Главная // Актуальные документы // ПриказСПРАВКА
Источник публикации
М.: Стандартинформ, 2015
Примечание к документу
Документ
введен в действие с 1 декабря 2015 года.
Название документа
"Р 50.1.097-2014. Рекомендации по стандартизации. Статистические методы. Примеры измерений при анализе повторяемости и воспроизводимости"
(утв. и введены в действие Приказом Росстандарта от 24.10.2014 N 1418-ст)
"Р 50.1.097-2014. Рекомендации по стандартизации. Статистические методы. Примеры измерений при анализе повторяемости и воспроизводимости"
(утв. и введены в действие Приказом Росстандарта от 24.10.2014 N 1418-ст)
Утверждены и введены в действие
агентства по техническому
регулированию и метрологии
от 24 октября 2014 г. N 1418-ст
РЕКОМЕНДАЦИИ ПО СТАНДАРТИЗАЦИИ
СТАТИСТИЧЕСКИЕ МЕТОДЫ
ПРИМЕРЫ ИЗМЕРЕНИЙ ПРИ АНАЛИЗЕ
ПОВТОРЯЕМОСТИ И ВОСПРОИЗВОДИМОСТИ
Statistical methods. Selected illustrations of measurements
at the repeatability and reproducibility studies
ISO/TR 12888:2011
Selected illustrations of gauge repeatability
and reproducibility studies
(IDT)
Р 50.1.097-2014
Группа Т59
Дата введения
1 декабря 2015 года
1 ПОДГОТОВЛЕНЫ Открытым акционерным обществом "Научно-исследовательский центр контроля и диагностики технических систем" (ОАО "НИЦ КД")
2 ВНЕСЕНЫ Техническим комитетом по стандартизации ТК 125 "Применение статистических методов"
3 УТВЕРЖДЕНЫ И ВВЕДЕНЫ В ДЕЙСТВИЕ
Приказом Федерального агентства по техническому регулированию и метрологии от 24 октября 2014 г. N 1418-ст
4 Настоящие рекомендации идентичны международному документу ИСО/ТО 12888:2011 "Примеры измерений при анализе повторяемости и воспроизводимости" (ISO/TR 12888:2011 "Selected illustrations of gauge repeatability and reproducibility studies").
Наименование настоящих рекомендаций изменено относительно наименования указанного международного документа для приведения в соответствие с ГОСТ Р 1.5-2012
(подраздел 3.5)
5 ВВЕДЕНЫ ВПЕРВЫЕ
Правила применения настоящих рекомендаций установлены в ГОСТ Р 1.0-2012
(раздел 8). Информация об изменениях к настоящим рекомендациям публикуется в ежегодном (по состоянию на 1 января текущего года) информационном указателе "Национальные стандарты", а официальный текст изменений и поправок - в ежемесячном информационном указателе "Национальные стандарты". В случае пересмотра (замены) или отмены настоящих рекомендаций соответствующее уведомление будет опубликовано в ближайшем выпуске ежемесячного информационного указателя "Национальные стандарты". Соответствующая информация, уведомление и тексты размещаются также в информационной системе общего пользования - на официальном сайте Федерального агентства по техническому регулированию и метрологии в сети Интернет (www.gost.ru)
Международное сообщество, разделяя философию непрерывного улучшения и применения аналитических методов повышения качества, приветствует применение прагматического подхода, учитывающего ограничения ресурсов и времени. Внедрение такого подхода основано на долгосрочных международных соглашениях.
В настоящих рекомендациях рассмотрен один статистический метод анализа меры воспроизводимости и повторяемости (также известный как исследование GRR) и приведены четыре подробных примера его применения. Общее описание сосредоточено на общих вопросах анализа изменчивости испытательного оборудования и измерительных систем. В приложениях представлены четыре иллюстрации и рассмотрены особенности и детали применения метода. Каждая иллюстрация посвящена одному из вопросов внедрения методологии "Шесть сигм". Для каждой иллюстрации разработано и проанализировано статистическое программное обеспечение.
В настоящих рекомендациях рассмотрен процесс измерений, в котором измеряемой характеристикой является непрерывная переменная. Характеристики альтернативного типа в настоящих рекомендациях не рассмотрены.
Рекомендации содержат примеры простых измерительных систем и пригодны для использования на производстве, где имеется два основных фактора, влияющих на изменчивость результатов измерений, в том числе изменчивость, связанную с заменой оператора, и изменчивость, соответствующую каждому конкретному оператору.
В настоящих рекомендациях применены следующие термины с соответствующими определениями:
2.1 измерительная система (measurement system): Совокупность операций, процедур, устройств и другого оборудования, а также программного обеспечения, используемых для определения измеряемой характеристики.
Примечание - Измерительная система включает весь процесс, используемый для получения результатов измерений.
2.2 дискриминация (discrimination): Способность измерительной системы идентифицировать бесконечно малое изменение измеряемой характеристики.
2.3 прецизионность (precision): Близость независимых результатов испытаний/измерений, полученных в предусмотренных условиях.
Примечание 1 - Прецизионность зависит только от распределения случайных ошибок и не зависит от истинного или установленного значения.
Примечание 2 - Меру прецизионности обычно выражают в виде стандартного отклонения результатов измерений или испытаний. Меньшей прецизионности соответствует большее стандартное отклонение.
Примечание 3 - Количественные показатели прецизионности зависят от предусмотренных условий. Условия воспроизводимости и условия повторяемости представляют собой специальные предусмотренные условия.
[ИСО 3534-2:2006, 3.3.4]
2.4 повторяемость (repeatability): Прецизионность в условиях повторяемости.
Примечание - Повторяемость может быть выражена количественно через характеристики разброса результатов.
[ИСО 3534-2:2006, 3.3.5]
2.5 условия повторяемости (repeatability conditions): Условия, при которых независимые результаты испытаний/измерений получают одним и тем же методом на идентичных объектах испытаний/измерений в одной и той же лаборатории одним и тем же оператором с использованием одного и того же оборудования в пределах короткого промежутка времени.
Примечание - Условия повторяемости включают:
- одну и ту же процедуру измерений или испытаний;
- одного и того же оператора;
- одно и то же измерительное или испытательное оборудование, используемое в одних и тех же условиях;
- одно и то же местоположение;
- выполнение повторных измерений за короткий период времени.
[ИСО 3534-2:2006, 3.3.6]
2.6 мера воспроизводимости (gauge reproducibility): Показатель воспроизводимости, характеризующий изменчивость, возникающую, когда различные операторы выполняют измерения на одном и том же объекте с применением одного и того же оборудования.
Примечание 1 - Этот термин следует использовать только в исследовании GRR.
Примечание 2 - Это определение воспроизводимости отличается от определения ИСО 3534-2, ИСО 5725-1 и Руководства ИСО/МЭК 99. Это определение использовано в программном обеспечении, разработанном для вычислений при использовании анализа GRR и других стандартов.
Примечание 3 - Термин "воспроизводимость", использованный в описании выходов программного обеспечения в приложениях, применен вместо термина "мера воспроизводимости".
3. Обозначения и сокращения
ANOVA - дисперсионный анализ;
DF - число степеней свободы;
DOE - планирование эксперимента;
F - статистика F-критерия (коэффициент определения);
GRR - мера повторяемости и воспроизводимости;
MS - средний квадрат;
MSA - анализ измерительной системы;
NDC - число различных категорий;
P - p-значения (вероятность получения тестовой статистики);
REML - частная оценка максимального правдоподобия;
RF - радиочастота;
SD - стандартное отклонение;
SS - сумма квадратов;
SV - анализ изменчивости;
%P/T - точность по отношению к допуску, в процентах;
%R&R - повторяемость и воспроизводимость в процентах относительно установленного значения;
R - размах;
U - верхнее допустимое значение, верхняя граница поля допуска;
L - нижнее допустимое значение, нижняя граница поля допуска;

- стандартное отклонение;

- стандартное отклонение измерительной системы;

- стандартное отклонение повторяемости;

- стандартное отклонение воспроизводимости;

- стандартное отклонение производственного процесса без ошибок измерений.
4. Общее описание исследований GRR
4.1 Обзор структуры исследований GRR
В настоящих рекомендациях приведены общие принципы разработки, проведения и анализа исследований GRR и иллюстративные примеры в
приложениях A -
D. Каждый из этих примеров соответствует основной структуре исследований, приведенной в таблице 1.
Таблица 1
Основные этапы исследований GRR
N этапа | Наименование |
1 | Установление основных целей GRR |
2 | Описание процесса измерений |
3 | Выбор метода исследований GRR |
4 | Разработка плана выборочного контроля для исследований GRR |
5 | Анализ результатов |
6 | Формирование выводов и разработка предложений |
Этапы, указанные в
таблице 1, относятся к разработке и исследованию GRR в целом, хотя в настоящих рекомендациях рассмотрены исследования GRR для двух факторов. Каждый из шести этапов описан в
4.2 -
4.7. Пояснение сущности этих этапов сделано на примерах, приведенных в
приложениях A -
D.
4.2 Основные цели исследований GRR
Исследования GRR часто используют при применении методологии "Шесть сигм". Мотивация исследований GRR должна быть четко установлена и согласована со всеми сторонами, вовлеченными в разработку, а также затронутыми последствиями исследований GRR. Главной целью исследований GRR является идентификация возможностей измерительной системы и принятие решения о ее приемлемости для данного процесса мониторинга. Исследования GRR определяют, какая часть наблюдаемой изменчивости обусловлена изменчивостью измерительной системы.
Исследования GRR проводят по следующим причинам (перечень может быть дополнен):
a) измерительная система показывает большую изменчивость в нормальных условиях технического обслуживания;
b) измерительное оборудование изменено или модернизировано, например заменена важная часть оборудования;
c) приобретено новое измерительное оборудование или измерительная система;
d) необходимо сопоставить различные измерительные системы;
e) проведения исследований GRR требуют стандарты менеджмента качества, такие как ISO/TS 16949.
4.3 Описание процесса измерений
В настоящих рекомендациях рассмотрен процесс измерений, в котором измеряемой характеристикой является непрерывная величина. Результаты контроля по альтернативному признаку в настоящих рекомендациях не рассмотрены.
Процесс измерений должен быть четко описан до проведения исследований GRR. Описание процесса измерений должно включать наименование оборудования, его разрешение, характеристики качества, которые необходимо измерять, условия выполнения измерений и т.д. Средства измерений должны быть калиброваны (см. ИСО 10012).
При необходимости может потребоваться разработка карты процесса измерений с указанием факторов, влияющих на результаты наблюдений. Возможно наличие большого количества таких факторов; однако в настоящих рекомендациях приведены примеры только с двумя факторами и единственной контролируемой характеристикой.
4.4 Методология исследований GRR
В исследованиях GRR часто используют различных операторов для определения изменчивости, присущей данной измерительной системе, поскольку во многих случаях оператор является значимым фактором, влияющим на результаты измерений. Однако в автоматизированных процессах измерений операторы не участвуют в измерениях. В этом случае в качестве факторов, влияющих на воспроизводимость измерительной системы, могут быть рассмотрены изменения крепления или программного обеспечения или калибровка оборудования.
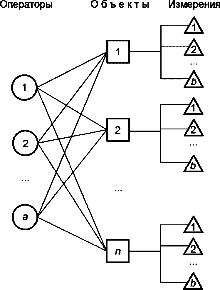
В случае двух факторов модель сбора данных для исследования GRR может представлять собой перекрестный или гнездовой эксперимент. Перекрестный эксперимент аналогичен полному факторному эксперименту. В одном раунде одну и ту же подгруппу объектов измеряют все операторы, а затем измерения выполняют для другой группы объектов (второй раунд и т.д.). Если объем подгруппы объектов (обычно 10 - 20) равен
n, количество операторов -
a (не менее 2), количество раундов (сколько раз одно измерение повторяет оператор) -
b (не менее 2), то общее количество данных равно
n x
a x
b. Гнездовой эксперимент также приводит к набору из
n x
a x
b данных, но различие состоит в том, что различные операторы выполняют измерения на различных подгруппах объектов одного и того же объема с повторениями. На каждой подгруппе объектов не могут быть выполнены измерения еще одним оператором. Таким образом, подгруппы являются вложенными по отношению к операторам. Схемы перекрестного и гнездового эксперимента приведены на
рисунках 1 и
2.

Рисунок 1 - Перекрестный эксперимент в исследованиях GRR
Рисунок 2 - Гнездовой эксперимент в исследованиях GRR
Перекрестный эксперимент предполагает, что измерения не повреждают объекты и могут быть неоднократно повторены в процессе измерений. Однако в некоторых случаях, когда измерение, выполненное на конкретном объекте, больше не может быть повторено тем же самым оператором или другими операторами, уместно применять гнездовой эксперимент. В случае разрушающих измерений, если доступны однородные выборки, может быть применен гнездовой эксперимент.
Для оценки повторяемости и воспроизводимости могут быть использованы различные методы (см., например, коммерческие статистические пакеты программ). Ниже описаны три часто используемых статистических метода. Примеры их применения приведены в
приложениях.
Метод размаха основан на оценке стандартного отклонения повторяемости

с использованием размахов многократных наблюдений, выполняемых одним оператором на одном и том же объекте с использованием одного и того же оборудования и оценке стандартного отклонения воспроизводимости

, с использованием разностей средних арифметических различных операторов. Метод ANOVA основан на оценке стандартного отклонения повторяемости и воспроизводимости на основе анализа составляющих дисперсий. Для двухфакторного перекрестного эксперимента преимущество ANOVA состоит в том, что этот метод позволяет оценить взаимосвязь операторов и объектов. Для методов, альтернативных перечисленным, разработано много статистических программ. Метод REML позволяет оценить повторяемость и воспроизводимость с позиции максимального правдоподобия наблюдений. Этот более сложный метод используют, когда другие методы приводят к отрицательным оценкам составляющих дисперсии.
Далее использованы следующие обозначения:
-

- стандартное отклонение ошибок измерительной системы, где

- квадратный корень суммы

и

;
-

(некоторые организации используют

) - значение GRR (прецизионности);
-

- стандартное отклонение производственного процесса без ошибок измерений.
Таким образом, наблюдаемая общая дисперсия равна сумме

и

. На практике используют два индикатора для измерения GRR по отношению к изменчивости процесса и его полю допуска: %R&R и %P/T, где
4.5 План выборочного контроля для исследований GRR
План выборочного контроля очень важен для исследований GRR. Плохой эксперимент может привести к ситуации, когда оценка истинной изменчивости процесса измерений занижена или завышена, что приводит к чрезмерно оптимистическим или пессимистическим выводам относительно возможностей системы измерений.
Для различных планов эксперимента применяют различные таблицы для сбора результатов измерений.
Таблицы 2 и
3 представляют собой шаблоны для перекрестного и гнездового эксперимента, соответственно с тремя операторами, тремя повторными измерениями и десятью объектами, измеряемыми каждым оператором. Основным различием формы таблиц является колонка "номер объекта". В случае перекрестного эксперимента эта колонка распространяется на всех трех операторов, что означает, что объекты одной и той же подгруппы измеряют различные операторы. Однако, для гнездового эксперимента у каждого оператора своя колонка "номер объекта", это означает, что на каждой подгруппе измерения выполняет только один оператор.
Таблица 2
Общий перекрестный эксперимент GRR
Номер объекта | Исследования GRR |
Оператор A | Оператор B | Оператор C |
Исп. 1 | Исп. 2 | Исп. 3 | Размах | Исп. 1 | Исп. 2 | Исп. 3 | Размах | Исп. 1 | Исп. 2 | Исп. 3 | Размах |
1 | | | | | | | | | | | | |
2 | | | | | | | | | | | | |
3 | | | | | | | | | | | | |
4 | | | | | | | | | | | | |
5 | | | | | | | | | | | | |
6 | | | | | | | | | | | | |
7 | | | | | | | | | | | | |
8 | | | | | | | | | | | | |
9 | | | | | | | | | | | | |
10 | | | | | | | | | | | | |
Таблица 3
Гнездовой эксперимент GRR
Исследования GRR |
Оператор A | Оператор B | Оператор C |
Номер объекта | Изм. 1 | Изм. 2 | Изм. 3 | Размах | Номер объекта | Изм. 1 | Изм. 2 | Изм. 3 | Размах | Номер объекта | Изм. 1 | Изм. 2 | Изм. 3 | Размах |
A1 | | | | | B1 | | | | | C1 | | | | |
A2 | | | | | B2 | | | | | C2 | | | | |
A3 | | | | | B3 | | | | | C3 | | | | |
A4 | | | | | B4 | | | | | C4 | | | | |
A5 | | | | | B5 | | | | | C5 | | | | |
A6 | | | | | B6 | | | | | C6 | | | | |
A7 | | | | | B7 | | | | | C7 | | | | |
A8 | | | | | B8 | | | | | C8 | | | | |
A9 | | | | | B9 | | | | | C9 | | | | |
A10 | | | | | B10 | | | | | C10 | | | | |
В плане выборочного контроля для исследований GRR должны быть определены объем подгрупп, количество операторов и раундов. Обычно выбирают три - пять операторов для выполнения измерений на не менее десяти объектах с двумя или тремя повторениями. Следует помнить, что отобранные выборки должны поступать из производственного процесса и представлять все производственные различия. В ситуациях, где трудно получить десять объектов или больше (хотя исследования GRR могут быть выполнены по небольшому количеству объектов), неопределенность может быть больше и, таким образом, оценка %R&R может быть ненадежной. В этом случае, если стандартное отклонение процесса известно, настоятельно рекомендуется использовать известное стандартное отклонение вместо стандартного отклонения процесса, оцененного по малой выборке.
В процессе измерений для исследования GRR очень важным вопросом является рандомизация. Рандомизация означает, что объекты должны быть отобраны для измерений оператором в случайном порядке. Во время эксперимента необходимо избежать эффекта Хоуторна, поскольку операторы с высокой степенью внимания могут получить недостоверную оценку изменчивости процесса измерений.
4.6 Анализ данных (числовой и графический)
После выбора наиболее подходящего плана выборочного контроля для эксперимента и сбора результатов измерений должен быть выбран соответствующий аналитический метод обработки результатов. Хотя метод размаха может быть легко выполнен с применением электронных таблиц и использован для проверки наличия выбросов, этот метод не учитывает взаимодействия между операторами и объектами, что приводит к заниженной оценке ошибки измерений. Следовательно, в настоящих рекомендациях дисперсионный анализ (ANOVA) и метод максимального правдоподобия (REML), основанные на анализе составляющих дисперсии, используют для идентификации составляющих дисперсии для каждой возможной вариации. Для исследований GRR с двумя факторами факторы изменчивости включают объекты, операторов, взаимодействие между объектами и операторами и повторяемость (чистую ошибку). В отчете GRR индикаторы воспроизводимости системы измерений (%R&R и %P/T) могут быть получены непосредственно из аналитической таблицы.
В дополнение к отчету GRR полезно использовать соответствующее графическое представление. Такое представление позволяет визуально идентифицировать основные источники изменчивости. Если все размахи на картах размахов для операторов и объектов случайно распределены между верхней и нижней контрольными границами, процесс измерений является стабильным. Если карта размахов указывает на то, что процесс выходит из управляемого состояния, могут существовать специальные причины. Они должны быть идентифицированы и на соответствующем объекте выполнены повторные измерения.
4.7.1 Целью исследований GRR является принятие решения о том, что изменчивость измерительной системы мала относительно изменчивости контролируемого процесса.
Общие принципы, такие как MSA, указывают, что если %R&R и %P/T (каждый) меньше 10%, измерительная система является приемлемой. Если эти показатели находятся в диапазоне от 10% до 30%, измерительная система может быть признана приемлемой в зависимости от ее значимости, затрат на ее регулировку, градуировку, ремонт и т.д. Если один или оба показателя превышают 30%, измерительную систему считают несоответствующей и необходимо выполнение корректирующих действий.
Для получения дополнительной информации о приемлемости см. MSA и лучшие методы, доступные в различных отраслях промышленности (химической, автомобильной, финансовой, электроники, и т.д.).
Высокая повторяемость или воспроизводимость могут привести к высокому значению %R&R.
4.7.2 Если мера повторяемости является высокой, необходимо выполнить следующие действия:
- проверить по карте размахов для операторов, что нет точек, выходящих за верхнюю и нижнюю контрольные границы;
- проверить наличие чрезмерной изменчивости объектов на основе анализа данных об объектах и соответствующих данных;
- проверить достаточность принятых мер;
- проверить определение местоположения, в котором должны быть проведены измерения, его ясность и понятность для операторов. Если это не так, то это может привести к высокой оценке меры воспроизводимости;
- проверить необходимость технического обслуживания инструмента;
- проверить необходимость крепления для более правильного выполнения оператором измерительных действий.
Если ни одна из перечисленных причин не обнаружена, проводят мозговой штурм и определяют, подходит ли средство измерений для предназначенных измерений. Неподходящие средства измерений могут также привести к высокой оценке меры повторяемости.
4.7.3 Если мера воспроизводимости высока, рекомендуют выполнить следующие действия:
- выяснить, обучены ли все операторы методу измерений;
- проверить четкость указаний о применении инструментов;
- проверить выполнение требований к местоположению при выполнении измерений и правильность понимания этих требований операторами;
- проверить необходимость крепления инструментов или объектов при работе оператора;
- проверить работу двух или более основных элементов измерительной системы в одних и тех же условиях.
Если ни одно из упомянутых действий не устранило причину высокой меры воспроизводимости, проводят мозговой штурм и определяют, подходят ли средства измерений для предназначенных целей.
После выполнения действий по улучшению измерительной системы, исследования GRR должны быть выполнены повторно для подтверждения того, что улучшенная измерительная система является приемлемой.
5.1 Сопоставление примеров
Четыре примера исследований GRR приведены в
приложениях A -
D. Каждый из этих примеров соответствует основным этапам, приведенным в
таблице 1, и одному из стандартных планов эксперимента, приведенных в
таблицах 2 и
3.
5.2 Описание примеров
В таблице 4 приведено краткое описание примеров, приведенных в приложениях, и указаны аспекты исследований, уникальные для данного эксперимента.
Таблица 4
Краткое описание примеров, приведенных в приложениях
Номер приложения | Объект исследования | Определенные аспекты GRR |
| Сотовые телефоны | Пример включает характеристику процесса тестирования (не элемента оборудования); автоматизированное оборудование (т.е. исключающее участие оператора); многократные измерения; перекрестный сбалансированный план эксперимента |
| Датчик нагрузки | В данном исследовании GRR средством измерений является датчик нагрузки, используемый для измерения силы нажатия на дно устройства. Использованы методы размаха и ANOVA и традиционный перекрестный эксперимент |
| Радиальные биения вала двигателя | Изготовитель производит двигатели для кондиционеров. Для измерения радиального биения оси используют индикаторы с круговой шкалой и двухфакторный эксперимент |
| Усилие разъединения частей корпуса зарядного устройства после ультразвуковой сварки | Для улучшения процесса соединения корпусов зарядных устройств или определения их качества применяют разрушающие измерения на специальной машине. Использован метод REML. |
(справочное)
ИССЛЕДОВАНИЕ GRR ДЛЯ АВТОМАТИЗИРОВАННОГО ТЕСТИРОВАНИЯ
ПАРАМЕТРА РАДИОЧАСТОТЫ СОТОВЫХ ТЕЛЕФОНОВ
A.1 Тип результатов измерений
Использованы измерения параметров (95). Все параметры являются непрерывными.
Один параметр (параметр N 7) проанализирован полностью. Он представляет собой одно из стандартизованных измерений аудиочастоты, выполняемых на сотовых телефонах для обеспечения их аудиовозможностей. Такие измерения обычно проводят после окончательной сборки телефона. Они включают подтверждение того, что аудиосигнал по полной радиочастоте (RF) может быть передан и получен. Измеряемыми характеристиками могут быть выходная мощность, частотная характеристика, полное искажение составляющих гармоник и др.
Результаты всех других переменных суммированы.
A.2 Используемые средства измерений
Наименование: Банк автоматизированных тестеров радиопараметров.
На каждом сотовом телефоне автоматически измеряют 95 радиопараметров с соответствующими разрешениями и допусками.
A.3 Описание процесса измерений
Радиопараметры сотовых телефонов проверяют перед оснащением телефонов программным обеспечением и данными. Затем телефоны отправляют клиентам или на склад. Оборудование для автоматизированных испытаний (тестеры) установлены в конце производственных линий для измерения показателей сотовых телефонов, в частности RF. Для обеспечения того, что любой сотовый телефон может быть проверен любым тестером и это не окажет влияния на результаты, было проведено исследование GRR.
На
рисунке A.1 представлен процесс тестирования. Все сотовые телефоны, выходящие с производственной линии, проверяют индивидуально любым из тестеров, входящих в банк тестеров. Оператор контролирует банк тестеров, поскольку телефоны загружаются автоматически. Измерения, выполненные каждым тестером, автоматически сохраняются в компьютере этого банка, а результаты регистрируются для каждого сотового телефона. Сотовый телефон считают дефектным (отказавшим), если хотя бы один из 95 параметров этого телефона, измеренных автоматически, не соответствует требованиям. Такой сотовый телефон восстанавливают, повторно проверяют и, если он полностью восстановлен, направляют на дальнейшие технологические операции.
Рисунок A.1 - Процесс тестирования сотовых телефонов
A.4 Возможные источники изменчивости измерительной системы
Изменчивость результатов измерений вызывают два источника:
- изменчивость, присущая данному тестеру;
- незначительные различия в аппаратных средствах или изготовлении тестеров и процессе калибровки тестеров.
Поэтому источниками изменчивости данной измерительной системы могут быть: тестеры, сотовые телефоны, чистая ошибка повторных измерений и взаимодействие тестеров и сотовых телефонов.
A.5 План выборочного контроля
В качестве факторов эксперимента определены источники изменчивости, идентифицированные выше. Это:
- A: изменчивость, присущая объектам;
- B: изменчивость, присущая тестерам.
Три сотовых телефона отобраны случайным образом из совокупности произведенных за предыдущий день. Они являются объектами N 1, N 2 и N 3 в данном примере.
Эти три объекта составляют выборку малого объема. Это означает, что интерпретацию результатов и выводы следует делать с осторожностью.
Четыре тестера отобраны случайным образом из банка, включающего десять тестеров. Это тестеры TNS 080, TNS 082, TNS 083 и TNS 088. Для каждого сотового телефона выполняют три повторных измерения для каждого контролируемого параметра.
| | ИС МЕГАНОРМ: примечание. В официальном тексте документа, видимо, допущена опечатка: имеется в виду таблица A.1, а не таблица 1. | |
Факторы, используемые в эксперименте, и их уровни приведены в таблице 1.
Таблица A.1
Факторы и уровни
Фактор | Случайный/постоянный | Количество уровней |
A: объекты | случайный | 3 |
B: тестеры | случайный | 4 |
Данный эксперимент представляет собой типовой перекрестный двухфакторный эксперимент для исследования GRR. Выделенная модель является перекрестным экспериментом, где на каждом объекте каждый тестер выполняет измерения несколько раз. Эксперимент является сбалансированным, каждый тестер выполняет измерения на каждом объекте одинаковое количество раз.
Количество повторений для оценки повторяемости этого банка тестеров установлено равным трем.
В результате получено 36 серий результатов измерений для каждого из 95 параметров (3 единицы x 4 тестера x 3 повторения).
A.6 Результаты измерений для одного параметра
Анализ сосредоточен на единственном параметре (параметре N 7). Целевое значение этого параметра составляет (14,5 +/- 1) дБ. Результаты измерений приведены в таблице A.2. Для их обработки использована программа Minitab 15.
Таблица A.2
Результаты эксперимента
Тестер | Номер объекта | P1-RX1 | Тестер | Номер объекта | P1-RX1 |
TNS 080 | 1 | 14,230 | TNS 082 | 1 | 14,570 |
TNS 080 | 1 | 14,000 | TNS 082 | 1 | 14,800 |
TNS 080 | 1 | 13,820 | TNS 082 | 1 | 14,960 |
TNS 080 | 2 | 14,130 | TNS 082 | 2 | 15,350 |
TNS 080 | 2 | 14,590 | TNS 082 | 2 | 15,310 |
TNS 080 | 2 | 14,200 | TNS 082 | 2 | 15,030 |
TNS 080 | 3 | 14,180 | TNS 082 | 3 | 14,960 |
TNS 080 | 3 | 14,295 | TNS 082 | 3 | 15,055 |
TNS 080 | 3 | 14,010 | TNS 082 | 3 | 14,995 |
TNS 083 | 1 | 14,620 | TNS 084 | 1 | 14,720 |
TNS 083 | 1 | 14,520 | TNS 084 | 1 | 14,460 |
TNS 083 | 1 | 14,410 | TNS 084 | 1 | 14,460 |
TNS 083 | 2 | 15,130 | TNS 084 | 2 | 15,130 |
TNS 083 | 2 | 14,990 | TNS 084 | 2 | 14,940 |
TNS 083 | 2 | 14,960 | TNS 084 | 2 | 14,830 |
TNS 083 | 3 | 14,875 | TNS 084 | 3 | 14,925 |
TNS 083 | 3 | 14,755 | TNS 084 | 3 | 14,700 |
TNS 083 | 3 | 14,685 | TNS 084 | 3 | 14,625 |
A.7 Статистические методы, используемые в исследовании GRR
Метод ANOVA
A.8 Статистический анализ
В соответствии с
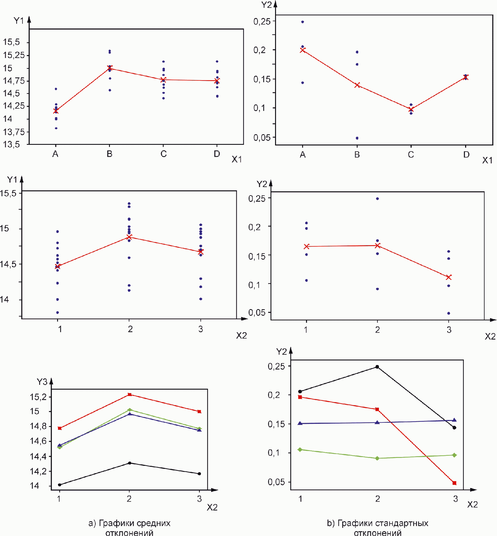
рисунком A.2 и
таблицей A.3 основным источником изменчивости измерительной системы является повторяемость.
Рисунок A.2 - Графическое представление результатов GRR
для параметра N 7; допуск (14,5 +/- 1,0) дБ
c) Мера изменчивости
X1 тестеры;
X2 объекты;
Y1 параметр N 7;
Y2 стандартное отклонение;
Y3 среднее;
A TNS 080

;
B TNS 082

;
C TNS 083

;
D TNS 084

Рисунок A.2
Таблица A.3
Двусторонняя таблица ANOVA с учетом взаимодействий
Источник | DF | SS | MS | F | P |
Объект | 2 | 1,05002 | 0,52501 | 80,461 | 0,000 |
Состояние | 3 | 3,48585 | 1,16195 | 178,077 | 0,000 |
Объект x Состояние | 6 | 0,03915 | 0,00652 | 0,269 | 0,946 |
Повторяемость | 24 | 0,58288 | 0,02429 | | |
Всего | 35 | 5,15790 | | | |
В соответствии с таблицей A.4 дисперсия измерительной системы составляет 77,83% от общей дисперсии. Дисперсия повторяемости составляет 10,94%, дисперсия воспроизводимости - 66,89%, дисперсия взаимодействия тестера с объектом является незначительной (0,25%).
Таблица A.4
Источник | Составляющая дисперсии | Вклад, % |
Полный GRR | 0,147536 | 77,83 |
Повторяемость | 0,020734 | 10,94 |
Воспроизводимость | 0,126802 | 66,89 |
Состояние | 0,126802 | 66,89 |
Объекты | 0,042023 | 22,17 |
Полная изменчивость | 0,189559 | 100,00 |
В соответствии с таблицей A.5 для этой измерительной системы %R&R = 88%, NDC = 1.
Таблица A.5
Статистики GRR
Допуск процесса = 2 дБ |
Источник | Стандартное отклонение (SD) | (6 x SD) | Вклад, % | (SV/Допуск) % |
Полный GRR | 0,384 104 | 2,304 63 | 88,22 | 115,23 |
Повторяемость | 0,143 995 | 0,863 97 | 33,07 | 43,20 |
Воспроизводимость | 0,356 092 | 2,136 55 | 81,79 | 106,83 |
Состояние | 0,356 092 | 2,136 55 | 81,79 | 106,83 |
Объекты | 0,204 995 | 1,229 97 | 47,08 | 61,50 |
Полная изменчивость | 0,435 384 | 2,612 30 | 100,00 | 130,62 |
NDC = 1 |
A.9 Заключение
Значение %R&R = 88% выше 30%. Поскольку объем выборки очень мал (3), оценке изменчивости объекта (см.
таблицу A.4) соответствует высокая неопределенность. Таким образом, потенциальное воздействие на общую изменчивость и отношение GRR в конкретном направлении (выше или ниже) является заметным. Значение %P/T (115%) также показывает, что изменчивость, соответствующая тестерам, является слишком большой относительно допуска (2 дБ). Таким образом, данная измерительная система должна быть улучшена по параметру N 7.
A.10 Действия по улучшению
Поскольку основным источником изменчивости GRR в данном примере является ошибка меры воспроизводимости, это предполагает, что тестеры, вероятно, являются различными. Они должны быть калиброваны для снижения меры воспроизводимости до установленного уровня.
Как только действия по улучшению будут выполнены (калибровка тестеров), должно быть выполнено повторное исследование GRR. Кроме того, рекомендуется использовать более трех объектов в исследовании (желательно более десяти) для обеспечения более достоверной оценки изменчивости объектов и, следовательно, полной изменчивости.
A.11 Анализ всех измеряемых параметров
Были собраны подробные результаты анализа GRR одного из 95 параметров, автоматически измеряемых тестерами. Анализ GRR одного параметра показал, что тестеры необходимо калибровать для выбранного параметра N 7.
Результаты исследований GRR по каждому из этих 95 параметров дают %R&R и отношения %P/T, приведенные в таблице A.6. Отсутствующие данные в колонке %P/T указывают на односторонние требования. Недостающие данные по отношению к GRR указывают на отсутствие изменчивости в целом при измерениях этих трех единиц.
Таблица A.6
Статистики по 30 параметрам
Параметры | %R&R | %P/T |
Параметр N 1 | 2,4 | 2,7 |
Параметр N 2 | 2,4 | 2,7 |
Параметр N 3 | 0 | 0 |
Параметр N 4 | 100,0 | 159,9 |
Параметр N 5 | 36,4 | |
Параметр N 6 | 88,2 | 115,3 |
Параметр N 7 | 84,8 | 27,3 |
Параметр N 8 | 37,7 | |
Параметр N 9 | 86,1 | |
Параметр N 10 | 99,2 | 143,3 |
Параметр N 11 | 26,3 | |
Параметр N 12 | 86,6 | 107,3 |
Параметр N 13 | 93,5 | 151,6 |
Параметр N 14 | 100,0 | |
Параметр N 15 | 19,9 | |
Параметр N 16 | 100 | 171,0 |
Параметр N 17 | 34,8 | |
Параметр N 18 | 91,3 | 75,1 |
Параметр N 19 | 69,6 | 131,4 |
Параметр N 20 | 100,0 | |
Параметр N 21 | 68,3 | |
Параметр N 22 | 100,0 | 134,4 |
Параметр N 23 | 25,0 | |
Параметр N 24 | 83,8 | 86,0 |
Параметр N 25 | 96,4 | 76,9 |
Параметр N 26 | 38,6 | |
Параметр N 27 | 8,5 | |
Параметр N 28 | | 0 |
Параметр N 29 | 100,0 | 172,6 |
Параметр N 7 является исследуемым | | |
На
рисунках A.3 и
A.4 приведено графическое представление распределений %R&R и %P/T.
X - %R/R;
Y - частота
Рисунок A.3 - Гистограмма %R/R для всех 95 параметров
X - %P/T;
Y - частота
Рисунок A.4 - Гистограмма %P/T для всех параметров
с двусторонними требованиями
A.12 Заключение по всем параметрам
Многим параметрам соответствуют довольно высокие значения %R&R, %P/T или обоих.
Поскольку для исследования GRR использовано только три объекта, для вычислений необходимо использовать стандартное отклонение производственного процесса, известное по предыдущим данным (при наличии), а не оценивать изменчивость по трем объектам выборки. В этом исследовании производственный процесс был относительно новым, и поэтому его стандартное отклонение неизвестно. Поэтому рекомендуется вести мониторинг производственного процесса и собирать данные для последующих исследований GRR.
Кроме того, рекомендуется устранить недостатки измерительной системы, идентифицированные исследованием, в том числе соответствующие худшим характеристикам в соответствии с картой Парето, затем проанализировать индивидуальные контрольные карты по каждой характеристике за продолжительный период времени для выявления возможных проблем, таких как нестабильность, наличие дрейфа и т.д.
Также рекомендуется подтвердить калибровку тестеров для всех параметров и заново выполнить исследование GRR с использованием не менее десяти объектов.
(справочное)
ИССЛЕДОВАНИЕ GRR ПОЛУПРОВОДНИКОВОГО
МЕТАЛЛОКЕРАМИЧЕСКОГО ДАТЧИКА
B.1 Тип данных измерений
Непрерывные - ~= 9,81 мН.
B.2 Используемые средства измерений
Наименование средства измерений - полупроводниковый датчик нагрузки, используемый для измерения силы нажатия на дно устройства (далее датчик).
Разрешение: наименьшая единица измерения - 1 мН.
Рисунок B.1 - Пример кнопочного датчика нажимного усилия
B.3 Описание процесса измерений
В примере рассмотрено исследование GRR полупроводникового датчика на основе сравнения результатов методов среднего размаха и ANOVA. Рассмотрен процесс сборки корпуса из металлокерамики. Этот процесс выполняют для запечатывания устройства в корпус, обеспечивающий его защиту от поглощения влаги, возникновения коррозии и снижения надежности.
Средством измерений в данном случае является датчик, который используют для измерения силы нажатия на кнопку, расположенную на основании устройства. Датчик преобразует силу в измеримый электрический выход.
Измерение выполняют, помещая датчик в специальный держатель. Усилие нажатия на датчик высвечивается на цифровом дисплее.
B.4 Возможные источники изменчивости измерительной системы
Возможными источниками изменчивости измерительной системы являются:
- собственная изменчивость кнопочного механизма при каждом воздействии (в данном исследовании изменчивость кнопочного механизма путают с изменчивостью процесса измерений и средства измерений);
- изменчивость, связанная с размещением датчика оператором;
- изменчивость, присущая датчику (например, обусловленная напряжением в датчике).
B.5 План выборочного контроля
В приведенном исследовании GRR для изучаемой машины были отобраны 10 различных усилий, представляющих распределение усилий, применяемых при сборке корпуса и эксплуатации датчика.
Случайным образом из трех различных смен квалифицированных операторов отобраны три оператора.
Данный эксперимент является типовым перекрестным экспериментом с двумя факторами. Выбранная модель является перекрестным экспериментом, в котором каждое установленное усилие каждый оператор, используя датчик, измеряет три раза. Измерения оператор выполняет в случайном порядке. Эксперимент является сбалансированным. Каждое усилие каждый оператор измеряет одно и то же количество раз. Это приводит в общей сложности к выполнению 90 измерений для исследования GRR (10 объектов x 3 оператора x 3 испытания).
B.6 Результаты измерений для одного параметра
Полученные результаты приведены в таблице B.1.
Таблица B.1
Результаты перекрестного эксперимента для исследования GRR
Измеренные значения указаны в мН
N объекта | Оператор A | Оператор B | Оператор C |
Исп. 1 xA; 1 | Исп. 2 xA; 2 | Исп. 3 xA; 3 | Среднее  | Размах Rgj | Исп. 1 xB; 1 | Исп. 2 xB; 2 | Исп. 3 xB; 3 | Среднее  | Размах Rgj | Исп. 1 xC; 1 | Исп. 2 xC; 2 | Исп. 3 xC; 3 | Среднее  | Размах Rgj |
1 | 373 | 375 | 374 | 374,0 | 2 | 374 | 370 | 372 | 372,0 | 4 | 378 | 380 | 381 | 379,7 | 3 |
2 | 391 | 388 | 389 | 389,3 | 3 | 385 | 389 | 387 | 387,0 | 4 | 392 | 398 | 396 | 395,3 | 6 |
3 | 339 | 340 | 342 | 340,3 | 3 | 348 | 346 | 350 | 348,0 | 4 | 340 | 342 | 343 | 341,7 | 3 |
4 | 363 | 365 | 367 | 365,0 | 4 | 365 | 368 | 363 | 365,3 | 5 | 360 | 365 | 359 | 361,3 | 6 |
5 | 401 | 403 | 404 | 402,7 | 3 | 402 | 400 | 399 | 400,3 | 3 | 405 | 400 | 406 | 403,7 | 6 |
6 | 460 | 457 | 459 | 458,7 | 3 | 463 | 460 | 465 | 462,7 | 5 | 468 | 466 | 464 | 466,0 | 4 |
7 | 330 | 332 | 332 | 331,3 | 2 | 328 | 327 | 330 | 328,3 | 3 | 335 | 336 | 333 | 334,7 | 3 |
8 | 414 | 412 | 415 | 413,7 | 3 | 411 | 413 | 408 | 410,7 | 5 | 410 | 408 | 413 | 410,3 | 5 |
9 | 426 | 424 | 428 | 426,0 | 4 | 428 | 425 | 424 | 425,7 | 4 | 427 | 430 | 428 | 428,3 | 3 |
10 | 454 | 453 | 457 | 454,7 | 4 | 443 | 447 | 445 | 445,0 | 4 | 450 | 453 | 452 | 451,7 | 3 |
| | |
| | |
Результаты:  ;  |
Примечание -  - максимальная разность выборочных средних в нескольких сериях измерений;  - среднее арифметическое средних размахов. |
Методы: размах средних и ANOVA (сравнение) <*>.
--------------------------------
<*> Очевидно, в ИСО/ТО 12888-2014 допущена опечатка.
B.7 Анализ статистик
B.7.1 Общие положения
Выходы программного обеспечения

приведены ниже.
Допуск (верхняя граница требований минус нижняя граница требований) составляет 160 мН.
Известное стандартное отклонение процесса составляет 29,4 мН.
Критерии приемки:
- ниже 10% - измерительная система является приемлемой;
- от 10% до 30% - измерительная система является приемлемой в минимально возможной степени.
B.7.2 Метод среднего размаха
X - количество нажатий/операторов; Y - усилие нажатия в мН
Рисунок B.2 - Карта значений для операторов
X - количество нажатий/операторов; Y - усилие нажатия в мН
Рисунок B.3 - Карта значений для объектов
Результаты исследования GRR приведены в таблицах B.2,
B.3 и
B.4.
Таблица B.2
Таблица исследования GRR
(Объект сопоставления - общая изменчивость)
Объект сопоставления | Общая изменчивость | |
Компонент дисперсии | Параметры | Стандартное отклонение | Результат |
Изменчивость объекта | K3 = 0,3146 | PV <b> = K 3 x R 0 = 41,2073 | %PV = 99,80% |
Повторяемость | K1 = 0,5908 | | %EV = 5,44% |
Воспроизводимость | K2 = 0,5231 | где n - количество объектов; r - количество испытаний. | %AV = 3,36% |
GRR | | | %R&R = 6,39% |
|
Разрешение | |
Повторяемость & Воспроизводимость | %R&R = 6,39% |
Количество категорий | NDC = 22 |
 Значения %R&R и NDC для измерительной системы |
Минимальное значение для пригодной измерительной системы | TVmin(%R&R) = 26,395 6 |
<a> TV - общая изменчивость. <b> PV - изменчивость объекта. <c> EV - повторяемость измерительной системы, соответствующая изменчивости оборудования. <d> AV - изменчивость, соответствующая воспроизводимости/оператору. <e> %RES - разрешение измерительной системы. |
Таблица B.3
Таблица исследования GRR (Объект сопоставления - допуск)
Объект сопоставления | Допуск | |
Компонент дисперсии | Параметр | Стандартное отклонение | Результат |
Изменчивость объекта | K3 = 0,314 6 | PV <b> = K 3 x R 0 = 41,2073 | %PV = 154,53% |
Повторяемость | K1 = 0,590 8 | | %EV = 8,42% |
Воспроизводимость | K2 = 0,523 1 | где n - количество объектов; r - количество испытаний | %AV = 5,21% |
GRR | | | %R&R = 9,90% |
|
Разрешение | |
Повторяемость & Воспроизводимость | %R&R = 9,90% |
Количество категорий | NDC = 22 |
 Значения %R&R и NDC для измерительной системы |
Минимальное значение для пригодной измерительной системы | Tmin(%R&R) = 125,373 |
<a> T - общая изменчивость. <b> PV - изменчивость объекта. <c> EV - повторяемость измерительной системы, соответствующая изменчивости оборудования. <d> AV - изменчивость, соответствующая воспроизводимости/оператору. <e> %RES - разрешение измерительной системы. |
Таблица B.4
Аналитическая таблица GRR
(Объект сопоставления - изменчивость процесса)
Объект сопоставления | 1 x изменчивость процесса  |
Компонент дисперсии | Параметр | Стандартное отклонение | Результат |
Изменчивость объекта | K3 = 0,314 6 | PV <a> = K 3 x R 0 = 41,2073 | %PV = 140,16% |
Повторяемость | K1 = 0,590 8 | | %EV = 7,64% |
Воспроизводимость | K2 = 0,523 1 | где n - количество объектов; r - количество испытаний | %AV = 4,72% |
GRR | | | %R&R = 8,98% |
|
Разрешение | |
Повторяемость & Воспроизводимость | %R&R = 8,98% |
Количество категорий | NDC = 22 |
 Значения %R&R и NDC для измерительной системы |
Минимальное значение для пригодной измерительной системы | |
<a> PV - изменчивость объекта. <b> EV - повторяемость измерительной системы, соответствующая изменчивости оборудования. <c> AV - изменчивость, соответствующая воспроизводимости/оператору. <d> %RES - разрешение измерительной системы. |
В соответствии с приведенными результатами значение %R&R для допуска составило 9,90%, а значение %R&R для изменчивости процесса составило 8,98%. На основе критериев при значениях ниже 10% измерительную систему считают приемлемой. В данном случае взаимодействие объекта и оператора не учтено при оценке повторяемости. Отсутствие компонента взаимодействия предполагается при использовании метода анализа среднего размаха.
B.7.3 Метод ANOVA
Для графических представлений см. метод анализа среднего размаха
(B.7.2). В таблицах B.5,
B.6 и
B.7 показаны результаты GRR с использованием метода ANOVA.
Таблица B.5
Таблица исследования GRR
(Объект сопоставления - общая изменчивость)
Объект сопоставления | Общая изменчивость | |
Компонент дисперсии | Дисперсия | Стандартное отклонение | Нижняя доверительная граница уровня 95% | Верхняя доверительная граница уровня 95% | Результат |
Повторяемость | 4,07778 | | 1,71384 | 2,45843 | %EV = 4,63% |
Воспроизводимость | 0,91440 | | 0,00000 | 8,70420 | %AV = 2,19% |
Взаимодействие | 8,96708 | | 1,96062 | 4,75526 | %IA = 6,68% |
GRR | 13,9593 | | 3,54119 | 9,42953 | %R&R = 8,56% |
|
Разрешение | |
Повторяемость & Воспроизводимость | %R&R = 8,56% |
Количество категорий | NDC = 16 |
 Значения %R&R и NDC для измерительной системы |
Минимальное значение для пригодной измерительной системы | TVmin(R&R) = 37,362 1 |
<a> TV - общая изменчивость. <b> EV - повторяемость измерительной системы, соответствующая изменчивости оборудования. <c> AV - изменчивость, соответствующая воспроизводимости/оператору. <d> IA - изменчивость взаимодействия. <e> %RES - разрешение измерительной системы. |
Таблица B.6
Таблица исследования GRR (Объект сопоставления - допуск)
Объект сопоставления | Допуск | |
Компонент | Дисперсия | Стандартное отклонение | Нижняя доверительная граница уровня 95% | Верхняя доверительная граница уровня 95% | Результат |
Повторяемость | 4,07778 | | 1,71384 | 2,45843 | %EV = 7,57% |
Воспроизводимость | 0,91440 | | 0,00000 | 8,70420 | %AV = 3,59% |
Взаимодействие | 8,96708 | | 1,96062 | 4,75526 | %IA = 11,23% |
GRR | 13,9593 | | 3,54119 | 9,42953 | %R&R = 14,01% |
|
Разрешение | |
Повторяемость & Воспроизводимость | %R&R = 14,01% |
Количество категорий | NDC = 16 |
 Значения %R&R и NDC для измерительной системы |
Минимальное значение для пригодной измерительной системы | Tmin(R&R) = 224,172 |
<b> EV - повторяемость измерительной системы, соответствующая изменчивости оборудования. <c> AV - изменчивость, соответствующая воспроизводимости /оператору. <d> IA - изменчивость взаимодействия. <e> %RES - разрешение измерительной системы. |
Таблица B.7
(Объект сопоставления - изменчивость процесса)
Объект сопоставления | 1 x изменчивость процесса  |
Компонент дисперсии | Дисперсия | Стандартное отклонение | Нижняя доверительная граница уровня 95% CI | Верхняя доверительная граница уровня 95% CI | Результат |
Повторяемость | 4,07778 | | 1,71384 | 2,458 43 | %EV = 6,87% |
Воспроизводимость | 0,91440 | | 0,00000 | 8,704 20 | %AV = 3,25% |
Взаимодействие | 8,96708 | | 1,96062 | 4,755 26 | %IA = 10,19% |
GRR | 13,9593 | | 3,54119 | 9,429 53 | %R&R = 12,71% |
|
Разрешение | |
Воспроизводимость & Повторяемость | %R&R = 12,71% |
Количество категорий | NDC = 16 |
 Значения %R&R и NDC для измерительной системы |
Минимальное значение для пригодной измерительной системы | |
<a> EV - повторяемость измерительной системы, соответствующая изменчивости оборудования. <b> AV - изменчивость, соответствующая воспроизводимости /оператору. <c> IA - изменчивость взаимодействия. <d> %RES - разрешение измерительной системы. |
В соответствии с приведенными результатами значение %R&R на основе допуска составляет 14,01%, а значение %R&R на основе изменчивости процесса составляет 12,71%. Оба значения выше критерия 10%, что указывает на необходимость корректирующих действий или действий по улучшению датчика (повышению его точности). Это противоречит результатам, полученным с использованием размаха.
B.8 Заключение
Сравнение анализа дисперсий, полученных двумя методами, методом размаха и методом ANOVA, показывает, что эти методы дают различные результаты. Это относится к методу вычисления и объектам сопоставления (общая изменчивость, допуск и изменчивость процесса).
- Метод среднего размаха дает более высокую оценку составляющей повторяемости (см. 2,25) по сравнению с методом ANOVA (см. 2,02).
- Метод среднего размаха учитывает составляющую дисперсии, соответствующую взаимодействию объект/оператор. Также оценки, полученные при исследовании GRR (2,64), намного меньше оценок, полученных методом ANOVA (3,74), который позволяет оценить составляющую упомянутого взаимодействия (2,99). Это вызвано главным образом наличием значимого взаимодействия оператор/объект, которое может быть оценено методом ANOVA. В результате значения %R&R превышают 10% в методе ANOVA.
Таким образом, можно сделать вывод, что метод ANOVA превосходит метод среднего размаха по точности. Метод среднего размаха позволяет оценить взаимодействие объект/оператор и поэтому дает заниженную оценку %R&R измерительной системы и таким образом маскирует недостатки измерительной системы и возможности ее улучшения.
Для получения сопоставимых результатов для измерительной системы важно обосновать выбор метода вычислений, а также сопоставляемой изменчивости. Различные результаты вычислений для различных измерительных систем могут быть сопоставлены только при использовании одного и того же метода вычисления и одной и той же сопоставляемой изменчивости.
В данном примере метод среднего размаха дает меньшее значение %R&R, чем метод ANOVA, и таким образом завышает оценку измерительной системы. Однако это нетипичный результат. В других примерах метод ANOVA может дать меньшее значение %R&R, чем метод среднего размаха.
B.9 Действия по улучшению
Для улучшения предложено выполнить следующие действия:
- разработать и изготовить зажимное приспособление для датчика, позволяющее сохранять положение датчика при каждом измерении;
- исследовать источники изменчивости, присущей исследуемой машине, и уменьшить ее за счет улучшения или изменения конструкции механизма ручного управления машиной.
(справочное)
ИССЛЕДОВАНИЕ GRR ДЛЯ РАДИАЛЬНОГО БИЕНИЯ ВАЛА ДВИГАТЕЛЯ
C.1 Тип результатов измерений
Непрерывные величины
C.2 Используемые средства измерений
Наименование: индикатор
Разрешение: 0,01 мм.
C.3 Описание процесса измерений
Поставщик изготавливает двигатели для кондиционеров. Для двигателей радиальное биение вала является одной из наиболее важных характеристик качества. Допуск на радиальные биения вала составляет менее 0,03 мм. Если радиальные биения вала превышают 0,03 мм, двигатель создает при работе шум, недопустимый для потребителей. Для измерения радиальных биений вала используют индикаторы с круговой шкалой. Для исследования GRR выбран двигатель модели YSK30-6A.
C.4 Возможные источники изменчивости системы измерений
В процессе измерений используют один индикатор с круговой шкалой. Результаты измерений могут отличаться для различных операторов даже при том, что они используют одни и те же средства измерений. Кроме того, для одного и того же оператора при измерениях на одном и том же двигателе с использованием одного и того же прибора результаты повторных измерений не совпадают. Трудно определить взаимодействие операторов и двигателей.
Поэтому источниками изменчивости этой измерительной системы являются: операторы, ошибки при повторных измерениях и влияние взаимодействия оператор/двигатель.
C.5 План выборочного контроля
Два оператора (А и Б) были отобраны случайным образом из группы компетентных операторов.
Десять двигателей были отобраны случайным образом из производственного процесса, им присвоены номера от 1 до 10 таким образом, что номер не должен быть виден двум операторам для исключения эффекта Хоуторна.
Каждый оператор выполняет измерения на 10 двигателях в случайном порядке в течение трех раундов или испытаний. Процесс измерений: сначала оператора А попросили выполнить измерения на 10 двигателях, отобранных в случайном порядке, затем оператора Б попросили сделать то же в другом случайном порядке. Это - первый раунд измерений. Затем операторы А и Б выполнили измерения второго и третьего раундов, не зная, что они выполняли измерения на тех же самых десяти двигателях.
Это - типовой перекрестный двухфакторный эксперимент исследования GRR.
C.6 Результаты измерений
Результаты измерений приведены в таблице C.1.
Таблица C.1
Результаты измерений
Оператор | Номер двигателя | Номер раунда | Результат измерений | Оператор | Номер двигателя | Номер раунда | Результат измерений |
А | 1 | 1 | 0,025 | Б | 1 | 1 | 0,020 |
1 | 2 | 0,020 | 1 | 2 | 0,015 |
1 | 3 | 0,020 | 1 | 3 | 0,020 |
2 | 1 | 0,030 | 2 | 1 | 0,025 |
2 | 2 | 0,045 | 2 | 2 | 0,040 |
2 | 3 | 0,030 | 2 | 3 | 0,030 |
3 | 1 | 0,015 | 3 | 1 | 0,020 |
3 | 2 | 0,015 | 3 | 2 | 0,015 |
3 | 3 | 0,015 | 3 | 3 | 0,020 |
| 4 | 1 | 0,010 | В | 4 | 1 | 0,010 |
4 | 2 | 0,010 | 4 | 2 | 0,010 |
4 | 3 | 0,010 | 4 | 3 | 0,010 |
5 | 1 | 0,040 | 5 | 1 | 0,040 |
5 | 2 | 0,040 | 5 | 2 | 0,030 |
5 | 3 | 0,040 | 5 | 3 | 0,040 |
6 | 1 | 0,045 | 6 | 1 | 0,030 |
6 | 2 | 0,045 | 6 | 2 | 0,040 |
6 | 3 | 0,045 | 6 | 3 | 0,040 |
7 | 1 | 0,010 | 7 | 1 | 0,010 |
7 | 2 | 0,020 | 7 | 2 | 0,015 |
7 | 3 | 0,010 | 7 | 3 | 0,015 |
8 | 1 | 0,010 | 8 | 1 | 0,020 |
8 | 2 | 0,010 | 8 | 2 | 0,010 |
8 | 3 | 0,010 | 8 | 3 | 0,015 |
9 | 1 | 0,025 | 9 | 1 | 0,020 |
9 | 2 | 0,025 | 9 | 2 | 0,030 |
9 | 3 | 0,020 | 9 | 3 | 0,020 |
10 | 1 | 0,045 | 10 | 1 | 0,030 |
10 | 2 | 0,030 | 10 | 2 | 0,025 |
10 | 3 | 0,030 | 10 | 3 | 0,040 |
C.7 Статистические методы, используемые в исследовании GRR
Метод - ANOVA
C.8 Статистический анализ
Программное обеспечение - Minitab 14
A - %R&R; B - повторяемость; C - воспроизводимость;
D - объекты; Y1 - процент; 1 - вклад в %;
2 - изменчивость исследования в %
a) Составляющие изменчивости
Рисунок C.1 - Исследования GRR для процесса М100
X1 - объекты; Y1 - данные
b) Результаты измерений объектов
Y3 - выборочный размах
c) R - карта оператора
Y2 - данные
d) Данные оператора
Рисунок C.1, лист 2
Y4 - выборочное среднее
e) Xbar-карта оператора
X1 - объекты; Y5 - выборочное среднее;
1 - оператор Б; 2 - оператор А
f) взаимодействие оператора с объектом
Рисунок C.1, лист 3
В соответствии с
рисунком C.1 и таблицами C.2,
C.3 и
C.4 основным источником изменчивости измерительной системы является повторяемость. При этом воспроизводимость и взаимодействие между оператором и двигателем являются несущественными.
Таблица C.2
Двусторонняя таблица ANOVA при наличии взаимодействия
Источник | DF | SS | MS | F | P |
Объекты | 9 | 0,007 1500 | 0,000 7833 | 35,5462 | 0,000 |
Оператор | 1 | 0,000 0267 | 0,000 0267 | 1,2101 | 0,300 |
Взаимодействие оператора и объектов | 9 | 0,000 1983 | 0,000 0220 | 0,9444 | 0,499 |
Повторяемость | 40 | 0,000 9333 | 0,000 0233 | | |
Всего | 59 | 0,008 2083 | | | |
Таблица C.3
Источник | Составляющая дисперсии | Вклад в общую изменчивость, % |
Общее GRR | 0,000 0235 | 15,62 |
Повторяемость | 0,000 0233 | 15,52 |
Воспроизводимость | 0,000 0002 | 0,10 |
Оператор | 0,000 0002 | 0,10 |
Оператор и объекты | 0,000 0000 | 0,00 |
По объектам | 0,000 1269 | 84,38 |
Общая изменчивость | 0,000 1504 | 100,00 |
Таблица C.4
Источник | SD | 6*SD | % общей изменчивости |
Общее GRR | 0,004 8464 | 0,029 0784 | 39,52 |
Повторяемость | 0,004 8305 | 0,028 9828 | 39,39 |
Воспроизводимость | 0,000 3928 | 0,002 3570 | 3,20 |
Оператор | 0,000 3928 | 0,002 3570 | 3,20 |
Оператор и объекты | 0,000 0000 | 0,000 0000 | 0,00 |
По объектам | 0,011 2642 | 0,067 5853 | 91,86 |
Общая изменчивость | 0,012 2626 | 0,073 5754 | 100,00 |
NDC = 3 | | | |
Как показано в
таблице C.3, дисперсия измерительной системы составляет 15,62% от общей дисперсии. Вклад воспроизводимости составляет только 0,1% от общей дисперсии и является незначительным. Главным образом он вызван различиями в действиях операторов. Дисперсия взаимодействия между оператором и двигателем является также незначащей.
Таким образом, для измерительной системы %R&R = 39,52%, NDC = 3.
C.9 Заключение
Доля GRR в общей изменчивости составляет 39,52%, т.е. выше 30%. Поэтому данная измерительная система не является приемлемой и должна быть улучшена.
C.10 Действия по улучшению
Поскольку основным источником изменчивости являются ошибки повторяемости, то разрешение индикатора с круговой шкалой слишком низко. Для улучшения измерительной системы выполнены следующие действия:
- индикаторы с круговой шкалой заменены средствами измерений, способными выполнять измерения с точностью до 0,001 мм;
- после этой замены было проведено новое исследование GRR, и %R&R стал менее 10%. Это означает, что новая измерительная система является приемлемой.
(справочное)
ИССЛЕДОВАНИЕ GRR ДЛЯ УСИЛИЯ РАЗЪЕДИНЕНИЯ
ЧАСТЕЙ КОРПУСА ЗАРЯДНОГО УСТРОЙСТВА
D.1 Тип данных измерений
Переменные
D.2 Используемое средство измерений
Наименование средства измерений: TIRA 27025
Разрешение: 0,1 Н.
D.3 Описание процесса измерений
Организация, изготавливающая зарядные устройства и источники электропитания для мобильных терминалов и других переносных электронных устройств, располагает набором систем тестирования. Существует много элементов зарядного устройства, которые должны быть проверены. Одним из важных параметров является усилие разъединения частей корпуса после ультразвуковой сварки. Требованиями установлено, что это усилие должно быть не менее 650 Н. Для улучшения возможностей процесса и точного определения пригодности зарядных устройств по этому усилию необходима валидация измерительной системы. Как показано на
рисунке D.1, оператор устанавливает зарядное устройство в крепление испытательного стенда, а затем корпус зарядного устройства разрывают со скоростью 10 мм/мин. Машина (как показано на
рисунке D.2) фиксирует максимальное усилие, необходимое для разъединения частей A и B корпуса зарядного устройства. Это - разрушающие испытания. Экспериментаторы предполагают, что объекты из одной и той же партии более однородны, чем объекты из различных партий.

Рисунок D.1 - Крепление зарядного
устройства в процессе испытаний
Рисунок D.2 - Машина для определения усилия
разъединения частей корпуса
D.4 Возможные источники изменчивости измерительной системы
Для объектов из одной партии при изготовлении деталей A и B использованы одни и те же инструменты, форма, инъекционная машина, время, сырье и параметры инъекции. Детали корпуса собирает один и тот же оператор и последовательно соединяет с применением одной и той же ультразвуковой сварочной машины с одними и теми же параметрами. Отверстия с двух сторон корпуса зарядного устройства также сделаны одним и тем же оператором.
Для измерений используют одну испытательную машину. Поскольку процесс измерений является разрушающим, повторные измерения не могут быть получены на одном и том же объекте. В подобных условиях используют гнездовой эксперимент и считают объекты из одной и той же партии аналогичными. Все различия в измерениях, связанные с деталями A и B, приписаны повторяемости оборудования или определенным источникам воспроизводимости, таким как изменчивость, соответствующая оператору. Одна и та же партия образцов, измеренных два раза одним оператором, может быть использована для оценки повторяемости. Другая партия образцов, измеренных различными операторами, может быть использована для оценки воспроизводимости. Это приводит к использованию специального типа гнездового эксперимента, называемого "гнездовой уступчивый эксперимент".
D.5 План выборочного контроля
Для исследования случайным образом отобрано три оператора. Каждый оператор выполняет измерения на четырех партиях и двух объектах из каждой партии. В общей сложности в эксперименте используют 24 наблюдения. План эксперимента представлен в таблице D.1.
Таблица D.1
План эксперимента для проверки измерительной системы
Наблюдения | Оператор | Время | Партия |
Всего | 24 | 3 | 2 | 12 |
Выборка | Партия 1 | Партия 2 | Партия 3 | Партия 4 | Партия 5 | Партия 6 | Партия 7 | Партия 8 | Партия 9 | Партия 10 | Партия 11 | Партия 12 |
Оператор 1 | 1-1 | 2-1 | | | | | 7-1 | 8-1 | | 10-2 | 11-2 | |
1-2 | 2-2 | | | | | | | | | | |
Оператор 2 | | | 3-1 | 4-1 | | | 7-2 | | 9-1 | 10-1 | | 12-2 |
| | 3-2 | 4-2 | | | | | | | | |
Оператор 3 | | | | | 5-1 | 6-1 | | 8-2 | 9-2 | | 11-1 | 12-1 |
| | | | 5-2 | 6-2 | | | | | | |
Примечание - Партия 1 - нет отверстия, материал 1 (LG 121H-87273). Партия 2 - нет отверстия, материал 2 (Samsung PC HN-1064I). Партия 3 - нет отверстия, материал 3 (Bayer Ku2-1514 BBS073 901510). Партия 4 - количество отверстий - 1, материал 1 (LG 121H-87273). Партия 5 - количество отверстий - 1, материал 2 (Samsung PC HN-1064I). Партия 6 - количество отверстий - 1, материал 3 (Bayer Ku2-1514 BBS073 901510). Партия 7 - количество отверстий - 2, материал 1 (LG 121H-87273). Партия 8 - количество отверстий - 2, материал 2 (Samsung PC HN-1064I). Партия 9 - количество отверстий - 2, материал 3 (Bayer Ku2-1514 BBS073 901510). Партия 10 - количество отверстий - 1 и 2, материал 1 (LG 121H-87273). Партия 11 - количество отверстий - 1 и 2, материал 2 (Samsung PC HN-1064I). Партия 12 - количество отверстий - 1 и 2, материал 3 (Bayer Ku2-1514 BBS073 901510). |
D.6 Результаты измерений
Результаты измерений приведены в таблице D.2.
Таблица D.2
Результаты эксперимента
Оператор | Партия | Время | Наблюдаемое значение |
N 1 | 1 | 1 | 1449 |
1 | 2 | 1440 |
2 | 1 | 1682 |
2 | 2 | 1668 |
7 | 1 | 1801 |
8 | 1 | 1796 |
10 | 2 | 1292 |
11 | 2 | 1301 |
N 2 | 3 | 1 | 1448 |
3 | 2 | 1458 |
4 | 1 | 1561 |
4 | 2 | 1563 |
7 | 2 | 1153 |
10 | 1 | 1144 |
9 | 1 | 1242 |
12 | 2 | 1229 |
N 3 | 5 | 1 | 1326 |
5 | 2 | 1368 |
6 | 1 | 1150 |
6 | 2 | 1202 |
8 | 2 | 1222 |
9 | 2 | 1326 |
11 | 1 | 1322 |
12 | 1 | 1396 |
D.7 Статистические методы, используемые в исследовании GRR
Метод: REML
D.8 Статистический анализ
Программное обеспечение: JMP7
a) Мера изменчивости
b) Графики среднего отклонения
c) Графики стандартного отклонения
X - партия; Y1 - дата; Y2 - стандартное отклонение
Рисунок D.3 - Графические результаты гнездового
уступчивого эксперимента в исследовании GRR
Изменчивость |
Графики стандартного отклонения Данные были несбалансированны, поэтому был применен REML Fit. |
Отклики REML оценки дисперсии |
Воздействие | Отношение дисперсий | Дисперсия составляющей | Всего % |
Оператор | 40,453 97 | 16 362,16 | 34,795 |
Партия [оператор] | 74,808 173 | 30 258,15 | 64,344 |
Остатки | | 404,477 39 | 0,860 |
Всего | | | 100,000 |
Минус два логарифма функции правдоподобия: 286,796 545 28 |
Дисперсия составляющих |
Составляющая | Дисперсия составляющей | Всего % | | Квадратный корень из дисперсии составляющей |
Оператор | 16 362,716 | 34,8 | 127,92 |
Партия [оператор] | 30 258,15 | 64,3 | 173,95 |
Внутренняя изменчивость | 404,477 | 0,860 1 | 20,11 |
Всего | 47 025,408 | 100,0 | 216,85 |
Отношение дискриминации |
Источник | Отношение |
Оператор | 1,437 801 1 |
Партия [оператор] | 2,146 908 56 |
GRR |
Источник | | | |
Повторяемость (EV) | 120,669 7 | Изменчивость оборудования | V (Внутр. изменчивость) |
Воспроизводимость (AV) | 767,501 0 | Изменчивость оператора | V (Оператор) |
Оператор | 767,501 0 | | V (Оператор) |
GRR (RR) | 776,929 2 | Изменчивость измерений | V (Внутр. изменчивость) + V (Оператор) |
Изменчивость объекта (PV) | 1043,693 3 | Изменчивость образца | V (Партия) |
Общая изменчивость (TV) | 1301,120 6 | Общая изменчивость | V (Партия) + V (Внутр. изменчивость) + V (Оператор) |
6 | k |
59,712 3 | %R&R = 100*(RR/TV) |
0,744 4 | Отношение прецизионности к изменчивости объекта = RR/PV |
1 | Количество различных категорий = 1,41(PV/RR) |
Использование последней колонки "Партия" для объекта |
Дисперсия составляющих |
Составляющая | Дисперсия составляющей | Всего % | |
GRR | 16767,194 | 35,66 |
Повторяемость | 404,477 | 0,86 |
Воспроизводимость | 16362,716 | 34,80 |
По объектам | 30258,215 | 64,34 |
Рисунок D.4 - Отчет GRR
по гнездовому уступчивому эксперименту
На
рисунке D.3 в отчете GRR (см. рисунок D.4) показано, что основным источником изменчивости для данной измерительной системы является воспроизводимость. Дисперсия измерительной системы составляет 35,66% от общей дисперсии с воспроизводимостью 34,80% и повторяемостью 0,86%.
Результаты исследования GRR для данной измерительной системы: %R&R = 59,7% и NDC = 1.
D.9 Заключение
Значение %R&R = 59,7% значительно выше 30%. Следовательно, данная измерительная система является неприемлемой и не должна быть использована для измерений. Значение NDC равно 1 (менее 5), что означает, что разрешение измерительной системы чрезвычайно низко.
D.10 Действия по улучшению
Главным источником изменчивости является различная подготовка операторов. Устранение этого недостатка позволяет улучшить работу данной измерительной системы.
[1] | ISO 3534-1 | Statistics - Vocabulary and symbols - Part 1: General statistical terms and terms used in probability |
[2] | ISO 3534-2:2006 | Statistics - Vocabulary and symbols - Part 2: Applied statistics |
[3] | ISO 3534-3 | Statistics - Vocabulary and symbols - Part 3: Design of experiments |
[4] | ISO 5725-1 | Accuracy (trueness and precision) of measurement methods and results - Part 1: General principles and definitions |
[5] | ISO 10012 | Measurement management systems - Requirements for measurement processes and measuring equipment |
[6] | ISO/TS 16949 | Quality management systems - Particular requirements for the application of ISO 9001:2008 for automotive production and relevant service part organizations |
[7] | ISO/IEC Guide 99 | International vocabulary of metrology - Basic and general concepts and associated terms (VIM) |
[8] | IWA 1:2005 | Quality management systems - Guidelines for process improvements in health service organizations |