Главная // Актуальные документы // ПриказСПРАВКА
Источник публикации
СПб.: ФГУП "ВНИИМ им. Д.И. Менделеева", 2006
Примечание к документу
Текст данного документа приведен с учетом
поправки, опубликованной в "ИУС", N 6, 2009.
Документ
введен в действие с 01.06.2006.
Взамен МИ 2236-92.
Название документа
"Р 50.2.050-2005. Рекомендации по метрологии. Государственная система обеспечения единства измерений. Средства поверки одинакового уровня точности. Проверка качества поверочных и калибровочных работ посредством межлабораторных сличений. Алгоритмы обработки результатов измерений"
(утв. и введены в действие Приказом Ростехрегулирования от 28.12.2005 N 347-ст)
"Р 50.2.050-2005. Рекомендации по метрологии. Государственная система обеспечения единства измерений. Средства поверки одинакового уровня точности. Проверка качества поверочных и калибровочных работ посредством межлабораторных сличений. Алгоритмы обработки результатов измерений"
(утв. и введены в действие Приказом Ростехрегулирования от 28.12.2005 N 347-ст)
Утверждены и введены в действие
агентства по техническому
регулированию и метрологии
от 28 декабря 2005 г. N 347-ст
РЕКОМЕНДАЦИИ ПО МЕТРОЛОГИИ
ГОСУДАРСТВЕННАЯ СИСТЕМА ОБЕСПЕЧЕНИЯ ЕДИНСТВА ИЗМЕРЕНИЙ
СРЕДСТВА ПОВЕРКИ ОДИНАКОВОГО УРОВНЯ ТОЧНОСТИ
ПРОВЕРКА КАЧЕСТВА ПОВЕРОЧНЫХ И КАЛИБРОВОЧНЫХ
РАБОТ ПОСРЕДСТВОМ МЕЖЛАБОРАТОРНЫХ СЛИЧЕНИЙ.
АЛГОРИТМЫ ОБРАБОТКИ РЕЗУЛЬТАТОВ ИЗМЕРЕНИЙ
Р 50.2.050-2005
Группа Т80
Дата введения
1 июня 2006 года
1 РАЗРАБОТАНЫ Федеральным государственным унитарным предприятием "Всероссийский научно-исследовательский институт метрологии им. Д.И. Менделеева" (ФГУП "ВНИИМ им. Д.И. Менделеева") Федерального агентства по техническому регулированию и метрологии
ВНЕСЕНЫ Управлением метрологии Федерального агентства по техническому регулированию и метрологии
2 УТВЕРЖДЕНЫ И ВВЕДЕНЫ В ДЕЙСТВИЕ
Приказом Федерального агентства по техническому регулированию и метрологии от "28" декабря 2005 г. N 347-ст
3 ВЗАМЕН МИ 2236-92
Настоящие рекомендации распространяются на средства поверки одинакового уровня точности, применяемые в поверочных и калибровочных лабораториях, и устанавливают алгоритмы обработки результатов межлабораторных сличений (МЛС).
В настоящих рекомендациях использованы ссылки на следующие стандарты:
ГОСТ 8.207-76 Государственная система обеспечения единства измерений. Прямые измерения с многократными наблюдениями. Методы обработки результатов наблюдений. Основные положения
ГОСТ Р ИСО 5725-2002 (части 1 - 6) Точность (правильность и прецизионность) методов и результатов измерений
Примечание - При пользовании настоящими рекомендациями целесообразно проверить действие ссылочных нормативных документов на территории Российской Федерации по соответствующему указателю нормативных документов, составленному по состоянию на 1 января текущего года, и по соответствующим информационным указателям, опубликованным в текущем году. Если ссылочный документ заменен (изменен), то при пользовании настоящими рекомендациями следует руководствоваться замененным (измененным) нормативным документом. Если ссылочный документ отменен без замены, то положение, в котором дана ссылка на него, применяется в части, не затрагивающей эту ссылку.
3 ТЕРМИНЫ, ОПРЕДЕЛЕНИЯ И СОКРАЩЕНИЯ
3.1 В настоящих рекомендациях применяют следующие термины с соответствующими определениями:
средства поверки одинакового уровня точности: Средства поверки конкретной поверочной схемы, относящиеся к одному разряду или имеющие один и тот же предел допускаемой погрешности.
Примечание - Под средствами поверки понимают эталоны определенного разряда или комплекс эталонных (образцовых) средств измерений и вспомогательных средств, участвующих в передаче размера единицы величины.
мера сравнения: Мера, стандартный образец, посредством которых проводят сличения средств поверки одинакового уровня точности.
3.2 В настоящих рекомендациях применяют следующие сокращения:
МЛС - межлабораторные сличения;
СКО - среднее квадратическое отклонение;
ГНМЦ - государственный научный метрологический центр;
ЦСМ - центр стандартизации и метрологии.
4.1 МЛС являются одним из способов проверки качества поверочных и калибровочных работ.
4.2 МЛС средств поверки одинакового уровня точности проводят с целью проверки погрешностей результатов измерений, выполняемых при поверке (калибровке), на соответствие указанных в поверочной схеме.
4.3 В МЛС в качестве меры сравнения используют меру более высокого разряда по сравнению со сличаемыми средствами поверки, либо стабильную меру одинакового с ними уровня точности.
4.4 Сличения проводят ГНМЦ, территориальные центры (ЦСМ), метрологические службы юридических лиц в соответствии с их специализацией.
4.4.1 ГНМЦ организовывают сличения средств поверки ЦСМ и участвуют в них.
4.4.2 ЦСМ организовывают сличения средств поверки предприятий региона и участвуют в них.
4.4.3 Метрологические службы юридических лиц организовывают сличения средств поверки предприятий министерства (ведомства) и участвуют в них.
4.5 Предприятие-организатор направляет предприятиям-участникам (далее - лаборатория) меру сравнения для МЛС.
4.6 Сличения подразделяют на: круговые, радиальные, комбинированные.
4.6.1 При круговых сличениях предприятие-организатор направляет одной из лабораторий меру сравнения с целью сличения со средством поверки, далее меру сравнения передают следующей лаборатории. Последовательно проводят сличения средств поверки всех лабораторий с мерой сравнения предприятия-организатора. По завершении полного круга сличений меру сравнения возвращают предприятию - организатору сличений.
4.6.2 При радиальных сличениях меру сравнения предприятия-организатора после каждого очередного сличения со средством поверки лаборатории возвращают предприятию - организатору сличений для уточнения метрологических характеристик меры сравнения.
4.6.3 Комбинированные сличения предполагают комбинацию круговых и радиальных сличений.
4.7 Выбор вида сличений зависит от стабильности меры сравнения.
Если нестабильность меры сравнения за время проведения сличений незначительна (не превышает 20% от погрешности меры сравнения), то проводят круговые сличения.
Если нестабильность меры сравнения за время проведения сличений значительна (превышает 20% от погрешности меры сравнения), то проводят радиальные или комбинированные сличения.
4.8 Следует различать сличения с однозначными мерами и сличения с многозначными мерами.
Если средство поверки предназначено для передачи определенного значения величины, то для МЛС направляют меру сравнения этого же значения величины.
Если средство поверки предназначено для передачи нескольких значений величины, то для МЛС направляют меры сравнения, значения которых соответствуют этим значениям величины.
4.9 Чем больше средств поверки, участвующих в одной серии сличений, тем точнее выводы при анализе результатов измерений при сличении.
4.10 Организация и порядок проведения МЛС установлены в рекомендациях по метрологии
[1].
4.11 При МЛС выполняют измерения в соответствии с методикой поверки (калибровки) проверяемых средств поверки, если методика выполнения измерений для конкретных МЛС не предусмотрена.
4.12 Характеристики погрешности средств поверки и характеристики погрешности метода поверки известны до проведения МЛС и они, как правило, представлены пределами доверительных границ погрешности для вероятности 0,95.
5 АЛГОРИТМЫ ОБРАБОТКИ РЕЗУЛЬТАТОВ ИЗМЕРЕНИЙ ПРИ МЕЖЛАБОРАТОРНЫХ СЛИЧЕНИЯХ
5.1 Предварительный анализ результатов измерений
5.1.1 Измерения при сличениях выполняют сотрудники лаборатории, участвующей в МЛС.
5.1.2 При сличении многозначных мер результаты измерений фиксируют на тех отметках меры, которые предусмотрены методикой поверки этих мер.
Примечание - Число отметок при сличении многозначной меры может корректировать предприятие - организатор МЛС.
5.1.3 Число измерений и условия их выполнения при МЛС должны соответствовать методике поверки конкретных мер.
5.1.4 Результаты многократных измерений, полученные в каждой участвующей в МЛС лаборатории, подлежат предварительному статистическому анализу. При этом вычисляют среднее арифметическое значение и среднее квадратическое отклонение (СКО) результатов измерений в соответствии с требованиями
ГОСТ 8.207 по формулам:

(1)
где xij - j-й результат измерения в i-й лаборатории;

- среднее арифметическое значение результатов измерений в
i-й лаборатории;
Si - среднее квадратичное отклонение результатов измерений, полученных в i-й лаборатории;
n - число результатов измерений в соответствии с методикой поверки (калибровки).
Примечание - Число измерений при передаче размера единицы величины обычно не превышает десяти, поэтому выполнить проверку принадлежности полученных результатов измерений определенному распределению не представляется возможным. Учитывая множество случайных факторов, действующих при выполнении измерений, полагаем, что получаемые при МЛС результаты измерений можно считать принадлежащими нормальному распределению. Многолетняя метрологическая практика не опровергла этого положения (национальные и международные документы широко используют это положение), к тому же это предположение позволяет расширить возможности анализа результатов измерений.
5.2 Вычисление характеристик повторяемости, воспроизводимости результатов измерений, полученных в лабораториях, принявших участие в МЛС
5.2.1 Для вычисления характеристик повторяемости, воспроизводимости результатов измерений, полученных в лабораториях, принявших участие в МЛС, предварительно проверяют равноточность этих результатов измерений.
5.2.1.1 Для проверки значимости различий оценок дисперсий результатов измерений используют критерий Кохрена

(2)
где L - число лабораторий, участвующих в МЛС;

- оценка дисперсии экспериментальных данных
i-й лаборатории.
Если вычисленная тестовая статистика критерия Кохрена C меньше 1%-го критического значения при числе результатов измерений, равном n, и числе лабораторий, равном L, то значимых расхождений в оценках дисперсий данных не наблюдается.
Если вычисленная тестовая статистика критерия Кохрена C превышает 1%-е критическое значение, то результаты измерений данной лаборатории следует исключить при вычислении характеристик повторяемости и воспроизводимости.
Критические значения для статистики критерия Кохрена, зависящие от числа результатов измерений
n, выполненных при МЛС, и числа лабораторий, участвующих в МЛС, приведены в таблице
приложения А.
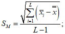
5.2.1.2 Для проверки, не является ли наибольшее (наименьшее) значение выбросом среди всех средних арифметических, полученных в лабораториях, участвующих в МЛС, используют критерий Граббса

(3)
где

- наибольшее (наименьшее) среднее арифметическое результатов измерений конкретной лаборатории;

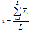
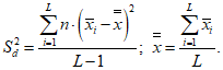
- межлабораторное среднее арифметическое,

;
SM - СКО средних арифметических результатов измерений, полученных при МЛС, характеризующее межлабораторный разброс средних арифметических,
L - число лабораторий, участвующих в сличениях.
Если вычисленные значения тестовой статистики критерия Граббса меньше 1%-го критического значения, наибольшее и наименьшее средние арифметические результатов измерений не являются выбросами.
Если вычисленные значения тестовой статистики критерия Граббса превышают 1%-е критическое значение, то результаты измерений данной лаборатории следует исключить при вычислении характеристик повторяемости и воспроизводимости.
Критические значения для статистики критерия Граббса, зависящие от числа лабораторий, участвующих в МЛС, и уровня значимости, приведены в таблице
приложения Б.
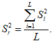
5.2.2 Оценки внутрилабораторной, межлабораторной дисперсий и оценку дисперсии воспроизводимости вычисляют в соответствии с требованиями ГОСТ Р ИСО 5725.
5.2.2.1 Оценку дисперсии повторяемости (внутрилабораторной сходимости)

результатов измерений вычисляют по формуле

(4)
5.2.2.2 Оценку межлабораторной дисперсии

вычисляют по формуле

(5)
где

(6)
5.2.2.3 Оценку дисперсии воспроизводимости

вычисляют в соответствии с требованиями ГОСТ Р ИСО 5725 по формуле

(7)
| | ИС МЕГАНОРМ: примечание. В официальном тексте документа, видимо, допущена опечатка: имеется в виду ГОСТ Р ИСО 5725, а не ГОСТ ИСО Р 5725. | |
5.2.2.4 Вышеприведенные оценки дисперсий являются важнейшими характеристиками, по которым проверяют качество поверочных и калибровочных работ, выполненных в других лабораториях, не принявших участие в МЛС. Соответствующие процедуры изложены в ГОСТ ИСО Р 5725.
6 АНАЛИЗ РЕЗУЛЬТАТОВ МЕЖЛАБОРАТОРНЫХ СЛИЧЕНИЙ
6.1 Оценку систематической погрешности результатов измерений, выполняемых в i-й лаборатории при поверке (калибровке), оценивают по формуле

(8)
где x0 - действительное значение меры сравнения.
6.2 Погрешности результатов измерений, выполняемых в i-й лаборатории при поверке (калибровке), признают соответствующими поверочной схеме, если выполнено условие

(9)
где t - коэффициент Стьюдента, значение которого зависит от числа степеней свободы f = n - 1 и выбранной доверительной вероятности p = 0,95;

- пределы доверительных границ погрешности средств поверки для доверительной вероятности 0,95, указанные в поверочной схеме.
6.3 Если для некоторых лабораторий, участвующих в МЛС,
условие (9) не выполнено, проводят анализ результатов измерений, погрешностей средств поверки, выявляют нарушения условий выполнения измерений. После этого необходимо повторное участие этих лабораторий в МЛС.
6.4 Если
условие (9) не выполнено для значительного числа лабораторий (30%), то проводят анализ меры сравнения, условия ее доставки, выполняют внеочередную проверку меры сравнения и ее стабильности, а также оценивают пределы доверительных границ погрешностей средств и методов поверки, указанных в соответствующей поверочной схеме.
(справочное)
КРИТИЧЕСКИЕ ЗНАЧЕНИЯ ДЛЯ СТАТИСТИКИ КРИТЕРИЯ КОХРЕНА
L | n = 4 | n = 5 | n = 6 | n = 8 | n = 10 |
1% | 5% | 1% | 5% | 1% | 5% | 1% | 5% | 1% | 5% |
2 | 0,979 | 0,939 | 0,958 | 0,906 | 0,937 | 0,853 | 0,899 | 0,833 | 0,867 | 0,801 |
3 | 0,883 | 0,798 | 0,834 | 0,746 | 0,793 | 0,677 | 0,734 | 0,653 | 0,691 | 0,617 |
4 | 0,781 | 0,684 | 0,721 | 0,629 | 0,676 | 0,560 | 0,613 | 0,537 | 0,570 | 0,502 |
5 | 0,696 | 0,598 | 0,633 | 0,544 | 0,588 | 0,478 | 0,526 | 0,456 | 0,485 | 0,424 |
6 | 0,626 | 0,532 | 0,564 | 0,480 | 0,520 | 0,418 | 0,461 | 0,398 | 0,423 | 0,368 |
7 | 0,569 | 0,480 | 0,508 | 0,431 | 0,466 | 0,373 | 0,411 | 0,354 | 0,375 | 0,326 |
8 | 0,521 | 0,438 | 0,463 | 0,391 | 0,423 | 0,336 | 0,370 | 0,319 | 0,337 | 0,293 |
9 | 0,481 | 0,403 | 0,425 | 0,358 | 0,387 | 0,07 | 0,338 | 0,290 | 0,307 | 0,266 |
10 | 0,447 | 0,373 | 0,393 | 0,331 | 0,352 | 0,282 | 0,311 | 0,267 | 0,281 | 0,244 |
12 | 0,392 | 0,326 | 0,343 | 0,288 | 0,310 | 0,244 | 0,268 | 0,230 | 0,242 | 0,210 |
15 | 0,332 | 0,276 | 0,288 | 0,242 | 0,259 | 0,203 | 0,223 | 0,191 | 0,200 | 0,174 |
20 | 0,265 | 0,221 | 0,229 | 0,192 | 0,205 | 0,160 | 0,175 | 0,150 | 0,157 | 0,136 |
30 | 0,191 | 0,159 | 0,164 | 0,138 | 0,176 | 0,114 | 0,123 | 0,106 | 0,110 | 0,096 |
40 | 0,151 | 0,126 | 0,128 | 0,108 | 0,114 | 0,089 | 0,096 | 0,083 | 0,085 | 0,075 |
60 | 0,107 | 0,090 | 0,090 | 0,077 | 0,080 | 0,062 | 0,067 | 0,058 | 0,059 | 0,052 |
120 | 0,059 | 0,050 | 0,049 | 0,042 | 0,043 | 0,034 | 0,036 | 0,031 | 0,032 | 0,028 |
| 0,000 | 0,000 | 0,000 | 0,000 | 0,000 | 0,000 | 0,000 | 0,000 | 0,000 | 0,000 |
(справочное)
КРИТИЧЕСКИЕ ЗНАЧЕНИЯ ДЛЯ СТАТИСТИКИ КРИТЕРИЯ ГРАББСА
n(L) | Одно наибольшее или одно наименьшее |
Свыше 1% | Свыше 5% |
3 | 1,155 | 1,155 |
4 | 1,496 | 1,481 |
5 | 1,764 | 1,715 |
6 | 1,973 | 1,887 |
7 | 2,139 | 2,020 |
8 | 2,274 | 2,126 |
9 | 2,387 | 2,215 |
10 | 2,482 | 2,290 |
11 | 2,564 | 2,355 |
12 | 2,636 | 2,412 |
13 | 2,699 | 2,462 |
14 | 2,755 | 2,507 |
15 | 2,806 | 2,549 |
16 | 2,852 | 2,585 |
17 | 2,894 | 2,620 |
18 | 2,932 | 2,651 |
19 | 2,968 | 2,681 |
20 | 3,001 | 2,709 |
21 | 3,031 | 2,733 |
22 | 3,060 | 2,758 |
23 | 3,087 | 2,781 |
24 | 3,112 | 2,802 |
25 | 3,135 | 2,822 |
26 | 3,157 | 2,841 |
27 | 3,178 | 2,859 |
28 | 3,199 | 2,876 |
29 | 3,218 | 2,893 |
30 | 3,236 | 2,908 |
| Рекомендации по метрологии МИ 2545-99 | ГСИ. Эталоны органов Государственной метрологической службы исходные. Организация и порядок осуществления контроля методом межлабораторных сличений |
УДК 389.14 | | Т80 |
Ключевые слова: межлабораторные сличения, результаты измерений, оценка дисперсии, воспроизводимость, предельные границы допускаемой погрешности, среднее квадратическое отклонение, среднее арифметическое. |