Главная // Актуальные документы // ПриказСПРАВКА
Источник публикации
Документ опубликован не был
Примечание к документу
Текст документа приведен в соответствии с публикацией на сайте https://faufcc.ru/ по состоянию на 04.03.2021.
Документ
введен в действие с 01.07.2021.
Название документа
"Изменение N 3 к СП 20.13330.2016 "СНиП 2.01.07-85* Нагрузки и воздействия"
(утв. и введено в действие Приказом Минстроя России от 30.12.2020 N 897/пр)
"Изменение N 3 к СП 20.13330.2016 "СНиП 2.01.07-85* Нагрузки и воздействия"
(утв. и введено в действие Приказом Минстроя России от 30.12.2020 N 897/пр)
Утверждено и введено в действие
и жилищно-коммунального хозяйства
Российской Федерации
(Минстрой России)
от 30 декабря 2020 г. N 897/пр
ИЗМЕНЕНИЕ N 3 К СП 20.13330.2016
"СНиП 2.01.07-85* НАГРУЗКИ И ВОЗДЕЙСТВИЯ"
Дата введения
1 июля 2021 года
Содержание
Дополнить наименованием приложения Л в следующей редакции: "Приложение Л Значения предельных прогибов и перемещений зданий и их отдельных элементов, ограничиваемые исходя из технологических и конструктивных требований...".
Введение
Дополнить пятым абзацем в следующей редакции:
"Изменение N 3 выполнено авторским коллективом АО "НИЦ "Строительство" - ЦНИИСК им. В.А. Кучеренко (руководитель разработки - канд. техн. наук Н.А. Попов, исполнители - канд. техн. наук И.В. Лебедева, канд. техн. наук Л.М. Арутюнян, Д.С. Богачев, д-р техн. наук И.И. Ведяков) при участии РААСН (д-р техн. наук В.И. Травуш) и ФГБУ "Главная геофизическая обсерватория им. А.И. Воейкова" (д-р геогр. наук Н.В. Кобышева).".
2 Нормативные ссылки
"
СН 2.2.4/2.1.8.566 Производственная вибрация, вибрация в помещениях жилых и общественных зданий".
4 Общие положения
"При необходимости учета влияния реологических или нелинейных свойств материалов, длительности нагрузок, при проверке на выносливость, усталостной прочности и в других случаях, оговоренных в нормах проектирования конструкций и оснований, устанавливаются пониженные нормативные значения нагрузок от оборудования, людей, животных и транспортных средств на перекрытия жилых, общественных и сельскохозяйственных зданий, от мостовых и подвесных кранов, снеговых, температурных климатических воздействий.".
5 Классификация нагрузок
"и) пониженные значения кратковременных нагрузок (см. 4.1), которые устанавливаются в нормах проектирования строительных конструкций и оснований.
Примечание - При расчете на прогрессирующее обрушение пониженные нормативные значения кратковременных нагрузок, перечисленных в разделе 8, определяются умножением их нормативных значений на коэффициент 0,35; в разделе 9 - в соответствии с 9.19 и 9.20; в разделе 10 - умножением их нормативных значений на коэффициент 0,5.".
"в) нагрузки от людей, животных, оборудования на перекрытия жилых, общественных и сельскохозяйственных зданий, кроме нагрузок, указанных в 5.4, а, б, г, д;
г) нагрузки от подвижного подъемно-транспортного оборудования (погрузчиков, электрокаров, кранов-штабелеров, тельферов, а также от мостовых и подвесных кранов), включая вес транспортируемых грузов;".
8 Нагрузки от оборудования, людей, животных, складируемых материалов и изделий, транспортных средств
8.2 Равномерно распределенные нагрузки
Дополнить слово: "спортивные," словом: "танцевальные,".
Позиция 13. Дополнить слово: "вокзалов" словами: ", железнодорожные платформы и пассажирские переходы".
Примечания. Дополнить таблицу примечанием 5 в следующей редакции:
"5 При проектировании танцевальных залов, сцен театрально-зрелищных предприятий и трибун спортивных сооружений необходимо учитывать динамическое действие нагрузок с частотой, равной 2 Гц, и интенсивностью (амплитудой), равной 1,7 кПа. Значение коэффициента динамичности, а также площадь воздействия устанавливаются в нормах проектирования или задании на проектирование.".
"8.2.3 Пониженные нормативные значения равномерно распределенных кратковременных нагрузок, указанных в таблице 8.3, устанавливаются в нормах проектирования строительных конструкций и оснований в зависимости от рассматриваемой расчетной ситуации.".
"8.2.7 Коэффициенты надежности по нагрузке

для равномерно распределенных нагрузок, указанных в 8.2.2, следует принимать:
1,3 - при нормативном значении менее 2,0 кПа;
1,2 - при нормативном значении 2,0 кПа и более.".
8.3 Сосредоточенные нагрузки
"8.3.4 Если в задании на проектирование на основании технологических решений не предусмотрены более высокие нормативные значения сосредоточенных нагрузок, их следует принимать:
а) для перекрытий и лестниц - 1,5 кН;
б) для чердачных перекрытий, покрытий, террас и балконов - 1,0 кН;
в) для покрытий, по которым можно передвигаться только с помощью трапов и мостиков, - 0,5 кН.
Элементы, рассчитанные на возможные при возведении и эксплуатации местные нагрузки от оборудования и транспортных средств, допускается не проверять на указанную сосредоточенную нагрузку.".
Пункт 8.3.5. Заменить слова: "указанных в 8.3.1" на "указанных в 8.3.4".
8.4 Нагрузки от транспортных средств
"8.4.4 Пониженные нормативные значения равномерно распределенных нагрузок от транспортных средств устанавливаются в нормах проектирования в зависимости от рассматриваемой расчетной ситуации.".
9 Нагрузки от мостовых и подвесных кранов
"9.19 При расчете на выносливость балок крановых путей под электрические мостовые краны и креплений этих балок к несущим конструкциям значения крановых нагрузок определяются умножением нормативного значения вертикальной нагрузки от одного крана (см. 9.2) в каждом пролете здания на коэффициент: 0,4 - для групп режимов работы кранов 1К - 3К; 0,5 - для групп режимов работы кранов 4К - 6К; 0,6 - для группы режима работы кранов 7К; 0,7 - для группы режима работы кранов 8К.
9.20 Для проверки выносливости стенок балок в зоне действия сосредоточенной вертикальной нагрузки от одного колеса крана значения вертикального усилия от колеса, принимаемые с учетом 9.19, следует умножать на коэффициент, учитываемый при расчете прочности балок крановых путей в соответствии с 9.9.
Группы режимов работы кранов, при которых следует проводить расчет на выносливость, устанавливаются нормами на проектирование конструкций.".
10 Снеговые нагрузки
"В тех случаях, когда более неблагоприятные условия работы элементов конструкций возникают при частичном загружении покрытия, следует рассматривать дополнительные схемы приложения снеговых нагрузок:
- на одном скате двускатных покрытий и половине площади (вдоль пролета) сводчатых покрытий, указанных в Б.1, Б.2 приложения Б, имеющих наибольший уклон более 20°;
- на одном скате в каждом пролете либо на двух смежных скатах через пролет двух- и многопролетных зданий с двускатными покрытиями (Б.5 приложения Б) при уклоне ската более 20°;
- на половине площади двух смежных сводов через пролет многопролетных сводчатых покрытий (Б.6 приложения Б) при наибольшем уклоне поверхности свода более 20°;
- в секторе, равном половине или четверти площади покрытий, указанных в Б.10 - Б.12 приложения Б, имеющих наибольший уклон более 20°;
- для покрытий с фонарями (Б.3 приложения Б) - на одном из участков шириной b.".
"4 При расчете прогонов покрытий на снеговую равномерно распределенную нагрузку следует учесть локальную неравномерность снегоотложений введением дополнительного коэффициента

.".
Дополнить примечанием 5 в следующей редакции:
"5 При эксплуатации существующих зданий, запроектированных на более низкие расчетные значения снеговой нагрузки, чем установлено действующим сводом правил, до проведения реконструкции зданий необходимо предусмотреть мероприятия по очистке кровли от снега.".
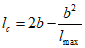
"10.7 Для пологих (с уклонами до 10° или f/l <= 0,05, где f - стрела подъема покрытия, м; l - пролет покрытия, м) покрытий однопролетных и многопролетных зданий без фонарей, проектируемых на местности типов A или B (см. 11.1.6) и имеющих характерный размер в плане lc не более 100 м (см. схемы Б.1, Б.2, Б.5 и Б.6 приложения Б), а также для покрытий высотных зданий допускается учитывать коэффициент сноса снега, принимаемый по формуле (10.2), но не менее 0,5 и не более 1,0:
 (10.2) |
где kv - коэффициент, зависящий от средней скорости ветра в зимний период и среднемесячной температуры воздуха в январе, принимаемый по таблице 10.2;
k - коэффициент, зависящий от высоты над уровнем планировочной отметки земли, принимаемый по таблице 11.2 для типов местности A или B (см. 11.1.6);
 - характерный размер покрытия, принимаемый не более 100 м; |
здесь b - наименьший размер покрытия в плане;
lmax - наибольший размер покрытия в плане.
Таблица 10.2
Коэффициент kv
Среднемесячная температура воздуха в январе T, °C СП 131.13330.2018) | Средняя скорость ветра v, м/с, за период со средней суточной температурой воздуха <= 8 °C |
3 < v <= 4 | 4 < v <= 6 | v > 6 |
A | B | A | B | A | B |
-15 <= T < -5 | 1,4 | 1,4 | 1,3 | 1,4 | 1,3 | 1,3 |
-25 <= T < -15 | 1,4 | 1,4 | 1,3 | 1,4 | 1,2 | 1,3 |
T < -25 | 1,3 | 1,4 | 1,2 | 1,3 | 1,2 | 1,2 |
Примечания 1 Среднемесячная температура воздуха в январе и средняя скорость ветра принимаются для ближайшего населенного пункта к месту строительства. 2 Тип местности может отличаться при различных направлениях снегопереноса. В случае если местность типа A распространяется на расстояние менее 300 м от объекта, а далее расположены здания или сооружения, лесной массив или иные препятствия, характерные для местности типа B, данное направление следует относить к местности типа B. |
".
"10.11 Для районов со средней температурой января минус 5 °C и ниже (по
таблице 5.1 СП 131.13330.2018) пониженное нормативное значение снеговой нагрузки устанавливают в нормах проектирования строительных конструкций и оснований в зависимости от рассматриваемой расчетной ситуации. При этом коэффициенты
ce и
ct принимают равными единице.
Для районов со средней температурой января выше минус 5 °C пониженное значение снеговой нагрузки не учитывается.".
"10.13 Нормативное значение горизонтальной нагрузки
T, кН/м, от сползания снега, действующей на выступающие над кровлей парапеты, элементы ограждающих конструкций, фасадных систем и снегозадерживающие устройства, устанавливается в зависимости от уклона

покрытия по формуле

(10.4)
где kt - коэффициент, учитывающий таяние снега, принимаемый равным 0,9;
S0 - нормативное значение снеговой нагрузки на покрытие, кН/м2, принимаемое согласно 10.1;

- уклон поверхности покрытия в месте приложения нагрузки, градусы, принимаемый не менее 12°;
v - коэффициент трения снега по материалу покрытия, принимаемый по таблице 10.3;
L - длина зоны сползания снега или расстояние между снегозадерживающими преградами (в проекции на горизонтальную поверхность), м.
Таблица 10.3
Коэффициент трения v снега по материалу
Материал поверхности покрытия | Коэффициент трения v | Материал поверхности покрытия | Коэффициент трения v |
Сталь листовая | 0,02 | Дерево, сухой снег | 0,035 |
Сталь, фальцевая кровля | 0,03 | Дерево, влажный снег | 0,1 |
Алюминий | 0,04 | Лед | 0,028 |
Стекло | 0,012 | Металлочерепица | 0,1 |
Полимерное покрытие из поливинилхлорида | 0,014 | Керамическая черепица | 0,2 |
Примечание - Для других материалов покрытия коэффициент трения принимают на основе опубликованных данных. |
Коэффициент надежности по нагрузке следует принимать согласно 10.12.".
11 Воздействия ветра
Пункт 11.1.1. Дополнить в конце пункта примечанием в следующей редакции:
"Примечание - Для линейных конструктивных элементов (проводов, тросов и т.п.), покрытых гололедом, их диаметр необходимо принимать с учетом толщины стенки гололеда (см. раздел 12).".
"Для сооружений повышенного уровня ответственности, которые указаны в [1,
статья 48.1, часть 2] или в примечании 2, а также во всех случаях, не предусмотренных В.1 (иные формы сооружений, учет других направлений ветрового потока или учет составляющих общего сопротивления тела по другим направлениям, необходимость учета влияния близстоящих зданий и сооружений, рельефа местности и т.п.), аэродинамические коэффициенты устанавливают с учетом опыта нормирования воздействия ветра на основе результатов модельных испытаний сооружений в аэродинамических трубах (см. приложения Ж и И) или опубликованных данных.".
| | ИС МЕГАНОРМ: примечание. В официальном тексте документа, видимо, допущена опечатка: формула (11.8) в СП 20.13330.2016 отсутствует. | |
Пункт 11.1.8 б. Экспликация к формулам (11.8 а), (11.8).
Определение 
. Изложить в новой редакции:
"

- коэффициент надежности по нагрузке (см. преамбулу к разделу 11)".
"Для отдельно стоящих прямоугольных в плане зданий значения аэродинамических коэффициентов cp,+ и cp,- приведены в В.1.17. Во всех остальных случаях коэффициенты cp,+ и cp,- определяются на основе результатов модельных испытаний сооружений в аэродинамических трубах или с учетом опубликованных данных.".
"11.3.1 Для зданий сплошностенчатых сооружений или их отдельных участков с неизменяющимися или плавно изменяющимися формой и размерами поперечного сечения, удовлетворяющих условию

, необходимо учитывать возможность их резонансного вихревого возбуждения; здесь

определено в В.1.15.".
12 Гололедные нагрузки
"12.1 Гололедные нагрузки необходимо учитывать для воздушных линий электропередачи и связи, контактных сетей электрифицированного транспорта, антенно-мачтовых устройств, канатов, решетчатых конструкций, шпилей и подобных сооружений.
Для вентилируемых фасадов, стен и покрытий высотных зданий, металлических ограждений балконов и т.п. гололедные нагрузки необходимо учитывать для их элементов, расположенных на высоте более 100 м.".
"Нормативное значение линейной гололедной нагрузки для элементов конструкций кругового сечения диаметром до 70 мм включительно i, Н/м, следует определять по формуле".
"12.3 При совместном действии ветровой и гололедной нагрузок коэффициенты сочетаний определяются следующим образом:
а) В том случае, если ветровая нагрузка является основной по степени влияния кратковременной нагрузкой, то гололедные нагрузки допускается не учитывать.
б) В том случае, если гололедная нагрузка является основной по степени влияния кратковременной нагрузкой, коэффициенты сочетаний (см. 6.4) для ветровой нагрузки принимают равными:
- для покрытых гололедом гибких элементов (провода, тросы, оттяжки, мачты, ванты и др.) коэффициент сочетаний для ветровой нагрузки

;
- для остальных конструктивных элементов, в том числе и при использовании формулы (12.2), коэффициент сочетаний для ветровой нагрузки

.".
"12.4 Температуру воздуха при гололеде следует принимать для сооружений высотой до 100 м - минус 5 °C, более 100 м - минус 10 °C.".
13 Температурные климатические воздействия
"13.1 Температурные климатические воздействия подразделяются на два типа:
а) воздействия, связанные с условиями замыкания конструкций;
б) воздействия, обусловленные перепадом температуры по сечению элемента, связанные с действием солнечной радиации и (или) с условиями эксплуатации.".
"13.2 Нормативные значения изменений температур при замыкании конструкций в теплое

и холодное

время года соответственно следует определять по формулам:".
Экспликация к формулам (13.1) и (13.2). Изложить в новой редакции:
"где tw, tc - нормативные значения температур для теплого и холодного времени года, приведенные в таблице 13.1;
t0w, t0c - начальные температуры (температуры замыкания) в теплое и холодное время года, принимаемые в соответствии с 13.6.".
"13.3 Нормативные значения температурных воздействий

и

, обусловленные перепадом температур по сечению элемента в теплое и холодное время года соответственно, для однослойных конструкций следует определять по таблице 13.1.".
"3 Для многослойных конструкций
tw,
tc,

,

определяются расчетом. Конструкции, изготовленные из нескольких материалов, близких по теплофизическим параметрам, допускается рассматривать как однослойные.".
15 Прогибы и перемещения
Преамбула. Первый абзац. Заменить слова: "независимо от применяемых строительных материалов" на "при действии статических нагрузок".
Дополнить примечанием после первого абзаца в следующей редакции:
"Примечание - Требования по ограничению уровня колебаний конструкций устанавливаются в нормах проектирования, санитарных нормах или задании на проектирование.".
Приложение А
А.2 Нагрузка от удара крана о тупиковой упор
Второй абзац (перед таблицей А.2) дополнить словами: ", или на основе паспортных данных".
Приложение Б Схемы снеговых нагрузок и коэффициенты формы 
Б.1 Здания с односкатными и двускатными покрытиями
Б.3 Здания с продольными фонарями
"но не более 4,0; bl = hl, но не более b. При hl < f, где f - стрела подъема покрытия фонаря, следует принимать bl = hl + f/2.".
Б.7 Двух- и многопролетные здания с двускатными и сводчатыми покрытиями с продольным фонарем
"а) Для пролетов с фонарем двух- и многопролетных зданий с двускатными и сводчатыми покрытиями (рисунок Б.10) коэффициент

следует принимать в соответствии с вариантами 1 и 2 Б.3 (рисунок Б.5), для пролетов без фонаря - с вариантами 1 и 2 Б.5 и Б.6 (рисунки Б.8, Б.9).".
Б.8 Здания с перепадом высоты
Перечисление б). Экспликация к формуле (Б.5).
Определение h. Изложить в новой редакции:
"где
h - высота перепада, м, отсчитываемая от верхней точки конструкций более высокой части здания у перепада высот до кровли нижнего покрытия. При
h более 8 м при определении

принимают
h = 8 м;".
Б.14 Участки покрытий, примыкающие к возвышающимся над кровлей вентиляционным шахтам и другим надстройкам
Перечисление в). Заменить слова: "но не более 2
d." на "но не более 2
d и не более 16 м.".
Дополнить
подраздел абзацем в следующей редакции:
"Для лестниц или иных надстроек, имеющих диагональ более 5 м, высоту более 2 м и примыкающих к парапетам зданий, следует дополнительно учитывать местную повышенную нагрузку, как у перепадов высоты (см. на рисунке Б.11).".
Приложение В Ветровые нагрузки
В.1.3 Прямоугольные в плане здания со сводчатыми и близкими к ним по очертанию покрытиями
"
".
В.1.4 Круглые в плане сооружения с купольными и коническими покрытиями
"а) Для купольных покрытий значения коэффициентов ce принимают постоянными вдоль сечений, параллельных B-B. Их значения в точках A и C, а также в сечении B-B, приведены на рисунке В.6, а. Для промежуточных сечений коэффициенты ce определяют линейной интерполяцией.".
"
".
"В.1.9 Учет внутреннего давления"
В.1.11 Сфера
Экспликация к формуле (В.1).
Определение 
. Изложить в новой редакции:
"

- коэффициент надежности по нагрузке (см. преамбулу к разделу 11).".
В.1.12 Сооружения и конструктивные элементы с круговой цилиндрической поверхностью
"
".
В.1.14 Решетчатые конструкции
"Для ферм из труб при
Re >= 4·10
5 коэффициент

.".
В.1.16 Учет шероховатости внешней поверхности
"Таблица В.11
Тип поверхности | Шероховатость  , м | Тип поверхности | Шероховатость  , м |
Стекло | 1,5·10-6 | Оцинкованная сталь | 2·10-4 |
Полированный металл | 2·10-6 | Шлифованный бетон | 2·10-4 |
Тонкомолотая масляная краска | 6·10-6 | Шероховатый бетон | 10-3 |
Распыленная краска | 2·10-5 | Ржавчина | 2·10-3 |
Литейный чугун | 2·10-4 | Каменная, кирпичная кладка | 3·10-3 |
".
В.3 Динамическая комфортность
"При этом максимальное ускорение этажа здания не должно превышать величины:
а) для жилых зданий
ac,max = 0,08 м/с2; (В.12а)
б) для общественных, административных и офисных зданий
ac,max = 0,13 м/с2. (В.12б)".
"Примечание - Методику оценки динамической комфортности допускается уточнять в зависимости от собственных частот колебаний здания.".
Приложение Д Прогибы и перемещения
Д.1 Определение прогибов и перемещений
Пункт Д.1.1. Дополнить вторым абзацем в следующей редакции:
"При учете ветровых нагрузок перемещения несущих конструкций определяются от действия ее средней составляющей. При этом действия ее пиковой и пульсационной составляющих не учитываются.".
Пункт Д.1.8. Заменить ссылку: "(см. таблицу Д.1, позиция 2, г)" на "(см. таблицу Д.1, позиция 2, перечисление в)".
Д.2 Предельные прогибы
Д.2.1 Вертикальные предельные прогибы элементов конструкций
"Таблица Д.1
Элементы конструкций | Предъявляемые требования | Вертикальные предельные прогибы fu | Нагрузки для определения вертикальных прогибов |
1 Балки крановых путей подмостовые и подвесные краны, управляемые из кабины при группах режимов работы: | Физиологические | | |
1К - 6К | l/400 | От одного крана |
7К | l/500 | То же |
8К | l/600 | " |
2 Балки, фермы, ригели, прогоны, плиты, настилы (включая поперечные ребра плит и настилов): | Эстетико-психологические | | |
а) покрытий и перекрытий, открытых для обзора, при пролете l, м: | | Постоянные и длительные, а также нагрузки, указанные в таблице 8.3, с понижающим коэффициентом, равным 0,35, и снеговые нагрузки с понижающим коэффициентом, равным 0,5 |
l <= 1 | l/120 |
l = 3 | l/150 |
l = 6 | l/200 |
l = 24 (12) | l/250 |
l >= 36 (24) | l/300 |
б) покрытий и перекрытий при наличии тельферов (талей), подвесных кранов, управляемых из кабины | Физиологические | l/400 или a/200 (меньшее из двух) | От одного крана или тельфера (тали) на одном пути |
в) перекрытий, подверженных действию: | Физиологические | l/350 | Наиболее неблагоприятное из следующих двух значений: |
перемещаемых грузов, материалов, узлов и элементов оборудования и других подвижных нагрузок (в том числе при безрельсовом напольном транспорте) | 0,7 полных нормативных значений кратковременных нагрузок на перекрытие или нагрузки от одного транспортного средства |
нагрузок от рельсового транспорта: | | | |
узкоколейного | | l/400 | От одного состава вагонов (или одной напольной машины) на одном пути |
ширококолейного | | l/500 | То же |
г) покрытий и перекрытий автостоянок в зданиях, при пролете l, м: | Физиологические | | Постоянные и длительные, а также нагрузки, указанные в таблице 8.3 с понижающим коэффициентом, равным 0,35, и снеговые нагрузки с понижающим коэффициентом, равным 0,5 |
l = 6 | l/200 |
l = 12 | l/250 |
l >= 24 | l/300 |
3 Элементы лестниц (марши, площадки, косоуры), балконов, лоджий | Эстетико-психологические | Те же, что в позиции 2, перечисление а) |
Физиологические | Определяются в соответствии с Д.2.2 |
4 Перемычки и навесные стеновые панели над оконными и дверными проемами (ригели и прогоны остекления) | Эстетико-психологические | Те же, что в позиции 2, перечисление а) |
Обозначения, принятые в настоящей таблице: l - расчетный пролет элемента конструкции; a - шаг балок или ферм, к которым крепятся подвесные крановые пути. Примечания 1 Для консоли вместо l следует принимать удвоенный ее вылет. 2 Для промежуточных значений l в позиции 2, перечисление а), предельные прогибы следует определять линейной интерполяцией, учитывая требования Д.1.7 приложения Д. 3 В позиции 2, перечисление а), цифры, указанные в скобках, следует принимать при высоте помещений до 6 м включительно. 4 Особенности вычисления прогибов по позиции 2, перечисление б), указаны в Д.1.8 приложения Д. 5 При ограничении прогибов эстетико-психологическими требованиями допускается пролет l принимать равным расстоянию между внутренними поверхностями несущих стен (или колонн). |
".
Д.2.2 Физиологические требования
Экспликация к формуле (Д.1).
Определение p1. Изложить в новой редакции:
"p1 - нагрузки на перекрытия, принимаемые по таблице Д.2;".
"Принимают по таблице 8.3 с понижающим коэффициентом, равным 0,35".
"Принимают по таблице 8.3 с понижающим коэффициентом, равным 0,35".
Второй абзац. Заменить слова: "по формуле (8.1)" на "по формуле (6.6)".
Д.2.3 Горизонтальные предельные прогибы колонн и тормозных конструкций от крановых нагрузок
"Д.2.4 Горизонтальные предельные перемещения и прогибы зданий, отдельных элементов конструкций от ветровой нагрузки и температурных климатических воздействий"
| | ИС МЕГАНОРМ: примечание. В официальном тексте документа, видимо, допущена опечатка: имеются в виду пункты Д.2.4.3, Д.2.4.4, а не пункты 2.4.3, 2.4.4 соответственно. | |
Д.2.5 Предельные выгибы элементов междуэтажных перекрытий от усилий предварительного обжатия
Приложение Е Карты районирования территории Российской Федерации по климатическим характеристикам
"Примечания
1 Для горных районов при высоте местности над уровнем моря h <= 500 м нормативное значение веса снегового покрова принимают равным Sg для соответствующего снегового района; при h > 500 м определяют по формуле
Sg(h) = Sg(1 + 0,001kh(h - h0)), кН/м2,
где kh - значение высотного коэффициента для высоты h, м над уровнем моря;
h0 - начальная высота, м, относительно которой устанавливается высотный коэффициент, принимаемая не менее 500 м.
2 Значения kh определяют по таблице Е.1 или по данным организаций по гидрометеорологии.
3 Для различных высот над уровнем моря одного горного района значение высотного коэффициента может быть различным.".
"Таблица Е.1
Высотный коэффициент kh для пунктов, расположенных
в горных районах, обозначенных на карте 1 приложения Е,
а также в местах со сложным изменением рельефа
и высотой над уровнем моря более 500 м
Территориальный район Российской Федерации | Снеговой район | Начальная высота h0, м | kh |
Республика Дагестан | II | 500 | 1,0 |
Краснодарский край: | | | |
Адлерский район | VII | 500 | 2,15 |
Остальные районы | II | 500 | 5,0 |
Республика Адыгея (Адыгея) | VII | 500 | 2,15 |
Ставропольский край | II | 500 | 1,0 |
Эвенкийский автономный округ | VI | 500 | 0,35 |
Красноярский край: | | | |
Кемеровская область - Кузбасс, Кузнецкий Алатау, Горная Шория | VI, VII | 500 | 2,25 |
Саянский хр., Куртушибинский хр. | IV | 500 | 3,15 |
Северо-Енисейский район | VI | 500 | 0,95 |
Норильский промышленный район: | | | |
- к северо-востоку от г. Норильска | V | 500 | 3,75 |
- до 20 км к югу от г. Норильска | VI | 500 | 2,5 |
Республика Бурятия: | | | |
хр. Хамар-Дабан | IV | 500 | 1,0 |
Байкальский хр. | IV | 500 | 2,3 |
Забайкальский край: | | | |
Каларский район, хр. Удокан | II | 500 | 0 |
| II | 1000 | 1,8 |
Республика Якутия: | | | |
Алданское нагорье | III | 500 | 1,35 |
Примечание - Значения высотного коэффициента kh для остальных горных районов, а также для мест со сложным изменением рельефа и высотой над уровнем моря более 500 м необходимо устанавливать на основе данных организаций по гидрометеорологии. |
".
Дополнить
свод правил приложением Л в следующей редакции:
"Приложение Л
ЗНАЧЕНИЯ ПРЕДЕЛЬНЫХ ПРОГИБОВ И ПЕРЕМЕЩЕНИЙ ЗДАНИЙ
И ИХ ОТДЕЛЬНЫХ ЭЛЕМЕНТОВ, ОГРАНИЧИВАЕМЫЕ ИСХОДЯ
ИЗ ТЕХНОЛОГИЧЕСКИХ И КОНСТРУКТИВНЫХ ТРЕБОВАНИЙ
Л.1 Вертикальные предельные прогибы элементов конструкций, ограничиваемые исходя из технологических и конструктивных требований
Л.1.1 Вертикальные предельные прогибы элементов конструкций, ограничиваемые исходя из технологических и конструктивных требований, приведены в таблице Л.1. Требования к зазорам между смежными элементами приведены в Л.1.2.
Таблица Л.1
Элементы конструкций | Предъявляемые требования | Вертикальные предельные прогибы fu | Нагрузки для определения вертикальных прогибов |
1 Балки крановых путей, подмостовые и подвесные краны, управляемые: | Технологические | | |
- с пола, в том числе тельферы (тали) | l/250 | От одного крана |
- из кабины при группах режимов работы: | | |
1К - 6К | l/400 | То же |
7К | l/500 | " |
8К | l/600 | " |
2 Балки, фермы, ригели, прогоны, плиты, настилы (включая поперечные ребра плит и настилов): | Конструктивные | | |
а) покрытий и перекрытий при наличии перегородок под ними | Принимаются в соответствии с Л.1.2 | Приводящие к уменьшению зазора между несущими элементами конструкций и перегородками, расположенными под элементами |
б) покрытий и перекрытий при наличии тельферов (талей), подвесных кранов, управляемых с пола | Технологические | l/300 или a/150 (меньшее из двух) | Кратковременные с учетом нагрузки от одного крана или тельфера (тали) на одном пути |
в) перекрытий, подверженных действию: | Технологические | | Наиболее неблагоприятное из следующих двух значений: |
- перемещаемых грузов, материалов, узлов и элементов оборудования и других подвижных нагрузок (в том числе при безрельсовом напольном транспорте) | l/350 | 0,7 полных нормативных значений кратковременных нагрузок на перекрытие или нагрузки от одного транспортного средства |
- нагрузок от рельсового транспорта: | | |
узкоколейного | l/400 | От одного состава вагонов (или одной напольной машины) на одном пути |
ширококолейного | l/500 | То же |
г) покрытий и перекрытий стоянок автомобилей в зданиях, при пролете l, м: | Технологические | | Постоянные и длительные, а также нагрузки, указанные в таблице 8.3, с понижающим коэффициентом, равным 0,35, и снеговые нагрузки с понижающим коэффициентом, равным 0,5 |
l = 6 | l/200 |
l = 12 | l/250 |
l >= 24 | l/300 |
3 Перемычки и навесные стеновые панели над оконными и дверными проемами (ригели и прогоны остекления) | Конструктивные | l/200 | Приводящие к уменьшению зазора между несущими элементами и оконным или дверным заполнением, расположенным под элементами |
Обозначения, принятые в таблице Л.1: l - расчетный пролет элемента конструкции; a - шаг балок или ферм, к которым крепятся подвесные крановые пути. Примечания 1 Для консоли вместо l следует принимать ее удвоенный вылет. 2 Особенности вычисления прогибов по позиции 2, перечисление б), указаны в Д.1.8 приложения Д. |
Л.1.2 Зазор между нижней поверхностью элементов покрытий и перекрытий и верхом перегородок, расположенных под элементами, не должен превышать 40 мм. В тех случаях, когда выполнение указанных требований связано с увеличением жесткости покрытий и перекрытий, необходимо конструктивными мероприятиями избегать этого увеличения (например, размещением перегородок не под изгибаемыми балками, а рядом с ними).
Л.2 Горизонтальные предельные сближения крановых путей открытых эстакад, ограничиваемые исходя из технологических требований
Горизонтальные предельные сближения крановых путей открытых эстакад от горизонтальных и внецентренно приложенных вертикальных нагрузок от одного крана (без учета крена фундаментов), ограничиваемые исходя из технологических требований, следует принимать равными 20 мм.
Л.3 Горизонтальные предельные перемещения и прогибы зданий, отдельных элементов конструкций и опор конвейерных галерей от ветровой нагрузки и крена фундаментов
Л.3.1 Горизонтальные предельные перемещения зданий, ограничиваемые исходя из конструктивных требований (обеспечение целостности заполнения каркаса стенами, перегородками, оконными и дверными элементами), приведены в таблице Л.2. Указания по определению перемещений приведены в Л.3.2.
Таблица Л.2
Здания, стены и перегородки | Крепление стен и перегородок к каркасу здания | Предельные перемещения fu |
1 Многоэтажные здания | Любое | h/500 |
2 Один этаж многоэтажных зданий: | | |
а) стены и перегородки из кирпича, гипсобетона, железобетонных панелей | Жесткое | hs/500 |
б) стены, облицованные естественным камнем, из керамических блоков | " | hs/700 |
в) стены и перегородки из кирпича, гипсобетона, железобетонных панелей, облицованные естественным камнем, из керамических блоков | Податливое | hs/300 |
3 Одноэтажные здания (с самонесущими стенами) высотой этажа hs, м: | | |
hs <= 6 hs = 15 hs >= 30 | Податливое | hs/300 |
Обозначения, принятые в таблице Л.2: h - высота многоэтажных зданий, равная расстоянию от верха фундамента до оси ригеля покрытия; hs - высота этажа в одноэтажных зданиях, равная расстоянию от верха фундамента до низа стропильных конструкций; в многоэтажных зданиях: для нижнего этажа - равная расстоянию от верха фундамента до оси ригеля перекрытия; для остальных этажей - равная расстоянию между осями смежных ригелей. Примечания 1 Для верхних этажей многоэтажных зданий, проектируемых с использованием элементов покрытий одноэтажных зданий, горизонтальные предельные перемещения следует принимать такими же, как для одноэтажных зданий. При этом высоту верхнего этажа hs принимают от оси ригеля междуэтажного перекрытия до низа стропильных конструкций. 2 К податливым креплениям относятся крепления стен или перегородок к каркасу, не препятствующие смещению каркаса (без передачи на стены или перегородки усилий, способных вызвать повреждения конструктивных элементов); к жестким - крепления, препятствующие взаимным смещениям каркаса, стен или перегородок. 3 Для одноэтажных зданий с навесными стенами (а также при отсутствии жесткого диска покрытия) и многоэтажных этажерок промышленных зданий предельные перемещения допускается увеличивать на 30% (но принимать не более hs/150 в пределах каждого этажа). |
Горизонтальные перемещения зданий следует определять с учетом крена (неравномерных осадок) фундаментов. При этом нагрузки от веса оборудования, мебели, людей, складируемых материалов и изделий следует учитывать только при сплошном равномерном загружении всех перекрытий многоэтажных зданий этими нагрузками (с учетом их снижения в зависимости от числа этажей), за исключением случаев, при которых по условиям нормальной эксплуатации предусматривается иное загружение.
Для зданий высотой до 40 м (и опор конвейерных галерей любой высоты), расположенных в ветровых районах I - IV, крен фундаментов, вызываемый ветровой нагрузкой, допускается не учитывать.
Л.3.2 При связевых каркасах многоэтажных зданий высотой более 40 м перекос этажных ячеек, примыкающих к диафрагмам жесткости, равный f1/hs + f2/l (рисунок Л.1), не должен превышать (см. таблицу Л.2): 1/500 - для позиции 2, перечисление а), 1/700 - для позиции 2, перечисление б), и 1/300 для позиции 2, перечисление в).
1 - диафрагмы жесткости; 2 - этажные ячейки;

- исходная схема каркаса до приложения нагрузки
Рисунок Л.1 - Схема перекоса этажных ячеек, примыкающих
к диафрагмам жесткости в зданиях со связевым каркасом
Л.3.3 Горизонтальные предельные прогибы стоек и ригелей фахверка, а также навесных стеновых панелей от ветровой нагрузки, ограничиваемые исходя из конструктивных требований, следует принимать равными l/200, где l - расчетный пролет стоек или панелей.
Л.3.4 Горизонтальные предельные прогибы опор конвейерных галерей от ветровых нагрузок, ограничиваемые исходя из технологических требований, следует принимать равными h/250, где h - высота опор от верха фундамента до низа ферм или балок.
Л.4 Предельные выгибы элементов междуэтажных перекрытий от усилий предварительного обжатия
Предельные выгибы fu элементов междуэтажных перекрытий, ограничиваемые исходя из конструктивных требований, следует принимать равными 15 мм при l <= 3 м и 40 мм - при l >= 12 м (для промежуточных значений l предельные выгибы следует определять линейной интерполяцией).
Выгибы f следует определять от усилий предварительного обжатия, собственного веса элементов перекрытий и веса пола.".
Ключевые слова. Изложить в новой редакции:
"Ключевые слова: нагрузка; воздействие; сочетание нагрузок; постоянная, длительная, кратковременная, особая нагрузка; прогиб, перемещение".
УДК 69:006 | |
Ключевые слова: нагрузка; воздействие; сочетание нагрузок; постоянная, длительная, кратковременная, особая нагрузка; прогиб, перемещение |
Руководитель организации-разработчика
АО "НИЦ "Строительство"
Заместитель генерального директора
по научной работе
А.И.ЗВЕЗДОВ
Директор
ЦНИИСК им. В.А. Кучеренко
И.И.ВЕДЯКОВ
Руководитель разработки
Зав. лабораторией N 3 ЦНИИСК
им. В.А. Кучеренко
Н.А.ПОПОВ
Исполнитель
Зам. зав. лабораторией N 3 ЦНИИСК
им. В.А. Кучеренко
И.В.ЛЕБЕДЕВА