и металлические конструкции сооружений и служить источником обводнения их заглубленных элементов.
3.31. Участки возможного распространения вод сезонно-талого слоя выделяются в процессе геокриологической съемки, наблюдения за ними проводятся попутно при бурении скважин или в специально оборудованных мелких скважинах или шурфах. При этом изучаются обводненность сезонно-талого слоя, глубина залегания и производительного обводненного горизонта, температура воды. Отбираются пробы воды на химический анализ для определения их агрессивности по отношению к портландцементам. Наблюдения желательно приурочивать к периоду максимального летнего протаивания. На участках, где воды имеют широкое распространение и высокообильны, целесообразно проводить режимные наблюдения (примерно 1 раз в месяц).
3.32. Наблюдения за грунтовыми водами несквозных и сквозных таликов заключаются в установлении границ распространения обводненных участков таликов и практически неводоносных, глубины залегания грунтовых вод, их обильности, режима и химического состава; залегания вод относительно подстилающих мерзлых пород (контактируют, не контактируют) относительно сезонного промерзания.
При бурении скважин в таликах фиксируется глубина появления воды, установившийся уровень, литологический состав вмещающих пород, мощность водоносного горизонта. При значительных водоносных горизонтах их водообильность устанавливается посредством откачек их скважин или шурфов, после которых отбираются пробы воды на химический анализ и измеряется температура воды.
Целесообразность режимных наблюдений выявляется в каждом конкретном случае.
3.33. В районах арктических побережий часто встречаются минерализованные воды (рассолы), имеющие отрицательную температуру (криопэги). Здесь особенное значение приобретает анализ данных бурения, термометрии и гидрохимического опробования. Последнее рекомендуется проводить через относительно небольшие интервалы глубин, сообразуясь с особенностями геологического разреза и данными температурных измерений. Определение минерализации воды в скважинах наряду с отбором проб может осуществляться с помощью резистивиметра. Для выделения зон криопэгов наряду с бурением рекомендуется широко применять геофизические методы, чувствительные к наличию льда, и прежде всего электрометрию в ее наземном и скважинном вариантах.
Изучение состава и криогенного строения грунтов
3.34. Под составом грунта следует понимать гранулометрический, петрографический, минералогический и химический его состав. В полевых условиях при описании разреза в выработках в первую очередь проводится выделение стратиграфических горизонтов, слоев, линз грунта относительно однородного состава. Обращается внимание на все основные особенности соотношения различных компонентов грунта: льда, минеральных прослоек, органических включений и примесей; фиксируется характер слоистости, отдельности в минеральных прослойках. Определение гранулометрического состава следует делать по оттаявшему образцу, визуально оценивая зерновой состав и определяя по раскатыванию пластичность. Петрографический состав также определяется визуально. Состояние мерзлого грунта относится к одному из трех основных типов: твердо-мерзлое, пластично-мерзлое, сыпуче-мерзлое. Точное определение гранулометрического, петрографического, минералогического и химического состава грунта производится в лаборатории по образцам, отобранным из каждого выделенного стратиграфического горизонта.
3.35. Строение мерзлого грунта характеризуется его криогенной структурой, под которой понимается пространственное расположение его составных частей, в первую очередь, распределение видимых включений льда и минеральных элементов (без видимых включений льда).
Следует различать пять основных типов криогенной текстуры
(табл. 4). В первую очередь, для мерзлого грунта определяется основной тип текстуры и дается ее название. При необходимости в название криогенной структуры вводится дополнение, отражающее наиболее характерный ее признак. Например, неполносетчатая, линзовидно-слоистая, неправильно-сетчатая и т.п. При описании криогенной текстуры обращается внимание на форму ледяных включений, их выдержанность, соотношение друг с другом. При описании шурфов, расчисток естественных обнажений измеряются элементы залегания ледяных включений. Оценка объемной льдистости по суммарной толщине ледяных включений для слоистой криогенной текстуры производится по линии (на один погонный метр - дециметр разреза), для сетчатой и порфировидной - по площади (на один квадратный метр - дециметр разреза).
Тип криогенной текстуры | Основные черты внешнего вида криогенной текстуры | Объемная льдистость, Лвк (за счет видимых включений льда) |
слабо льдистый | льдистый | сильно льдистый | ледогрунт | лед |
Массивная | Нет или очень мало видимых включений льда (лед-цемент) | >= 0,03 | 0,03 - 0,4 | - | - | - |
Порфировидная | Отдельные включения, гнезда, вкрапления льда, преимущественно простой изометричной формы | - | 0,03 - 0,4 | - | - | - |
Слоистая | Слои, прослойки, линзы льда | - | 0,03 - 0,4 | 0,4 - 0,75 | - | - |
Сетчатая | Слои, прослойки, линзы льда, пересекающиеся под разными углами, образуя на срезе правильную или неправильную сетку | - | 0,3 - 0,4 | 0,4 - 0,75 | - | - |
Базальная | Отдельные включения грунта в массиве грунта | - | - | 0,4 - 0,75 | 0,75 - 0,9 | 0,9 - 1 |
Примечания: 1. Массивная текстура с пределами льдистости 0,3 - 0,4 характерна только для песков и крупнообломочных грунтов.
2. Базальная текстура с пределами льдистости 0,4 - 0,75 характерна только для крупнообломочных грунтов, когда объем льда больше первичной пористости.
3. Граница между сильнольдистым грунтом и ледогрунтом Лвк = 0,75 соответствует весовой льдистости 0,5, т.е. масса включений льда примерно равна массе грунта без видимых включений.
3.36. Ледяные включения толщиной менее 0,3 м относятся к текстурообразующим льдам, толщиной более 0,3 м - к залежеобразующим льдам. Залежеобразующие льды могут быть различного происхождения, размеров и формы. Они должны учитываться при определении общей льдистости грунтов и при описании криогенного строения.
Наиболее распространенным типом залежеобразующего подземного льда является так называемый повторно-жильный (иногда его называют "полигонально-жильным"). Распространение и развитие повторно-жильного льда (ПЖЛ) определяется морозобойным растрескиванием. ПЖЛ проявляются в соответствующем микрорельефе поверхности (см.
п. 3.41). Для определения размеров ледяных жил, ориентируясь по их проявлениям на поверхности (полигональные канавы, трещины, валики) проходятся профили шурфов или зондировочных скважин. Для каждого участка с однородным полигональным микрорельефом в его пределах и приуроченного к одному элементу рельефа (надпойменной террасе, пойме, склону и т.п.) следует определить максимальное, минимальное и среднее значение глубины залегания кровли ледяных жил, а также их ширину в верхней части и вертикальной протяженности. Определение последней характеристики шурфованием и бурением встречает значительные трудности, в особенности при большей мощности льда по вертикали и сложных условиях его залегания. Количество выработок на участке с выраженными условиями рельефа и микрорельефа должно быть не менее трех, при значительной пространственной неоднородности ПЖЛ - не менее пяти. При определении условий залегания ПЖЛ рекомендуется в комплексе с бурением и шурфованием применение электроразведки и описание имеющихся в районе естественных обнажений.
3.37. Расчет льдистости мерзлых грунтов за счет ПЖЛ (макрольдистости) делается отдельно от расчета льдистости за счет текстурообразующего льда (микрольдистости). Для оценки общей льдистости грунта значения макрольдистости и микрольдистости суммируются. Расчет макрольдистости проводится по средним значениям ширины ледяных жил в верхней части h, их вертикальной протяженности l и длине в пределах полигона по отношению к среднему поперечнику последнего A и выражается в процентах или долях единицы от объема всего грунта вместе со льдом. Объемная макрольдистость
где li - мощность расчетного горизонта грунта. При равенстве значения мощности расчетного горизонта li вертикальной протяженности жил l формула приобретает более простой вид, %

(1)
Нередко ПЖЛ не выражены в рельефе поверхности. В этом случае более широко внедряется электроразведка.
3.38. Залежеобразующие подземные льды не жильного происхождения (ЗЛ), которые иногда не совсем правильно отождествляют с так называемыми пластовыми залежами, представляют собой ледяные и ледогрунтовые тела различного происхождения, размеров, формы и условий залегания, приуроченные к различным по составу и генезису грунтам. ЗЛ за исключением ледяных ядер бугров пучения, как правило, слабо или вовсе не выражены в рельефе поверхности. Глубина залегания отдельных залежей подземного льда и пластовых комплексов бывает самой различной, иногда, значительной - до 20 м от поверхности и более. Размеры ЗЛ по простиранию колеблются от первых метров до сотен метров, а мощность может достигать 10 - 20 м и более. Исследование ЗЛ и связанных с ними текстурообразующих льдов должны проводиться комплексом методов: бурение, шурфование, геофизическая разведка различных видов, описание естественных обнажений. Имеющийся опыт комплексного исследования подземных льдов показывает, что выделение отдельных залежей в льдистой толще включающего их мерзлого грунта сталкивается со значительными трудностями. Поэтому при изысканиях в районах их массового распространения необходимо составлять особую программу, предусматривающую специальные работы исходя из требований проектирования для данных геокриологических условий.
Изучение физико-геологических образований
3.39. Физико-геологические образования, включая и криогенные, легко дешифрируются при анализе аэрофотоматериалов и тем самым до начала полевых работ можно составить предварительную карту их распространения.
Аэровизуальные наблюдения позволяют уточнить карту физико-геологических образований, составленную в камеральный период, и наметить ключевые участки для их изучения.
В период полевых работ изучаются особенности распространения и строения криогенных и других физико-геологических образований. При этом отмечается следующее:
местоположение, высота, рельеф и геолого-геоморфологические особенности участков с криогенными образованиями;
форма образований и их основные размеры;
наличие растительности и характер ее размещения на отдельных элементах образований;
глубина сезонного промерзания-протаивания, литологический состав пород и криогенное строение вмещающих отложений.
Все эти сведения могут быть получены в ходе маршрутных исследований, горно-буровых и геофизических работ.
3.40. Пластовые льды залегают в толще тонкодисперсных отложений на глубине от 2 до 10 м и более, мощность льдов составляет до 10 м и более, а поперечник - от нескольких десятков метров до одного километра и более. В рельефе пластовые льды, как правило, не появляются. Поэтому для их визуального выявления необходимо обращать внимание на косвенные признаки: наличие в бортах долин и озер больших цирков, возникших за счет термокарста по пластовым льдам и разработанных в дальнейшем оползневыми и нивационными процессами. В маршрутах необходимо проводить следующий комплекс работ:
фиксировать размеры цирков;
описывать степень задернованности стенок;
расчищать и описывать незадернованные стенки цирка с целью выявления ледяных тел;
устанавливать приуроченность цирка к определенному геоморфологическому уровню.
3.41. Повторно-жильные льды (ПЖЛ) распространены к северу от 66° с.ш. и приурочены преимущественно к торфяникам. ПЖЛ в стадии консервации плохо прослеживаются на местности и на аэрофотоснимках. На местности они выявляются по едва выраженным в рельефе канавообразным понижениям, образующим в плане неполную решетку, которую можно видеть на аэрофотоснимках. ПЖЛ в стадии вытаивания обнаруживаются на местности в виде заболоченных канавообразных понижений и отчетливо заметны на аэрофотоснимках. Льды в большинстве случаев хорошо проявляются в рельефе благодаря полигонной решетке с ячеями от 3 - 5 до 20 - 25 м и более.
При изучении повторно-жильных льдов необходимо устанавливать:
размеры полигонов; поперечник их соответствует расстоянию между ледяными жилами;
глубину залегания ледяных жил;
ширину жил поверху (в большинстве случаев ширина жил превосходит ширину канав);
вертикальную мощность ледяных жил;
контакт между жилой и вмещающей породой: литологический состав, льдистость и генезис вмещающих отложений и их приуроченность к определенным элементам рельефа.
Основные характеристики могут быть получены в ходе шурфовочных работ и при изучении обнажений. Для определения вертикальных размеров ледяных жил нужно бурить зондировочные скважины. Все данные, полученные в ходе описания обнажений, шурфовочных и буровых работ, используются при расчете объемной макрольдистости.
При исследовании ПЖЛ хорошие результаты дают геофизические работы. Значение их особенно велико в тех случаях, когда льды плохо проявляются в рельефе.
3.42. Ледогрунтовые жилы развиты на тундровых участках к северу от 67° с.ш. Они типичны для лишайниковых и мохово-лишайниковых тундр. Методика изучения их та же, что и ПЖЛ.
3.43. Пучинные образования представлены буграми, грядами и площадями пучения. Эти образования легко выявляются на местности и на средне- и крупномасштабных аэрофотоснимках. Из них наиболее сложно оконтуриваются площади пучения в термокарстовых котловинах, которые слабо приподняты над их днищами и трудно различимы на местности. При изучении пучинных образований необходимо получить следующие сведения:
местоположение, приуроченность пучинных образований к долинам водотоков, к котловинам и т.д., что необходимо для определения их генезиса;
морфологические особенности - высота, размеры по площади, крутизна склонов и т.д. Высота бугров является показателем степени льдонасыщенности отложений, крутизна склонов - косвенным показателем глубины залегания льдонасыщенного ядра в пределах бугров пучения;
характер растительного покрова. Это позволяет оконтуривать площади пучения в термокарстовых понижениях и определять молодые растущие бугры пучения. Вспученные участки обычно не закустарены.
3.44. Перечисленные характеристики пучинных образований устанавливаются на маршрутных исследованиях, в ходе которых пучинные образования разделяются на группы, отличающиеся формами проявления и условиями образования.
В каждой из выделенных групп проводится изучение основной характеристики пучинных образований - их геокриологического строения, наличие линз ледяных или льдонасыщенных ядер, глубина их залегания, мощность и т.д. Эти сведения могут быть получены в результате разбуривания бугров.
Применение геофизических методов наиболее результативно при изучении площадей пучения и отдельных бугров среди мерзлых массивов нельдистых отложений или талых пород. При изучении скоплений бугров использование вертикального электрозондирования затруднительно.
3.45. Новообразования мерзлых пород изучаются в ходе маршрутных исследований: дается характеристика поверхностных условий новообразований ММП напочвенного покрова, условий дренированности участка, микрорельефа, экспозиции склона и т.д.
Сведения о глубине залегания верхней и нижней поверхности новообразований ММП могут быть получены в результате бурения скважин и геофизических работ. Бурение скважин позволяет также определить уровень грунтовых вод, состав и влажность-льдистость промерзлых отложений и подстилающих их талых пород.
| | ИС МЕГАНОРМ: примечание. Нумерация пунктов дана в соответствии с официальным текстом документа. | |
3.36. Термокарстовые образования представлены западинами, озерами и другими понижениями. По морфологическому облику термокарстовых понижений можно судить о степени льдистости поверхностных отложений и генезисе вытаивающих льдов. Канавообразные понижения - индикаторы ПЖЛ. Озера с поперечником 5 - 100 м при глубине 1 - 3 м и высокими крутыми берегами - индикаторы распространения сильнольдистых грунтов, приуроченных к буграм пучения. Озера глубиной до 1,5 - 2 м и поперечником от нескольких метров до одного километра с низкими пологими берегами - индикаторы вытаивания сегрегационных льдов. Глубина термокарстовых понижений примерно соответствует мощности вытаивающих льдов.
3.47. При исследовании термокарстовых форм отмечают их размеры (длину, ширину, глубину), детально описывают характер дна термокарстовых котловин (обводненность, растительный покров, микрорельеф и т.д.), строение склонов (крутизну, наличие трещин, оползней, растительный покров). Все эти данные необходимы для определения стадии развития термокарста.
Тенденцию развития термокарста можно выявить, анализируя результаты дешифрирования аэрофотоматериалов по съемкам разных лет. Изучается приуроченность термокарстовых образований к определенным формам рельефа, взаимосвязь термокарста с другими процессами (аэрозией, морозным растрескиванием и пр.).
При выявлении условий для прогрессирующего развития термокарста необходим сравнительный анализ геокриологического строения днища термокарстовых котлованов и окружающей территории. Необходимы сведения о составе поверхностных отложений и о мощности таликов в пределах термокарстового понижения. Для этих целей необходимо применение геофизических, буровых работ, и по возможности шурфования. При бурении обычно проходят две выработки: одну на дне термокарстового образования, другую - на смежном участке, заведомо не затронутом термокарстом.
Термокарстовые образования четко опознаются визуально и на аэрофотоснимках и поэтому в полевой период несложно выявить участки их развития.
3.48. Солифлюкционные образования распространены ограниченно.
Изучение солифлюкционных склонов, т.е. склонов, осложненных солифлюкционными формами рельефа (террасами, ступенями и т.д.) проводится, в первую очередь, при маршрутных исследованиях, в процессе которых устанавливается:
протяженность, крутизна и форма склонов;
взаимосвязь солифлюкции с другими процессами (нивацией, делювиальным смывом и т.д.);
состав, густота и сплошность растительного покрова, мощность и плотность торфянистого горизонта;
размеры солифлюкционных террас (длина, ширина, высота фронтального уступа, его форма);
глубина сезонного протаивания;
состав поверхностных отложений.
В маршрутах необходимо проводить глазомерную съемку участков с солифлюкционными образованиями.
Изучение строения солифлюкционных форм производится с помощью канав-траншей и шурфов, в которых проводят описание:
состава, отложений;
типа почвообразования;
криогенного строения отложений;
грунтовых вод.
Отбираются образцы на лабораторные анализы: гранулометрический, минералогический, химический для определения влажности, пластичности, плотности, вязкости.
3.49. Овражная эрозия и термоэрозия наиболее интенсивно проявляются в пределах молодых тектонических поднятий. Изучение эрозионных и термоэрозионных форм рельефа осуществляется с помощью дешифрирования аэрофотоматериалов и данных, полученных в маршрутах.
Для изучения этих процессов необходимо получить следующие сведения:
приуроченность к определенным геоморфологическим уровням и природным микрорайонам;
характер поверхности, на которой развиты эрозионные формы: высота над местным базисом эрозии, уклон, особенности микрорельефа;
растительность (видовой состав, густота и сплошность наземного покрова).
При изучении конкретных эрозионных и эрозионно-термокарстовых форм (оврагов, логов и т.д.) обращается внимание на:
продольный и поперечный профиль;
наличие конуса выноса и его размеры;
характер, наличие водотока;
растительный покров;
глубину залегания мерзлых пород на склонах и в днище оврага.
По аэрофотоснимкам оценивается пораженность территории аэрозионными процессами, % от общей площади.
3.50. Эоловые образования являются показателем широкого распространения относительно дренированных мощных супесчано-песчаных отложений и четко дешифрируются на аэрофотоматериалах в виде белых пятен. В процессе маршрутных исследований необходимо определить:
приуроченность эоловых образований к определенным геоморфологическим уровням;
характер растительности, плотность дернового покрова, микрорельеф, степень дренированности на участках с эоловыми образованиями;
состав отложений, подверженных эоловым процессам;
форму и размеры эоловых отложений;
глубину сезонного промерзания или протаивания грунтов и их влажность;
физико-геологические процессы, способствующие активизации или затуханию эоловых процессов (морозобойное растрескивание, овражная эрозия, склоновые процессы и др.).
Полученные характеристики позволяют установить:
стадию развития эоловых процессов, их прогрессирующее распространение на окружающую территорию;
интенсивность эоловых процессов в зависимости от состава отложений, скорости ветра и стадии развития процесса.
3.51. Болота изучаются в южных районах области распространения мерзлых пород, где они непроморожены. Количество труднопроходимых болот увеличивается к югу. При изучении болот следует обращать внимание на мощность водонасыщенного торфа, от которой зависит проходимость болот и которая определяет способы прокладки сооружений. Мощность водонасыщенного торфа определяется в результате бурения зондировочных скважин, которые пробуриваются до подстилающих торф отложений. Талые болота легко выявляются при геофизических исследованиях (электропрофилировании). Контуры талых болот можно выделить и по аэрофотоматериалам.
4. ЛАБОРАТОРНЫЕ РАБОТЫ ПРИ ГЕОКРИОЛОГИЧЕСКОЙ СЪЕМКЕ
Изучение физических свойств мерзлых грунтов
4.1. Физические свойства мерзлых грунтов могут изучаться в полевых и в лабораторных условиях. Такие свойства, как грансостав, пластичность, коэффициент фильтрации, плотность частиц грунта определяются по методике, принятой для немерзлых грунтов. Определение этих свойств необходимо не только для характеристики грунтов в оттаявшем состоянии, но и для расчета некоторых свойств мерзлых грунтов (плотности, влажности за счет незамерзшей воды, пучинистости). В полевых условиях допускается определение физических свойств талых и оттаявших грунтов с помощью полевой лаборатории Литвинова по ГОСТ 24586-81. Грунты. Методы лабораторного определения характеристик прочности и деформируемости мерзлых грунтов.
Основные характеристики физических свойств мерзлых грунтов: суммарная влажность, льдистость и плотность определяются в полевых условиях. Однако следует помнить, что полная характеристика влажности и льдистости мерзлого грунта, отнесенная к конкретной температуре, может быть сделана только с учетом содержания незамерзшей воды, определяемого в лабораторных условиях. В полевых условиях количество незамерзшей воды может быть рассчитано по формуле или по кривым незамерзшей воды аналогичного грунта, взятым по литературным данным.
4.2. Под влажностью грунта понимается содержание в нем воды, удаляемой высушиванием при 100 - 105 °C постоянной массы. Значение влажности выражают в процентах или долях единицы к массе сухого грунта.
Суммарная влажность Wс мерзлого грунта равна:
Wс = Wв + Wц + Wн = Wв + Wг, (2)
где Wв - влажность за счет ледяных включений;
Wц - влажность за счет льда-цемента (порового льда);
Wн - влажность за счет незамерзшей воды, содержащейся в мерзлом грунте при данной отрицательной температуре;
Wг - влажность минеральных прослоек или макроагрегатов, заключенных между ледяными включениями.
Для грунтов массивной криогенной текстуры суммарную влажность принимают равной Wс = Wг = Wц + Wн. При изучении мерзлых грунтов в массиве определяют влажность минеральных прослоек или макроагрегатов Wг и суммарную влажность выделенных слоев и горизонтов. Определение значений влажности следует делать в пределах литологически различных слоев или для горизонта грунта, глубина которого устанавливается проектными условиями работы сооружений.
В зависимости от криогенного строения применяются различные методы определения суммарной влажности. В основном для всех криогенных текстур целесообразно применять метод средней пробы или расчетный метод. Для грунтов с массивной текстурой
Wс может определяться точечным методом или методом бороздки. Способы определения влажности даны в
прил. 4.
4.3. Под льдистостью мерзлого грунта понимают отношение объема содержащегося в нем льда к объему всего мерзлого грунта. Значение льдистости выражают в процентах или долях единицы.
Суммарную льдистость Лс выражают: Лс = Лв + Лц, где Лв - льдистость за счет ледяных включений; Лц - льдистость за счет льда цемента.
Об измерении льдистости за счет ледяных включений уже говорилось (см.
прил. 4). Льдистость минеральных прослоек и макроагрегатов мерзлого грунта только за счет льда цемента
Лц выражается формулой

(3)
где

- плотность сухого грунта, кг/м
3;
Wг - влажность минеральных прослоек, доли единицы;
Wн - влажность за счет незамерзшей воды, доли единицы.
4.4. Под плотностью принимают массу единицы объема грунта, различают:
плотность мерзлого грунта ненарушенного сложения

, кг/м
3, равная отношению массы монолита мерзлого грунта к его объему;
плотность сухого грунта

, кг/м
3, равная отношению массы высушенного монолита к его первоначальному объему в мерзлом состоянии.
Взаимозависимость плотности грунта

, плотность сухого грунта

, плотности частиц грунта

и суммарной влажности
Wс определяется следующими выражениями:

(4)

(5)
Определение плотности мерзлых песчано-глинистых грунтов, так же, как и других свойств, проводится различными методами в зависимости от криогенного строения. Для мерзлых грунтов массивной криогенной текстуры применяются методы режущего кольца, обмера образцов правильной геометрической формы, метод взвешивания в нейтральной жидкости. Для грунтов с другими криогенными текстурами - метод вытеснения нейтральной жидкости или расчетный (по плотности частиц грунта и суммарной влажности). Плотность мерзлых крупнообломочных грунтов определяется методом вытеснения нейтральной жидкости или методом лунки. В зависимости от гранулометрического состава крупнообломочных грунтов и степени его однородности определяется размер образца и необходимая повторность определения. (
Руководство по определению физических, теплофизических и механических характеристик мерзлых грунтов. - М.: Стройиздат, 1973.).
Применение метода обмера правильной фигуры можно рекомендовать только при невозможности использования других методов. Этот метод в связи с трудностью соблюдения равенства ребер и углов куба или прямоугольной призмы всегда будет давать ошибку в сторону преувеличения плотности <*>. Не улучшит результата и повторность.
--------------------------------
<*> Для определения плотности и влажности в массиве, особенно при необходимости фиксации изменений этих параметров во времени в стационарных скважинах, целесообразно применение радиоизотопных поверхностно-глубинных плотномера (ППГР-1) и влагомера (ВПГР-1).
Наиболее широко применяемые методы определения плотности мерзлых грунтов приведены в
прил. 5.
4.5. Под засоленностью грунта понимают содержание в нем массы воднорастворимых солей. Засоленность
Z выражают в процентах к плотности сухого грунта, включая массу водорастворимых солей, т.е.

, где
gr - плотность сухого грунта, включая и массу водорастворимых солей. С увеличением засоленности резко возрастает содержание незамерзшей воды, что в свою очередь оказывает существенное влияние на теплофизические и механические свойства грунтов.
Определение общей засоленности рекомендуется производить методом водной вытяжки. Для суждения об агрессивности мерзлых грунтов при их оттаивании на различные материалы сооружений необходимо получить анализ химического состава водной вытяжки и порового раствора с помощью принятых методов в специализированной химической лаборатории.
Засоленность грунта Z определяется по формуле

(6)
где gz - масса сухого остатка водной вытяжки, кг;
g1 - масса сухой навески, кг;
W - влажность грунта в долях единицы (определяют методом средней пробы).
Изучение механических свойств мерзлых грунтов
4.6. Механические свойства мерзлых, промерзающих и оттаивающих грунтов (сжимаемость, осадка при оттаивании, пучинистость и др.) изучаются как в лабораторных (на малых образцах), так и в полевых условиях. При оценке основных механических свойств глинистых и песчаных грунтов с массивной криогенной текстурой или другими текстурами, где включения льда несоизмеримо меньше размеров образца, применяются лабораторные методы. При наличии крупных включений льда или крупнослоистой текстуры, а также для крупнообломочных грунтов, определение основных механических свойств необходимо проводить в натурных условиях с помощью полевых испытаний.
4.7. Под сжимаемостью мерзлого грунта понимают его уплотнение без возможности бокового расширения, вызываемого действием сжимающей нагрузки. Сжимаемость мерзлого грунта в лаборатории определяется в установках, аналогичных компрессионным, в соответствии с методикой по ГОСТ 24586-81 "Грунты. Методы лабораторного определения характеристик прочности и деформируемости мерзлых грунтов". Ступени нагрузки выбираются в пределах от природного давления (глубина взятия образца) до заданной или равной нормативному сопротивлению мерзлого грунта нормальному давлению.
4.8. Определение сжимаемости оттаивающего грунта (осадка при оттаивании) производится на основе данных об относительном сжатии. Под относительным сжатием мерзлого грунта при оттаивании понимают осадку, отнесенную к слою грунта единичной толщины, обусловленную таянием ледяных включений и уплотнением оттаявшего грунта при воздействии сжимающей нагрузки. Сжимаемость при оттаивании определяется в лаборатории в специальной компрессионной установке с помощью теплового штампа или при комнатной температуре под обычным штампом по ГОСТ 24586-81. Сжимаемость при оттаивании определяется также в полевых условиях на строительной площадке для любых разновидностей грунтов в опытном шурфе с помощью специальной установки при применении теплового штампа площадью не менее 5000 см2.
4.9. Сопротивление мерзлых грунтов нормальному давлению определяется по предельно длительному значению этого сопротивления, принимаемого за нормативную величину, характеризующую несущую способность мерзлых грунтовых оснований. Значение нормативного сопротивления грунта нормальному давлению Rн определяется для основных разновидностей грунтов по главе СНиП II-18-76. Основания и фундаменты на вечномерзлых грунтах.
Для сильнольдистых засоленных и заторфованных грунтов рекомендуется определение экспериментальным путем в полевых условиях (испытание штампом) или в лаборатории (изменение сдвиговых напряжений, трехосного и одноосного сжатия). Выбор измеряемых параметров и количество испытываемых образцов ввиду сложности и трудоемкости методики определяются специальным заданием исходя из проектных решений для наиболее ответственных сооружений и при учете особенностей геокриологических условий.
Наиболее простым и оперативным методом оценки сопротивления грунтов нормальному давлению является испытание грунта шариковым штампом по ГОСТ 24586-81.
При испытании мерзлых грунтов с различным криогенными текстурами предъявляется требование к размеру шарикового штампа, который должен быть в 10 раз больше самых крупных видимых включений льда. Это требование ограничивает возможности метода, его рекомендуется применять только для грунтов с очень мелкими криогенными текстурами.
4.10. Этим методом определяется также эквивалентное сцепление, учитывающее как собственное сцепление, так и внутреннее.
Сущность метода заключается в определении деформаций ползучести грунта при длительном вдавливании в него под постоянной нагрузкой шарикового штампа. По полученным значениям деформаций вычисляют эквивалентное сцепление Cэкв и фиксируют его изменение во времени. Значение эквивалентного сцепления Cэкв для каждого момента времени устанавливают по величине погружения в грунт шарикового штампа при действии постоянной нагрузки.
Деформация грунта под штампом является переменной во времени величиной, зависящей от продолжительности действия нагрузки. Поэтому различают наибольшее, или условно-мгновенное эквивалентное сцепление мерзлого грунта Cэкв.мгн, определяемое для десятисекундного момента от начала испытания, и наименьшее, или предельно длительное эквивалентное сцепление Cэкв.дл, определяемое за время, в которое наступает стабилизация деформации образца под штампом.
По полученным значениям эквивалентного сцепления
Cэкв мерзлого грунта строят кривую зависимости сцепления от времени, т.е. кривую длительной прочности, по которой определяют величину мгновенного
Cэкв.мгн и предельно длительного сцепления
Cэкв.дл. Величина мгновенного сцепления
Cэкв.мгн соответствует ординате для времени 10 с, величина предельно длительного сцепления
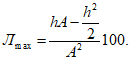
Cэкв.дл - ординате времени стабилизации деформации. Величину предельно длительного эквивалентного сцепления по 8-часовым испытаниям определяют по формуле
Cэкв.дл = 0,8
Cэкв8, где
Cэкв8 - эквивалентное сцепление, рассчитанное по деформации грунта под штампом через 8 ч после начала опыта. Значение нормативного сопротивления мерзлого грунта нормальному давлению

определяют по формуле
Rн = 5,7
Cэкв +
g, где
Cэкв - нормативное значение эквивалентного сцепления (среднее значение не менее трех повторных определений
Cэкв.дл, Па;

- пригрузка, кг;

- плотность мерзлого грунта, кг/м
3;
H - глубина заложения фундамента, см.
4.11. Под пучинистостью грунтов понимается способность грунтов увеличивать свой объем при промерзании. Фундаменты или сооружения, расположенные в пучинистых грунтах, при промерзании последних испытывают воздействие двух видов сил пучения - касательных и нормальных. Эти силы, достигая критических значений, могут существенно деформировать сооружения.
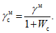
Величина пучения грунтов зависит от ряда факторов и условий, основными из которых являются: гранулометрический состав грунтов, глубина промерзания и степень охлаждения грунтов, свойства их, характеризующие условия миграции влаги к фронту промерзания. Величина пучения, отнесенная к слою промерзающего грунта толщиной 1 м, называется модулем пучения m, см/м, и выражается

(7)
где

- плотность сухого грунта, кг/м
3;

- плотность воды, кг/м
3;
Wизб - избыточное льдовыделение, вызывающее пучение грунта, доли ед.
H = mh, (8)
Тогда H = mh, где H - полная величина пучения, см; h - глубина промерзания, м.
Величина касательных и нормальных сил пучения, воздействующих на сооружение, с наибольшей достоверностью определяются в полевых условиях на специальных опытных установках.
При отсутствии таких опытных данных для определенных мерзлотно-грунтовых условий допускается принимать величину касательных сил пучения по прил. 5 (СНиП II-18-76. Основания и фундаменты на вечномерзлых грунтах).
Изучение теплофизических свойств мерзлых грунтов
4.12. При использовании мерзлых и оттаивающих грунтов в качестве оснований необходимо проведение ряда теплофизических расчетов для количественной оценки результатов теплового взаимодействия сооружения с основанием.
Теплофизические свойства грунта зависят от влажности, плотности, гранулометрического состава, криогенной текстуры и температуры. Поэтому применяемые в расчетах параметры должны определяться только на образцах естественного сложения и влажности.
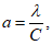
Основными расчетными характеристиками теплофизических свойств мерзлого или оттаявшего грунта, необходимыми для расчетов теплового взаимодействия, являются: объемная теплоемкость C и коэффициент температуропроводности a, связанные между собой соотношением

(9)
где

- теплопроводность грунта.
4.13. Теплоемкость грунта характеризует его способность аккумулировать тепло. Различают удельную теплоемкость
c и объемную теплоемкость
C, связанных соотношением:

, где

- плотность грунта, кг/м
3.
В теплотехнических расчетах промерзания-протаивания грунтов в качестве расчетного параметра принимают величину собственной теплоемкости мерзлого грунта, которую, как правило, экспериментально не определяют, а рассчитывают по формуле, кДж/(кг·К)

(10)
где cск - удельная теплоемкость минерального скелета грунта кДж/(кг·К); приближенные значения cск можно принимать для песков 0,71; для супесей 0,75; для суглинков 0,80 - 0,85 и для глин 0,88 - 0,92;
cв и cл - удельные теплоемкости соответственно воды и льда, кДж/(кг·К):
Wс - суммарная влажность, доли ед.;
Wн - количество незамерзшей воды, доли ед.
4.14. Теплопроводность грунта характеризуется величиной коэффициента теплопроводности. При теплофизических расчетах оснований зданий и сооружений, возводимых на мерзлых грунтах, величина теплоемкости и коэффициента теплопроводности определяются по расчетным значениям теплофизических характеристик талых и мерзлых грунтов в прил. 1 (СНиП II-18-76. Основания и фундаменты на вечномерзлых грунтах).
Экспериментальное определение теплопроводности грунтов предусматривается только при строительстве в особо сложных геокриологических условиях, а также на сильнольдистых, переувлажненных и засоленных грунтах.
4.15. Экспериментальное определение коэффициента теплопроводности мерзлых грунтов производится методом стационарного теплового режима при температуре образца, равной естественной температуре грунта, а также методом теплового импульса, исключающим перераспределение влаги в образце.
Исследование образцов малых размеров (из керна) выполняется методом регулярного теплового режима, но при этом температура образца должна быть не выше минус 10 °C. Значение теплопроводности для температуры грунта выше минус 10 °C рассчитывается по формуле, Вт/(м·К)

(11)
где

и

- значения коэффициента теплопроводности грунта в мерзлом и талом состоянии, Вт/(м·К);

и
Wн - содержание незамерзшей воды в образце мерзлого грунта в долях единицы при заданной температуре грунта и температуре опыта;
Wс - суммарная влажность грунта, доли ед.
Коэффициент теплопроводности сильнольдистых грунтов слоистой текстуры рассчитывается по формуле, Вт/(м·К)

(12)
где

- объемная льдистость грунта за счет ледяных включений, доли ед.;

- коэффициент теплопроводности ледяных прослоек; в расчете можно принимать

;

- коэффициент теплопроводности грунтов.
5. КАМЕРАЛЬНЫЕ РАБОТЫ ПРИ ГЕОКРИОЛОГИЧЕСКОЙ СЪЕМКЕ
5.1. Полученные в результате полевых и лабораторных исследований материалы излагаются в форме научно-технического отчета.
Отчет о выполненной геокриологической съемке должен содержать графические, табличные материалы и текстовую часть. Текст отчета состоит из трех частей - общей, специальной и прогноза с рекомендациями.
5.2. В общей части содержатся следующие сведения:
введение (заказчик работ, краткая характеристика проектируемого объекта, цели и задачи съемки, сроки и объемы работ, исполнители);
краткое описание административного положения и экономического состояния района работ с характеристикой путей сообщений и транспортных средств;
характеристика климатических условий района работ (строительно-климатическая зона, температурный режим воздуха, осадки, ветровой режим, радиационно-тепловой баланс поверхности);
геологическое и гидрогеологическое строение района, геоморфологические условия.
5.3. В специальной части содержатся сведения:
методика работ;
распространение и мощность многолетнемерзлых грунтов;
сезонное промерзание-протаивание грунтов;
температура, состав и строение мерзлых пород;
физико-геологическое образование и процессы;
физические, механические, теплофизические свойства грунтов в мерзлом состоянии и при оттаивании;
результаты геофизических исследований.
5.4. В третьей части дается прогноз возможных изменений естественной обстановки при освоении территорий, приводятся рекомендации по выбору целесообразных способов строительства различных сооружений (трубопроводов, объектов обустройства) и мероприятий по обеспечению их устойчивости и эксплуатационной надежности.
5.5. Текст отчета иллюстрируется картографическим материалом, таблицами и графическими приложениями.
В состав картографического материала входят:
инженерно-геокриологические карты;
инженерно-геокриологические разрезы;
карты природного микрорайонирования.
Табличный материал содержит сводку характеристик природных микрорайонов и сводку физико-механических свойств грунтов.
К графическим приложениям относятся:
карты фактического материала;
материалы инженерно-геологических работ;
материалы геофизических исследований.
6. ГЕОКРИОЛОГИЧЕСКАЯ СЪЕМКА И РАЙОНИРОВАНИЕ ТЕРРИТОРИИ
ДЛЯ СТАДИИ ТЕХНИЧЕСКОГО ПРОЕКТИРОВАНИЯ (ТП)
6.1. На стадии технического проекта в предполевой период производится сбор, систематизация и анализ материалов по выбранным вариантам строительных площадок или трасс. Обязательным является предполевое дешифрирование аэрофотоснимков и установление ландшафтных индикаторов геокриологических условий. Итоговым документом предполевого периода является рабочая карта природного микрорайонирования (см.
п. 1.6).
По рабочей карте производится выбор ключевых участков и определение объемов работ.
Ключевые участки выбираются в наиболее типичных для данной территории геокриологических условиях и должны охватывать все основные типы природных микрорайонов.
Количество ключевых участков зависит от сложности и разнообразия геокриологических условий, степени их изученности и должно определяться количеством распространенных на данной территории типов природных микрорайонов.
Ориентировочные объемы основных видов работ при геокриологической съемке приводятся в приложениях. Объемы работ даются по стадиям проектирования раздельно для полос трасс трубопроводов
(прил. 6) и для строительных площадок
(прил. 7).
6.2. Первым этапом полевых работ на стадии ТП являются аэровизуальные наблюдения. Они производятся при обследовании полос трасс трубопроводов; при изысканиях на строительных площадках они обычно не применяются.
Аэровизуальное обследование полос трасс позволяет максимально быстро решить ряд организационных, методических и инженерно-геологических вопросов. При проведении наблюдений особое внимание обращается на:
расчлененность рельефа;
состав, высоту и распределение растительного покрова и приуроченность его к тем или иным формам рельефа;
наличие болот или торфяников;
наличие криогенных форм рельефа;
наличие и направление полос стока;
наличие и размеры естественных и искусственных препятствий.
6.3. Аэровизуальные наблюдения выполняются по полосе трасс шириной не менее 1,5 км. Результаты наблюдений наносятся на карту масштаба не мельче 1:100 000 с последующим переносом на рабочую карту масштаба 1:25 000 или рабочую схему 1:17 000 и фиксируются в дневнике.
По окончании полевых работ целесообразно провести повторные аэровизуальные наблюдения на наиболее сложных участках трасс между ключевыми участками.
6.4. Основной задачей полевых исследований в пределах осваиваемой территории на стадии ТП является проведение геокриологической съемки.
6.5. В полосе трасс трубопроводов съемка проводится для выбора направлений с оптимальными геокриологическими условиями. В зависимости от сложности природных условий, а также условий и объемов строительства ширины полосы съемки вдоль трасс варьирует от 1,5 до 4 км (наиболее часто - 2 км). Все съемочные работы осуществляются с помощью ключевого метода.
В полевой период производится дешифрирование аэрофотоснимков и установление ландшафтных индикаторов геокриологических условий. Рекомендуется использование аэрофотоматериалов масштаба 1:10 000 - 1:20 000. Для выявления общих закономерностей природных условий и выбора направлений маршрутов необходимо применение фотосхем масштаба 1:25 000 - 1:50 000 и топографических карт масштаба 1:25 000 - 1:100 000.
Съемочные работы начинаются на ключевых участках проведением маршрутных исследований. Маршруты рекомендуется проводить вдоль оси предполагаемой трассы, а также в полосе с таким расчетом, чтобы они пересекали максимальное количество природных микрорайонов.
6.6. Геокриологическая съемка под строительные площадки производится для выбора площадок с оптимальными геокриологическими условиями. Работы производятся на всей территории без применения ключевого метода. Для полевого дешифрирования и маршрутных исследований рекомендуется использование аэрофотоснимков масштаба 1:10 000 - 1:5 000. Маршрутные исследования должны проводиться таким образом, чтобы каждый выделенный микрорайон пересекался несколько раз. Обычно они проводятся по сетке, расстояние между узлами которой не более 50 м.
6.7. В ходе маршрутных исследований по трассам и на площадках проводится окончательное наземное дешифрирование аэрофотоснимков - уточняются границы предварительно выделенных природных микрорайонов и их дешифровочные признаки. На трассах рекомендуется выделять природные микрорайоны размером не менее 100 - 200 м в поперечнике, а на площадках - 20 - 40 м и более. Производится детальное описание природных условий внутри выделенных контуров. Намечаются на местности горные выработки (скважины, шурфы), геофизические профили, точки ВЭЗ. При этом они обязательно привязываются на местности, а также выносятся на аэрофото- или топографическую основу для последующего составления карты фактического материала. Кроме того, фиксируются все естественные обнажения для их последующего детального изучения.
6.8. При исследовании природных микрорайонов дается описание:
рельефа - расчленение поверхности (густота речной и овражно-балочной сети, глубина вреза долин и оврагов, их поперечный профиль, заболачивание), крутизны и экспозиции склонов, бугристости и т.д.;
растительного покрова - типов растительности (древесная, кустарниковая и т.д.), густоты, высоты и видового состава ярусов (для лесов указывается сомкнутость крон); напочвенного покрова (травяной, моховый, лишайниковый и т.д.), его сплошности и мощности;
водотоков и озер - глубина, ширина и скорость течения для рек, а для озер - размеры поперечника, очертания береговой линии, высота береговых уступов;
состава поверхностных отложений, в пределах торфяников; особое внимание обращается на мощность, степень разложения и ботанический состав торфа;
глубин сезонного протаивания (промерзания) грунтов;
физико-геологических процессов (заболачивание, эрозия, оползневые и эоловые процессы, морозное растрескивание, пучение, термокарст, солифлюкция) и обусловленных ими образований (болота, заболоченные участки, овраги, оползни, сплывы, песчаные раздувы, термокарстовые озера и западины, полигонные формы рельефа, повторно-жильные льды, пластовые льды, многолетние и сезонные бугры пучения, линейно-ориентировочные гряды, пятна-медальоны, полосчатые грунты, каменные многоугольники, солифлюкционные языки и террасы, нагорные террасы).
6.9. Маршрутные исследования на трассах проводятся также и между ключевыми участками. Они являются необходимой составной частью геокриологической съемки для данной стадии изысканий, поскольку позволяют возможно более детально характеризовать участки полос трасс, не подвергшихся комплексному геокриологическому исследованию. Методика их проведения аналогична вышеописанной для маршрутов на ключевых участках. Маршруты между ключевыми участками желательно осуществлять на наземном вездеходном транспорте.
Помимо основных видов маршрутных наблюдений проводятся специальные маршруты вне трасс для изучения естественных обнажений и отдельных физико-геологических процессов и образований, определяющих природную обстановку в пределах обследуемых территорий. Количество и детальность таких маршрутов зависят от интенсивности проявления процессов или степени распространения тех или иных образований.
На основании намеченных в ходе маршрутов выработок и профилей в дальнейшем проводятся горно-буровые и геофизические работы.
6.10. Бурение опорных скважин в пределах ключевого участка осуществляется в полосе трасс, но не менее 50% их количества должно находиться на выбранной оси трассы трубопровода. Остальные скважины располагаются на поперечниках и в наиболее типичных местах. Количество скважин не регламентировано и зависит от сложности природных условий, однако оно не должно быть менее двух в пределах каждого типа природного микрорайона. На строительных площадках опорные скважины должны проходиться в каждом микрорайоне не менее трех. Рекомендуется бурить скважины по сетке, расстояние между узлами которой составляет 200 - 300 м. Глубина этих скважин определяется мощностью слоя годовых колебаний температуры и варьирует от 6 - 7 до 12 - 15 м.
Помимо опорных скважин в пределах каждого типа природного микрорайона закладываются не менее 2 - 3 зондировочных скважин глубиной до 3 - 5 м для уточнения конфигурации кровли ММП, определения глубин сезонного протаивания (промерзания), мощности верхнего льдистого горизонта и т.д. Около каждой опорной скважины необходима проходка шурфов в слое сезонного протаивания (промерзания) для отбора монолитов. Кроме того, проходка шурфов позволяет провести исследования криогенных процессов в сезонном слое (криотурбаций, инволюция и т.д.).
6.11. Для наиболее полного и детального изучения условий залегания и криогенного строения различных литолого-генетических комплексов отложений и сопутствующих им криогенных образований (повторно-жильные льды, пластовые льды и т.д.) необходимо исследовать естественные обнажения, расположенные в пределах исследуемых участков и на сопряженных территориях. Стенки обнажений зачищаются, проводятся детальное описание и промеры различных элементов залегания литологических горизонтов и криогенных образований, исследуются структурные и текстурные особенности изучаемых объектов. Обнажения фотографируются, зарисовываются в полевых журналах, после чего из них отбираются монолиты для последующего изучения свойств грунтов или льда.
6.12. Бурение скважин, проходка шурфов и прочие горно-буровые работы должны сопровождаться отбором образцов грунта для определения физических, механических и теплофизических свойств грунтов. Методику отбора образцов для лабораторных исследований см. в
пп. 3.16 -
3.18.
Отбор образцов для определения физических свойств грунтов производится при исследованиях в полосе трасс и на строительных площадках.
Интервал отбора образцов для определения суммарной влажности зависит от льдистости и дисперсности грунтов и не должен превышать: для тонкодисперсных сильнольдистых и льдистых грунтов - 0,5 м (по методу средней пробы), для слабольдистых тонкодисперсных грунтов - 0,8 - 1 м (по методу бороздки), для всех видов песчаных грунтов - 1 м (по методу бороздки или точечным методом).
Отбор образцов для определения влажности минеральных прослоев грунта осуществляется из тонкодисперсных разностей, не менее 10 определений для каждого литолого-генетического типа осадков в пределах одного ключевого участка. Оптимальное количество определений влажности минеральных прослоев грунта в одной скважине - 3 - 4 м.
Отбор образцов для определения плотности и плотности частиц грунтов, их гранулометрического состава, пластичности, химического состава должен осуществляться из каждой литологической разности в интервале не более 1 м. Из каждой литологической разности рекомендуется отбирать не менее 10 - 15 проб грунта.
Механические и теплофизические характеристики грунтов при исследованиях в полосах трасс могут быть приняты по таблицам и расчетным формулам СНиП II-18-76. Основания и фундаменты на вечномерзлых грунтах. При исследованиях на строительных площадках в сложных геокриологических условиях необходимо проводить отбор образцов для лабораторного определения механических и теплофизических свойств грунтов. При простых геокриологических условиях эти характеристики могут быть приняты по таблицам и расчетным формулам.
Помимо обязательного комплекса опробования грунтов для специальных лабораторных исследований желательно производить отбор проб на спорово-пыльцевой, диатомовый, фораминиферовый анализы грунтов, для определения абсолютного возраста отложений радиоуглеродным методом и т.д. (Руководство по изучению новейших отложений. - М.: МГУ, 1976).
6.13. В каждой пробуренной скважине проводится термокаротаж. Необходимо проводить 2 - 3-кратные замеры температуры по изложенной выше методике.
В пределах каждого типа природного микрорайона проводится измерение глубин сезонного промерзания и протаивания грунтов, причем каждый микрорайон должен быть охарактеризован не менее чем 10 точками. Измерения, как правило, проводятся по скважинам буром геолога или щупом. Кроме того, измерения глубины сезонного протаивания-промерзания грунтов осуществляются и в процессе электропрофилирования.
Комплекс геофизических работ включает в себя электропрофилирование (ЭП) и вертикальное электрозондирование (ВЭЗ).
На трассах выполняется непрерывное ЭП по ее оси и поперечникам. Как показывает практика, оптимальными разносами являются AB = 25 и 50 м и шаг измерений, равный 25 или 50 м. Длина разносов установки и величина шага профилирования зависит от конкретных геокриологических условий: они тем меньше, чем сложнее участок изысканий. На участках со сложными геокриологическими условиями необходимо проведение непрерывного ЭП дипольными установками по методу двух составляющих.
Электропрофилирование на строительных площадках целесообразно проводить по сетке маршрутного исследования, разреживая ее в той или иной степени в зависимости от изменчивости геокриологических условий. Шаг профилирования 10 - 20 м.
На трассах вертикальное электрозондирование проводится в пределах каждого природного микрорайона (точки ВЭЗ закладываются в центре выделенных контуров), а также в местах аномалий, выделенных электропрофилированием. Величина максимальных разносов выбирается в соответствии с требуемой глубинностью исследований. Опорные точки ВЭЗ рекомендуется закладывать около опорных скважин с целью корректировки результатов интерпретирования, более точного определения величин удельного сопротивления мерзлых и талых грунтов.
На площадках точки электрозондирования закладываются таким образом, чтобы осветить основные типы микрорайонов. Их рекомендуется размещать между скважинами по сетке, расстояние между узлами которой 200 - 300 м. Удобнее всего скважины и точки ВЭЗ размещать в шахматном порядке. Часть ВЭЗов (1 - 2 в пределах каждого микрорайона) необходимо выполнять непосредственно у скважин, разрезы которых будут служить опорными для интерпретации геоэлектрических разрезов.
6.14. Полевые камеральные работы включают в себя помимо дешифрирования аэрофотоснимков ведение полевых журналов горно-буровых работ, расчета влажности и плотности грунтов, построения колонок скважин, шурфов, обнажений, графиков электропрофилирования (геоэлектрических разрезов), кривых ВЭЗ с предварительной интерпретацией, составления полевой инженерно-геокриологической карты полос трасс масштаба 1:25 000 и инженерно-геокриологических разрезов по оси и поперечников в масштабе не менее 1:25 000. Полевые варианты инженерно-геокриологических карт на строительные площадки составляются в масштабе 1:10 000 или 1:5 000.
Полевые инженерно-геокриологические карты составляются на топографической или аэрофотооснове, руководствуясь предполевой картой природного микрорайонирования в черно-белом варианте. За основу выносятся уточненные границы природных микрорайонов с соответствующими им типами грунтовой толщи, а также основные геокриологические характеристики, полученные в результате первичной обработки полевых материалов. Тип грунтовой толщи показывается штриховкой, а остальные геокриологические характеристики - цифрами и внемасштабными знаками. Кроме того, на карту выносится весь фактический материал (точки наблюдений, скважины, точки ВЭЗ и т.д.). Самостоятельная полевая карта природного микрорайонирования не составляется.
Полевая инженерно-геокриологическая карта служит основным рабочим материалом в полевой период, на ее основе непосредственно в поле можно осуществлять корректировку направления оси трасс и размещения сооружений на площадках.
Полевая инженерно-геокриологическая карта дополняется инженерно-геокриологическими профилями, на которых должно быть отражено детальное геокриологическое строение верхней части толщи горных пород.
Камеральные работы и отчетные материалы
6.15. Камеральная обработка полевых материалов завершается составлением отчета по геокриологической съемке, включающего следующие разделы:
карта природного микрорайонирования; для полос трасс - в масштабе 1:25 000, для строительных площадок - 1:10 000 - 1:5 000;
инженерно-геокриологическая карта; для полос трасс - в масштабе 1:25 000, для строительных площадок - 1:10 000 - 1:5 000;
инженерно-геокриологические разрезы по оси трассы и поперечники по наиболее сложным участкам трасс в масштабе - горизонтальный 1:25 000, вертикальный 1:200; поперечники по площадкам - горизонтальный 1:10 000 - 1:5 000, вертикальный 1:200;
текстовая часть отчета (пояснительная записка);
фактический материал.
6.16. Карта природного микрорайонирования составляется на фотоплане или на топографической основе в результате окончательного дешифрирования аэрофотоснимков. Для отображения природных микрорайонов на карте используется цвет (по возможности с учетом геоморфологических уровней). Каждому типу природных микрорайонов придается порядковый номер, что позволяет составлять карты в черно-белом варианте без цветовой закраски. В легенде карты, которая имеет вид развернутой таблицы, приводится детальная геокриологическая характеристика природных микрорайонов: распространение ММП, их мощность; среднегодовая температура грунтов (над чертой - мерзлых, под чертой - талых); состав и мощность грунтовых разностей, подстилающих сезоннопротаивающие и сезоннопромерзающие грунты (до глубины 15 м);
влажность отложений; относительная осадка при протаивании мерзлого грунта; средняя по разрезу просадочность минеральных мерзлых грунтов; мощность и состав сезоннопротаивающих и сезоннопромерзающих грунтов, их свойства (влажность, плотность сухого грунта, теплопроводность и объемная теплоемкость талого и мерзлого грунта); современные физико-геологические процессы. Эти данные дают возможность производить аналитические расчеты глубин сезонного промерзания и протаивания (нормативных и в естественных условиях) и прогноза изменения геокриологических условий вследствие естественных изменений природной среды или в связи с промышленным освоением территории.
Таблица содержит информацию, необходимую для инженерно-геокриологической оценки различных природных микрорайонов, что дает возможность выбирать участки, наиболее благоприятные с точки зрения геокриологических условий для каждого вида строительства.
Принятый способ составления карт природного микрорайонирования, обеспечивающий детальную инженерно-геокриологическую характеристику природных микрорайонов, позволяет во многих случаях не производить другого специального инженерно-геокриологического районирования. По этой методике составляются карты в масштабах от 1:25 000 до 1:5 000.
Карта природного районирования является основой для составления инженерно-геокриологической карты
(прил. 8).
Приводимый макет карты природного районирования составлен для зоны прерывистого распространения мерзлых пород.
6.17. Инженерно-геокриологическая карта (масштаба 1:25 000 - 1:5 000) должна содержать сведения, необходимые для выбора трасс и площадок с оптимальными геокриологическими условиями и оценки условий строительства сооружений (трубопроводов и объектов обустройства). Они сводятся к получению следующей информации:
состава мерзлых и талых отложений (типы разрезов грунтовой толщи до глубины 10 - 15 м);
распространения ММП;
среднегодовой температуры талых и мерзлых пород;
просадочности ММП;
глубины сезонного промерзания и протаивания грунтов;
основных физико-геологических образований и процессов;
глубины залегания грунтовых вод (летне-осенний уровень).
Для отображения этих элементов геокриологической обстановки на карте целесообразно применять следующую систему условных обозначений.
Основное изобразительное картографическое средство - цвет - отдается отображению типов разрезов грунтовой толщи; таким образом, на карте наглядно отражается изменение состава пород как в плане, так и в разрезе, создается возможность относительно простым картографическим приемом показать двухслойный и трехслойный разрез. Каждому типу разреза придается порядковый номер.
Стратиграфо-генетические комплексы отложений обозначены на карте индексами по принятой стратиграфической схеме. Эта дополнительная информация в определенной степени объясняет особенности состава и свойств пород.
Распространение ММП показывается цветной горизонтальной штриховкой различной прерывистости (при сплошном их распространении линия непрерывная, с увеличением прерывистости длина линий уменьшается). Участки с талыми породами не имеют штриховки, и поэтому карты легко читаются. По распространению принято 4 градации.
Просадочность мерзлых пород изображается толщиной штриховки, отображающей распространение ММП. С увеличением просадочности толщина штриховки увеличивается. По просадочности принято 3 градации.
Двойная штриховка на карте отражает двухслойное строение разреза по просадочности.
Температура ММП отображается черной вертикальной (для мерзлых пород) и горизонтальной (для талых пород) штриховкой различной густоты и толщины (с понижением температуры толщина и густота штриховки возрастает). Обычно принято 5 - 7 температурных градаций для мерзлых пород и 2 - 3 - для талых.
Глубины сезонного промерзания и протаивания грунтов, характерные для различных природных микрорайонов, показаны цифрами.
Физико-геологические образования и процессы и глубина залегания грунтовых вод отражаются на карте внемасштабными знаками черного цвета.
На карту наносится также фактический материал полевых исследований (буровые скважины, точки геофизических наблюдений).
6.18. При необходимости инженерно-геокриологическая карта составляется в черно-белом варианте. Такие карты являются менее наглядными, но техническое исполнение их намного проще. Кроме того, они легко могут быть размножены, что является весьма существенным фактором, так как проектировщикам и строителям требуется большое количество экземпляров карт.
На черно-белых картах типы разрезов грунтовой толщи показаны буквенными индексами, глубина залегания кровли второго и третьего горизонтов - цифрами. Стратиграфо-генетические комплексы отложений обозначаются индексами в соответствии с принятой стратиграфической схемой. Среднегодовая температура пород отражена различными типами черной вертикальной (для мерзлых пород) наклонной (для талых пород) штриховки. Выделено шесть температурных градаций для мерзлых пород (от 0 до минус 1 °C; от 0 до минус 2°; от минус 1 до минус 4°; от минус 3 до минус 5°; ниже минус 5°) и две - для талых (от 0 до +1°; от +1 до +2 °C).
Распространение и просадочность ММП показаны различными типами черной горизонтальной штриховки. Участки с заглубленной кровлей ММП имеют наклонную штриховку. С понижением температуры пород, увеличением просадочности мерзлых пород и их распространенности густота штриховки возрастает. Приняты следующие градации мерзлых пород по распространению, (% занятой ими площади контура): более 95, 95 - 50, 0 - 10, менее 10. Градации по просадочности принимаются следующие:

меньше 0,1; 0,1 меньше или равно

, меньше или равно 0,3;

больше 0,3. При двухслойном строении разреза по просадочности (двойная штриховка) мощность верхнего слоя указана утолщенными цифрами.
Перечисленные элементы геокриологической обстановки, независимо от вида строительства и масштаба карты, необходимо изображать на картах одинаково, в единой системе условных обозначений. Более крупный масштаб карты может отличаться только большей детальностью в отображении отдельных геокриологических характеристик. Например, на картах масштабов 1:10 000 - 1:5 000 даются более подробные градации по температуре; кроме того, на них показываются границы распространения и развития физико-геологических образований и процессов, распространения грунтовых вод и т.д.
В качестве примера приводится макет инженерно-геокриологической карты масштаба 1:25 000
(прил. 9).
6.19. Инженерно-геокриологические разрезы прилагаются к картам. В полосах трасс разрезы составляются по оси трассы и поперечникам, пересекающим участки с наиболее сложными геокриологическими условиями. На площадках они выбираются с расчетом пересечения основных типов литологических разностей и участков с наиболее типичными геокриологическими условиями. Рекомендуются масштабы: горизонтальный 1:25 000, вертикальный - 1:200.
На инженерно-геокриологических разрезах должно быть отражено:
детальное строение покровного чехла отложений, при этом изображается конкретно каждый литологический тип осадков; не рекомендуется показывать единым знаком переслаивание грунтов различного состава; глубина залегания литологических границ показывается с точностью до 0,1 м;
границы талых и мерзлых пород;
уровень грунтовых вод;
температура мерзлых пород;
инженерно-геокриологические свойства мерзлых и талых грунтов, которые показываются по инженерно-геологическим элементам <*>.
--------------------------------
<*> Под инженерно-геологическим элементом понимается слой грунта с определенными инженерно-геологическими характеристиками в пределах единого литологического горизонта или совпадающий с ним.
Набор инженерно-геологических характеристик пород определяется масштабом карты. Обычно на разрезах к картам 1:25 000 масштаба получают отражение основные физические свойства и преобладающий тип криогенной текстуры, которые показываются по литологическим слоям.
Образец построения инженерно-геокриологического разреза к карте масштаба 1:25 000 в
прил. 10.
6.20. Текстовая часть отчета.
Введение. Цели и задачи работ, их объемы, сроки выполнения, исполнители, географическое положение района, краткое описание методики работ. Иллюстрация - обзорная карта с границами района работ.
Природные условия района. Рельеф, гидрография, климат, растительность, геологическое строение поверхностных отложений, типы ландшафтов (природные микрорайоны), ландшафтные индикаторы геокриологических условий. Иллюстрации: карта природного микрорайонирования, фотографии и эталонные аэрофотоснимки типичных ландшафтов.
Инженерно-геокриологическая характеристика района. Сезонное промерзание и протаивание грунтов, распространение, мощность и температура мерзлых пород, состав и криогенное строение мерзлых пород, инженерно-геологические свойства мерзлых и талых пород, гидрогеологические условия, физико-геологические процессы и образования. Иллюстрации - инженерно-геокриологическая карта и разрезы, фотографии криогенных текстур, различных криогенных форм рельефа.
Прогноз изменения инженерно-геокриологической обстановки при нарушении естественных условий теплообмена на поверхности. Изменение температурного режима грунтов из глубины их сезонного промерзания и протаивания в различных природных микрорайонах при основных видах нарушений поверхностных условий, имеющих место в процессе промышленного освоения территории. Если изыскания ведутся для определенного вида строительства, то в прогнозе учитываются конкретные виды нарушений естественной обстановки.
Заключение. Основные выводы по всем разделам отчета и предложения по дальнейшему инженерно-геокриологическому изучению территории.
Если геокриологическая съемка проводится не в виде самостоятельной работы, а является составной частью комплексной геологической или гидрогеологической съемки, то самостоятельный отчет не составляется, а сведения об инженерно-геокриологических условиях включаются в общий отчет.
После заключения приводится список использованной опубликованной и фондовой литературы.
6.21. Фактический материал. Обязательным приложением к отчету является карта фактического материала, на которой должны быть показаны все ключевые участки и опорные маршруты, горные выработки, точки геофизических наблюдений, места отбора проб воды, месторождения строительных материалов.
К фактическому материалу относятся: полевые дневники, описания и колонки буровых скважин с данными по влажности и температуре, шурфов, обнажений, графики геофизического профилирования и зондирования, таблицы анализов инженерно-геологических свойств пород и анализов воды, результаты минералогического, опорно-пыльцевого анализов и т.д.
Прогноз изменения геокриологических условий
6.22. Составной частью отчета по геокриологической съемке является инженерно-геокриологический прогноз. Прогноз - это установление направленности и количественная оценка интенсивности и масштабов проявления криогенных процессов и образований, обусловленных воздействием сооружений на естественную природную обстановку, а также изменение природных условий, вызванных этими процессами.
Устойчивость естественной природной обстановки в районах развития мерзлых грунтов, как известно, определяется условиями теплообмена на поверхности, нарушение которых приводит к ее изменению. Воздействие на условия теплообмена в пределах проектируемых сооружений начинается еще в процессе изысканий, резко увеличиваясь в период строительства. В первую очередь, начинается воздействие на температурный режим грунтов, вызываемое порубкой просек, уничтожением древесной растительности, мохово-торфяного покрова и сооружением временных проездов. Известно, что порубка просек и уничтожение мохово-торфяного покрова существенно изменяют режим снегонакопления, что влечет за собой изменение температурного режима грунтов и приводит к неравномерному изменению глубины их сезонного протаивания. Последнее же ведет к изменению естественного гидрологического режима территории далеко за пределами проектируемых сооружений. Новый тепловой баланс поверхности, изменяя температурный режим грунтов, вызывает и интенсифицирует ряд криогенных процессов, таких, как термокарст, морозное пучение, морозобойное растрескивание, солифлюкцию и др.
В настоящих Рекомендациях расчеты по прогнозу изменения геокриологической обстановки даются на примере проектирования и строительства газопроводов.
6.23. Инженерно-геокриологический прогноз для выбора способов прокладки и режимов эксплуатации трубопроводов предусматривает две взаимосвязанные группы изменений геокриологических условий:
локальные изменения, вызванные непосредственно тепловым или механическим воздействием сооружений на грунты основания;
общие изменения, обусловленные нарушением условий теплообмена на поверхности в зоне влияния сооружений вследствие строительного освоения территорий.
Локальные изменения геокриологических условий трасс в основном определяются конструктивными и технологическими особенностями сооружений, т.е. прямо зависят от способа прокладки и температурного режима трубопровода. По своему положению относительно поверхности земли трубопроводы подразделяются на подземные, наземные и надземные. Кроме того, существует еще промежуточный тип - полунадземные и полузаглубленные.
По температурному режиму выделяются участки газопроводов "горячие", с температурой газа постоянно выше 0 °C, "тепловые" - со знакопеременным тепловым режимом, но среднегодовой температурой выше 0 °C и "холодные" - со знакопеременным тепловым режимом, но среднегодовой температурой ниже 0 °C.
К общим изменениям естественной природной обстановки в зоне влияния газопроводов относятся обводнение и подтопление территории. При подземной (наиболее широко применяемой) прокладке "горячего" или "теплого" трубопровода формирующийся под трубой ореол оттаивания (локальное изменение) при наличии фильтрующих грунтов выполняет роль дренажного сооружения. Поверхностные и надмерзлотные воды устремляются к нему как к местному базису эрозии. Под трубой и в траншее образуется водоток. Если его разгрузка осуществляется в бессточных котловинах и понижениях, то это приводит к их обводнению и заболачиванию.
Другой тип обводнения территории связан с подпружиниванием поверхностных вод, когда сооружение (труба или насыпь) перегораживают естественные полосы стока, образуя озера с нагорной стороны трубопровода.
6.24. При выполнении прогноза изменения естественных природных условий для выбора способов прокладки и режимов эксплуатации следует оценить возможность возникновения рассмотренных выше процессов. Это осуществляется путем решения следующих задач теплового взаимодействия трубопроводов с мерзлыми грунтами: расчета глубины сезонного протаивания и средней годовой температуры мерзлых грунтов; распределения температур газа вдоль трубопроводов, ореолов оттаивания грунтов вокруг трубопроводов.
6.25. При расчете глубины сезонного протаивания грунтов и средней годовой температуры мерзлых грунтов считают, что их величины зависят от температуры поверхности грунта и периодического характера ее изменения во времени, а также теплофизических характеристик грунта.
Средняя годовая температура мерзлого грунта

и глубина сезонного протаивания грунта (
H) рассчитывается по формулам:

(13)

(14)

(15)

(16)

(17)
где

- среднее за зимний период термическое сопротивление снежного покрова;
hсн - средняя за зиму высота снежного покрова;

- средний за зиму коэффициент теплопроводности снега;

- средняя за зиму плотность снега;

- среднее термическое сопротивление снега за период промерзания слоя грунта;
Wл - объемная льдистость грунта, кг/м3,

(18)
где Wс - суммарная влажность грунта;
Wнз - влажность грунта по незамерзшей влаге;
cм - коэффициент теплоемкости мерзлого грунта, кДж/(м3·К);

,

- коэффициенты теплопроводности соответственно мерзлого и талого грунта, Вт/(м·К);

- 336 кДж/кг теплота кристаллизации льда;

- сумма отрицательных градусо-часов на поверхности снега за зимний период, принимаемая равной сумме градусо-часов воздуха за зиму;

- сумма положительных градусо-часов на поверхности грунта или насыпи за летний период, вычисляемая по формуле

(19)
где

- сумма среднемесячных летних температур воздуха;
B - средняя за месяц напряженность радиационного баланса поверхности, B = Sн(0,76 - 0,31a), где Sн - средняя за месяц напряженность суммарной радиации для данного пункта, определяемая по атласу теплового баланса; a - альбедо подстилающей поверхности;

- среднечасовые за данный месяц затраты тепла на испарение;

- коэффициент конвективного теплообмена поверхности оголенного грунта с воздухом;

- среднегодовая скорость ветра.
Численные значения среднегодовой температуры грунта tгр и глубины сезонного протаивания грунта H0 рассчитываются методом последовательного приближения. Исходные значения глубины сезонного протаивания грунта H0 принимают по формуле

(20)
Среднюю годовую температуру мерзлого грунта в первом приближении

определяют по
формуле (13), полагая
H =
H0.
Затем определяют глубину сезонного протаивания грунтов в первом приближении
H' по
формуле (16), полагая в ней

.
Наконец, определяют окончательное значение средней годовой температуры грунта

по
формуле (13), полагая в ней
H =
H и соответствующее значение глубины сезонного протаивания по
формуле (3). Исходные климатические данные для расчета глубины сезонного протаивания грунтов и средней годовой температуры мерзлого грунта могут быть получены по климатическим справочникам или материалам близлежащих метеостанций.
6.26. Температура газа вдоль трубопровода изменяется за счет теплообмена с окружающей средой. Изменение температуры газа определяют в зависимости от расположения трубопровода относительно поверхности земли.
При подземной прокладке трубопровода температуру газа tг, определяют при постоянном значении коэффициента теплопередачи kп. Температуру газа на расстояниях x (в сечении x) от начала рассматриваемого участка определяют по формуле

(21)
где tгр - среднегодовая температура грунта на глубине заложения оси трубопровода, °C;
tн - начальная температура газа, °C;
r - радиус газопровода, м;
c - теплоемкость газа, кДж/(кг·К);
G - расход массы газа через газопровод, кг/ч;
kп - коэффициент теплопередачи, кВт/(м2·К), величина которого принимается по номограмме (см. рисунок).
Рис. 1. Номограмма для определения
коэффициента теплопередачи подземного трубопровода kн
в зависимости от глубины заложения трубопровода hб
и внешнего диаметра трубопровода Dн
1 -

; 2 -

;
3 -

; 4 -

При наземной прокладке газопровода с обваловкой постоянная по длине трубы величина потери тепла определяется теплообменом с грунтом основания и обваловки, которые в расчете заменяются эквивалентным по тепловому эффекту грунтовым цилиндром, соосным с трубопроводом. Температуру газа в сечении x определяют по формуле

(22)
где

- приведенная температура среды, расчетная, °C;
tв - температура воздуха, средняя за расчетный период времени, °C;

- коэффициент теплопередачи, кВт/(м
2·К), °C;
Rэ - радиус эквивалентного цилиндра, принимаемый равным 0,1 периметра насыпи обваловки, включая ее основание, м;

- коэффициент теплопроводности талого грунта, кВт/(м
2·К).
При надземной прокладке газопровода величина потери тепла определяется теплообменом с воздушной средой с поправкой на тепловой эффект солнечной радиации. Температуру газа в сечении x определяют по формуле

(23)
где

- коэффициент теплопередачи от газа к воздуху, кВт/(м
2·К);
V - скорость ветра, средняя за расчетный период, м/с;

- поправка к температуре газа за счет солнечной радиации, °C;
b = S(1 - a) - радиационный баланс трубы, кДж(м2·ч);
S - суммарная солнечная радиация, кДж/(м2·ч);
a - альбедо поверхности трубы.
6.27. Под ореолом оттаивания мерзлого грунта вокруг газопровода понимают конфигурацию зоны талого грунта в плоском сечении, нормальной оси трубы, которая формируется в результате теплообмена сооружения с основанием. Ореол оттаивания мерзлого грунта вокруг газопровода, обычно имеющий близкую к окружности форму, характеризует ее радиусом.
Теплообмен сооружения с грунтом основания зависит от расположения газопровода относительно поверхности земли и его технологического (теплового) режима работы.
Радиус ореола оттаивания зависит от температуры газа в рассматриваемом сечении трубопровода, радиус заглубления трубы, тепловых характеристик грунта и его температуры, а также продолжительности оттаивания. Ореол оттаивания определяют для наземных или подземных участков газопровода с горячим или тепловым режимом транспортировки газа.
При подземной прокладке газопровода в условии, что трубы не покрыты теплоизоляцией, продолжительность формирования ореола оттаивания заданного радиуса

определяется приближенной формулой, полученной путем решения интегрального соотношения тепловых моментов и дифференциального условия Стефана при задании линейного характера распределения температуры (в талых и мерзлой зонах грунта):

(24)
где r - время, ч;

- скрытая теплота плавления льда, кДж/кг;

- плотность льда, 900 кг/м
3;
Wл - объемная льдистость грунта, доли ед.;
tгр - среднегодовая температура трубы, °C;
tз - температура плавления льда, °C;
tн - исходная расчетная отрицательная температура грунта, °C;

,

- коэффициент теплопроводности, кВт/(м·К), талой и мерзлой зон грунта;
cт, cм - объемная теплоемкость, кДж/(м3·К), соответственно талого и мерзлого грунта;
r - наружный радиус трубы, м;
R - радиус ореола оттаивания, м.
При подземной прокладке газопровода из труб с теплоизоляцией продолжительность времени формирования ореола оттаивания с заданным радиусом R определяется формулой, полученной указанным методом, с учетом дополнительного влияния термического сопротивления изоляции трубы:

(25)
где tг - среднегодовая температура газа, °C;
Rиз - наружный радиус изоляции, м;
rиз - термическое сопротивление трубы длиной 1 м с наружной изоляцией
k - коэффициент теплопередачи от газа через стенку трубы к изоляции, кВт/(м2·К);

и

- коэффициенты теплопередачи от газа через стенку трубы к изоляции, кВт/(м
2·К);

- толщина стенки трубы, м;

- коэффициент теплопроводности металла трубы, Вт/(м
2·К);
rтр - наружный радиус металлической трубы, м;

- коэффициент теплопроводности материала изоляции, Вт/(м
2·К).
Значения радиуса ореола оттаивания мерзлого грунта вокруг газопровода, характеризующие глубину максимального протаивания в основании, используются для расчета осадок мерзлых грунтов при протаивании. Приведенные выше расчеты необходимы для оценки и предотвращения возможных деформаций трубопровода в течение его эксплуатации и выбора оптимальных проектных решений.
6.28. Инженерно-геокриологический прогноз на площадках заключается в определении возможности и величины многолетнего оттаивания вечномерзлых или промерзания талых грунтов площадки при удалении снега и растительности; сравнительной оценке изменений температурного режима и свойство грунтов при строительстве и эксплуатации проектируемых объектов с сохранением вечномерзлого состояния грунтов оснований или с допущением оттаивания, а также возможности возникновения или интенсификации криогенных процессов и явлений.
Возможность и величина многолетнего оттаивания или промерзания грунтов при удалении снега и растительности на площадке проектируемого строительства определяется теплотехническим расчетом, исходя из воздействия средних температур воздуха на оголенную поверхность грунта в течение расчетного срока эксплуатации. На первом этапе прогноза (для технического проекта) допускается принимать грунты однородными по преобладающей в разрезе литологической разности.
Сравнительная оценка изменения инженерно-геокриологических условий при строительстве как с сохранением мерзлого состояния грунтов оснований, так и с допущением оттаивания, выполняется для каждого участка строительства.
При этом следует исходить из характеристики проектируемого объекта, установленной техническим заданием, и с учетом характеристик грунтов оснований, условий теплообмена на поверхности и климатических данных.
Прогноз изменения температурного режима грунтов оснований или составляющих температурного режима (глубины оттаивания грунтов под зданиями, понижение температур в основании и т.д.), определяется теплотехническим расчетом или аналитически по формулам, моделированием на аналоговых машинах или численными методами с использованием ЭЦВМ.
Прочностные характеристики грунтов и величины касательных и нормальных сил пучения могут быть определены по СНиП II-18-76. Основания и фундаменты на вечномерзлых грунтах.
Сравнительная оценка изменения естественной природной обстановки производится для каждого варианта размещения проектируемых объектов.
6.29. На основе прогноза, выполненного по материалам геокриологической съемки, разрабатываются рекомендации по размещению проектируемых объектов, выбору принципов строительства, техническому решению оснований и фундаментов сооружений и мероприятиям по охране и рекультивации окружающей среды.
7. ГЕОКРИОЛОГИЧЕСКАЯ СЪЕМКА И РАЙОНИРОВАНИЕ
ТЕРРИТОРИИ ДЛЯ СТАДИИ РАБОЧИХ ЧЕРТЕЖЕЙ (РЧ)
7.1. В предполевой период на трассах производится определение наиболее сложных участков и переходов через препятствия (мелкие водотоки, овраги, болота, озерные котловины и т.д.). Это осуществляется на основе материалов геокриологической съемки, проведенной на стадии технического проекта, результатов аэровизуальных наблюдений и дешифрирования аэрофотоматериалов. Цель такой работы - выявление участков с повышенным содержанием подземного льда, неустойчивым температурным режимом грунтов, сильно расчлененным рельефом, широким проявлением эрозии, термоэрозии, термокарста, пучения и т.д.
Исходные данные для оценки сложности геокриологических условий трассы приведены в табл. 14.
Таблица 14
Основные характеристики мерзлых грунтов | Категории сложности <*> участков трассы |
простые | сложные |
Распространение по площади | Сплошное, островное | Прерывистое, массивно-островное |
Среднегодовая температура на глубине 8 - 10 м | Ниже минус 2° | Минус 2 - 0° |
Состав и льдистость (просадочность) | Песчаные и глинистые слабольдистые  | Песчаные и глинистые и сильнольдистые  |
Состав и пучинистость | Песчаные и глинистые непучинистые и слабопучинистые | Песчаные и глинистые пучинистые |
Криогенные образования и процессы | Не развиты | Многолетние и сезонные бугры пучения, современный термокарст, повторно-жильные льды, наледи, солифлюкция и др. |
--------------------------------
<*> Выделение по категориям сложности геокриологических условий участков трассы проводится на момент съемки без учета будущего воздействия сооружения и изменения естественной обстановки. В процессе строительства и освоения территории простые участки могут перейти в категорию сложных.
7.2. Выделенные сложные участки наносятся на предварительную карту природного микрорайонирования полосы трассы, составляемую на основе предполевого дешифрирования материалов аэрофотосъемки и результатов геокриологического картирования на стадии ТП. Эта карта является исходным материалом для определения требуемых объемов работ при геокриологической съемке на стадии рабочих чертежей с учетом сложности геокриологических условий трасс.
В процессе съемки для стадии РЧ при полевых работах производится уточнение местоположения и границ сложных участков, а также свойственных им характеристик. С учетом этого уточнения осуществляется и соответствующая корректировка объемов работ.
Требуемые объемы работ при выполнении геокриологической съемки масштаба 1:5 000 по трассам (в полосе шириной 500 м) на стадии рабочих чертежей приводятся в
прил. 6.
7.3. Предполевые работы на строительных площадках заключаются главным образом в сборе и анализе имеющихся материалов об инженерно-геокриологических условиях территории площадки. Дешифрирование аэрофотоснимков не применяется; практически не выполняется и природное микрорайонирование, так как площадка имеет незначительные размеры (0,04 x 0,06 км2) и ландшафтные условия в ее пределах не отличаются разнообразием. Основную роль приобретают методы прямого определения инженерно-геокриологических условий, выполняемые в полевой период.
Требуемые объемы работ при выполнении геокриологической съемки масштаба 1:500 на площадках для стадии рабочих чертежей приводятся в
прил. 7.
7.4. Полевые работы на стадии рабочих чертежей в полосе трассы заключаются в проведении геокриологической съемки в пределах заранее выбранного направления линейного сооружения с использованием материалов, полученных на стадии ТП.
Изыскания на этой стадии включают в себя весь комплекс работ, проводимых на стадии технического проектирования, однако, являясь конечным этапом исследований, предваряющим принятие конечных конструктивных решений строительства, они имеют ряд существенных отличий. Геокриологические исследования проводятся более детально, оптимальные масштабы съемки 1:5 000 и 1:10 000; на участках с наиболее сложным геокриологическим строением, а также в местах переходов сооружений через препятствия рекомендуется масштаб съемки 1:2 000 и 1:1 000. Работы выполняются на всей территории изысканий - метод ключевых участков при этом не применяется, основное значение приобретает непосредственное (прямое) определение геокриологических условий.
Основной объем всех видов буровых и геофизических работ проводится по оси линейного сооружения. Остальная часть проводится в полосе трасс, но непременно с учетом перспективного и возможного развития сооружения.
7.5. При изысканиях на данной стадии на основании предполевого дешифрирования аэрофотоматериалов проводятся наземные маршрутные исследования по всей трассе. Выбираются места расположения опорных профилей, проводится окончательное наземное дешифрирование аэрофотоснимков для максимально точного установления границ природных микрорайонов. Производится детальное описание природных условий внутри каждого из выделенных микрорайонов, как на предыдущей стадии. В маршрутах намечаются горные выработки, геофизические профили и точки ВЭЗ. Каждая точка, описанная в маршруте, выносится на аэрофотоснимки и топографические карты и привязывается к пикетам на оси трассы сооружения. Максимальное расстояние между точками наблюдения не должно превышать 100 - 150 м, а их количество зависит от сложности природных условий. При проведении маршрутов должно быть также проведено природное районирование во всей полосе трасс для обеспечения возможности корректировки положения оси сооружений в случае возникшей необходимости.
Последующие исследования по трассе включают в себя:
бурение опорных и зондировочных скважин, проходку шурфов;
комплексное опробование грунтов и их полевое лабораторное изучение с целью первичного определения отдельных свойств грунтов; как и на стадии ТП отбираются образцы на определение физических свойств грунтов, а механические и теплофизические определяются по СНиП II-18-76;
термокаротаж скважин, причем в опорных скважинах рекомендуется проводить 2 - 3-кратные температурные замеры;
наблюдение за грунтовыми водами (в естественных условиях и по скважинам);
геофизические работы - электрическое профилирование по оси трассы и по заложенным поперечникам, вертикальное электрозондирование на определенных заранее точках;
проведение дополнительных маршрутов для изучения обнажений, различных форм проявления неблагоприятных для строительства физико-геологических процессов, гидрологического режима рек и озер и др.
7.6. Методика производства работ при съемке для рабочих чертежей в целом совпадает с предыдущей стадией проектирования, но имеет и свои особенности:
необходимо бурение 10-метровых скважин строго по трассе на расстоянии не более 300 - 400 м одна от другой, при этом так, чтобы по крайней мере 2 скважины попадали в пределы одного типа местности. Бурение скважин на границах типов местности не рекомендуется. Кроме того, обязательно заложение опорных скважин на углах поворотов оси сооружения;
зондировочные скважины глубиной 3 - 5 м должны дополнять опорные и служить для уточнения границ распространения и мощности верхнего льдистого горизонта, уточнения положения уровня грунтовых вод и пр.;
обязательно проведение промеров глубин всех рек, ручьев и озер, пересекаемых сооружением;
при проведении электропрофилирования по оси трассы следует проводить непрерывное измерение мощности слоя сезонного протаивания - промерзания грунтов не реже, чем через 20 м;
непосредственно около каждой опорной скважины необходима проходка шурфов в слое сезонного протаивания-промерзания грунтов и отбор монолитов для последующего определения физических и механических свойств грунтов как непосредственно в поле, так и при последующих лабораторных работах;
обязательно комплексное опробование грунтов и воды.
Влияние линейного сооружения на грунт по глубине редко превышает 8 - 10 м, поэтому изучение мощности мерзлых грунтов не является обязательным (за исключением зоны островного их распространения). Основное внимание следует обратить на характер распределения температуры, льдистости, состав грунтов и обводненности в пределах верхнего пятиметрового слоя - зоне наиболее активного взаимодействия "грунт - сооружение". В связи с этим большую роль по сравнению с предыдущей стадией проектирования приобретают 5 - 7-метровые скважины, расстояние между которыми не должно превышать 70 - 100 м.
7.7. На участках со сложным геокриологическим строением рекомендуется проводить детальные исследования (масштаб съемки не мельче 1:2 000). Единой методики исследования сложных участков пока еще не существует и виды работ определяются эмпирическим путем. Однако основные направления производства работ можно свести к следующим:
максимально точное определение параметров участка со сложными геокриологическими условиями производится предварительно на аэрофотоснимках масштаба 1:2 000 и крупнее и уточняется в процессе маршрутных исследований;
исследования интенсивности и направленности развития процессов, обусловливающих сложность природной обстановки в естественных (ненарушенных) условиях. С этой целью производится детальная геокриологическая съемка масштаба 1:500 на участках с максимальным и минимальным проявлениями процессов (не менее 2 участков в каждом случае, а также 3 - 4 участка с наиболее типичными условиями развития неблагоприятных процессов). Площадь участков в каждом случае выбирается произвольно, в зависимости от направленности изучаемых процессов и степени развития образований;
детальное изучение глубины развития процессов буровыми и геофизическими методами; частота заложения скважин и точек ВЭЗ выбирается в процессе детальной геокриологической съемки;
специальное опробование грунтов с учетом сложности геокриологических условий и видов образований и процессов, их обусловливающих;
проходка шурфов по профилям.
7.8. На основании полученных данных непосредственно в поле проводится их первичная обработка, в результате которой для сложных участков трасс составляются предварительные (полевые) карты природного микрорайонирования и инженерно-геокриологического масштаба 1:2 000 и 1:5 000, инженерно-геокриологические разрезы по оси трассы и поперечникам в том же масштабе. Составляются колонки скважин и шурфов с их подробным описанием и вынесенными данными измерений, влажности, плотности и осадки при оттаивании мерзлых грунтов. На эти участки составляются специальные предварительные карты криогенных образований масштаба 1:500, инженерно-геологические профили масштаба 1:200 и 1:500, приводятся зарисовки обнажений, шурфов с их детальным описанием. Кроме того, дается предварительный прогноз развития природной обстановки при хозяйственном освоении территории, в частности, изменения направленности и интенсивности развития криогенных процессов и образований.
Полевая инженерно-геокриологическая карта всей полосы трассы в масштабе 1:5 000 составляется на основе подготовленной в предполевой период и уточненной в процессе полевых работ карты природного микрорайонирования. На ней отражаются основные геокриологические характеристики, получаемые непосредственно в ходе полевых работ.
7.9. Полевые работы для стадии РЧ на строительных площадках состоят из горно-буровых, геофизических, термоизмерительных работ и определения состава и свойств грунтов с использованием материалов, полученных на стадии ТП.
Буровые скважины размещаются обычно внутри контура и по контуру зданий и сооружений. Количество скважин под конкретные здания и сооружения зависят от их назначения. Под крупные здания бурится наибольшее количество скважин - 6 - 8 под каждое здание. Для зданий, размер которых меньше 15 - 20 м (по длинной стороне) достаточно пробурить одну скважину. Для остальных зданий и сооружений количество скважин составляет 2 - 5 в зависимости от их размеров и назначения.
В сложных геокриологических условиях скважины проходятся также на участках, прилегающих к зданиям и сооружениям.
Таким образом, минимальное количество скважин, которое необходимо пробурить при изысканиях для стадии РЧ, составляет для строительных площадок от 65 - 70 до 25 - 30. В зависимости от сложности геокриологических условий количество скважин может быть увеличено. В процессе изысканий для стадии РЧ учитываются все скважины, пробуренные в пределах площадок на предыдущих этапах съемки.
Глубина скважин зависит от принципа использования мерзлых грунтов в качестве оснований. При использовании грунтов по принципу 1 глубина скважин определяется глубиной распространения годовых колебаний температуры и составляет 10 - 15 м.
При использовании мерзлых грунтов по принципу II глубины всех скважин назначаются на 10 м и глубже расчетных глубин чаш оттаивания под соответствующими зданиями и сооружениями.
Все скважины после бурения используются для выполнения термоизмерительных работ по принятой методике.
7.10. При проходке скважин отбираются образцы для определения физических, теплофизических и механических свойств грунтов.
Объемы отбора образцов для определения физических и теплофизических свойств (см.
п. 6.12).
Для площадок при изысканиях возникает необходимость в определении механических характеристик грунта, причем номенклатура их зависит от принципа использования мерзлых грунтов в качестве оснований, принятых в техническом проекте зданий и сооружений.
При использовании мерзлых грунтов по принципу I расчет оснований производится по несущей способности - для твердомерзлых грунтов по несущей способности и деформациям - для пластично-мерзлых и сильнольдистых грунтов. В этом случае для расчета по несущей способности отбираются образцы на определение нормативного сцепления, для расчета по деформациям - образцы на определение сжимаемости мерзлых грунтов.
Если грунты основания будут использованы по принципу II, расчет оснований зданий и сооружений выполняется по деформациям. В этом случае отбираются образцы для определения характеристик оттаивающего грунта: коэффициента оттаивания и коэффициента сжимаемости.
Для определения механических свойств грунта из каждой основной литологической разности отбирается не менее трех монолитов.
Если в процессе изысканий на площадках имеются технические возможности для проходки шурфов, то под наиболее ответственные сооружения проходятся 2 - 3 шурфа, которые используются для отбора монолитов на определение механических свойств грунта и для контроля за льдистостью грунтов. Шурфы размещаются вне контура зданий, так как они ослабляют грунты оснований.
Следует заметить, что отбор монолитов и их транспортировка в стационарные лаборатории без нарушения естественного сложения не всегда возможны, особенно если горно-буровые работы ведутся в летний период. В таких случаях показатели механических свойств грунта могут определяться по таблицам и расчетным формулам.
7.11. Как и на предыдущих стадиях, инженерно-геокриологические работы для РЧ содержат электропрофилирование и вертикальное электрическое зондирование.
Электропрофилирование проводят по периметру площадки и по поперечникам, параллельным одной из сторон площадки (главным образом длинной), расстояние между которыми 10 - 15 м. Профилирование выполняется симметричной установкой с разносами AB = 25 м и AB = 50 м и шагом измерений, равным 5 м.
Точки вертикального электрического зондирования размещаются по сетке 50 x 50 м. Кроме того, часть точек ВЭЗ должны располагаться у пройденных скважин и использоваться в качестве опорных при интерпретации геофизических работ. В сложных геокриологических условиях количество точек ВЭЗ может быть увеличено. Глубина зондирования должна составлять 20 - 30 м, для чего разносы питающих линий выбираются равными 100 - 200 м.
Материалы горно-буровых и геофизических работ наносятся на топографическую основу масштаба 1:500, и составляется предварительная инженерно-геокриологическая карта и разрезы через все пробуренные скважины.
7.12. Камеральные работы заключаются в окончательной обработке материалов инженерно-геокриологических изысканий и составлении отчетных материалов, включающих в себя:
окончательный вариант карты природного микрорайонирования полос трасс масштаба 1:5 000;
окончательный вариант инженерно-геокриологической карты масштаба 1:5 000;
окончательный вариант инженерно-геокриологической карты масштаба 1:500;
инженерно-геокриологические разрезы по линии трассы и поперечникам масштаба 1:5 000 и по площадкам в масштабе 1:5 000;
текстовую часть отчета в виде пояснительной записки к картам и разрезам;
фактический материал:
карта природного микрорайонирования составляется для трассы. Она в принципе не отличается от подобной карты масштаба 1:25 000, однако имеет большую степень детальности - на ней отображаются практически неделимые природные микрорайоны. Поэтому ее объем и содержание несколько шире, чем на картах более мелкого масштаба. Основная цель, преследуемая при составлении карты природного микрорайонирования в масштабе 1:5 000, а для сложных участков - 1:2 000 - окончательная конкретизация положения оси сооружения, возможность проведения районирования полосы трассы по условиям строительства.
Карта природного микрорайонирования составляется в основном в период полевых работ, дополняется при камеральной обработке табличными данными, предваряя составление инженерно-геокриологической карты. В качестве эталона может служить карта природного микрорайонирования масштаба 1:25 000, составленная для стадии ТП (см.
прил. 8).
Инженерно-геокриологическая карта для полосы трассы составляется в масштабе 1:5 000; она содержит более подробные сведения о геокриологической обстановке, чем в масштабе 1:25 000, хотя принцип составления остается тем же. Основные отличия заключаются в следующем.
При отображении цветом типов грунтовой толщи на карте вводится дополнительный цифровой знак, отражающий глубины залегания кровли 1 и 2-го от поверхности литологического горизонта. Он представляет собой четырехугольник черного цвета, в котором в числителе показаны залегания кровли 1-го от поверхности горизонта, а в знаменателе - кровли 2-го от поверхности горизонта. Таким образом, на карте дается конкретный литологический разрез в пределах каждого выделенного контура, что значительно облегчает выбор методов строительства.
При отображении температуры мерзлых пород на картах масштаба 1:5 000 и 1:2 000 выделено 8 градаций температуры мерзлых пород: от 0 до минус 0,5 °C; от 0 до минус 1°; от минус 1 до минус 1,5 °C; от минус 1,5 до минус 2 °C; от минус 2 до минус 3 °C; от минус 3 до минус 5 °C; ниже минус 7 °C. Эти градации включают в себя все диапазоны измерений, необходимые для расчета оснований фундаментов и их несущей способности.
При изображении физико-геологических процессов и образований кроме внемасштабных знаков используются обозначения, отображающие границы участков с развитием различных процессов и образований. При обозначении пластовых льдов дополнительный, цифровой знак, отражающий глубину залегания кровли и подошвы ледяного тела.
Отдельными знаками показаны распространение, глубина залегания и минерализация грунтовых вод и летне-осенний период.
В целом инженерно-геокриологические характеристики изображены в соответствии с единой системой условных обозначений, принятых для карт масштаба 1:25 000.
Фрагмент макета инженерно-геокриологической карты масштаба 1:5 000 (в черно-белом варианте), составленной для области прерывистого распространения мерзлых пород Западной Сибири, приводится в
прил. 11.
Инженерно-геокриологическая карта для площадок составляется в масштабе 1:500. Карта составляется по тому же принципу, что и более мелких масштабов, но она более детальна. Отличие состоит в следующем.
Разграничены участки с мерзлыми и талыми породами, показаны участки с различной глубиной залегания верхней поверхности.
Выделено четыре градации по просадочности.
Физико-геологические образования отображены внемасштабными и масштабными знаками; кроме того, показаны границы распространения различных образований.
В целом инженерно-геокриологические характеристики изображены в соответствии с единой системой условных обозначений, принятых для карт масштабов 1:25 000 и 1:5 000.
Фрагмент макета инженерно-геокриологической карты масштаба 1:500, составленной для области мерзлых пород Европейского Северо-Востока, приводится в
прил. 13.
Инженерно-
геокриологические разрезы составляются на глубину не менее 10 м. Вертикальный масштаб рекомендуется 1:200 - при горизонтальном 1:5 000 и 1:100 - при горизонтальном 1:2 000. Разрезы строятся по линиям оси трассы и выбранным поперечникам. Для площадок рекомендуется вертикальный масштаб 1:100 при горизонтальном 1:500. В целом набор инженерно-геокриологических характеристик и способы их отображения остаются такими же, как на стадии ТП (см.
прил. 10), но более подробно освещаются инженерно-геологические свойства мерзлых и талых пород. Здесь получают отражение физические и механические свойства грунтов и их криогенные текстуры, которые показываются по инженерно-геологическим элементам.
Образцы построения инженерно-геокриологических разрезов приводятся в
приложениях 12 и
14.
Текстовая часть отчета в виде пояснительной записки к картам и разрезам.
Введение. Цели и задачи, объем и время проведения работ, краткое описание географического положения района изысканий, методика проведения работ, состав исполнителей. Иллюстрацией служит средне-масштабная (1:100 000 - 1:300 000 и крупнее) контурная карта с границами исследуемого района.
Природные условия. Краткая характеристика орогидрографии, климата, растительности, геолого-геоморфологического строения, гидрогеологии; иллюстрации - графики хода изменений климатических данных (температуры воздуха, осадков, мощности снежного покрова и т.д.), фотографии, геологические разрезы в мелком масштабе (1:100 000).
В эту главу входит пояснительная записка к карте природного микрорайонирования с подробной легендой. Иллюстрация - карта природного микрорайонирования с таблицей, фотографии, аэрофотоснимки типичных ландшафтов.
Инженерно-геокриологическая характеристика. Распространение, мощность, температура ММП, сезонное промерзание и протаивание грунтов, состав и инженерно-геологические свойства пород (талых и мерзлых), криогенное строение отложений, физико-геологические процессы и образования. Для полосы трассы эти характеристики даются по каждому микрорайону в виде полукилометрового описания. Эти описания целесообразно давать в табличной форме.
Для площадок краткая характеристика инженерно-геокриологических условий дается в общем виде.
Иллюстрации - инженерно-геокриологическая карта и разрезы, фотографии криогенных текстур и форм рельефа, репрезентативные колонки скважин.
Прогноз изменения геокриологических условий при нарушении природной обстановки в ходе хозяйственного освоения территории. Изменение температурного режима грунтов, глубин сезонного промерзания и протаивания грунтов во времени, развитие (в том числе затухание) физико-геологических процессов в пределах различных природных микрорайонов в результате нарушения естественных условий. Поскольку изыскания ведутся для определенных видов строительства, в прогнозе учитываются конкретные виды нарушения естественной обстановки. Кроме того, в параграф включаются сведения о методике проведения работ, связанных с охраной окружающей среды в процессе строительства и эксплуатации сооружений, а также по рекультивации ландшафтов на прилегающих к ним участках.
Рекомендации по способам прокладки проектируемого газопровода на различных участках трассы. Полукилометровое описание инженерно-геокриологических условий по трассе газопровода с типизацией природных микрорайонов по способам строительства. В зависимости от сложности участков выбираются различные виды прокладки газопровода - подземная, полузаглубленная, наземная, надземная с различными вариантами насыпи, траншеи и опор. Приводятся расчеты ореолов оттаивания и возникающих при этом осадок грунта (в случае транспортировки газа при положительной температуре), сезонного и многолетнего пучения грунтов на талых участках (при транспортировке газа с отрицательной температурой). При наличии отдельных участков с особо сложными инженерно-геокриологическими условиями, которые необходимо обходить, приводятся обходные варианты. Рекомендуются также экономически целесообразные участки спрямления трассы газопровода.
Рекомендации для принятия технологических обоснованных и экономически эффективных проектных решений на выбранных строительных площадках. Производится выбор принципа строительства и типа фундамента, рассчитывается глубина его заложения, уточняется конструкция сооружений.
Заключение. Обобщающие выводы по всем написанным разделам, рекомендации по дальнейшему проведению работ.
Список опубликованной и фондовой литературы.
Фактический материал - включает в себя карту фактического материала с нанесенной гидрографической сетью, абсолютными отметками и основными населенными пунктами и границами административного деления. При изысканиях под газопроводы на карту наносятся линии оси трассы газопровода и границы полосы трассы. При изысканиях на площадках на карте приводятся контуры зданий и сооружений. Кроме того, наносятся линии геологических и геофизических профилей, горные выработки, буровые скважины, точки вертикального электрозондирования, точки маршрутных наблюдений. Приводятся контуры ранее отработанных участков при съемках более мелкого масштаба.
К фактическому материалу также относятся: описание и колонки разрезов скважин, шурфов и обнажений, таблицы и графики электропрофилирования и результаты ВЭЗ, таблицы анализов инженерно-геологических и теплофизических характеристик грунтов, таблицы анализов химического состава мерзлых грунтов и воды, результаты гранулометрического, минералогического, диатомового, спорово-пыльцевого и других анализов.
Прогноз изменения геокриологических условий
7.13. Составной частью отчета по геокриологической съемке является инженерно-геокриологический прогноз для определения мероприятий по обеспечению устойчивости трубопроводов.
Прогноз на стадии рабочих чертежей является естественным продолжением прогноза на стадии технического проекта. Основой для этой части прогноза является анализ деформаций, наблюдаемых на эксплуатируемых трубопроводах и результаты расчетов теплового и механического взаимодействия трубопровода с мерзлыми грунтами.
Обследование действующих на севере трубопроводов показало, что в основном наблюдается семь наиболее широко распространенных видов деформации трубопроводных систем:
всплытие трубы на участках, обводненных в результате заполнения бессточных котловин или подпора полос стока;
образование висячих участков и оголение трубы над промоинами, возникшими в результате эрозии, интенсифицированной изменением гидрологического режима территории;
оголение трубы в результате разрушения насыпей под воздействием эрозии при наземной и полузаглубленной прокладке;
выпучивание трубопроводов, возникшее в результате искусственного увлажнения грунтов основания и связанной с этим интенсификацией процесса неравномерного морозного пучения;
осадка трубы в результате льдистых мерзлых грунтов в основании трубопровода;
осадка трубы в результате суффозии мелкозернистого материала зарегулированным потоком оттаивания под трубой; разрушение гидроизоляционного покрытия в результате морозобойного растрескивания грунтов.
На основе данных детальной геокриологической съемки оценивается возможность обводнения, развития эрозионных и термоэрозионных процессов.
7.14. Для обозначения мероприятий, связанных с возможностью осадки и пучения, решаются задачи механического взаимодействия трубопроводов с мерзлыми грунтами в полосе трассы.
Величина и неравномерность осадки при протаивании мерзлого грунта в основании газопровода. Осадка при протаивании мерзлого грунта зависит от его криогенной текстуры и объемной льдистости. В зависимости от характера распределения ледяных включений в объеме протаивающего грунта его осадка может быть равномерной или неравномерной по площадки. При вытаивании крупных скоплений подземного льда резко выражена неравномерная осадка протаивающего грунта; локальные провалы поверхности над вытаивающими ледяными телами называются просадками.
Величину осадки при протаивании мерзлого грунта определяют согласно СНиП II-18-76. Толщину сжимаемой зоны принимают равной максимальной глубине протаивания мерзлого грунта в основании газопровода. Расчет осадки производится только для горячих участков газопровода.
Давление на грунт от массы газопровода, как правило, не превышает 0,02 МПа, поэтому значением составляющей осадки при протаивании мерзлого грунта, зависящей от внешней нагрузки, можно пренебречь и принимать величину осадки Sо грунта в основании газопровода равной

(26)
где Ai - коэффициент оттаивания i-го слоя мерзлого грунта, характеризующий его осадку при протаивании под действием собственной массы;
hi - толщина i-го слоя грунта;
n - число слоев, разделяющихся по своему литологическому составу и криогенной структуре.
Значение коэффициента оттаивания Ai устанавливают в процессе инженерно-геокриологических изысканий одним из следующих методов:
по испытанию образцов мерзлого грунта при протаивании в одометрах;
путем испытания горячим штампом;
по объемной льдистости мерзлого грунта за счет включения льда.
При определении значения коэффициента оттаивания мерзлого грунта Ai по штамповым испытаниям и в одометрах нагрузка на протаивающий грунт принимается не менее 0,02 МПа и не более величины бытового давления.
Значение Aо, определяемое по объемной льдистости за счет ледяных включений ЛВ, вычисляют по формуле
Aо = kвЛВ, (27)
где kв - коэффициент, учитывающий неполное смыкание макропор при оттаивании мерзлого грунта, и принимаемый в зависимости от средней толщины ледяных включений ЛВ: kв = 0,4 при ЛВ = 1 см; kв = 0,6 при 1 см ЛВ = 3 см; kв = 0,8 при ЛВ = 3 см.
На основании определения значений осадок при протаивании мерзлого грунта в основании газопровода строят профиль деформированной поверхности. По такому профилю судят о неравномерности осадки грунтов основания газопровода.
7.15. Величина и неравномерность морозного пучения грунтов при промерзании основания газопровода. Морозное пучение грунта проявляется в поднятии поверхности земли, определяющим его величину h, см. Величина пучения, отнесенная к слою промерзающего грунта, равному 1 м, является модулем пучения, см/м.
Морозное пучение грунтов зависит от большого числа факторов и условий, основными из которых являются: гранулометрический состав грунта, его плотность, предзимняя влажность и глубина залегания грунтовых вод, внешняя нагрузка на грунт, глубина промерзания и степень охлаждения грунта.
Необходимость учета воздействия морозного пучения на газопровод возникает во всех трех случаях его расположения относительно поверхности земли согласно СНиП II-18-76:
в случае подземной прокладки его воздействие учитывается при пересечении холодным участком газопровода локальных участков с талыми пучинистыми грунтами;
в случае наземной прокладки с обваловкой это воздействие учитывается на теплых участках трубопровода при отрицательной температуре газа зимой;
в случае надземной прокладки газопровода учитывается воздействие пучения на устойчивость опор газопровода.
Независимо от расположения газопровода относительно поверхности земли модуль пучения грунта принимается равным:

(28)
где

- плотность сухого грунта, г/см
3;

- плотность воды, г/см
3;
Wизб - избыточное льдовыделение, вызывающее пучение грунта, доли ед.
Значение избыточного льдовыделения определяется по формулам, доли ед.:
Wизб.1 = 0,09(W - Wпп) + 1,09Wмг при W > Wпп;
Wизб.2 = 1,09 (W - Wпп - W) при W <= Wпп,
где W - начальная (предзимняя) влажность грунта;
Wпп - влажность предела пучения грунта;
Wмг - миграционная влажность, т.е. влажность грунта за счет воды, принесенной извне.
Значения Wпп и Wмг определяются по формулам:

(29)
при
Wн =
kн(
t)
Wр;

; (30)

(31)
где

- плотность частиц грунта, г/см
3;
Wп(tз), Wп(tкп) - влажность грунта за счет незамерзшей воды, соответственно при температуре, равной 0,5tз и 0,5tкп, доли ед.;
tз - средняя зимняя температура грунта у его поверхности, град;
tкп - температура грунта в зоне промерзания, при которой прекращается пучение, град
(табл. 15);
Wкр - критическая влажность грунта, при которой прекращается миграция воды, доли ед.;
Wр - влажность грунта на границе раскатывания, доли ед.;
Wт - влажность грунта на границе текучести, доли ед.;
Wп - число пластичности;

- параметр, определяемый по табл. 15;
kн(t) - коэффициент, определяемый по табл. 1 СНиП II-18-76. Основания и фундаменты на вечномерзлых грунтах.
Грунт | Число пластичности Wп | Температура tкп | Значение  |
Супесь | 2 < Wп <= 7 | -1,5 | 3,55 |
Супесь пылеватая | То же | -2 | 5 |
Суглинок | 7 < Wп <= 13 | -2 | 4,25 |
Суглинок пылеватый | То же | -2,5 | 5 |
Суглинок | 13 < Wп <= 17 | -2,5 | 3,8 |
Суглинок пылеватый | То же | -3 | 5,35 |
Глина | Wп > 17 | -4 | 2,5 |
Продолжение табл. 15
Грунт | Величина kн при температуре грунтов, °C |
-0,3 | -0,5 | -1 | -2 | -4 | -10 |
Супесь | 0,6 | 0,5 | 0,4 | 0,35 | 0,3 | 0,25 |
Супесь пылеватая | 0,6 | 0,5 | 0,4 | 0,35 | 0,3 | 0,25 |
Суглинок | 0,7 | 0,65 | 0,6 | 0,5 | 0,45 | 0,4 |
Суглинок пылеватый | 0,7 | 0,65 | 0,6 | 0,5 | 0,45 | 0,4 |
Суглинок | - | 0,75 | 0,65 | 0,55 | 0,5 | 0,45 |
Суглинок пылеватый | - | 0,75 | 0,65 | 0,55 | 0,5 | 0,45 |
Глина | - | 0,95 | 0,9 | 0,65 | 0,6 | 0,55 |
Примечание. Для промежуточных значений температуры tкп принимаются интерполяцией.
Полная величина пучения грунта h определяется по формуле
h = mZсм, (32)
где Z - глубина промерзания грунта, м.
Применительно к холодным участкам газопровода пучение определяется для полос стока, сложенных талыми пучинистыми грунтами. В этом случае расчетная величина морозного пучения и расстояния между соседними участками полос стока являются исходными расчетными параметрами для проверки прочности и устойчивости газопровода на действие сил морозного пучения грунтов основания.
Применительно к участкам газопровода на талых грунтах полученное решение используют для составления профиля "постели" трубопровода после промерзания и пучения грунтов основания.
По такому профилю судят о характере неравномерности пучения грунтов основания газопровода.
В случае надземной прокладки учитывается действие морозного пучения грунтов на опоры трубопровода.
По результатам прогноза представляется возможным обоснование предложить ряд конкурентоспособных инженерных мероприятий, окончательный выбор которых определяется технико-экономическим расчетом.
7.16. Инженерно-геокриологический прогноз на площадках на этой стадии заключается в детальной оценке изменяющихся во времени строительных свойств грунтов, используемых в качестве оснований не только на момент проведения изысканий, но и на весь период эксплуатации сооружений. С этой целью проводится серия теплофизических расчетов для определения повышения температур грунтов, глубины и формы чаши протаивания, понижения температуры грунтов при сохранении мерзлого их состояния и т.д. Прочностные и деформационные свойства грунтов оснований определяются при наихудших для прочности и сжимаемости температурах, принимаемых грунтами по прогнозу, в каждой точке (слое) основания на весь расчетный период эксплуатации проектируемого сооружения.
В зависимости от прогнозных прочностных и деформационных свойств производится выбор типа фундаментов, рассчитывается глубина их заложения, уточняется конструкция сооружений.
ЛАНДШАФТНЫХ ИНДИКАТОРОВ ГЕОКРИОЛОГИЧЕСКИХ УСЛОВИЙ
И ИХ ДЕШИФРОВОЧНЫХ ПРИЗНАКОВ ДЛЯ ЗОНЫ ПРЕРЫВИСТОГО
РАСПРОСТРАНЕНИЯ МЕРЗЛЫХ ПОРОД РАВНИННЫХ ТЕРРИТОРИЙ
(НА ПРИМЕРЕ ЗАПАДНОЙ СИБИРИ)
Комплексные ландшафтные индикаторы (природные микрорайоны) | Геокриологические условия | Дешифровочные признаки |
Распространение мерзлых пород | Состав и льдистость верхних горизонтов мерзлых пород | Среднегодовая температура грунтов (над чертой - мерзлых, под чертой - талых), °C | Мощность сезоннопротаивающего слоя (над чертой) и сезоннопромерзающего (под чертой), м | Криогенные процессы |
в северной части зоны (севернее Сибирских увалов) | в южной части зоны (южнее Сибирских увалов) |
1 | 2 | 3 | 4 | 5 | 6 | 7 | 8 |
Плоские торфяники, расчлененные озерами и болотами; растительность кустарничково-мохово-лишайниковые сообщества на торфяниках и осоково-сфагновые в болотах | На торфяниках - сплошное; под озерами и болотами - талики | Торф мощностью 0,5 - 3 м подстилается малольдистыми песками и супесями | От -1 до -3 --------------- от 0 до +0,5 | От 0 до -1 -------------- от +0,1 до +0,5 | 0,4 - 0,7 ----------- 0,5 - 0,9 | Термокарст | Тон серый, рисунок изображения пятнистый, чередование светло-серых повышенных участков с темно-серыми болотами и почти черными озерами |
Бугристые торфяники, расчлененные озерами и болотами; растительность кустарничково-лишайниковые сообщества на торфяниках и осоково-сфагновые в болотах | То же | Торф мощностью 1 -5 м подстилается сильнольдистыми суглинками и супесями | От -1,5 до -3,5 -------------- от 0 до +0,5 | От 0 до -1,5 ------------- от +0,1 до +0,5 | 0,4 - 0,7 ------------ 0,5 - 0,9 | Термокарст, морозное пучение | Рисунок изображения выпукло-пятнистый, скопление округлых или овальных светло-серых пятен - бугров, разделенных болотами, тон которых варьирует от светлого до темно-серого в зависимости от обводненности |
Массивы крупных бугров пучения, расчлененные заболоченными понижениями; растительность на буграх мохово-лишайниковые сообщества (на юге зоны - сосново-березово-кедровое редколесье); в болотах кустарничково-сфагново-осоковые сообщества | На буграх сплошное; в заболоченных понижениях талики | Торф мощностью 1 - 4 м, подстилается сильнольдистыми супесями, характерны прослои ледогрунта | От -2 до -4 ---------------- от 0 до +0,5 | От -1 до -2 --------------- от +0,1 до +0,5 | 0,5 - 1 ---------- 0,5 - 0,9 | Термокарст | Скопление округлых или овальных серых пятен, обычно более темных, чем окружающий тон; дешифрируются по особой стереоскопичности рисунка |
Отдельные бугры пучения в заболоченных депрессиях и долинах водотоков; растительность кустарничково-мохово-лишайниковые сообщества | Сплошное | Торф мощностью 0,5 - 4 м подстилается сильнольдистыми суглинками, супесями, песками, характерны прослои ледогрунта | От -1 до -3,5 | От 0 до -1 | 0,5 - 1 | Термокарст, морозное пучение | Рисунок изображения выпукло-пятнистый; четкие овальные или округлые пятна, более светлые, чем окружающий тон, дешифрируются по особой стереоскопичности рисунка |
Заболоченные понижения с пушицево-осоково-сфагновыми растительными сообществами | На юге зоны отсутствуют, на севере возможно их наличие, в небольших современных термокарстовых понижениях кровля их опускается на глубину 1 - 5 м и более | Торф мощностью до 4 м подстилается суглинками, супесями, песками | От 0 до -2 | От 0 до +0,5 | 0,4 - 1 ---------- 0,4 - 0,9 | Морозное пучение | Тон светло-серый и серый (в зависимости от степени обводненности), бесструктурное изображение с редкой штриховатостью и точечностью |
Оторфованные поверхности с мелко бугристым микрорельефом, расчлененные заболоченными понижениями; растительность, кустарничково-мохово-лишайниковые сообщества, в болотах - осоково-сфагновые. Распространены в северной части зоны | Сплошное, в заболоченных понижениях талики | Торф мощностью до 0,5 м подстилается малольдистыми песками, суглинками | От -1 до -2 --------------- от 0 до +0,5 | - | 1 - 2 ---------- 0,5 - 0,9 | Термокарст | Рисунок изображения крапчатый на светло-сером фоне четко выделяется мелкий частый темно-серый крап мочажин и озерков |
Леса хвойные, сомкнутые, мохово-кустарничковые, или сфагновые редколесья на плоских, слабодренированных участках | На юге зоны отсутствуют (возможны их маломощные линзы и перелетки). На севере острова и линзы | Суглинки, супеси, часто перекрытые слоем торфа | От -1 до -1,5 | Около 0 | 0,5 - 2 ---------- 0,7 - 1,5 | Термокарст, морозное пучение | Структура изображения редкозернистая, на сером фоне наземного покрова видна темно-серая зернистость, обусловленная древостоем; местами - плотная зернистая структура, создаваемая сомкнутыми лесами. При стереоскопическом дешифрировании иногда виден бугристый мезорельеф |
Леса смешанные, лишайниковые на хорошо дренированных участках | Отсутствуют | Пески, супеси с прослоями суглинка | От +0,5 до +1 | От +1 до +2 | - -------- 2 - 3,5 | - | Тон светло-серый, структура изображения мелкозернистая, прерывистая: сквозь разреженный древостой темно-серого цвета виден светло-серый наземный покров, встречаются очень светлые пятна песчаных раздувов |
Леса и редколесья елово-березово-сосновые зеленомошные и сфагново-зеленомошные на плоских, слабо дренированных участках | На юге региона отсутствуют; на севере возможны их линзы и перелетки | Супеси, суглинки, пески, часто перекрытые слоем торфа | Около 0 | От +0,5 до +1 | 0,5 - 1,5 ---------- 0 - 1,5 | Морозное пучение | Структура изображения редкозернистая; на сером фоне наземного покрова видна темно-серая зернистость, обусловленная древостоем |
Плоские торфяники, слабо залесенные (кедрово-сосново-мохово-лишайниковые редины); распространены в южной части зоны | Отсутствуют | Торф мощностью до 3 м подстилается песками, супесями, суглинками | - | От +0,1 до +0,5 | - -------- 0,5 - 1 | - | Рисунок изображения пятнистый чередование пятен светло-серых, с мелкой темной редкой зернистостью, образованной редким древостоем, с темно-серыми болотами и почти черными озерами |
МЕТОДЫ ЭЛЕКТРОПРОФИЛИРОВАНИЯ
Метод кажущегося сопротивления (КС)
Этот вид исследований заключается в измерении кажущегося сопротивления грунтов на дневной поверхности через небольшие интервалы. Измерительные установки сохраняют постоянными свои размеры и состоят из двух питающих электродов AB и двух приемных электродов MN, на которых измеряется напряженность возникающего в породе постоянного электрического поля. Кажущееся сопротивление вычисляется по формуле
(33)
где E - напряженность поля;
J - сила тока, протекающего в питающей цепи установки;
k - коэффициент, зависящий от типа и линейных размеров измерительной установки.
Результаты измерений представляются в виде графиков изменения кажущегося сопротивления по профилям. В общем случае форма и амплитуда на графиках

электропрофилирования КС зависят от многих параметров: шага наблюдений по профилю, типа и размеров измерительной установки, соотношения удельных сопротивлений контактирующих пород, морфологии и размеров возмущающих объектов, глубины залегания и простирания границ последних по отношению к профилю. Приемы обработки и интерпретации материалов электропрофилирования КС, а также получаемые результаты определяются характером измерений, т.е. шагом измерений и типом измерительных установок. По этим признакам может быть выделено непрерывное и точечное профилирование.
Непрерывное профилирование применяется при детальных изысканиях (масштаб 1:5 000 и крупнее) для поисков и прослеживания контактов талых и мерзлых пород, границ участков с различной льдистостью, повторно-жильных и пластовых льдов, тектонических разрушений при условии, если объекты различного происхождения выделяются аномалиями различного типа и находятся один от другого на расстоянии не менее AB/2. Максимальный эффект достигается, когда измерения проводятся по нескольким близкорасположенным профилям. Разрешающая способность непрерывного профилирования резко падает в сложной инженерно-геокриологической обстановке, когда различные по генезису и положению в разрезе тела выделяются сходными по внешнему виду аномалиями.
При непрерывном профилировании тип измерительной установки, т.е. взаимное размещение питающих и приемных электродов, выбирается с учетом решаемых задач и сложности строения разреза. В простых случаях достаточно использовать симметричные установки с одним или двумя разносами питающих электродов. В сложных условиях рационально применять двухстороннее дипольное или трехэлектродное профилирование. Размерам измерительных установок должны удовлетворять следующие условия, м:
шаг наблюдений по профилю, который лимитируется детальностью изысканий, не должен быть больше длины приемной линии;
соотношение длины приемной и питающей линии (

- для симметричных установок,

- для электродных и

- для дипольных) должно быть достаточно большим, чтобы разность потенциалов на приемных электродах была доступной измерению с необходимой точностью на всех участках профиля. Оценка оптимальных размеров измерительных установок производится особо для каждого микрорайона по данным рекогносцировочных и опорных ВЭЗ.
На кривых

непрерывного профилирования любой возмущающий объект фиксируется одной основной или одной или двумя экранными аномалиями, которые возникают в результате последовательного пересечения границ объекта питающими (экранные аномалии) или приемными (основные аномалии) электродами
(рис. 1). Форма основных и экранных аномалий, их размеры и взаимное расположение на графиках различны для различных возмущающих объектов и типов измерительных установок. Во всех случаях основные аномалии характеризуются наибольшими амплитудами, а их экстремумы располагаются над выходами границ возмущающих объектов по профилю, что используется при интерпретации результатов профилирования. В отличие от этого экранные аномалии обладают небольшими амплитудами и располагаются по профилю в стороне от возмущающего объекта. При интерпретации они используются как вспомогательные для более точного распознавания формы возмущающих объектов.
Рис. 1. График

непрерывного профилирования
симметричной установки AMNB
А.Э. - аномалия экранная; А.О. - аномалия основная
Интерпретация материалов непрерывного профилирования заключается в том, что по внешнему виду и линейным размерам основных и экранных аномалий устанавливают форму и размеры возмущающего объекта (контакт двух сред, вертикальный или наклонный пласт той или иной мощности и пр.). По положению экстремумов основной аномалии определяют местоположение границ в разрезе, а по величинам сопротивления в области основной аномалии и в нормальном поле - приблизительное соотношение удельных сопротивлений контактирующих сред (пород). Простирание границ возмущающих объектов выявляется путем прослеживания (корреляции) профиля к профилю аномалий одного и того же типа. С этой целью составляется корреляционная схема, на которой в масштабе съемки нанесено взаимное расположение профилей на местности. Границы, отвечающие объектам одного типа, на соседних профилях соединяются, а в пределах полученного контура представляются цифровыми обозначениями величины кажущегося сопротивления, взятые в области основных аномалий. Учитывая сложное строение мерзлых грунтов при проведении границ на корреляционных схемах, необходимо привлекать данные микрорайонирования, также использовать морфологические и генетические признаки условий залегания объекта. Это превышает точность и однозначность интерпретации результатов непрерывного профилирования методом КС. Корреляционные схемы, дополненные графиками

, являются единственным исходным материалом для дальнейшего мерзлотно-инженерно-геологического истолкования результатов непрерывного профилирования. Составлять карты разных кажущихся сопротивлений по данным непрерывного профилирования нельзя из-за обилия на них ложных (экранных) аномалий, затушевывающих истинное положение границ.
Точечное профилирование целесообразно применять при изысканиях на стадии технического проектирования. Область использования этого вида электроразведки ограничивается территориями, в пределах которых инженерно-геокриологические условия не отличаются большой изменчивостью и сложностью.
Точечное профилирование выполняется с шагом, превышающим длину приемных линий и равным половине или полной длине питающей линии. Поэтому вместо непрерывной кривой

с ее основными и экранными аномалиями получаем в значительной степени осредненную кривую
(рис. 2), на которой надежно выделяются лишь крупные по сравнению с размерами установки объекты. Отсутствие на графиках

точечного профилирования экстремумов основных и экранных аномалий или неявное их выражение сводит практически на нет преимущества, которые достигаются применением различных типов установок при непрерывном профилировании. Поэтому точечное профилирование выполняется обычно наиболее простыми установками.
Рис. 2. Графики

точечного профилирования
симметричной установкой AMNB с шагом AB
Размеры установок выбираются в соответствии с шагом измерений, который в свою очередь определяется детальностью изысканий. При этом всегда необходимо добиваться того, чтобы обеспечивалась достаточная глубинность исследований до 15 - 20 м.
Интерпретация результатов точечного профилирования заключается в выделении на графиках

крупных зон с повышенным или пониженным значениями кажущегося сопротивления. Поскольку на графиках

точечного профилирования отсутствуют основные и экранные экстремумы, положение контактов в разрезе устанавливается по условной величине

и проверяется с помощью бурения и шурфования. В дальнейшем полученные величины

принимаются постоянными.
Наибольший эффект достигается, когда точечное профилирование проводится по нескольким сближенным профилям. В этом случае результаты измерений представляются в виде карт равных кажущихся сопротивлений с учетом вышеупомянутого критерия для определения положений границ возмущающих объектов. При построении таких карт необходимо привлекать данные микрорайонирования, которые позволяют избежать многозначности при проведении изолиний, неизбежно возникающей даже при относительно простом строении изучаемых участков.
Метод двух составляющих (МДС)
По количеству и качеству получаемой информации профилирование МДС позволяет разделить и прослеживать возмущающие объекты, характеризующиеся сходными формами (следовательно, и типами аномалий), но имеющими различный генезис и элементы залегания. Практика показывает, что профилирование МДС эффективно при детальных изысканиях (масштаб 1:5 000 - 1:10 000) в районах распространения многолетнемерзлых грунтов, таликов сложной конфигурации, повторно-жильных и пластовых льдов, термокарстовых явлений и пр. Положительные результаты достигаются даже в неблагоприятных для электроразведки ситуациях, где обычные методы КС оказываются недостаточно надежными. Препятствием для применения профилирования МДС служат лишь плохие условия заземления.
Методика проведения полевых работ (выбор шага измерений и размер измерительных установок) и аппаратура остаются теми же, что при непрерывном профилировании методом КС. Отличие метода двух составляющих заключается в том, что на каждой точке профиля напряженность поля измеряется в двух направлениях, одно из которых совпадает с направлением оси установки (осевая разность потенциалов

), а второе составляет перпендикуляр с первым (азимутальная разность потенциалов

). Этих двух параметров достаточно для определения характера и степени деформации поля на земной поверхности, по которым в свою очередь устанавливаются формы и элементы залегания возмущающих объектов на каждом профиле в отдельности.
Результаты измерений МДС представляются в виде графиков

,

, построенных на каждом профиле один под другим в одинаковом горизонтальном и вертикальном масштабах (рис. 3).
Рис. 3. Графики

и

профилирования по методу
двух составляющих симметричной установкой
Интерпретация материалов профилирования МДС состоит из двух этапов. На первом этапе (качественная интерпретация) по виду аномалий на графиках

и

определяются форма и размеры возмущающих тел, их местоположение в разрезе и примерное простирание их границ по отношению к линии профиля. Подобные операции выполняются при интерпретации результатов непрерывного профилирования. На втором этапе (количественная интерпретация) по величине и знакам амплитуды аномалий на графиках

и

с помощью специальных номограмм определяют более точные значения простирания границ объектов (с точностью до +5 - 10°), глубины их залегания (с погрешностью около +30%) и в отдельных случаях углы падения границ (с ошибкой +10°).
Результаты интерпретации на каждом профиле изображаются в виде геоэлектрического разреза, на котором показываются форма, местоположение и глубина залегания возмущающих объектов и помещенного под ним плана простирания геоэлектрических границ по отношению к линии профиля; если на участке имеется несколько профилей, по ним составляется корреляционная схема аномалий. Критерием для прослеживания одних и тех же объектов служит сходство вида аномалий на графиках

и

соседних профилей, а также совпадение простираний электрических границ.
МЕТОДЫ ВЕРТИКАЛЬНОГО ЭЛЕКТРИЧЕСКОГО ЗОНДИРОВАНИЯ
Методы кажущегося сопротивления (ВЭЗ КС)
ВЭЗ КС заключается в измерении кажущегося сопротивления при постоянном увеличении глубины исследований. Достигается это постоянным увеличением длины питающей линии установки в процессе измерений от нескольких метров (иногда нескольких десятков сантиметров) до несколько сотен метров (иногда несколько километров) при неизменном положении центра измерительной установки и приемных линий на местности в течение зондирования.
Результаты измерений представляются в виде кривой изменения кажущегося сопротивления в зависимости от длины питающей линии. Эти кривые строятся на специальных билогарифмических бланках с модулем 6,25 см.
Точность и достоверность результатов интерпретации кривых ВЭЗ зависит от строения геоэлектрического разреза мерзлых или талых грунтов.
В простых случаях, когда геоэлектрический разрез представлен чередованием слоев с постоянными удельными сопротивлениями и границами, почти параллельными дневной поверхности, интерпретация кривых ВЭЗ производится с помощью известных двухслойных, трехслойных и вспомогательных палеток, рассчитанных на горизонтально-слоистые среды. Получаемая точность удовлетворительна для практических целей.
Если удельное сопротивление промежуточных слоев неизвестно и отличается в десятки раз от удельного сопротивления выше- и нижележащих слоев, допускается использование метода дискретных значений. Этот метод основан на том, что при сравнительно высоких соотношениях удельных сопротивлений и достаточно больших мощностях слоев пределы действия принципа эквивалентности разрезов по

значительно сужены. При таком условии требования по точности определения удельного сопротивления второго слоя снижаются, что позволяет оценивать его по зависимости

(34)
При изучении мерзлых толщ часто приходится иметь дело с разрезами, представляющими собой сочетание горизонтальных или слабонаклонных границ с крутопадающими. Последние связаны с боковыми контактами талых и мерзлых пород, с резкими изменениями в плане льдистости, криогенных структур или температуры. Крутопадающие границы вызывают такие изменения на кривых ВЭЗ, которые в большинстве случаев по внешним признакам не отличаются от изменений, наблюдаемых над горизонтально-слоистыми или градиентными средами. Интерпретация искаженных кривых ВЭЗ с помощью палеток для горизонтально-слоистых сред приводит к крупным ошибкам, не поддающимся учету. Для выявления искаженных кривых необходимо на каждой точке проводить крестовые или круговые ВЭЗ. Путем сопоставления кривых, полученных в различных азимутах, удается обнаружить отрезки, осложненные влиянием боковых контактов, а при интерпретации исключить их.
Интерпретация данных ВЭЗ КС заключается в том, что по внешнему виду кривых

и по совокупности признаков, характеризующих данный микрорайон, устанавливается тип геоэлектрического разреза, т.е. возможное количество и последовательность залегания слоев в толще и примерное соотношение их удельных сопротивлений. Мощности и более точные значения удельного сопротивления слоев определяются путем сравнения экспериментальных (полевых) кривых с теоретическими, вычисленными или построенными для различных типов геоэлектрических разрезов.
Результаты интерпретации представляются в виде колонок, на которых в выбранном масштабе изображаются мощности и удельные сопротивления каждого слоя. Если точки ВЭЗ располагаются на профиле с достаточной частотой, то по ним следует строить геоэлектрический разрез, на котором проводятся границы слоев, имеющих близкие значения удельного сопротивления и занимающих сходное структурное положение.
Критерием для выделения мерзлых грунтов на геоэлектрических разрезах служат:
общее увеличение удельного сопротивления пород в верхней части разреза,
появление в связи с этим двух дополнительных геоэлектрических границ, контуры которых в значительной степени повторяют рельеф земной поверхности и в большинстве случаев не совпадают с известными литолого-стратиграфическими границами.
Все остальные признаки (тип кривой

, угол ее наклона, координаты ее экстремумов и пр.) должны рассматриваться как вспомогательные при выделении многолетнемерзлых пород и определении строения мерзлой толщи. Следует заметить, что другие способы обработки и интерпретации данных ВЭЗ КС, такие, как построение разрезов кажущихся сопротивлений, различные способы построения касательных к экстремальным участкам на кривых

, использование абсцисс максимумов на кривых

и т.д. часто приводит к ошибкам и поэтому малоэффективны при изучении мерзлых толщ.
Метод двух составляющих (ВЭЗ МДС)
ВЭЗ МДС заключается в том, что на каждом разносе питающей линии измеряются две разности потенциалов в двух взаимно перпендикулярных направлениях, одно из которых совпадает с направлением оси установки. По данным измерений на одной точке получают кривую

ВЭЗ, отражающую изменение удельного сопротивления в горизонтальном и вертикальном направлениях, и кривую отношения осевой разности потенциалов к азимутальной

, указывающую на присутствие в разрезе крутопадающих границ, их форму, местоположение и ориентировочное простирание.
Методика ВЭЗ МДС и используемая аппаратура существенно не отличаются от применяемых при обычных ВЭЗ КС. Отличие заключается в необходимости прокладки двух приемных линий и измерении величины и знаков двух разностей потенциалов на каждом разносе питающей линии.
Результаты измерений на каждой точке ВЭЗ МДС представляются в виде кривых

и

, построенных один под другим и в одинаковом масштабе по оси абсцисс (см. рисунок).
Рис. 1. Кривые

и

симметричного
ВЭЗ
Интерпретация результатов ВЭЗ МДС выполняется в два этапа. На первом этапе производится совместный анализ кривых

и
, в процессе которого кривые

разбиваются на три группы. К первой группе относятся кривые, соответствующие горизонтально-слоистым или слабонаклонным средам. Им обычно отвечают нулевые или небольшие (не более +0,05) постоянные значения отношения

одного знака, выдерживающиеся на всех разностях питающей линии. Во вторую группу входят все кривые
, не несущие внешних признаков искажений, по которым на больших разносах отвечают знакопеременные аномалии на графиках

большой амплитуды. Такое сочетание аномалий на кривых

и

указывает на то, что питающая линия пересекает возмущающий объект с крутопадающими границами, достаточно удаленными от центра установки (ВЭЗ). При таких обстоятельствах влияние крутопадающих границ на характер кривой

, как правило, невелико. В третью группу включаются кривые
, экстремумы которых увязываются с изменениями величины и знака отношений

. В большинстве случаев амплитуды аномалий на графиках

невелики, что является надежным признаком того, что возмущающий объект находится вблизи центра ВЭЗ.
На втором этапе производится количественная интерпретация кривых

первой и второй групп по палеткам для горизонтально-слоистых сред описанными выше приемами. В результате интерпретации кривых второй группы закладывается заведомо

ошибка, чем в результате первой группы. Интерпретация кривых третьей группы заключается в качественном анализе их. Количественной интерпретации по палеткам подвергаются лишь небольшие отрезки кривых

, не несущие искажений.
ВЭЗ МДС необходимо применять на участках талых и мерзлых грунтов, размеры которых меньше максимальных разносов питающей линии. Постановка таких ВЭЗ целесообразна вблизи боковых контактов талых и мерзлых грунтов и на участках, где наблюдается частая смена льдистости или литологического состава в плане или разрезе.
МЕТОДЫ ОПРЕДЕЛЕНИЯ ВЛАЖНОСТИ И ЛЬДИСТОСТИ МЕРЗЛЫХ ГРУНТОВ
Точечный метод применяется только в тех случаях, когда мерзлые породы имеют массивную криогенную структуру и не содержит видимых ледяных включений. Чаще всего он применяется для песков, редко - для плотных глинистых пород, которые до замерзания были сильно уплотнены и осушены. При этом способе через интервал 0,5 м отбираются пробы мерзлой породы массой не менее 0,5 г. Пробу помещают в заранее высушенный и взвешенный стеклянный или алюминиевый бюкс с крышкой и взвешивают на технических весах с точностью до 0,01 г. Пробу грунта в бюксе с открытой крышкой сушат при 100 - 105 °C; глинистые грунты высушивают 5 ч, песчаные - 3 ч. Бюкс закрывают крышкой, охлаждают 30 мин в эксикаторе с хлористым кальцием и взвешивают. Повторные высушивания производят до постоянной массы, т.е. до тех пор, пока разница между двумя последующими взвешиваниями будет не более 0,02 г. Интервал времени между первым и последующими взвешиваниями 2 ч для глинистых грунтов, 1 ч для песчаных. Величина суммарной влажности мерзлого грунта Wс в долях единицы вычисляется по формуле,

(35)
где g1 - масса бюкса с крышкой и мерзлым грунтом;
g0 - масса бюкса с крышкой и грунтом, высушенным до постоянной массы;
g - масса бюкса с крышкой.
Для каждого образца мерзлого грунта производят два параллельных определения, а за величину суммарной влажности принимают среднее арифметическое значение результатов параллельных определений. Запись данных определения суммарной влажности мерзлого грунта точечным методом и методом бороздки производят по форме 1.
N п.п. | N лабораторный | N выработки | Глубина взятия образца, м (от - до) | N бюкса | Масса бюкса, г | Масса бюкса с мерзлым грунтом, г | Масса бюкса с грунтом после сушки, г | Масса сухого грунта, г | Суммарная влажность образца |
1 взвешивание | 2 взвешивание | 3 взвешивание | принятое значение | масса воды, г |
% | доли ед. |
Метод бороздки применяется в тех случаях, когда представляется возможность извлекать из буровых скважин образцы с ненарушенной текстурой или при исследованиях мерзлых пород с помощью шурфов. Метод отбора пробы по этому способу сводится к следующему.
При зачищенной стенке выработки или по всей высоте керна прочерчивают линию, по которой последовательно с каждых 25 - 30 см по высоте соскабливают мерзлый грунт тонкими (в несколько миллиметров) слоями; отобранную пробу помещают в тарированный металлический или стеклянный бюкс и определяют суммарную влажность так же, как при точечном методе, но с трехкратной повторностью. Запись данных производят по
форме 1.
Метод средней пробы заключается в следующем. Пробы мерзлой породы (массой от 2 до 5 кг), извлекаемые из скважин, шурфов, котлованов и других выработок, отбирают в мешок из синтетической пленки и взвешивают. При однородных по составу породах пробы отбирают по высоте изучаемого разреза. При неоднородных породах частота отбора проб также не реже 0,5 м, но из каждого литологического слоя. Отобранный и взвешенный образец мерзлого грунта переносят в сухую, предварительно взвешенную, эмалированную миску или таз. Оттаявший грунт перемешивают металлическим шпателем и доводят до состояния однородной грунтовой массы с влажностью, близкой к границе текучести, добавляя к образцу дистиллированную воду или сливая избыток воды после ее осветления. Миску с грунтом взвешивают; в тарированные бюксы берут с двукратной повторностью пробы, как при точечном методе, и определяют влажность грунтовой массы. Суммарную влажность мерзлого грунта Wс, доли ед., рассчитывают по формуле
| | ИС МЕГАНОРМ: примечание. Нумерация формул дана в соответствии с официальным текстом документа. | |

(35)
где g1 - масса образца мерзлого грунта, определенная при его отборе, кг;
g2 - масса чашки с грунтовой массой, кг;
g - масса сухой чашки, кг;
Wсп - влажность средней пробы грунтовой массы, доли ед.
Запись данных определения суммарной влажности мерзлого грунта методом средней пробы производят по форме 2.
Форма 2
N п.п. | N лабораторный | N выработки | Глубина взятия образца, м (от - до) | N мешочка, кг | Масса мешочка, кг | Масса мерзлого грунта, с мешочком, кг | Масса мерзлого грунта, кг | Масса чашки, кг | Масса чашки с грунтовой массой, кг | Масса грунтовой массы, кг | Влажность средней пробы, доли ед. | Суммарная влажность образца грунта |
% | доли ед. |
Расчетный метод основан на данных объемной льдистости мерзлого грунта и влажности его минеральных прослоев. Суммарная влажность вычисляется по формуле

(37)
где Лв - объемная льдистость за счет включений льда, доли ед.;
Wг - влажность минеральных прослоев, определенная точечным способом (рис. 1,
2,
3).
Рис. 1. Номограмма для определения суммарной влажности
Wс за счет объемной льдистости Лв и влажности
минеральных прослоев Wг
Рис. 2. Номограмма для определения объемной льдистости
(Лв) мерзлых грунтов со слоистой криогенной текстурой
Рис. 3. Номограмма для определения объемной льдистости
(Лв) мерзлых грунтов с сетчатой криогенной текстурой
Измерив толщину ледяных прослоев и расстояние между ними (см.
рис. 1), можно определить с достаточной точностью величину объемной льдистости.
Такое определение
Лв возможно для грунтов слоистой и сетчатой криогенных текстур с хорошо выраженными ледяными прослоями толщиной более 2 мм и расстояниями между ними более 10 мм. При
Лв <= 0,3 льдистость можно определять как для грунта с массивной криогенной текстурой, т.е.
.
Метод определения влажности крупнообломочных грунтов состоит в высушивании отобранных проб мерзлых пород массой не менее 3 кг. Высушивание осуществляется в сушильном шкафу на металлическом противне при температуре 100 - 105 °C, взвешивание чашечных, торзионных весах с точностью до 1 г.
Значение влажности определяют по формуле

(38)
где g1 - масса бюкса с крышкой и мерзлым грунтом, кг;
g0 - масса бюкса с крышкой и грунтом, высушенным до постоянной массы, кг;
g - масса бюкса с крышкой, кг.
При определении Wс этих же грунтов с мелкодисперсным заполнителем влажность последнего определяется отдельно, а влажность за счет крупных фракций более 2 мм по величине ее водоудерживающей способности.
Определение влажности за счет незамерзшей воды Wн в интервале реальных температур данного грунта производится следующим образом. По значению Wн определяется льдистость за счет льда-цемента и общая истинная льдистость. Лабораторное определение Wн рекомендуется производить для основных разновидностей грунта съемки калориметрическим методом. Массовое определение количества незамерзшей воды можно делать расчетом по формуле

(39)
где Wр - влажность грунта на границе раскатывания;
kн - коэффициент, принимаемый по
таблице в зависимости от вида грунта, числа пластичности
Wп и температуры грунта.
Чтобы учесть генетические и регионные особенности грунтов, при пользовании таблицей следует ввести поправки для значений kн при определении основных типов грунтов в лаборатории.
Грунт | Число пластичности | Значение kн при температуре грунта, °C |
-0,3 | -0,5 | -1 | -2 | -4 | -10 |
Супеси | 2 <= Wп <= 7 | 0,6 | 0,5 | 0,4 | 0,35 | 3 | 0,25 |
Суглинки | 7 <= Wп <= 13 | 0,7 | 0,65 | 0,6 | 0,5 | 0,45 | 0,4 |
Суглинки | 13 <= Wп <= 17 | <*> | 0,75 | 0,65 | 0,55 | 0,5 | 0,45 |
Глины | 17 < Wп | <*> | 0,95 | 0,9 | 0,65 | 0,6 | 0,55 |
--------------------------------
<*> Вся вода в грунте находится в жидкой фазе.
МЕТОДЫ ОПРЕДЕЛЕНИЯ ПЛОТНОСТИ МЕРЗЛЫХ ГРУНТОВ
Метод взвешивания в нейтральной жидкости производится в стеклянном сосуде вместимостью 500 см
3, на две трети его высоты, заполненном нейтральной жидкостью (керосином, лигроином и т.п.), измеряют ее температуру и определяют плотность нефтеденсиметром. Допускается определение плотности нейтральной жидкости взвешиванием в ней и в воздухе предмета из металла или стекла известной плотности. Вместо левой чаши технических весов устанавливается противовес (мешочек с дробью) для уравновешивания весов. Из монолита мерзлого грунта отбирают пробу произвольной формы массой 100 - 150 г, перевязывают ее капроновой ниткой и подвешивают к левой серьге весов. Из монолита берут пробу для определения влажности грунта. С левой стороны на подставку весов устанавливают сосуд с нейтральной жидкостью, пробу мерзлого грунта, подвешенную к левой серьге весов, осторожно погружают в жидкость на глубину не менее 5 - 7 см и взвешивают. Плотность мерзлого грунта

, кг/м
3, вычисляют по формуле

(40)
где g - масса пробы мерзлого грунта в воздухе, кг;
g1 - масса пробы мерзлого грунта в нейтральной жидкости, кг;

- плотность нейтральной жидкости, кг/м
3.
Метод вытеснения нейтральной жидкости более прост, но менее точен. Определение плотности по вытеснению объема нейтральной жидкости производится в произвольном сосуде, мерном цилиндре или в объемомерах (например, системы Крониной). При использовании этого метода объем взвешенного образца грунта определяется по объему (или массе) вытесненной им жидкости.
Метод "лунки" применяется для определения плотности мерзлого грунта с открытых горных выработок (шахтах, шурфах и т.д.). Дно выработки выравнивают и зачищают, на дне делают углубление (лунку) размером не менее 20 x 20 x 20 см и по возможности правильной формы. Весь грунт, отобранный из лунки, собирают и взвешивают на чашечных весах с точностью до 1 г. Объем лунки замеряют, полностью заполняя ее из мерного сосуда сухим песком или водой. При заполнении водой лунку выстилают синтетической пленкой. Плотность мерзлого грунта вычисляют по формуле

(41)
где gг - масса выбрана из лунки, кг;
Vлун - объем лунки, м3.
Метод режущего кольца производится следующим образом. Из монолита мерзлого грунта с помощью ножовки выпиливают призму размером на 2 - 3 см больше диаметра режущего кольца. Призму помещают на площадку винтового пресса, а на ее верхнее основание ставят режущее кольцо острым концом вниз; сверху на кольцо надевают насадку и опускают поршень до упора. Подрезают ножом мерзлый грунт вокруг кольца и одновременно плавно опускают поршень пресса, не допуская перекоса кольца. При отсутствии пресса допускается насаживание кольца вручную. После заполнения кольца грунтом его вынимают из-под пресса, сжимают насадку, избыток грунта аккуратно срезают ножом вровень с краями кольца. Кольцо с грунтом помещают между заранее взвешенными плоскими стеклами или металлическими пластинками и взвешивают на технических весах. Мерзлый грунт из кольца помещают в заранее взвешенную выправительную чашку, взвешивают и определяют его суммарную влажность. Плотность мерзлого грунта

кг/м
3 вычисляют по формуле

(42)
где g - масса кольца с мерзлым грунтом и покрывающими его плоскими стеклами или пластинками, кг;
g1 - масса кольца, кг;
g2 - масса стекол или пластинок, кг;
V - объем кольца, м3.
При измерении данным методом плотности сыпучемерзлого грунта следует руководствоваться ГОСТ 5182-78.
ОБЪЕМЫ ОСНОВНЫХ ВИДОВ РАБОТ ПРИ ПРОИЗВОДСТВЕ
ИНЖЕНЕРНО-ГЕОКРИОЛОГИЧЕСКОЙ СЪЕМКИ В ПОЛОСЕ
ТРАССЫ ТРУБОПРОВОДОВ
Масштаб съемки и аэрофотоснимков; виды работ | На стадии технического проектирования | На стадии рабочих чертежей |
Масштаб инженерно-геокриологической съемки | 1:25 000 | 1:10 000 - 1:5 000; при сложном криогенном строении и в местах перехода через препятствия - до 1:2 000 - 1:1 000 - 1:500 |
Масштаб аэрофотоснимков | 1:17 000 (1:20 000) - 1:10 000 | 1:5 000, на особо сложных участках 1:2 000 |
Предварительное дешифрирование аэрофотоснимков | Всей территории съемки | Всей территории съемки |
Полевое дешифрирование | То же | То же |
Аэровизуальные наблюдения | " | На сложных участках, требующих детализации |
Ландшафтно-индикационные исследования при маршрутных исследованиях | " | На всей территории съемки |
Полевые работы | Ключевой участок (20 - 25 км2) на 100 - 200 км2 площади съемки | Сплошная инженерно-геокриологическая съемка по всей полосе трассы трубопровода |
Маршрутные исследования | Вдоль оси предполагаемой трассы и в полосе с расчетом пересечения максимального количества природных микрорайонов; между ключевыми участками; для изучения естественных обнажений геологических образований | До 20 точек наблюдений на 1 км трассы в зависимости от сложности природных условий (не менее 2 - 3 точек в пределах каждого выделенного природного микрорайона); для изучения обнажений; исследования неблагоприятных для строительства физико-геологических образований |
Изучение обнажений | Описание всех имеющихся обнажений | Описание всех имеющихся обнажений |
Электропрофилирование | На один ключевой участок не менее 20 км (на 2 разносах с шагом 25 - 50 м) | По оси трассы и по намеченным поперечникам |
Вертикальное электрическое зондирование | Не менее 3 точек на каждом выделенном типе природного микрорайона с многолетнемерзлыми грунтами, а также на аномалиях электропрофиля | В намеченных ранее точках |
Бурение опорных скважин с отбором керна, опробованием грунтов, измерением температуры | Не менее 2 - 6 скважин на каждом выделенном типе природных микрорайонов на ключевом участке (в зависимости от степени однородности геокриологической обстановки) | 3 - 5 скважин глубиной 10 - 15 м на 1 км трассы в зависимости от сложности геокриологической обстановки (не менее 2 скважин в контуре природного микрорайона); расстояние между скважинами не более 300 - 400 м |
Бурение зондировочных скважин | Глубиной до 5 м в том же объеме | 5 - 8 скважин на 1 км трассы в зависимости от сложности геокриологической обстановки |
Проходка шурфов | На один ключевой участок 2 - 3 шурфа для изучения криогенной текстуры, отбора монолитов грунта и т.п. | 2 - 3 шурфа глубиной 1 - 2 м с опробованием грунтов на каждый литолого-генетический тип грунтов |
ОБЪЕМЫ ОСНОВНЫХ ВИДОВ РАБОТ ПРИ ПРОИЗВОДСТВЕ
ИНЖЕНЕРНО-ГЕОКРИОЛОГИЧЕСКОЙ СЪЕМКИ НА ПЛОЩАДКАХ
Масштаб съемки и аэрофотоснимков; виды работ | На стадии технического проектирования | На стадии рабочих чертежей |
для выбора площадок | на выбранной площадке |
Масштаб инженерно-геокриологической съемки | 1:10 000 | 1:5 000 | 1:500 |
Масштаб аэрофотоснимков | 1:10 000 - 1:5 000 | 1:5 000 - 1:2 000 | - |
Предварительное дешифрирование | 1:10 000 - 1:5 000 | 1:5 000 - 1:2 000 | |
Полевое дешифрирование | На всей площади съемки | | - |
Ландшафтно-индикационные исследования при маршрутных исследованиях | То же | | - |
Маршрутные исследования | На каждом природном районе не менее 5 точек наблюдений | Маршруты по сетке 50 x 50 м, в узлах сетки - точки наблюдений | - |
Бурение скважин с опробованием грунтов и измерением температуры (с учетом пробуренных скважин на предыдущей стадии проектирования) | 2 - 3 скважины глубиной 10 - 15 м на каждом природном микрорайоне | По сетке 200 x 200 м или 300 x 300 м - глубиной 10 - 15 м | От 65 - 70 до 25 - 30 скважин по контурам зданий и сооружений и внутри контуров |
При бурении в зимнее время 2 - 3 измерения высоты снежного покрова и плотности снега в каждом природном микрорайоне | |
Бурение зондировочных скважин | 2 - 3 скважины в каждом природном микрорайоне | - |
Проходка шурфов | - | - | 2 - 3 шурфа |
Электропрофилирование | Через все типы природных микрорайонов; шаг измерений 10 - 20 м | По сетке маршрутных исследований; шаг измерений 10 - 20 м | По периметру площадок и по поперечникам, на расстоянии 10 - 15 м |
Вертикальное электрическое зондирование (ВЭЗ) | 2 - 3 точки ВЭЗ на каждом природном микрорайоне; разносы до 200 x 300 м | Точки ВЭЗ по сетке 200 x 200 или 300 x 300 м, разносы до 200 x 300 м | Точки ВЭЗ по сетке 50 x 50 м, разносы 100 - 200 м |
МАКЕТ КАРТЫ ПРИРОДНОГО МИКРОРАЙОНИРОВАНИЯ МАСШТАБА 1:25 000
УСЛОВНЫЕ ОБОЗНАЧЕНИЯ
| номер типа природного микрорайона |
| граница природных микрорайонов |
| граница геоморфологических уровней |
Таблица к макету карты природного
микрорайонирования 1:25 000
Номер природного микрорайона | Геоморфологический уровень, абсолютные отметки | Мезо- и микрорельеф, характер поверхности | Дренированность поверхности | Уровень грунтовых вод (УГВ), м | Растительность | Состав и мощность, м, грунтовых разностей, подстилающих сезонно-мерзлый и сезонно-талый слой (до глубины 15 м) |
1 | 2 | 3 | 4 | 5 | 6 | 7 |
1 | Прибрежно-морская равнина, абсолютная отметка 70 - 100 м; озерно-аллювиальная равнина, абсолютная отметка 50 - 60 м (междуречья) | Плоские торфяники, расчлененные заболоченными понижениями; поверхность мелкобугристая | Неравномерно дренирована, понижения заболочены | 0 | Комплекс кустарничково-мохово-лишайниковых сообществ торфяников и осоково-сфагновых сообществ болот | Торф до 3, песок 4 - 10, суглинок 1 - 3 |
2 | То же | Бугристые торфяники (высота бугров 1 - 3 м, реже до 10 - 15 м), расчлененные заболоченными понижениями | Неравномерно дренирована, понижения заболочены | 0 | Комплекс кустарничково-лишайниковых сообществ торфяников и осоково-сфагновых сообществ болот | Торф до 4,5, суглинок супесь 7 - 12, песок 1 - 4 |
3 | " | Мелкобугристая оторфованная поверхность, незначительно расчлененная заболоченными понижениями | Неравномерно дренирована | 0,1 - 1 | Кустарничково-мохово-лишайниковые сообщества | Песок 8 - 12, суглинок 3 - 6 |
4 | " | Плоские болота, травяные и моховые кочки высотой до 0,5 м | Сильно заболочена | 0 | Осоково-сфагновые сообщества | Торф до 2,5, песок 6 - 12, суглинок 1 - 6 |
5 | " | Грядово-мочажинные болота, гряды высотой до 1 м, чередуются с озерами и мочажинами | Сильно заболочена, гряды дренированы | 0 | Комплекс пушицево-осоково-сфагновых сообществ (с отдельными кедрами и соснами) | Торф до 3, суглинок 6 - 10, песок 2 - 5 |
6 | Прибрежно-морская равнина, абсолютная высота 70 - 100 м; озерно-аллювиальная равнина, абсолютная отметка 50 - 60 м (междуречья) | Болота с буграми пучения высотой 1 - 6 м, иногда образующие цепи | Сильно заболочена, бугры дренированы | 0 | Комплекс пушицево-осоково-сфагновых сообществ болот и кустарничково-мохово-лишайниковых сообществ бугров | Торф до 4, суглинок 8 - 12, песок 1 - 3, глина 1 - 3 |
7 | То же | Ровная залесенная поверхность, местами западинно-бугристый рельеф | Хорошо дренирована | 3 | Кедрово-березово-сосновые мохово-кустарничково-лишайниковые леса | Песок 4 - 10, суглинок 1 - 3, песок водонасыщенный 5 - 10 |
8 | " | Ровная залесенная поверхность, моховые и травяные кочки высотой до 0,8 | Хорошо дренирована | < 1 - 3 | Елово-березово-сосновые зеленомошные и сфагново-зеленомошные леса и редколесья | Песок 0,5 - 1,0, суглинок 1 - 5 |
9 | " | Плоские слабозалесенные торфяники, поверхность мелкобугристая | То же | 0,2 - 0,5 | Кедрово-сосновые мохово-лишайниковые редины | Песок водонасыщенный 10 - 12, торф до 2, песок водонасыщенный 13 - 15 |
10 | " | Долины малых водотоков, слабонаклонная залесенная поверхность, моховые и травяные кочки высотой до 1 м | | 0,1 - 1 | Березово-елово-кедровые мохово-кустарничковые леса | Торф до 3, песок водонасыщенный 12 - 14 |
11 | " | Долины малых водотоков, слабо наклонная поверхность, бугры пучения высотой 2 - 6 м | Слабо дренирована, бугры хорошо дренированы | 0,1 - 1 | Елово-березово-сосновые с примесью кедра зеленомошные и сфагново-зеленомошные леса | Торф до 3, суглинок 8 - 12, песок 1 - 3 |
| | ИС МЕГАНОРМ: примечание. Текст в графе 3 дан в соответствии с официальным текстом документа. | |
|
12 | Пойма, первая надпойменная терраса | Расчлененная залесенная поверхность, осложненная поверхность и ложбинами | Неравномерно дренирована | < 3 | Елово-кедрово-сосновые мохово-кустарничковые леса | Суглинок 1 - 3, песок водонасыщенный 10 - 12 |
13 | То же | Плоские болота, травяные и моховые кочки высотой до 0,5 м | Сильно заболочена | 0 | Осоково-сфагновые и кустарничково-осоково-сфагновые сообщества | Песок водонасыщенный 10 - 15, суглинок 1 - 5 |
14 | " | Пляжи и косы, плоская нерасчлененная поверхность | Неравномерно дренирована | 0 - 2 | Растительный покров не развит | Песок водонасыщенный 15 |
Продолжение
Номер природного микрорайона | Влажность отложений до глубины 15 м, доли ед. | Относительная просадка при протаивании мерзлого грунта, доли ед. | Средняя по разрезу просадочность минеральных мерзлых грунтов, доли ед. | Распространение многолетнемерзлых пород | Среднегодовая температура грунтов (над чертой многолетнемерзлых, под чертой - талых), °C | Мощность многолетнемерзлых пород, м | Состав грунта слоев |
сезонно-талого | сезонно-мерзлого |
1 | 8 | 9 | 10 | 11 | 12 | 13 | 14 | 15 |
1 | 3,5 - 6 0,17 - 0,25 0,3 - 0,5 | 0,5 - 0,6 0,01 - 0,05 0,14 - 0,3 | 0,05 - 0,2 | На торфяниках - сплошное, под озерами и болотами - талики | От 0 до -2 ------------------ от +0,1 до +0,5 | 20 - 60 | Торф | Торф |
2 | 5 - 3 0,3 - 0,9 0,17 - 0,25 | 0,6 - 0,7 0,14 - 0,5 0,01 - 0,05 | 0,2 - 0,4 | На торфяниках - сплошное, под озерами и болотами - талики | От 0 до -2,5 ------------------ от +0,1 до +0,5 | 30 - 70 | " | " |
3 | 0,17 - 0,25 0,3 - 0,5 | 0,01 - 0,05 0,14 - 0,3 | 0,05 - 0,2 | Сплошное; в заболоченных понижениях - талики | От 0 до -2,0 ------------------ от +0,1 до +0,5 | 30 - 70 | Торф, пески оторфованные суглинки | |
4 | 0,2 - 0,25 0,3 - 0,4 | | | - | От 0 до +0,5 | | - | Торф |
5 | 4 - 6 0,3 - 0,6 0,17 - 0,25 | 0,5 - 0,6 0,14 - 0,3 0,01 - 0,05 | 0,12 - 0,3 | На грядах - сплошное, под озерами и болотами - талики | От 0 до -0,5 ---------------- от 0 до +0,5 | 8 - 30 | Торф | |
6 | 6 - 9 6 - 15 0,2 - 0,3 0,45 - 1 | 0,6 - 0,7 0,3 - 0,6 0,03 - 0,15 0,23 - 0,55 | Св. 0,4 | На буграх - сплошное, в заболоченных понижениях - талики | От -1 до -3 ---------------- от 0 до +0,5 | 8 - 40 | Торф, супеси оторфованные | Торф |
7 | 0,1 - 0,15 0,25 - 0,3 0,25 | - | - | - | От +1 до +2 | - | - | Пески, суглинки |
8 | 0,15 - 0,2 0,35 - 0,4 0,25 | - | - | Отсутствуют; возможны маломощные линзы мерзлых пород | От 0 до +0,5 | - | - | Торф, пески, супеси, суглинки |
9 | 3,5 - 7,5 0,25 | - | - | - | От +0,1 до +0,5 | - | - | Торф |
10 | 0,8 - 1,2 | - | - | - | От +0,4 до +1 | - | - | Торф |
11 | 6 - 9 0,6 - 1,5 0,2 - 0,3 | 0,6 - 0,7 0,3 - 0,6 0,03 - 0,15 | Св. 0,4 | На буграх - сплошное, на залесенной кочковатой поверхности - талики | От -0,5 до -2 ----------------- от +0,4 до +1 | 8 - 40 | Торф, супеси | " |
12 | 0,3 - 0,4 0,25 | - | - | Отсутствуют; возможны маломощные линзы мерзлых пород | От 0 до +2 | - | - | Торф, пески |
13 | 0,25 0,3 - 0,4 | - | - | - | От +0,1 до +0,5 | - | - | Торф, пески |
14 | 0,25 | - | - | - | От +0,5 до +1 | - | - | Пески |
Продолжение
Номер природного микрорайона | Физические свойства грунтов СТС и СМС | Мощность слоя, м | Физико-геологические процессы |
влажность грунта, доли ед. | плотность сухого грунта, кг/м3 | теплопроводность грунта, Вт/(м·К) | объемная теплоемкость грунта, кДж/(м3·К) | сезонно-талого | сезонно-мерзлого |
талого | мерзлого |
талого | мерзлого |
1 | 16 | 17 | 18 | 19 | 20 | 21 | 22 | 23 | 24 |
1 | 3,5 | 0,3 | 0,8 | 1,2 | 990 | 570 | 0,4 - 0,7 | 0,5 - 0,9 | Термокарст, морозное пучение |
5,5 | 0,1 | 0,35 | 0,6 | 650 | 400 |
4 | 0,1 | 0,2 | 0,65 | 450 | 300 |
9 | 0,1 | 0,7 | 1,15 | 950 | 550 |
2 | 6 - 9 | 0,1 | 0,35 | 0,6 | 650 | 400 | 0,5 - 0,7 | 0,5 - 0,9 | То же |
4 | 0,1 | 0,2 | 0,65 | 450 | 300 |
9 | 0,1 | 0,7 | 1,15 | 950 | 550 |
3 | 4 | 0,1 | 0,2 | 0,35 | 450 | 300 | 0,6 - 1,2 | 0,5 - 0,9 | Термокарст |
0,35 | 1,2 | 1,7 | 1,9 | 660 | 420 |
0,6 | 1 | 1,45 | 1,65 | 820 | 520 |
4 | 4 | 0,1 | 0,2 | 0,35 | 450 | 300 | - | 0,5 - 0,9 | Заболачивание |
9 | 0,1 | 0,7 | 1,15 | 950 | 550 |
0,25 | 1,6 | 2,15 | 2,35 | 750 | 560 |
0,35 | 1,4 | 1,35 | 1,45 | 800 | 560 |
5 | 4 | 0,1 | 0,2 | 0,35 | 450 | 300 | 0,5 - 0,7 | 0,5 - 0,9 | Термокарст, заболачивание |
5,5 | 0,1 | 0,35 | 0,6 | 650 | 400 |
6 | 4 | 0,1 | 0,2 | 0,35 | 450 | 300 | 0,5 - 1 | 0,5 - 0,9 | Морозное пучение, термокарст, заболачивание |
9 | 0,1 | 0,7 | 1,15 | 950 | 550 |
0,8 | 0,9 | 1,6 | 1,8 | 850 | 500 |
7 | 0,1 | 1,6 | 1,25 | 1,4 | 515 | 430 | - | 1 - 2,5 | На незадернованных участках - эоловые процессы, эрозия |
0,15 | 1,6 | 1,55 | 1,75 | 590 | 480 |
0,25 | 1,6 | 1,3 | 1,45 | 750 | 560 |
0,3 | 1,4 | 1,25 | 1,35 | 720 | 520 |
8 | 1 | 0,7 | 0,8 | 1,2 | 855 | 500 | - | 0,6 - 1,5 | Слабое заболачивание |
0,5 | 0,75 | 0,9 | 1,4 | 820 | 520 |
0,2 | 1,6 | 1,85 | 2,05 | 670 | 510 |
0,4 | 1,4 | 1,3 | 1,65 | 690 | 505 |
0,35 | 1,4 | 1,35 | 1,45 | 800 | 560 |
0,4 | 1,2 | 1,35 | 1,55 | 740 | 505 |
9 | 3,3 | 0,1 | 0,2 | 0,35 | 450 | 300 | - | 0,5 - 1 | Слабое заболачивание |
7,5 | 0,1 | 0,35 | 0,6 | 650 | 400 |
10 | 1 | 0,7 | 0,8 | 1,2 | 855 | 500 | - | 0,7 - 1,3 | То же |
11 | 2 | 0,2 | 0,2 | 0,45 | 500 | 350 | 0,8 - 1,2 | 0,6 - 1,2 | Морозное пучение |
7,5 | 0,1 | 0,7 | 1,15 | 950 | 550 |
0,3 | 1,4 | 1,5 | 1,55 | 720 | 520 |
12 | 1 | 0,7 | 0,8 | 1,2 | 855 | 500 | - | 1 - 2,5 | Эрозия |
0,07 | 1,6 | 1,25 | 1,4 | 515 | 430 |
0,15 | 1,6 | 1,55 | 1,7 | 590 | 480 |
13 | 9 | 0,1 | 0,7 | 1,15 | 950 | 550 | - | 0,5 - 0,9 | Заболачивание |
0,25 | 1,6 | 2,15 | 2,35 | 750 | 560 |
14 | 0,1 | 1,6 | 1,25 | 1,4 | 515 | 430 | - | 1,5 - 3 | Эоловые процессы, эрозия |
0,25 | 1,6 | 2,15 | 2,35 | 750 | 560 |
МАКЕТ ИНЖЕНЕРНО-ГЕОКРИОЛОГИЧЕСКОЙ КАРТЫ МАСШТАБА 1:25 000
УСЛОВНЫЕ ОБОЗНАЧЕНИЯ
| Стратиграфогенетические комплексы отложений [не учитываются покровные (элювиально-делювиальные) отложения] |
aIV | - | голоценовые аллювиальные отложения |
aIII | - | верхнеплейстоценовые аллювиальные отложения |
LbIII - IV | - | нерасчлененные голоцен-верхнеплейстоценовые озерно-болотные отложения |
LaIII | - | верхнеплейстоценовые озерно-аллювиальные отложения |
pmIII | - | верхнеплейстоценовые (казанцевские) прибрежно-морские отложения |
gm, m, pmII | - | среднеплейстоценовые (салехардские) ледниково-морские, морские, прибрежно-морские отложения |
| - | голоценовые биогенные отложения, подстилающиеся голоценовыми аллювиальными отложениями |
| - | нерасчлененные голоцен-верхнеплейстоценовые озерно-болотные отложения, подстилающиеся верхнеплейстоценовыми (казанцевскими) прибрежно-морскими отложениями |
| - | нерасчлененные голоцен-верхнеплейстоценовые озерно-болотные отложения, подстилающиеся верхнеплейстоценовыми озерно-аллювиальными отложениями |
| - | нерасчлененные голоцен-верхнеплейстоценовые озерно-болотные отложения, подстилающиеся среднеплейстоценовыми (салехардскими) ледниково-морскими, прибрежно-морскими отложениями |
| Типы разрезов грунтовой толщи (до глубины 10 - 15 м) |
А | - песок |
Б | - супесь |
В | - суглинок |
Г | - глина |
Т | - торф |
| вверху - кровля 2 горизонта, м |
внизу - кровля 3 горизонта, м |
| Физико-геологические образования и процессы |
| термокарстовые образования |
| современные бугры пучения (новообразования ММП) |
| реликтовые бугры пучения |
| повторно-жильные льды |
| | пластовый лед; | над чертой - кровля пласта, м под чертой - подошва пласта, м |
| солифлюкция |
| морозное растрескивание |
| заболачивание |
| эрозия и термоэрозия |
| эоловые процессы |
| Глубина залегания грунтовых вод (летне-осенний уровень, м) |
| < 3 | |
| > 3 | |
ПРОЧИЕ ОБОЗНАЧЕНИЯ
| границы стратиграфо-генетических комплексов |
| границы типов разрезов грунтовой толщи |
| границы участков с различным распространением ММП |
| границы участков с различной температурой пород |
| границы участков с различной глубиной залегания кровли ММП |
| скважина глубиной 10 - 15 м и ее номер |
| зондировочная скважина и ее номер |
| точка ВЭЗ и ее номер |
| линия электропрофиля и ее номер |
| линия инженерно-геокриологического разреза |
Таблица к макету инженерно-геокриологической карты 1:25 000
(Геокриологические условия)
Распространение ММП | Просадочность ММП | Среднегодовая темпера тура пород, °C |
С поверхности (площадь, занятая ММП, %) | С глубины, м | | | |
| | | | | |
Двойная штриховка на карте отражает двухслойное строение разреза по просадочности |
1 - 3 - мощность верхнего слоя, выделенного по величине просадочности |
Глубина сезонного протаивания (над чертой) - промерзания (под чертой), м |
0,4 - 0,7 ---------- 0,5 - 0,9 |
ИНЖЕНЕРНО-ГЕОКРИОЛОГИЧЕСКИЙ РАЗРЕЗ К МАКЕТУ
ИНЖЕНЕРНО-ГЕОКРИОЛОГИЧЕСКОЙ КАРТЫ МАСШТАБА 1:25 000
УСЛОВНЫЕ ОБОЗНАЧЕНИЯ
| Состав грунтов |
| песок |
| супесь |
| суглинок |
| торф |
| Типы криогенных структур |
| массивная |
| порфировидная |
| слоистая |
| сетчатая |
| базальная |
| Место отбора |
| монолита грунтов |
| образца грунта |
| пробы воды |
| стратиграфо-генетический индекс отложений |
| номер инженерно-геологического элемента |
| среднегодовая температура пород |
| установившийся УГВ дата замера |
| Границы |
| многолетнемерзлых пород |
| стратиграфические |
| литологические |
| инженерно-геологического элемента |
Номер инженерно-геологического элемента | Номенклатурный вид грунтов | Инженерно-геологическая характеристики грунтов |
 , кг/м3 |  , кг/м3 | n, % |  , доли ед. | Kф, м/сут | Wс, доли ед. | Лв, доли ед. |  , доли ед. |
1 | Торф хорошо разложившийся мерзлый | 0,9 - 0,95 | 0,1 - 0,2 | - | 11 - 12 | - | 4 - 9 | 0,3 - 0,4 | 0,3 |
2 | Торф среднеразложившийся водонасыщенный | 0,9 - 1 | 0,1 - 0,2 | - | 8 - 9 | < 0,01 | 3 - 5 | - | - |
3 | Суглинок пластично-мерзлый | 1,3 - 1,8 | 1 - 1,6 | 0,5 - 0,7 | 1 - 2,3 | - | 0,4 - 0,7 | 0,2 - 0,4 | 0,2 - 0,35 |
4 | Суглинок мягко пластичный | 1,7 - 2 | 1,4 - 1,7 | 0,3 - 0,5 | 0,45 - 1 | - | 0,25 - 0,4 | - | - |
5 | Супесь пластичная | 1,7 - 1,9 | 1,5 - 1,6 | 0,35 - 0,45 | 0,53 - 0,81 | - | 0,15 - 0,2 | - | - |
6 | Песок пластично-мерзлый | 1,8 - 2,1 | 1,6 - 2 | 0,25 - 0,4 | 0,33 - 0,65 | - | 0,16 - 0,2 | - | 0,01 - 0,02 |
7 | Песок твердомерзлый | 1,8 - 2,1 | 1,6 - 2 | 0,25 - 0,4 | 0,33 - 0,65 | - | 0,17 - 0,24 | - | 0,01 - 0,07 |
8 | Песок тонкозернистый водонасыщенный | 1,9 - 2,1 | 1,6 - 1,8 | 0,3 - 0,4 | 0,4 - 0,65 | 0,2 - 0,4 | 0,16 - 0,2 | - | - |
9 | Песок тонкозернистый влажный | 2 - 2,1 | 1,6 - 1,8 | 0,3 - 0,4 | 0,4 - 0,65 | 0,2 - 0,4 | 0,10 - 0,15 | - | - |
10 | Песок сред незернистый водонасыщенный | 1,9 - 2,1 | 1,6 - 1,8 | 0,3 - 0,4 | 0,4 - 0,65 | 0,8 - 1,2 | 0,16 - 0,2 | - | - |
МАКЕТ ИНЖЕНЕРНО-ГЕОКРИОЛОГИЧЕСКОЙ КАРТЫ МАСШТАБА 1:5 000
УСЛОВНЫЕ ОБОЗНАЧЕНИЯ
| Стратиграфо-генетические комплексы отложений Не учитываются покровные (элювиально-делювиальные) отложения |
aIV | - | голоценовые аллювиальные отложения |
LaIII2 | - | верхнеплейстоценовые озерно-аллювиальные отложения |
| - | нерасчлененные голоцен-верхнеплейстоценовые озерно-болотные отложения, подстилающиеся верхнеплейстоценовыми озерно-аллювиальными отложениями |
| Распространение и глубина залегания грунтовых вод (летне-осенний уровень), м |
| Над чертой - глубина залегания грунтовых вод, м Под чертой - минерализация, г/л |
Прочие обозначения
| - границы стратиграфо-генетических комплексов |
| - границы типов разрезов грунтовой толщи |
| - границы участков с различным распространением ММП |
| - границы участков с различной температурой пород |
| - границы участков с различной глубиной залегания кровли ММП |
| - | границы участков распространения физико-геологических процессов и образований |
| - скважина глубиной 10 - 15 м и ее номер |
| - зондировочная скважина и ее номер |
| - точка ВЭЗ и ее номер |
| - линия электропрофиля и ее номер |
| - линия инженерно-геокриологического разреза |
| Физико-геологические процессы и образования |
| - термокарстовые образования |
| - современные бугры пучения (новообразования ММП) |
| - реликтовые бугры пучения |
| - повторно-жильные льды |
| | - пластовый лед; | над чертой - кровля пласта, м под чертой - подошва пласта, м |
| - солифлюкция |
| - морозное растрескивание |
| - заболачивание |
| - эрозия и термоэрозия |
| - эоловые процессы |
| Типы разрезов грунтовой толщи (до глубины 10 - 15 м) |
А | - песок |
Б | - супесь |
В | - суглинок |
Г | - глина |
Т | - торф |
| 1 - 3 вверху - кровля 2 горизонта, м 8 - 9 внизу - кровля 3 горизонта, м |
Таблица к макету инженерно-геокриологической карты 1:5 000
(геокриологические условия)
Распространение ММП | Просадочность ММП | Среднегодовая темпера тура пород, °C |
С поверхности (площадь, занятая ММП, %) | С глубины, м | | | |
| | | | | |
Двойная штриховка на карте отражает двухслойное строение разреза по просадочности |
1 - 3 - мощность верхнего слоя, выделенного по величине просадочности |
Глубина сезонного протаивания (над чертой) - промерзания (под чертой), м |
0,4 - 0,7 ---------- 0,5 - 0,9 |
ИНЖЕНЕРНО-ГЕОКРИОЛОГИЧЕСКИЙ РАЗРЕЗ К МАКЕТУ
ИНЖЕНЕРНО-ГЕОКРИОЛОГИЧЕСКОЙ КАРТЫ МАСШТАБА 1:5 000
УСЛОВНЫЕ ОБОЗНАЧЕНИЯ
| Состав: |
| песок |
| супесь |
| суглинок |
| торф |
| Типы криогенных текстур |
| массивная |
| порфировидная |
| слоистая |
| сетчатая |
| базальная |
| Границы: |
| многолетнемерзлых пород |
| стратиграфические |
| литологические |
| инженерно-геологического элемента |
| Место отбора: |
| монолита грунта |
| образца грунта |
| пробы воды |
| стратиграфо-генетический индекс отложений |
| номер инженерно-геологического элемента |
| среднегодовая температура пород |
| установившийся УГВ дата замера |
Номер инженерно-геологического элемента | Номенклатурный вид грунта | Инженерно-геологические характеристики грунта |
 , кг/м3 |  , кг/м3 | n, % |  , доли ед. | Kф, м/сут | Wс, доли ед. |
1 | Песок мелкозернистый водонасыщенный | 1,9 - 2,1 | 1,6 - 1,8 | 34 - 40 | 0,5 - 0,7 | 0,8 - 1,2 | 0,16 - 0,2 |
2 | Суглинок мягкопластичный | 1,9 - 2 | 1,5 - 1,6 | 29 - 45 | 0,64 - 0,75 | - | 0,21 - 0,25 |
3 | Супесь пластичная | 1,7 - 1,9 | 1,5 - 1,6 | 35 - 43 | 0,65 - 0,76 | - | 0,16 - 0,18 |
4 | Торф среднеразложившийся водонасыщенный | 0,9 - 1 | 0,1 - 0,2 | - | 8 - 9 | < 0,01 | 3 - 5 |
5 | Торф среднеразложившийся мерзлый | 0,9 - 0,95 | 0,1 - 0,2 | - | 11 - 12 | - | 6 - 10 |
6 | Суглинок мягкопластичный | 1,7 - 2 | 1,4 - 1,7 | 36 - 52 | 0,6 - 1 | - | 0,25 - 0,4 |
7 | Суглинок пластично-мерзлый | 1,7 - 1,9 | 1,4 - 1,6 | 47 - 55 | 0,8 - 1,1 | - | 0,35 - 0,45 |
8 | Песок тонкозернистый влажный | 2 - 2,1 | 1,6 - 1,8 | 32 - 39 | 0,47 - 0,64 | 0,2 - 0,4 | 0,1 - 0,15 |
9 | Песок тонкозернистый водонасыщенный | 1,9 - 2,1 | 1,6 - 1,8 | 32 - 39 | 0,47 - 0,64 | 0,2 - 0,4 | 0,16 - 0,2 |
10 | Песок тонкозернистый твердомерзлый | 1,9 - 2,1 | 1,6 - 1,8 | 30 - 45 | 0,48 - 0,75 | - | 0,15 - 0,22 |
11 | Суглинок тугопластичный | 2 - 2,1 | 1,7 - 1,8 | 33 - 37 | 0,5 - 0,59 | - | 0,15 - 0,17 |
12 | Суглинок пластично-мерзлый | 1,6 - 1,9 | 1,1 - 1,6 | 40 - 60 | 0,7 - 1,1 | - | 0,2 - 0,4 |
Номер инженерно-геологического элемента | Номенклатурный вид грунта | Инженерно геологические характеристики грунта |
Лв, доли ед. |  , доли ед. | E, МПа | Cн, МПа |  , град | Rн, МПа |
1 | Песок мелкозернистый водонасыщенный | - | - | 28 | 0,002 - 0,003 | 32 | 0,2 - 0,3 |
2 | Суглинок мягкопластичный | - | - | 19 - 25 | 0,02 - 0,03 | 20 - 23 | 0,15 - 0,2 |
3 | Супесь пластичная | - | - | 9 - 10 | 0,003 | 21 | 0,2 - 0,3 |
4 | Торф среднеразложившийся водонасыщенный | - | - | - | - | - | - |
5 | Торф среднеразложившийся мерзлый | 0,3 | 0,2 - 0,3 | - | 0,001 - 0,005 | 5 - 15 | 0,025 - 0,035 |
6 | Суглинок мягкопластичный | - | - | 19 - 25 | 0,02 - 0,03 | 18 - 20 | 0,15 - 0,2 |
7 | Суглинок пластично-мерзлый | 0,1 - 0,2 | 0,05 - 0,15 | 7 - 15 | 0,01 - 0,02 | 12 - 18 | 0,4 - 1 |
8 | Песок тонкозернистый влажный | - | - | 18 - 34 | 0,004 - 0,008 | 30 - 36 | 0,12 - 0,2 |
9 | Песок тонкозернистый водонасыщенный | - | - | 18 - 34 | 0,004 - 0,008 | 30 - 36 | 0,10 - 0,15 |
10 | Песок тонкозернистый твердомерзлый | 0 - 0,1 | 0,03 - 0,07 | 12 - 23 | 0,002 - 0,005 | 22 - 35 | 0,7 - 1,2 |
11 | Суглинок туго пластичный | - | - | 25 - 27 | 0,03 - 0,04 | 24 - 25 | 0,2 - 0,25 |
12 | Суглинок пластично-мерзлый | 0,05 - 0,2 | 0,02 - 0,12 | 7 - 15 | 0,01 - 0,02 | 12 - 18 | 0,8 - 1,5 |
МАКЕТ ИНЖЕНЕРНО-ГЕОКРИОЛОГИЧЕСКОЙ КАРТЫ МАСШТАБА 1:500
УСЛОВНЫЕ ОБОЗНАЧЕНИЯ
| Стратиграфо-генетические комплексы отложений (не учитываются покровные элювиально-делювиальные отложения) |
LaIII1 | верхнеплейстоценовые озерно-аллювиальные отложения |
| нерасчлененные голоцен-верхнеплейстоценовые озерно-болотные отложения, подстилающиеся верхнеплейстоценовыми озерно-эллювиальными отложениями |
| Типы разрезов грунтовой толщи (до глубины 10 - 15 м) |
А | - песок |
Б | - супесь |
В | - суглинок |
Г | - глина |
Т | - торф |
АВБ | - чередование по площади и в разрезе песка, суглинка, супеси |
| вверху - кровля 2-го горизонта, м внизу - кровля 3-го горизонта, м |
| Распространение и глубина залегания грунтовых вод (летне-осенний уровень) |
| Над чертой - глубина залегания грунтовых вод, м Под чертой - водообильность, л/с |
| граница участков распространения грунтовых вод (воды СТС не учитываются) |
| Физико-геологические образования и процессы <*> |
| -------------------------------- <*> а) не выраженные в масштабе; б) выраженные в масштабе |
| Термокарстовые образования |
| Современные бугры пучения (новообразования ММП и их мощность) |
| Реликтовые бугры пучения |
| Повторно-жильные льды |
| | пластовый лед; | над чертой - кровля пласта, м под чертой - подошва пласта, м |
| Солифлюкционные образования |
| Морозное растрескивание |
| Заболачивание |
| Эрозионные и термоэрозионные образования |
| Эоловые образования |
ПРОЧИЕ ОБОЗНАЧЕНИЯ
| Границы стратиграфо-генетических комплексов |
| Границы типов разрезов грунтовой толщи |
| Границы ММП |
| Границы участков с различной температурой пород |
| Границы участков с различной глубиной залегания кровли ММП |
| Границы участков распространения физико-геологических процессов и образований |
| Справа над чертой - номер скважины, под чертой - глубина верхней поверхности ММП, м; прочерк обозначает сливающиеся ММП Слева над чертой - среднегодовая температура пород, °C, под чертой - уровень грунтовых вод, м; прочерк обозначает их отсутствие до глубины 15 м |
| Точка ВЭЗ и ее номер |
| Линия электропрофиля и ее номер |
| Линия инженерно-геокриологического разреза |
Таблица к макету инженерно-геокриологической карты 1:500
(геокриологические условия)
ИНЖЕНЕРНО-ГЕОКРИОЛОГИЧЕСКИЙ РАЗРЕЗ К МАКЕТУ
ИНЖЕНЕРНО-ГЕОКРИОЛОГИЧЕСКОЙ КАРТЫ МАСШТАБА 1:500
УСЛОВНЫЕ ОБОЗНАЧЕНИЯ
| Состав грунтов: |
| суглинок |
| торф |
| Типы криогенных текстур: |
| массивная |
| порфировидная |
| слоистая |
| сетчатая |
| базальная |
| лед |
| Границы: |
| многолетнемерзлых пород |
| литологические |
| инженерно-геологического элемента |
| уровня грунтовых вод |
| Место отбора: |
| монолита грунта |
| образца грунта |
| пробы воды |
| стратиграфо-генетический индекс отложений |
| номер инженерно-геологического элемента |
| среднегодовая температура пород |
| Установившийся УГВ дата замера |
Номер инженерно-геологического элемента | Номенклатурный вид грунта | Инженерно-геологические характеристики грунтов |
 , кг/м3 |  , кг/см3 | n, % |  , доли ед. | Kф, м/сут | Wс, доли ед. |
1 | Торф среднеразложившийся | 0,9 - 1 | 0,1 - 0,2 | - | 8 - 9 | < 0,01 | 4 - 6 |
2 | Торф хорошо разложившийся мерзлый | 0,9 - 0,95 | 0,1 - 0,2 | - | 11 - 12 | - | 6 - 9 |
3 | Суглинок мягкопластичный | 1,95 - 2,02 | 1,55 - 1,65 | 38 - 43 | 0,6 - 0,7 | - | 0,22 - 0,25 |
4 | Суглинок твердомерзлый | 1,25 - 1,42 | 0,83 - 0,95 | 64 - 69 | 1,7 - 2,1 | - | 0,50 - 0,55 |
5 | Суглинок мягкопластичный | 2,06 - 2,18 | 1,75 - 1,9 | 29 - 35 | 0,4 - 0,5 | - | 0,15 - 0,2 |
6 | Суглинок пластично-мерзлый | 2,04 - 2,06 | 1,68 - 1,7 | 36 - 38 | 0,5 - 0,6 | - | 0,2 - 0,22 |
7 | Суглинок тугопластичный | 2,12 - 2,18 | 1,85 - 1,92 | 29 - 31 | 0,4 - 0,45 | - | 0,13 - 0,15 |
8 | Суглинок пластично-мерзлый | 1,96 - 1,98 | 1,58 - 1,63 | 39 - 41 | 0,6 - 0,7 | - | 0,21 - 0,26 |
9 | Суглинок твердомерзлый | 1,94 - 1,96 | 1,52 - 1,58 | 40 - 43 | 0,6 - 0,7 | - | 0,23 - 0,26 |
Номер инженерно-геологического элемента | Номенклатурный вид грунта | Инженерно-геологические характеристики грунта |
Лв, доли ед. |  , доли ед. | E, МПа | Cн, МПа |  , град | Rн, МПа |
1 | Торф среднеразложившийся | - | - | - | - | - | - |
2 | Торф хорошо разложившийся мерзлый | 0,3 - 0,4 | 0,2 - 0,3 | - | 0,001 - 0,005 | 5 - 15 | 0,025 - 0,035 |
3 | Суглинок мягкопластичный | - | - | 19 - 25 | 0,023 - 0,028 | 21 - 23 | 0,2 - 0,21 |
4 | Суглинок твердомерзлый | 0,3 | 0,2 | 5 - 10 | 0,01 - 0,014 | 12 - 14 | 0,4 - 1 |
5 | " мягкопластичный | - | - | 19 - 25 | 0,02 - 0,03 | 23 - 24 | 0,28 - 0,3 |
6 | " пластично-мерзлый | - | < 0,01 | 19 - 25 | 0,01 - 0,02 | 18 - 20 | 0,8 - 1,5 |
7 | Суглинок тугопластичный | - | - | 27 - 34 | 0,035 - 0,045 | 25 - 26 | 0,3 - 0,32 |
8 | " пластично-мерзлый | - | 0,01 | 14 - 19 | 0,02 - 0,03 | 20 - 22 | 0,8 - 1,5 |
9 | " твердомерзлый | - | 0,01 - 0,02 | 14 - 19 | 0,025 - 0,03 | 23 - 24 | 1,0 - 1,5 |