Главная // Актуальные документы // ПриказСПРАВКА
Источник публикации
М.: Стандартинформ, 2019
Примечание к документу
Документ
введен в действие с 01.09.2020.
Название документа
"РМГ 115-2019. Рекомендации по межгосударственной стандартизации. Государственная система обеспечения единства измерений. Калибровка средств измерений. Алгоритмы обработки результатов измерений и оценивания неопределенности"
(введены в действие Приказом Росстандарта от 30.10.2019 N 1065-ст)
"РМГ 115-2019. Рекомендации по межгосударственной стандартизации. Государственная система обеспечения единства измерений. Калибровка средств измерений. Алгоритмы обработки результатов измерений и оценивания неопределенности"
(введены в действие Приказом Росстандарта от 30.10.2019 N 1065-ст)
по техническому регулированию
и метрологии
от 30 октября 2019 г. N 1065-ст
РЕКОМЕНДАЦИИ ПО МЕЖГОСУДАРСТВЕННОЙ СТАНДАРТИЗАЦИИ
ГОСУДАРСТВЕННАЯ СИСТЕМА ОБЕСПЕЧЕНИЯ ЕДИНСТВА ИЗМЕРЕНИЙ
КАЛИБРОВКА СРЕДСТВ ИЗМЕРЕНИЙ. АЛГОРИТМЫ ОБРАБОТКИ
РЕЗУЛЬТАТОВ ИЗМЕРЕНИЙ И ОЦЕНИВАНИЯ НЕОПРЕДЕЛЕННОСТИ
State system for ensuring the uniformity of measurements.
Calibration of measuring instruments. Algorithms for
processing measurement results and evaluating uncertainty
РМГ 115-2019
Дата введения
1 сентября 2020 года
Цели, основные принципы и общие правила проведения работ по межгосударственной стандартизации установлены
ГОСТ 1.0 "Межгосударственная система стандартизации. Основные положения" и
ГОСТ 1.2 "Межгосударственная система стандартизации. Стандарты межгосударственные, правила и рекомендации по межгосударственной стандартизации. Правила разработки, принятия, обновления и отмены"
1 РАЗРАБОТАНЫ Федеральным государственным унитарным предприятием "Всероссийский научно-исследовательский институт метрологии им. Д.И. Менделеева" (ФГУП "ВНИИМ им. Д.И. Менделеева")
2 ВНЕСЕНЫ Федеральным агентством по техническому регулированию и метрологии
3 ПРИНЯТЫ Межгосударственным советом по стандартизации, метрологии и сертификации (протокол от 30 сентября 2019 г. N 122-П)
За принятие проголосовали:
Краткое наименование страны по МК (ИСО 3166) 004-97 | Код страны по МК (ИСО 3166) 004-97 | Сокращенное наименование национального органа по стандартизации |
Армения | AM | Минэкономики Республики Армения |
Беларусь | BY | Госстандарт Республики Беларусь |
Киргизия | KG | Кыргызстандарт |
Россия | RU | Росстандарт |
Таджикистан | TJ | Таджикстандарт |
Узбекистан | UZ | Узстандарт |
4
Приказом Федерального агентства по техническому регулированию и метрологии от 30 октября 2019 г. N 1065-ст рекомендации по межгосударственной стандартизации РМГ 115-2019 введены в действие в качестве рекомендаций по стандартизации Российской Федерации с 1 сентября 2020 г.
5 ВВЕДЕНЫ ВПЕРВЫЕ
Информация о введении в действие (прекращении действия) настоящих рекомендаций и изменений к ним на территории указанных выше государств публикуется в указателях национальных стандартов, издаваемых в этих государствах, а также в сети Интернет на сайтах соответствующих национальных органов по стандартизации.
В случае пересмотра, изменения или отмены настоящих рекомендаций соответствующая информация будет опубликована на официальном интернет-сайте Межгосударственного совета по стандартизации, метрологии и сертификации в каталоге "Межгосударственные стандарты"
Настоящие рекомендации распространяются на методики калибровки мер и измерительных приборов, а также устанавливают методику вычисления неопределенности измерения при калибровке, алгоритмы вычисления типовых составляющих неопределенности при калибровке мер и измерительных приборов в зависимости от имеющейся информации. Положения настоящих рекомендаций могут быть использованы при разработке методик калибровки.
В настоящих рекомендациях использованы нормативные ссылки на следующие межгосударственные документы:
ГОСТ ISO/IEC 17025 Общие требования к компетентности испытательных и калибровочных лабораторий
ГОСТ 34100.3/ISO/IEC Guide 98-3:2008 Неопределенность измерения. Часть 3. Руководство по выражению неопределенности измерения
РМГ 29 Государственная система обеспечения единства измерений. Метрология. Основные термины и определения
Примечание - При пользовании настоящими рекомендациями целесообразно проверить действие ссылочных стандартов и классификаторов на официальном интернет-сайте Межгосударственного совета по стандартизации, метрологии и сертификации (www.eass.by), или по указателям национальных стандартов, издаваемым в государствах, указанных в
предисловии, или на официальных сайтах соответствующих национальных органов по стандартизации. Если на документ дана недатированная ссылка, то следует использовать документ, действующий на текущий момент, с учетом всех внесенных в него изменений. Если заменен ссылочный документ, на который дана датированная ссылка, то следует использовать указанную версию этого документа. Если после принятия настоящих рекомендаций в ссылочный документ, на который дана датированная ссылка, внесено изменение, затрагивающее положение, на которое дана ссылка, то это положение применяется без учета данного изменения. Если ссылочный документ отменен без замены, то положение, в котором дана ссылка на него, применяется в части, не затрагивающей эту ссылку.
3 Термины, определения, сокращения и символы
3.1 Термины и определения
В настоящих рекомендациях применены термины по VIM (см.
[1]), а также следующие термины с соответствующими определениями:
3.1.1
калибровка (средств измерений): Совокупность операций, устанавливающих соотношение между значением величины, полученным с помощью данного средства измерений, и соответствующим значением величины, определенным с помощью эталона с целью определения метрологических характеристик этого средства измерений. |
3.1.2
метрологическая характеристика (средства измерений); МХ: Характеристика одного из свойств средства измерений, влияющая на результат измерений. |
3.1.3 калибровочная характеристика: Оценка метрологической характеристики средства измерений с указанием соответствующей неопределенности, полученная при калибровке.
Примечания
1 Калибровочная характеристика может быть выражена функцией, таблицей или графиком, описывающими соотношение между значениями метрологической характеристики и значениями измеряемой величины, определяемой эталоном.
2 В настоящих рекомендациях рассмотрены два способа представления калибровочной функции измерительного прибора: в виде зависимости его показаний от значений измеряемой величины y = f(x) и в виде обратной функции x = f-1(y). В контексте содержится пояснение, какое именно представление имеет место.
3 Калибровочные характеристики измерительного прибора используются для определения измеренного значения по показаниям измерительного прибора и расчета инструментальной составляющей неопределенности.
4 Номинальная калибровочная характеристика - это калибровочная характеристика, приписываемая данному типу средства измерений (например, при утверждении типа или обозначенная изготовителем).
3.1.4
систематическая погрешность средства измерений: Составляющая погрешности средства измерений, принимаемая за постоянную или закономерно изменяющуюся. Примечание - Систематическая погрешность данного средства измерений, как правило, будет отличаться от систематической погрешности другого экземпляра средства измерений этого же типа, вследствие чего для группы однотипных средств измерений систематическая погрешность может иногда рассматриваться как случайная погрешность. |
3.1.5
поправка: Значение величины, вводимое в показание с целью исключения систематической погрешности. |
Примечания
1 Знак поправки противоположен знаку погрешности. Поправку, добавляемую к номинальному значению меры, называют поправкой к значению меры; поправку, вводимую в показание измерительного прибора, - поправкой к показанию прибора.
2 Поправка может быть представлена в виде дополнительного слагаемого - аддитивная поправка, и в виде множителя - мультипликативная поправка.
3.1.6
повторяемость измерений: Прецизионность измерений в условиях повторяемости измерений. |
3.1.7 прецизионность измерений: Близость между показаниями или измеренными значениями величины, полученными при повторных измерениях для одного и того же или аналогичных объектов при заданных условиях.
3.1.8
условия повторяемости (измерений): Один из наборов условий измерений, включающий применение одной и той же методики измерений, того же средства измерений, участие тех же операторов, те же рабочие условия, то же местоположение и выполнение повторных измерений на одном и том же или подобных объектах в течение короткого промежутка времени. |
3.1.9 нестабильность (метрологической характеристики): Изменение метрологической характеристики средства измерений за установленный интервал времени.
3.1.10
модель измерений; уравнение измерений: Уравнение связи между величинами в конкретной измерительной задаче. |
3.1.11
функция измерений: Зависимость величин модели измерений, используемая для получения измеренного значения выходной величины по известным значениям входных величин. |
3.1.12
входная величина (в модели измерений): Величина, которая должна быть измерена, или величина, значение которой может быть получено иным способом, для вычисления измеренного значения измеряемой величины. |
3.1.13
выходная величина (в модели измерений): Величина, измеренное значение которой получают, используя значения входных величин в модели измерений. |
3.1.14
бюджет неопределенности: Отчет о неопределенности измерений, составляющих неопределенности, их вычислении и суммировании. |
Примечание - Бюджет неопределенности должен включать в себя модель измерения, оценки, неопределенности измерений, связанные с величинами, входящими в модель измерений, ковариации, тип применяемых функций плотности распределения вероятностей, число степеней свободы, тип оценивания неопределенности измерений и коэффициент охвата.
3.1.15
неопределенность (измерений): Неотрицательный параметр, характеризующий рассеяние значений величины, приписываемых измеряемой величине на основании измерительной информации. |
3.1.16
измерительная информация: Информация о значении величины, входящей в модель измерений. |
3.1.17
стандартная неопределенность (измерений): Неопределенность измерений, выраженная в виде стандартного отклонения. |
3.1.18
оценивание (неопределенности измерений) по типу A: Оценивание составляющей неопределенности измерений путем статистического анализа измеренных значений величины, получаемых при определенных условиях измерений. |
3.1.19
оценивание (неопределенности измерений) по типу B: Оценивание составляющей неопределенности измерений способами, отличными от оценивания неопределенности измерений по типу A. |
3.1.20 суммарная стандартная неопределенность: Стандартная неопределенность измерений, которую получают исходя из отдельных стандартных неопределенностей измерений, связанных с входными величинами в модели измерений.
3.1.21
расширенная неопределенность (измерений): Произведение суммарной стандартной неопределенности и коэффициента охвата большего, чем число один. |
3.2 Обозначения и сокращения
В настоящих рекомендациях использованы следующие сокращения и символы:
ГСССД - Государственная система стандартных справочных данных;
ИП - измерительный прибор или измерительный преобразователь;
МКИ - межкалибровочный интервал;
МХ - метрологическая характеристика;
СИ - средство измерений;
СКО - среднее квадратическое (стандартное) отклонение;
Xref, xref - величина и ее значение, воспроизводимое эталонной мерой;
Xcal, xcal - величина и ее значение, воспроизводимое калибруемой мерой;
yref(xref), yref(xcal) - показания эталонного прибора, соответствующие значениям, воспроизводимым эталонной и калибруемой мерами соответственно. В тех случаях, когда показания ИП имеют размерность измеряемой величины, вместо yref(xref) может быть использовано обозначение xref;
ycal(xref) - показания калибруемого прибора, соответствующие значениям, воспроизводимым эталонной мерой;
fnom(x), fref(x), fcal(x) - номинальная калибровочная функция, калибровочная функции эталонного и калибруемого ИП соответственно;
urel - относительная стандартная неопределенность;
U - расширенная неопределенность;
u - стандартная неопределенность;
ci - коэффициент чувствительности;
r - коэффициент корреляции;
k - коэффициент охвата;
K - калибровочный коэффициент;

- межкалибровочный коэффициент;
c0 - номинальная функция влияния.
4.1 Цель и задача калибровки
Калибровка является процедурой передачи единицы величины, воспроизводимой и/или хранимой эталоном, менее точному эталону или СИ (далее - калибруемому СИ). В соответствии с
РМГ 29 при калибровке определяют индивидуальные МХ СИ. Результатом калибровки является выражение МХ СИ в установленной форме калибровочной характеристики, включая указание соответствующей неопределенности. Согласно
ГОСТ ISO/IEC 17025 при необходимости калибровка может включать проверку соответствия МХ установленным требованиям (см.
[2]).
4.2 Формы представления калибровочных характеристик
4.2.1 В качестве МХ, устанавливаемых при калибровке, могут выступать значения мер, погрешность (систематическая) ИП, калибровочный коэффициент, калибровочная функция, отклонения от номинальной калибровочной функции СИ и др. При выполнении калибровки СИ оценки МХ указывают с соответствующими неопределенностями.
4.2.2 Значение однозначной меры, определенное при калибровке, указывают значением или поправкой (аддитивной или мультипликативной) к номинальному значению или значению, приписанному мере при ее предыдущей калибровке.
При калибровке многозначных мер указывают совокупность значений или поправок для всех калибруемых точек диапазона.
4.2.3 Калибровочную характеристику ИП указывают в форме таблицы, графика или функции с соответствующими неопределенностями.
Если показания ИП имеют размерность измеряемой величины, то наиболее общим способом представления калибровочной характеристики является задание в виде таблицы согласованных пар значений измеряемой величины xi, i = 1, ..., n и поправок к показаниям ИП. Этот случай рассмотрен в настоящих рекомендациях.
4.2.4 Когда единицы показаний ИП отличны от единиц измеряемой величины, калибровочная характеристика задается параметрической функциональной зависимостью показаний ИП от значений измеряемой величины с соответствующей неопределенностью. В этом случае калибровка ИП заключается в оценивании параметров такой функции на основе значений, получаемых с помощью эталонного СИ, и соответствующих показаний калибруемого ИП.
Частным случаем калибровочной функции является линейная зависимость, проходящая через ноль, когда единственным оцениваемым параметром является калибровочный коэффициент K (y = Kx). Учитывая широкое распространение на практике применения линейных калибровочных функций вида y = a + Kx, их оценивание также включено в настоящие рекомендации.
4.2.5 Калибровочная характеристика может быть также задана поправками (аддитивной и/или мультипликативной) к приписанной (номинальной) калибровочной характеристике ИП.
4.2.6 При необходимости в процессе калибровки могут быть определены:
- нестабильность МХ СИ;
- СКО показаний ИП в условиях повторяемости, характеризующее случайный разброс показаний в нормальных условиях при калибровке;
- нелинейность калибровочной функции и др.
4.3 Методы измерений, применяемые при калибровке средств измерений
4.3.1 Калибровку однозначных и многозначных мер можно проводить следующими методами:
- метод прямых измерений. При этом методе значения калибруемой меры оценивают с помощью эталонного ИП;
- метод сличения с эталонной мерой при помощи компаратора. Имеет две разновидности:
а) дифференциальный метод измерений, при реализации которого оценивают разность размеров величин, хранимых калибруемой и эталонной мерами;
б) метод замещения, при реализации которого с помощью ИП, исполняющего роль компаратора, последовательно определяют значения калибруемой и эталонной мер и находят их соотношение;
- метод косвенных измерений. При этом методе значения меры находят на основе известной зависимости величины, воспроизводимой мерой, от других непосредственно измеренных величин.
4.3.2 Калибровку ИП можно проводить следующими методами:
- методом прямых измерений, при котором с помощью калибруемого ИП измеряют значения многозначной эталонной меры или набора однозначных эталонных мер;
- методом сличения с эталонным ИП. Метод имеет две разновидности:
а) метод сличения при помощи эталона сравнения (многозначной меры или набора однозначных мер),
б) метод непосредственного сличения калибруемого ИП с эталонным ИП;
- методом косвенных (совместных или совокупных) измерений.
5 Методика оценивания метрологических характеристик и вычисления неопределенности при калибровке
Оценивание МХ и вычисление соответствующей неопределенности при калибровке включает следующие последовательные этапы в соответствии с
ГОСТ 34100.3:
- составление уравнения измерений;
- оценивание входных величин и их неопределенностей;
- оценивание выходных величин и их неопределенностей;
- составление бюджета неопределенности;
- представление результатов калибровки.
5.2 Составление уравнения измерений при калибровке
5.2.1 При калибровке уравнение измерений выражает зависимость определяемой МХ СИ (выходной величины Y) от всех других величин (входных величин Xi, где i = 0,...,n), влияющих на получение оценки этой МХ:
Y =
F(
X0,
X1, ...,
Xn). (1)
При калибровке многозначных мер или ИП в нескольких точках шкалы
уравнение (1) преобразуется в систему уравнений:

. (2)
5.2.2 В качестве выходной величины в уравнении измерений при калибровке могут быть:
- значение калибруемой меры или его отклонение от номинального значения;
- систематическая погрешность (погрешность) ИП в фиксированной точке шкалы измерений;
- отклонение показания ИП от номинальной МХ;
- значение метрологической характеристики в точке диапазона измерений;
- коэффициенты калибровочной функции ИП;
- другие МХ СИ.
Примечание - Если при калибровке оценивают нестабильность МХ СИ, то в качестве выходной величины уравнения измерения принимают изменение данной МХ за определенный интервал времени.
5.2.3 Входными величинами уравнения измерений при калибровке являются величины, влияющие на результат определения МХ СИ и неопределенности, в частности:
X0 - величина, непосредственно измеряемая при калибровке, значение которой определяют/задают с помощью эталона, используемого при калибровке. X0 может быть величиной на входе калибруемого ИП или величиной, воспроизводимой калибруемой мерой;
X1, ..., Xn - влияющие величины, значения которых либо непосредственно измеряются, либо являются справочными данными, установленными константами и др.
5.2.4 При составлении уравнения измерений необходимо учитывать следующую доступную информацию:
- номинальную МХ калибруемого ИП;
- калибровочную функцию эталонного ИП;
- априорно известный вид функций влияния и поправок;
- другую информацию, которая позволяет уточнить уравнение измерений.
Примечания
1 Уравнение измерений всегда является некоторым приближением зависимости выходной величины от входных, конкретный вид которого определяется требованиями к точности определения МХ при калибровке. Общие рекомендации по составлению уравнений измерений будут приведены в
разделе 6.
2 Примеры записи уравнений измерений при калибровке приведены при рассмотрении методов выполнения измерений в
разделах 7 и
8.
5.3 Оценивание входных величин и их стандартных неопределенностей
5.3.1 За значение входной величины принимают ее наилучшую оценку (т.е. наименьшую, соответствующую стандартной неопределенности).
5.3.2 Оценивание стандартной неопределенности по типу A применяют тогда, когда имеются результаты
m независимых измерений одной из входных величин
Xi,
i = 0, ...,
n, проведенных в одинаковых условиях:
xi1, ...,
xim. В качестве значения
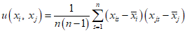
xi этой величины принимают среднее арифметическое значение, вычисляемое по формуле

. (3)
Стандартную неопределенность вычисляют по формуле СКО среднего арифметического значения:

, (4)
где

. (5)
5.3.3 Если число независимых измерений
m входной величины мало (менее 10), то вместо
формулы (4) можно использовать следующую оценку стандартной неопределенности, вычисляемую по формуле

. (6)
Примечание - Оценка по
формуле (6) применима при использовании распределения Стьюдента с
m - 1 степенями свободы для описания значения величины
Xi.
5.3.4 Если число независимых измерений
m входной величины мало (менее 10), а процесс ее измерения хорошо изучен и находится под статистическим контролем, то априорная оценка дисперсии

(СКО повторяемости), полученная в результате обработки большого массива предыдущих измерений, будет более надежной оценкой. В этом случае вместо оценки по
формуле (4) рекомендуется следующая оценка стандартной неопределенности, вычисляемая по формуле

. (7)
5.3.5 Исходными данными для оценивания значения величины и ее стандартной неопределенности по типу B являются следующие источники априорной информации:
- данные предыдущих измерений этой величины, содержащиеся в протоколах измерений, свидетельствах о калибровках или поверках или в других документах;
- нормы точности измерений, указанные в технической документации на методы измерений и СИ;
- значения констант, справочных данных и их неопределенности;
- сведения о предполагаемом распределении значений величины, имеющиеся в технических отчетах и литературных источниках;
- опыт исследователя или знание общих закономерностей, которым подчиняются свойства применяемых материалов или приборов.
5.3.6 Различные случаи оценивания неопределенности по типу B описаны в
5.3.6.1,
5.3.6.2.
5.3.6.1 Если известно только одно значение
xi величины
Xi, например результат однократного измерения, поправка или справочное данное, то такое значение принимают в качестве оценки
xi. Оценку стандартной неопределенности
uB(
xi) находят следующим образом:
- если известна оценка стандартной неопределенности u(xi), то uB(xi) = u(xi);
- если известны расширенная неопределенность U(xi) и коэффициент охвата k, то стандартную неопределенность вычисляют по формуле

. (8)
Если коэффициент охвата не указан, то принимают:
- k = 2, если имеются основания предполагать нормальное распределение возможных значений и расширенная неопределенность U(xi) соответствует вероятности охвата 0,95;
- k = 2,6, если имеются основания предполагать нормальное распределение возможных значений и расширенная неопределенность U(xi) соответствует вероятности охвата 0,99;
- k = 2 во всех остальных случаях при отсутствии информации о виде распределения и соответствия расширенной неопределенности U(xi) вероятности охвата 0,95.
Если оценка стандартной неопределенности неизвестна, ее следует рассчитать на основе имеющейся априорной информации или оценить экспериментально.
5.3.6.2 Если могут быть оценены только
верхняя a+ и нижняя a- границы значений величины
Xi (например, предел допускаемой погрешности СИ, область изменения температуры, погрешность округления или отбрасывания), то для ее значений принимают равномерное распределение. В этом случае оценку величины
xi и соответствующую стандартную неопределенность
uB(
xi) вычисляют по формуле

. (9)
Если
a+ = -
a- =
a, то

.
5.4 Оценивание выходных величин и их неопределенностей
5.4.1 Значение метрологической характеристики СИ при калибровке вычисляют по
формуле (1) или
(2), подставляя значения входных величин.
5.4.2 Рассчитывают вклад ui(y), где i = 0,..., n [или вклады ui(yi) для каждого l = 1, ..., L выходного сигнала] в неопределенность измерений y (или yl) каждой входной величины Xi, который вычисляют по формуле
ui(y) = |ci|·u(xi), (10)
где ci - коэффициент чувствительности по отношению к входной величине Xi, выражающий степень ее влияния на изменение выходной величины Y. Он равняется частной производной функции F(x0, ..., xn) по xi, вычисляемой при значениях входных величин, равных их наилучшим оценкам, по формуле

. (11)
5.4.3 Если
уравнение измерений (1) не удается записать в явном виде, по крайней мере относительно некоторых входных величин, то соответствующие коэффициенты чувствительности c
i могут быть оценены по разности значений выходной величины при варьировании значений входной величины в пределах стандартной неопределенности и вычислены по формуле

. (12)
5.4.4 При некоррелированных оценках входных величин суммарную стандартную неопределенность выходной величины вычисляют по формуле

. (13)
5.4.5 Если уравнение измерений представляет собой алгебраическую сумму некоррелированных слагаемых, каждое из которых зависит от одной входной величины

, (14)
то оценку выходной величины вычисляют по формуле

, (15)
а ее абсолютную суммарную стандартную неопределенность по формуле

. (16)
В частном случае при

, где
i = 0, ...,
n,
формула (16) принимает следующий вид:

. (17)
5.4.6 Если уравнение измерений представляет собой произведение некоррелированных множителей, каждое из которых зависит от одной входной величины

, (18)
то оценку выходной величины вычисляют по формуле

, (19)
а ее относительную суммарную стандартную неопределенность по формуле

. (20)
В частном случае при

, где
i = 0, ...,
n формула (20) примет следующий вид:

. (21)
5.4.7 Если оценки входных величин коррелированы, то суммарную стандартную неопределенность результата измерений вычисляют по формуле

, (22)
где cij = ci·cj, (23)

, (24)
где r(xi, xj) - коэффициент корреляции величин xi и xj, а u(xi, xj) - ковариация величин xi и xj.
Следует иметь в виду, что в
формуле (22) слагаемые второй суммы под корнем могут быть отрицательными.
5.4.8 Оценка корреляции входных величин приведена в
5.4.8.1 -
5.4.8.3.
5.4.8.1 Если имеются
n пар

одновременных повторных измерений величин
xi и
xj, ковариацию этих величин вычисляют по формуле

. (25)
Затем по
формуле (24) находят коэффициент корреляции этих величин.
5.4.8.2 Если для оценивания входных величин применяют одни и те же методы измерений, СИ или справочные данные, характеризуемые значительными неопределенностями, высока вероятность существенной коррелированности этих величин, обусловленной систематическими факторами. Если входные величины X1 и X2 зависят от взаимно независимых переменных Ql(l = 1,...,L), то их оценки x1 = g1(q1,q2,...,qL) и x2 = g2(q1,q2,...,qL) коррелированы и ковариацию этих оценок вычисляют по формуле

, (26)
где
c1l,
c2l - коэффициенты чувствительности величин
X1 и
X2 к значениям переменных Q
l(
l = 1,...,
L), вычисляемые по
формуле (11).
Так как в сумму по
формуле (25) вклад вносят только слагаемые, коэффициенты чувствительности которых не равны нулю, то ковариация будет равна нулю, если функции
g1 и
g2 не имеют общих переменных.
5.4.8.3 Если коэффициенты корреляции неизвестны, то оценку сверху суммарной стандартной неопределенности измерений вычисляют по формуле

, (27)
где ur(y) - вклад в стандартную неопределенность измеряемой величины остальных входных величин, которые считаются некоррелированными.
5.4.9 Корреляцию двух входных величин допускается принимать равной нулю или рассматривать как пренебрежимо малую, если:
- эти величины являются независимыми друг от друга (например, если они наблюдались многократно, но не одновременно, в различных независимых один от другого экспериментах);
- одна из этих величин может быть рассмотрена как константа;
- отсутствует информация о корреляции между этими величинами.
Иногда корреляции могут исключаться с помощью соответствующего выбора уравнения измерений.
5.4.10 При калибровке ИП следует оценить коэффициенты корреляции r(yq,yq + 1), q = 1,...,Q - 1 между оценками выходных величин yq(q = 1,...,Q) в соседних калибруемых точках диапазона измерений (Q - число калибруемых точек диапазона ИП). В первом приближении их можно вычислить, принимая допущение о неизменности систематических факторов и соответственно о равенстве составляющих неопределенности, оцененных по типу B и вычисляемых по формуле
uB(
yq) =
uB(
yq + 1) =
uB(
y). (28)
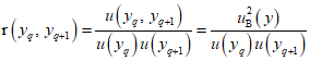
Тогда ковариацию неопределенностей величин yq, yq + 1 вычисляют по формуле

(29)
и коэффициент корреляции величин yq, yq + 1, q = 1,..., Q - 1 по формуле

. (30)
5.4.11 Если стандартная неопределенность показаний ИП по типу B существенно зависит от измеряемой величины, следует разделить ее на две составляющие, одна из которых,
uB1(
y), не зависит от измеряемой величины, а другая зависит от нее линейно -
uB2(
yq) =
yquB2, и провести вычисления по
формулам (28) -
(30), имея в виду, что

. (31)
5.5 Составление бюджета неопределенности
5.5.1 Под составлением бюджета неопределенности понимается краткое формализованное изложение процедуры оценивания неопределенности измерений, унифицированная схема которой носит наглядный характер, позволяет легко проверить процедуру вычисления неопределенности и сравнить ее с аналогичными вычислениями в другой лаборатории.
5.5.2 Представление бюджета неопределенности включает описание уравнения измерений и составляющих неопределенности в виде таблицы (см.
таблицу 1).
Таблица 1
| | Стандартная неопределенность | Тип оценивания; закон распределения | Коэффициент чувствительности | Вклад в суммарную стандартную неопределенность |
1 | 2 | 3 | 4 | 5 | 6 |
Xi | xi | u(xi) | A (B) | | |
... | ... | ... | ... | ... | ... |
... | ... | ... | ... | ... | ... |
| yq = F(xi) | u(yq) | ... | ... | коэффициент корреляции r(yq, yq + 1) |
В
графе 1 перечисляют входные величины уравнения измерений.
В
графе 2 перечисляют оценки входных величин, полученные либо в результате измерений, либо на основе использования другой информации.
В
графе 3 приводят значения соответствующих стандартных неопределенностей.
В
графе 4 указывают тип оценивания неопределенности и, при необходимости, закон распределения величины. Например, при многократных измерениях, как правило, применяют нормальный закон или распределение Стьюдента и тип оценивания A. При многократных измерениях необходимо также указывать число
n измерений.
В
графе 5 приводят коэффициенты чувствительности

.
В
графе 6 указывают значения вкладов неопределенностей входных величин

в суммарную стандартную неопределенность
u(
yq) (произведение значений
графы 3 и модуля значения из
графы 5).
В
последней строке таблицы 1 приводят оценки МХ
yq и их стандартные неопределенности
u(
yq). Для ИП в этой
строке указывают также коэффициенты корреляции r(
yq,
yq + 1) между значениями МХ в соседних калибруемых точках диапазона измерений.
5.5.3 Все значения величин, приведенные в
таблице 1, должны включать обозначения единиц этих величин. Если неопределенность измерений представлена в относительном виде, то это должно быть указано.
5.5.4 В некоторых случаях бюджет неопределенности составляют не для конкретной точки калибровки, а для диапазона значений измеряемой величины или влияющих величин. В этом случае в
графах 2,
3 и
6 указывают диапазоны изменения соответствующих величин.
5.6 Определение расширенной неопределенности
5.6.1 Расширенная неопределенность U(y) равна произведению стандартной неопределенности u(y) измерений выходной величины y на коэффициент охвата k:
U(y) = ku(y). (32)
5.6.2 Коэффициент охвата зависит от вида распределения выходной величины. В общем случае расширенная неопределенность может быть получена статистическим моделированием при известных законах распределения входных величин, используя метод Монте-Карло.
5.6.3 При нормальном распределении вероятностей измеряемой величины y коэффициент охвата принимают равным 2 (k = 2). При этом расширенная неопределенность измерений примерно соответствует вероятности охвата 0,95.
5.6.4 В тех случаях, когда отсутствует информация о виде распределения неопределенности измеряемой величины, часто в целях унификации также рекомендуется принимать коэффициент охвата равным 2 (k = 2) и считать, что расширенная неопределенность измерений при этом будет примерно соответствовать вероятности охвата 0,95.
5.6.5 Коэффициент охвата, равный 2, является оценкой сверху при определении расширенной неопределенности, если выполнены следующие два условия:
- имеется два доминирующих источника неопределенности измерений: неопределенность, обусловленная используемым эталоном и вычисляемая по типу B, и неопределенность, обусловленная случайным разбросом показаний калибруемого СИ и вычисляемая по типу A;
- предполагается равномерный закон для описания величины, соответствующей показаниям эталона, и нормальный закон для описания разброса показаний калибруемого СИ. Стандартную неопределенность по типу A вычисляют по
формуле (6).
5.6.6 При равномерном распределении вероятностей измеряемой величины y (например, доминирующим в бюджете неопределенности является один источник неопределенности, для которого принят равномерный закон распределения) коэффициент охвата принимают равным 1,65 для вероятности охвата 0,95.
5.6.7 При трапецеидальном распределении вероятностей измеряемой величины y [например, доминирующими в бюджете неопределенности являются два источника неопределенности, u1(y), u2(y), для которых приняты равномерные законы распределения], коэффициент охвата для вероятности охвата p вычисляют по формуле

, (33)
где

- отношение длины верхнего основания трапеции к длине нижнего основания трапеции при двух доминирующих стандартных неопределенностях
u1(
y),
u2(
y)

. (34)
5.7 Представление результатов калибровки
5.7.1 Результаты калибровки мер могут быть представлены одним из перечисленных ниже способов, как то:
- значение однозначной меры и соответствующая расширенная неопределенность с указанием коэффициента охвата;
- отклонение значения однозначной меры от номинального значения (или предыдущего значения калибровки) и соответствующая расширенная неопределенность с указанием коэффициента охвата;
- набор значений мер и соответствующие расширенные неопределенности с указанием коэффициента охвата для многозначных мер;
- отклонения действительных значений от номинальных значений (или значений предыдущих калибровок) и соответствующие расширенные неопределенности с указанием коэффициента охвата для многозначных мер.
5.7.2 Результаты калибровки ИП могут быть представлены одним из перечисленных ниже способов, таких как:
- таблица показаний ИП в каждой калибруемой точке диапазона измерений и соответствующие расширенные неопределенности с указанием коэффициента охвата;
- таблица поправок к показаниям ИП в каждой калибруемой точке диапазона измерений и соответствующие расширенные неопределенности с указанием коэффициента охвата;
- таблица поправок к номинальной характеристике ИП в каждой калибруемой точке диапазона измерений и соответствующие расширенные неопределенности с указанием коэффициента охвата;
- калибровочный коэффициент ИП и его расширенная неопределенность с указанием коэффициента охвата;
- калибровочная функция и расширенная неопределенность в каждой точке диапазона измерений или параметры калибровочной функции и соответствующие им расширенные неопределенности с указанием коэффициентов охвата.
Примечание - Для дальнейшего использования калибровочной характеристики полезно приводить таблицу коэффициентов корреляции оцененных МХ r(yq, yq + 1) в соседних точках калибровки.
5.7.3 Для ИП и многозначных мер коэффициент охвата k принимают одинаковым для всех калибруемых точек диапазона измерений.
6 Оценивание составляющих неопределенности измерений при калибровке
В этом разделе приведены методы оценивания типичных составляющих неопределенности, которые обусловлены:
- применяемыми эталонами, включая неопределенность МХ, нестабильность МХ, нелинейность калибровочных функций и др.;
- случайными погрешностями эталонов, калибруемых СИ и методик калибровки;
- методом измерений при калибровке, включая алгоритм оценивания параметров калибровочной функции (расчет неопределенности для оценивания параметров линейной калибровочной функции методом наименьших квадратов приведен в
приложении А);
- поправками на отклонения от нормальных условий.
6.1 Неопределенность метрологических характеристик эталонных измерительных приборов и значений эталонных мер, применяемых при калибровке
6.1.1 Составляющую неопределенности, обусловленную неопределенностью МХ эталонных ИП, оценивают по типу B. Информация приведена в сертификатах калибровки или свидетельствах поверки этих эталонов.
6.1.2 В сертификатах калибровки должна быть указана расширенная неопределенность U (и коэффициент охвата k, при котором она вычислена) калибровочной характеристики:
- значений меры - при применении в качестве эталонов однозначных и многозначных эталонных мер;
- установки нуля и калибровочного коэффициента - при применении в качестве эталонов ИП с линейной калибровочной характеристикой;
- показаний эталонного ИП в точках xl, xl + 1 диапазона измерений, ближайших к калибруемой точке x (xl < x < xl+1), если калибровочная характеристика эталонного ИП представлена таблицей значений;
- показаний эталонного ИП при применении нелинейной калибровочной характеристикой, заданной в виде функции.
Примечание - Для эталонов в сертификате калибровки может быть указано максимальное значение расширенной неопределенности по диапазону или расширенная неопределенность в точках калибровки.
6.1.3 Если в свидетельстве о поверке указаны доверительные границы погрешности

, соответствующие доверительной вероятности
P = 0,95, то принимают

и k = 2 при нормальном законе распределения или k = 1,65 при равномерном законе распределения. Если доверительная вероятность
P = 0,99, то принимают

и k = 2,6 при нормальном законе распределения или k = 1,71 при равномерном законе распределения.
Если в свидетельстве о поверке указан предел допускаемой погрешности эталона

, то принимают

и k = 3 при (усеченном) нормальном законе распределения или

при равномерном законе распределения.
6.1.4 Стандартные неопределенности вычисляют по формуле

. (35)
6.1.5 При проведении калибровки с помощью эталонного ИП составляющую неопределенности в калибруемой точке x (xi < x < xi + 1), обусловленную калибровочной характеристикой эталонного ИП в соседних точках xi, xi + 1, вычисляют по формуле

. (36)
Способы определения коэффициентов корреляции приведены в
5.4.7 -
5.4.11.
Примечание - Если u(yi) = u(yi + 1) = u и коэффициент корреляции близок к единице, то u(y) = u.
6.1.6 Если калибровочная характеристика эталонного ИП задана аналитически в виде функции и в сертификате калибровки приведены стандартные неопределенности параметров этой функции и их коэффициенты корреляции, то соответствующую неопределенность вычисляют следующим образом:
- если линейная калибровочная характеристика проходит через ноль y = Kx и дана стандартная неопределенность u(K) калибровочного коэффициента K, то соответствующую неопределенность вычисляют по формуле
u2(y) = u2(K)x2; (37)
- если линейная калибровочная характеристика не проходит через ноль y = a + Kx и даны стандартные неопределенности ее параметров u(a), u(K) и их коэффициент корреляции r(a, K), то соответствующую неопределенность вычисляют по формуле
u2(y) = u2(a) + u2(K)x2 + 2xr(a, K)u(a)u(K). (38)
Примечание - Для калибровочной характеристики, заданной аналитически в виде функции, может быть нормировано значение максимальной неопределенности по диапазону измерений в абсолютном или относительном виде u(y) < umax.
6.2 Нестабильность эталонов, применяемых при калибровке
6.2.1 Неопределенность МХ калибруемого СИ, обусловленную нестабильностью применяемых эталонов, оценивают по типу B. Источником информации являются протоколы проведенных в течение ряда лет калибровок или поверок этих эталонов.
6.2.2 Если нестабильность эталонов имеет случайный характер, то она, как правило, нормирована границами нестабильности за МКИ

. Соответствующую стандартную неопределенность вычисляют по формуле

. (39)
Нестабильность эталонного ИП может быть нормирована границами изменения во времени калибровочного коэффициента K:

. Соответствующую стандартную неопределенность калибровочного коэффициента
b вычисляют по формуле

. (40)
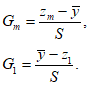
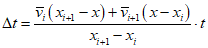
6.2.3 Если нестабильность эталонов имеет систематический характер, то при выполнении калибровки вносится поправка, вычисляемая по формуле

, (41)
где

- скорость дрейфа;
t - время, прошедшее с момента последней калибровки.
Соответствующую неопределенность вычисляют по формуле

. (42)
Методы вычисления неопределенности скорости дрейфа приведены в
приложении Б.
Примечание - Если нестабильность эталонов нормирована границами, зависящими от времени, прошедшего с момента последней калибровки

, то составляющую неопределенности, обусловленную нестабильностью эталона, вычисляют по
формулам (39) и
(40) с заменой

на

и

на

соответственно.
6.3 Нелинейность калибровочной функции эталонного измерительного прибора
6.3.1 Нелинейность калибровочной функции эталонного ИП устанавливают на этапе его калибровки.
6.3.2 Поправку к показаниям эталонного ИП в точке x, обусловленную нелинейностью калибровочной функции, вычисляют по формуле

, (43)
где

. (44)
Множество

- значения калибровочных точек и показания эталонного ИП в этих точках, полученные при его калибровке, где
m - число калибровочных точек при калибровке эталонного ИП.
6.3.3 Неопределенность поправки вычисляют по формуле

(45)
где u(y) - стандартная неопределенность, обусловленная повторяемостью показаний эталонного ИП.
6.3.4 Если поправка на нелинейность не вводится, то соответствующую неопределенность, обусловленную нелинейностью калибровочной характеристики, оценивают сверху исходя из максимального отклонения от линейной зависимости по формуле

(46)
6.4 Случайная погрешность эталона и калибруемого средства измерений
6.4.1 При определении значения калибруемой меры методом прямых измерений с помощью эталонного ИП или при использовании эталонного ИП в качестве компаратора при сличениях эталонной и калибруемой мер случайная погрешность эталонного ИП является составляющей случайной погрешности ряда результатов многократных измерений, и соответствующая неопределенность может быть оценена по типу A в соответствии с
5.3.2. Если для эталонного ИП установлено СКО повторяемости и условия определения СКО повторяемости эталонного ИП совпадают с условиями проведения калибровки меры, то целесообразно использовать априорную оценку СКО повторяемости в соответствии с
5.3.4.
6.4.2 При калибровке ИП по эталонной мере случайная погрешность ИП является составляющей случайной погрешности определения МХ ИП, и соответствующую неопределенность оценивают по типу A.
6.4.3 При непосредственном сличении калибруемого и эталонного ИП невозможно, как правило, разделить случайные погрешности этих ИП и других составляющих, обусловленных изменениями условий измерений. Неопределенность, обусловленная суммарной случайной погрешностью, вычисляют по типу A в соответствии с
5.3.2.
6.4.4 В сличениях калибруемого и эталонного ИП посредством эталона сравнения при вычислении неопределенности, обусловленной случайной погрешностью эталонного ИП, в ряде случаев целесообразно использовать априорные оценки повторяемости ИП в соответствии с
5.3.3.
6.5.1 Поправку в результат определения МХ СИ, обусловленную значением влияющей величины

, вычисляют по формуле

, (47)
где c0(y) - номинальная функция влияния;

- номинальное значение влияющей величины, соответствующее нормальным условиям при калибровке.
6.5.2 Абсолютную стандартную неопределенность, обусловленную неточностью этой поправки, вычисляют по формуле

, (48)
где
u[
c(
y)] - стандартная неопределенность функции влияния,

- стандартная неопределенность значения влияющей величины

.
6.5.3 Значения функции влияния cl(y) находят из таблиц, аттестованных ГСССД, или других таблиц, опубликованных компетентной метрологической организацией. Стандартную неопределенность или расширенную неопределенность U[c(y)] этих данных и коэффициент охвата k устанавливают на основе материалов организаций, опубликовавших эти данные.
6.5.4 Значения

влияющих величин определяют путем их измерения. В этом случае стандартную неопределенность вычисляют в соответствии с
5.3.
6.5.5 В тех случаях, когда функция влияния или непосредственно поправка представлена в виде таблицы, вычисление поправки при фактическом значении влияющей величины требует линейной интерполяции между ближайшими узлами интерполирования

,

по формуле

. (49)
6.5.6 Неопределенность поправки складывается из неопределенности влияющей величины, неопределенности поправок (функции влияния) в узлах интерполирования и неопределенности, обусловленной линейным интерполированием, и вычисляется по формуле

(50)
6.5.7 В тех случаях, когда поправка на отклонение влияющей величины

от номинального значения не вводится, ее значение следует учесть при вычислении стандартной неопределенности МХ СИ в виде

. (51)
6.6 Округление показаний средства измерений
6.6.1 Неопределенность результата измерений y, обусловленную округлением (квантованием), оценивают по типу B. При этом предполагают равномерный закон распределения с границей, равной половине ширины первого десятичного диапазона, отбрасываемого при округлении.
6.6.2 Стандартную неопределенность, обусловленную округлением показаний, вычисляют по формуле

, (52)
где m(y) - порядковый номер последней значащей цифры результата измерений y (минимальной цены деления СИ, применяемого при калибровке).
6.6.3 При многократных измерениях стандартную неопределенность измерений, обусловленную округлением, можно считать пренебрежимо малой и не учитывать, если она не превышает стандартную неопределенность, оцененную по типу A (т.е. в тех случаях, когда разряд последней значащей цифры измеренного значения не превышает разряда первой значащей цифры расширенной неопределенности по типу A).
7.1 Калибровка мер методом прямых измерений
7.1.1 Калибровка однозначной меры заключается в измерении эталонным ИП величины, воспроизводимой калибруемой мерой. В общем случае уравнение измерений записывают в следующем виде:

, (53)
где xcal - значение величины, воспроизводимой калибруемой мерой;

- обратная функция к калибровочной функции эталонного ИП;
yref(Xcal) - показание эталонного ИП, соответствующее величине, воспроизводимой калибруемой мерой;

,

- поправки, вносимые в показания эталонного ИП и в окончательный результат измерения соответственно.
7.1.2 Конкретный вид уравнения измерений зависит от способа представления калибровочной характеристики эталонного ИП. Ниже перечислены некоторые типовые способы записи уравнений измерения.
7.1.3 Если показания эталонного ИП представлены непосредственно в единицах измеряемой величины, то это соответствует тождественной номинальной калибровочной функции

. В таком случае калибровочная характеристика эталонного ИП представлена поправками к его показаниям, и уравнение измерений, как правило, записывают в следующем виде:

, (54)
где xref - показания эталонного ИП;

- поправка к показаниям ИП.
Примечание - В качестве оценки xref, как правило, принимают среднее повторных показаний эталонного ИП; соответствующую стандартную неопределенность вычисляют по типу A. Поправка к показанию эталонного ИП в общем случае включает поправку на систематический сдвиг, нелинейность и дрейф калибровочной характеристики эталонного ИП; соответствующие неопределенности, как правило, вычисляют по типу B.
7.1.4 Если калибровочная характеристика эталонного ИП представлена калибровочным коэффициентом K, то уравнение измерений, как правило, может быть представлено в следующем виде:

. (55)
Примечания
1 В качестве yref(Xcal), как правило, принимают среднее повторных показаний эталонного ИП; соответствующую стандартную неопределенность вычисляют по типу A; неопределенности остальных входных величин, как правило, - по типу B.
2 Аналогично рассматривается случай двухпараметрической линейной калибровочной зависимости и зависимости произвольного заданного вида.
Пример - Калибровка калибратора блока температуры при температуре 180 °C (см. [3])
При калибровке измеряют температуру, которая должна установиться в измерительном отверстии калибратора блока температуры, когда встроенный индикатор температуры показывает 180 °C. Температура в калибруемом отверстии определена эталонным встроенным платиновым термометром сопротивления в соответствии со следующим уравнением измерений и вычисляется по формуле
, (56)
где tS - значение температуры, полученное эталоном по измеренному сопротивлению, мостом переменного тока;
- поправка, обусловленная мостом переменного тока;
,
,
,
,
,
- поправки, обусловленные соответственно: дрейфом эталона с момента его последней калибровки; конечным разрешением показаний калибратора блока температуры; осевой температурной неоднородностью в измерительном отверстии; гистерезисом; колебаниями температуры в течение времени измерения.
7.2 Калибровка мер методом сличения с эталонной мерой. Дифференциальный метод
При этом способе калибровки применяют два СИ: эталонную меру с номинальным значением, равным номинальному значению калибруемой меры, и ИП в качестве компаратора.
7.2.1 Дифференциальный метод измерений заключается в многократном измерении на компараторе разности размеров величины, хранимых калибруемой и эталонной мерами. В общем случае уравнение измерений записывают в следующем виде:

, (57)
где xcal - значение калибруемой меры;
xref - значение эталонной меры, определенное при ее калибровке;

- обратная функция к калибровочной функции эталонного ИП;
yref(Xcal - Xref) - показания эталонного ИП, соответствующие разности величин; воспроизводимых калибруемой и эталонной мерами;

,

- поправки, вносимые в показания эталонного СИ и в окончательный результат измерения соответственно.
7.2.2 Конкретный вид уравнения измерений зависит от способа представления калибровочной характеристики эталонного ИП. Ниже перечислены некоторые типовые способы записи уравнений измерения.
7.2.3 Если показания эталонного компаратора представлены непосредственно в единицах измеряемой величины, то это соответствует тождественной номинальной калибровочной функции

. В этом случае калибровочная характеристика эталонного ИП представлена поправками к его показаниям, и уравнение измерений, как правило, записывают в следующем виде:

, (58)
где

- показания ИП, соответствующие разности величин, воспроизводимых калибруемой и эталонной мерами;

- поправка к показаниям ИП.
Примечания
1 В качестве

, как правило, принимают среднее повторных показаний эталонного компаратора; соответствующую стандартную неопределенность вычисляют по типу A; неопределенности остальных входных величин, как правило, - по типу B.
2 Аналогично рассматривают случай двухпараметрической линейной калибровочной зависимости и зависимости произвольного заданного вида.
7.2.4 Если калибровочная характеристика эталонного компаратора представлена калибровочным коэффициентом K, то уравнение измерений, как правило, может быть представлено в следующем виде:

. (59)
7.2.5 Частным случаем дифференциального метода измерений является нулевой метод, при котором добиваются равенства размеров калибруемой и эталонной мер. При этом в правой части уравнений член, соответствующий показаниям эталонного компаратора, равен нулю.
Пример - Калибровка плоскопараллельной концевой меры номинальной длины 50 мм (см. [3])
Калибровку концевой меры длины 50 мм проводят методом сравнения при помощи компаратора с эталонной концевой мерой той же номинальной длины и того же материала. Разность срединных длин определяют при вертикальном положении обеих концевых мер с использованием двух индикаторов, контактирующих с верхней и нижней измерительными поверхностями. Длину калибруемой концевой меры lX вычисляют в соответствии со следующим уравнением измерений:
, (60)
где lS - длина эталонной концевой меры при температуре t0 = 20 °C согласно сертификату ее калибровки;
- изменение эталонной концевой меры длины с момента ее последней калибровки;
- разность длин калибруемой и эталонной концевых мер;
,
,
- поправка на несовпадение осей компаратора; температурные поправки; поправка на отклонение срединной длины калибруемой концевой меры с индикаторами, контактирующими с верхней и нижней измерительными поверхностями.
7.3 Калибровка мер методом сличения с эталонной мерой. Метод замещения
При этом способе калибровки, как и в
7.2, применяют два СИ: эталонную меру с номинальным значением, равным номинальному значению калибруемой меры, и ИП в качестве компаратора.
7.3.1 Метод замещения заключается в многократном попеременном измерении на компараторе размеров величины, хранимых калибруемой и эталонной мерами. В общем случае уравнение измерений записывают в следующем виде:

, (61)
где xcal - значение калибруемой меры;
xref - значение эталонной меры, определенное при ее калибровке;

- обратная функция к калибровочной функции эталонного ИП;
yref(Xcal), yref(Xref) - показания эталонного ИП, соответствующие величинам, воспроизводимым калибруемой и эталонной мерами;

,

- поправки, вносимые в показания эталонного ИП и в окончательный результат измерения соответственно.
7.3.2 Если показания компаратора представлены в единицах, отличных от единиц измеряемой величины, то в уравнении измерений часто используют отношение показаний эталонного компаратора, соответствующих последовательно определяемым значениям калибруемой и эталонной мер:

, (62)
где

- поправки, вносимые в значение эталонной меры;

- мультипликативные поправки.
7.3.3 Возможны ситуации, когда при калибровке применяют две эталонные меры с номинальными значениями, близкими к значению калибруемой меры xref1 <= xcal <= xref2. В таком случае сначала определяют линейную калибровочную характеристику компаратора на узком диапазоне с использованием этих мер, а затем на ее основе оценивают значение калибруемой меры. Уравнение измерений имеет следующий вид

, (63)
где yref(Xref1), yref(Xref2), yref(Xcal) - показания эталонного ИП, соответствующие значениям эталонных и калибруемой мер.
Примечание - В качестве yref(Xref1), yref(Xref2), yref(Xcal), как правило, принимают средние повторных показаний эталонного ИП; соответствующие стандартные неопределенности вычисляют по типу A; неопределенности остальных входных величин, как правило, - по типу B.
7.3.4 При использовании метода замещения, как правило, поправки к показаниям эталонного ИП на нестабильность, нелинейность калибровочной характеристики и другие систематические эффекты не вводят, так как измерения проводят за короткий промежуток времени и для мер с близкими номинальными значениями.
Пример - Калибровка гири с номинальным значением массы 10 кг (см. [3])
Калибровку гири с номинальным значением массы 10 кг проводят методом сравнения с эталонной гирей того же номинального значения при помощи компаратора, МХ которого известны. Условная масса калибруемой гири определяется в соответствии со следующим уравнением измерений:
, (64)
где mS - условная масса эталонной гири;
- значения дрейфа эталонной гири после ее последней калибровки;
- наблюдаемая разность между массами калибруемой и эталонной гирь;
,
- поправки соответственно на эксцентриситет и магнитное воздействие.
7.4 Вычисление неопределенности при калибровке мер
7.4.1 Типичные источники неопределенности при калибровке мер следующие:
- неопределенность МХ эталонного ИП;
- нестабильность МХ эталонного ИП;
- нелинейность калибровочной функции эталонного ИП;
- случайная погрешность эталонного ИП;
- неопределенность значений эталонных мер;
- нестабильность эталонных мер;
- влияние случайных факторов, обусловленных методикой измерений, например погрешность установки калибруемой и эталонной мер на компараторе;
- вычисление поправок;
- округление результата измерений;
- интерполирование табличных данных.
7.4.2 Способы вычисления неопределенностей эталонов, поправок на влияющие величины и соответствующие неопределенности приведены в
разделе 6. Методика оценивания стандартной и расширенной неопределенности и составления бюджета неопределенности приведена в
разделе 5.
7.4.3 Как правило, вклад в неопределенность, обусловленный нестабильностью МХ и нелинейностью калибровочной функции эталонного компаратора, в методе замещения можно не учитывать, так как они оказывают аналогичное влияние при измерениях эталонных и калибруемой мер. Кроме того, следует учитывать, что часто поправки на влияющие величины для результатов измерений эталонных и калибруемых мер оказываются коррелированными, что на практике существенно уменьшает суммарную неопределенность значения калибруемой меры.
7.4.4 Определение МХ многозначной меры и соответствующей неопределенности проводят аналогичным образом, последовательно для ее каждого номинального значения. В настоящих рекомендациях не рассматривается случай, когда на значения многозначной меры накладываются дополнительные уравнения связи, например: сумма углов многогранной призмы равна 360 градусам.
8 Калибровка измерительных приборов
8.1 Калибровка измерительных приборов методом прямых измерений
8.1.1 При калибровке ИП методом прямых измерений проводят измерения калибруемым ИП величин, воспроизводимых эталонными мерами/калибраторами, которые соответствуют разным отсчетам шкалы ИП.
8.1.2 Если при калибровке ИП определяют поправки к показаниям ИП или отклонения от номинальной калибровочной характеристики в точке xref, то уравнение измерений, как правило, может быть представлено в следующем виде:
- для аддитивных поправок

или (65)

; (66)
- для мультипликативных поправок

или (67)

, (68)
где ycal(Xref) - показания калибруемого ИП в точке, соответствующие величине, воспроизводимой эталонной мерой Xref;
xref - значение эталонной меры;
fnom(xref) - значение номинальной калибровочной характеристики калибруемого ИП в точке xref;

,

- поправки на нестабильность эталонной меры и другие влияющие величины.
Примечание - В качестве оценок ycal(Xref), как правило, принимают среднее повторных показаний калибруемого ИП; соответствующую стандартную неопределенность вычисляют по типу A; неопределенности остальных входных величин, как правило, - по типу B.
8.1.3 Если при калибровке ИП определяют его калибровочный коэффициент K, то уравнение измерений представляется в следующем виде

. (69)
Примечание - Оценки коэффициентов линейной зависимости методом наименьших квадратов приведены в
приложении А.
Пример - Калибровка штангенциркуля (см. [3])
Стальной штангенциркуль калибруется с применением эталонных концевых мер с номинальными значениями длины в диапазоне 0,5 - 150 мм. При калибровке устанавливают отклонение показания штангенциркуля от значения эталонной меры (погрешность) EX при нормальной температуре t0 = 20 °C в соответствии со следующим уравнением измерений:
, (70)
где liX - показания штангенциркуля;
lS - действительное значение длины концевой меры;
,
,
- поправки соответственно: на разность температур штангенциркуля и концевой меры длины; конечное разрешение штангенциркуля; механические эффекты, такие как существующее измерительное усилие; ошибки Аббе, отклонения от плоскостности и параллельности измерительных поверхностей.
8.2 Калибровка измерительных приборов методом сличения с эталонным измерительным прибором
8.2.1 Метод сличения с эталонным ИП может быть реализован непосредственно или с применением эталона сравнения (набора мер).
8.2.2 При установлении МХ калибруемого ИП в каждой точке калибровки сначала определяют значение измеряемой величины по показаниям эталонного ИП
yref(
X), используя его калибровочную характеристику:

, и вычисляют соответствующую неопределенность. Затем построение модели и вычисление неопределенности сводится к задаче калибровки методом прямых измерений (см.
8.1).
8.2.3 В данном случае уравнение измерений часто разбивают на два уравнения в соответствии с перечисленной выше последовательностью действий.
Пример - Калибровка термопары типа N при температуре 1000 °C (см. [3])
Термопары типа N калибруются путем сравнения с двумя эталонными термопарами типа R в горизонтальной печи при температуре 1000 °C. ЭДС, генерируемая термопарами, измеряют с помощью цифрового вольтметра. Измерение состоит из двух этапов, поэтому в данном случае модель измерений приведена для каждого этапа.
На первом этапе вычисляют температуру горячего спая калибруемой термопары tX по формуле
, (71)
где tS(V) - калибровочная функция эталонного термометра, позволяющая по измеренному значению напряжения определить температуру. Функция приведена в свидетельстве о калибровке;
ViS - показания вольтметра;
- поправка к значению напряжения, определенная при калибровке вольтметра;
- изменение значений эталонных термометров с момента их последней калибровки из-за дрейфа;
- поправка к значению температуры из-за неоднородности температуры печи.
На втором этапе вычисляют соответствующее напряжение VX(t), возникающее в калибруемой термопаре, по формуле
, (72)
где t - температура, при которой термопара должна быть откалибрована (точка калибровки);
VX(tX) - показания вольтметра;
- отклонение температуры точки калибровки от температуры печи;
CX - чувствительность термопары по напряжению при измеряемой температуре 1000 °C;
- поправка к значению температуры, возникающая из-за отклонения опорной температуры от 0 °C;
CX0 - чувствительность термопары по напряжению при опорной температуре 0 °C.
8.3 Вычисление неопределенности при калибровке измерительного прибора
8.3.1 Типичными источниками неопределенности являются следующие:
- случайные погрешности калибруемого и эталонного ИП;
- неопределенность МХ эталонного ИП;
- неопределенность значения эталонной меры;
- нестабильность значения эталонной меры;
- нестабильность МХ эталонного ИП;
- нелинейность калибровочной функции эталонного ИП;
- округление результатов измерений;
- интерполирование табличных данных;
- неоднородность распределения значений измеряемой величины в физической среде (погрешность определения поправки на изменение измеряемой величины);
- различие значений влияющих величин при измерениях на калибруемом и эталонном ИП (погрешность определения поправок для этих разностей и влияние факторов, на которые поправки не введены).
8.3.2 Расчетные зависимости для оценок составляющих стандартной неопределенности, обусловленных такими источниками, приведены в
разделе 6. Методика оценивания стандартной неопределенности и составления бюджета неопределенности калибровки приведена в
разделе 5.
8.3.3 Как правило, при выполнении калибровки получают ряд повторных показаний калибруемого и эталонного ИП ycal(Xref), yref(Xref). В этом случае при обработке данных необходимо учитывать возможную корреляцию показаний эталонного и калибруемого ИП, обусловленную флуктуациями измеряемой величины, в частности может быть целесообразным применение метода приведения.
9 Дополнительные задачи, решаемые при калибровке
При калибровке эталонных мер и ИП, при необходимости, могут быть решены следующие задачи:
- оценивание нестабильности мер и МХ ИП;
- оценивание СКО повторяемости показаний калибруемого ИП;
- оценивание нелинейности калибровочных функций ИП.
9.1 Оценивание нестабильности мер
9.1.1 Во многих видах измерений для эталонных и образцовых мер высших разрядов устанавливают требование к их стабильности: предел допускаемого изменения значения меры за установленный интервал. При превышении этого предела меру переводят в более низкий класс точности. Для таких мер оценивание нестабильности за МКИ должно быть составной частью калибровки.
9.1.2 Изменение значения меры за l-й МКИ dxl вычисляют по формуле
dxl = xl + 1 - xl, (73)
где
xl + 1,
xl - значения калибруемой меры в моменты
l + 1-й и
l-й калибровок, определяемые в соответствии с
разделом 7.
9.1.3 Оценки значений калибруемой меры получают на основе повторных измерений. Оценки могут быть сильно коррелированы в силу использования одного и того же эталонного ИП и метода измерений. Нестабильность калибровочной характеристики эталонного ИП следует оценивать только за МКИ калибруемой меры.
9.1.4 Аналогично проводят оценивание нестабильности МХ ИП (см.
6.2).
9.2 Оценивание повторяемости показаний измерительного прибора
9.2.1 В состав определяемых при калибровке МХ ИП могут входить показатели прецизионности (повторяемости) показаний.
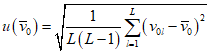
9.2.2 Оценивание СКО повторяемости (сходимости) показаний
Sr и его неопределенности проводят по типу
A путем статистического анализа повторных независимых показаний калибруемого ИП, соответствующих значению величины, воспроизводимой стабильной мерой, и проведенных в условиях повторяемости (сходимости). Число
m измерений должно быть не менее 20. Обработку результатов измерений проводят в соответствии с
9.2.3 -
9.2.6.
9.2.3 Среднее значение и выборочное СКО результатов измерений вычисляют по формулам

, (74)

. (75)
9.2.4 Проверяют ряд y1,..., ym на отсутствие выбросов по критерию Грабса. С этой целью находят статистики Грабса для наибольшего zm = maxyj и наименьшего z1 = minyi результатов измерений и вычисляют по формуле

(76)
Выполнение условий

и

, где

,

- пороговые значения с уровнем значимости 1%, свидетельствует об отсутствии выбросов (таблица значений

,

приведена в
[3]). В этом случае полученное значение
Sr принимают в качестве оценки СКО показаний ИП в условиях повторяемости.
Если одно из данных неравенств не выполняется, то это означает, что соответствующее значение
zm или
z1 является выбросом. В таком случае оно исключается, и оставшийся ряд из (
m - 1) результатов измерений обрабатывают в соответствии с
9.2.3 и 9.2.4.
9.2.5 Относительную стандартную неопределенность СКО повторяемости urel(Sr) приближенно вычисляют по формуле

. (77)
9.2.6 Относительную расширенную неопределенность СКО повторяемости вычисляют следующим образом:
- находят для заданной вероятности охвата
P вероятности

,

;
- используя обратную функцию распределения

с (
m - 1) степенями свободы находят значения 100
p1 и 100
p2 - процентных точек этого распределения

,

, где

- функция, обратная функции распределения

с (
m - 1) степенями свободы

;
- находят относительную расширенную неопределенность СКО повторяемости Urel(Sr) по формуле

. (78)
9.3 Оценивание нелинейности калибровочной функции измерительного прибора
Оценивание нелинейности калибровочной функции ИП выполняют аналогично оценке неопределенности калибровочной функции эталонного ИП в соответствии с
6.3.
10 Использование результатов калибровки
10.1 Обсуждение вопросов использования результатов калибровки выходит за рамки настоящих рекомендаций, но, учитывая важность вопроса, в данном разделе приведена краткая информация (подробное рассмотрение см.
[4] и
[5]).
Результаты калибровки СИ могут быть использованы:
- для проверки соответствия МХ калибруемого СИ установленным требованиям;
- для расчета инструментальной неопределенности измерений;
- для установления цепи метрологической прослеживаемости.
10.2 При проверке соответствия МХ калибруемого СИ установленным требованиям необходимо учитывать неопределенность установления данной МХ при калибровке.
Пример - Использование неопределенности измерений при проверке соответствия МХ установленным требованиям (см. [6])
При отнесении гири к определенному классу проверяют два условия:
- для калибруемой гири расширенная неопределенность U(m) при k = 2 условной массы должна быть не более одной трети ее пределов допускаемой погрешности
для соответствующего класса:
; (79)
- для каждой гири условная масса m, определенная с расширенной неопределенностью U(m), не должна отличаться от номинального значения массы гири mn более чем на предел допускаемой погрешности минус расширенная неопределенность:
. (80)
Возможно применение и других правил использования неопределенности при проверке соответствия установленным требованиям.
10.3 Инструментальная неопределенность является составляющей неопределенности измерений, обусловленной используемым СИ. Неопределенность измерений всегда больше инструментальной неопределенности, так как возникают дополнительные факторы, связанные с условиями измерений или применения СИ, которые приводят к дополнительным источникам неопределенности.
Неопределенность измерений, указанная в сертификате калибровки, в общем случае не является инструментальной составляющей неопределенности измерений, это - неопределенность установления определяемой МХ калибруемого СИ. При расчете инструментальной неопределенности измерений необходимо проанализировать результаты калибровки используемого СИ и установить, правомерно ли и необходимо ли вносить поправки в показания СИ.
Если результаты калибровки представлены в виде отклонений показаний калибруемого СИ от опорных значений измеряемой величины, определяемых эталоном, то расчет инструментальной неопределенности будет отличаться в зависимости от следующего:
- поправку вносят в каждой точке шкалы;
- установлена аппроксимирующая зависимость для поправки в зависимости от значения измеряемой величины в диапазоне измерений;
- поправку учитывают в суммарной неопределенности и др.
Пример - Рекомендации по установлению неопределенности весов в процессе их использования (см. [7])
При калибровке весов устанавливают отклонение от опорного значения/погрешность показаний весов ER и соответствующую стандартную неопределенность u(ER). При расчете суммарной стандартной неопределенности результата взвешивания u(W) дополнительно учитывают составляющие неопределенности, обусловленные разрешением весов и повторяемостью показаний. Если поправку по результатам калибровки не вносят, то вместо u(ER) используют
.
10.4 Для ИП с существенной случайной погрешностью необходимо дополнительно учитывать составляющую инструментальной неопределенности, вычисляемую по типу A. При применении методик измерений эта составляющая входит в суммарную неопределенность, оцененную по типу A.
(рекомендуемое)
НЕОПРЕДЕЛЕННОСТЬ ПОСТРОЕНИЯ ЛИНЕЙНОЙ КАЛИБРОВОЧНОЙ ФУНКЦИИ
МЕТОДОМ НАИМЕНЬШИХ КВАДРАТОВ
А.1 Для построения линейной калибровочной функции ИП проводят измерения отклика ИП в N калибровочных точках рассматриваемого диапазона с известными значениями x1,.., xj,..., xN. В каждой точке xj проводят n повторных измерений. Таким образом, формируется ряд yjl(l = 1,..., n) значений показаний ИП в калибровочных точках xj.
А.2 Калибровочная функция задается выражением

, (А.1)
где

, (А.2)

. (А.3)
А.3 При оценивании неопределенности калибровочной функции y(x) следует учесть неопределенность значений калибровочных точек u(xj), оцениваемых по типу B, и неопределенности выходных сигналов u(yjl) ИП, оцениваемые как по типу A (вследствие случайных погрешностей ИП), так и по типу B (вследствие дополнительных погрешностей измерений при калибровке).
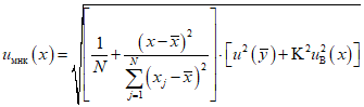
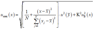
А.4 Если значения калибровочных точек xj, j = 1,..., N являются независимыми [cov(xj,xs) = 0 для любых j,s = 1,..., N при j /= s], стандартную неопределенность метода наименьших квадратов uмнк(x) вычисляют по формуле

, (А.4)
где

, (А.5)

, (А.6)

,
uB(
x) - стандартные неопределенности оценивания

,
x по типу B.
При этом стандартные неопределенности параметров модели равны

(А.7)
А.5 Если величины xj, j = 1,..., N коррелированы (отягощены постоянной систематической погрешностью), стандартную неопределенность методом наименьших квадратов вычисляют по формуле

. (А.8)
А.6 В частном случае при построении линейной калибровочной функции, проходящей через ноль, обычно используют N калибровочных точек со значениями x1,..., xj,..., xN (возможно применение одной многозначной меры). В каждой точке xj проводят n измерений выходного сигнала с результатами yjl(l = 1,...,n).
Калибровочная функция выражена формулой
y = Kx, (А.9)
где

. (А.10)
Если результаты измерений xj, j = 1,..., N являются независимыми, стандартную неопределенность методом наименьших квадратов вычисляют по формуле
uмнк(x) = u(K)·x, (А.11)
в которой

(А.12)
Если величины
xj,
j = 1,...,
N коррелированы, стандартную неопределенность вычисляют по
формуле (А.7), в которой

. (А.13)
(рекомендуемое)
РАСЧЕТ НЕОПРЕДЕЛЕННОСТИ СКОРОСТИ ДРЕЙФА МЕТРОЛОГИЧЕСКИХ
ХАРАКТЕРИСТИК ЭТАЛОНОВ
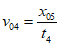
Б.1 На основе протоколов калибровок, проведенных в течение ряда лет, определяют статистические оценки скоростей дрейфа МХ эталона - средние скорости

дрейфа и стандартные неопределенности скоростей дрейфа

, где
r - число калибровочных точек.
Б.2 По значениям

определяют поправки к показаниям эталонов при проведении с их помощью калибровки с учетом значений

, т.е. стандартных неопределенностей этих поправок.
Б.3 Если эталон является однозначной мерой, то на основе протоколов калибровок или поверок заполняют
таблицу Б.1.
Таблица Б.1
Определение скорости дрейфа значений однозначных мер
Порядковый номер калибровки | 1 | 2 | 3 | 4 | 5 |
Дата калибровки | T1 | T2 | T3 | T4 | T5 |
Межкалибровочный интервал, ед. времени | - | t1 = T2 - T1 | t2 = T3 - T2 | t3 = T4 - T3 | t4 = T5 - T4 |
Значение меры, ед. величины | Приписанное | y1 | y2 | y3 | y4 | y5 |
Действительное | | | | | |
Скорость дрейфа, ед. величины/ед. времени | - | | | | |
В этой
таблице скорость дрейфа значения меры в
l-
м МКИ
vl вычислена по формуле

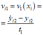
, (Б.1)
где
yl - приписанное значение меры при ее поступлении на
l-ю калибровку

;

- действительное значение меры, определенное при
l-й калибровке;
tl - длительность l-го МКИ.
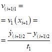
Б.4 Далее проводят вычисления в следующем порядке:
- определяют среднюю скорость дрейфа значения меры

по формуле

, (Б.2)
где
L - число МКИ, прошедших до рассматриваемого момента, и стандартную неопределенность (по типу A) средней скорости дрейфа

по формуле

; (Б.3)
- принимают поправку на дрейф значения эталонной меры равной

, где
t =
T -
TL - время, прошедшее после последней калибровки эталонной меры;
- определяют стандартную неопределенность этой поправки как

.
Б.5 Если эталон является многозначной мерой, поправки

к действительным значениям и их стандартные неопределенности

определяют в соответствии с
Б.4 и Б.5 для каждого значения многозначной меры.
Б.6 Если эталон является ИП с линейной калибровочной функцией, то на основе протоколов калибровок или поверок заполняют
таблицу Б.2.
Таблица Б.2
Определение скорости дрейфа калибровочного коэффициента
измерительного прибора с линейной калибровочной функцией
Порядковый номер калибровки | 1 | 2 | 3 | 4 | 5 |
Дата калибровки | T1 | T2 | T3 | T4 | T5 |
Межкалибровочный интервал, ед. времени | - | t1 = T2 - T1 | t2 = T3 - T2 | t3 = T4 - T3 | t4 = T5 - T4 |
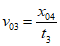
Сдвиг нуля перед калибровкой | x01 | x02 | x03 | x04 | x05 |
Калибровочный коэффициент | K1 | K2 | K3 | K4 | K5 |
| | | | |
Скорость дрейфа аддитивной составляющей погрешности, ед. времени | - | | | | |
Скорость дрейфа калибровочного коэффициента, ед. времени | - | | | | |
В этой
таблице скорость дрейфа нуля в
l-
м МКИ вычисляют по формуле

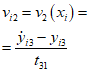
, (Б.4)
где x0(l + 1) - сдвиг нуля ИП, определенный при (l + 1)-й калибровке.
Среднюю скорость дрейфа калибровочного коэффициента вычисляют по формуле

, (Б.5)
где K
l + 1,

- оценка калибровочного коэффициента при поступлении на (
l + 1) калибровку и после проведения калибровки.
Далее проводят вычисления в следующем порядке:
- определяют средние скорости дрейфа нуля и калибровочного коэффициента по формулам

; (Б.6)

, (Б.7)
и стандартную неопределенность (по типу A) этих средних скоростей по формулам

; (Б.8)

; (Б.9)
- принимают поправку на дрейф характеристик ИП равной

,
где x - значение величины, измеряемой при калибровке;
- принимают стандартную неопределенность этой поправки равной

. (Б.10)
Б.7 Если эталон является ИП с нелинейной калибровочной функцией, из протоколов калибровок или поверок выбирают данные о нестабильности

в точках диапазона
xi и
xi + 1, ближайших к калибровочной точке
x(
xi <
x <
xi + 1):
yil =
yl(
xi). Эти данные вносят в
таблицу Б.3 обозначения в которой аналогичны приведенным в
Б.4,
Б.5.
Таблица Б.3
Определение скорости дрейфа характеристик измерительных
приборов с нелинейной калибровочной характеристикой
Порядковый номер калибровки | 1 | 2 | 3 | 4 |
Дата калибровки | T1 | T2 | T3 | T4 |
Межкалибровочный интервал, ед. времени | - | t1 = T2 - T1 | t2 = T3 - T2 | t3 = T4 - T3 |
Значения в калибруемых точках диапазона СИ, ед. величины | Приписанные | yi1 | yi2 | yi3 | yi4 |
y(i + 1)1 | y(i + 1)2 | y(i + 1)3 | y(i + 1)4 |
Действительные | | | | |
| | | |
Скорости дрейфа значений в калибруемых точках диапазона xi, xi + 1, эталонного СИ, ед. величины | - | | | |
| | |
Далее проводят вычисления в следующем порядке:
- определяют стандартные неопределенности средних скоростей дрейфа

и

по
формуле (Б.3) и коэффициент корреляции скоростей дрейфа в калибровочных точках
xi и
xi + 1 по формуле

; (Б.11)
- принимают поправку на нестабильность СИ равной

, (Б.12)
где t - время, прошедшее после последней калибровки эталонного ИП.
Стандартная неопределенность поправки

равна

. (Б.13)
Примечание - Если

и коэффициент корреляции близок к единице, то

.
| JCGM 200:2008, International Vocabulary of Metrology - Basic and General Concepts and Associated Terms (VIM), BIPM 2008 (Международный словарь по метрологии. Основные и общие понятия и соответствующие термины) |
| ISO/IEC 17025:2017, General requirements for the competence of testing and calibration laboratories (Общие требования к компетентности испытательных и калибровочных лабораторий) |
| ISO/IEC Guide 98-4:2012, Uncertainty of measurement - Part 4: Role of measurement uncertainty in conformity assessment (Неопределенность измерений. Часть 4. Роль неопределенности измерения в оценке соответствия) |
| EA-4/02 Expression of the uncertainty of Measurements in Calibration (Выражение неопределенности измерений при калибровке) |
| OIML G19:2017, The role of measurement uncertainty in conformity assessment decisions in legal metrology (Роль неопределенности измерений в принятии решений об оценке соответствия в области законодательной метрологии) |
| OIML R-111-1, Weights of classes E1, E2, F1, F2, M1, M1-2, M2, M2-3 and М3. Part 1: Metrological and technical requirements (Гири классов E1, E2, F1, F2, M1, M1-2, M2, M2-3 и M3. Часть 1. Метрологические и технические требования) |
| EURAMET/cg-18/v.02, Guidelines on the Calibration of Non-Automatic Weighing Instruments (Руководство по калибровке неавтоматических весов) |
УДК 389.14:006.354 | |
Ключевые слова: метрологическая характеристика, калибровочная характеристика, метод измерения, модель измерений, стандартная неопределенность, бюджет неопределенности |