Главная // Актуальные документы // Рекомендация / РекомендацииСПРАВКА
Источник публикации
М., 2005
Примечание к документу
Введен в действие с 1 июля 2005 года.
Название документа
"ТР 170-05. Технические рекомендации на проектирование и строительство подземных сетей водоотведения из безнапорных полиэтиленовых труб с двухслойной стенкой"
(утв. Управлением научно-технической политики в строительной отрасли 21.04.2005)
"ТР 170-05. Технические рекомендации на проектирование и строительство подземных сетей водоотведения из безнапорных полиэтиленовых труб с двухслойной стенкой"
(утв. Управлением научно-технической политики в строительной отрасли 21.04.2005)
Управлением научно-технической
политики в строительной отрасли
21 апреля 2005 года
ПРАВИТЕЛЬСТВО МОСКВЫ
ДЕПАРТАМЕНТ ГРАДОСТРОИТЕЛЬНОЙ ПОЛИТИКИ,
РАЗВИТИЯ И РЕКОНСТРУКЦИИ ГОРОДА
УПРАВЛЕНИЕ НАУЧНО-ТЕХНИЧЕСКОЙ ПОЛИТИКИ
В СТРОИТЕЛЬНОЙ ОТРАСЛИ
ГОСУДАРСТВЕННОЕ УНИТАРНОЕ ПРЕДПРИЯТИЕ
НАУЧНО-ИССЛЕДОВАТЕЛЬСКИЙ ИНСТИТУТ
МОСКОВСКОГО СТРОИТЕЛЬСТВА ГУП "НИИМОССТРОЙ"
ТЕХНИЧЕСКИЕ РЕКОМЕНДАЦИИ
НА ПРОЕКТИРОВАНИЕ И СТРОИТЕЛЬСТВО ПОДЗЕМНЫХ СЕТЕЙ
ВОДООТВЕДЕНИЯ ИЗ БЕЗНАПОРНЫХ ПОЛИЭТИЛЕНОВЫХ ТРУБ
С ДВУХСЛОЙНОЙ СТЕНКОЙ
ТР 170-05
Дата введения в действие
1 июля 2005 года
Настоящие технические рекомендации (ТР) разработаны ГУП "НИИМосстрой" по заказу ОАО "Московский комитет по науке и технологиям" (договор N 3-С/04), как один из результатов научно-исследовательских работ по теме: "Разработка технологий применения полиэтиленовых труб с двухслойной гофрированной стенкой в подземных инженерных сетях нового поколения с проведением экспериментальных работ на опытных участках" (раздел "Разработка технологии прокладки трубопроводов водоотведения из полиэтиленовых труб диаметром 100 - 500 мм с двухслойной стенкой гофрированной наружной и гладкой внутренней с использованием полиэтиленовых колодцев").
Технические рекомендации подготовлены на основе проведенных ГУП "НИИМосстрой" исследований, накопленного отечественного и зарубежного опыта по применению пластмассовых труб, в том числе с двойными стенками, при устройстве трубопроводов безнапорной канализации и самотечных водостоков.
Разработке ТР предшествовал выпуск ЗАО НПО "Стройполимер" опытных партий полиэтиленовых гофрированных труб (ПГТ) с двухслойной стенкой номинальным внутренним диаметром 100 мм, 150 и 200 мм и прокладка из них опытных участков внутриквартальной канализации.
Технические рекомендации согласованы: АО "Моспроект", ЗАО "Мосинжпроект", ХК "Главмосстрой", ЗАО "Главмосинжстрой", ПАУКС ГП "Мосводоканал" и ЗАО НПО "Стройполимер".
ТР разработаны к.т.н. Сладковым А.В. и к.т.н. Отставновым А.А.
Утверждены Начальником Управления научно-технической политики в строительной отрасли А.Н. Дмитриевым 21.04.2005.
Вводятся впервые.
1.1. Настоящие технические требования распространяются на проектирование и строительство подземных сетей водоотведения (канализации и водостоков) из безнапорных полиэтиленовых гофрированных труб - далее ПГТ с двухслойной стенкой (гладкой внутренней и гофрированной наружной).
1.2. При строительстве водоотводящих сетей из ПГТ должны учитываться требования
СНиП 2.04.03-85,
СНиП 3.05.04-85,
СП 40-102-2000, государственных стандартов и ведомственных нормативных документов по экологической и пожарной безопасности.
| | ИС МЕГАНОРМ: примечание. Нумерация пунктов дана в соответствии с официальным текстом документа. | |
1.4. Сооруженные водоотводящие самотечные сети из ПГТ следует принимать в эксплуатацию в соответствии с требованиями
СНиП 3.01.04-87 и действующими нормами.
1.5. Для сооружения водоотводящих трубопроводов должны применяться ПГТ, отвечающие требованиям ТУ 2248-025-4198-9945 "Трубы гофрированные из полиэтилена для систем канализации и водоотведения" ЗАО НПО "Стройполимер" (рис. 1,
табл. 1).
Рис. 1. Схема полиэтиленовой гофрированной
двухслойной трубы
Таблица 1
Размеры полиэтиленовых гофрированных двухслойных труб
Размеры в мм
┌───────────┬────────────┬────────────┬────┬───────────┬──────┬───────────┐
│Номинальный│ D │ D │ S │ S │ e │Масса
<**>,│
│внутренний │ 1 │ 2 │ 1 │ 2 │ │ кг/м │
│ диаметр ├─────┬──────┼─────┬──────┤ ├─────┬─────┤ │ │
│ │ном. │пред. │ном. │пред. │ │ном. │пред.│ │ │
│ │ │откл. │ │откл. │ │ │откл.│ │ │
├───────────┼─────┼──────┼─────┼──────┼────┼─────┼─────┼──────┼───────────┤
│ 200 │196,3│ 2,9 │ 232 │ 2,9 │0,9 │ 2,4 │ 0,6 │ 21,2 │ 1,71 │
├───────────┼─────┼──────┼─────┼──────┼────┼─────┼─────┼──────┼───────────┤
│ 250 │245,2│ 2,9 │287,5│ 2,9 │1,3 │ 2,8 │ 0,6 │ 26,5 │ 2,52 │
├───────────┼─────┼──────┼─────┼──────┼────┼─────┼─────┼──────┼───────────┤
│ 300 │295,7│ 3,2 │ 345 │ 3,2 │1,3 │ 3 │ 0,6 │ 35,3 │ 3,28 │
├───────────┼─────┼──────┼─────┼──────┼────┼─────┼─────┼──────┼───────────┤
│ 350 │348,0│ 3,2 │ 397 │ 3,2 │1,4 │ 3,2 │ 0,8 │ 35,3 │ 4,07 │
├───────────┼─────┼──────┼─────┼──────┼────┼─────┼─────┼──────┼───────────┤
│ 400 │398,0│ 4,0 │ 446 │ 4,0 │1,6 │ 3,4 │ 1 │ 44 │ 4,8 │
├───────────┼─────┼──────┼─────┼──────┼────┼─────┼─────┼──────┼───────────┤
│ 450 │448,0│ 4,0 │ 496 │ 4,0 │1,8 │ 3,6 │ 1 │ 44 │ 5,89 │
├───────────┼─────┼──────┼─────┼──────┼────┼─────┼─────┼──────┼───────────┤
│ 500 │ - │ - │ - │ - │ - │ - │ - │ - │ - │
├───────────┴─────┴──────┴─────┴──────┴────┴─────┴─────┴──────┴───────────┤
└─────────────────────────────────────────────────────────────────────────┘
Основные показатели свойств ПГТ приводятся в табл. 2.
Примечания. Можно использовать трубы ПГТ, изготовляемые в соответствии с другой нормативно-технической документацией, а также трубы импортного производства, показатели свойств которых не ниже приведенных в табл. 2.
Таблица 2
Физико-механические показатели полиэтиленовых
гофрированных двухслойных труб
Наименование | Размерность | Значение | Примечание |
Кольцевая жесткость, не менее | Па | 8000 | 5000 - 10000 Па (жесткие); 8 кПа по ISO |
Стойкость к удару падающим грузом 0,8 кг при температуре 0 °C | - | Отсутствие повреждений (трещин, расслоений, вздутий) | - |
Герметичность в сборе с полиэтиленовыми муфтами и кольцами при температуре 20 °C и внутреннем давлении 0,05 МПа | мин | >= 10 | - |
Стойкость к воздействию стены температур от -50 °C до +50 °C | - | Отсутствие повреждений | - |
Стойкость к растрескиванию в водных растворах поверх- ностно-активных веществ при температуре 50 °C | - | Отсутствие растрескивания | - |
1.6. Для строительства безнапорных водоотводящих трубопроводов допускаются к применению только трубы, имеющие сертификат соответствия в системах ГОСТ Р или Мосстройсертификации.
1.7. Трубы ПГТ между собой следует соединять муфтами с двумя раструбами (рис. 2,
табл. 3) с уплотнением резиновыми кольцами.
Рис. 2. Схема муфты для соединения полиэтиленовых
гофрированных двухслойных труб
Таблица 3
Размеры муфт для соединения ПГТ (мм)
┌─────────┬─────────────────────┬──────────┬─────────┬──────────┬─────────┐
│ DN │ d │ S │ Y │ L │ l │
│ │ 1 │ l │ │ │ 0 │
│ ├───────┬─────────────┤ │ │ │ │
│ │ ном. │ пред. откл. │ │ │ │ │
│ │ │ (+/-) │ │ │ │ │
├─────────┼───────┼─────────────┼──────────┼─────────┼──────────┼─────────┤
│ 100 │ 122,0 │ 1,5 │ 2,5 │ 30 │ 193 │ 90 │
├─────────┼───────┼─────────────┼──────────┼─────────┼──────────┼─────────┤
│ 125 │ 151,0 │ 1,5 │ 2,5 │ 30 │ 241 │ 112 │
├─────────┼───────┼─────────────┼──────────┼─────────┼──────────┼─────────┤
│ 150 │ 181,0 │ 1,5 │ 3,0 │ 30 │ 260 │ 122 │
├─────────┼───────┼─────────────┼──────────┼─────────┼──────────┼─────────┤
│ 200 │ 238,0 │ 1,5 │ 3,0 │ 40 │ 326 │ 155 │
├─────────┼───────┼─────────────┼──────────┼─────────┼──────────┼─────────┤
│ 250 │ 293,0 │ 1,5 │ 3,5 │ 40 │ 340 │ 165 │
├─────────┼───────┼─────────────┼──────────┼─────────┼──────────┼─────────┤
│ 315 │ 348,7 │ 1,5 │ 3,5 │ 40 │ 404 │ 190 │
├─────────┼───────┼─────────────┼──────────┼─────────┼──────────┼─────────┤
│ 400 │ 402,3 │ 1,5 │ 4,0 │ 40 │ 510 │ 250 │
├─────────┼───────┼─────────────┼──────────┼─────────┼──────────┼─────────┤
│ 500 │ 581,2 │ 1,5 │ 5,0 │ 50 │ 670 │ 320 │
└─────────┴───────┴─────────────┴──────────┴─────────┴──────────┴─────────┘
1.8. В слабых грунтах с расчетным сопротивлением менее 0,1 МПа (1 кгс/см2), а также в грунтах с возможной неравномерной осадкой (в неслежавшихся насыпных грунтах) прокладка самотечных трубопроводов водоотведения с трубами ПГТ без искусственного основания не допускается.
1.9. Трубопроводы водоотведения из ПГТ при траншейной прокладке допускается укладывать в грунт на глубину не более 6 м (до шелыги труб, с обязательной засыпкой пазух траншеи песком, гравием, щебенкой) с последующим механическим уплотнением до степени не менее 0,95.
1.10. Минимальная глубина заложения ПГТ в сетях водоотведения должна составлять 0,5 м - вне пределов проезжей части и 0,6 м - в пределах проезжей части.
2. ОСОБЕННОСТИ ПРОЕКТИРОВАНИЯ
ПОДЗЕМНЫХ СЕТЕЙ ВОДООТВЕДЕНИЯ ИЗ ПГТ
2.1. При проведении гидравлических расчетов подземных безнапорных водоотводящих трубопроводов из полиэтиленовых гофрированных двухслойных труб могут использоваться гидравлические формулы, номограммы и таблицы в соответствии с требованиями
СНиП 2.04.03-85 "Канализация. Наружные сети и сооружения" и
СП 40-102-2000 "Проектирование и монтаж трубопроводов систем водоснабжения и канализации из полимерных материалов. Общие требования".
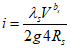
2.2. Гидравлический уклон самотечного водоотводящего трубопровода

, (1)
где

- коэффициент гидравлического сопротивления трения по длине трубопровода;
V - средняя скорость течения стоков, м/с;
g - ускорение свободного падения, м/с2;

- гидравлический радиус потока, м;

- безразмерный показатель степени;

, (2)
где a - эмпирический показатель степени, зависящий от

,

, (3)

, (4)
где

- коэффициент эквивалентной шероховатости, м (рекомендуется принимать 0,1 мм).
Числа Рейнольдса

и (5)

, (6)
где v - коэффициент кинематической вязкости сточной жидкости, м2/с, (табл. 4).
Таблица 4
Значения коэффициентов кинематической вязкости
для различных температур сточной жидкости и количества
транспортируемых взвешенных веществ
┌─────────────────┬───────────────────────────────────────────────────────┐
│ │ 6 │
│ Температура │ Значения 10 ню, м2/с, при количестве взвешенных │
│сточной жидкости,│ веществ в стоках, мг/л │
│ °C ├───────┬───────┬───────┬───────┬───────┬───────┬───────┤
│ │ < 100 │ 100 │ 200 │ 300 │ 400 │ 500 │ 600 │
├─────────────────┼───────┼───────┼───────┼───────┼───────┼───────┼───────┤
│ 2 │ 1,67 │ 2,17 │ 2,67 │ 3,17 │ 3,67 │ 4,17 │ 4,67 │
├─────────────────┼───────┼───────┼───────┼───────┼───────┼───────┼───────┤
│ 3 │ 1,61 │ 1,83 │ 2,05 │ 2,77 │ 2,49 │ 2,71 │ 2,93 │
├─────────────────┼───────┼───────┼───────┼───────┼───────┼───────┼───────┤
│ 4 │ 1,56 │ 1,68 │ 1,80 │ 1,92 │ 2,04 │ 2,16 │ 2,28 │
├─────────────────┼───────┼───────┼───────┼───────┼───────┼───────┼───────┤
│ 5 │ 1,52 │ 1,60 │ 1,68 │ 1,76 │ 1,84 │ 1,92 │ 2,00 │
├─────────────────┼───────┼───────┼───────┼───────┼───────┼───────┼───────┤
│ 6 │ 1,47 │ 1,52 │ 1,58 │ 1,63 │ 1,69 │ 1,76 │ 1,80 │
├─────────────────┼───────┼───────┼───────┼───────┼───────┼───────┼───────┤
│ 7 │ 1,42 │ 1,46 │ 1,50 │ 1,54 │ 1,58 │ 1,62 │ 1,67 │
├─────────────────┼───────┼───────┼───────┼───────┼───────┼───────┼───────┤
│ 8 │ 1,39 │ 1,42 │ 1,45 │ 1,48 │ 1,51 │ 1,54 │ 1,58 │
├─────────────────┼───────┼───────┼───────┼───────┼───────┼───────┼───────┤
│ 9 │ 1,35 │ 1,37 │ 1,40 │ 1,42 │ 1,45 │ 1,47 │ 1,49 │
├─────────────────┼───────┼───────┼───────┼───────┼───────┼───────┼───────┤
│ 10 │ 1,31 │ 1,33 │ 1,35 │ 1,37 │ 1,39 │ 1,41 │ 1,43 │
├─────────────────┼───────┼───────┼───────┼───────┼───────┼───────┼───────┤
│ 11 │ 1,27 │ 1,29 │ 1,30 │ 1,32 │ 1,34 │ 1,35 │ 1,37 │
├─────────────────┼───────┼───────┼───────┼───────┼───────┼───────┼───────┤
│ 12 │ 1,24 │ 1,25 │ 1,27 │ 1,28 │ 1,30 │ 1,31 │ 1,32 │
├─────────────────┼───────┼───────┼───────┼───────┼───────┼───────┼───────┤
│ 13 │ 1,21 │ 1,22 │ 1,23 │ 1,25 │ 1,26 │ 1,27 │ 1,28 │
├─────────────────┼───────┼───────┼───────┼───────┼───────┼───────┼───────┤
│ 14 │ 1,17 │ 1,18 │ 1,19 │ 1,20 │ 1,21 │ 1,22 │ 1,23 │
├─────────────────┼───────┼───────┼───────┼───────┼───────┼───────┼───────┤
│ 15 │ 1,14 │ 1,15 │ 1,16 │ 1,17 │ 1,18 │ 1,18 │ 1,19 │
├─────────────────┼───────┼───────┼───────┼───────┼───────┼───────┼───────┤
│ 16 │ 1,11 │ 1,12 │ 1,13 │ 1,13 │ 1,14 │ 1,15 │ 1,16 │
├─────────────────┼───────┼───────┼───────┼───────┼───────┼───────┼───────┤
│ 17 │ 1,09 │ 1,10 │ 1,10 │ 1,11 │ 1,12 │ 1,12 │ 1,13 │
├─────────────────┼───────┼───────┼───────┼───────┼───────┼───────┼───────┤
│ 18 │ 1,06 │ 1,07 │ 1,07 │ 1,08 │ 1,08 │ 1,09 │ 1,10 │
├─────────────────┼───────┼───────┼───────┼───────┼───────┼───────┼───────┤
│ 19 │ 1,03 │ 1,04 │ 1,04 │ 1,05 │ 1,05 │ 1,06 │ 1,06 │
├─────────────────┼───────┼───────┼───────┼───────┼───────┼───────┼───────┤
│ 20 │ 1,01 │ 1,02 │ 1,02 │ 1,02 │ 1,03 │ 1,04 │ 1,04 │
├─────────────────┼───────┼───────┼───────┼───────┼───────┼───────┼───────┤
│ 21 │ 0,99 │ 1,00 │ 1,00 │ 1,00 │ 1,01 │ 1,01 │ 1,02 │
├─────────────────┼───────┼───────┼───────┼───────┼───────┼───────┼───────┤
│ 22 │ 0,95 │ 0,96 │ 0,97 │ 0,97 │ 0,98 │ 0,98 │ 0,98 │
├─────────────────┼───────┼───────┼───────┼───────┼───────┼───────┼───────┤
│ 23 │ 0,93 │ 0,94 │ 0,95 │ 0,95 │ 0,96 │ 0,96 │ 0,96 │
├─────────────────┼───────┼───────┼───────┼───────┼───────┼───────┼───────┤
│ 24 │ 0,91 │ 0,92 │ 0,93 │ 0,93 │ 0,93 │ 0,94 │ 0,94 │
├─────────────────┼───────┼───────┼───────┼───────┼───────┼───────┼───────┤
│ 25 │ 0,90 │ 0,90 │ 0,91 │ 0,91 │ 0,91 │ 0,92 │ 0,92 │
└─────────────────┴───────┴───────┴───────┴───────┴───────┴───────┴───────┘
Для бытовых стоков целесообразно принимать

. Для коэффициента кинематической вязкости чистой воды учитывается только ее температура (

, °C) (табл. 5).
Таблица 5
Значения коэффициента кинематической вязкости
чистой воды,

, в зависимости от температуры
┌─────────────┬──────┬──────┬─────┬──────┬──────┬─────┬──────┬──────┬─────┐
│t , °C │ 5 │ 10 │ 12 │ 14 │ 16 │ 18 │ 20 │ 30 │ 40 │
│ 0 │ │ │ │ │ │ │ │ │ │
├─────────────┼──────┼──────┼─────┼──────┼──────┼─────┼──────┼──────┼─────┤
│ 6 │ │ │ │ │ │ │ │ │ │
│10 ню , м2/с│ 1,52 │ 1,31 │1,24 │ 1,17 │ 1,11 │1,06 │ 1,01 │ 0,8 │0,66 │
│ в │ │ │ │ │ │ │ │ │ │
└─────────────┴──────┴──────┴─────┴──────┴──────┴─────┴──────┴──────┴─────┘
2.3. Средняя скорость течения жидкости

при неполном наполнении трубопровода определяется по формуле:

, (7)
где

- средняя скорость течения сточной жидкости при полном заполнении трубопровода, м/с;

,

- гидравлические радиусы при неполном и полном заполнениях трубопровода, м.
2.4. При конкретном наполнении трубопровода расход сточной жидкости

, (8)
где

- живое сечение потока сточной жидкости при данном наполнении трубопровода, м2.
2.5. Живое сечение трубопровода

, (9)
где d - расчетный (внутренний) диаметр труб, м,

- коэффициент, учитывающий соотношение живых сечений потока при частичном и полном заполнениях трубопровода (табл. 6).
Таблица 6
Гидравлические характеристики различно заполненных
самотечных канализационных трубопроводов
┌───────────┬───────────┬────────────┬───────────┬───────────┬────────────┐
│ h/D │ К │ R
<*> │ R /R │ V /V
<*> │ q /q
<*> │
│ │ омега │ │ sн sп │ н п │ н п │
├───────────┼───────────┼────────────┼───────────┼───────────┼────────────┤
│ 0,30 │ 0,19817 │ 0,1709 │ 0,6836 │ 0,78 │ 0,20 │
├───────────┼───────────┼────────────┼───────────┼───────────┼────────────┤
│ 0,35 │ 0,24498 │ 0,1935 │ 0,7816 │ 0,86 │ 0,28 │
├───────────┼───────────┼────────────┼───────────┼───────────┼────────────┤
│ 0,40 │ 0,29337 │ 0,2142 │ 0,8568 │ 0,92 │ 0,34 │
├───────────┼───────────┼────────────┼───────────┼───────────┼────────────┤
│ 0,45 │ 0,34278 │ 0,2331 │ 0,9322 │ 0,96 │ 0,43 │
├───────────┼───────────┼────────────┼───────────┼───────────┼────────────┤
│ 0,50 │ 0,39270 │ 0,2500 │ 1,0000 │ 1,00 │ 0,50 │
├───────────┼───────────┼────────────┼───────────┼───────────┼────────────┤
│ 0,55 │ 0,44262 │ 0,2649 │ 1,0617 │ - │ 0,59 │
├───────────┼───────────┼────────────┼───────────┼───────────┼────────────┤
│ 0,60 │ 0,49203 │ 0,2776 │ 1,1104 │ 1,07 │ 0,66 │
├───────────┼───────────┼────────────┼───────────┼───────────┼────────────┤
│ 0,65 │ 0,54042 │ 0,2881 │ 1,1596 │ - │ 0,76 │
├───────────┼───────────┼────────────┼───────────┼───────────┼────────────┤
│ 0,70 │ 0,58723 │ 0,2962 │ 1,1048 │ 1,08 │ 0,84 │
├───────────┼───────────┼────────────┼───────────┼───────────┼────────────┤
│ 0,75 │ 0,63185 │ 0,3017 │ 1,2053 │ - │ 0,88 │
├───────────┼───────────┼────────────┼───────────┼───────────┼────────────┤
│ 0,80 │ 0,67357 │ 0,3042 │ 1,2168 │ 1,07 │ 0,91 │
├───────────┼───────────┼────────────┼───────────┼───────────┼────────────┤
│ 0,85 │ 0,71152 │ 0,3033 │ 1,2054 │ - │ 0,95 │
├───────────┼───────────┼────────────┼───────────┼───────────┼────────────┤
│ 0,90 │ 0,74452 │ 0,2980 │ 1,1920 │ 1,04 │ 0,98 │
├───────────┼───────────┼────────────┼───────────┼───────────┼────────────┤
│ 0,95 │ 0,77072 │ 0,2865 │ 1,1115 │ - │ 0,99 │
├───────────┼───────────┼────────────┼───────────┼───────────┼────────────┤
│ 1,00 │ 0,78540 │ 0,2500 │ 1,0000 │ 1,00 │ 1,00 │
└───────────┴───────────┴────────────┴───────────┴───────────┴────────────┘
--------------------------------
<*> - с точностью до 5% с помощью этих соотношений могут быть также определены скорости и расходы при полном "п" и частичном "н" заполнениях.
2.6. Гидравлический радиус потока сточной жидкости в самотечном трубопроводе с частичным наполнением

. (10)
2.7. Значения минимальных скоростей при проведении гидравлической увязки самотечных канализационных трубопроводов из труб должны приниматься больше самоочищающих скоростей, а максимальные скорости должны быть меньше 5 м/с (табл. 7).
Таблица 7
Расчетные значения гидравлических параметров
самотечных канализационных трубопроводов из труб
┌────────────────────────┬─────┬────┬────┬─────┬────┬─────┬────┬────┬─────┐
│Диаметры, DN, мм │ 100 │150 │200 │ 250 │300 │ 350 │400 │450 │ 500 │
├────────────────────────┼─────┼────┼────┼─────┼────┼─────┼────┼────┼─────┤
│Минимальные скорости, │0,75 │0,8 │0,85│ 0,9 │0,95│ 1 │1,05│1,1 │1,15 │
│V , м/с │ │ │ │ │ │ │ │ │ │
│ min │ │ │ │ │ │ │ │ │ │
├────────────────────────┼─────┴────┴────┴─────┴────┴─────┴────┴────┴─────┤
│Максимальные скорости, │ 5 │
│V , м/с │ │
│ max │ │
├────────────────────────┼────────────────────────────────────────────────┤
│Минимальные наполнения, │ 0,3 │
│ min │ │
├────────────────────────┼────────────────────────────────┬───────────────┤
│Максимальные наполнения,│ 0,6 │ 0,8 │
│(H/d) │ │ │
│ max │ │ │
├────────────────────────┼─────┬────┬────┬─────┬────┬─────┼────┬────┬─────┤
│Минимальные уклоны, │ 8 │ 6 │ 5 │ 4 │ 3 │ 2 │ 1 │0,9 │ 0,8 │
│i , о/оо │ │ │ │ │ │ │ │ │ │
│ min │ │ │ │ │ │ │ │ │ │
└────────────────────────┴─────┴────┴────┴─────┴────┴─────┴────┴────┴─────┘
--------------------------------
<*> - меньшее заполнение трубопровода можно принимать только в качестве безрасчетных значений.
2.8. При выполнении приближенных гидравлических расчетов трубопроводов водоотведения из ПГТ целесообразно пользоваться гидравлическими таблицами (
Приложение А), которые дают точность 5 - 10%, либо использовать номограммы (
Приложение Б) меньшей точности (15 - 20%).
3. ТРАНСПОРТИРОВАНИЕ, СКЛАДИРОВАНИЕ И ХРАНЕНИЕ ПГТ
3.1. ПГТ допускается транспортировать любым видом транспорта в соответствии с правилами перевозки грузов и требованиями погрузки и крепления грузов, действующими на данном виде транспорта.
3.2. Транспортирование следует производить с максимальным использованием вместимости транспортного средства.
3.3. ПГТ следует предохранять от ударов и механических нагрузок, а их поверхность - от нанесения царапин (глубиной более 0,1 - 0,2 мм). При перевозке трубы необходимо укладывать на ровную поверхность транспортных средств, используя для их закрепления специальные профильные прокладки, предохранять от острых металлических углов и ребер платформы.
3.4. Транспортирование и погрузочно-разгрузочные работы должны производиться при температуре не ниже -20 °С. Транспортировка ПГТ при более низких температурах допускается с соблюдением особых мер предосторожности, при использовании специальных средств, обеспечивающих их фиксацию. Категорически запрещается сбрасывать трубы с транспортных средств.
3.5. Погрузочно-разгрузочные работы на предприятии должны производиться в соответствии с
ГОСТ 12.3.020-80.
3.6. ПГТ следует хранить в неотапливаемых складских помещениях или на складских площадках под навесом, исключая вероятность их механических повреждений. В отапливаемых складах трубы следует располагать на расстоянии не менее 1 м от отопительных приборов. Трубы должны быть защищены от воздействия прямых солнечных лучей. При открытом складировании труб на территории предприятия-изготовителя или на строительных площадках допускается временное (не более трех месяцев с момента изготовления) хранение без защиты от УФ излучения.
3.7. Упаковка, транспортирование, оформление документации и хранение ПГТ должно производиться в соответствии с требованиями
ГОСТ 10692-80 с изм. 1 - 5.
3.8. При транспортировке и погрузочно-разгрузочных работах запрещается подвергать трубы ударным нагрузкам.
3.9. При перевозке автотранспортом длина свисающих концов труб не должна превышать 1 м.
3.10. Трубы следует хранить в штабелях на ровных площадках. Нижние и последующие ряды укладываются на деревянные (пластмассовые) профилированные прокладки. Высота штабеля принимается с учетом массы труб, но не более 2 м. Для предотвращения самопроизвольного раскатывания труб следует устанавливать боковые опоры.
3.11. Доставка ПГТ на строительную площадку должна производиться специально оборудованным автотранспортом. Разгрузку труб следует производить вручную или автопогрузчиком (автокраном) с использованием мягких полотенец или строп. При выполнении погрузочно-разгрузочных работ запрещается сбрасывать трубы с транспортных средств.
3.12. Различные по диаметру ПГТ целесообразно хранить отдельно друг от друга.
4. ПРОКЛАДКА ВОДООТВОДЯЩИХ ТРУБОПРОВОДОВ ИЗ ПГТ
4.1. Работы по прокладке водоотводящих трубопроводов из полиэтиленовых труб с двойными стенками следует выполнять с учетом общих требований СНиП и в соответствии с проектами канализационной сети и водостоков, организации строительства (ПОС) и производства работ (ППР). Строительные организации, выполняющие работы по прокладке подземных систем водоотведения, должны иметь лицензию на право производства работ.
4.2. Прокладка водоотводящих сетей с использованием труб должна производиться в соответствии с требованиями
СНиП 3.05.04-85*.
4.3. При производстве работ по прокладке трубопроводов канализации и водостоков из труб следует использовать технологические процессы, предусмотренные типовыми технологическими регламентами. Их состав и очередность выполнения должны увязываться с конкретными условиями строительства в процессе производственного инструктажа.
4.4. Монтаж безнапорных канализационных трубопроводов и водостоков не следует производить при температуре наружного воздуха ниже -20 °C.
4.5. После окончания отдельных технологических этапов производства работ, предусмотренных в проекте, следует оформлять приемосдаточные акты на их выполнение с участием производителя работ, представителей организаций, проектирующих и эксплуатирующих самотечную систему канализации и/или водостоки.
4.6. Перед прокладкой водоотводящих трубопроводов трубы, муфты, резиновые уплотнительные кольца и вещества, используемые в качестве смазки должны проходить входной контроль качества, включающий:
- проверку сопроводительной документации,
- тщательный визуальный осмотр,
- сравнение с эталонными образцами,
- выборочное определение размеров,
- проверку изделий на соответствие ТУ и паспортам на материалы, из которого они изготовлены (табл. 8).
Таблица 8
Свойства полиэтилена для изготовления ПГТ
┌───────────────────────────────────────┬─────────────┬───────────────────┐
│ Наименование │ размерность │ значение
<*> │
├───────────────────────────────────────┼─────────────┼───────────────────┤
│Плотность │ г/см3 │ 0,953 - 0,959/ │
│ │ │ 0,935 - 0,960 │
├───────────────────────────────────────┼─────────────┼───────────────────┤
│Предел текучести при растяжении │ МПа │ 20 - 23/15 - 19 │
├───────────────────────────────────────┼─────────────┼───────────────────┤
│Модуль упругости при растяжении │ МПа │ 800/800 │
├───────────────────────────────────────┼─────────────┼───────────────────┤
│Относительное удлинение при разрыве │ % │300 - 800/300 - 900│
├───────────────────────────────────────┼─────────────┼───────────────────┤
│ │ │ -4 -4 │
│Коэффициент линейного теплового │ 1/°C │ 1,910 /1,910 │
│расширения │ │ │
└───────────────────────────────────────┴─────────────┴───────────────────┘
--------------------------------
<*> - в числителе для ПЭ 63, в знаменателе для ПЭ 80.
4.7. Размеры всех элементов ПГТ (стенок, выступов и впадин труб и муфт) должны соответствовать установленным нормам. Торцы цилиндрической части труб должны быть перпендикулярны (+/- 0,5 град.) продольной оси и иметь круглое сечение с овальностью не более 2%.
4.8. При разработке траншей (котлованов) и производстве работ по устройству оснований для прокладки самотечных канализационных трубопроводов и водостоков следует соблюдать требования
СНиП 3.02.01-87 "Земляные сооружения. Основания и фундаменты".
4.9. Грунт, образующийся при рытье траншей и котлованов, должен выбрасываться на бровку в отвал либо в кузов самосвала на вывоз. Проектную глубину и ширину по верху выемок превышать не следует. Ширина траншеи по дну не должна быть больше наружного диаметра труб +(0,2 - 0,3) м.
4.10. Для обеспечения качественной сборки труб между собой в траншее следует разрабатывать приямки, симметричные относительно стыков, с размерами:
0,3 x (наружный диаметр +0,15) x 0,6 м (глубина x ширина x длина).
4.11. Для укладки самотечных трубопроводов водоотведения из ПГТ должна производиться специальная подготовка дна траншеи с обеспечением проектного уклона в соответствии с проектом:
- при естественном основании ровной срезкой грунта с профилированием на угол (по проекту);
- при искусственном основании - насыпкой песка, гравия, щебенки с утрамбовкой слоями толщиной 100 ... 150 мм до проектной степени уплотнения, бетонированием (монолитным, сборным), установкой свайных опор.
4.12. Засыпка траншеи производится вручную или экскаваторами-планировщиками с включением следующих технологических процессов:
- подсыпка песка (мягкого талого грунта) под трубы и выше до отметки горизонтального диаметра трубы с уплотнением до степени не ниже 0,90;
- укладка такого же грунта в приямки вокруг соединений с уплотнением не ниже степени 0,92;
- засыпка пазух траншеи до верха труб с уплотнением до степени не ниже 0,9;
- устройство защитного слоя над трубой толщиной 0,25 ... 0,3 м без уплотнения с тщательным разравниванием;
- засыпка труб на высоту 0,7 +/- 0,1 м с уплотнением электрифицированными трамбовками.
Примечание. В случае использования для выравнивания трубопроводов в качестве прокладок деревянных брусков и досок перед засыпкой пазух грунтом их следует из траншеи удалить.
4.13. После завершения гидравлических испытаний водоотводящих трубопроводов из ПГТ производят окончательную засыпку траншеи местным грунтом не содержащим твердых включений крупнее 200 мм (камней, кирпичей, строительного мусора и пр.), экскаватором-планировщиком или бульдозером по слою грунта с заданным проектом уплотнением.
4.14. Сборочные работы по прокладке трубопроводов водоотведения из труб следует производить в соответствии с технологическим регламентом, утвержденным в установленном порядке. Такие работы должны производиться рабочими, прошедшими специальное обучение и получившими право на их выполнение.
4.15. Перед укладкой выборочными измерениями следует проверять размеры концов труб, муфт и резиновых колец, которые предстоит соединять между собой.
4.16. Непосредственно перед сборкой проводится входной контроль качества всех труб и изделий - тщательный визуальный осмотр и сравнение с эталонными образцами. Особое внимание следует уделять проверке состояния резиновых колец и соответствие их качества нормативным требованиям, указанным в сопроводительной документации.
4.17. Канализационный трубопровод (водосток) следует монтировать, начиная раскладки по трассе труб и муфт на бровке на расстоянии 1 ... 1,5 м от края траншеи.
4.18. Сборку трубопроводов из отдельных труб можно производить непосредственно на дне траншеи, над траншеей и на бровке траншеи. Для каждого конкретного случая необходимо разрабатывать технологические карты с указанием технологических схем укладки труб в траншеи и используемых средств малой механизации, а также машин, оборудования и оснастки.
4.19. Отдельные трубы (трубопровод) следует опускать в траншею плавно вручную или соответствующих их массе грузоподъемными механизмами, исключая возможность их повреждения о стенки и дно.
4.20. Перед укладкой трубопровода обязательно следует проверить устойчивость и целостность стенок траншеи. Трубы, укладываемые на основание, следует помещать сразу в проектное положение (опирание труб на жесткие прокладки недопустимо). Находящиеся под трубами камни, обломки кирпича и другие твердые включения необходимо удалить из траншеи, а образовавшиеся углубления сразу засыпать песком.
4.21. При соединении труб следует обеспечивать центровку торцов и их равномерное стыковку по всей окружности.
4.22. Уплотнение соединений резиновыми кольцами должно проводиться следующим образом:
- конец трубы снаружи и муфту изнутри очищают от грязи и масел;
- на трубу в первый паз надевают резиновое кольцо;
- кольцо снаружи и внутреннюю поверхность муфты внутри смазывают раствором хозяйственного мыла с добавлением технического глицерина;
- трубу вдвигают в муфту вручную или натяжным приспособлением (при этом усилия сборки не должны превышать допустимые значения, при которых возможна продольная деформация стенок труб):
диаметр трубы усилие
200 мм - 1,75 кН,
250 мм - 2,72 кН,
300 мм - 4,35 кН,
350 мм - 4,7 кН,
400 мм - 5,0 кН,
450 мм - 7,0 кН
500 мм - 7,8 кН
Примечание. Недопустимо использовать ковш экскаватора для сборки соединений; усилия могут быть переданы на один из торцов труб, что может привести к их повреждению.
4.23. Проходы самотечных трубопроводов канализации и водостоков через стенки смотровых колодцев выполняются в соответствии с проектом и зависят от формы колодцев в плане (круглые или прямоугольные), вида материала (железобетонные, кирпичные либо полиэтиленовые) и способа сопряжения трубопроводов соседних участков (шелыга - в шелыгу, по воде, по основаниям либо с перепадом сопрягаемых в колодце труб).
Примечание. Обустройство прохода ПГТ через стенки полиэтиленовых колодцев следует выполнять в соответствии с альбомом ПС - 344 к (ГУП "Мосинжпроект", 2002 г., выпуск 2).
4.25. При проведении испытаний следует использовать типовые технологические процессы и испытательное оборудование, применяемое при гидравлическом (пневматическом) испытании самотечных трубопроводов из традиционных труб.
5. СДАЧА И ПРИЕМКА В ЭКСПЛУАТАЦИЮ
5.1. Сдача в эксплуатацию сетей водоотведения из ПГТ должна осуществляться в соответствии с проектом, а также с учетом требований
СНиП 3.01.04-87 "Приемка в эксплуатацию законченных строительством объектов",
СНиП 2.04.03-85 "Канализация. Наружные сети и сооружения" и "Правила производства работ по прокладке и переустройству подземных сооружений в Московском регионе".
5.2. Следует придерживаться следующего порядка. После письменного уведомления генерального подрядчика о готовности строительного объекта к приемке заказчик назначает рабочую комиссию, в которую входят представители заказчика (председатель), эксплуатационного предприятия, подрядчика, проектной организации, а при необходимости других заинтересованных ведомств. Рабочая комиссия проверяет соответствие выполненных строительно-монтажных работ утвержденному проекту, производит проверку качества строительства, дает заключение о готовности к приемке в эксплуатацию водоотводящих сетей. В случае обнаружения недоделок составляется их ведомость и устанавливается срок их устранения.
5.3. Для окончательной приемки в эксплуатацию законченных строительством водостоков (самотечной канализации) заказчик по согласованию с эксплуатационным предприятием должен назначить приемочную комиссию и установить срок ее работы. При этом заказчик и генеральный подрядчик представляют комиссии следующие документы:
- утвержденную проектно-сметную документацию на строительство трубопроводной сети из ПГТ;
- списки специализированных организаций, принимавших участие в выполнении строительно-монтажных работ, с указанием инженерно-технических работников, ответственных за их выполнение;
- материалы исполнительной геодезической съемки фактического положения элементов трубопроводов и сооружений на сетях, "Акт на разбивку трассы трубопроводной сети";
- исполнительные чертежи на построенные самотечные канализационные сети;
- акты сдачи и приемки отдельных этапов работ по монтажу трубопроводов, если проектом было предусмотрено их оформление;
- исполнительные чертежи на построенные трубопроводные сети со штампом Геотреста;
- акты приемки-сдачи скрытых работ;
- акт о проведении испытаний трубопроводной сети.
5.4. Комиссия, принимающая законченный строительством объект в эксплуатацию, после ознакомления с представленными материалами и проверки соответствия выполненных работ утвержденному проекту оформляет акт по форме, приведенной в
СНиП 3.01.04-87. Акт составляется в 5-ти экземплярах (2 экз. - для эксплуатационной организации, 2 экз. - заказчику, 1 экз. - генеральному подрядчику) и должен быть подписан председателем и всеми членами комиссии.
6. УСТРАНЕНИЕ ВОЗМОЖНЫХ ДЕФЕКТОВ МОНТАЖА
И РЕМОНТ ТРУБОПРОВОДОВ ИЗ ПГТ
6.1. Устранение брака, произошедшего в процессе строительства или при эксплуатации трубопровода из ПГТ, должно производиться по технологическому регламенту и технологии, согласованными с заказчиком, проектной организацией и производителями труб.
6.2. При небольшом механическом повреждении труб дефектное место следует очистить от грязи, пыли, масел и пр. и заделать трещину экструзионной сваркой (сварным швом или наложением заплатки на сварке из полиэтиленового листа или разрезанной вдоль такой же трубы) или использовать бандаж из термоусаживаемой манжеты.
6.3. Поврежденный участок следует вырезать. Резку труб можно производить вручную, различными пилами или электроинструментами. После резки поверхности концов труб должны быть очищены. Торцы цилиндрической части должны быть перпендикулярны (+/- 0,5 град.) продольной оси труб. Бракованный отрезок трубы заменяется новым, который присоединяется экструзионной сваркой или подвижной муфтой с уплотнением резиновыми кольцами.
7. ТРЕБОВАНИЯ БЕЗОПАСНОСТИ ПРИ ПРОКЛАДКЕ
ВОДООТВОДЯЩИХ ТРУБОПРОВОДОВ ИЗ ПГТ
7.1. При производстве работ по прокладке трубопроводов водоотведения из ПГТ необходимо соблюдать требования
СНиП 12.04-2002 "Безопасность труда в строительстве. Часть 2. Строительное производство", включая изменения, касающиеся погрузочно-разгрузочных, земляных гидравлических и пневматических испытаний.
7.2. Складирование ПГТ, элементов колодцев, строительных изделий и др. материалов должно осуществляться согласно требований технических условий на них.
7.3. Манипуляции при погрузке и разгрузке ПГТ, элементов колодцев и других строительных изделий должны производиться с использованием инвентарных грузозахватных приспособлений (стропов, мягких полотенец, траверс, захватов и т.п.) с учетом применяемых подъемно-транспортных механизмов. При перемещении грунта, ПГТ, элементов колодцев и т.п. рабочий персонал должен находиться в безопасной зоне проведения работ.
7.4. Работа на любых строительных машинах должна производиться лицами, имеющими специальное на это разрешение, и только в соответствии с проектом производства работ. Использовать в работе разрешается только исправные машины, инструменты, приспособления и средства малой механизации, что должно проверяться в установленном порядке с указанием сроков, оговоренных в техпаспортах.
7.5. Необходимо постоянно следить за состоянием откосов при работе людей в нераскрепленных траншеях и котлованах, а в раскрепленных - за элементами креплений.
7.6. Все рабочие, перед тем как приступить к работе, должны пройти полный инструктаж по технике безопасности (вводный, первичный, повторный, внеплановый и текущий).
7.7. При хранении ПГТ, элементов колодцев на объекте строительства и на месте монтажа следует соблюдать правила противопожарной безопасности (
ГОСТ 12.1.004-91). Запрещается разводить огонь и проводить огневые работы в непосредственной близости (не менее 2 м) от бытовок, складов, хранить рядом горючие и легковоспламеняющиеся жидкости.
7.8. При пожаре следует использовать обычные средства пожаротушения.
7.9. При осмотре колодцев (камер) необходимо открыть все люки, проверить их газоанализатором на загазованность. Категорически запрещаются попытки проверки загазованности зажженной спичкой, горящей бумагой или пламенем горелки. Испытания следует прервать во всех случаях, угрожающих безопасности работников.
8. ОХРАНА ОКРУЖАЮЩЕЙ СРЕДЫ
8.1. Меры по охране окружающей среды при производстве работ, связанных с прокладкой трубопроводов водоотведения из ПГГ должны соответствовать требованиям
СНиП 3.05.03-85 и настоящего раздела.
8.2. Без согласования с соответствующей организацией не допускается производить рытье траншей (котлованов) и т.п. на расстояниях менее 2 м от стволов деревьев и 1 м от кустарников. Запрещается перемещение грузов кранами на расстоянии ближе 0,5 м от крон или стволов деревьев. Не допускается складирование труб и других изделий на расстоянии менее 2 м от стволов деревьев без временных ограждающих или защитных устройств вокруг них.
8.3. Слив воды из трубопроводов после проведения испытаний следует производить только в места, предусмотренные ППР.
8.4. Территория по завершении строительства трубопроводной сети должна быть очищена и восстановлена в соответствии с проектом.
8.5. Отходы ПГТ следует вывозить на заводы для переработки или на захоронение в места, согласованные с Санэпиднадзором. Непригодные для вторичной переработки отходы подлежат уничтожению в соответствии с санитарными правилами и нормами, предусматривающими порядок накопления, транспортирования, обезвреживания и захоронения промышленных отходов.
| | ИС МЕГАНОРМ: примечание. Обозначение приложений дано в соответствии с официальным текстом документа. | |
НОМОГРАММЫ ДЛЯ ГИДРАВЛИЧЕСКОГО РАСЧЕТА
ТРУБОПРОВОДОВ ВОДООТВЕДЕНИЯ ИЗ ПГТ
Обозначения: DN - диаметр труб, q - расход, V - средняя скорость, i - гидравлический уклон
Рис. П.Б.1. Сетчатая номограмма для приближенных
гидравлических расчетов полностью заполненных самотечных
трубопроводов водоотведения из полиэтиленовых
труб с двойными стенками
Обозначения:

- условный диаметр труб, q - расход, V - средняя скорость, i - гидравлический уклон
Рис. П.Б.2. Номограмма на выровненных точках
для приближенных гидравлических расчетов
полностью заполненных самотечных трубопроводов водоотведения
из полиэтиленовых труб с двойными стенками
Обозначения:

,

- расходы и

,

- средние скорости при неполном и полном заполнении трубопроводов
Рис. П.Б.3. Графики соотношений расходов и средних
скоростей при неполном и полном заполнении трубопроводов
Обозначения: V - средняя скорость, A - промежуточная шкала, q - расход, H/d - наполнение трубопровода,

- условный диаметр труб
Рис. П.Б.4. Номограмма на выровненных точках
для приближенных гидравлических расчетов различно
заполненных самотечных трубопроводов водоотведения
из полиэтиленовых труб с двойными стенками
ТАБЛИЦЫ ДЛЯ ГИДРАВЛИЧЕСКОГО РАСЧЕТА ТРУБОПРОВОДОВ
ВОДООТВЕДЕНИЯ ИЗ ПГТ
Таблица А.1
Таблицы для гидравлического расчета трубопроводов
водоотведения из ПГТ при различном наполнении
(Кэ = 0,02 мм)
DN = 100 мм
h/d | i = 0,01 | i = 0,011 | i = 0,012 | i = 0,013 | i = 0,014 | i = 0,015 | i = 0,016 |
q | V | q | V | q | V | q | V | q | V | q | V | q | V |
0,1 | 0,135 | 0,330 | 0,143 | 0,351 | 0,152 | 0,371 | 0,159 | 0,390 | 0,167 | 0,409 | 0,175 | 0,427 | 0,182 | 0,444 |
0,2 | 0,598 | 0,535 | 0,635 | 0,568 | 0,671 | 0,600 | 0,704 | 0,630 | 0,737 | 0,659 | 0,768 | 0,687 | 0,799 | 0,714 |
0,3 | 1,380 | 0,696 | 1,463 | 0,738 | 1,544 | 0,779 | 1,619 | 0,817 | 1,693 | 0,854 | 1,765 | 0,890 | 1,833 | 0,925 |
0,4 | 2,423 | 0,826 | 2,567 | 0,875 | 2,708 | 0,923 | 2,837 | 0,967 | 2,965 | 1,011 | 3,089 | 1,053 | 3,208 | 1,093 |
0,5 | 3,645 | 0,928 | 3,859 | 0,983 | 4,069 | 1,036 | 4,261 | 1,085 | 4,452 | 1,134 | 4,638 | 1,181 | 4,814 | 1,226 |
0,6 | 4,943 | 1,005 | 5,231 | 1,063 | 5,514 | 1,121 | 5,773 | 1,173 | 6,031 | 1,226 | 6,280 | 1,276 | 6,518 | 1,325 |
0,7 | 6,195 | 1,055 | 6,555 | 1,116 | 6,909 | 1,177 | 7,233 | 1,232 | 7,554 | 1,286 | 7,865 | 1,339 | 8,161 | 1,390 |
0,8 | 7,251 | 1,076 | 7,672 | 1,139 | 8,085 | 1,200 | 8,464 | 1,256 | 8,839 | 1,312 | 9,203 | 1,366 | 9,549 | 1,418 |
0,9 | 7,891 | 1,060 | 8,349 | 1,121 | 8,799 | 1,182 | 9,212 | 1,237 | 9,621 | 1,292 | 10,017 | 1,345 | 10,394 | 1,396 |
1,0 | 7,290 | 0,928 | 7,718 | 0,983 | 8,138 | 1,036 | 8,523 | 1,085 | 8,905 | 1,134 | 9,275 | 1,181 | 9,628 | 1,226 |
h/d | i = 0,017 | i = 0,018 | i = 0,02 | i = 0,025 | i = 0,03 | i = 0,035 | i = 0,04 |
q | V | q | V | q | V | q | V | q | V | q | V | q | V |
0,1 | 0,189 | 0,461 | 0,195 | 0,478 | 0,208 | 0,510 | 0,238 | 0,583 | 0,266 | 0,650 | 0,291 | 0,711 | 0,314 | 0,768 |
0,2 | 0,828 | 0,741 | 0,857 | 0,767 | 0,913 | 0,816 | 1,040 | 0,930 | 1,155 | 1,033 | 1,262 | 1,129 | 1,360 | 1,217 |
0,2 | 0,828 | 0,741 | 0,857 | 0,767 | 0,913 | 0,816 | 1,040 | 0,930 | 1,155 | 1,033 | 1,262 | 1,129 | 1,360 | 1,217 |
0,4 | 3,323 | 1,133 | 3,436 | 1,171 | 3,651 | 1,245 | 4,147 | 1,413 | 4,594 | 1,566 | 5,008 | 1,707 | 5,389 | 1,837 |
0,5 | 4,985 | 1,270 | 5,155 | 1,313 | 5,475 | 1,394 | 6,212 | 1,582 | 6,877 | 1,751 | 7,491 | 1,908 | 8,058 | 2,052 |
0,6 | 6,749 | 1,372 | 6,977 | 1,418 | 7,407 | 1,506 | 8,399 | 1,707 | 9,295 | 1,889 | 10,120 | 2,057 | 10,883 | 2,212 |
0,7 | 8,450 | 1,439 | 8,734 | 1,487 | 9,272 | 1,579 | 10,510 | 1,790 | 11,626 | 1,980 | 12,656 | 2,155 | 13,607 | 2,317 |
0,8 | 9,886 | 1,468 | 10,218 | 1,517 | 10,846 | 1,610 | 12,292 | 1,825 | 13,597 | 2,019 | 14,799 | 2,197 | 15,910 | 2,362 |
0,9 | 10,761 | 1,445 | 11,124 | 1,494 | 11,808 | 1,586 | 13,384 | 1,798 | 14,805 | 1,989 | 16,116 | 2,165 | 17,327 | 2,327 |
1,0 | 9,971 | 1,270 | 10,309 | 1,313 | 10,949 | 1,394 | 12,424 | 1,582 | 13,754 | 1,751 | 14,982 | 1,908 | 16,117 | 2,052 |
DN = 150
h/d | i = 0,05 | i = 0,06 | i = 0,07 | i = 0,08 | i = 0,09 | i = 0,01 | i = 0,011 |
q | V | q | V | q | V | q | V | q | V | q | V | q | V |
0,1 | 0,265 | 0,293 | 0,299 | 0,330 | 0,330 | 0,364 | 0,359 | 0,396 | 0,386 | 0,426 | 0,412 | 0,455 | 0,436 | 0,482 |
0,2 | 1,179 | 0,476 | 1,322 | 0,534 | 1,454 | 0,587 | 1,577 | 0,637 | 1,693 | 0,684 | 1,804 | 0,729 | 1,909 | 0,771 |
0,3 | 2,720 | 0,620 | 3,045 | 0,694 | 3,342 | 0,762 | 3,622 | 0,825 | 3,882 | 0,885 | 4,132 | 0,942 | 4,370 | 0,996 |
0,4 | 4,776 | 0,735 | 5,340 | 0,822 | 5,855 | 0,901 | 6,339 | 0,976 | 6,790 | 1,045 | 7,223 | 1,112 | 7,634 | 1,175 |
0,5 | 7,185 | 0,826 | 8,026 | 0,923 | 8,794 | 1,011 | 9,515 | 1,094 | 10,187 | 1,172 | 10,831 | 1,246 | 11,443 | 1,316 |
0,6 | 9,744 | 0,894 | 10,878 | 0,999 | 11,913 | 1,094 | 12,884 | 1,183 | 13,789 | 1,266 | 14,656 | 1,345 | 15,480 | 1,421 |
0,7 | 12,213 | 0,939 | 13,630 | 1,048 | 14,922 | 1,148 | 16,134 | 1,241 | 17,265 | 1,328 | 18,347 | 1,411 | 19,375 | 1,490 |
0,8 | 14,296 | 0,959 | 15,951 | 1,070 | 17,462 | 1,171 | 18,878 | 1,266 | 20,199 | 1,354 | 21,463 | 1,439 | 22,665 | 1,520 |
0,9 | 15,556 | 0,944 | 17,360 | 1,053 | 19,005 | 1,153 | 20,549 | 1,247 | 21,988 | 1,334 | 23,366 | 1,417 | 24,675 | 1,497 |
1,0 | 14,370 | 0,826 | 16,052 | 0,923 | 17,588 | 1,011 | 19,030 | 1,094 | 20,374 | 1,172 | 21,662 | 1,246 | 22,886 | 1,316 |
h/d | i = 0,012 | i = 0,013 | i = 0,014 | i = 0,015 | i = 0,016 | i = 0,017 | i = 0,018 |
q | V | q | V | q | V | q | V | q | V | q | V | q | V |
0,1 | 0,460 | 0,508 | 0,483 | 0,533 | 0,505 | 0,557 | 0,526 | 0,581 | 0,547 | 0,603 | 0,566 | 0,625 | 0,586 | 0,647 |
0,2 | 2,009 | 0,812 | 2,106 | 0,851 | 2,199 | 0,888 | 2,289 | 0,925 | 2,376 | 0,960 | 2,460 | 0,994 | 2,543 | 1,027 |
0,2 | 2,009 | 0,812 | 2,106 | 0,851 | 2,199 | 0,888 | 2,289 | 0,925 | 2,376 | 0,960 | 2,460 | 0,994 | 2,543 | 1,027 |
0,4 | 8,023 | 1,235 | 8,399 | 1,293 | 8,760 | 1,348 | 9,109 | 1,402 | 9,448 | 1,454 | 9,773 | 1,504 | 10,094 | 1,554 |
0,5 | 12,021 | 1,383 | 12,581 | 1,447 | 13,118 | 1,509 | 13,638 | 1,568 | 14,141 | 1,626 | 14,625 | 1,682 | 15,101 | 1,737 |
0,6 | 16,259 | 1,493 | 17,012 | 1,562 | 17,735 | 1,628 | 18,434 | 1,692 | 19,111 | 1,754 | 19,762 | 1,814 | 20,403 | 1,873 |
0,7 | 20,347 | 1,565 | 21,286 | 1,637 | 22,188 | 1,707 | 23,060 | 1,774 | 23,905 | 1,839 | 24,716 | 1,901 | 25,516 | 1,963 |
0,8 | 23,799 | 1,596 | 24,897 | 1,669 | 25,950 | 1,740 | 26,969 | 1,808 | 27,956 | 1,874 | 28,904 | 1,933 | 29,837 | 2,001 |
0,9 | 25,912 | 1,572 | 27,108 | 1,644 | 28,256 | 1,714 | 29,366 | 1,781 | 30,441 | 1,847 | 31,475 | 1,909 | 32,492 | 1,971 |
1,0 | 24,043 | 1,383 | 25,162 | 1,447 | 26,236 | 1,509 | 27,275 | 1,568 | 28,282 | 1,626 | 29,250 | 1,682 | 30,203 | 1,737 |
DN = 200
h/d | i = 0,003 | i = 0,004 | i = 0,005 | i = 0,006 | i = 0,007 | i = 0,008 | i = 009 |
q | V | q | V | q | V | q | V | q | V | q | V | q | V |
0,1 | 0,418 | 0,265 | 0,504 | 0,320 | 0,580 | 0,368 | 0,650 | 0,413 | 0,715 | 0,454 | 0,775 | 0,492 | 0,832 | 0,528 |
0,2 | 1,858 | 0,431 | 2,226 | 0,517 | 2,554 | 0,593 | 2,853 | 0,662 | 3,128 | 0,726 | 3,384 | 0,785 | 3,626 | 0,842 |
0,3 | 4,289 | 0,562 | 5,122 | 0,671 | 5,864 | 0,768 | 6,538 | 0,856 | 7,160 | 0,937 | 7,735 | 1,013 | 8,282 | 1,084 |
0,4 | 7,533 | 0,666 | 8,979 | 0,794 | 10,264 | 0,908 | 11,432 | 1,011 | 12,506 | 1,106 | 13,501 | 1,194 | 14,446 | 1,278 |
0,5 | 11,335 | 0,749 | 13,492 | 0,892 | 15,407 | 1,018 | 17,147 | 1,133 | 18,747 | 1,239 | 20,227 | 1,337 | 21,633 | 1,430 |
0,6 | 15,374 | 0,811 | 18,283 | 0,964 | 20,863 | 1,100 | 23,207 | 1,224 | 25,361 | 1,338 | 27,354 | 1,443 | 29,245 | 1,543 |
0,7 | 19,273 | 0,852 | 22,906 | 1,012 | 26,127 | 1,155 | 29,053 | 1,284 | 31,741 | 1,403 | 34,229 | 1,513 | 36,588 | 1,617 |
0,8 | 22,560 | 0,869 | 26,806 | 1,033 | 30,570 | 1,178 | 33,989 | 1,309 | 37,130 | 1,430 | 40,036 | 1,542 | 42,792 | 1,649 |
0,9 | 24,549 | 0,856 | 29,174 | 1,017 | 33,276 | 1,160 | 37,001 | 1,290 | 40,424 | 1,409 | 43,590 | 1,519 | 46,594 | 1,624 |
1,0 | 22,671 | 0,749 | 26,985 | 0,892 | 30,814 | 1,018 | 34,294 | 1,133 | 37,494 | 1,239 | 40,455 | 1,337 | 43,265 | 1,430 |
h/d | i = 0,01 | i = 0,011 | i = 0,012 | i = 0,013 | i = 0,014 | i = 0,015 | i = 0,016 |
q | V | q | V | q | V | q | V | q | V | q | V | q | V |
0,1 | 0,887 | 0,563 | 0,938 | 0,595 | 0,987 | 0,627 | 1,035 | 0,657 | 1,080 | 0,685 | 1,124 | 0,713 | 1,167 | 0,741 |
0,2 | 3,856 | 0,895 | 4,073 | 0,945 | 4,283 | 0,994 | 4,483 | 1,041 | 4,675 | 1,085 | 4,861 | 1,128 | 5,041 | 1,170 |
0,2 | 3,856 | 0,895 | 4,073 | 0,945 | 4,283 | 0,994 | 4,483 | 1,041 | 4,675 | 1,085 | 4,861 | 1,128 | 5,041 | 1,170 |
0,4 | 15,336 | 1,356 | 16,180 | 1,431 | 16,992 | 1,503 | 17,767 | 1,571 | 18,510 | 1,637 | 19,230 | 1,701 | 19,926 | 1,762 |
0,5 | 22,956 | 1,517 | 24,211 | 1,600 | 25,419 | 1,680 | 26,570 | 1,756 | 27,674 | 1,829 | 28,743 | 1,899 | 29,778 | 1,968 |
0,6 | 31,026 | 1,637 | 32,714 | 1,726 | 34,339 | 1,811 | 35,887 | 1,893 | 37,372 | 1,971 | 38,810 | 2,047 | 40,200 | 2,120 |
0,7 | 38,809 | 1,715 | 40,914 | 1,808 | 42,941 | 1,898 | 44,872 | 1,983 | 46,724 | 2,065 | 48,516 | 2,144 | 50,250 | 2,221 |
0,8 | 45,387 | 1,749 | 47,846 | 1,843 | 50,213 | 1,935 | 52,468 | 2,021 | 54,632 | 2,105 | 56,725 | 2,185 | 58,749 | 2,263 |
0,9 | 49,422 | 1,723 | 52,102 | 1,816 | 54,682 | 1,906 | 57,140 | 1,992 | 59,498 | 2,074 | 61,779 | 2,153 | 63,986 | 2,230 |
1,0 | 45,912 | 1,517 | 48,421 | 1,600 | 50,837 | 1,680 | 53,140 | 1,756 | 55,349 | 1,829 | 57,487 | 1,899 | 59,555 | 1,968 |
DN = 250
h/d | i = 0,003 | i = 0,004 | i = 0,005 | i = 0,006 | i = 0,007 | i = 0,008 | i = 0,009 |
q | V | q | V | q | V | q | V | q | V | q | V | q | V |
0,1 | 0,786 | 0,319 | 0,942 | 0,383 | 1,081 | 0,439 | 1,206 | 0,491 | 1,323 | 0,538 | 1,432 | 0,583 | 1,535 | 0,624 |
0,2 | 3,465 | 0,516 | 4,134 | 0,615 | 4,724 | 0,703 | 5,258 | 0,782 | 5,754 | 0,856 | 6,217 | 0,925 | 6,651 | 0,989 |
0,3 | 7,969 | 0,669 | 9,478 | 0,795 | 10,810 | 0,907 | 12,014 | 1,008 | 13,128 | 1,102 | 14,169 | 1,189 | 15,145 | 1,271 |
0,4 | 13,962 | 0,791 | 16,576 | 0,940 | 18,880 | 1,070 | 20,960 | 1,188 | 22,885 | 1,297 | 24,682 | 1,399 | 26,366 | 1,495 |
0,5 | 20,971 | 0,888 | 24,866 | 1,053 | 28,298 | 1,199 | 31,393 | 1,330 | 34,256 | 1,451 | 36,928 | 1,564 | 39,430 | 1,670 |
0,6 | 28,409 | 0,960 | 33,658 | 1,138 | 38,278 | 1,294 | 42,445 | 1,435 | 46,298 | 1,565 | 49,892 | 1,687 | 53,259 | 1,800 |
0,7 | 35,588 | 1,008 | 42,140 | 1,194 | 47,907 | 1,357 | 53,106 | 1,504 | 57,913 | 1,640 | 62,396 | 1,767 | 66,594 | 1,886 |
0,8 | 41,644 | 1,028 | 49,301 | 1,217 | 56,039 | 1,384 | 62,113 | 1,534 | 67,728 | 1,672 | 72,965 | 1,802 | 77,868 | 1,923 |
0,9 | 45,326 | 1,013 | 53,668 | 1,199 | 61,010 | 1,363 | 67,629 | 1,511 | 73,749 | 1,648 | 79,456 | 1,775 | 84,801 | 1,895 |
1,0 | 41,942 | 0,888 | 49,733 | 1,053 | 56,595 | 1,199 | 62,786 | 1,330 | 68,512 | 1,451 | 73,856 | 1,564 | 78,861 | 1,670 |
h/d | i = 0,012 | i = 0,013 | i = 0,014 | i = 0,015 | i = 0,016 | i = 0,017 | i = 0,018 |
q | V | q | V | q | V | q | V | q | V | q | V | q | V |
0,1 | 1,632 | 0,664 | 1,725 | 0,702 | 1,814 | 0,738 | 1,899 | 0,772 | 1,981 | 0,806 | 2,061 | 0,838 | 2,137 | 0,869 |
0,2 | 7,062 | 1,051 | 7,453 | 1,109 | 7,827 | 1,164 | 8,186 | 1,218 | 8,532 | 1,269 | 8,865 | 1,319 | 9,188 | 1,367 |
0,2 | 7,062 | 1,051 | 7,453 | 1,109 | 7,827 | 1,164 | 8,186 | 1,218 | 8,532 | 1,269 | 8,865 | 1,319 | 9,188 | 1,367 |
0,4 | 27,955 | 1,585 | 29,468 | 1,671 | 30,912 | 1,752 | 32,300 | 1,831 | 33,634 | 1,907 | 34,918 | 1,979 | 36,165 | 2,050 |
0,5 | 41,793 | 1,770 | 44,040 | 1,865 | 46,185 | 1,956 | 48,246 | 2,043 | 50,226 | 2,127 | 52,133 | 2,208 | 53,982 | 2,286 |
0,6 | 56,435 | 1,908 | 59,457 | 2,010 | 62,341 | 2,108 | 65,111 | 2,201 | 67,773 | 2,291 | 70,335 | 2,378 | 72,820 | 2,462 |
0,7 | 70,555 | 1,998 | 74,323 | 2,105 | 77,918 | 2,207 | 81,371 | 2,305 | 84,690 | 2,399 | 87,883 | 2,489 | 90,981 | 2,577 |
0,8 | 82,495 | 2,037 | 86,896 | 2,146 | 91,095 | 2,249 | 95,127 | 2,349 | 99,002 | 2,445 | 102,731 | 2,537 | 106,349 | 2,626 |
0,9 | 89,844 | 2,007 | 94,641 | 2,114 | 99,218 | 2,217 | 103,614 | 2,315 | 107,838 | 2,409 | 111,903 | 2,500 | 115,847 | 2,588 |
1,0 | 83,585 | 1,770 | 88,081 | 1,865 | 92,370 | 1,956 | 96,491 | 2,043 | 100,453 | 2,127 | 104,265 | 2,208 | 107,965 | 2,286 |
DN = 300
h/d | i = 0,0025 | i = 0,003 | i = 0,0035 | i = 0,004 | i = 0,0045 | i = 0,005 | i = 0,0055 |
q | V | q | V | q | V | q | V | q | V | q | V | q | V |
0,1 | 1,186 | 0,332 | 1,330 | 0,372 | 1,462 | 0,409 | 1,587 | 0,444 | 1,704 | 0,476 | 1,815 | 0,508 | 1,921 | 0,537 |
0,2 | 5,219 | 0,534 | 5,834 | 0,597 | 6,397 | 0,654 | 6,927 | 0,709 | 7,425 | 0,760 | 7,897 | 0,808 | 8,346 | 0,854 |
0,3 | 11,987 | 0,692 | 13,374 | 0,772 | 14,645 | 0,845 | 15,840 | 0,914 | 16,960 | 0,979 | 18,023 | 1,040 | 19,034 | 1,098 |
0,4 | 20,984 | 0,818 | 23,385 | 0,912 | 25,585 | 0,997 | 27,652 | 1,078 | 29,587 | 1,153 | 31,424 | 1,225 | 33,169 | 1,293 |
0,5 | 31,501 | 0,917 | 35,079 | 1,022 | 38,354 | 1,117 | 41,432 | 1,207 | 44,311 | 1,290 | 47,044 | 1,370 | 49,639 | 1,446 |
0,6 | 42,658 | 0,992 | 47,478 | 1,104 | 51,889 | 1,206 | 56,033 | 1,302 | 59,908 | 1,393 | 63,586 | 1,478 | 67,078 | 1,559 |
0,7 | 53,423 | 1,041 | 59,441 | 1,158 | 64,946 | 1,265 | 70,117 | 1,366 | 74,953 | 1,460 | 79,541 | 1,549 | 83,897 | 1,634 |
0,8 | 62,509 | 1,061 | 69,541 | 1,181 | 75,973 | 1,290 | 82,015 | 1,392 | 87,664 | 1,488 | 93,024 | 1,579 | 98,112 | 1,666 |
0,9 | 68,040 | 1,045 | 75,702 | 1,163 | 82,711 | 1,271 | 89,295 | 1,372 | 95,451 | 1,466 | 101,292 | 1,556 | 106,837 | 1,641 |
1,0 | 63,002 | 0,917 | 70,158 | 1,022 | 76,708 | 1,117 | 82,864 | 1,207 | 88,622 | 1,290 | 94,087 | 1,370 | 99,277 | 1,446 |
h/d | i = 0,006 | i = 0,0065 | i = 0,007 | i = 0,0075 | i = 0,008 | i = 0,0085 | i = 0,009 |
q | V | q | V | q | V | q | V | q | V | q | V | q | V |
0,1 | 2,023 | 0,566 | 2,120 | 0,593 | 2,215 | 0,619 | 2,306 | 0,645 | 2,394 | 0,669 | 2,479 | 0,693 | 2,563 | 0,717 |
0,2 | 8,777 | 0,898 | 9,189 | 0,940 | 9,589 | 0,981 | 9,974 | 1,020 | 10,345 | 1,058 | 10,704 | 1,095 | 11,056 | 1,131 |
0,2 | 8,777 | 0,898 | 9,189 | 0,940 | 9,589 | 0,981 | 9,974 | 1,020 | 10,345 | 1,058 | 10,704 | 1,095 | 11,056 | 1,131 |
0,4 | 34,838 | 1,358 | 36,438 | 1,420 | 37,989 | 1,481 | 39,479 | 1,539 | 40,912 | 1,595 | 42,303 | 1,649 | 43,661 | 1,702 |
0,5 | 52,121 | 1,518 | 54,499 | 1,587 | 56,803 | 1,654 | 59,018 | 1,719 | 61,146 | 1,781 | 63,213 | 1,841 | 65,231 | 1,900 |
0,6 | 70,417 | 1,637 | 73,616 | 1,711 | 76,715 | 1,783 | 79,693 | 1,852 | 82,556 | 1,919 | 85,334 | 1,984 | 88,046 | 2,047 |
0,7 | 88,062 | 1,715 | 92,051 | 1,793 | 95,916 | 1,868 | 99,630 | 1,940 | 103,199 | 2,010 | 106,664 | 2,077 | 110,045 | 1,143 |
0,8 | 102,977 | 1,748 | 107,637 | 1,828 | 112,151 | 1,904 | 116,489 | 1,978 | 120,658 | 2,049 | 124,704 | 2,117 | 128,653 | 2,184 |
0,9 | 112,140 | 1,723 | 117,219 | 1,801 | 122,140 | 1,876 | 126,867 | 1,949 | 131,412 | 2,019 | 135,822 | 2,086 | 140,127 | 2,153 |
1,0 | 104,241 | 1,518 | 108,998 | 1,587 | 113,606 | 1,654 | 118,035 | 1,719 | 122,293 | 1,781 | 126,426 | 1,841 | 130,461 | 1,900 |
DN = 350
h/d | i = 0,0025 | i = 0,003 | i = 0,0035 | i = 0,004 | i = 0,0045 | i = 0,005 | i = 0,0055 |
q | V | q | V | q | V | q | V | q | V | q | V | q | V |
0,1 | 1,872 | 0,378 | 2,093 | 0,423 | 2,298 | 0,464 | 2,490 | 0,503 | 2,671 | 0,539 | 2,842 | 0,574 | 3,005 | 0,607 |
0,2 | 8,199 | 0,606 | 9,141 | 0,675 | 10,012 | 0,739 | 10,826 | 0,800 | 11,592 | 0,856 | 12,318 | 0,910 | 13,008 | 0,961 |
0,3 | 18,782 | 0,782 | 20,905 | 0,871 | 22,868 | 0,953 | 24,699 | 1,029 | 26,423 | 1,101 | 28,053 | 1,169 | 29,603 | 1,233 |
0,4 | 32,825 | 0,924 | 36,498 | 1,027 | 39,891 | 1,123 | 43,054 | 1,212 | 46,030 | 1,295 | 48,844 | 1,375 | 51,518 | 1,450 |
0,5 | 49,222 | 1,035 | 54,690 | 1,150 | 59,740 | 1,256 | 64,444 | 1,355 | 68,871 | 1,448 | 73,054 | 1,536 | 77,027 | 1,620 |
0,6 | 66,604 | 1,118 | 73,967 | 1,241 | 80,765 | 1,356 | 87,096 | 1,462 | 93,052 | 1,562 | 98,680 | 1,656 | 104,024 | 1,746 |
0,7 | 83,374 | 1,172 | 92,564 | 1,302 | 101,046 | 1,421 | 108,944 | 1,532 | 116,373 | 1,636 | 123,392 | 1,735 | 130,057 | 1,829 |
0,8 | 97,535 | 1,196 | 108,271 | 1,327 | 118,181 | 1,449 | 127,408 | 1,562 | 136,086 | 1,668 | 144,284 | 1,769 | 152,069 | 1,864 |
0,9 | 106,18 | 1,178 | 117,880 | 1,307 | 128,679 | 1,427 | 138,735 | 1,539 | 148,193 | 1,644 | 157,129 | 1,743 | 165,614 | 1,837 |
1,0 | 98,444 | 1,035 | 109,380 | 1,150 | 119,480 | 1,256 | 128,888 | 1,355 | 137,741 | 1,448 | 146,10 | 1,536 | 154,055 | 1,620 |
h/d | i = 0,006 | i = 0,0065 | i = 0,007 | i = 0,0075 | i = 0,008 | i = 0,0085 | i = 0,009 |
q | V | q | V | q | V | q | V | q | V | q | V | q | V |
0,1 | 3,162 | 0,638 | 3,312 | 0,669 | 3,457 | 0,698 | 3,597 | 0,726 | 3,733 | 0,754 | 3,863 | 0,780 | 3,991 | 0,806 |
0,2 | 13,669 | 1,010 | 14,303 | 1,056 | 14,913 | 1,101 | 15,502 | 1,145 | 16,075 | 1,187 | 16,624 | 1,228 | 17,160 | 1,267 |
0,2 | 13,669 | 1,010 | 14,303 | 1,056 | 14,913 | 1,101 | 15,502 | 1,145 | 16,075 | 1,187 | 16,624 | 1,228 | 17,160 | 1,267 |
0,4 | 54,078 | 1,522 | 56,532 | 1,591 | 58,888 | 1,657 | 61,166 | 1,721 | 63,376 | 1,784 | 65,494 | 1,843 | 67,561 | 1,901 |
0,5 | 80,832 | 1,700 | 84,478 | 1,776 | 87,977 | 1,850 | 91,360 | 1,921 | 94,642 | 1,990 | 97,786 | 2,056 | 100,854 | 2,121 |
0,6 | 109,141 | 1,832 | 114,042 | 1,914 | 118,748 | 1,993 | 123,294 | 2,069 | 127,706 | 2,143 | 131,931 | 2,214 | 136,055 | 2,283 |
0,7 | 136,437 | 1,919 | 142,549 | 2,005 | 148,416 | 2,087 | 154,084 | 2,167 | 159,583 | 2,244 | 164,850 | 2,318 | 169,991 | 2,390 |
0,8 | 159,522 | 1,956 | 166,660 | 2,043 | 173,512 | 2,127 | 180,131 | 2,208 | 186,554 | 2,287 | 192,705 | 2,362 | 198,708 | 2,436 |
0,9 | 173,737 | 1,927 | 181,518 | 2,013 | 188,986 | 2,096 | 196,202 | 2,176 | 203,203 | 2,254 | 209,908 | 2,328 | 216,453 | 2,401 |
1,0 | 161,664 | 1,700 | 168,955 | 1,776 | 175,955 | 1,850 | 182,719 | 1,921 | 189,283 | 1,990 | 195,571 | 2,056 | 201,709 | 2,121 |
DN = 400
h/d | i = 0,006 | i = 0,0065 | i = 0,007 | i = 0,0075 | i = 0,008 | i = 0,0085 | i = 0,009 |
q | V | q | V | q | V | q | V | q | V | q | V | q | V |
0,1 | 4,625 | 0,707 | 4,481 | 0,740 | 5,050 | 0,772 | 5,252 | 0,803 | 5,448 | 0,833 | 5,637 | 0,861 | 5,821 | 0,890 |
0,2 | 19,934 | 1,114 | 20,844 | 1,165 | 21,721 | 1,214 | 22,571 | 1,262 | 23,395 | 1,308 | 24,187 | 1,352 | 24,962 | 1,395 |
0,2 | 19,934 | 1,114 | 20,844 | 1,165 | 21,721 | 1,214 | 22,571 | 1,262 | 23,395 | 1,308 | 24,187 | 1,352 | 24,962 | 1,395 |
0,4 | 78,652 | 1,675 | 82,166 | 1,750 | 85,552 | 1,822 | 88,828 | 1,892 | 92,007 | 1,960 | 95,056 | 2,025 | 98,042 | 2,088 |
0,5 | 117,479 | 1,870 | 122,696 | 1,953 | 127,723 | 2,033 | 132,587 | 2,110 | 137,305 | 2,185 | 141,830 | 2,257 | 146,260 | 2,328 |
0,6 | 158,544 | 2,014 | 165,557 | 2,103 | 172,314 | 2,189 | 178,850 | 2,272 | 185,189 | 2,353 | 191,269 | 2,430 | 197,220 | 2,505 |
0,7 | 198,138 | 2,109 | 206,880 | 2,202 | 215,302 | 2,292 | 223,449 | 2,378 | 231,350 | 2,462 | 238,927 | 2,543 | 246,344 | 2,622 |
0,8 | 231,632 | 2,149 | 241,843 | 2,244 | 251,678 | 2,335 | 261,192 | 2,423 | 270,419 | 2,509 | 279,266 | 2,591 | 287,927 | 2,672 |
0,9 | 252,298 | 2,118 | 263,428 | 2,211 | 274,149 | 2,301 | 284,521 | 2,389 | 294,579 | 2,473 | 304,224 | 2,554 | 313,666 | 2,633 |
1,0 | 234,958 | 1,870 | 245,393 | 1,953 | 255,447 | 2,033 | 265,174 | 2,110 | 274,610 | 2,185 | 283,659 | 2,257 | 292,519 | 2,328 |
h/d | i = 0,0025 | i = 0,003 | i = 0,0035 | i = 0,004 | i = 0,0045 | i = 0,005 | i = 0,0055 |
q | V | q | V | q | V | q | V | q | V | q | V | q | V |
0,1 | 2,757 | 0,421 | 3,078 | 0,470 | 3,375 | 0,516 | 3,652 | 0,558 | 3,915 | 0,598 | 4,162 | 0,636 | 4,397 | 0,672 |
0,2 | 12,034 | 0,673 | 13,396 | 0,749 | 14,657 | 0,819 | 15,829 | 0,885 | 16,939 | 0,947 | 17,982 | 1,005 | 18,975 | 1,061 |
0,3 | 27,513 | 0,868 | 30,578 | 0,964 | 33,414 | 1,054 | 36,050 | 1,137 | 38,543 | 1,215 | 40,884 | 1,289 | 43,111 | 1,359 |
0,4 | 48,022 | 1,023 | 53,320 | 1,136 | 58,218 | 1,240 | 62,767 | 1,337 | 67,069 | 1,429 | 71,107 | 1,515 | 74,945 | 1,596 |
0,5 | 71,946 | 1,145 | 78,829 | 1,271 | 87,115 | 1,386 | 93,878 | 1,494 | 100,272 | 1,596 | 106,271 | 1,691 | 111,974 | 1,782 |
0,6 | 97,295 | 1,236 | 107,906 | 1,371 | 117,710 | 1,495 | 126,809 | 1,611 | 135,409 | 1,720 | 143,476 | 1,823 | 151,143 | 1,920 |
0,7 | 121,747 | 1,296 | 134,987 | 1,437 | 147,216 | 1,567 | 158,566 | 1,688 | 169,291 | 1,802 | 179,351 | 1,909 | 188,910 | 2,011 |
0,8 | 142,402 | 1,321 | 157,870 | 1,465 | 172,157 | 1,597 | 185,414 | 1,720 | 197,941 | 1,837 | 209,691 | 1,946 | 220,856 | 2,049 |
0,9 | 155,044 | 1,302 | 171,901 | 1,443 | 187,471 | 1,574 | 201,920 | 1,695 | 215,574 | 1,810 | 228,381 | 1,917 | 240,551 | 2,019 |
1,0 | 143,892 | 1,145 | 159,65 | 1,271 | 174,23 | 1,386 | 187,75 | 1,494 | 200,54 | 1,596 | 212,543 | 1,691 | 223,94 | 1,782 |
DN = 450 мм
h/d | i = 0,0025 | i = 0,003 | i = 0,0035 | i = 0,004 | i = 0,0045 | i = 0,005 | i = 0,0055 |
q | V | q | V | q | V | q | V | q | V | q | V | q | V |
0,1 | 3,820 | 0,461 | 4,260 | 0,514 | 4,666 | 0,563 | 5,046 | 0,609 | 5,403 | 0,652 | 5,741 | 0,693 | 6,064 | 0,732 |
0,2 | 16,625 | 0,734 | 18,490 | 0,817 | 20,207 | 0,893 | 21,811 | 0,963 | 23,319 | 1,030 | 24,742 | 1,093 | 26,101 | 1,153 |
0,3 | 37,946 | 0,945 | 42,142 | 1,050 | 46,000 | 1,146 | 49,602 | 1,236 | 52,985 | 1,320 | 56,176 | 1,400 | 59,222 | 1,476 |
0,4 | 66,164 | 1,114 | 73,411 | 1,236 | 80,070 | 1,348 | 86,284 | 1,452 | 92,117 | 1,550 | 97,617 | 1,643 | 102,865 | 1,731 |
0,5 | 99,056 | 1,246 | 109,834 | 1,381 | 119,735 | 1,506 | 128,969 | 1,622 | 137,634 | 1,731 | 145,804 | 1,834 | 153,597 | 1,932 |
0,6 | 133,892 | 1,344 | 148,395 | 1,489 | 161,714 | 1,623 | 174,133 | 1,748 | 185,785 | 1,865 | 196,768 | 1,975 | 207,244 | 2,080 |
0,7 | 167,491 | 1,409 | 185,584 | 1,561 | 202,196 | 1,700 | 217,683 | 1,831 | 232,213 | 1,953 | 245,906 | 2,068 | 258,966 | 2,178 |
0,8 | 195,884 | 1,436 | 217,020 | 1,591 | 236,424 | 1,733 | 254,513 | 1,866 | 273,483 | 1,990 | 287,475 | 2,108 | 302,727 | 2,219 |
0,9 | 213,294 | 1,415 | 236,329 | 1,568 | 257,477 | 1,708 | 277,194 | 1,839 | 295,691 | 1,961 | 313,123 | 2,077 | 329,749 | 2,187 |
1,0 | 198,111 | 1,246 | 219,668 | 1,381 | 239,469 | 1,506 | 257,937 | 1,622 | 275,269 | 1,731 | 291,608 | 1,834 | 307,195 | 1,932 |
h/d | i = 0,006 | i = 0,0065 | i = 0,007 | i = 0,0075 | i = 0,008 | i = 0,0085 | i = 0,009 |
q | V | q | V | q | V | q | V | q | V | q | V | q | V |
0,1 | 6,373 | 0,769 | 6,668 | 0,805 | 6,954 | 0,840 | 7,227 | 0,873 | 7,494 | 0,905 | 7,753 | 0,936 | 8,004 | 0,966 |
0,2 | 27,400 | 1,210 | 28,643 | 1,265 | 29,841 | 1,318 | 30,990 | 1,369 | 32,110 | 1,418 | 33,195 | 1,466 | 34,245 | 1,513 |
0,2 | 27,400 | 1,210 | 28,643 | 1,265 | 29,841 | 1,318 | 30,990 | 1,369 | 32,110 | 1,418 | 33,195 | 1,466 | 34,245 | 1,513 |
0,4 | 107,881 | 1,816 | 112,673 | 1,896 | 117,291 | 1,974 | 121,715 | 2,049 | 126,024 | 2,121 | 130,201 | 2,191 | 134,235 | 2,259 |
0,5 | 161,044 | 2,025 | 168,157 | 2,115 | 175,010 | 2,201 | 181,575 | 2,283 | 187,967 | 2,364 | 194,164 | 2,442 | 200,148 | 2,517 |
0,6 | 217,252 | 2,181 | 226,811 | 2,277 | 236,019 | 2,369 | 244,840 | 2,457 | 253,427 | 2,544 | 261,751 | 2,627 | 269,788 | 2,708 |
0,7 | 271,440 | 2,283 | 283,356 | 2,383 | 294,832 | 2,479 | 305,824 | 2,572 | 316,525 | 2,662 | 326,898 | 2,749 | 336,913 | 2,833 |
0,8 | 317,296 | 2,326 | 331,210 | 2,428 | 344,611 | 2,526 | 357,447 | 2,620 | 369,942 | 2,712 | 382,054 | 2,801 | 393,748 | 2,887 |
0,9 | 345,630 | 2,293 | 360,798 | 2,393 | 375,408 | 2,490 | 389,401 | 2,583 | 403,024 | 2,673 | 416,228 | 2,761 | 428,977 | 2,845 |
1,0 | 322,087 | 2,025 | 336,314 | 2,115 | 350,020 | 2,201 | 363,150 | 2,283 | 375,934 | 2,364 | 388,328 | 2,442 | 400,296 | 2,517 |
Таблица А.2
Таблицы для гидравлического расчета трубопроводов
водоотведения из ПГТ при полном наполнении
(

= 0,01 мм и

)
q, л/с | Номинальный диаметр, мм |
100 | 150 | 200 | 250 | 300 | 350 | 400 | 450 | 500 |
1000i | V, л/с | 1000i | V, л/с | 1000i | V, л/с | 1000i | V, л/с | 1000i | V, л/с | 1000i | V, л/с | 1000i | V, л/с | 1000i | V, л/с | 1000i | V, л/с |
1 | 2 | 3 | 4 | 5 | 6 | 7 | 8 | 9 | 10 | 11 | 12 | 13 | 14 | 15 | 16 | 17 | 18 | 19 |
2,00 | 0,86 | 0,25 | | | | | | | | | | | | | | | | |
3,93 | 2,88 | 0,50 | 0,42 | 0,23 | | | | | | | | | | | | | | |
5,89 | 5,96 | 0,75 | 0,87 | 0,34 | | | | | | | | | | | | | | |
7,85 | 10,05 | 1,00 | 1,45 | 0,45 | 0,38 | 0,26 | | | | | | | | | | | | |
9,82 | 15,12 | 1,25 | 2,19 | 0,56 | 0,57 | 0,32 | | | | | | | | | | | | |
11,78 | 21,11 | 1,50 | 3,04 | 0,68 | 0,79 | 0,39 | 0,27 | 0,25 | | | | | | | | | | |
13,74 | 28,01 | 1,75 | 4,02 | 0,79 | 1,05 | 0,45 | 0,36 | 0,29 | | | | | | | | | | |
15,70 | 35,81 | 2,00 | 5,13 | 0,90 | 1,33 | 0,52 | 0,45 | 0,33 | 0,18 | 0,23 | | | | | | | | |
17,67 | 44,55 | 2,25 | 6,37 | 1,02 | 1,65 | 0,58 | 0,56 | 0,37 | 0,23 | 0,26 | | | | | | | | |
19,63 | 54,12 | 2,50 | 7,72 | 1,13 | 2,00 | 0,65 | 0,68 | 0,42 | 0,27 | 0,29 | | | | | | | | |
21,59 | 64,56 | 2,75 | 9,19 | 1,24 | 2,38 | 0,71 | 0,81 | 0,46 | 0,33 | 0,31 | 0,15 | 0,23 | | | | | | |
23,55 | 75,85 | 3,00 | 10,78 | 1,35 | 2,79 | 0,78 | 0,95 | 0,50 | 0,38 | 0,34 | 0,17 | 0,25 | | | | | | |
26,09 | | | 13,01 | 1,50 | 3,36 | 0,86 | 1,14 | 0,55 | 0,46 | 0,38 | 0,21 | 0,27 | | | | | | |
30,42 | | | 17,28 | 1,75 | 4,45 | 1,01 | 1,51 | 0,64 | 0,61 | 0,44 | 0,28 | 0,32 | 0,14 | 0,24 | | | | |
34,77 | | | 22,12 | 2,00 | 5,69 | 1,15 | 1,92 | 0,74 | 0,77 | 0,51 | 0,35 | 0,37 | 0,18 | 0,28 | | | | |
39,11 | | | 27,51 | 2,25 | 7,07 | 1,29 | 2,38 | 0,83 | 0,96 | 0,57 | 0,43 | 0,41 | 0,23 | 0,31 | 0,13 | 0,25 | | |
43,46 | | | 33,45 | 2,50 | 8,59 | 1,44 | 2,89 | 0,92 | 1,16 | 0,63 | 0,53 | 0,46 | 0,27 | 0,35 | 0,15 | 0,28 | | |
47,80 | | | 39,93 | 2,75 | 10,24 | 1,58 | 3,45 | 1,01 | 1,38 | 0,70 | 0,63 | 0,50 | 0,33 | 0,38 | 0,18 | 0,30 | 0,11 | 0,25 |
52,15 | | | 46,95 | 3,00 | 12,03 | 1,72 | 4,05 | 1,10 | 1,62 | 0,76 | 0,73 | 0,55 | 0,38 | 0,42 | 0,22 | 0,33 | 0,13 | 0,27 |
56,49 | | | 54,49 | 3,25 | 13,94 | 1,87 | 4,69 | 1,20 | 1,88 | 0,82 | 0,85 | 0,59 | 0,44 | 0,45 | 0,25 | 0,36 | 0,15 | 0,29 |
60,84 | | | 62,58 | 3,50 | 16,00 | 2,01 | 5,37 | 1,29 | 2,15 | 0,89 | 0,97 | 0,64 | 0,51 | 0,49 | 0,28 | 0,39 | 0,17 | 0,31 |
65,18 | | | 71,17 | 3,75 | 18,18 | 2,15 | 6,10 | 1,38 | 2,44 | 0,95 | 1,10 | 0,69 | 0,57 | 0,52 | 0,32 | 0,41 | 0,19 | 0,33 |
69,53 | | | 80,30 | 4,00 | 20,50 | 2,30 | 6,88 | 1,47 | 2,75 | 1,01 | 1,24 | 0,73 | 0,65 | 0,56 | 0,36 | 0,44 | 0,22 | 0,36 |
75,64 | | | | | 23,97 | 2,50 | 8,04 | 1,60 | 3,21 | 1,10 | 1,45 | 0,80 | 0,75 | 0,61 | 0,42 | 0,48 | 0,25 | 0,39 |
83,19 | | | | | 28,62 | 2,75 | 9,59 | 1,76 | 3,83 | 1,21 | 1,73 | 0,88 | 0,90 | 0,67 | 0,50 | 0,53 | 0,30 | 0,43 |
90,75 | | | | | 33,66 | 3,00 | 11,27 | 1,92 | 4,50 | 1,32 | 2,03 | 0,95 | 1,05 | 0,73 | 0,59 | 0,58 | 0,35 | 0,47 |
98,31 | | | | | 39,08 | 3,25 | 13,07 | 2,08 | 5,21 | 1,43 | 2,35 | 1,03 | 1,22 | 0,79 | 0,68 | 0,62 | 0,41 | 0,50 |
105,88 | | | | | 44,89 | 3,50 | 15,00 | 2,24 | 5,98 | 1,54 | 2,69 | 1,11 | 1,40 | 0,85 | 0,78 | 0,67 | 0,47 | 0,54 |
113,44 | | | | | 51,07 | 3,75 | 17,06 | 2,40 | 6,80 | 1,65 | 3,06 | 1,19 | 1,59 | 0,91 | 0,89 | 0,72 | 0,53 | 0,58 |
121,00 | | | | | 57,62 | 4,00 | 19,24 | 2,56 | 7,66 | 1,76 | 3,45 | 1,27 | 1,79 | 0,97 | 1,00 | 0,77 | 0,60 | 0,62 |
128,56 | | | | | 64,55 | 4,25 | 21,54 | 2,72 | 8,57 | 1,87 | 3,86 | 1,35 | 2,00 | 1,03 | 1,12 | 0,82 | 0,67 | 0,66 |
136,13 | | | | | 71,86 | 4,50 | 23,97 | 2,88 | 9,54 | 1,98 | 4,29 | 1,43 | 2,22 | 1,09 | 1,24 | 0,86 | 0,74 | 0,70 |
143,69 | | | | | 79,53 | 4,75 | 26,51 | 3,04 | 10,54 | 2,09 | 4,74 | 1,51 | 2,45 | 1,16 | 1,38 | 0,91 | 0,82 | 0,74 |
151,25 | | | | | 87,57 | 5,00 | 29,09 | 3,20 | 11,60 | 2,20 | 5,21 | 1,59 | 2,70 | 1,22 | 1,51 | 0,96 | 0,90 | 0,78 |
165,19 | | | | | | | 34,41 | 3,50 | 13,67 | 2,41 | 6,14 | 1,74 | 3,18 | 1,33 | 1,78 | 1,05 | 1,06 | 0,85 |
176,99 | | | | | | | 39,16 | 3,75 | 15,55 | 2,58 | 6,98 | 1,86 | 3,61 | 1,42 | 2,02 | 1,12 | 1,20 | 0,91 |
188,79 | | | | | | | 44,19 | 4,00 | 17,54 | 2,75 | 7,87 | 1,99 | 4,07 | 1,52 | 2,28 | 1,20 | 1,36 | 0,97 |
200,59 | | | | | | | 49,51 | 4,25 | 19,64 | 2,92 | 8,81 | 2,11 | 4,55 | 1,61 | 2,55 | 1,27 | 1,52 | 1,03 |
212,39 | | | | | | | 55,12 | 4,50 | 21,86 | 3,09 | 9,80 | 2,23 | 5,07 | 1,71 | 2,83 | 1,35 | 1,69 | 1,09 |
224,19 | | | | | | | 61,01 | 4,75 | 24,19 | 3,27 | 10,84 | 2,36 | 5,60 | 1,80 | 3,13 | 1,42 | 1,87 | 1,15 |
235,99 | | | | | | | 67,19 | 5,00 | 26,63 | 3,44 | 11,93 | 2,48 | 6,16 | 1,90 | 3,45 | 1,50 | 2,05 | 1,21 |
247,79 | | | | | | | 73,65 | 5,25 | 29,18 | 3,61 | 13,07 | 2,61 | 6,75 | 1,99 | 3,77 | 1,57 | 2,25 | 1,27 |
259,59 | | | | | | | 80,38 | 5,50 | 31,83 | 3,78 | 14,25 | 2,73 | 7,36 | 2,09 | 4,11 | 1,65 | 2,45 | 1,33 |
271,39 | | | | | | | 87,40 | 5,75 | 34,60 | 3,95 | 15,49 | 2,85 | 8,00 | 2,18 | 4,47 | 1,72 | 2,66 | 1,39 |
283,18 | | | | | | | 94,69 | 6,00 | 37,48 | 4,13 | 16,77 | 2,98 | 8,66 | 2,28 | 4,84 | 1,80 | 2,88 | 1,45 |
291,72 | | | | | | | | | 39,63 | 4,25 | 17,73 | 3,07 | 9,15 | 2,35 | 5,11 | 1,85 | 3,04 | 1,50 |
308,88 | | | | | | | | | 44,12 | 4,50 | 19,74 | 3,25 | 10,18 | 2,48 | 5,69 | 1,96 | 3,38 | 1,59 |
326,04 | | | | | | | | | 48,84 | 4,75 | 21,84 | 3,43 | 11,26 | 2,62 | 6,29 | 2,07 | 2,74 | 1,67 |
343,20 | | | | | | | | | 53,79 | 5,00 | 24,05 | 3,61 | 12,40 | 2,76 | 6,92 | 2,18 | 4,11 | 1,76 |
360,36 | | | | | | | | | 58,97 | 5,25 | 26,35 | 3,79 | 13,58 | 2,90 | 7,58 | 2,29 | 4,51 | 1,85 |
377,52 | | | | | | | | | 64,36 | 5,50 | 28,76 | 3,97 | 14,82 | 3,04 | 8,27 | 2,40 | 4,91 | 1,94 |
394,68 | | | | | | | | | 69,99 | 5,75 | 31,26 | 4,15 | 16,11 | 3,17 | 8,99 | 2,51 | 5,34 | 2,03 |
411,84 | | | | | | | | | 75,84 | 6,00 | 33,86 | 4,33 | 17,45 | 3,31 | 9,73 | 2,61 | 5,78 | 2,12 |
427,80 | | | | | | | | | | | 36,37 | 4,50 | 18,74 | 3,44 | 10,45 | 2,72 | 6,21 | 2,20 |
451,57 | | | | | | | | | | | 40,27 | 4,75 | 20,74 | 3,64 | 11,56 | 2,87 | 6,87 | 2,32 |
475,34 | | | | | | | | | | | 44,35 | 5,00 | 22,84 | 3,82 | 12,73 | 3,02 | 7,56 | 2,44 |
499,10 | | | | | | | | | | | 48,62 | 5,25 | 25,03 | 4,01 | 13,95 | 3,17 | 8,28 | 2,56 |
522,87 | | | | | | | | | | | 53,08 | 5,50 | 27,32 | 4,20 | 15,22 | 3,32 | 9,03 | 2,69 |
546,64 | | | | | | | | | | | 57,72 | 5,75 | 29,70 | 4,40 | 16,55 | 3,47 | 9,82 | 2,81 |
570,40 | | | | | | | | | | | 62,55 | 6,00 | 32,17 | 4,59 | 17,92 | 3,62 | 10,63 | 2,93 |
590,65 | | | | | | | | | | | | | 34,36 | 4,75 | 19,14 | 3,75 | 11,35 | 3,03 |
621,74 | | | | | | | | | | | | | 37,84 | 5,00 | 21,08 | 3,95 | 12,50 | 3,19 |
652,83 | | | | | | | | | | | | | 41,49 | 5,25 | 23,10 | 4,14 | 13,70 | 3,35 |
683,91 | | | | | | | | | | | | | 45,29 | 5,50 | 25,22 | 4,34 | 14,95 | 3,51 |
715,00 | | | | | | | | | | | | | 49,26 | 5,75 | 27,42 | 4,54 | 16,25 | 3,67 |
746,09 | | | | | | | | | | | | | 53,38 | 6,00 | 29,71 | 4,74 | 17,60 | 3,83 |
787,77 | | | | | | | | | | | | | | | 32,91 | 5,00 | 19,50 | 4,05 |
827,16 | | | | | | | | | | | | | | | 36,08 | 5,25 | 21,38 | 4,25 |
866,54 | | | | | | | | | | | | | | | 39,39 | 5,50 | 23,33 | 4,45 |
905,93 | | | | | | | | | | | | | | | 42,84 | 5,75 | 25,37 | 4,65 |
945,32 | | | | | | | | | | | | | | | 46,43 | 6,00 | 27,49 | 4,86 |
973,43 | | | | | | | | | | | | | | | | | 29,05 | 5,00 |
1022,09 | | | | | | | | | | | | | | | | | 31,85 | 5,25 |
1070,76 | | | | | | | | | | | | | | | | | 34,78 | 5,50 |
1119,43 | | | | | | | | | | | | | | | | | 37,82 | 5,75 |
1168,10 | | | | | | | | | | | | | | | | | 40,99 | 6,00 |
Таблица А.3
Таблицы для гидравлического расчета трубопроводов
водоотведения из ПГТ при полном наполнении
(

= 0,01 мм и

)
q, л/с | Номинальный диаметр, мм |
100 | 150 | 200 | 250 | 300 | 350 | 400 | 450 | 500 |
1000i | V, л/с | 1000i | V, л/с | 1000i | V, л/с | 1000i | V, л/с | 1000i | V, л/с | 1000i | V, л/с | 1000i | V, л/с | 1000i | V, л/с | 1000i | V, л/с |
1 | 2 | 3 | 4 | 5 | 6 | 7 | 8 | 9 | 10 | 11 | 12 | 13 | 14 | 15 | 16 | 17 | 18 | 19 |
2,00 | 1,01 | 0,25 | | | | | | | | | | | | | | | | |
3,89 | 3,37 | 0,50 | 0,48 | 0,22 | | | | | | | | | | | | | | |
5,9 | 7,26 | 0,75 | 1,02 | 0,34 | | | | | | | | | | | | | | |
7,87 | 12,40 | 1,00 | 1,73 | 0,45 | 0,44 | 0,26 | | | | | | | | | | | | |
9,85 | 18,86 | 1,25 | 2,62 | 0,57 | 0,67 | 0,33 | | | | | | | | | | | | |
11,8 | 26,46 | 1,50 | 3,66 | 0,68 | 0,93 | 0,39 | 0,31 | 0,25 | | | | | | | | | | |
13,7 | 35,03 | 1,75 | 4,82 | 0,79 | 1,22 | 0,45 | 0,41 | 0,29 | | | | | | | | | | |
15,7 | 45,28 | 2,00 | 6,21 | 0,90 | 1,57 | 0,52 | 0,53 | 0,33 | | | | | | | | | | |
17,7 | 56,79 | 2,25 | 7,77 | 1,02 | 1,97 | 0,59 | 0,66 | 0,38 | 0,26 | 0,26 | | | | | | | | |
19,6 | 68,87 | 2,50 | 9,40 | 1,13 | 2,37 | 0,65 | 0,79 | 0,42 | 0,31 | 0,29 | | | | | | | | |
21,59 | 82,73 | 2,75 | 11,27 | 1,24 | 2,84 | 0,71 | 0,95 | 0,46 | 0,38 | 0,31 | | | | | | | | |
23,55 | 97,56 | 3,00 | 13,27 | 1,35 | 3,34 | 0,78 | 1,11 | 0,50 | 0,44 | 0,34 | 0,20 | 0,25 | | | | | | |
25,99 | | | 15,97 | 1,50 | 4,01 | 0,86 | 1,33 | 0,55 | 0,53 | 0,38 | 0,24 | 0,27 | | | | | | |
30,33 | | | 21,36 | 1,75 | 5,35 | 1,00 | 1,77 | 0,64 | 0,70 | 0,44 | 0,32 | 0,32 | 0,16 | 0,24 | | | | |
34,8 | | | 27,68 | 2,00 | 6,93 | 1,15 | 2,29 | 0,74 | 0,91 | 0,51 | 0,41 | 0,37 | 0,21 | 0,28 | | | | |
39,11 | | | 34,52 | 2,25 | 8,62 | 1,29 | 2,85 | 0,83 | 1,13 | 0,57 | 0,50 | 0,41 | 0,26 | 0,31 | 0,15 | 0,25 | | |
43,38 | | | 42,01 | 2,50 | 10,48 | 1,43 | 3,46 | 0,92 | 1,37 | 0,63 | 0,61 | 0,46 | 0,32 | 0,35 | 0,18 | 0,28 | | |
47,81 | | | 50,53 | 2,75 | 12,58 | 1,58 | 4,15 | 1,01 | 1,64 | 0,70 | 0,73 | 0,50 | 0,38 | 0,38 | 0,21 | 0,30 | 0,13 | 0,25 |
52,16 | | | 59,62 | 3,00 | 14,83 | 1,72 | 4,88 | 1,11 | 1,93 | 0,76 | 0,86 | 0,55 | 0,44 | 0,42 | 0,25 | 0,33 | 0,15 | 0,27 |
56,49 | | | 69,39 | 3,25 | 17,24 | 1,87 | 5,67 | 1,20 | 2,23 | 0,82 | 1,00 | 0,59 | 0,51 | 0,45 | 0,29 | 0,36 | 0,17 | 0,29 |
60,84 | | | 79,92 | 3,50 | 19,84 | 2,01 | 6,52 | 1,29 | 2,57 | 0,89 | 1,14 | 0,64 | 0,59 | 0,49 | 0,33 | 0,39 | 0,20 | 0,31 |
65,18 | | | 91,14 | 3,75 | 22,60 | 2,15 | 7,42 | 1,38 | 2,92 | 0,95 | 1,30 | 0,69 | 0,67 | 0,52 | 0,37 | 0,41 | 0,22 | 0,33 |
69,54 | | | 103,13 | 4,00 | 25,55 | 2,30 | 8,39 | 1,47 | 3,30 | 1,01 | 1,47 | 0,73 | 0,76 | 0,56 | 0,42 | 0,44 | 0,25 | 0,36 |
75,70 | | | | | 30,01 | 2,50 | 9,84 | 1,60 | 3,87 | 1,10 | 1,72 | 0,80 | 0,88 | 0,61 | 0,49 | 0,48 | 0,29 | 0,39 |
83,20 | | | | | 35,91 | 2,75 | 11,76 | 1,76 | 4,62 | 1,21 | 2,05 | 0,88 | 1,05 | 0,67 | 0,59 | 0,53 | 0,35 | 0,43 |
90,75 | | | | | 42,36 | 3,00 | 13,86 | 1,92 | 5,44 | 1,32 | 2,42 | 0,95 | 1,24 | 0,73 | 0,69 | 0,58 | 0,41 | 0,47 |
98,31 | | | | | 49,33 | 3,25 | 16,13 | 2,08 | 6,32 | 1,43 | 2,81 | 1,03 | 1,44 | 0,79 | 0,80 | 0,62 | 0,47 | 0,50 |
105,88 | | | | | 56,82 | 3,50 | 18,57 | 2,24 | 7,27 | 1,54 | 3,23 | 1,11 | 1,65 | 0,85 | 0,92 | 0,67 | 1,54 | 0,54 |
113,44 | | | | | 64,82 | 3,75 | 21,16 | 2,40 | 8,28 | 1,65 | 3,67 | 1,19 | 1,88 | 0,91 | 1,05 | 0,72 | 0,62 | 0,58 |
121,00 | | | | | 73,31 | 4,00 | 23,92 | 2,56 | 9,36 | 1,76 | 4,15 | 1,27 | 2,13 | 0,97 | 1,18 | 0,77 | 0,70 | 0,62 |
128,56 | | | | | 82,32 | 4,25 | 26,84 | 2,72 | 10,49 | 1,87 | 4,65 | 1,35 | 2,38 | 1,03 | 1,32 | 0,82 | 0,78 | 0,66 |
136,20 | | | | | 91,93 | 4,50 | 29,96 | 2,89 | 11,70 | 1,98 | 5,18 | 1,43 | 2,65 | 1,10 | 1,47 | 0,86 | 0,87 | 0,70 |
151,29 | | | | | 112,41 | 5,00 | 36,59 | 3,21 | 14,28 | 2,20 | 6,32 | 1,59 | 3,23 | 1,22 | 1,79 | 0,96 | 1,06 | 0,78 |
165,19 | | | | | | | 43,27 | 3,50 | 16,88 | 2,41 | 7,46 | 1,74 | 3,82 | 1,33 | 2,12 | 1,05 | 1,25 | 0,85 |
176,99 | | | | | | | 49,36 | 3,75 | 19,24 | 2,58 | 8,51 | 1,86 | 4,35 | 1,42 | 2,41 | 1,12 | 1,42 | 0,91 |
188,79 | | | | | | | 55,84 | 4,00 | 21,75 | 2,75 | 9,61 | 1,99 | 4,91 | 1,52 | 2,72 | 1,20 | 1,61 | 0,97 |
200,59 | | | | | | | 62,70 | 4,25 | 24,42 | 2,92 | 10,78 | 2,11 | 5,51 | 1,61 | 3,05 | 1,27 | 1,80 | 1,03 |
212,39 | | | | | | | 69,95 | 4,50 | 27,22 | 3,09 | 12,02 | 2,23 | 6,14 | 1,71 | 3,40 | 1,35 | 2,01 | 1,09 |
224,19 | | | | | | | 77,58 | 4,75 | 30,18 | 3,27 | 13,32 | 2,46 | 6,80 | 1,80 | 3,76 | 1,42 | 2,22 | 1,15 |
235,99 | | | | | | | 85,59 | 5,00 | 33,28 | 3,44 | 14,68 | 2,48 | 7,49 | 1,90 | 4,15 | 1,50 | 2,45 | 1,21 |
247,79 | | | | | | | 93,99 | 5,25 | 36,53 | 3,61 | 16,11 | 2,61 | 8,22 | 1,99 | 4,55 | 1,57 | 2,68 | 1,27 |
259,59 | | | | | | | 102,76 | 5,50 | 39,93 | 3,78 | 17,60 | 2,73 | 8,98 | 2,09 | 4,97 | 1,65 | 2,93 | 1,33 |
271,41 | | | | | | | 111,93 | 5,75 | 43,47 | 3,95 | 19,16 | 2,85 | 9,77 | 2,18 | 5,40 | 1,72 | 3,19 | 1,39 |
283,18 | | | | | | | 121,43 | 6,00 | 47,15 | 4,13 | 20,77 | 2,98 | 10,59 | 2,28 | 5,85 | 1,80 | 3,45 | 1,45 |
291,72 | | | | | | | | | 49,91 | 4,25 | 21,98 | 3,07 | 11,20 | 2,35 | 6,19 | 1,85 | 3,65 | 1,50 |
308,88 | | | | | | | | | 55,68 | 4,50 | 24,51 | 3,25 | 12,49 | 2,48 | 6,90 | 1,96 | 4,07 | 1,59 |
326,04 | | | | | | | | | 61,75 | 4,75 | 27,18 | 3,43 | 13,84 | 2,62 | 7,65 | 2,07 | 4,51 | 1,67 |
343,20 | | | | | | | | | 68,13 | 5,00 | 29,97 | 3,61 | 15,26 | 2,76 | 8,43 | 2,18 | 4,97 | 1,76 |
360,36 | | | | | | | | | 74,81 | 5,25 | 32,90 | 3,79 | 16,75 | 2,90 | 9,25 | 2,29 | 5,45 | 1,85 |
377,52 | | | | | | | | | 81,80 | 5,50 | 35,96 | 3,97 | 18,30 | 3,04 | 10,11 | 2,40 | 5,95 | 1,94 |
394,68 | | | | | | | | | 89,09 | 5,75 | 39,15 | 4,15 | 19,92 | 3,17 | 11,00 | 2,51 | 6,47 | 2,03 |
411,84 | | | | | | | | | 96,67 | 6,00 | 42,48 | 4,33 | 21,61 | 3,31 | 11,92 | 2,61 | 7,02 | 2,12 |
427,80 | | | | | | | | | | | 45,68 | 4,50 | 23,23 | 3,44 | 12,82 | 2,72 | 7,54 | 2,20 |
451,57 | | | | | | | | | | | 50,67 | 4,75 | 25,76 | 3,63 | 14,21 | 2,87 | 8,36 | 2,32 |
475,34 | | | | | | | | | | | 55,91 | 5,00 | 28,42 | 3,82 | 15,67 | 3,02 | 9,22 | 2,44 |
499,10 | | | | | | | | | | | 61,39 | 5,25 | 31,19 | 4,01 | 17,20 | 3,17 | 10,11 | 2,56 |
522,87 | | | | | | | | | | | 67,13 | 5,50 | 34,10 | 4,20 | 18,80 | 3,32 | 11,05 | 2,69 |
546,64 | | | | | | | | | | | 73,11 | 5,75 | 37,13 | 4,40 | 20,46 | 3,47 | 12,03 | 2,81 |
570,40 | | | | | | | | | | | 79,33 | 6,00 | 40,28 | 4,59 | 22,20 | 3,62 | 13,04 | 2,93 |
590,65 | | | | | | | | | | | | | 43,07 | 4,75 | 23,73 | 3,75 | 13,94 | 3,03 |
621,74 | | | | | | | | | | | | | 47,52 | 5,00 | 26,17 | 3,95 | 15,37 | 3,19 |
652,83 | | | | | | | | | | | | | 52,18 | 5,25 | 28,73 | 4,14 | 16,87 | 3,35 |
683,92 | | | | | | | | | | | | | 57,06 | 5,50 | 31,41 | 4,34 | 18,44 | 3,51 |
715,01 | | | | | | | | | | | | | 62,14 | 5,75 | 34,20 | 4,54 | 20,08 | 3,67 |
746,10 | | | | | | | | | | | | | 67,44 | 6,00 | 37,11 | 4,74 | 21,78 | 3,83 |
787,77 | | | | | | | | | | | | | | | 41,19 | 5,00 | 24,17 | 4,05 |
827,16 | | | | | | | | | | | | | | | 45,23 | 5,25 | 26,53 | 4,25 |
866,55 | | | | | | | | | | | | | | | 49,46 | 5,50 | 29,01 | 4,45 |
905,94 | | | | | | | | | | | | | | | 53,87 | 5,75 | 31,59 | 4,65 |
945,34 | | | | | | | | | | | | | | | 58,46 | 6,00 | 34,28 | 4,86 |
973,42 | | | | | | | | | | | | | | | | | 36,25 | 5,00 |
1022,10 | | | | | | | | | | | | | | | | | 39,81 | 5,25 |
1070,77 | | | | | | | | | | | | | | | | | 43,54 | 5,50 |
1119,43 | | | | | | | | | | | | | | | | | 47,42 | 5,75 |
1168,10 | | | | | | | | | | | | | | | | | 51,46 | 6,00 |