Главная // Актуальные документы // ПриказСПРАВКА
Источник публикации
М.: Стандартинформ, 2018
Примечание к документу
Документ
введен в действие с 1 октября 2018 года.
Название документа
"Р 1323565.1.017-2018. Рекомендации по стандартизации. Информационная технология. Криптографическая защита информации. Криптографические алгоритмы, сопутствующие применению алгоритмов блочного шифрования"
(утв. и введены в действие Приказом Росстандарта от 24.04.2018 N 206-ст)
"Р 1323565.1.017-2018. Рекомендации по стандартизации. Информационная технология. Криптографическая защита информации. Криптографические алгоритмы, сопутствующие применению алгоритмов блочного шифрования"
(утв. и введены в действие Приказом Росстандарта от 24.04.2018 N 206-ст)
Утверждены и введены в действие
агентства по техническому
регулированию и метрологии
от 24 апреля 2018 г. N 206-ст
РЕКОМЕНДАЦИИ ПО СТАНДАРТИЗАЦИИ
ИНФОРМАЦИОННАЯ ТЕХНОЛОГИЯ
КРИПТОГРАФИЧЕСКАЯ ЗАЩИТА ИНФОРМАЦИИ
КРИПТОГРАФИЧЕСКИЕ АЛГОРИТМЫ, СОПУТСТВУЮЩИЕ ПРИМЕНЕНИЮ
АЛГОРИТМОВ БЛОЧНОГО ШИФРОВАНИЯ
Information technology. Cryptographic data security.
Cryptographic algorithms accompanying
the use of block ciphers
Р 1323565.1.017-2018
Дата введения
1 октября 2018 года
1 РАЗРАБОТАНЫ Обществом с ограниченной ответственностью "КРИПТО-ПРО" (ООО "КРИПТО-ПРО")
2 ВНЕСЕНЫ Техническим комитетом по стандартизации ТК 26 "Криптографическая защита информации"
3 УТВЕРЖДЕНЫ И ВВЕДЕНЫ В ДЕЙСТВИЕ
Приказом Федерального агентства по техническому регулированию и метрологии от 24 апреля 2018 г. N 206-ст
4 ВВЕДЕНЫ ВПЕРВЫЕ
Правила применения настоящих рекомендаций установлены в статье 26 Федерального закона от 29 июня 2015 г. N 162-ФЗ "О стандартизации в Российской Федерации". Информация об изменениях к настоящим рекомендациям публикуется в ежегодном (по состоянию на 1 января текущего года) информационном указателе "Национальные стандарты", а официальный текст изменений и поправок - в ежемесячном информационном указателе "Национальные стандарты". В случае пересмотра (замены) или отмены настоящих рекомендаций соответствующее уведомление будет опубликовано в ближайшем выпуске ежемесячного информационного указателя "Национальные стандарты". Соответствующая информация, уведомление и тексты размещаются также в информационной системе общего пользования - на официальном сайте Федерального агентства по техническому регулированию и метрологии в сети Интернет (www.gost.ru)
Настоящие рекомендации содержат описание двух режимов работы блочных шифров с внутренним преобразованием ключа и алгоритмов импорта и экспорта ключей, сопутствующих применению алгоритмов блочного шифрования по
ГОСТ Р 34.12-2015 и режимов их работы согласно
ГОСТ Р 34.13-2015.
Необходимость разработки настоящих рекомендаций вызвана потребностью в обеспечении совместимости криптографических протоколов, использующих алгоритмы
ГОСТ Р 34.12-2015 и
ГОСТ Р 34.13-2015.
Примечание - Основная часть настоящих рекомендаций дополнена
приложениями А -
В.
Настоящие рекомендации предназначены для применения в информационных системах, использующих механизмы защиты данных, определенных в
ГОСТ Р 34.12-2015 и
ГОСТ Р 34.13-2015, в общедоступных и корпоративных сетях для защиты информации, не содержащей сведений, составляющих государственную тайну.
В настоящих рекомендациях использованы нормативные ссылки на следующие стандарты:
ГОСТ Р 34.12-2015 Информационная технология. Криптографическая защита информации. Блочные шифры
ГОСТ Р 34.13-2015 Информационная технология. Криптографическая защита информации. Режимы работы блочных шифров
Р 1323565.1.012-2017 Информационная технология. Криптографическая защита информации. Принципы разработки и модернизации шифровальных (криптографических) средств защиты информации
Примечание - При пользовании настоящими рекомендациями целесообразно проверить действие ссылочных документов в информационной системе общего пользования - на официальном сайте Федерального агентства по техническому регулированию и метрологии в сети Интернет или по ежегодному информационному указателю "Национальные стандарты", который опубликован по состоянию на 1 января текущего года, и по выпускам ежемесячного информационного указателя "Национальные стандарты" за текущий год. Если заменен ссылочный документ, на который дана недатированная ссылка, то рекомендуется использовать действующую версию этого документа с учетом всех внесенных в данную версию изменений. Если заменен ссылочный документ, на который дана датированная ссылка, то рекомендуется использовать версию этого документа с указанным выше годом утверждения (принятия). Если после утверждения настоящих рекомендаций в ссылочный документ, на который дана датированная ссылка, внесено изменение, затрагивающее положение, на которое дана ссылка, то это положение рекомендуется применять без учета данного изменения. Если ссылочный документ отменен без замены, то положение, в котором дана ссылка на него, применяется в части, не затрагивающей эту ссылку.
В настоящих рекомендациях используют следующие обозначения:
V* | - | множество всех двоичных строк конечной длины, включая пустую строку; |
Vs | - | множество двоичных строк длины s, s >= 0; нумерация подстрок и компонент строки осуществлена справа налево начиная с единицы; |
| - | множество всех двоичных строк длины l >= s, где s - целое неотрицательное число:  ; |
Bs | - | множество байтовых строк длины s, s >= 0; нумерация компонент строки осуществлена слева направо начиная с единицы. Строка b = ( b1, ..., bs) принадлежит множеству Bs, если компоненты  . При s = 0 множество Bs состоит из единственной пустой строки длины 0; |
|| | - | конкатенация двоичных строк; если  ,  , то их конкатенацией  называется строка  ; |
| - | операция покомпонентного сложения по модулю 2 двух двоичных строк одинаковой длины; |
| - | кольцо вычетов по модулю 2s; |
| - | операция сложения в кольце  , |
| - | операция логического сдвига двоичной строки  на r компонент в сторону компонент, имеющих большие номера; |
| - | длина битовой строки  ; |
| - | наименьшее целое число, большее или равное x; |
| - | отображение, реализующее базовый алгоритм блочного шифрования на ключе K; |
n | - | параметр алгоритма блочного шифрования, называемый длиной блока. В рамках настоящих рекомендаций измеряется в битах; |
k | - | параметр алгоритма блочного шифрования, называемый длиной ключа. В рамках настоящих рекомендаций измеряется в битах и принимает значение 256; |
ar | - | строка, состоящая из r элементов  ; |
| - | отображение, ставящее в соответствие двоичной строке  число  ; |
| - | отображение, обратное к отображению Ints; |
| - | отображение, ставящее в соответствие двоичной строке  строку  ; |
| - | отображение, ставящее в соответствие двоичной строке  строку  , 1 <= t <= s; |
| - | отображение, ставящее в соответствие двоичной строке  байтовую строку  , где  , i = 1, ..., s. При этом строка b называется байтовым представлением двоичной строки  , а ее элементы b1, ..., bs - байтами. |
Примечание - В настоящих рекомендациях при записи байтовой строки каждый байт представлен в шестнадцатеричном виде и отделен от соседних пробелами. Предполагается, что двоичной строке

соответствует байтовая строка

и наоборот. Например, двоичная строка 1100101100011000 соответствует байтовой строке CB 18.
4 Режимы работы блочных шифров с преобразованием ключа
Настоящие рекомендации определяют следующие режимы работы алгоритмов блочного шифрования, которые используют в процессе своей работы функции ACPKM и ACPKM-Master:
- режим шифрования CTR-ACPKM;
- режим выработки имитовставки OMAC-ACPKM.
Данные режимы можно использовать в качестве режимов для блочных шифров "Магма" или "Кузнечик", определенных в
ГОСТ Р 34.12-2015. В первом случае подразумевается, что в качестве отображения
EK использован блочный шифр "Магма" с длиной блока
n = 64; во втором случае подразумевается, что в качестве отображения
EK использован блочный шифр "Кузнечик" с длиной блока
n = 128.
Использование двух разных блочных шифров в рамках одного режима работы алгоритма блочного шифрования не допускается. Использование двух одинаковых ключей для режима шифрования CTR-ACPKM и режима выработки имитовставки OMAC-ACPKM в рамках одной криптосистемы не допускается, при этом должна быть обеспечена независимость данных ключей.
4.1 Режим шифрования CTR-ACPKM
При обработке сообщений в режиме CTR-ACPKM каждое сообщение разбивают на секции, где под секцией понимается строка, состоящая из данных, обрабатываемых на одном секционном ключе до применения к нему функции
ACPKM, определенной в
4.1.1.
Параметром, определяющим порядок функционирования режима CTR-ACPKM, является длина секции N. Значение N выражено в битах и фиксировано в рамках каждого конкретного протокола исходя из требований к производительности системы и нагрузке на ключ. Длина секции N должна быть кратна длине блока n используемого блочного шифра. Дополнительный параметр режима CTR-ACPKM - это длина блока гаммы s, 0 < s <= n, выраженная в битах. Величина s должна делить длину блока n.
Процесс обработки сообщений в режиме CTR-ACPKM схематично представлен на
рисунке 1.
Рисунок 1 - Обработка сообщений в режиме CTR-ACPKM
Примечание - На
рисунке 1 через
mmax обозначена максимальная длина сообщения, выраженная в битах,

.
При обработке каждого сообщения
M =
Mj,
j = 1, 2, ..., в режиме CTR-ACPKM сообщение разбивают на

секций и представляют в виде

, где
i = 1, 2, ...,
l - 1,

,
w <=
N. Первую секцию каждого сообщения обрабатывают на секционном ключе
K1, который равен начальному ключу
K. Для обработки
i-ой секции каждого сообщения,
i = 2, ...,
l, используют секционный ключ
Ki, который вычисляют из значения ключа
Ki-1 с помощью функции ACPKM.
Результатом зашифрования сообщения M длины m в режиме CTR-ACPKM на начальном ключе K с длиной секции N и вектором инициализации IV является строка C, |C| = |M|, которая формируется по следующей схеме:

(1)
При использовании режима CTR-ACPKM не требуется применение процедуры дополнения сообщения.
Длина m сообщения, обрабатываемого в режиме CTR-ACPKM, не должна превышать значения 2n/2-1·s бит.
Для обработки каждого отдельного сообщения в режиме CTR-ACPKM на одном начальном ключе
K использовано значение уникальной синхропосылки

.
Функция
ACPKM принимает на вход ключ
Ki-1 длины
k бит и преобразует его в ключ
Ki той же длины. Функция
ACPKM определяется в зависимости от используемого блочного шифра "Магма" или "Кузнечик", определенного в
ГОСТ Р 34.12-2015, следующим образом:

(2)
где

,

, а константа

задана следующим образом:
D = 80 81 82 83 84 85 86 87 88 89 8A 8B 8C 8D 8E 8F
90 91 92 93 94 95 96 97 98 99 9A 9B 9C 9D 9E 9F.
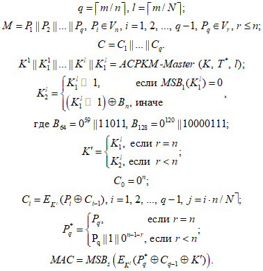
4.2 Режим выработки имитовставки OMAC-ACPKM
При вычислении имитовставки сообщения в режиме OMAC-ACPKM каждое сообщение разбивают на секции, где под секцией понимается строка, состоящая из данных, обрабатываемых на одном секционном ключе до применения к нему функции
ACPKM-Master, определенной в
4.2.1.
При формировании имитовставки в режиме OMAC-ACPKM начальный ключ
K не используют непосредственно для обработки данных и задействуют только для порождения последовательности секционных ключей. Параметрами, определяющими порядок функционирования режима OMAC-ACPKM, является длина секции
N и частота
T* смены мастер-ключей, обозначенных на
рисунке 2 
,

, ...,

. Параметры
N и
T* выражены в битах. Значения
N и
T* фиксируют в рамках каждого конкретного протокола исходя из требований к производительности системы и нагрузке на ключ. Длина секции
N должна быть кратна длине блока
n используемого блочного шифра. Частота смены ключа
T* должна быть кратна
k +
n. Дополнительный параметр режима OMAC-ACPKM - это длина имитовставки
s, 0 <
s <=
n, выраженная в битах.
Рисунок 2 - Обработка сообщений в режиме OMAC-ACPKM
Примечание - На
рисунке 2 через
mmax обозначена максимальная длина сообщения, выраженная в битах,

,
t =
T*/(
k +
n).
Процесс обработки сообщений в режиме OMAC-ACPKM схематично представлен на
рисунке 2.
При обработке сообщения
Mj длины
m в режиме OMAC-ACPKM на начальном ключе
K сообщение разбивают на

секций и представляют в виде

, где

,
i = 1, 2, ...,
l - 1,

,
w <=
N. Для обработки секции изначального ключа
K с помощью функции
ACPKM-Master вырабатывается последовательность ключевого материала секций

. Каждая
i-я секция,
i = 1, 2, ...,
l - 1, обрабатывается на ключе
Ki. Для обработки последней
l-й секции использованы ключ
Kl и вспомогательный ключ

.
Результатом вычисления имитовставки сообщения M длины m в режиме OMAC-ACPKM на начальном ключе K с длиной секции N и частотой смены ключа T* является строка MAC длины s, которая формируется по следующей схеме:

(3)
Длина
m сообщения, обрабатываемого в режиме OMAC-ACPKM, не должна превышать значения

бит.
Очередная часть ключевого материала секции K[i] может быть вычислена по мере необходимости при поступлении данных на вход (может обеспечиваться потоковый режим обработки данных).
4.2.1 Функция ACPKM-Master
Функция
ACPKM-Master принимает на вход начальный ключ
K длины
k бит, параметр частоты смены мастер-ключа
T* и количество элементов
l в последовательности ключевого материала секций, которые необходимо выработать. Функция
ACPKM-Master задана в соответствии с выбранным блочным шифром "Магма" или "Кузнечик", определенным в
ГОСТ Р 34.12-2015, следующим образом:

(4)
где

является функцией зашифрования в режиме CTR-ACPKM, которая принимает на вход ключ
K, размер секции
N, значение вектора инициализации

и сообщение
M.
5 Алгоритмы экспорта KExp15 и импорта KImp15 ключа
В данном разделе приведены алгоритмы экспорта и импорта ключа, использующие в своей работе один из блочных шифров, определенных в
ГОСТ Р 34.12-2015 ("Магма" или "Кузнечик").
Входными параметрами алгоритма экспорта ключа KExp15 являются экспортируемый ключ

, ключ вычисления имитовставки

, ключ шифрования

и значение

. При этом должна быть обеспечена независимость ключей

и

. Экспортное представление ключа
K формируется по следующей схеме:
- вычисляют значение имитовставки KEYMAC длины n бит:

(5)
где
OMAC (
K,
M) - функция выработки имитовставки, описанная в
ГОСТ Р 34.13-2015, на ключе
K от данных
M;
- вычисляют значение KEXP:

(6)
где |
encKey| = |
K|, |
encKeyMAC| = |
KEYMAC|,
CTR (
K,
IV, M) - функция зашифрования в режиме гаммирования с длиной блока гаммы
s =
n, представленном в
ГОСТ Р 34.13-2015, принимающая на вход ключ
K, вектор инициализации
IV и данные
M;
- результат работы алгоритма экспорта ключа
K называется экспортным представлением ключа
K, обозначается через

и полагается равным строке
KEXP:

(7)
Импорт ключа по алгоритму KImp15 (получение ключа
K по экспортному представлению
KEXP с помощью ключей

и значения

) осуществляется по следующей схеме:
- строка
KEXP расшифровывается на ключе

в соответствии с режимом гаммирования с длиной блока гаммы
s =
n, приведенным в
ГОСТ Р 34.13-2015, при этом вектор инициализации полагается равным
IV. Строка

полагается равной результату расшифрования;
- вычисляют значение имитовставки длины
n бит в соответствии с режимом выработки имитовставки, указанным в
ГОСТ Р 34.13-2015, от данных

на ключе

. Если результат отличен от
KEYMAC, возвращается ошибка;
- результат работы алгоритма импорта ключа от его экспортного представления
KEXP обозначается через

и полагается равным строке
K:

(8)
В рамках применения одной и той же пары ключей (

,

) значения
IV, используемые в качестве входных параметров алгоритма экспорта ключа KExp15, должны быть уникальными. Для выработки этих значений может быть использован детерминированный счетчик. Для осуществления импорта ключа в соответствии с алгоритмом KImp15 каждое значение
IV должно либо передаваться вместе с экспортным представлением ключа, либо являться предварительно распределенным значением.
Допускается применение алгоритмов экспорта KExp15 и импорта KImp15 к ключу K произвольного криптографического алгоритма.
(справочное)
КОНТРОЛЬНЫЕ ПРИМЕРЫ ДЛЯ РЕЖИМОВ РАБОТЫ
БЛОЧНЫХ ШИФРОВ С ПРЕОБРАЗОВАНИЕМ КЛЮЧА
В данном приложении представлены контрольные примеры работы режимов работы блочных шифров с преобразованием ключа, приведенных в
разделе 4. Параметры
s,
m,
N и
T* выбраны из соображений демонстрации особенностей работы алгоритмов.
А.1 Режим шифрования CTR-ACPKM для шифра "Магма"
В настоящем разделе приведены тестовые примеры работы режима шифрования CTR-ACPKM для шифра "Магма" со следующими входными данными:
- длина блока n - 64 бита;
- длина блока гаммы s - 64 бита;
- размер секции N - 128 бит;
- ключ K:
88 99 AA BB CC DD EE FF 00 11 22 33 44 55 66 77
FE DC BA 98 76 54 32 10 01 23 45 67 89 AB CD EF;
- вектор инициализации IV:
12 34 56 78;
- открытый текст M:
11 22 33 44 55 66 77 00 FF EE DD CC BB AA 99 88
00 11 22 33 44 55 66 77 88 99 AA BB CC EE FF 0A
11 22 33 44 55 66 77 88 99 AA BB CC EE FF 0A 00
22 33 44 55 66 77 88 99.
Сообщение
M разбивают на четыре секции
M1,
M2,
M3,
M4, каждую из которых разбивают на блоки. Обработку данных производят в соответствии с
таблицами А.1.1 -
А.1.4.
Таблица А.1.1
Обработка секции
M1 в режиме CTR-ACPKM для шифра "Магма"
Секция M1 | 11 | 22 | 33 | 44 | 55 | 66 | 77 | 00 | FF | EE | DD | CC | BB | AA | 99 | 88 |
Ключ K1 | 88 | 99 | AA | BB | CC | DD | EE | FF | 00 | 11 | 22 | 33 | 44 | 55 | 66 | 77 |
FE | DC | BA | 98 | 76 | 54 | 32 | 10 | 01 | 23 | 45 | 67 | 89 | AB | CD | EF |
Обработка 1-го блока: |
Счетчик CTR1 | 12 | 34 | 56 | 78 | 00 | 00 | 00 | 00 | |
Блок гаммы | 3B | 9A | 2E | AA | BE | 78 | 3B | AB | |
Блок открытого текста P1 | 11 | 22 | 33 | 44 | 55 | 66 | 77 | 00 | |
Блок шифртекста C1 | 2A | B8 | 1D | EE | EB | 1E | 4C | AB | |
Обработка 2-го блока: |
Счетчик CTR2 | 12 | 34 | 56 | 78 | 00 | 00 | 00 | 01 | |
Блок гаммы | 97 | 0F | D9 | 08 | 06 | C1 | 0D | 62 | |
Блок открытого текста P2 | FF | EE | DD | CC | BB | AA | 99 | 88 | |
Блок шифртекста C2 | 68 | E1 | 04 | C4 | BD | 6B | 94 | EA | |
Таблица А.1.2
Обработка секции M2 в режиме CTR-ACPKM для шифра "Магма"
Секция M2 | 00 | 11 | 22 | 33 | 44 | 55 | 66 | 77 | 88 | 99 | AA | BB | CC | EE | FF | 0A |
Ключ K2 | 86 | 3E | A0 | 17 | 84 | 2C | 3D | 37 | 2B | 18 | A8 | 5A | 28 | E2 | 31 | 7D |
74 | BE | FC | 10 | 77 | 20 | DE | 0C | 9E | 8A | B9 | 74 | AB | D0 | 0C | A0 |
Обработка 3-го блока: |
Счетчик CTR3 | 12 | 34 | 56 | 78 | 00 | 00 | 00 | 02 | |
Блок гаммы | C7 | 3D | 45 | 9C | 28 | 7B | 3D | 1C | |
Блок открытого текста P3 | 00 | 11 | 22 | 33 | 44 | 55 | 66 | 77 | |
Блок шифртекста C3 | C7 | 2C | 67 | AF | 6C | 2E | 5B | 6B | |
Обработка 4-го блока: |
Счетчик CTR4 | 12 | 34 | 56 | 78 | 00 | 00 | 00 | 03 |
Блок гаммы | 86 | 36 | 1C | AC | BC | 1F | 4C | 24 |
Блок открытого текста P4 | 88 | 99 | AA | BB | CC | EE | FF | 0A |
Блок шифртекста C4 | 0E | AF | B6 | 17 | 70 | F1 | B3 | 2E |
Таблица А.1.3
Обработка секции M3 в режиме CTR-ACPKM для шифра "Магма"
Секция M3 | 11 | 22 | 33 | 44 | 55 | 66 | 77 | 88 | 99 | AA | BB | CC | EE | FF | 0A | 00 |
Ключ K3 | 49 | A5 | E2 | 67 | 7D | E5 | 55 | 98 | 2B | 8A | D5 | E8 | 26 | 65 | 2D | 17 |
EE | C8 | 47 | BF | 5B | 39 | 97 | A8 | 1C | F7 | FE | 7F | 11 | 87 | BD | 27 |
Обработка 5-го блока: |
Счетчик CTR5 | 12 | 34 | 56 | 78 | 00 | 00 | 00 | 04 | |
Блок гаммы | B0 | 8C | 42 | 50 | CB | 8B | 64 | 0A | |
Блок открытого текста P5 | 11 | 22 | 33 | 44 | 55 | 66 | 77 | 88 | |
Блок шифртекста C5 | A1 | AE | 71 | 14 | 9E | ED | 13 | 82 | |
Обработка 6-го блока: |
Счетчик CTR6 | 12 | 34 | 56 | 78 | 00 | 00 | 00 | 05 | |
Блок гаммы | 32 | 7E | DC | D4 | E8 | 8D | E6 | 6F | |
Блок открытого текста P6 | 99 | AA | BB | CC | EE | FF | 0A | 00 | |
Блок шифртекста C6 | AB | D4 | 67 | 18 | 06 | 72 | EC | 6F | |
Таблица А.1.4
Обработка секции
M4 в режиме CTR-ACPKM для шифра "Магма"
Секция M4 | 22 | 33 | 44 | 55 | 66 | 77 | 88 | 99 | |
Ключ K4 | 32 | 56 | BF | 3F | 97 | B5 | 66 | 74 | 26 | A9 | FB | 1C | 5E | AA | BE | 41 |
89 | 3C | CD | D5 | A8 | 68 | F9 | B6 | 3B | 0A | A9 | 07 | 20 | FA | 43 | C4 |
Обработка 7-го блока: |
Счетчик CTR7 | 12 | 34 | 56 | 78 | 00 | 00 | 00 | 06 | |
Блок гаммы | A6 | 91 | B5 | 0E | 59 | BD | FA | 58 | |
Блок открытого текста P7 | 22 | 33 | 44 | 55 | 66 | 77 | 88 | 99 | |
Блок шифртекста C7 | 84 | A2 | F1 | 5B | 3F | CA | 72 | C1 | |
Результатом зашифрования открытого текста
M в режиме CTR-ACPKM в данном случае является строка

:
2A B8 1D EE EB 1E 4C AB 68 E1 04 C4 BD 6B 94 EA
C7 2C 67 AF 6C 2E 5B 6B 0E AF B6 17 70 F1 B3 2E
A1 AE 71 14 9E ED 13 82 AB D4 67 18 06 72 EC 6F
84 A2 F1 5B 3F CA 72 C1.
А.2 Режим шифрования CTR-ACPKM для шифра "Кузнечик"
В настоящем разделе приведены тестовые примеры работы режима шифрования CTR-ACPKM для шифра "Кузнечик" со следующими входными данными:
- длина блока n - 128 бит;
- длина блока гаммы s - 128 бит;
- размер секции N - 256 бит;
- ключ K:
88 99 AA BB CC DD EE FF 00 11 22 33 44 55 66 77
FE DC BA 98 76 54 32 10 01 23 45 67 89 AB CD EF;
- вектор инициализации IV:
12 34 56 78 90 AB CE F0;
- открытый текст M:
11 22 33 44 55 66 77 00 FF EE DD CC BB AA 99 88
00 11 22 33 44 55 66 77 88 99 AA BB CC EE FF 0A
11 22 33 44 55 66 77 88 99 AA BB CC EE FF 0A 00
22 33 44 55 66 77 88 99 AA BB CC EE FF 0A 00 11
33 44 55 66 77 88 99 AA BB CC EE FF 0A 00 11 22
44 55 66 77 88 99 AA BB CC EE FF 0A 00 11 22 33
55 66 77 88 99 AA BB CC EE FF 0A 00 11 22 33 44.
Сообщение
M разбивают на четыре секции
M1,
M2,
M3,
M4, каждую из которых разбивают на блоки. Обработку данных производят в соответствии с
таблицами А.2.1 -
А.2.4.
Таблица А.2.1
Обработка секции
M1 в режиме CTR-ACPKM для шифра "Кузнечик"
Секция M1 | 11 | 22 | 33 | 44 | 55 | 66 | 77 | 00 | FF | EE | DD | CC | BB | AA | 99 | 88 |
00 | 11 | 22 | 33 | 44 | 55 | 66 | 77 | 88 | 99 | AA | BB | CC | EE | FF | 0A |
Ключ K1 | 88 | 99 | AA | BB | CC | DD | EE | FF | 00 | 11 | 22 | 33 | 44 | 55 | 66 | 77 |
FE | DC | BA | 98 | 76 | 54 | 32 | 10 | 01 | 23 | 45 | 67 | 89 | AB | CD | EF |
Обработка 1-го блока: |
Счетчик CTR1 | 12 | 34 | 56 | 78 | 90 | AB | CE | F0 | 00 | 00 | 00 | 00 | 00 | 00 | 00 | 00 |
Блок гаммы | E0 | B7 | EB | FA | 94 | 68 | A6 | DB | 2A | 95 | 82 | 6E | FB | 17 | 38 | 30 |
Блок открытого текста P1 | 11 | 22 | 33 | 44 | 55 | 66 | 77 | 00 | FF | EE | DD | CC | BB | AA | 99 | 88 |
Блок шифртекста C1 | F1 | 95 | D8 | BE | C1 | 0E | D1 | DB | D5 | 7B | 5F | A2 | 40 | BD | A1 | B8 |
Обработка 2-го блока: |
Счетчик CTR2 | 12 | 34 | 56 | 78 | 90 | AB | CE | F0 | 00 | 00 | 00 | 00 | 00 | 00 | 00 | 01 |
Блок гаммы | 85 | FF | C5 | 00 | B2 | F4 | 58 | 2A | 7B | A5 | 4E | 08 | F0 | AB | 21 | EE |
Блок открытого текста P2 | 00 | 11 | 22 | 33 | 44 | 55 | 66 | 77 | 88 | 99 | AA | BB | CC | EE | FF | 0A |
Блок шифртекста C2 | 85 | EE | E7 | 33 | F6 | A1 | 3E | 5D | F3 | 3C | E4 | B3 | 3C | 45 | DE | E4 |
Таблица А.2.2
Обработка секции M2 в режиме CTR-ACPKM для шифра "Кузнечик"
Секция M2 | 11 | 22 | 33 | 44 | 55 | 66 | 77 | 88 | 99 | AA | BB | CC | EE | FF | 0A | 00 |
22 | 33 | 44 | 55 | 66 | 77 | 88 | 99 | AA | BB | CC | EE | FF | 0A | 00 | 11 |
Ключ K2 | 26 | 66 | ED | 40 | AE | 68 | 78 | 11 | 74 | 5C | A0 | B4 | 48 | F5 | 7A | 7B |
39 | 0A | DB | 57 | 80 | 30 | 7E | 8E | 96 | 59 | AC | 40 | 3A | E6 | 0C | 60 |
Обработка 3-го блока: |
Счетчик CTR3 | 12 | 34 | 56 | 78 | 90 | AB | CE | F0 | 00 | 00 | 00 | 00 | 00 | 00 | 00 | 02 |
Блок гаммы | 5A | EC | D8 | CB | 31 | 09 | 3B | DD | 99 | BD | BD | EB | B0 | 7A | E2 | 00 |
Блок открытого текста P3 | 11 | 22 | 33 | 44 | 55 | 66 | 77 | 88 | 99 | AA | BB | CC | EE | FF | 0A | 00 |
Блок шифртекста C3 | 4B | CE | EB | 8F | 64 | 6F | 4C | 55 | 00 | 17 | 06 | 27 | 5E | 85 | E8 | 00 |
Обработка 4-го блока: |
Счетчик CTR4 | 12 | 34 | 56 | 78 | 90 | AB | CE | F0 | 00 | 00 | 00 | 00 | 00 | 00 | 00 | 03 |
Блок гаммы | 7A | 4F | 09 | A0 | 0E | A7 | 1C | A0 | 94 | F3 | F8 | 41 | 2F | 8A | 50 | 57 |
Блок открытого текста P4 | 22 | 33 | 44 | 55 | 66 | 77 | 88 | 99 | AA | BB | CC | EE | FF | 0A | 00 | 11 |
Блок шифртекста C4 | 58 | 7C | 4D | F5 | 68 | D0 | 94 | 39 | 3E | 48 | 34 | AF | D0 | 80 | 50 | 46 |
Таблица А.2.3
Обработка секции M3 в режиме CTR-ACPKM для шифра "Кузнечик"
Секция M3 | 33 | 44 | 55 | 66 | 77 | 88 | 99 | AA | BB | CC | EE | FF | 0A | 00 | 11 | 22 |
44 | 55 | 66 | 77 | 88 | 99 | AA | BB | CC | EE | FF | 0A | 00 | 11 | 22 | 33 |
Ключ K3 | BB | 3D | D5 | 40 | 2E | 99 | 9B | 7A | 3D | EB | B0 | DB | 45 | 44 | 8E | C5 |
30 | F0 | 73 | 65 | DF | EE | 3A | BA | 84 | 15 | F7 | 7A | C8 | F3 | 4C | E8 |
Обработка 5-го блока: |
Счетчик CTR5 | 12 | 34 | 56 | 78 | 90 | AB | CE | F0 | 00 | 00 | 00 | 00 | 00 | 00 | 00 | 04 |
Блок гаммы | FC | 74 | A0 | 10 | F1 | 26 | 75 | 4B | A7 | 30 | 82 | CE | 61 | 8A | 98 | 4C |
Блок открытого текста P5 | 33 | 44 | 55 | 66 | 77 | 88 | 99 | AA | BB | CC | EE | FF | 0A | 00 | 11 | 22 |
Блок шифртекста C5 | CF | 30 | F5 | 76 | 86 | AE | EC | E1 | 1C | FC | 6C | 31 | 6B | 8A | 89 | 6E |
Обработка 6-го блока: |
Счетчик CTR6 | 12 | 34 | 56 | 78 | 90 | AB | CE | F0 | 00 | 00 | 00 | 00 | 00 | 00 | 00 | 05 |
Блок гаммы | 9B | A8 | 61 | 9B | 09 | AF | 9C | FD | C0 | A1 | C4 | 7E | 34 | 32 | 34 | 0D |
Блок открытого текста P6 | 44 | 55 | 66 | 77 | 88 | 99 | AA | BB | CC | EE | FF | 0A | 00 | 11 | 22 | 33 |
Блок шифртекста C6 | DF | FD | 07 | EC | 81 | 36 | 36 | 46 | 0C | 4F | 3B | 74 | 34 | 23 | 16 | 3E |
Таблица А.2.4
Обработка секции
M4 в режиме CTR-ACPKM для шифра "Кузнечик"
Секция M4 | 55 | 66 | 77 | 88 | 99 | AA | BB | CC | EE | FF | 0A | 00 | 11 | 22 | 33 | 44 |
Ключ K4 | 23 | 36 | 2F | D5 | 53 | CA | D2 | 17 | 82 | 99 | A5 | B5 | A2 | D4 | 72 | 2E |
3B | B8 | 3C | 73 | 0A | 8B | F5 | 7C | E2 | DD | 00 | 40 | 17 | F8 | C5 | 65 |
Обработка 7-го блока: |
Счетчик CTR7 | 12 | 34 | 56 | 78 | 90 | AB | CE | F0 | 00 | 00 | 00 | 00 | 00 | 00 | 00 | 06 |
Блок гаммы | 31 | 6F | DE | 4A | 1B | 50 | 73 | 18 | 87 | 2D | 2B | E7 | EA | F4 | ED | 19 |
Блок открытого текста P7 | 55 | 66 | 77 | 88 | 99 | AA | BB | CC | EE | FF | 0A | 00 | 11 | 22 | 33 | 44 |
Блок шифртекста C7 | 64 | 09 | A9 | C2 | 82 | FA | C8 | D4 | 69 | D2 | 21 | E7 | FB | D6 | DE | 5D |
Результатом зашифрования открытого текста
M в режиме CTR-ACPKM в данном случае является строка

:
F1 95 D8 BE C1 0E D1 DB D5 7B 5F A2 40 BD A1 B8
85 EE E7 33 F6 A1 3E 5D F3 3C E4 B3 3C 45 DE E4
4B CE EB 8F 64 6F 4C 55 00 17 06 27 5E 85 E8 00
58 7C 4D F5 68 D0 94 39 3E 48 34 AF D0 80 50 46
CF 30 F5 76 86 AE EC E1 1C FC 6C 31 6B 8A 89 6E
DF FD 07 EC 81 36 36 46 0C 4F 3B 74 34 23 16 3E
64 09 A9 C2 82 FA C8 D4 69 D2 21 E7 FB D6 DE 5D.
А.3 Режим выработки имитовставки OMAC-ACPKM для шифра "Магма"
В настоящем разделе приведены тестовые примеры работы режима выработки имитовставки OMAC-ACPKM для шифра "Магма" со следующими входными данными:
длина блока n - 64 бита;
длина блока гаммы s - 64 бита;
размер секции N - 128 бит;
частота смены ключа T* - 640 бит;
ключ K:
88 99 AA BB CC DD EE FF 00 11 22 33 44 55 66 77
FE DC BA 98 76 54 32 10 01 23 45 67 89 AB CD EF.
А.3.1 Пример работы режима OMAC-ACPKM для шифра "Магма" с открытым текстом длины 1,5 блока
Открытый текст M длины 1,5 блока:
11 22 33 44 55 66 77 00 FF EE DD CC.
Сообщение M состоит из одной секции M1, которую разбивают на блоки.
При формировании ключевого материала вырабатывается строка

:
0D F2 F5 27 3D A3 28 93 2A C4 9D 81 D3 6B 25 58
A5 0D BF 9B BC AC 74 A6 14 B2 CC B2 Fl CB CD 8A
70 63 8E 3D E8 B3 57 1E.
Таблица А.3.1.1
Обработка секции
M1 в режиме OMAC-ACPKM для шифра "Магма"
Секция M1 | 11 | 22 | 33 | 44 | 55 | 66 | 77 | 00 | FF | EE | DD | CC | |
Ключ K1 | 0D | F2 | F5 | 27 | 3D | A3 | 28 | 93 | 2A | C4 | 9D | 81 | D3 | 6B | 25 | 58 |
A5 | 0D | BF | 9B | BC | AC | 74 | A6 | 14 | B2 | CC | B2 | F1 | CB | CD | 8A |
Ключ  | 70 | 63 | 8E | 3D | E8 | B3 | 57 | 1E | |
Обработка 1-го блока: |
Блок открытого текста P1 | 11 | 22 | 33 | 44 | 55 | 66 | 77 | 00 |
Входной блок  | 11 | 22 | 33 | 44 | 55 | 66 | 77 | 00 |
Выходной блок C1 | A0 | 2B | D0 | 1D | 04 | 5A | 9E | 45 |
Обработка 2-го блока: |
Ключ K' | E0 | C7 | 1C | 7B | D1 | 66 | AE | 3C |
Блок открытого текста P*2 | FF | EE | DD | CC | 80 | 00 | 00 | 00 |
Входной блок  | BF | 02 | 11 | AA | 55 | 3C | 30 | 79 |
Выходной блок C2 | A0 | 54 | 0E | 37 | 30 | AC | BC | F3 |
Результатом вычисления имитовставки сообщения M в режиме OMAC-ACPKM в данном случае является строка C2:
A0 54 0E 37 30 AC BC F3.
А.3.2 Пример работы режима OMAC-ACPKM для шифра "Магма" с открытым текстом длины 5 блоков
Открытый текст M длины 5 блоков:
11 22 33 44 55 66 77 00 FF EE DD CC BB AA 99 88
00 11 22 33 44 55 66 77 88 99 AA BB CC EE FF 0A
11 22 33 44 55 66 77 88.
Сообщение M разбивают на три секции M1, M2, M3, каждую из которых разбивают на блоки.
При формировании ключевого материала вырабатывается строка

:
0D F2 F5 27 3D A3 28 93 2A C4 9D 81 D3 6B 25 58
A5 0D BF 9B BC AC 74 A6 14 B2 CC B2 Fl CB CD 8A
70 63 8E 3D E8 B3 57 1E 8D 38 26 D5 5E 63 A1 67
E2 40 66 40 54 7B 9F 1F 5F 2B 43 61 2A AE AF DA
18 0B AC 86 04 DF A6 FE 53 C2 CE 27 0E 9C 9F 52
68 D0 FD BF E1 A3 BD D9 BE 5B 96 D0 A1 20 23 48
6E F1 71 0F 92 4A E0 31 30 52 CB 5F CA 0B 79 1E
1B AB E8 57 6D 0F E3 A8.
Таблица А.3.2.1
Обработка секции
M1 в режиме OMAC-ACPKM для шифра "Магма"
Секция M1 | 11 | 22 | 33 | 44 | 55 | 66 | 77 | 00 | FF | EE | DD | CC | BB | AA | 99 | 88 |
Ключ K1 | 0D | F2 | F5 | 27 | 3D | A3 | 28 | 93 | 2A | C4 | 9D | 81 | D3 | 6B | 25 | 58 |
A5 | 0D | BF | 9B | BC | AC | 74 | A6 | 14 | B2 | CC | B2 | F1 | CB | CD | 8A |
Обработка 1-го блока: |
Блок открытого текста P1 | 11 | 22 | 33 | 44 | 55 | 66 | 77 | 00 | |
Входной блок  | 11 | 22 | 33 | 44 | 55 | 66 | 77 | 00 | |
Выходной блок C1 | A0 | 2B | D0 | 1D | 04 | 5A | 9E | 45 | |
Обработка 2-го блока: |
Блок открытого текста P2 | FF | EE | DD | CC | BB | AA | 99 | 88 | |
Входной блок  | 5F | C5 | 0D | D1 | BF | F0 | 07 | CD | |
Выходной блок C2 | 1D | 61 | FD | 38 | 6F | E5 | 8E | 2F | |
Таблица А.3.2.2
Обработка секции M2 в режиме OMAC-ACPKM для шифра "Магма"
Секция M2 | 00 | 11 | 22 | 33 | 44 | 55 | 66 | 77 | 88 | 99 | AA | BB | CC | EE | FF | 0A |
Ключ K2 | 8D | 38 | 26 | D5 | 5E | 63 | A1 | 67 | E2 | 40 | 66 | 40 | 54 | 7B | 9F | 1F |
5F | 2B | 43 | 61 | 2A | AE | AF | DA | 18 | 0B | AC | 86 | 04 | DF | A6 | FE |
Обработка 3-го блока: |
Блок открытого текста P3 | 00 | 11 | 22 | 33 | 44 | 55 | 66 | 77 |
Входной блок  | 1D | 70 | DF | 0B | 2B | B0 | E8 | 58 |
Выходной блок C3 | E7 | 9A | E5 | A1 | 8F | 11 | 24 | 6B |
Обработка 4-го блока: |
Блок открытого текста P4 | 88 | 99 | AA | BB | CC | EE | FF | 0A |
Входной блок  | 6F | 03 | 4F | 1A | 43 | FF | DB | 61 |
Выходной блок C4 | A3 | 1E | 9B | 72 | 1F | 64 | 88 | E8 |
Таблица А.3.2.3
Обработка секции
M3 в режиме OMAC-ACPKM для шифра "Магма"
Секция M3 | 11 | 22 | 33 | 44 | 55 | 66 | 77 | 88 | |
Ключ K3 | 68 | D0 | FD | BF | E1 | A3 | BD | D9 | BE | 5B | 96 | D0 | A1 | 20 | 23 | 48 |
6E | F1 | 71 | 0F | 92 | 4A | E0 | 31 | 30 | 52 | CB | 5F | CA | 0B | 79 | 1E |
Ключ  | 1B | AB | E8 | 57 | 6D | 0F | E3 | A8 | |
Обработка 5-го блока: |
Ключ K' | 1B | AB | E8 | 57 | 6D | 0F | E3 | A8 | |
Блок открытого текста P5 | 11 | 22 | 33 | 44 | 55 | 66 | 77 | 88 | |
Входной блок  | A9 | 97 | 40 | 61 | 27 | 0D | 1C | C8 | |
Выходной блок C5 | 34 | 00 | 8D | AD | 54 | 96 | BB | 8E | |
Результатом вычисления имитовставки сообщения M в режиме OMAC-ACPKM в данном случае является строка C5:
34 00 8D AD 54 96 BB 8E.
А.4 Режим выработки имитовставки OMAC-ACPKM для шифра "Кузнечик"
В настоящем разделе приведены тестовые примеры работы режима выработки имитовставки OMAC-ACPKM для шифра "Кузнечик" со следующими входными данными:
- длина блока n - 128 бит;
- длина блока гаммы s - 128 бит;
- размер секции N - 256 бит;
- частота смены ключа T* - 768 бит;
- ключ K:
88 99 AA BB CC DD EE FF 00 11 22 33 44 55 66 77
FE DC BA 98 76 54 32 10 01 23 45 67 89 AB CD EF.
А.4.1 Пример работы режима OMAC-ACPKM для шифра "Кузнечик" с открытым текстом длины 1,5 блока
Открытый текст M длины 1,5 блока:
11 22 33 44 55 66 77 00 FF EE DD CC BB AA 99 88
00 11 22 33 44 55 66 77.
Сообщение M состоит из одной секции M1, которую разбивают на блоки.
При формировании ключевого материала вырабатывается строка

:
0C AB F1 F2 EF BC 4A C1 60 48 DF 1A 24 C6 05 B2
C0 D1 67 3D 75 86 A8 EC 0D D4 2C 45 A4 F9 5B AE
0F 2E 26 17 E4 71 48 68 0F C3 E6 17 8D F2 C1 37.
Таблица А.4.1.1
Обработка секции
M1 в режиме OMAC-ACPKM
для шифра "Кузнечик"
Секция M1 | 11 | 22 | 33 | 44 | 55 | 66 | 77 | 00 | FF | EE | DD | CC | BB | AA | 99 | 88 |
Ключ K1 | 0C | AB | F1 | F2 | EF | BC | 4A | C1 | 60 | 48 | DF | 1A | 24 | C6 | 05 | B2 |
C0 | D1 | 67 | 3D | 75 | 86 | A8 | EC | 0D | D4 | 2C | 45 | A4 | F9 | 5B | AE |
Ключ  | 0F | 2E | 26 | 17 | E4 | 71 | 48 | 68 | 0F | C3 | E6 | 17 | 8D | F2 | C1 | 37 |
Обработка 1-го блока: |
Блок открытого текста P1 | 11 | 22 | 33 | 44 | 55 | 66 | 77 | 00 | FF | EE | DD | CC | BB | AA | 99 | 88 |
Входной блок  | 11 | 22 | 33 | 44 | 55 | 66 | 77 | 00 | FF | EE | DD | CC | BB | AA | 99 | 88 |
Выходной блок C1 | DD | 01 | 38 | F4 | 86 | C7 | 07 | DA | F7 | F4 | 57 | 76 | 6D | A4 | 78 | B0 |
Обработка 2-го блока: |
Ключ K' | 1E | 5C | 4C | 2F | C8 | E2 | 90 | D0 | 1F | 87 | CC | 2F | 1B | E5 | 82 | 6E |
Блок открытого текста P*2 | 00 | 11 | 22 | 33 | 44 | 55 | 66 | 77 | 80 | 00 | 00 | 00 | 00 | 00 | 00 | 00 |
Входной блок  | C3 | 4C | 56 | E8 | 0A | 70 | F1 | 7D | 68 | 73 | 9B | 59 | 76 | 41 | FA | DE |
Выходной блок C2 | B5 | 36 | 7F | 47 | B6 | 2B | 99 | 5E | EB | 2A | 64 | 8C | 58 | 43 | 14 | 5E |
Результатом вычисления имитовставки сообщения M в режиме OMAC-ACPKM в данном случае является строка C2:
B5 36 7F 47 B6 2B 99 5E EB 2A 64 8C 58 43 14 5E.
А.4.2 Пример работы режима OMAC-ACPKM для шифра "Кузнечик" с открытым текстом длины 5 блоков
Открытый текст M длины 5 блоков:
11 22 33 44 55 66 77 00 FF EE DD CC BB AA 99 88
00 11 22 33 44 55 66 77 88 99 AA BB CC EE FF 0A
11 22 33 44 55 66 77 88 99 AA BB CC EE FF 0A 00
22 33 44 55 66 77 88 99 AA BB CC EE FF 0A 00 11
33 44 55 66 77 88 99 AA BB CC EE FF 0A 00 11 22.
Сообщение
M разбивают на три секции
M1,
M2,
M3, каждую из которых разбивают на блоки. При формировании ключевого материала вырабатывается строка

:
0C AB F1 F2 EF BC 4A C1 60 48 DF 1A 24 C6 05 B2
C0 D1 67 3D 75 86 A8 EC 0D D4 2C 45 A4 F9 5B AE
0F 2E 26 17 E4 71 48 68 0F C3 E6 17 8D F2 C1 37
C9 DD A8 9C FF A4 91 FE AD D9 B3 EA B7 03 BB 31
BC 7E 92 7F 04 94 72 9F 51 B4 9D 3D F9 C9 46 08
00 FB BC F5 ED EE 61 0E A0 2F 01 09 3C 7B C7 42
D7 D6 27 15 01 B1 77 77 52 63 C2 A3 49 5A 83 18
A8 1C 79 A0 4F 29 66 0E A3 FD A8 74 C6 30 79 9E
14 2C 57 79 14 FE A9 0D 3B C2 50 2E 83 36 85 D9.
Таблица А.4.2.1
Обработка секции
M1 в режиме OMAC-ACPKM
для шифра "Кузнечик"
Секция M1 | 11 | 22 | 33 | 44 | 55 | 66 | 77 | 00 | FF | EE | DD | CC | BB | AA | 99 | 88 |
00 | 11 | 22 | 33 | 44 | 55 | 66 | 77 | 88 | 99 | AA | BB | CC | EE | FF | 0A |
Ключ K1 | 0C | AB | F1 | F2 | EF | BC | 4A | C1 | 60 | 48 | DF | 1A | 24 | C6 | 05 | B2 |
C0 | D1 | 67 | 3D | 75 | 86 | A8 | EC | 0D | D4 | 2C | 45 | A4 | F9 | 5B | AE |
Обработка 1-го блока: |
Блок открытого текста P1 | 11 | 22 | 33 | 44 | 55 | 66 | 77 | 00 | FF | EE | DD | CC | BB | AA | 99 | 88 |
Входной блок  | 11 | 22 | 33 | 44 | 55 | 66 | 77 | 00 | FF | EE | DD | CC | BB | AA | 99 | 88 |
Выходной блок C1 | DD | 01 | 38 | F4 | 86 | C7 | 07 | DA | F7 | F4 | 57 | 76 | 6D | A4 | 78 | B0 |
Обработка 2-го блока: |
Блок открытого текста P2 | 00 | 11 | 22 | 33 | 44 | 55 | 66 | 77 | 88 | 99 | AA | BB | CC | EE | FF | 0A |
Входной блок  | DD | 10 | 1A | C7 | C2 | 92 | 61 | AD | 7F | 6D | FD | CD | A1 | 4A | 87 | BA |
Выходной блок C2 | 9C | 23 | 7F | 18 | 85 | F8 | 07 | 64 | 0B | 32 | 5B | 50 | 16 | AB | EC | AF |
Таблица А.4.2.2
Обработка секции M2 в режиме OMAC-ACPKM
для шифра "Кузнечик"
Секция M2 | 11 | 22 | 33 | 44 | 55 | 66 | 77 | 88 | 99 | AA | BB | CC | EE | FF | 0A | 00 |
22 | 33 | 44 | 55 | 66 | 77 | 88 | 99 | AA | BB | CC | EE | FF | 0A | 00 | 11 |
Ключ K2 | C9 | DD | A8 | 9C | FF | A4 | 91 | FE | AD | D9 | B3 | EA | B7 | 03 | BB | 31 |
BC | 7E | 92 | 7F | 04 | 94 | 72 | 9F | 51 | B4 | 9D | 3D | F9 | C9 | 46 | 08 |
Обработка 3-го блока: |
Блок открытого текста P3 | 11 | 22 | 33 | 44 | 55 | 66 | 77 | 88 | 99 | AA | BB | CC | EE | FF | 0A | 00 |
Входной блок  | 8D | 01 | 4C | 5C | D0 | 9E | 70 | EC | 92 | 98 | E0 | 9C | F8 | 54 | E6 | AF |
Выходной блок C3 | 2F | 08 | DE | 89 | F1 | 34 | 1B | F9 | 1F | 24 | 2F | 88 | 94 | E5 | 4E | 6F |
Обработка 4-го блока: |
Блок открытого текста P4 | 22 | 33 | 44 | 55 | 66 | 77 | 88 | 99 | AA | BB | CC | EE | FF | 0A | 00 | 11 |
Входной блок  | 0D | 3B | 9A | DC | 97 | 43 | 93 | 60 | B5 | 9F | E3 | 66 | 6B | EF | 4E | 7E |
Выходной блок C4 | 80 | 2C | DF | AC | 40 | FA | 27 | C2 | FB | 9B | 2E | 70 | 22 | 39 | 1D | 84 |
Таблица А.4.2.3
Обработка секции
M3 в режиме OMAC-ACPKM
для шифра "Кузнечик"
Секция M3 | 33 | 44 | 55 | 66 | 77 | 88 | 99 | AA | BB | CC | EE | FF | 0A | 00 | 11 | 22 |
Ключ K3 | D7 | D6 | 27 | 15 | 01 | B1 | 77 | 77 | 52 | 63 | C2 | A3 | 49 | 5A | 83 | 18 |
A8 | 1C | 79 | A0 | 4F | 29 | 66 | 0E | A3 | FD | A8 | 74 | C6 | 30 | 79 | 9E |
Ключ  | 14 | 2C | 57 | 79 | 14 | FE | A9 | 0D | 3B | C2 | 50 | 2E | 83 | 36 | 85 | D9 |
Обработка 5-го блока: |
Ключ K' | 14 | 2C | 57 | 79 | 14 | FE | A9 | 0D | 3B | C2 | 50 | 2E | 83 | 36 | 85 | D9 |
Блок открытого текста P5 | 33 | 44 | 55 | 66 | 77 | 88 | 99 | AA | BB | CC | EE | FF | 0A | 00 | 11 | 22 |
Входной блок  | A7 | 44 | DD | B3 | 23 | 8C | 17 | 65 | 7B | 95 | 90 | A1 | AB | 0F | 89 | 7F |
Выходной блок C5 | FB | B8 | DC | EE | 45 | BE | A6 | 7C | 35 | F5 | 8C | 57 | 00 | 89 | 8E | 5D |
Результатом вычисления имитовставки сообщения M в режиме OMAC-ACPKM в данном случае является строка C5:
FB B8 DC EE 45 BE A6 7C 35 F5 8C 57 00 89 8E 5D.
(справочное)
КОНТРОЛЬНЫЕ ПРИМЕРЫ РАБОТЫ АЛГОРИТМОВ ЭКСПОРТА
KExp15 И ИМПОРТА KImp15 КЛЮЧА
В данном приложении представлены контрольные примеры работы алгоритмов экспорта и импорта ключей, приведенных в
разделе 5, со следующими входными данными:
- ключ K:
88 99 AA BB CC DD EE FF 00 11 22 33 44 55 66 77
FE DC BA 98 76 54 32 10 01 23 45 67 89 AB CD EF;
- ключ

:
08 09 0A 0B 0C 0D 0E 0F 00 01 02 03 04 05 06 07
10 11 12 13 14 15 16 17 18 19 1A 1B 1C 1D 1E 1F;
- ключ

:
20 21 22 23 24 25 26 27 28 29 2A 2B 2C 2D 2E 2F
38 39 3A 3B 3C 3D 3E 3F 30 31 32 33 34 35 36 37.
Б.1 Алгоритмы экспорта KExp15 и импорта KImp15 ключа для шифра "Магма"
Вектор инициализации IV:
67 BE D6 54.
KEYMAC:
75 A7 66 18 E9 0F 49 73.

:
CF D5 A1 2D 5B 81 B6 E1 E9 9C 91 6D 07 90 0C 6A
C1 27 03 FB 3A BD ED 55 56 7B F3 74 2C 89 9C 75
5D AF E7 B4 2E 3A 8B D9.
Б.2 Алгоритмы экспорта KExp15 и импорта KImp15 ключа для шифра "Кузнечик"
Вектор инициализации IV:
09 09 47 2D D9 F2 6B E8.
KEYMAC:
10 02 2A DE 94 EE 55 B4 34 D2 07 7F 5A 13 AF F4.

:
E3 61 84 E8 4E 8D 73 6F F3 6C C2 E5 AE 06 5D C6
56 B2 3C 20 F5 49 B0 2F DF F8 8E 1F 3F 30 D8 C2
9A 53 F3 CA 55 4D BA D8 0D E1 52 B9 A4 62 5B 32.
(рекомендуемое)
ПРИМЕР ПАРАМЕТРОВ РЕЖИМА ШИФРОВАНИЯ CTR-ACPKM
В принятых в настоящее время в Российской Федерации принципах разработки средств криптографической защиты информации содержатся рекомендации по использованию дополнительных мер по защите криптографически опасной информации. Данные меры должны противостоять атакам, использующим каналы распространения информативных сигналов (см.
приложение А Р 1323565.1.012-2017). К таким мерам относительно рассматриваемых в настоящих рекомендациях режимов работы блочных шифров могут быть отнесены, в частности, ограничение числа блоков, которые могут быть преобразованы на одном секретном ключе, и ограничение количества сообщений, обрабатываемых с использованием одного секретного ключа.
Перечисленные ограничения необходимо устанавливать в соответствии с определяемым в Р 1323565 классом средства криптографической защиты, с учетом используемых криптографических механизмов, условий эксплуатации и возможностей, которые могут быть использованы для проведения атак на средство защиты. При этом ограничения целесообразно устанавливать согласованным образом для каждого класса криптографических механизмов.
Кроме того, приводятся возможные значения параметров режима шифрования CTR-ACPKM при его реализации в криптографических протоколах, в том числе и в протоколе безопасности транспортного уровня (TLS).
Для средств криптографической защиты информации классов КС1, КС2 и КС3 (см.
раздел 4 Р 1323565.1.012-2017), а также средств, которые не подпадают под действие
[1], допустимым является использование следующих ограничений:
- при использовании алгоритма блочного шифрования "Магма" объем преобразованной на одном секретном ключе информации не должен превышать 4 Мбайт (524 288 блоков);
- размер N одной секции режима CTR-ACKPM полагается равным 1 Кбайт (128 блоков).
Из указанных ограничений следует, что число сообщений, которые могут быть обработаны на одном секретном ключе K, не должно превышать 4096. При этом длины сообщений дополнительно не ограничены.
Для средств криптографической защиты информации классов КВ и КА допустимым является использование следующих ограничений:
- при использовании алгоритма блочного шифрования "Кузнечик" объем обработанной на одном секретном ключе информации не должен превышать 256 Кбайт (16 384 блока);
- размер N одной секции режима CTR-ACKPM полагается равным 4 Кбайт (256 блоков).
Из указанных ограничений следует, что число сообщений, которые могут быть преобразованы на одном секретном ключе K, не должно превышать 64. При этом длины сообщений дополнительно не ограничены.
| Приказ ФСБ России от 9 февраля 2005 г. N 66 (в редакции приказа ФСБ России от 12 апреля 2010 г. N 173) "Об утверждении положения о разработке, производстве, реализации и эксплуатации шифровальных (криптографических) средств защиты информации (Положение ПКЗ - 2005)" |