Главная // Актуальные документы // ПрограммаСПРАВКА
Источник публикации
М.: Стройиздат, 1979
Примечание к документу
Название документа
"Руководство по измерению и расчету акустических характеристик звукопоглощающих материалов"
"Руководство по измерению и расчету акустических характеристик звукопоглощающих материалов"
ПО ИЗМЕРЕНИЮ И РАСЧЕТУ АКУСТИЧЕСКИХ
ХАРАКТЕРИСТИК ЗВУКОПОГЛОЩАЮЩИХ МАТЕРИАЛОВ
Рекомендовано секцией строительной акустики НТС НИИСФ Госстроя СССР.
В Руководстве излагается методика определения акустических параметров волокнистых звукопоглощающих материалов.
Даны рекомендации по выбору оптимальной толщины образца, обеспечивающей требуемую точность измерения импеданса и акустических параметров.
Предназначено для инженеров-акустиков, занимающихся исследованием звукопоглощающих материалов как в научно-исследовательских институтах, так и в лабораториях заводов-изготовителей материалов.
Табл. 9, рис. 4.
В связи с широким применением звукопоглощающих волокнистых материалов для снижения шума в промышленных и общественных зданиях повышаются требования к точности инженерных расчетов физических величин, в частности акустических параметров, характеризующих их звукопоглощающие свойства.
Акустические параметры используются в расчетах коэффициента звукопоглощения облицовки стен производственных помещений, эффективности глушителей шума для вентиляционных систем, а также звукоизоляции многослойных ограждающих конструкций.
В настоящем Руководстве излагается методика определения акустических (волновых) параметров волокнистых звукопоглощающих материалов. Несмотря на известность и достаточную распространенность методики расчета таких характеристик, нередко наблюдается значительное расхождение в результатах, полученных разными авторами для одного и того же волокнистого звукопоглощающего материала, обусловленное значительными погрешностями в измерении импеданса образца. Поэтому в Руководстве предлагается единая система измерения импеданса, позволяющая свести относительные ошибки к минимуму и обеспечивающая получение надежных данных по акустическим параметрам.
В основу Руководства положены результаты многолетней научно-исследовательской работы, проведенной в лаборатории акустических конструкций НИИ строительной физики по изучению влияния структуры волокнистых материалов на звукопоглощение.
Руководство разработано НИИ строительной физики Госстроя СССР (канд. техн. наук Н.Н. Воронина).
1. АКУСТИЧЕСКИЕ ПАРАМЕТРЫ
ВОЛОКНИСТЫХ ЗВУКОПОГЛОЩАЮЩИХ МАТЕРИАЛОВ
1.1. Акустические параметры характеризуют звукопоглощающие свойства волокнистого материала как среды. Основными параметрами являются волновое сопротивление
W, кгс/см·с, и постоянная распространения

, 1/см.
1.2. Волновое сопротивление представляет собой сопротивление или импеданс волокнистой среды. В отличие от импеданса слоя материала конечной толщины, зависящего от способа расположения этого слоя в конструкции (без относа или с относом от жесткого основания), волновое сопротивление не является функцией ни толщины слоя, ни глубины относа, поскольку оно характеризует материал в целом как бесконечно протяженную среду.
В акустических расчетах обычно используется безразмерное волновое сопротивление, отнесенное к волновому сопротивлению воздуха

, кгс/см·с, где

, кг/см
3, - плотность воздуха;
c0, см/с, - скорость звука в воздухе.
В общем виде волновое сопротивление представляется комплексной величиной W = Wa + jWi, где Wa, Wi - действительная и мнимая компоненты W соответственно.
Волновое сопротивление изменяется с частотой
f; Гц, по закону

.
1.3. Постоянная распространения

, 1/см, является комплексной величиной, действительная часть которой

представляет собой показатель затухания амплитуды давления звуковой волны в среде волокнистого материала. Волновое число

, 1/см, характеризует распространение звуковой волны с частотой
f, Гц, и скоростью
c, см/с.
Постоянная распространения также является частотно-зависимой функцией, изменяющейся пропорционально

2. МЕТОДЫ ОПРЕДЕЛЕНИЯ АКУСТИЧЕСКИХ ПАРАМЕТРОВ
2.1. Определение акустических параметров
W и

основано на решении системы двух уравнений:

(1)
где Z1 - безразмерный импеданс, измеренный для слоя материала толщиной l, см, расположенного на жестком основании;
Z2 - безразмерный импеданс того же слоя, расположенного на некоторой конструкции с известным импедансом Z0.
В общем случае величины Z1, Z2, и Z0 зависят от частоты и имеют как действительную, так и мнимую части: Z1 = R1 + jY1, Z2 = R2 + jY2, Z0 = R0 + jY0.
2.2. Решая
систему (1) относительно величины
W и

, получаем выражения для определения действительных и мнимых компонентов волнового сопротивления и постоянной распространения через величины
R1,
Y1,
R2,
Y2,
R0,
Y0:

; (2)

; (3)

; (4)

, (5)

; (6)

; (7)

;

;

;
Значение целого числа
n выбирается таким образом, чтобы выполнялось неравенство

(где

, 1/см, - волновое число в воздухе), обеспечивающее непрерывность функции

.
2.3. Существует несколько методов определения акустических параметров
W и

, отличающихся друг от друга выбором значения импеданса
Z0. В зависимости от того, какой импеданс
Z0 различают три метода расчета акустических параметров.
Метод 1. Для расчета акустических параметров требуется измерить импеданс Z1 для слоя толщиной l и импеданс Z2 для слоя толщиной 2l, расположенных на жестком основании. Значение импеданса Z0 в этом случае принимается равным значению Z1, а именно: R0 = R1, Y0 = Y1.
Метод 2. Для расчета акустических параметров требуется измерить импеданс Z1 для слоя толщиной l, расположенного на жестком основании, и импеданс Z2 для того же слоя, отнесенного на некоторое расстояние L, см, от жесткого основания. В этом случае импеданс Z0 = -jctgkL.
Метод 3. Этот метод аналогичен методу 2 с тем только различием, что глубина относа принимается равной четверти длины звуковой волны, т.е.

, см, где

, см, - длина звуковой волны. Тогда
Z0 = 0.
для метода 1:

; (8)

; (9)
для метода 2:

; (10)

; (11)
для метода 3:

; (12)

. (13)
Для определения волнового сопротивления и постоянной распространения волокнистых материалов прилагается программа расчета этих величин по трем методам на ЭВМ типа "Наири"
(прил. 1).
3. МЕТОД ИЗМЕРЕНИЯ ИМПЕДАНСА
3.1. Измерение импеданса проводится на акустическом интерферометре, схема которого приведена на рис. 1. Подробное описание установки и требования к аппаратуре даны в ГОСТ 16297-70.
Рис. 1. Схема акустического интерферометра
1 - ручка поршня; 2 - приставка; 3 - поршень; 4 - образец
материала; 5 - кольцо; 6 - труба; 7 - акустический зонд;
8 - коробка; 9 - громкоговоритель; 10 - генератор;
11 - тележка; 12 - микрофон;
13 - вольтметр; 14 - рейка со шкалой
Акустический интерферометр состоит из металлической трубы круглого или квадратного поперечного сечения. Длина трубы и размеры поперечного сечения выбираются в зависимости от частотного диапазона, в котором проводятся измерения, согласно требованиям стандарта.
3.2. Один конец трубы крепится к коробке, где размещается громкоговоритель, подключенный к звуковому генератору. Керн магнита громкоговорителя имеет небольшое отверстие, через которое в трубу интерферометра пропускается акустический зонд. Зонд представляет собой узкую металлическую трубку с внутренним диаметром 2 мм. Длина зонда немного превышает длину трубы интерферометра. Один конец зонда соединен с микрофоном, размещенным на тележке. Тележка с указателем передвигается вдоль направляющей рейки, длина которой соответствует длине зонда с учетом размера тележки. Вдоль рейки укреплена шкала с делениями через 0,1 см.
Показания микрофона снимаются с помощью вольтметра.
3.3. К другому концу трубы интерферометра крепится приставка, предназначенная для размещения образца испытываемого материала. Она представляет собой отрезок трубы, диаметр которого совпадает с диаметром трубы интерферометра. Длина приставки выбирается в зависимости от толщины акустической конструкции, т.е. с учетом толщины образца и глубины воздушного промежутка за ним, определяемых для каждого из трех частотных диапазонов 125 - 500, 500 - 2000 и 2000 - 8000 Гц, соответственно.
3.4. Внутри приставки вплотную к стенкам движется тяжелый металлический поршень. Одна из его поверхностей, обращенная к трубе интерферометра, гладко отшлифована. К другой поверхности поршня крепится массивный стержень с ручкой. На стержне нанесена шкала с ценой деления в 0,1 см. Нуль шкалы соответствует предельному положению поршня, когда его гладкая поверхность совпадает с краями приставки (или с краями трубы интерферометра).
Для размещения образца поршень вдвигается внутрь приставки на расстояние, равное толщине образца. Таким образом осуществляется условие для измерения импеданса слоя материала, расположенного на жестком основании. При дальнейшем движении поршня внутрь приставки между образцом и поршнем образуется воздушный промежуток, глубина которого фиксируется с помощью шкалы.
3.5. Образец вырезается пуансоном из куска волокнистого материала в соответствии с формой и размерами сечения трубы интерферометра. Затем образец взвешивается на лабораторных весах с точностью до 0,01 г. При этом масса образца должна соответствовать значению
m, г, рассчитанному через известные величины объемной массы материала

, г/см
3, радиуса трубы интерферометра
r, см, и оптимальной толщины слоя
lоп, см, согласно следующему выражению

. Подготовленный таким образом слой материала помещается в металлическую приставку, описание которой дано в
пп. 3.3. и
3.4.
3.6. Чтобы поверхность образца, обращенная к трубе интерферометра, была ровной и перпендикулярной оси трубы, необходимо закрепить ее с помощью тонкого металлического кольца, перетянутого по диаметру двумя-тремя жесткими проволочками. Диаметр кольца должен быть подобран таким образом, чтобы оно плотно входило в приставку. Не следует закрывать образец проволочными сетками с поверхностной массой более чем 0,05 г/см2, поскольку это приводит к нежелательным искажениям истинного значения импеданса слоя материала даже в том случае, когда коэффициент перфорации превышает 50%.
3.7. Для сохранения формы образцов очень рыхлых волокнистых материалов (с диаметром волокна не более 3 мкм и объемной массой менее 30 кг/м
3) рекомендуется помещать образец в специальную обойму. Обойму легко сделать из полоски плотной бумаги или ватмана. При этом ширина полоски должна соответствовать толщине образца, а длина - периметру трубы приставки. Склеив концы полоски, получают цилиндр (или квадрат в зависимости от формы трубы) одно основание которого затягивают крест-накрест нитками. Затем кусочек материала равномерно распределяют по всему объему бумажного цилиндра и затягивают нитками другую поверхность цилиндра. Такую обойму удобно применять в измерениях методами 2 и 3, поскольку с ее помощью четко фиксируется граница образец - воздушный промежуток за слоем материала.
3.8. Перед проведением испытаний необходимо установить нулевую отметку акустического зонда. С этой целью, двигая тележку с микрофоном в сторону трубы интерферометра, отмечают по шкале с помощью указателя такое положение зонда, при котором его открытый конец касается поверхности поршня, выведенного до самого края приставки, что будет соответствовать поверхности образца.
Проведение испытаний и расчетов
3.9. Посредством системы генератор - громкоговоритель, настроенной на заданную частоту
f, Гц, в трубе интерферометра возбуждается стоячая волна с периодически повторяющимися максимумами (пучностями) и минимумами (узлами) звукового давления.
Плавным перемещением акустического зонда от нулевой отметки внутрь трубы находят в соответствии с показаниями вольтметра ближайший (первый) к поверхности образца минимум звукового давления. В этой точке измеряют с точностью до 0,1 см расстояние d1, см, пройденное зондом от поверхности образца до первого минимума стоячей волны и записывают также показание вольтметра, соответствующее амплитуде звукового давления в узле стоячей волны Pмин. Передвигая далее зонд (влево или вправо от узла), находят пучность стоячей волны и определяют максимальную величину амплитуды звукового давления Pмакс.
3.10. Величины
d1,
Pмин и
Pмакс определяются согласно
п. 3.9 на стандартных частотах с интервалом в 1/3 октавы в каждом из трех частотных диапазонов 125 - 500, 500 - 2000 и 2000 - 8000 Гц на трех образцах материала различной толщины соответственно. Измерения проводят дважды, располагая образцы сначала на жестком основании, а затем на некоторой конструкции, выбранной в соответствии с требованиями одного из методов определения акустических параметров
(п. 2.3.).
3.11. По найденным в обоих случаях значениям
d1,
Pмин и
Pмакс вычисляют действительные
R1,
R2 и мнимые
Y1,
Y2 компоненты импедансов
Z1 и
Z2 согласно следующим выражениям:

; (14)

, (15)
где N = Pмакс/Pмин - отношение амплитуд звукового давления в пучности и в узле;

- фаза стоячей волны;

.
Расчет величин
R и
Y с точностью до 0,01 производится по
программе N 1 (прил. 1).
Для удобства вычислений полезно составить таблицу вводных данных в следующей последовательности: f, d1, N.
3.12. Результаты, полученные в соответствии с
п. 3.11, представляют в виде таблицы величин
R1,
Y1,
R2,
Y2,
f. Они послужат вводом в
программе N 2 (прил. 1) для расчета акустических параметров
W и

(
пп. 2.2 -
2.4) с точностью до 0,01 на стандартных частотах в диапазоне 125 - 8000 Гц. По вычисленным данным составляется соответствующая таблица или вычерчиваются графические частотные зависимости волнового сопротивления и постоянной распространения волокнистого звукопоглощающего материала.
4. ОЦЕНКА ТОЧНОСТИ ОПРЕДЕЛЕНИЯ АКУСТИЧЕСКИХ
ПАРАМЕТРОВ И ВЫБОР ОПТИМАЛЬНОЙ ТОЛЩИНЫ ОБРАЗЦА
4.1. В процессе проведения измерений и расчетов необходимо оценивать точность определения акустических параметров. Критерием точности является соответствие экспериментальных частотных зависимостей параметров
W и

теоретическому виду (
п.п. 1.2 и
1.3) с некоторыми относительными погрешностями, не превышающими допустимых значений

и

, представленных на рис. 2.
Рис. 2. Предельно допустимые относительные погрешности
1 - волнового сопротивления; 2 - постоянной распространения
Согласно такому критерию действительная Wa и мнимая Wi компоненты волнового сопротивления должны удовлетворять следующим условиям одновременно:
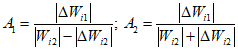
при f = f1 и f = f2

; (16)

, (17)
где

;
f1, Гц, и f2, Гц, - стандартные значения частот, на которых проводится сравнение соответствующих мнимых Wi1, Wi2 и действительных Wa1, Wa2 компонент волнового сопротивления в каждом из трех частотных диапазонов: 125 - 500, 500 - 2000, 2000 - 8000 Гц.
Поскольку величины
W и

взаимосвязаны, то выполнение
равенств (16) и
(17) для волнового сопротивления обеспечивает точность вычисления постоянной распространения в пределах допустимой погрешности

(см.
рис. 2).
4.2. Измерение импеданса необходимо проводить в некотором оптимальном режиме, обеспечивающем указанную в
п. 4.1 точность определения акустических параметров. Возникающие при измерении погрешности обусловлены ограниченной разрешающей способностью прибора в областях либо слишком малого, либо слишком высокого звукопоглощения испытываемого образца. Их можно существенно уменьшить, работая с образцами, коэффициент звукопоглощения которых имеет некоторое среднее значение в данном частотном диапазоне.
Поскольку одно и то же значение коэффициента звукопоглощения может быть достигнуто при различных толщинах слоев волокнистых материалов, отличающихся по структуре, то выбор оптимального режима измерения сводится к выбору оптимальной толщины образца
lоп, см, в зависимости от частоты звука и некоторых физических констант материала, характеризующих его структуру. К таким константам относится объемная масса волокнистого материала

, кг/м
3, диаметр волокна
d, мкм, и длина волокна
h, см, приведенные, как правило, в технических условиях.
4.3. Для каждого частотного диапазона 125 - 500, 500 - 2000 и 2000 - 8000 Гц из графиков
рис. 3,
а,
б,
в определяются три значения оптимальной толщины образца
lоп1,
lоп2 и
lоп3 (индексы 1, 2 и 3 при
lоп и кривых на
рис. 3,
а,
б,
в, соответствуют порядковому номеру метода расчета акустических параметров) по величине безразмерной структурной характеристики
Q, вычисленной на частотах 250, 1000 и 4000 Гц соответственно, согласно следующему равенству:

, (18)
где

- приведенная объемная масса, равная отношению объемных масс материала и воздуха;
q0 = (10q2 + 0,5q-1 + 0,5k2d4h-2)-1 - величина, учитывающая влияние гибкости скелета материала.
Числовой коэффициент величины
kd в
равенстве (18) подобран таким образом, чтобы принимать значение диаметра волокна
d непосредственно в микронах.
Для упрощения расчетов в
прил. 2 даны структурные характеристики некоторых отечественных волокнистых звукопоглощающих материалов с известными физико-техническими параметрами

,
d и
h.
В зависимости от частотного диапазона для одного и того же метода потребуются образцы разной толщины (см. рис. 3), а именно: чем выше частота звука, тем тоньше слой материала.
Рис. 3. Номограмма для определения оптимальной
толщины образца в частотном диапазоне
а - 125 - 500 Гц; б - 500 - 2000 Гц; в - 2000 - 8000 Гц
Неправильный выбор толщины образца для данного частотного диапазона приводит к недопустимым ошибкам в значениях акустических параметров.
4.4. При измерении импеданса по методу 2 глубина воздушного промежутка между слоем и жестким основанием должна быть примерно равной толщине образца

.
4.5. В области звуковых частот ниже 125 Гц (f <= 125 Гц) оптимальная толщина слоя рассчитывается из следующего выражения:

, (19)
где lоп250 - толщина образца на частоте 250 Гц.
4.6. После определения в соответствии с
п. 4.3 оптимальной толщины образца материала с заданными физико-техническими характеристиками (объемная масса и диаметр волокна) проводятся измерения импеданса и расчет акустических параметров согласно
пп. 3.5 -
3.12. Значения волнового сопротивления, полученные на стандартных частотах, подставляются в
выражения (16) и
(17) для каждого из трех частотных диапазонов: 125 - 500, 500 - 2000, 2000 - 8000 Гц.
Если
неравенства (16) и
(17) не выполняются в заданном частотном диапазоне, то процедуры
пп. 3.5 -
3.12 следует провести повторно. При этом допускаются некоторые изменения оптимальной толщины образца в пределах +/- 0,1
lоп. Результаты, полученные в первом и последующих измерениях, усредняются и снова подвергаются проверке согласно
п. 4.1. Если проверка не дает положительных результатов, то ошибку следует искать в вычислении структурной характеристики волокнистого материала
(п. 4.3.).
5. ОБЩАЯ ХАРАКТЕРИСТИКА МЕТОДОВ
ОПРЕДЕЛЕНИЯ АКУСТИЧЕСКИХ ПАРАМЕТРОВ
5.1. Для измерения акустических параметров волокнистых материалов с хаотическим расположением волокон пригодны все три метода, приведенные в
п. 2.3.
С точки зрения сложности расчета все методы определения акустических параметров равноценны, поскольку схема вычислений одинакова во всех трех случаях
(п. 2.2.).
Приведенная в прил. 1
программа N 2 расчета на ЭВМ волнового сопротивления и постоянной распространения используется для любого метода с соответствующей заменой двух операторов, в которых вычисляются величины

и

согласно
п. 2.4.
5.2. С точки зрения проведения измерений импедансов Z1 и Z2 все три метода также идентичны друг другу. Следует указать некоторые второстепенные технические отличия этих методов. Так, метод 1 из-за большого расхода материала может оказаться не совсем приемлемым в частотном диапазоне 125 - 500 Гц. Это же относится и к методу 3, для которого требуется приставка значительной длины в области низких частот. В этих случаях рекомендуется пользоваться методом 2. В диапазоне частот 500 - 8000 Гц допустимо применять любой метод.
5.3. Методы различаются лишь по значению оптимальной толщины образца
lоп (п. 4.3), которая будет наибольшей для метода 1 и наименьшей для метода 2. Для величин
lоп1,
lоп2 и
lоп3 справедливо следующее соотношение:
lоп1 = 1,3,
lоп2 = 1,8
lоп3.
При измерениях одним из методов не следует пользоваться образцом толщиной, выбранной в соответствии с требованиями другого метода, так как в этом случае неизбежны существенные ошибки в импедансе.
При правильном определении величин lоп1, lоп2 и lоп3 результаты, полученные для акустических параметров по трем методам расчета, как правило, совпадают в пределах допустимой относительной погрешности.
Требуется определить волновое сопротивление
W и постоянную распространения

, 1/см, супертонкого стекловолокна (ТУ 21-01-224-69) с объемной массой

, диаметром волокна
d = 2 мкм и длиной волокна
h = 8 см в частотном диапазоне 125 - 6300 Гц.
6.1. В соответствии с требованиями
п. 4.3 выбираются оптимальные толщины образцов
lоп1,
lоп2 и
lоп3 для трех методов определения акустических параметров в следующих частотных диапазонах: 125 - 500, 500 - 2000 и 2000 - 6300 Гц. Для этого вычисляются структурная характеристика
Q на частотах 250, 1000 и 4000 Гц (см.
прил. 2).
В качестве примера приводится расчет величины
Q согласно
равенству (18) на частоте
f = 250 Гц.
Вычисляется:
1) приведенная объемная масса

;
2) волновое число k = 1,83·10-4f = 0,183·0,25 = 0,045;
3) величина

;
4) величина q0 = = (10q2 + 0,5q-1 + 0,5k2d4h-2)-1 = (0,15 + 4,15)-1 = 0,23;
5) структурная характеристика

.
Таким же образом рассчитываются структурные характеристики на частотах 1000 Гц (Q = 0,58) и 4000 Гц (Q = 0,29).
Затем для каждого значения
Q из графиков
рис. 3 определяются три оптимальные толщины
lоп1,
lоп2 и
lоп3 (индексы совпадают с порядковым номером метода) с точностью до 0,1 см. Результаты расчета оптимальных толщин приведены в табл. 1.
f, Гц | Q | lоп1, см | lоп2, см | lоп3, см |
250 | 1,17 | 7,2 | 5,6 | 4 |
1000 | 0,58 | 3,6 | 2,8 | 2 |
4000 | 0,29 | 1,8 | 1,4 | 1 |
Для частоты 125 Гц оптимальные толщины вычисляются по
равенству (19), из которого следует, что
lоп1 = 10 см;
lоп2 = 8 см;
lоп3 = 5,6 см.
Идентичность методов определения акустических параметров
(п. 5.1) допускает произвольный выбор одного из них. Поэтому ниже приведены расчеты величин
W и

только по методу 1.
6.2. В соответствии с требованиями
пп. 3.5 -
3.7 необходимо подготовить три образца исследуемого материала с известной объемной массой. Толщины образцов выбираются равными 7,2; 3,6 и 1,8 см (см.
табл. 1), а форма и площадь их поверхности согласуются с формой и размерами поперечного сечения той трубы интерферометра
(п. 3.1), которая применяется в данном частотном диапазоне.
Измерения импедансов
Z1 и
Z2 проводятся поочередно на образцах с толщинами 7,2 см и 14,4 см в частотном диапазоне 125 - 500 Гц; 3,6 см и 7,2 см в диапазоне 500 - 2000 Гц; 1,8 см и 3,6 см на частотах выше 2000 Гц. В обоих случаях импеданс рассчитывается согласно
п. 3.11 по двум величинам:
d1, см, равной расстоянию первого узла стоячей волны до поверхности слоя материала, и
N - отношению максимальной и минимальной амплитуд звукового давления.
Для уверенности в надежности результатов рекомендуется проводить измерения импеданса два-три раза в частотном диапазоне 125 - 6300 Гц. Полученные данные усредняются.
Как упоминалось в
п. 4.6, при повторных измерениях допускается изменение оптимальной толщины образцов в пределах +/- 0,1
lоп. Это является особенно важным для правильного определения импедансов слоев супертонких волокнистых материалов (
d <= 3 мкм) в области частот ниже 500 Гц. Вследствие податливости скелета таких материалов в диапазоне 125 - 500 Гц при достаточно большой толщине слоя наблюдается, как правило, резонанс. Это явление характеризуется возрастанием коэффициента звукопоглощения за счет уменьшения мнимой компоненты импеданса
Y по абсолютному значению.
f, Гц | lоп, см | d1, см | N | Z1 | d1, см | N | Z2 |
125 | 10 | 55 | 13 | 0,76 - j2,9 | 55 | 2,5 | 1,65 - j1,01 |
160 | 7,2 | 43,1 | 19,2 | 0,54 - j3,02 | 44,6 | 2,5 | 1,24 - j1,03 |
200 | 7,2 | 33,8 | 19,2 | 0,47 - j2,72 | 28,7 | 2,3 | 1,14 - j0,87 |
250 | 7,2 | 25,4 | 8,8 | 0,69 - j2,16 | 26,3 | 1,85 | 1,4 - j0,62 |
315 | 7,2 | 19 | 6 | 0,72 - j1,7 | 24,1 | 1,9 | 1,6 - j0,41 |
400 | 7,2 | 13,5 | 3,5 | 0,79 - j1,17 | 19,6 | 2,1 | 2,03 - j0,43 |
500 | 7,2 | 10,2 | 2,5 | 0,87 - j0,88 | 15,7 | 2,1 | 1,97 - j0,45 |
630 | 3,6 | 10,1 | 8,7 | 0,68 - j2,13 | 8,6 | 2 | 1,05 - j0,72 |
800 | 3,6 | 6,9 | 5,2 | 0,62 - j1,4 | 7,7 | 1,4 | 1,19 - j0,32 |
1000 | 3,6 | 4,1 | 2,6 | 0,63 - j0,7 | 8,2 | 1,8 | 1,7 - j0,18 |
1250 | 3,6 | 2,1 | 1,6 | 0,72 - j0,31 | 6 | 2,1 | 1,86 - j0,56 |
1600 | 3,6 | 3 | 1,1 | 1,01 - j0,09 | 4,2 | 1,9 | 1,47 - j0,64 |
2000 | 3,6 | 4,7 | 1,2 | 1,09 + j0,19 | 3,3 | 1,7 | 1,26 - j0,57 |
2500 | 1,8 | 1,8 | 2,4 | 0,78 - j0,74 | 2,8 | 1,4 | 1,32 - j0,15 |
3150 | 1,8 | 1,6 | 2,1 | 0,9 - j0,6 | 2,1 | 1,5 | 1,33 - j0,33 |
4000 | 1,8 | 0,9 | 1,6 | 0,8 - j0,36 | 1,8 | 1,5 | 1,38 - j0,28 |
5000 | 1,8 | 1 | 1,1 | 1 - j0,1 | 1,4 | 1,4 | 1,29 - j0,24 |
6300 | 1,8 | 1,6 | 1,2 | 1,2 + j0,1 | 1,1 | 1,3 | 1,22 - j0,19 |
В этом случае трудно определить с требуемой точностью величины d1 и N, так как узел стоячей волны получается слишком размытым из-за большого поглощения звука. Ошибка при измерениях d1 и N приводит к заниженным значениям волнового сопротивления на резонансной частоте.
Изменение толщины образца в пределах +/- 0,1lоп позволяет устранить резонанс слоя в заданной области частот.
6.3. Действительные
R1,
R2 и мнимые
Y1,
Y2, компоненты импедансов
Z1 и
Z2 вычисляются согласно
выражениям (14) и
(15) на электронно-вычислительной машине типа "Наири" по
программе N 1 (прил. 1).
В
табл. 2 приведены вводные и результирующие данные расчета импедансов, усредненные по трем измерениям на стандартных частотах, выбранных с интервалом в 1/3 октавы в диапазоне 125 - 6300 Гц.
Величины
R1,
Y1,
R2,
Y2 используются для определения волнового сопротивления
W и постоянной распространения

в соответствии с требованиями
пп. 2.1 -
2.3. Результаты вычислений, проведенных по
программе N 2, даны в табл. 3.
f, Гц | lоп, см | Z1 | Z2 | W |  , 1/см |
125 | 10 | 0,76 - j2,9 | 1,65 - j1,01 | 2,5 - j1,34 | 0,02 + j0,05 |
160 | 7,2 | 0,54 - j3,02 | 1,24 - j1,03 | 2,3 - j1,16 | 0,03 + j0,08 |
200 | 7,2 | 0,47 - j2,72 | 1,14 - j0,87 | 2,21 - j1 | 0,04 + j0,1 |
250 | 7,2 | 0,69 - j2,16 | 1,4 - j0,62 | 2,08 - j0,94 | 0,05 + j0,11 |
315 | 7,2 | 0,72 - j1,7 | 1,6 - j0,41 | 2,01 - j0,89 | 0,06 + j0,13 |
400 | 7,2 | 0,79 - j1,17 | 2,03 - j0,43 | 1,95 - j0,91 | 0,07 + j0,16 |
500 | 7,2 | 0,87 - j0,88 | 1,97 - j0,45 | 1,8 - j0,76 | 0,08 + j0,17 |
630 | 3,6 | 0,68 - j2,13 | 1,05 - j0,72 | 1,73 - j0,74 | 0,10 + j0,19 |
800 | 3,6 | 0,62 - j1,4 | 1,19 - j0,32 | 1,59 - j0,62 | 0,12 + j0,24 |
1000 | 3,6 | 0,63 - j0,7 | 1,7 - j0,18 | 1,52 - j0,57 | 0,14 + j0,34 |
1250 | 3,6 | 0,72 - j0,31 | 1,86 - j0,56 | 1,47 - j0,51 | 0,15 + j0,42 |
1600 | 3,6 | 1,01 - j0,09 | 1,47 - j0,64 | 1,44 - j0,47 | 0,2 + j0,5 |
2000 | 3,6 | 1,09 + j0,19 | 1,26 - j0,57 | 1,41 - j0,42 | 0,25 + j0,56 |
2500 | 1,8 | 0,78 - j0,74 | 1,32 - j0,15 | 1,38 - j0,37 | 0,34 + j0,59 |
3150 | 1,8 | 0,9 - j0,6 | 1,33 - j0,33 | 1,33 - j0,42 | 0,46 + j0,64 |
4000 | 1,8 | 0,8 - j0,36 | 1,38 - j0,28 | 1,27 - j0,34 | 0,43 + j0,77 |
5000 | 1,8 | 1 - j0,1 | 1,29 - j0,24 | 1,26 - j0,21 | 0,58 + j0,95 |
6300 | 1,8 | 1,2 + j0,1 | 1,22 - j0,19 | 1,25 - j0,18 | 0,6 + j1,25 |
На рис. 4 даны частотные зависимости акустических параметров супертонкого стекловолокна, построенные по данным
табл. 3 в частотном диапазоне 125 - 2000 Гц. Для сравнения пунктирной линией показаны те же значения волнового сопротивления, полученные в области частот 125 - 500 Гц при измерении на образце толщиной, равной половине ее оптимальной величины:
l = 0,5
lоп1 = 3,6 см.
Рис. 4. Частотные зависимости акустических параметров
супертонкого стекловолокна с объемной массой 15 кг/м3
а - волнового сопротивления; б - постоянной распространения
Чередование резких скачков и провалов на пунктирной кривой противоречит физическому представлению акустических параметров, по которому характеристики бесконечно протяженной среды с хаотическим распределением волокон должны плавно изменяться с частотой, о чем упоминалось в
пп. 1.2 -
1.3. Такое расхождение обусловлено ошибками измерения, возникающими при неправильном выборе толщины образца.
Если же измерения проводятся на образцах с оптимальными толщинами, указанными в
табл. 1, то полученные данные соответствуют их физическому смыслу и математическому виду.
При этом выполняются одновременно
условия (16) и
(17), что следует из результатов вычислений, приведенных в табл. 4 и
5, соответственно.
Таблица 4
f1, Гц | f2, Гц | | |Wi1| | | |Wi2| | | | | |
125 | 250 | 1,41 | 1,34 | 0,18 | 0,94 | 0,16 | 1,18 | 1,42 | 1,58 |
250 | 500 | 1,41 | 0,94 | 0,16 | 0,76 | 0,13 | 1,17 | 1,23 | 1,59 |
500 | 1000 | 1,41 | 0,76 | 0,13 | 0,57 | 0,11 | 1,13 | 1,33 | 1,62 |
1000 | 2000 | 1,41 | 0,57 | 0,11 | 0,42 | 0,09 | 1,06 | 1,36 | 1,62 |
2000 | 4000 | 1,41 | 0,42 | 0,09 | 0,34 | 0,08 | 1,07 | 1,23 | 1,62 |
500 | 2000 | 2 | 0,76 | 0,13 | 0,42 | 0,09 | 1,61 | 1,81 | 2,25 |
1000 | 4000 | 2 | 0,57 | 0,11 | 0,34 | 0,08 | 1,58 | 1,68 | 2,26 |
f, Гц | |Wi| | | | Wa - 1 | |
125 | 1,34 | 0,18 | 1,16 | 1,5 | 1,52 |
250 | 0,94 | 0,16 | 0,78 | 1,08 | 1,1 |
500 | 0,76 | 0,13 | 0,63 | 0,8 | 0,89 |
1000 | 0,57 | 0,11 | 0,46 | 0,52 | 0,68 |
2000 | 0,42 | 0,09 | 0,33 | 0,41 | 0,51 |
4000 | 0,34 | 0,08 | 0,26 | 0,27 | 0,42 |
Поэтому можно считать, что в частотном диапазоне 125 - 6300 Гц акустические параметры супертонкого стекловолокна определены в пределах требуемой точности согласно
п. 4.1
В заключение в табл. 6 проведено сравнение данных, полученных для волнового сопротивления разными методами, подтверждающее идентичность последних (
пп. 5.1 -
5.3).
Таблица 6
f, Гц | Метод 1 | Метод 2 | Метод 3 |
lоп1, см | W1 | lоп2, см | W2 | lоп3, см | W3 |
250 | 7,2 | 2,08 - j0,94 | 5,6 | 2,2 - j1,02 | 4 | 2,17 - j0,84 |
500 | 7,2 | 1,8 - j0,76 | 5,6 | 1,7 - j0,67 | 4 | 1,73 - j0,66 |
1000 | 3,6 | 1,52 - j0,57 | 2,8 | 1,53 - j0,48 | 2 | 1,48 - j0,56 |
2000 | 3,6 | 1,41 - j0,42 | 2,8 | 1,36 - j0,45 | 2 | 1,42 - j0,44 |
ПРОГРАММЫ ДЛЯ РАСЧЕТА НА ЭВМ ТИПА "НАИРИ"
ИМПЕДАНСА И АКУСТИЧЕСКИХ ПАРАМЕТРОВ
Расчет импеданса Z = R + jY
"Наири"
1 ВВЕДЕМ Р Б А
2 ВЫЧИСЛИМ Л = 8600/Р
3 ВЫЧИСЛИМ

4 ВЫЧИСЛИМ

5 ВЫЧИСЛИМ Ч = 2А/М
6 ВЫЧИСЛИМ

7 ПЕЧАТАЕМ С 2 ЗНАКАМИ Ч У
8 ИДТИ К 1
ИСПОЛНИМ 1
ПОЯСНЕНИЯ К ПРОГРАММЕ N 1
1. УСЛОВНЫЕ ОБОЗНАЧЕНИЯ:
Р - частота звука f, Гц;
Б - расстояние первого минимума звукового давления от поверхности образца d1, см;
А - отношение амплитуд звукового давления в максимуме и минимуме N = Pмакс/Pмин;
Ч - действительная компонента импеданса R;
У - мнимая компонента импеданса Y.
2. ПРОВЕРКА
Таблица 1
Ввод | Вывод |
Р | Б | А | Ч | У |
200 | 39 | 20,4 | 2,08 | -6,1 |
Расчет акустических параметров по методу 1
"Наири"
1 ВВЕДЕМ Х У Ч Т Ш
2 ДОПУСТИМ L = 3,6 Е = 0
3 ВЫЧИСЛИМ

4 ВЫЧИСЛИМ

5 ВЫЧИСЛИМ М = 2 (ЧУ + ХТ - ХУ)
6 ВЫЧИСЛИМ

7 ВЫЧИСЛИМ Г = М/2В
8 ВЫЧИСЛИМ

9 ВЫЧИСЛИМ Z = 0,5АЧСТG(М/Л) - АЧСТG(У/Х)
10 ВЫЧИСЛИМ И = ОcosZ
11 ВЫЧИСЛИМ С = ОsinZ
12 ВЫЧИСЛИМ

13 ВЫЧИСЛИМ

14 ВЫЧИСЛИМ Р = И/(1 + СS)
15 ВЫЧИСЛИМ А = (1/2L)Ln((1 + Р)/(1 - Р))
16 ВЫЧИСЛИМ Д = Н/Е
17 ЕСЛИ S >= 0 ИДТИ К 22
18 ВЫЧИСЛИМ

19 ЕСЛИ Б >= Д ИДТИ К 24
20 ВСТАВИМ Б = Б + 0,87
21 ИДТИ К 19
22 ВЫЧИСЛИМ Б = (1/L) АЧСТG S
23 ИДТИ К 19
24 ПЕЧАТАЕМ С 2 ЗНАКАМИ В Г А Б
25 ИДТИ К 1
ИСПОЛНИМ 1
ПОЯСНЕНИЯ К ПРОГРАММЕ N 2
1. УСЛОВНЫЕ ОБОЗНАЧЕНИЯ:
Х, У - действительная и мнимая компоненты импеданса Z1;
Ч, Т - действительная и мнимая компоненты импеданса Z2;
Ш - частота звука f, Гц;
L - толщина образца lоп, см;
Е - глубина воздушного промежутка (относ) L, см;
Д - волновое число для воздуха k, 1/см;
А, Б - действительная и мнимая компоненты постоянной распространения

, 1/см;
В, Г - действительная и мнимая компоненты волнового сопротивления W.
2. Программа применима для расчета акустических параметров согласно методам 2 и 3 при соответствующей замене двух операторов:
3. ПРОВЕРКА:
Таблица 2
Оператор 2 | Ввод | Вывод | Метод |
L | Е | Х | У | Ч | Т | Ш | В | Г | А | Б |
3,6 | 0 | 0,63 | -0,7 | 1,7 | -0,18 | 1000 | 1,52 | -0,57 | 0,14 | 0,34 | 1 |
2,8 | 4 | 0,56 | -0,61 | 1,5 | 0,29 | 1000 | 1,54 | -0,58 | 0,16 | 0,46 | 2 |
2 | 0 | 0,35 | -1,5 | 1,6 | 1 | 1000 | 1,57 | -0,65 | 0,15 | 0,38 | 3 |
СТРУКТУРНАЯ ХАРАКТЕРИСТИКА
ВОЛОКНИСТЫХ ЗВУКОПОГЛОЩАЮЩИХ МАТЕРИАЛОВ
Материал (ГОСТ, ТУ) | Диаметр волокна, мкм | Длина волокна, см | Объемная масса, кг/м3 | Структурная характеристика на частотах, Гц: |
250 | 1000 | 4000 |
Холсты супертонкого базальтового волокна (РСТ УССР 5013.76) | 1 | 10 | 10 | 1,15 | 0,58 | 0,29 |
15 | 1,7 | 0,85 | 0,42 |
20 | 2,18 | 1,09 | 0,54 |
25 | 2,6 | 1,3 | 0,65 |
Холсты супертонкого стекловолокна (ТУ 21-01-224-69) | 2 | 8 | 10 | 0,78 | 0,39 | 0,19 |
15 | 1,16 | 0,58 | 0,29 |
20 | 1,5 | 0,75 | 0,37 |
25 | 1,8 | 0,9 | 0,45 |
| | ИС МЕГАНОРМ: примечание. Взамен ГОСТ 9573-72 с 1 июля 1982 года введен в действие ГОСТ 9573-82 (ИУС "Государственные стандарты", N 6, 1982). Взамен ГОСТ 9573-82 Постановлением Минстроя России от 06.12.1996 N 18-90 с 1 апреля 1997 года введен в действие ГОСТ 9573-96. | |
|
Плиты минераловатные на синтетическом связующем (ТУ 21-24-51-73, ГОСТ 9573-72*) | 8 | 4 | 75 | 1,36 | 0,58 | 0,27 |
100 | 1,5 | 0,75 | 0,36 |
125 | 1,8 | 0,9 | 0,45 |
150 | 2 | 1 | 0,5 |
175 | 2,32 | 1,16 | 0,58 |
200 | 2,8 | 1,4 | 0,7 |
| | ИС МЕГАНОРМ: примечание. Взамен ГОСТ 10727-73 Постановлением Госстандарта СССР от 27.12.1991 N 2199 с 1 января 1993 года введен в действие ГОСТ 10727-91. | |
|
Стеклянное бесщелочное волокно (ГОСТ 10727-73*) | 10 | 4 | 100 | 1,3 | 0,63 | 0,31 |
125 | 1,58 | 0,79 | 0,39 |
150 | 1,8 | 0,9 | 0,45 |
Маты из штапельных капроновых волокон ВТ 4С (ТУ 17-01-1-74) | 20 | 2 | 20 | 0,27 | 0,08 | 0,04 |
40 | 0,42 | 0,16 | 0,08 |
60 | 0,57 | 0,24 | 0,12 |
80 | 0,72 | 0,32 | 0,16 |
100 | 0,91 | 0,44 | 0,22 |