Главная // Актуальные документы // ПриказСПРАВКА
Источник публикации
М.: Стандартинформ, 2019
Примечание к документу
Документ
введен в действие с 01.12.2019.
Название документа
"Р 1323565.1.026-2019. Рекомендации по стандартизации. Информационная технология. Криптографическая защита информации. Режимы работы блочных шифров, реализующие аутентифицированное шифрование"
(утв. и введены в действие Приказом Росстандарта от 06.09.2019 N 646-ст)
"Р 1323565.1.026-2019. Рекомендации по стандартизации. Информационная технология. Криптографическая защита информации. Режимы работы блочных шифров, реализующие аутентифицированное шифрование"
(утв. и введены в действие Приказом Росстандарта от 06.09.2019 N 646-ст)
Утверждены и введены в действие
по техническому регулированию
и метрологии
от 6 сентября 2019 г. N 646-ст
РЕКОМЕНДАЦИИ ПО СТАНДАРТИЗАЦИИ
ИНФОРМАЦИОННАЯ ТЕХНОЛОГИЯ
КРИПТОГРАФИЧЕСКАЯ ЗАЩИТА ИНФОРМАЦИИ
РЕЖИМЫ РАБОТЫ БЛОЧНЫХ ШИФРОВ,
РЕАЛИЗУЮЩИЕ АУТЕНТИФИЦИРОВАННОЕ ШИФРОВАНИЕ
Information technology. Cryptographic data security.
Authenticated encryption block cipher operation modes
Р 1323565.1.026-2019
Дата введения
1 декабря 2019 года
1 РАЗРАБОТАНЫ Центром защиты информации и специальной связи ФСБ России при участии Общества с ограниченной ответственностью "КРИПТО-ПРО" (ООО "КРИПТО-ПРО")
2 ВНЕСЕНЫ Техническим комитетом по стандартизации ТК 26 "Криптографическая защита информации"
3 УТВЕРЖДЕНЫ И ВВЕДЕНЫ В ДЕЙСТВИЕ
Приказом Федерального агентства по техническому регулированию и метрологии от 6 сентября 2019 г. N 646-ст
4 ВВЕДЕНЫ ВПЕРВЫЕ
Правила применения настоящих рекомендаций установлены в статье 26 Федерального закона от 29 июня 2015 г. N 162-ФЗ "О стандартизации в Российской Федерации". Информация об изменениях к настоящим рекомендациям публикуется в ежегодном (по состоянию на 1 января текущего года) информационном указателе "Национальные стандарты", а официальный текст изменений и поправок - в ежемесячном информационном указателе "Национальные стандарты". В случае пересмотра (замены) или отмены настоящих рекомендаций соответствующее уведомление будет опубликовано в ближайшем выпуске ежемесячного информационного указателя "Национальные стандарты". Соответствующая информация, уведомление и тексты размещаются также в информационной системе общего пользования - на официальном сайте Федерального агентства по техническому регулированию и метрологии в сети Интернет (www.gost.ru)
Настоящие рекомендации содержат описание режима работы блочных шифров. Данный режим определяет правила криптографического преобразования данных и выработки имитовставки для сообщений произвольной длины.
Необходимость разработки настоящих рекомендаций вызвана потребностью в определении режима работы блочных шифров, осуществляющего одновременно шифрование и выработку имитовставки, соответствующего современным требованиям к криптографической стойкости.
Примечание - Основная часть настоящих рекомендаций дополнена
приложениями А и
Б.
Режим работы блочных шифров, определенный в настоящих рекомендациях, рекомендуется использовать при разработке, производстве, эксплуатации и модернизации средств криптографической защиты информации в системах обработки информации различного назначения.
В настоящих рекомендациях использована нормативная ссылка на следующий стандарт:
ГОСТ Р 34.12-2015 Информационная технология. Криптографическая защита информации. Блочные шифры.
Примечание - При пользовании настоящими рекомендациями целесообразно проверить действие ссылочных стандартов в информационной системе общего пользования - на официальном сайте Федерального агентства по техническому регулированию и метрологии в сети Интернет или по ежегодному информационному указателю "Национальные стандарты", который опубликован по состоянию на 1 января текущего года, и по выпускам ежемесячного информационного указателя "Национальные стандарты" за текущий год. Если заменен ссылочный стандарт, на который дана недатированная ссылка, то рекомендуется использовать действующую версию этого стандарта с учетом всех внесенных в данную версию изменений. Если заменен ссылочный стандарт, на который дана датированная ссылка, то рекомендуется использовать версию этого стандарта с указанным выше годом утверждения (принятия). Если после утверждения настоящих рекомендаций в ссылочный стандарт, на который дана датированная ссылка, внесено изменение, затрагивающее положение, на которое дана ссылка, то это положение рекомендуется применять без учета данного изменения. Если ссылочный стандарт отменен без замены, то положение, в котором дана ссылка на него, применяется в части, не затрагивающей эту ссылку.
3 Обозначения и сокращения
В настоящих рекомендациях использованы следующие обозначения:
Vs | - множество битовых строк длины s, s >= 0; нумерация подстрок и компонент строки осуществляется слева направо, начиная с единицы. При s = 0 множество Vs состоит из единственной пустой строки длины 0; |
V* | - множество всех битовых строк конечной длины, включая пустую строку; |
Bs | - множество байтовых строк длины s, s >= 0. Строка a = ( a1,..., as) принадлежит множеству Bs, если  ; при этом элементы a1,..., as называются байтами строки a. При s = 0 множество Bs состоит из единственной пустой строки длины 0; |
|a| | - длина битовой строки  (если a - пустая строка, то | a| = 0); |
|| | - конкатенация битовых строк; если  ,  , то a || b называется строка  ; |
as | - битовая строка длины s вида as = ( a, a,..., a),  ,  ; |
| - операция покомпонентного сложения по модулю 2 двух битовых строк одинаковой длины; |
| - битовая строка, являющаяся результатом покомпонентного сложения по модулю 2 битовых строк одинаковой длины. Суммой строк a1,..., am называется строка  ; |
| - кольцо вычетов по модулю 2s; |
| - отображение, ставящее в соответствие битовой строке  строку  , 1 <= i <= s; |
| - отображение, ставящее в соответствие битовой строке  число Ints( a) = 2 s-1 a1 +...+ 2 0 as; |
| - отображение, обратное к отображению Ints; |
| - отображение, реализующее базовый блочный шифр и осуществляющее преобразование блока открытого текста  с использованием ключа (шифрования)  в блок шифртекста  : E( P, K) = C; |
| - отображение, реализующее функцию зашифрования с использованием ключа  , т.е. EK( P) = E( P, K) для всех  ; |
k | - параметр блочного шифра, называемый длиной ключа, в рамках настоящих рекомендаций измеряемый в битах; |
n | - параметр блочного шифра, называемый длиной блока, в рамках настоящих рекомендаций измеряемый в битах и соответствующий значению 64 или 128; |
| - отображение, ставящее в соответствие строке  строку  ; |
| - операция сложения в кольце  ; |
| - отображение, ставящее в соответствие двум строкам a = ( a1, a2,..., an) и b = ( b1, b2,..., bn),  , строку  ,  ; строка c соответствует многочлену c( x) = c1· xn-1 +...+ cn-1· x + cn, который является результатом умножения двух многочленов a( x) = a1· xn-1 +...+ an-1· x + an и b( x) = b1· xn-1 +...+ bn-1· x + bn в поле GF(2 n); для n = 64 задан порождающий многочлен f( x) = x64 + x4 + x3 + x + 1, для n = 128 задан порождающий многочлен f( x) = x128 + x7 + x2 + x + 1; |
| - отображение, сопоставляющее строке L || R, где  , строку  ; |
| - отображение, сопоставляющее строке L || R, где  , строку  ; |
| - биективное отображение, ставящее в соответствие битовой строке a = ( a1, a2,..., a8s),  , байтовую строку b = ( b1, b2,..., bs),  , где bi = a1+8(i-1)·2 7 + a2+8(i-1)·2 6 +...+ a8+8(i-1)·2 0, i = 1, 2,..., s; при этом строка b называется байтовым представлением строки a; |
| - биективное отображение, обратное к отображению BitToByte. |
В настоящих рекомендациях применены следующие сокращения:
- AAD - (Additional Authenticated Data) - дополнительные имитозащищаемые данные;
- AEAD - (Authenticated Encryption with Associated Data) шифрование с имитозащитой и ассоциированными данными;
- nonce - (number used once) уникальный вектор.
Настоящие рекомендации определяют режим MGM (Multilinear Galois Mode) - режим работы блочного шифра. Данный режим можно использовать в качестве режима работы блочного шифра с длиной блока
n = 64 или
n = 128. Для определенных в
ГОСТ Р 34.12-2015 блочных шифров "Магма" и "Кузнечик", используемых в режиме MGM, выделены идентификаторы 1.2.643.7.1.1.5.1.3 (id-tc26-cipher-gostr3412-2015-magma-mgm) и 1.2.643.7.1.1.5.2.3 (id-tc26-cipher-gostr3412-2015-kuznyechik-mgm) соответственно.
Данный режим является AEAD-режимом и обеспечивает конфиденциальность и имитозащиту сообщений. При этом сообщения могут состоять из одной или двух частей. Если сообщение состоит из двух частей, то первая часть содержит дополнительные имитозащищаемые данные AAD и обозначается через A, а вторая часть называется открытым текстом и обозначается через P. Если сообщение состоит из одной части, то пустой строке должны быть равны либо дополнительные имитозащищаемые данные, либо открытый текст. Дополнительные имитозащищаемые данные не подлежат шифрованию, но требуют имитозащиты. Для открытого текста обеспечены конфиденциальность и имитозащита.
Параметром режима MGM является длина имитовставки S, выраженная в битах, 32 <= S <= n. Значение S должно быть зафиксировано в рамках каждого конкретного протокола исходя из требований к производительности системы и требований к стойкости режима относительно угрозы нарушения имитозащиты.
Процесс зашифрования сообщения, изображенный на
рисунке 1, осуществляется при помощи функции
MGM-Encrypt.
Рисунок 1 - Зашифрование сообщения в режиме MGM
Функция MGM-Encrypt принимает на вход следующие значения:
- ключ шифрования

;
- уникальный вектор

. Значение вектора
nonce должно быть уникальным для каждого сообщения при фиксированном ключе
K. Выработка уникальных векторов может быть реализована с использованием счетчика;
- дополнительные имитозащищаемые данные
A, 0 <= |
A| < 2
n/2. Дополнительные имитозащищаемые данные разбивают на
h блоков и представляют в виде
A =
A1 ||...||
Ah*, где

,
j = 1, 2,...,
h - 1,

, 1 <=
t <=
n. Если длина дополнительных имитозащищаемых данных нулевая, то последний блок
Ah* равен пустой строке, а значения параметров
h и
t устанавливаются следующим образом:
h = 0,
t =
n;
- открытый текст
P, 0 <= |
P| < 2
n/2. Открытый текст разбивают на
q блоков и представляют в виде
P =
P1 ||...||
Pq*, где

,
i = 1, 2,...,
q - 1,

, 1 <=
u <=
n. Если длина открытого текста нулевая, то последний блок открытого текста
Pq* равен пустой строке, а значения параметров
q и
u устанавливаются следующим образом:
q = 0,
u =
n.
При этом длины |A| и |P| должны удовлетворять следующему ограничению: 0 < |A| + |P| < 2n/2.
Функция MGM-Encrypt в результате своей работы возвращает следующие значения:
- уникальный вектор

;
- дополнительные имитозащищаемые данные A;
- шифртекст

;
- имитовставка

.
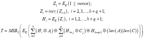
Процесс зашифрования сообщения с помощью функции MGM-Encrypt состоит из следующих этапов.
5.1.1 Зашифрование открытого текста P:

(1)
Результатом данного этапа является шифртекст C = C1 ||...|| Cq*.
В случае если открытый текст P равен пустой строке, то шифртекст C также полагается равным пустой строке.
5.1.2 Дополнение последнего блока дополнительных имитозащищаемых данных

и последнего блока шифртекста

до длины
n:
Ah = Ah* || 0n-t;
Cq = Cq* || 0n-u. (2)
5.1.3 Выработка значения имитовставки T от дополнительных имитозащищаемых данных A и шифртекста C:

(3)
Результатом данного этапа является значение имитовставки T.
Процесс расшифрования сообщения, изображенный на
рисунке 2, осуществляется при помощи функции
MGM-Decrypt.
Рисунок 2 - Расшифрование сообщения в режиме MGM
Функция MGM-Decrypt принимает на вход следующие значения:
- ключ шифрования

;
- уникальный вектор

;
- дополнительные имитозащищаемые данные
A, 0 <= |
A| < 2
n/2. Дополнительные имитозащищаемые данные разбивают на
h блоков и представляют в виде
A =
A1 ||...||
Ah*, где

,
j = 1, 2,...,
h - 1,

, 1 <=
t <=
n. Если длина дополнительных имитозащищаемых данных нулевая, то последний блок
Ah* равен пустой строке, а значения параметров
h и
t устанавливаются следующим образом:
h = 0,
t =
n.
- шифртекст
C, 0 <= |
C| < 2
n/2. Шифртекст разбивают на
q блоков и представляют в виде
C =
C1 ||...||
Cq*, где

,
i = 1, 2,...,
q - 1,

, 1 <=
u <=
n. Если длина шифртекста нулевая, то последний блок шифртекста
Cq* равен пустой строке, а значения параметров
q и
u устанавливаются следующим образом:
q = 0,
u =
n;
- имитовставка

.
Функция MGM-Decrypt в результате своей работы возвращает либо ошибку, либо следующие значения:
- дополнительные имитозащищаемые данные A;
- открытый текст

.
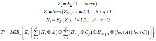
Процесс расшифрования сообщения с помощью функции MGM-Decrypt состоит из следующих этапов.
5.2.1 Дополнение последнего блока дополнительных имитозащищаемых данных

и последнего блока шифртекста

до длины
n:
Ah = Ah* || 0n-t;
Cq = Cq* || 0n-u. (4)
5.2.2 Выработка значения T' от дополнительных имитозащищаемых данных A и шифртекста C:

(5)
Если выработанное значение T' отлично от значения T, то возвращается ошибка. Если значения T' и T совпали, то осуществляется переход к следующему этапу.
5.2.3 Расшифрование шифртекста C:

(6)
Результатом данного этапа является открытый текст P = P1 ||...|| Pq*.
В том случае если шифртекст C равен пустой строке, то открытый текст P также полагается равным пустой строке.
В результате своей успешной работы функция MGM-Decrypt возвращает набор данных (A, P). В противном случае функция возвращает сообщение об ошибке.
(справочное)
РАБОТА С БАЙТОВЫМИ СТРОКАМИ
Данное приложение носит справочный характер и не является частью настоящих рекомендаций.
В данном приложении приведены примеры перевода битовой строки в байтовую и наоборот. Для перевода битовой строки в байтовую используется функция BitToByte; для перевода байтовой строки в битовую - функция ByteToBit.
При записи байтовой строки каждый байт представляется в шестнадцатеричном виде и отделяется от соседних пробелами. Каждой битовой строке

соответствует байтовая строка
b =
BitToByte(a) и наоборот. Например, битовая строка 1100101100011000 соответствует байтовой строке CB 18.
При записи битовой строки она разделяется на подстроки длины не более 8. Каждая подстрока отделяется от соседних пробелами.
Для формирования строки с длиной, кратной 8, битовый вектор

дополняется нулем слева. Таким образом, байтовым представлением вектора
nonce является строка
BitToByte (0 ||
nonce).
Ниже приведен пример перевода битового представления nonce в байтовое для случая n = 128.

:
0010001 00100010 00110011 01000100 01010101 01100110 01110111 10001000 10011001 00000000 10101010
10111011 11001100 11011101 11101110 11111111.
0 || nonce:
00010001 00100010 00110011 01000100 01010101 01100110 01110111 10001000 10011001 00000000 10101010
10111011 11001100 11011101 11101110 11111111.
BitToByte (0 || nonce):
11 22 33 44 55 66 77 88 99 00 AA BB CC DD EE FF.
Ниже приведен пример перевода байтового представления nonce в битовое для случая n = 128.
Байтовое представление nonce:
11 22 33 44 55 66 77 88 99 00 AA BB CC DD EE FF.
0 || nonce:
00010001 00100010 00110011 01000100 01010101 01100110 01110111 10001000 10011001 00000000 10101010
10111011 11001100 11011101 11101110 11111111.

:
0010001 00100010 00110011 01000100 01010101 01100110 01110111 10001000 10011001 00000000 10101010
10111011 11001100 11011101 11101110 11111111.
(справочное)
Данное приложение носит справочный характер и не является частью настоящих рекомендаций.
В данном приложении содержатся примеры работы блочного шифра "Кузнечик" и "Магма" в режиме MGM, определенном в настоящих рекомендациях. Параметр S выбран равным n.
Б.1 Пример для блочного шифра "Кузнечик"
На вход функции MGM-Encrypt подается набор аргументов (K, nonce, A, P), принимающих следующие значения:
- K:
88 99 AA BB CC DD EE FF 00 11 22 33 44 55 66 77
FE DC BA 98 76 54 32 10 01 23 45 67 89 AB CD EF;
- nonce:
11 22 33 44 55 66 77 00 FF EE DD CC BB AA 99 88;
- A:
02 02 02 02 02 02 02 02 01 01 01 01 01 01 01 01
04 04 04 04 04 04 04 04 03 03 03 03 03 03 03 03
EA 05 05 05 05 05 05 05 05;
- P:
11 22 33 44 55 66 77 00 FF EE DD CC BB AA 99 88
00 11 22 33 44 55 66 77 88 99 AA BB CC EE FF 0A
11 22 33 44 55 66 77 88 99 AA BB CC EE FF 0A 00
22 33 44 55 66 77 88 99 AA BB CC EE FF 0A 00 11
AA BB CC.
Б.1.1 Зашифрование открытого текста P
0 || nonce:
11 22 33 44 55 66 77 00 FF EE DD CC BB AA 99 88.
Y1:
7F 67 9D 90 BE BC 24 30 5A 46 8D 42 B9 D4 ED CD.
EK (Y1):
B8 57 48 C5 12 F3 19 90 AA 56 7E F1 53 35 DB 74.
Y2:
7F 67 9D 90 BE BC 24 30 5A 46 8D 42 B9 D4 ED CE.
EK (Y2):
80 64 F0 12 6F AC 9B 2C 5B 6E AC 21 61 2F 94 33.
Y3:
7F 67 9D 90 BE BC 24 30 5A 46 8D 42 B9 D4 ED CF.
EK (Y3):
58 58 82 1D 40 C0 CD 0D 0A C1 E6 C2 47 09 8F 1C.
Y4:
7F 67 9D 90 BE BC 24 30 5A 46 8D 42 B9 D4 ED D0.
EK (Y4):
E4 3F 50 81 B5 8F 0B 49 01 2F 8E E8 6A CD 6D FA.
Y5:
7F 67 9D 90 BE BC 24 30 5A 46 8D 42 B9 D4 ED D1.
EK (Y5):
86 CE 9E 2A 0A 12 25 E3 33 56 91 B2 0D 5A 33 48.
C:
A9 75 7B 81 47 95 6E 90 55 B8 A3 3D E8 9F 42 FC
80 75 D2 21 2B F9 FD 5B D3 F7 06 9A AD C1 6B 39
49 7A B1 59 15 A6 BA 85 93 6B 5D 0E A9 F6 85 1C
C6 0C 14 D4 D3 F8 83 D0 AB 94 42 06 95 C7 6D EB
2C 75 52.
Б.1.2 Дополнение последнего блока дополнительных имитозащищаемых данных и последнего блока шифртекста до длины n.
A = A1 ||... || Ah:
02 02 02 02 02 02 02 02 01 01 01 01 01 01 01 01
04 04 04 04 04 04 04 04 03 03 03 03 03 03 03 03
EA 05 05 05 05 05 05 05 05 00 00 00 00 00 00 00.
C = C1 ||... || Cq:
A9 75 7B 81 47 95 6E 90 55 B8 A3 3D E8 9F 42 FC
80 75 D2 21 2B F9 FD 5B D3 F7 06 9A AD C1 6B 39
49 7A B1 59 15 A6 BA 85 93 6B 5D 0E A9 F6 85 1C
C6 0C 14 D4 D3 F8 83 D0 AB 94 42 06 95 C7 6D EB
2C 75 52 00 00 00 00 00 00 00 00 00 00 00 00 00.
Б.1.3 Выработка значения имитовставки T от дополнительных имитозащищаемых данных A и шифртекста C происходит следующим образом:
1 || nonce:
91 22 33 44 55 66 77 00 FF EE DD CC BB AA 99 88.
Z1:
7F C2 45 A8 58 6E 66 02 A7 BB DB 27 86 BD C6 6F.
H1:
8D B1 87 D6 53 83 0E A4 BC 44 64 76 95 2C 30 0B.
Z2:
7F C2 45 A8 58 6E 66 03 A7 BB DB 27 86 BD C6 6F.
H2:
7A 24 F7 26 30 E3 76 37 21 C8 F3 CD B1 DA 0E 31.
Z3:
7F C2 45 A8 58 6E 66 04 A7 BB DB 27 86 BD C6 6F.
H3:
44 11 96 21 17 D2 06 35 C5 25 E0 A2 4D B4 B9 0A.
Z4:
7F C2 45 A8 58 6E 66 05 A7 BB DB 27 86 BD C6 6F.
H4:
D8 C9 62 3C 4D BF E8 14 CE 7C 1C 0C EA A9 59 DB.
Z5:
7F C2 45 A8 58 6E 66 06 A7 BB DB 27 86 BD C6 6F.
H5:
A5 E1 F1 95 33 3E 14 82 96 99 31 BF BE 6D FD 43.
Z6:
7F C2 45 A8 58 6E 66 07 A7 BB DB 27 86 BD C6 6F.
H6:
B4 CA 80 8C AC CF B3 F9 17 24 E4 8A 2C 7E E9 D2.
Z7:
7F C2 45 A8 58 6E 66 08 A7 BB DB 27 86 BD C6 6F.
H7:
72 90 8F C0 74 E4 69 E8 90 1B D1 88 EA 91 C3 31.
Z8:
7F C2 45 A8 58 6E 66 09 A7 BB DB 27 86 BD C6 6F.
H8:
23 CA 27 15 B0 2C 68 31 3B FD AC B3 9E 4D 0F B8.
Z9:
7F C2 45 A8 58 6E 66 0A A7 BB DB 27 86 BD C6 6F.
H9:
BC BC E6 C4 1A A3 55 A4 14 88 62 BF 64 BD 83 0D.
len(A) || len(C):
00 00 00 00 00 00 01 48 00 00 00 00 00 00 02 18.
T:
CF 5D 65 6F 40 C3 4F 5C 46 E8 BB 0E 29 FC DB 4C.
Б.2 Пример для блочного шифра "Магма"
На вход функции MGM-Encrypt подается набор аргументов (K, nonce, A, P), принимающих следующие значения:
- K:
FF EE DD CC BB AA 99 88 77 66 55 44 33 22 11 00
F0 F1 F2 F3 F4 F5 F6 F7 F8 F9 FA FB FC FD FE FF;
- nonce:
12 DE F0 6B 3C 13 0A 59;
- A:
01 01 01 01 01 01 01 01 02 02 02 02 02 02 02 02
03 03 03 03 03 03 03 03 04 04 04 04 04 04 04 04
05 05 05 05 05 05 05 05 EA;
- P:
FF EE DD CC BB AA 99 88 11 22 33 44 55 66 77 00
88 99 AA BB CC EE FF 0A 00 11 22 33 44 55 66 77
99 AA BB CC EE FF 0A 00 11 22 33 44 55 66 77 88
AA BB CC EE FF 0A 00 11 22 33 44 55 66 77 88 99
AA BB CC.
Б.2.1 Зашифрование открытого текста P
0 || nonce:
12 DE F0 6B 3C 13 0A 59.
Y1:
56 23 89 01 62 DE 31 BF.
EK (Y1):
38 7B DB A0 E4 34 39 B3.
Y2:
56 23 89 01 62 DE 31 C0.
EK (Y2):
94 33 00 06 10 F7 F2 AE.
Y3:
56 23 89 01 62 DE 31 C1.
EK (Y3):
97 B7 AA 6D 73 C5 87 57.
Y4:
56 23 89 01 62 DE 31 C2.
EK (Y4):
94 15 52 8B FF C9 E8 0A.
Y5:
56 23 89 01 62 DE 31 C3.
EK (Y5):
03 F7 68 BF F1 82 D6 70.
Y6:
56 23 89 01 62 DE 31 C4.
EK (Y6):
FD 05 F8 4E 9B 09 D2 FE.
Y7:
56 23 89 01 62 DE 31 C5.
EK (Y7):
DA 4D 90 8A 95 B1 75 C4.
Y8:
56 23 89 01 62 DE 31 C6.
EK (Y8):
65 99 73 96 DA C2 4B D7.
Y9:
56 23 89 01 62 DE 31 C7.
EK (Y9):
A9 00 50 4A 14 8D EE 26.
C:
C7 95 06 6C 5F 9E A0 3B 85 11 33 42 45 91 85 AE
1F 2E 00 D6 BF 2B 78 5D 94 04 70 B8 BB 9C 8E 7D
9A 5D D3 73 1F 7D DC 70 EC 27 CB 0A CE 6F A5 76
70 F6 5C 64 6A BB 75 D5 47 AA 37 C3 BC B5 C3 4E
03 BB 9C.
Б.2.2 Дополнение последнего блока дополнительных имитозащищаемых данных и последнего блока шифртекста до длины n
A = A1 ||... || Ah:
01 01 01 01 01 01 01 01 02 02 02 02 02 02 02 02
03 03 03 03 03 03 03 03 04 04 04 04 04 04 04 04
05 05 05 05 05 05 05 05 EA 00 00 00 00 00 00 00.
C = C1 ||... || Cq:
C7 95 06 6C 5F 9E A0 3B 85 11 33 42 45 91 85 AE
1F 2E 00 D6 BF 2B 78 5D 94 04 70 B8 BB 9C 8E 7D
9A 5D D3 73 1F 7D DC 70 EC 27 CB 0A CE 6F A5 76
70 F6 5C 64 6A BB 75 D5 47 AA 37 C3 BC B5 C3 4E
03 BB 9C 00 00 00 00 00.
Б.2.3 Выработка значения имитовставки T от дополнительных имитозащищаемых данных A и шифртекста C происходит следующим образом:
1 || nonce:
92 DE F0 6B 3C 13 0A 59.
Z1:
2B 07 3F 04 94 F3 72 A0.
H1:
70 8A 78 19 1C DD 22 AA.
Z2:
2B 07 3F 05 94 F3 72 A0.
H2:
6F 02 CC 46 4B 2F A0 A3.
Z3:
2B 07 3F 06 94 F3 72 A0.
H3:
9F 81 F2 26 FD 19 6F 05.
Z4:
2B 07 3F 07 94 F3 72 A0.
H4:
B9 C2 AC 9B E5 B5 DF F9.
Z5:
2B 07 3F 08 94 F3 72 A0.
H5:
74 B5 EC 96 55 1B F8 88.
Z6:
2B 07 3F 09 94 F3 72 A0.
H6:
7E B0 21 A4 03 5B 04 C3.
Z7:
2B 07 3F 0A 94 F3 72 A0.
H7:
C2 A9 C3 A8 70 4D 9B B0.
Z8:
2B 07 3F 0B 94 F3 72 A0.
H8:
F5 D5 05 A8 7B 83 83 B5.
Z9:
2B 07 3F 0C 94 F3 72 A0.
H9:
F7 95 E7 5F DE B8 93 3C.
Z10:
2B 07 3F 0D 94 F3 72 A0.
H10:
65 A1 A3 E6 80 F0 81 45.
Z11:
2B 07 3F 0E 94 F3 72 A0.
H11:
1C 74 A5 76 4C B0 D5 95.
Z12:
2B 07 3F 0F 94 F3 72 A0.
H12:
DC 84 47 A5 14 E7 83 E7.
Z13:
2B 07 3F 10 94 F3 72 A0.
H13:
A7 E3 AF E0 04 EE 16 E3.
Z14:
2B 07 3F 11 94 F3 72 A0.
H14:
A5 AA BB 0B 79 80 D0 71.
Z15:
2B 07 3F 12 94 F3 72 A0.
H15:
6E 10 4C C9 33 52 5C 5D.
Z16:
2B 07 3F 13 94 F3 72 A0.
H16:
83 11 B6 02 4A A9 66 C1.
len (A) || len (C):
00 00 01 48 00 00 02 18.
T:
A7 92 80 69 AA 10 FD 10.
УДК 681.3.06:006.354 | | | |
Ключевые слова: зашифрование, расшифрование, имитозащита, режим работы блочного шифра, ключ |