Главная // Актуальные документы // ПриказСПРАВКА
Источник публикации
М.: Стандартинформ, 2008
Примечание к документу
Документ
введен в действие с 1 января 2005 года.
Название документа
"РМГ 62-2003. Рекомендации по межгосударственной стандартизации. Государственная система обеспечения единства измерений. Обеспечение эффективности измерений при управлении технологическими процессами. Оценивание погрешности измерений при ограниченной исходной информации"
(введены в действие Приказом Ростехрегулирования от 27.10.2004 N 49-ст)
"РМГ 62-2003. Рекомендации по межгосударственной стандартизации. Государственная система обеспечения единства измерений. Обеспечение эффективности измерений при управлении технологическими процессами. Оценивание погрешности измерений при ограниченной исходной информации"
(введены в действие Приказом Ростехрегулирования от 27.10.2004 N 49-ст)
агентства по техническому
регулированию и метрологии
от 27 октября 2004 г. N 49-ст
РЕКОМЕНДАЦИИ
ПО МЕЖГОСУДАРСТВЕННОЙ СТАНДАРТИЗАЦИИ
ГОСУДАРСТВЕННАЯ СИСТЕМА ОБЕСПЕЧЕНИЯ ЕДИНСТВА ИЗМЕРЕНИЙ
ОБЕСПЕЧЕНИЕ ЭФФЕКТИВНОСТИ ИЗМЕРЕНИЙ ПРИ УПРАВЛЕНИИ
ТЕХНОЛОГИЧЕСКИМИ ПРОЦЕССАМИ
ОЦЕНИВАНИЕ ПОГРЕШНОСТИ ИЗМЕРЕНИЙ ПРИ ОГРАНИЧЕННОЙ
ИСХОДНОЙ ИНФОРМАЦИИ
State system for ensuring the uniformity of measurements.
Ensuring the effect of measurements by the control
of technological processes. Estimation of the measuring
error when the limited point of information
РМГ 62-2003
Группа Т80
Дата введения
1 января 2005 года
Цели, основные принципы и основной порядок проведения работ по межгосударственной стандартизации установлены
ГОСТ 1.0-92 "Межгосударственная система стандартизации. Основные положения" и
ГОСТ 1.2-97 "Межгосударственная система стандартизации. Стандарты межгосударственные, правила и рекомендации по межгосударственной стандартизации. Порядок разработки, принятия, применения, обновления и отмены"
1 РАЗРАБОТАНЫ Федеральным государственным унитарным предприятием "Всероссийский научно-исследовательский институт метрологической службы" (ФГУП "ВНИИМС") Госстандарта России
2 ВНЕСЕНЫ Госстандартом России
3 Утверждены Межгосударственным советом по стандартизации, метрологии и сертификации (протокол N 24 от 5 декабря 2003 г.)
За принятие проголосовали:
Краткое наименование страны по МК (ИСО 3166) 004-07 | Код страны по МК (ИСО 3166) 004-97 | Сокращенное наименование национального органа по стандартизации |
Беларусь | BY | Госстандарт Республики Беларусь |
Казахстан | KZ | Госстандарт Республики Казахстан |
Кыргызстан | KG | Кыргызстандарт |
Молдова | MD | Молдова-Стандарт |
Российская Федерация | RU | Госстандарт России |
Таджикистан | TJ | Таджикстандарт |
Узбекистан | UZ | Узстандарт |
Украина | UA | Госпотребстандарт Украины |
4
Приказом Федерального агентства по техническому регулированию и метрологии от 27 октября 2004 г. N 49-ст рекомендации по межгосударственной стандартизации РМГ 62-2003 введены в действие в качестве рекомендаций по метрологии Российской Федерации с 1 января 2005 г.
5 ВВЕДЕНЫ ВПЕРВЫЕ
6 ПЕРЕИЗДАНИЕ. Январь 2008 г.
Информация об изменениях к настоящим рекомендациям публикуется в указателе "Национальные стандарты", а текст изменений - в информационных указателях "Национальные стандарты". В случае пересмотра или отмены настоящих рекомендаций соответствующая информация будет опубликована в информационном указателе "Национальные стандарты"
Настоящие рекомендации содержат методику оценивания погрешности измерений и погрешности измерительных каналов информационно-измерительных систем (далее - ИИС) и автоматизированных систем управления технологическими процессами (далее - АСУТП) расчетным и расчетно-экспериментальным способами в условиях ограниченной исходной информации в тех случаях, когда прямое экспериментальное оценивание погрешности практически невозможно или экономически неоправданно.
Настоящие рекомендации могут быть применены при разработке программ и методик испытаний средств измерений и измерительных каналов ИИС и АСУТП, метрологической аттестации методик выполнения измерений.
Настоящие рекомендации разработаны на основе
ГОСТ 8.009 и других нормативных документов <1>.
--------------------------------
<1> На территории Российской Федерации действуют
[1] -
[4].
В настоящих рекомендациях использованы ссылки на следующие стандарты:
ГОСТ 8.009-84 Государственная система обеспечения единства измерений. Нормируемые метрологические характеристики средств измерений
ГОСТ 16350-80 Климат СССР. Районирование и статистические параметры климатических факторов для технических целей
Примечание - При пользовании настоящими рекомендациями целесообразно проверить действие ссылочных документов по соответствующему указателю стандартов, составленному по состоянию на 1 января текущего года, и по соответствующим информационным указателям, опубликованным в текущем году. Если ссылочный документ заменен (изменен), то при пользовании настоящими рекомендациями следует руководствоваться замененным (измененным) документом. Если ссылочный документ отменен без замены, то положение, в котором дана ссылка на него, применяют в части, не затрагивающей эту ссылку.
3. Типичные ограничения исходной информации и допущения,
принимаемые при оценивании погрешности измерений
3.1 В числе нормируемых метрологических характеристик средств измерений общепромышленного применения, как правило, отсутствуют характеристики систематических и случайных составляющих погрешности, функции влияния, а также ряд других предусмотренных
ГОСТ 8.009.
Для средств измерений большинства типов характерно нормирование следующих метрологических характеристик:
- пределы допускаемой основной погрешности;
- пределы допускаемых дополнительных погрешностей при наибольших отклонениях действительных значений внешних влияющих величин от их значений, принятых соответствующими нормативными документами в качестве нормальных (далее - нормальные значения), либо максимально допускаемые значения коэффициентов влияния;
- некоторые динамические характеристики (амплитудно-частотные характеристики, интервал времени установления выходного сигнала и т.п.).
Типичные допущения в этих случаях:
- среднее квадратическое отклонение (далее - СКО) основной погрешности равно 0,5 предела допускаемой основной погрешности;
- СКО дополнительной погрешности равно 0,5 предела допускаемой дополнительной погрешности, функцию влияния принимают ступенчатой;
- математическое ожидание основной и дополнительных погрешностей равно нулю;
- в качестве математических ожиданий коэффициентов влияния принимают их нормированные максимально допускаемые значения.
3.2 При расчете погрешности измерений обычно отсутствует следующая исходная информация:
- характеристики корреляции между составляющими погрешности измерений;
- характеристики корреляции между погрешностями измерений текущих значений, по которым вычисляют средние или суммарные значения измеряемой величины и соответствующие погрешности этих значений;
- вид функции распределения внешних влияющих величин;
- частотные характеристики изменений измеряемой величины и внешних влияющих величин.
Типичные допущения в этих случаях:
- корреляция между составляющими погрешности измерений отсутствует;
- при отсутствии корреляции погрешность измерений текущих значений считают высокочастотной случайной величиной, а при сильной корреляции погрешность измерений текущих значений считают неизменной систематической величиной в интервале времени усреднения или суммирования текущих значений измеряемого параметра;
- функции распределения характеристик внешних влияющих величин принимают равномерными или нормальными;
- в большинстве случаев частотные характеристики изменений измеряемой величины и внешних влияющих величин не учитывают, так как инерционные свойства средств измерений не оказывают существенного влияния на погрешность измерений многих измеряемых технологических параметров.
3.3 При экспериментальных процедурах оценивания погрешности измерений обычно имеют место следующие ограничения исходной информации и условий эксперимента, т.е. заранее неизвестны:
- комбинация возможных значений внешних влияющих величин, вызывающая наибольшую погрешность измерений, а также их частотный спектр (чаще всего создать такую комбинацию практически невозможно);
- соотношение между погрешностью средств измерений, с помощью которых осуществляют эксперимент, и оцениваемой погрешностью;
- входящие в измерительный канал средства измерений (часть средств измерений), которые вносят существенный вклад в общую погрешность измерений.
Типичные допущения в этих случаях:
- случайную составляющую погрешности измерений считают высокочастотной и ее конкретные значения, полученные при повторении экспериментальных процедур в течение времени эксперимента, считают некоррелированными; вычисленное на основе таких экспериментальных данных СКО (дисперсию) случайной погрешности приписывают значительно

интервалам времени;
- систематические составляющие погрешности измерений, полученные в течение времени эксперимента, считают постоянными и приписывают значительно

интервалам времени;
- случайную комбинацию значений внешних влияющих величин, которая имела место при эксперименте, принимают как типичную либо как наихудшую (для погрешности измерений) в условиях эксплуатации средств измерений;
- погрешность выбранных для проведения экспериментов эталонов принимают несущественной;
- при проведении экспериментального оценивания погрешности части измерительного канала считают, что погрешность этой части составляет существенную долю в общей погрешности измерений.
3.4 Указанные в
3.1 -
3.3 и другие допущения обусловливают погрешности расчетных и экспериментальных оценок погрешности измерений.
3.5 Погрешности расчетных и экспериментальных оценок погрешности измерений определяют, как рекомендовано в
приложении А.
3.6 Расчет границ составляющих относительной погрешности измерений и суммирование этих составляющих, а также ориентировочный расчет погрешности оценок границ погрешности измерений выполняют на персональных ЭВМ с помощью автоматизированной системы расчета погрешности измерений
(приложение Б).
4. Условия удовлетворительной точности оценок
погрешности измерений
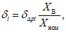
4.1 При наличии требований к точности результатов измерений наиболее важных параметров, используемых для реализации функций аварийной защиты и блокировки, контроля за соблюдением требований техники безопасности и экологической безопасности, контроля характеристик готовой продукции, общее условие удовлетворительной точности оценки границы погрешности измерений следующее:

(1)
где

- относительная погрешность (без учета знака) оценки границы относительной погрешности измерений, %
(приложение А);

- оценка границы относительной погрешности измерений (без учета знака), %;

- предел допускаемой относительной погрешности измерений без учета знака, % (устанавливают исходя из требований обеспечения эффективности реализации указанных выше функций независимо от точности оценок границ погрешности измерений);
Примеры для измерений в системе аварийной защиты
Задан предел допускаемой относительной погрешности измерений:

.
1 Получены:
- оценка границы относительной погрешности измерений

;
- относительная погрешность оценки границы относительной погрешности измерений

.
Таким образом

,

и

, т.е. точность оценки границы относительной погрешности измерений удовлетворительная, и такая оценка может быть использована по своему назначению, в том числе для решения о соответствии погрешности заданным требованиям.
2 Получены:
- оценка границы относительной погрешности измерений

;
- относительная погрешность оценки границы относительной погрешности измерений

.
Таким образом

,

и

, т.е. точность оценки границы относительной погрешности измерений неудовлетворительная, и такую оценку нельзя использовать по своему назначению, т.е. сделать вывод о том, что погрешность измерений удовлетворяет или не удовлетворяет заданным требованиям. Следовательно, необходимы дополнительные исследования для более точного оценивания погрешности измерений.
4.2 При наличии требований к точности измерений наиболее важных параметров, не перечисленных в
4.1, общее условие удовлетворительной точности оценки границы погрешности измерений следующее:

(2)
где

- модуль разности квадратов

и

.
Аналогично выражают указанное условие для точности оценок границ абсолютной погрешности измерений:
- для погрешности измерений наиболее важных технологических параметров, указанных в
4.1:

(3)
- для погрешности измерений наиболее важных технологических параметров, не указанных в
4.1:

(4)
где

- абсолютная погрешность (без учета знака) оценки границы абсолютной погрешности измерений
(приложение А);

- оценка границы абсолютной погрешности измерений (без учета знака);

- предел допускаемой абсолютной погрешности измерений без учета знака (устанавливают исходя из требований обеспечения эффективности реализации указанных выше функций независимо от точности оценок границ погрешности измерений);

- модуль разности квадратов

и

.
Эти условия используют, когда номинальное значение измеряемого технологического параметра равно нулю или близко к нулю.
4.3 Если отсутствуют требования к точности измерений, то точность оценки границы погрешности измерений считают удовлетворительной, если относительная погрешность оценки не превышает 30%.
4.4 Если погрешность оценки погрешности измерений не удовлетворяет условиям
4.1 - 4.3, то решение об использовании такой оценки погрешности измерений принимают при незначительных возможных экономических потерях или других неблагоприятных последствиях из-за погрешности измерений.
5. Алгоритм оценивания погрешности измерений
(рисунок 1)
Рисунок 1 - Алгоритм оценивания погрешности измерений
5.1 Расчет типичных составляющих погрешности измерений выполняют на основе исходной информации
(приложение В).
Результаты расчета выражают в виде границ составляющих относительной погрешности либо абсолютной погрешности в единицах измеряемой величины.
В качестве примера в
приложении Г приведены некоторые варианты измерительных каналов ИИС и АСУТП, типичные условия измерений и доли составляющих погрешности измерений, соответствующие компонентам измерительных каналов и внешним влияющим величинам.
5.2 Для параметров, не относящихся к наиболее важным, проводят суммирование составляющих, в результате чего получают оценку границы погрешности измерений. Типичные способы суммирования границ составляющих относительной погрешности измерений (при ограниченной исходной информации) приведены в
приложении Д.
5.3 Для наиболее важных параметров выделяют существенные составляющие погрешности измерений. Составляющую считают существенной, если квадрат значения ее границы более 20% квадрата значения границы погрешности измерений (полученного по результатам предварительного квадратичного суммирования составляющих погрешности измерений). Уровень существенности составляющей при арифметическом суммировании равен 30%. Для конкретного наиболее важного параметра такой уровень существенности составляющих погрешности измерений устанавливают в зависимости от значимости параметра.
5.3.1 Для существенных составляющих погрешности измерений наиболее важных параметров выявляют возможность их экспериментального определения.
Экспериментальное оценивание составляющих погрешности измерений достаточно корректно, если имеется возможность измерить с необходимой точностью величины на входе и выходе средств измерений и задать типичные комбинации значений внешней влияющей величины и измеряемой величины на входе в условиях эксплуатации средств измерений (методические составляющие погрешности измерений параметров обычно оценивают аналитически).
Экспериментальное оценивание существенных составляющих погрешности измерений при выполнении указанных условий может дать более точные оценки по сравнению с расчетом. Точность экспериментального оценивания составляющих погрешности измерений принимают удовлетворительной, если погрешность оценки не превышает 30% самой оценки.
5.4 Для существенных составляющих погрешности измерений наиболее важных параметров, которые не могут быть достаточно корректно определены экспериментально, выявляют причины неточности расчета границ составляющих погрешности из-за неполноты исходных данных и принятых в этой связи допущений, получают дополнительную информацию и проводят новый расчет.
Например, при расчете составляющей погрешности измерений давления, вызванной изменениями температуры воздуха, окружающего датчик, установленный вне помещения, приняты границы изменения температуры воздуха от минус 40 °C до плюс 30 °C (по
ГОСТ 16350 для холодного климатического района). Дополнительный анализ результатов измерений гидрометеослужбой в местности, где установлены датчики, показал, что граничные значения изменений температуры воздуха составляют от минус 25 °C до плюс 25 °C. Эти значения использованы в окончательном расчете погрешности измерений давления.
5.5 Оцененные расчетным или экспериментальным способом границы составляющих погрешности измерений суммируют, как указано в
приложении Д, принимая значение доверительной вероятности равным 1.
5.5.1 Если оценка границы погрешности измерений наиболее важного параметра весьма близка к заданному пределу допускаемой погрешности или соизмерима с допуском на измеряемый параметр (при отсутствии требований к точности измерений), то из-за неточности оценки могут возникнуть сомнения в возможности использования этой оценки, например при принятии решения о соответствии погрешности измерений заданным требованиям.
В этих случаях для наиболее важных параметров выполняют расчет погрешности оценки границы погрешности измерений
(приложение А). Такой расчет выполняют, если погрешность измерений приводит к чрезмерно большим потерям либо грубым нарушениям условий безопасности работы и экологической безопасности.
Решение об удовлетворительной точности оценки границы погрешности измерений принимают в соответствии с
разделом 4.
Если точность оценки границы погрешности измерений признают удовлетворительной, оценку используют по своему назначению.
Если точность оценки границы погрешности измерений признают неудовлетворительной, проводят исследования и выявляют дополнительную исходную информацию для более точного расчета существенных составляющих, полученных ранее с наибольшими погрешностями их оценок, либо выполняют более точное экспериментальное определение этих составляющих. Далее суммируют составляющие и рассчитывают погрешности оценки границы погрешности измерений.
Если погрешность оценки границы погрешности измерений наиболее важного параметра оказывается существенной и ею нельзя пренебречь, то решение о возможности использования такой оценки погрешности измерений принимают в соответствии с
4.4.
6. Упрощенный алгоритм оценивания погрешности измерений
Рисунок 2 - Упрощенный алгоритм оценивания
погрешности измерений
6.1 Этот алгоритм используют, если экономические потери или другие неблагоприятные последствия из-за погрешности измерений незначительны, или опыт оценивания погрешности расчетных оценок погрешности измерений показывает, что точность оценок удовлетворительна.
6.2 При реализации алгоритма выполняют следующие операции:
6.2.1 Расчет составляющих погрешности измерений (по
5.1).
6.2.2 Суммирование составляющих погрешности измерений параметров, не относящихся к наиболее важным (по
5.2).
6.2.3 Выделение существенных составляющих погрешности измерений наиболее важных параметров (по
5.3).
6.2.4 Получение дополнительной исходной информации для более точного расчета существенных составляющих погрешности измерений наиболее важных параметров (по
5.4).
6.2.5 Суммирование составляющих погрешности измерений наиболее важных параметров (по
5.5).
(рекомендуемое)
ПОГРЕШНОСТИ ОЦЕНОК ПОГРЕШНОСТИ ИЗМЕРЕНИЙ
ИЗ-ЗА ОГРАНИЧЕНИЙ ИСХОДНОЙ ИНФОРМАЦИИ, УСЛОВИЙ
ЭКСПЕРИМЕНТА И ПРИНЯТЫХ ТИПИЧНЫХ ДОПУЩЕНИЙ
А.1 Погрешности расчетных оценок границ погрешности измерений, вызванные некоторыми из типичных допущений в соответствии с
3.1 и
3.2
А.1.1 Принимают линейную (ступенчатую) функцию влияния при нормировании предела допускаемой дополнительной погрешности, приписанного максимальному допускаемому отклонению действительного значения
i-й внешней влияющей величины от нормального значения. Максимальную относительную погрешность оценки границы
i-й составляющей погрешности измерений

рассчитывают по формуле

(А.1)
где

- оценка границы
i-й составляющей относительной погрешности измерений при ступенчатой функции влияния;

- оценка границы
i-й составляющей относительной погрешности измерений при линейной функции влияния;

- одна из оценок

или

для принятого вида функции влияния;
А.1.2 Принимают нормальное распределение основной погрешности средства измерений (в пределах однотипной совокупности). Допускают равномерное распределение, принимая в качестве максимальной относительной погрешности оценки границы
q-й составляющей погрешности измерений

значение, равное 15%.
А.1.3 Принимают равномерное или нормальное распределение j-й внешней влияющей величины, в то время как в действительности ее распределение может быть нормальным или равномерным.
В этом случае максимальная относительная погрешность оценки границы
j-й составляющей погрешности измерений

не превышает 15%.
А.1.4 Принимают в качестве математического ожидания 1-го коэффициента влияния его нормированное максимально допускаемое значение. В этом случае принимают в качестве максимальной относительной погрешности границы 1-й составляющей погрешности измерений

значение, равное 25%.
А.1.5 Принимают некоррелированность составляющих погрешности измерений, в то время как некоторые из них вызваны одними и теми же внешними влияющими величинами. В этом случае максимальную относительную погрешность оценки границы погрешности измерений из-за неучета корреляции

между составляющими рассчитывают по формуле

(А.2)
где

- оценка границы относительной погрешности измерений без учета корреляции;

и

- оценки границ составляющих относительной погрешности измерений, вызванных одними и теми же внешними влияющими величинами.
А.1.6 Максимальную относительную погрешность расчетной оценки границы погрешности измерений, вызванную всеми или частью допущений, рассчитывают по формуле

(А.3)
где

- оценка границы относительной погрешности измерений;

и

- оценка границы составляющей и ее максимальная относительная погрешность из числа указанных в
А.1.1 -
А.1.4;

- максимальная относительная погрешность оценки границы погрешности измерений, вычисленная согласно
А.1.5.
А.2 Погрешности экспериментальных оценок границ погрешности измерений, вызванные некоторыми из типичных допущений в соответствии с
3.1 и
3.3
А.2.1 Принимают несущественными погрешности средств измерений, используемых для экспериментального оценивания i-й составляющей погрешности измерений.
В этом случае максимальную относительную погрешность экспериментальной оценки границы
i-й составляющей погрешности измерений

рассчитывают по формуле

(А.4)
где

- модуль экспериментальной оценки границы
i-й составляющей погрешности измерений;

- расчетная оценка границы составляющей относительной погрешности измерений, вносимой погрешностью эталонов, используемых при экспериментальном оценивании
i-й составляющей.
А.2.2 Экспериментальную оценку составляющей погрешности измерений, полученную в конкретных условиях, приписывают совокупности возможных значений внешних влияющих величин в процессе эксплуатации средств измерений. В этом случае максимальную относительную погрешность экспериментальной оценки границы
j-й составляющей относительной погрешности измерений

рассчитывают по формуле

(А.5)
где

- модуль экспериментальной оценки границы
j-й составляющей относительной погрешности измерений;

- модуль расчетной оценки границы
j-й составляющей относительной погрешности измерений, полученной по нормированным характеристикам средства измерений при условии наибольших возможных отклонений действительных значений внешних влияющих величин от нормальных значений.
| | ИС МЕГАНОРМ: примечание. Текст дан в соответствии с официальным текстом документа. | |
Примечание - Если номинальное значение измеряемого параметра равно нулю или близко к нулю, то вместо относительных значений

,

,

,

,

,

,

,

,

,

используют соответствующие оценки границ составляющих и самой абсолютной погрешности измерений

,

,

,

,

,

,

,

,

,

в единицах измеряемой величины.
А.2.3 Относительную разницу между границей доверительного интервала и оценкой границы составляющей погрешности измерений принимают относительной погрешностью оценки из-за ограниченного числа наблюдений в одинаковых условиях при эксперименте.
А.2.4 Если характеристики случайной и систематической составляющих погрешности измерений, полученные при ограниченном интервале времени эксперимента, приписывают значительно большему интервалу времени, то погрешность такой оценки определяют по результатам длительных исследований с целью получить характеристики автокорреляционных функций соответствующей составляющей погрешности измерений или изменений внешней влияющей величины. Для таких внешних влияющих величин, как температура, влажность, давление окружающего воздуха, характеристики автокорреляционных функций получают из статистических данных гидрометеослужбы. По статистическим данным также получают характеристики автокорреляционных функций изменений напряжения и частоты тока питающей сети, ряда других внешних влияющих величин.
А.3 Максимальную относительную погрешность расчетно-экспериментальной оценки границы погрешности измерений вычисляют путем квадратичного суммирования соответствующих частных погрешностей.
(рекомендуемое)
АВТОМАТИЗИРОВАННАЯ СИСТЕМА РАСЧЕТА ПОГРЕШНОСТИ ИЗМЕРЕНИЙ
НА ПЕРСОНАЛЬНЫХ ЭВМ. ОСНОВНЫЕ ПОЛОЖЕНИЯ
Б.1 Автоматизированная система расчета погрешности измерений на персональных ЭВМ (далее - АСРПИ) работает в диалоговом режиме.
Б.2 Границы относительной погрешности рассчитывают для измерений как текущих, так и средних значений (по точкам измерений и по интервалам времени усреднения 8 - 24 ч и 1 мес).
Б.3 АСРПИ позволяет вводить нерассчитываемые (заранее известные из литературных и других источников) составляющие погрешности измерений (методические погрешности, погрешности коэффициента расхода, коэффициента коррекции расхода на число Рейнольдса, коэффициента коррекции расхода на влажность газа, коэффициента расширения, коэффициента сжимаемости газа, погрешности определения плотности среды и т.п.).
Б.4 АСРПИ позволяет выводить на печатающее устройство значения составляющих погрешности измерений (квадраты значений оценок границ составляющих при квадратичном суммировании составляющих).
Б.5 АСРПИ предусматривает три способа учета дополнительных погрешностей средств измерений:
- по введенному максимальному отклонению действительного значения внешней влияющей величины от нормального значения (при нормировании коэффициентов влияния);
- по введенному ответу "ДА" или "НЕТ" на вопрос о воздействии внешней влияющей величины (при нормировании пределов допускаемых дополнительных погрешностей при максимально допускаемом отклонении действительного значения внешней влияющей величины от нормального значения);
- автоматически, без вопросов к пользователю (например, при воздействии изменения частоты тока питания, атмосферного давления окружающего воздуха).
Б.6 Автоматизированная база данных может быть корректирована в диалоговом режиме и содержит следующие сведения о средствах измерений и типовых измерительных каналах:
а) сведения о средствах измерений:
- тип (модель); | | основные реквизиты для поиска |
- пределы измерений; |
- класс точности; |
- основную и дополнительные погрешности; |
- диапазоны значений внешних влияющих величин; |
- дополнительную информацию (например, номинальное рабочее давление для дифференциальных манометров, многоканальность для вторичных приборов, другие характеристики, для которых нормированы погрешности средств измерений); |
- источник информации (стандарт, технические условия, эксплуатационные документы и т.п.); |
б) сведения о типовых измерительных каналах:
- условное обозначение для автоматического поиска;
- наименование с обобщенным составом средств измерений;
- границы относительной погрешности измерительного канала в типовых условиях эксплуатации (лабораторные условия, цех, пультовое помещение и т.п.).
(рекомендуемое)
РАСЧЕТ ТИПИЧНЫХ СОСТАВЛЯЮЩИХ ПОГРЕШНОСТИ ИЗМЕРЕНИЙ
В.1 Расчет составляющих относительной погрешности измерений текущих значений параметров (кроме измерений расхода с помощью сужающих устройств)
Примечание - Если номинальное значение измеряемого параметра равно нулю или близко к нулю, рассчитывают составляющие абсолютной погрешности измерений. Для этого случая формулы преобразуют.
В.1.1 Границу составляющей относительной погрешности, вызываемой основной погрешностью
i-го средства измерений,

рассчитывают по формуле

(В.1)
где

- предел допускаемой относительной основной погрешности
i-го средства измерений;

- предел допускаемой абсолютной основной погрешности
i-го средства измерений;

- предел допускаемой приведенной основной погрешности
i-го средства измерений, нормированной от разности пределов измерений;
Xном - номинальное значение измеряемого параметра, для которого рассчитывают погрешность измерений;
XВ, XН - верхний и нижний пределы измерений i-го средства измерений (в тех же единицах, что и Xном).
Если

нормирован для верхнего предела измерений, то
XН = 0.
В.1.2 Границу составляющей относительной дополнительной погрешности, вызываемой j-й внешней влияющей величиной, рассчитывают:
а) при нормировании пределов допускаемой относительной

, абсолютной

и приведенной

дополнительной погрешностей при наибольших отклонениях действительного значения внешней влияющей величины от нормального значения по формуле

(В.2)
б) при нормировании пределов допускаемых значений коэффициентов влияния по формуле

(В.3)
где

- предел допускаемого относительного значения коэффициента влияния (

- предел допускаемой дополнительной относительной погрешности при отклонении действительного значения
j-й влияющей величины на

);

- предел допускаемого абсолютного значения коэффициента влияния;

- предел допускаемого приведенного значения коэффициента влияния, нормированного от разности пределов измерений;

- наибольшее отклонение действительного значения внешней влияющей величины от нормального значения (в единицах

).
Если

нормирован от верхнего предела измерений, то
XН = 0.
В.2 Расчет составляющих относительной погрешности измерений текущих значений расхода с помощью сужающих устройств
В.2.1 Границу составляющей относительной погрешности измерений расхода, вызываемой погрешностями коэффициента расхода, коэффициента расширения, коэффициента коррекции расхода на число Рейнольдса, коэффициента коррекции расхода на влажность газа, рассчитывают по формуле

(В.4)
где

- среднее квадратическое отклонение погрешности указанных коэффициентов (из расчета сужающего устройства).
В.2.2 Границу составляющей относительной погрешности измерений расхода, вызываемой погрешностью коэффициента сжимаемости газа, погрешностью определения (измерения) плотности среды, рассчитывают по формуле

(В.5)
где

- среднее квадратическое отклонение погрешности указанного коэффициента или погрешности определения (измерений) плотности среды (из расчета сужающего устройства).
В.2.3 Границу составляющей относительной погрешности измерений расхода, вызываемой погрешностью средства измерений перепада давления, нормированной по расходу, рассчитывают по формуле

(В.6)
где

- граница составляющей относительной погрешности измерений перепада давления, полученная в соответствии с
В.1 по характеристике основной или дополнительной погрешности, нормированной по расходу.
Таким же образом вычисляют границу составляющей погрешности измерений расхода по характеристике основной или дополнительной погрешности, нормированной по перепаду давления, если перед данным средством измерений в измерительном канале находится средство измерений, выходной сигнал которого прямо пропорционален расходу.
В.2.4 Границу составляющей относительной погрешности измерений расхода, вызываемой погрешностью средства измерений перепада давления, нормированной по перепаду давления (если перед данным средством измерений в измерительном канале нет средства измерений, выходной сигнал которого прямо пропорционален расходу), рассчитывают по формуле

(В.7)
где

- граница составляющей относительной погрешности измерений перепада давления, полученная в соответствии с
В.1 по характеристике основной или дополнительной погрешности, нормированной по перепаду давления;
XВ - верхний предел измерений расхода;
Xном - номинальное (среднее) значение измеряемого расхода.
В.2.5 Границу составляющей относительной погрешности измерений расхода, вызываемой погрешностью измерений абсолютного давления перед сужающим устройством, рассчитывают:
а) при измерениях абсолютного давления средствами измерений абсолютного давления по формуле

(В.8)
где

- граница относительной погрешности измерений абсолютного давления, полученная по характеристикам основной и дополнительных погрешностей
i-го средства измерений абсолютного давления в соответствии с
В.1 и
Д.1;
б) при измерениях абсолютного давления средствами измерений избыточного давления и барометром по формуле

(В.9)
где

- граница относительной погрешности измерений избыточного давления перед сужающим устройством, полученная в соответствии с
В.1 и
Д.1;

- граница относительной погрешности барометра;
Pи - номинальное (среднее) значение избыточного давления перед сужающим устройством.
В.2.6 Границу составляющей относительной погрешности измерений расхода, вызываемой погрешностью измерений температуры перед сужающим устройством, рассчитывают по формуле

(В.10)
где

- граница составляющей относительной погрешности измерений температуры, полученная в соответствии с
В.1 и
Д.1;
t - номинальное (среднее) значение температуры, °C.
Если t равно нулю или близко к нулю, то

(В.11)
где

- граница абсолютной погрешности измерений температуры, °C.
В.3 Составляющие относительной погрешности измерений средних или интегральных значений за заданный интервал времени рассчитывают по составляющим погрешности измерений текущих значений, умноженным на коэффициент снижения погрешности (отношение границ погрешностей измерений средних и текущих значений). Эти коэффициенты определяют, если известны значения нормированной автокорреляционной функции основной погрешности (изменений внешней влияющей величины для дополнительной погрешности) в заданном интервале времени усреднения (интегрирования) и ее математического ожидания (математического ожидания отклонений действительных значений от нормальных значений внешней влияющей величины для дополнительных погрешностей).
При числе измерений более 20 текущих значений в течение интервала времени усреднения коэффициент снижения погрешности С рассчитывают по формуле

(В.12)
где

- отношение математического ожидания основной погрешности (отклонений действительного значения от нормального значения влияющей величины) к пределу допускаемой погрешности (предельному отклонению);
r - значение нормированной автокорреляционной функции изменений основной погрешности (внешней влияющей величины) для заданного интервала времени усреднения.
Пример - На основе обработки результатов наблюдений в течение года температуры в помещении, в котором установлены средства измерений, получены следующие данные:
- математическое ожидание температуры воздуха близко к нормальному значению (20 °C), т.е. М = 0;
- нормированная автокорреляционная функция изменений температуры воздуха для интервалов времени 24 ч и 1 мес имеет значения соответственно 0,7 и 0,2.
Эти значения (0,7 и 0,2) используют в качестве коэффициентов снижения температурной составляющей погрешности измерений средних значений параметра для интервалов времени усреднения 24 ч и 1 мес.
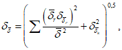
(рекомендуемое)
СОСТАВЛЯЮЩИЕ ПОГРЕШНОСТИ НЕКОТОРЫХ ТИПИЧНЫХ
ИЗМЕРИТЕЛЬНЫХ КАНАЛОВ ИИС И АСУТП
1 Канал измерений давления датчиком типа Сапфир 22ДИ класса точности 0,5 с каналом высокого уровня устройства связи с объектом (далее - УСО) АСУТП (блок нагрузок БН-9 класса точности 0,1; АЦП А611-8/2 класса точности 0,3/0,2).
2 Канал измерений температуры (800 °C) термопарой ТХА с нормирующим преобразователем типа III-78 класса точности 0,4 и каналом высокого уровня УСО АСУТП.
3 Канал измерений температуры (1100 °C) термопарой ТПП с каналом низкого уровня УСО АСУТП (коммутатор А612-5 класса точности 0,25; усилитель А613-1 класса точности 0,4; АЦП А611-8/2).
4 Канал измерений температуры (1100 °C) термопарой ТПП с нормирующим преобразователем типа III-78 и каналом высокого уровня УСО АСУТП.
5 Канал измерений расхода природного газа с помощью трех каналов, включающих в себя:
- диафрагму и дифманометр типа Сапфир 22ДД класса точности 0,5 с блоком извлечения квадратного корня типа БИК-1 класса точности 0,25 и каналом высокого уровня УСО АСУТП;
- датчик абсолютного давления типа Сапфир 22ДА класса точности 0,5 с каналом высокого уровня УСО АСУТП;
- термометр сопротивления ТСМ класса точности С с нормирующим преобразователем типа III-79 класса точности 0,4 и каналом высокого уровня УСО АСУТП.
6 Канал измерений расхода электромагнитным расходомером типа ИР-51 класса точности 1 с каналом высокого уровня УСО АСУТП.
7 Канал измерений содержания кислорода в газовой смеси газоанализатором типа ГЛ 5108 класса точности 10,0 с каналом высокого уровня УСО АСУТП.
8 Канал измерений содержания кислорода в газовой смеси газоанализатором типа МН 5130м класса точности 2,5 с каналом высокого уровня УСО АСУТП.
Г.2 Условия измерений:
- значения измеряемых величин составляют 3/4 верхних пределов (диапазонов) измерений средств измерений, кроме канала с термометром сопротивления ТСМ, где это соотношение составляет 1/5;
- температура окружающего воздуха для всех средств измерений, кроме датчиков, от 15 °C до 30 °C, для датчиков от 15 °C до 35 °C;
- отклонения действительных значений от нормальных значений: напряжения питания - 10%, частоты тока питания - 0,66%;
- имеют место вибрация, помехи различного вида и отклонения действительных значений от номинальных или градуировочных значений сопротивления нагрузки;
- остальные внешние влияющие величины не действуют.
Г.3 Доли составляющих погрешности измерений, вносимых средствами измерений, а также доли составляющих погрешности измерений (основной и дополнительных, вызываемых внешними влияющими величинами), представлены в таблицах Г.1 и
Г.2 соответственно.
Таблица Г.1
Доля составляющих погрешности измерений, вносимых
средствами измерений, входящими в измерительный канал
Вариант измерительного канала | Доля, % |
Средства измерений, входящие в канал |
Датчики и газоанализаторы | Нормирующие преобразователи | Каналы УСО АСУТП |
1 | 87 | - | 13 |
2 | 91 | 7 | 2 |
3 | 57 | - | 43 |
4 | 46 | 16 | 38 |
5 | 93 | 4 | 3 |
6 | 85 | - | 15 |
7 | 91 | - | 9 |
8 | 87 | - | 13 |
Таблица Г.2
Доля составляющих погрешности измерений (основной
и дополнительных, вызываемых внешними влияющими величинами)
Основная и дополнительные погрешности | Доля, % |
Вариант измерительного канала |
1 | 2 | 3 | 4 | 5 | 6 | 7 | 8 |
Основная погрешность | 41 | 10 | 54 | 38 | 17 | 34 | 26 | 9 |
Дополнительные погрешности, которые вызывают следующие влияющие величины (факторы): | | | | | | | | |
напряжение питания | - | 1 | - | 5 | - | 1 | - | 35 |
частота тока питания | - | - | - | 2 | - | - | - | 1 |
температура окружающего воздуха | 34 | 1 | 26 | 9 | 33 | 27 | 35 | 13 |
вибрация | 19 | - | - | 5 | 9 | - | - | - |
сопротивление нагрузки | 6 | 1 | - | 5 | 3 | 1 | - | - |
продолжительность эксплуатации | - | 84 | 19 | 26 | - | - | - | - |
помехи различного вида | - | 2 | - | 10 | 1 | - | - | - |
линия связи с датчиком | - | 1 | - | - | - | 1 | - | - |
давление измеряемой среды | - | - | - | - | 1 | - | - | - |
температура измеряемой среды | - | - | - | - | - | 27 | 12 | - |
электропроводность измеряемой среды | - | - | - | - | - | 8 | - | - |
расход анализируемой смеси | - | - | - | - | - | - | 4 | 1 |
влажность измеряемой среды | - | - | - | - | - | - | 7 | - |
неизмеряемые примеси | - | - | - | - | - | - | - | 35 |
остальные факторы | - | - | - | - | 36 | 1 | 16 | 6 |
(рекомендуемое)
ТИПИЧНЫЕ СПОСОБЫ СУММИРОВАНИЯ ГРАНИЦ
СОСТАВЛЯЮЩИХ ОТНОСИТЕЛЬНОЙ ПОГРЕШНОСТИ ИЗМЕРЕНИЙ
(ПРИ ОГРАНИЧЕННОЙ ИСХОДНОЙ ИНФОРМАЦИИ)
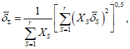
Д.1 При последовательном (одноканальном) соединении средств измерений и вспомогательных устройств в измерительном канале оценку границы относительной погрешности измерений

вычисляют по формуле

(Д.1)
где

- оценка границы
i-й составляющей относительной погрешности измерений
(приложение В);
K = 1 (для оценок границ погрешности измерений параметров, не относящихся к наиболее важным);
K = 1,2 (для оценок границ погрешности измерений наиболее важных параметров).
При измерениях наиболее важных параметров, указанных в
4.1, оценку границы относительной погрешности измерений получают арифметическим суммированием оценок границ составляющих:

(Д.2)
Учитывают, что получаемая оценка

существенно завышена.
Д.2 При соединении средств измерений и вспомогательных устройств в соответствии с
рисунком Д.1 оценку границы относительной погрешности измерений средних значений

вычисляют по формуле

(Д.3)
где m - число однотипных параллельных ветвей (точек измерений);

- оценка границы
i-й составляющей относительной погрешности параллельной ветви измерительной схемы из числа
r составляющих параллельной ветви (вычисляют в соответствии с
В.1 или
В.3);

- оценка границы
j-й составляющей относительной погрешности общей ветви измерительной схемы из числа
p составляющих общей ветви (вычисляют в соответствии с
В.2 или
В.3);
Примечание к
Д.1 и
Д.2 - Если номинальное значение измеряемого параметра равно нулю или близко к нулю, рассчитывают оценку границы абсолютной погрешности измерений. При этом суммируют соответствующие значения границ составляющих абсолютной погрешности в единицах измеряемой величины.
X1, ..., Xi, ..., Xm - значения измеряемого параметра
в точках 1, ..., i, ..., m; Xср - среднее значение
измеряемого параметра
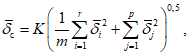
Д.3 При определении суммарного расхода нескольких потоков, измеренных расходомерами в каждом потоке, оценку границы относительной погрешности определения суммарного расхода

вычисляют по формуле

(Д.4)
где

- оценка границы относительной погрешности измерений расхода
S-го потока;
XS - среднее значение расхода S-го потока или значение расхода в этом потоке, для которого рассчитывают погрешность измерений суммарного расхода;
r - число потоков.
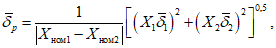
Д.4 При определении разности двух измеряемых параметров оценку границы относительной погрешности разности результатов измерений этих параметров

вычисляют по формуле

(Д.5)
где

- модуль разности номинальных значений 1-го
Xном1 и 2-го
Xном2 измеряемых параметров, для которого рассчитывают оценку погрешности их разности;

и

- оценки границ относительных погрешностей измерений 1-го и 2-го параметров.
При близости Xном1 и Xном2 вычисляют оценку границы абсолютной погрешности разности результатов измерений параметров:

(Д.6)
где

и

- оценки границ абсолютных погрешностей измерений 1-го и 2-го параметров.
| | Государственная система обеспечения единства измерений. Методики выполнения измерений |
[2] | | Характеристики погрешности средств измерений в реальных условиях эксплуатации. Методы расчета |
[3] | | Государственная система обеспечения единства измерений. Результаты и характеристики погрешности измерений. Формы представления. Способы использования при испытаниях образцов продукции и контроле их параметров |
| | Государственная система обеспечения единства измерений. Выбор методов и средств измерений при разработке методик выполнения измерений. Общие положения |