Главная // Актуальные документы // ПриказСПРАВКА
Источник публикации
М., 2019
Примечание к документу
Текст документа приведен в соответствии с публикацией на сайте https://minstroyrf.gov.ru по состоянию на 24.03.2023.
Документ
введен в действие с 29.07.2019.
Название документа
"Изменение N 2 к СП 20.13330.2016 "СНиП 2.01.07-85* Нагрузки и воздействия"
(утв. и введено в действие Приказом Минстроя России от 28.01.2019 N 49/пр)
"Изменение N 2 к СП 20.13330.2016 "СНиП 2.01.07-85* Нагрузки и воздействия"
(утв. и введено в действие Приказом Минстроя России от 28.01.2019 N 49/пр)
Утверждено и введено в действие
и жилищно-коммунального хозяйства
Российской Федерации (Минстрой России)
от 28 января 2019 г. N 49/пр
ИЗМЕНЕНИЕ N 2 К СП 20.13330.2016
"СНиП 2.01.07-85* НАГРУЗКИ И ВОЗДЕЙСТВИЯ"
Дата введения
29 июля 2019 года
Содержание
Подраздел 8.3. Наименование. Изложить в новой редакции:
"8.3 Сосредоточенные нагрузки ....................................".
Приложение Б. Наименование. Изложить в новой редакции:
"Приложение Б Схемы снеговых нагрузок и коэффициенты формы

.....".
Дополнить наименованиями приложений Ж, И, К в следующей редакции:
"Приложение Ж Основные требования к проведению модельных испытаний
зданий и сооружений в аэродинамических трубах..............................
Приложение И Общая методика проведения модельных испытаний зданий
и сооружений в аэродинамических трубах ....................................
Приложение К Нормативные значения веса снегового покрова для городов
Российской Федерации ....................................................".
Введение
Дополнить четвертым абзацем в следующей редакции:
"Свод правил разработан авторским коллективом АО "НИЦ "Строительство" - ЦНИИСК им. В.А. Кучеренко (канд. техн. наук Н.А. Попов, канд. техн. наук И.В. Лебедева, д-р техн. наук И.И. Ведяков) при участии РААСН (д-р техн. наук В.И. Травуш), ЗАО "Научно-исследовательский центр СтаДиО" (д-р техн. наук А.М. Белостоцкий, д-р техн. наук П.А. Акимов, канд. техн. наук И.Н. Афанасьева) и ФГБУ "Главная геофизическая обсерватория им. А.И. Воейкова" (д-р геогр. наук Н.В. Кобышева).".
2 Нормативные ссылки
Дополнить нормативной ссылкой в следующей редакции:
4 Общие положения
"а) при расчете по предельным состояниям 1-й группы - в соответствии с 7.2 - 7.4, 8.1.4, 8.2.7, 8.3.5, 8.4.5, 9.8, 10.12, разделом 11, 12.5 и 13.8;".
6 Сочетания нагрузок
Дополнить
раздел пунктами 6.7 и 6.8 в следующей редакции:
"6.7 При расчете балок, ригелей, плит, стен, колонн и фундаментов, воспринимающих нагрузки от одного перекрытия, нормативные значения нагрузок, указанные в таблице 8.3, допускается снижать в зависимости от грузовой площади
A, м
2, с которой передаются нагрузки на рассчитываемый элемент, умножением на коэффициент

или

, равный:
а) для позиций 1, 2, 12, а (при A > A1 = 9 м2)

; (6.6)
б) для позиций 4, 11, 12, б (при A > A2 = 36 м2)

. (6.7)
6.8 При определении усилий для расчета колонн, стен и фундаментов, воспринимающих нагрузки от двух перекрытий и более, полные нормативные значения нагрузок, указанные в позициях 1, 2, 4, 11, 12,
а и 12,
б таблицы 8.3, допускается снижать умножением на коэффициенты сочетания

или

:
а) для позиций 1, 2, 12, а

; (6.8)
б) для позиций 4, 11, 12, б

, (6.9)
где

,

- определяются в соответствии с 6.7;
n - общее число перекрытий, нагрузки от которых учитываются при расчете рассматриваемого сечения колонны, стены, фундамента.".
8 Нагрузки от оборудования, людей, животных, складируемых материалов и изделий, транспортных средств
8.2 Равномерно распределенные нагрузки
Дополнить
подраздел 8.2 пунктами 8.2.6 и 8.2.7 в следующей редакции:
"8.2.6 Нормативные значения горизонтальных нагрузок на поручни перил лестниц и балконов следует принимать:
а) для жилых зданий, дошкольных организаций, домов отдыха, санаториев, больниц и других лечебных учреждений - 0,5 кН/м;
б) для трибун и спортивных залов - 1,5 кН/м;
в) для других зданий и помещений - 0,8 кН/м или по заданию на проектирование;
г) для обслуживающих площадок, мостиков, ограждений крыш, предназначенных для непродолжительного пребывания людей, нормативное значение горизонтальной нагрузки на поручни перил следует принимать 0,3 кН/м, если по заданию на проектирование на основании технологических решений не требуется большее значение нагрузки.
8.2.7 Коэффициенты надежности по нагрузке

для равномерно распределенных нагрузок, указанных в 8.2.2, следует принимать:
1,3 - при полном нормативном значении менее 2,0 кПа;
1,2 - при полном нормативном значении 2,0 кПа и более.
Коэффициент надежности по нагрузке от веса временных перегородок следует принимать в соответствии с 7.2.
Для нагрузок, указанных в 8.2.6, следует принимать коэффициент надежности по нагрузке

.".
"8.3 Сосредоточенные нагрузки"
"8.3.5 Для сосредоточенных нагрузок, указанных в 8.3.1, следует принимать коэффициент надежности по нагрузке

.".
8.4 Нагрузки от транспортных средств
"8.4.3 Расчетные значения нагрузок, указанные в таблице 8.4, допускается уточнять в соответствии с техническими данными автотранспортных средств, с учетом заданной схемы их размещения и коэффициента динамичности, принимаемого не менее 1,4.".
10 Снеговые нагрузки
"

- коэффициент формы, учитывающий переход от веса снегового покрова земли к снеговой нагрузке на покрытие, принимаемый в соответствии с 10.4;"
"10.2 Нормативное значение веса снегового покрова Sg на 1 м2 горизонтальной поверхности земли для отдельных населенных пунктов Российской Федерации принимают в соответствии с приложением К.
Для остальной территории Российской Федерации нормативное значение веса снегового покрова Sg на 1 м2 горизонтальной поверхности земли следует принимать в зависимости от снегового района по данным таблицы 10.1.
Таблица 10.1
Снеговые районы (принимаются по карте 1 приложения Е) | I | II | III | IV | V | VI | VII | VIII |
Sg, кН/м2 | 0,5 | 1,0 | 1,5 | 2,0 | 2,5 | 3,0 | 3,5 | 4,0 |
Значения Sg, указанные в таблице 10.1, допускается уточнять в установленном порядке на основе данных организаций по гидрометеорологии для места строительства. В этом случае значение Sg следует вычислять по формуле Sg = Sg,50/1,4, где Sg,50 - превышаемый в среднем один раз в 50 лет ежегодный максимум веса снегового покрова, определяемый на основе данных многолетних маршрутных снегосъемок о запасах воды в снеговом покрове на защищенных от прямого воздействия ветра участках местности.
Нормативное значение веса снегового покрова необходимо определять по формуле, приведенной в примечании 1 к карте 1 приложения Е, с учетом высотного коэффициента, принимаемого по таблице Е.1, или устанавливать на основе данных организаций по гидрометеорологии в следующих случаях:
- для пунктов, расположенных в горных и малоизученных районах, обозначенных на карте 1 приложения Е;
- в местах со сложным изменением рельефа и высотой над уровнем моря более 500 м.".
"10.4 Схемы распределения снеговой нагрузки и значения коэффициента формы

для покрытий следует принимать в соответствии с приложением Б.".
"Для зданий и сооружений, имеющих габаритные размеры покрытия, превышающие 100 м в обоих направлениях, за исключением покрытий, указанных на схемах Б.1 и Б.5 приложения Б, а также во всех случаях, не предусмотренных приложением Б (при иных формах покрытий, при необходимости учета различных направлений переноса снега по покрытию, близко расположенных зданий и сооружений окружающей застройки и т.п.), схемы распределения снеговой нагрузки по покрытиям и значения коэффициента

устанавливаются в рекомендациях, разработанных на основе результатов модельных испытаний в аэродинамических трубах (см. приложения Ж и И) с учетом 4.7 или имеющихся данных.
Значения коэффициента формы

необходимо устанавливать с учетом наиболее неблагоприятных направлений снегопереноса, средней температуры воздуха в зимний период, влажности, закономерностей изменения плотности и структуры снегоотложений во времени для места строительства.".
"10.7 Для пологих (с уклонами до 12% или с
f/
l 
0,05) покрытий однопролетных и многопролетных зданий, проектируемых на местности типов A или B и имеющих характерный размер в плане
lc не более 100 м (см. схемы Б.1, Б.2, Б.5 и Б.6 приложения Б), а также для покрытий высотных зданий допускается учитывать коэффициент сноса снега, принимаемый по формуле (10.2), но не менее 0,5:

, (10.2)
где k - принимается по таблице 11.2 для типов местности A или B (см. 11.1.6);

- характерный размер покрытия, принимаемый не более 100 м;
b - наименьший размер покрытия в плане;
l - наибольший размер покрытия в плане.
Для покрытий с уклонами от 12% до 20% однопролетных и многопролетных зданий без фонарей, проектируемых на местности типов A или B (см. схемы Б.1 и Б.5 приложения Б) ce = 0,85.".
"Пониженное нормативное значение следует учитывать при расчете прогибов покрытий или их участков, оборудованных системами снеготаяния, а также в других случаях, установленных в нормах проектирования строительных конструкций.".
Дополнить
раздел пунктом 10.13 в следующей редакции:
"10.13 Горизонтальные и вертикальные нагрузки от сползания снега, действующие на нижележащие конструкции покрытия, выступающие над кровлей элементы ограждающих конструкций, фасадных систем, инженерное оборудование и снегозадерживающие устройства, устанавливаются в рекомендациях, разрабатываемых в соответствии с заданием на проектирование с учетом 4.7. В необходимых случаях следует учитывать динамическое действие нагрузок от сползания снега.".
11 Воздействия ветра
"11.1.2 Во всех случаях нормативное значение основной ветровой нагрузки w следует определять как сумму средней wm и пульсационной wg составляющих
w = wm + wg. (11.1)".
"3 Для высот
ze 
5 м коэффициент
k(
ze), а также коэффициент

пульсации давления ветра (см. 11.1.8) определяются по таблицам 11.2 и 11.4 соответственно.".
"

. (11.4)
Примечание - Для высот ze < 10 м коэффициент k(ze) определяется по таблице 11.2."."
"Для сооружений повышенного уровня ответственности, которые указаны в [1,
статья 48.1, часть 2] или в примечании 2, а также во всех случаях, не предусмотренных В.1 (иные формы сооружений, учет при надлежащем обосновании других направлений ветрового потока или составляющих общего сопротивления тела по другим направлениям, необходимость учета влияния близстоящих зданий и сооружений, рельефа местности и аналогичные случаи), аэродинамические коэффициенты устанавливаются в рекомендациях, разработанных с учетом 4.7 на основе результатов:
1) физического (экспериментального) моделирования - испытаний в аэродинамических трубах (см. приложения Ж и И);
2) математического (численного) моделирования ветровой аэродинамики на основе численных схем решения трехмерных уравнений движения жидкости и газа с адекватными моделями турбулентности, реализованных в современных верифицированных лицензионных программных комплексах вычислительной гидрогазодинамики.".
Примечания. Дополнить примечанием 4 в следующей редакции:
"4 Для зданий и сплошностенчатых сооружений аэродинамические коэффициенты полного давления cp определяются как алгебраическая сумма коэффициентов внешнего ce и внутреннего ci давлений.".
"11.1.8. Нормативное значение пульсационной составляющей основной ветровой нагрузки wg на эквивалентной высоте ze необходимо определять следующим образом:"
"

, (11.5)".
"

. (11.6)
Примечание - Для высот
ze < 10 м коэффициент

определяется по таблице 11.4.".
"

, (11.7)".
"Таблица 11.7
Основная координатная плоскость, параллельно которой расположена расчетная поверхность | | |
zoy | b | h |
zox | 0,4a | h |
xoy | b | a |
".
"Для элементов ограждения и узлов их креплений (в частности, навесных фасадных систем и светопрозрачных конструкций фасадов и покрытий) необходимо учитывать пиковые положительные w+ и отрицательные w- воздействия ветровой нагрузки, нормативные значения которых определяются по формуле

, (11.10)".
"Аэродинамические коэффициенты cp,+ и cp,- определяются на основе результатов модельных испытаний сооружений в аэродинамических трубах, численного моделирования или с учетом данных, опубликованных в технической литературе. Для отдельно стоящих прямоугольных в плане зданий значения этих коэффициентов приведены в В.1.17.".
14 Прочие нагрузки
"14 Прочие нагрузки
Нагрузки и воздействия, не включенные в настоящий свод правил (специальные технологические нагрузки, вибрационные нагрузки от всех видов транспорта, влажностные и усадочные воздействия, нагрузки от отложения производственной пыли, от вулканического пепла, песка в пустынных районах), устанавливаются в иных нормах проектирования строительных конструкций, задании на проектирование или в рекомендациях, разработанных в рамках научно-технического сопровождения.".
Приложение Б
"Приложение Б Схемы снеговых нагрузок
и коэффициенты формы
"
"Для зданий со сводчатыми и близкими к ним по очертанию покрытиями (рисунок Б.2) следует принимать

, (Б.1)
где

- уклон покрытия, град; при этом значения

вычисляются в каждой точке покрытия.
Для сводчатых поверхностей кругового очертания значения

вычисляются в точках с уклоном

,

и в крайнем сечении покрытия (точки A, B и C на рисунке Б.2). Промежуточные значения

определяются линейной интерполяцией. Для сводчатых покрытий некругового очертания значения

вычисляются по формуле (Б.1) в каждой точке. При

и

.".
Последний абзац. Заменить слова: "при

схему Б.2.1" на "при

схему Б.2 - рисунок Б.2.".
"Для двух- и многопролетных зданий с двускатными покрытиями (рисунок Б.8) вариант 1 следует учитывать во всех случаях, вариант 2 - для двухпролетных зданий при

, вариант 3 - для многопролетных зданий при

. Для двух- и многопролетных зданий при

следует учитывать также схему варианта 2 на рисунке Б.9."
"
Рисунок Б.8
".
"Длину

участка переноса по нижнему покрытию, не имеющему парапетов, следует принимать не более утроенной его ширины.".
Дополнить
абзац третьим предложением в следующей редакции:
"При максимальном уклоне

принимается
r1 =
d/2.".
"б) Для покрытий в виде сочетания двух сферических поверхностей различной кривизны на круглом плане следует учитывать снеговые нагрузки, как показано на рисунке Б.14а.
Для варианта 1 на участке A - B шириной
l1 
; на участке B - B шириной
l2 
. При

и
l1 <
d/8 следует учитывать только вариант 1.
Для вариантов 2 и 3 коэффициент

вычисляется по схеме 2 на рисунке Б.14. При этом
r1 принимается, как показано на рисунке Б.14а. Коэффициент

вычисляется по схеме 2 на рисунке Б.14 для центральной части покрытия при
r1 =
l1/2, а
z отсчитывается от центра проекции сферы.
При

следует учитывать варианты 1 и 2; при

следует учитывать варианты 1 и 3. При

следует учитывать схемы по перечислению а) Б.11 без учета изменения геометрии поверхности.
Рисунок Б.14а
".
"Б.12 Здания с коническими круговыми покрытиями и покрытиями в виде сочетания сферической и конической поверхностей"
"а) Для зданий с коническими круговыми покрытиями (рисунок Б.15) коэффициент

определяется по таблице Б.3.".
Четвертый абзац. Дополнить
формулу номером (Б.13) и изложить в следующей редакции:
"

, (Б.13)"
"б) Для зданий с круговыми покрытиями в виде сочетания сферической и конической поверхностей (рисунок Б.15а) коэффициент

определяется по таблице Б.3.
Коэффициент

для варианта 2 (см. рисунок Б.15а) определяется следующим образом:
- на участке 1 - по формуле (Б.10) в зависимости от уклона

при
z, принимаемом как радиус круга, расположенный между D и E;
- на участке 2 -

, где

вычисляется по формуле (Б.10) при

;
- на участках 3 и 4 - по формулам (Б.12) или (Б.13) в зависимости от уклона

;
- на участке 5 -

при

;

при

и

при

;
- на участке 6 -

, где

вычисляется по формуле (Б.10) в зависимости от уклона

.
Для пологих куполов при

и

следует учитывать только вариант 1.
Рисунок Б.15а
Для покрытий, рассматриваемых в перечислении б), должно соблюдаться условие

.".
Приложение В Ветровые нагрузки.
"Для стен с отрицательным уклоном при

(см. рисунок В.3) аэродинамические коэффициенты определяются так же, как и для вертикальных стен."
Рисунок В.3. Дополнить новым графическим материалом в правой части рисунка:
"В.1.4 Круглые в плане сооружения с купольными и коническими покрытиями
а) Для купольных покрытий значения коэффициентов ce в точках A и C, а также в сечении B-B приведены на рисунке В.6, а. Для промежуточных сечений коэффициенты ce определяются линейной интерполяцией.
б) Для конических покрытий значения аэродинамических коэффициентов внешнего давления
ce при

определяются (см. рисунок В.6,
б) следующим образом:
- для участка A коэффициент ce = -1,5;
- для участка B коэффициент ce = -1,0;
- для участка C коэффициент ce = -1,1;
- для участка D коэффициент ce = -2,0;
- для участка E коэффициент ce = -0,7;
- для купольных и конических покрытий при определении эквивалентной высоты ze в соответствии с 11.1.5 и коэффициента v в соответствии с 11.1.11 h = h1 + 0,7f.
Рисунок В.6
".
"В.1.5 Здания с продольными фонарями и здания переменной высоты".
"
".
"В.2.3 При расчете сооружения на резонансное вихревое возбуждение наряду с воздействием (В.2.1) необходимо учитывать также действие ветровой нагрузки, параллельной средней скорости ветра. Средняя wm,cr и пульсационная wg,cr составляющие этого воздействия определяются по формулам:
wm,cr = (Vcr/Vmax)2wm; wg,cr = (Vcr/Vmax)2wg, (В.10)
где Vmax - расчетная скорость ветра на высоте zэк, на которой происходит резонансное вихревое возбуждение, определяемое по формуле (11.13);
wm и wg - расчетные значения средней и пульсационной составляющих ветровой нагрузки, определяемые в соответствии с указаниями 11.1.".
"При оценке комфортности пребывания людей в зданиях (динамическая комфортность) расчетные значения ветровой нагрузки wc принимаются равными
wc = 0,7wg, (В.11)
где wg - нормативное значение пульсационной составляющей основной ветровой нагрузки (11.1.8).".
Приложение Е
Карты районирования территории Российской Федерации
по климатическим характеристикам
Карта 1. Изложить в новой редакции:
"
".
"Примечания
1 Для горных районов при высоте местности над уровнем моря
h 
500 м нормативное значение веса снегового покрова принимается равным
Sg для соответствующего снегового района; при
h > 500 м определяется по формуле:
Sg(
h) =
Sg +
kh(
h - 500), кН/м
2, где
kh определяется по таблице Е.1 или по данным органа гидрометеорологии.
2 В расчетах на особые сочетания нагрузок согласно
СП 296.1325800 устанавливают следующие значения дополнительного коэффициента надежности при определении экстремальной снеговой нагрузки: г. Краснодар -

; г. Лабинск -

; г. Крымск -

; г. Кропоткин, г. Белореченск и г. Майкоп -

.".
"Таблица Е.1
Высотный коэффициент kh для пунктов, расположенных
в горных районах, обозначенных на карте 1
приложения Е, а также в местах со сложным изменением
рельефа и высотой над уровнем моря более 500 м
Территориальный район РФ | Снеговой район | kh |
Республика Дагестан | II | 0,001 |
Краснодарский край: | | |
Адлерский район | VII | 0,0075 |
Остальные районы | II | 0,005 |
Республика Адыгея | VII | 0,0075 |
Ставропольский край | II | 0,001 |
Эвенкийский автономный округ | VI | 0,001 |
Красноярский край: | | |
Кемеровская область, Кузнецкий Алатау, | VI, VII | 0,0068 |
Горная Шория | | |
Саянский хр., Куртушибинский хр. | IV | 0,0063 |
Северо-Енисейский район | VI | 0,0028 |
Республика Бурятия, | | |
хр. Хамар-Дабам | IV | 0,002 |
Байкальский хр. | IV | 0,0046 |
Республика Якутия, Алданское нагорье | III | 0,002 |
Примечание - Значения высотного коэффициента kh для остальных горных районов, а также мест со сложным изменением рельефа и высотой над уровнем моря более 500 м необходимо устанавливать на основе данных организаций по гидрометеорологии. |
".
Дополнить
свод правил приложениями Ж, И, К в следующей редакции:
"Приложение Ж
Основные требования к проведению модельных испытаний
зданий и сооружений в аэродинамических трубах
Ж.1 Целью проведения модельных испытаний зданий и сооружений в аэродинамических трубах является определение одного или нескольких из следующих параметров, необходимых для нормирования ветровых воздействий:
а) аэродинамические коэффициенты внутреннего (ci) и внешнего (ce) давлений;
б) аэродинамические коэффициенты лобового сопротивления (cx), поперечной силы (cy) и крутящего момента (cmz);
в) пиковые (положительные (cp+) и отрицательные (cp-) значения аэродинамических коэффициентов;
г) числа Струхаля St;
д) плотность вероятности

функции порывов ветра
g(
t), которая используется при оценке комфортности пешеходных зон;
е) динамическая реакция сооружений или ее спектральные характеристики (энергетический спектр, авто- и взаимные корреляционные функции) при действии основного типа ветровой нагрузки, а также реакция, связанная с появлением аэродинамически неустойчивых колебаний (галопирование, различные виды флаттера) или с резонансным вихревым возбуждением.
Ж.2 При проведении модельных испытаний должны быть установлены основные закономерности снегопереноса по покрытиям сооружений, на основе которых определяются коэффициенты формы

, используемые при нормировании снеговых нагрузок.
Ж.3 При проведении модельных аэродинамических испытаний должны быть выполнены определенные условия (критерии) подобия, которые обеспечивают получение наиболее достоверной информации о действующих на здание ветровых нагрузках. Основными и наиболее существенными критериями являются следующие:
- геометрическое подобие, включая степень шероховатости внешних поверхностей моделей;
- подобие структуры потока в аэродинамической трубе реальным ветровым режимам в месте строительства.
Примечание - В тех случаях, когда модельные испытания проводятся в аэродинамических трубах с гладким полом или приземный слой атмосферы моделируется за счет применения турбулизирующих решеток, использование полученных результатов для проектирования сооружений должно быть дополнительно обосновано;
- подобие по числу Рейнольдса Re или выполнение более слабого требования о необходимости реализации автомодельного режима обтекания модели эквивалентного режиму обтекания сооружения;
- подобие основных динамических характеристик модели и здания (при экспериментальном определении динамической реакции сооружения).
Ж.4 При изготовлении моделей линейный масштаб моделирования
Ml выбирается таким образом, чтобы площадь

ее миделева сечения, перпендикулярного направлению потока, удовлетворяла условию

, (Ж.1)
где Sa - площадь рабочей части аэродинамической трубы в месте установки модели;

- степень заполнения рабочей части;

- предельное значение

, зависящее от типа аэродинамической установки.
В тех случаях, когда условие (Ж.1) не выполняется, результаты эксперимента нуждаются в корректировке. Ее методика, а также значение

для каждой аэродинамической установки определяются экспериментально.
Ж.5 Во избежание искажений результатов испытаний скорость потока в рабочей части аэродинамической трубы не должна превышать 60 м/с.
Ж.6 Перед проведением экспериментальных исследований необходимо измерить скорость и уровень турбулентных пульсаций скорости потока (степень турбулентности) по высоте пограничного слоя на всей области размещения модели в рабочей части аэродинамической трубы.
Ж.7 Аэродинамическая установка, используемое оборудование, приборы и инструменты должны быть аттестованы в соответствии с требованиями по их эксплуатации и использованию.
Ж.8 При определении пиковых аэродинамических коэффициентов cp+ и cp- интервал сглаживания экспериментальных данных должен соответствовать 1 - 3-секундному давлению ветра для реального сооружения.
Ж.9 При оформлении результатов модельных аэродинамических испытаний в отчетных документах должны быть приведены следующие данные:
а) линейный масштаб моделирования;
б) состояние поверхности модели (гладкая, с искусственно нанесенной шероховатостью и др.) и ее соответствие поверхности реального сооружения;
в) место расположения модели в рабочей части аэродинамической трубы и степень заполнения ее поперечного сечения;
г) схема дренирования модели (при измерении средних и пиковых значений аэродинамических коэффициентов);
д) основные характеристики набегающего потока, в том числе:
- способ моделирования приземного слоя атмосферы (генераторы вихрей и расположение элементов шероховатости на нижней стенке аэродинамической трубы, используемых для турбулизации потока);
- распределение средней скорости и интенсивности турбулентности потока по высоте сечения трубы в месте расположения модели с оценкой параметров их степенной или логарифмической аппроксимации.
Примечание - При использовании турбулизирующих решеток для моделирования приземного слоя атмосферы, кроме того, необходимо указать интегральные масштабы турбулентности и энергетический спектр набегающего потока;
е) числа Рейнольдса, при которых проводились испытания, и обоснование реализации автомодельного режима обтекания модели, соответствующего режиму обтекания реального сооружения;
ж) скорость или давление потока, по отношению к которым нормировались аэродинамические коэффициенты, давления, сил и моментов, а также числа Струхаля и энергетические спектры (при проведении соответствующих экспериментальных исследований).
Примечание - Для аэродинамических коэффициентов сил и моментов необходимо дополнительно указать оси, в направлении которых эти коэффициенты определялись, а также площади сечений, использованных при их определении;
и) границы достоверности диапазона частот (при измерении энергетических спектров, пиковых аэродинамических коэффициентов, динамической реакции модели и других подобных явлений) с учетом собственных частот приемной и регистрирующей аппаратуры;
к) числа Струхаля St и основные безразмерные частоты срывы вихрей (при исследовании явлений срыва вихрей с боковых поверхностей сооружений).
Приложение И
Общая методика проведения модельных испытаний зданий
и сооружений в аэродинамических трубах
Критерии подобия, указанные в приложении Ж, должны выполняться при проведении всех модельных испытаний зданий и сооружений в аэродинамических трубах.
Примечание - При решении некоторых специальных задач строительной аэродинамики, кроме того, может потребоваться выполнение других критериев подобия: по числам Ричардсона (Ri), Россби (Ro), Фруда (Fr) и др.
И.1 Геометрическое подобие
Следствием геометрического подобия модели и сооружения является равенство безразмерных координат соответствующих точек моделей и сооружения

, (И.1)
где

и
xi - координаты точек модели и сооружения соответственно в направлении
i-й координатной оси (
i = 1, 2, 3);

и
li - соответствующие линейные размеры модели и сооружения соответственно в направлении
i-й координатной оси (
i = 1, 2, 3).
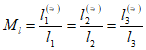
Линейный масштаб Ml моделирования определяется соотношениями

(И.2)
При изготовлении модели линейный масштаб моделирования
Ml выбирается таким образом, чтобы степень заполнения

поперечного сечения аэродинамической трубы удовлетворяла условию (Ж.1).
В тех случаях, когда это условие не выполняется, результаты эксперимента нуждаются в корректировке. Ее методика для каждой аэродинамической установки определяется экспериментально.
При модельных испытаниях зданий и сооружений

; для элементов решетчатых конструкций
Ml принимают порядка единицы.
И.2 Подобие по параметру шероховатости
Подобие по параметру шероховатости

- частный случай геометрического подобия элементов шероховатости.
Учитывая, что в большинстве случаев Ml - величина порядка 10-2 - 10-3, при изготовлении моделей точно удовлетворить этому равенству, как правило, не удается. Для оценки влияния этого параметра на аэродинамические коэффициенты при проведении испытаний шероховатость модели обычно искусственно увеличивается. Для использования результатов продувок подобных моделей для назначения ветровых нагрузок, действующих на проектируемые сооружения, как правило, необходимы дополнительные обоснования.
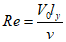
И.3 Моделирование по числу Рейнольдса
Число Рейнольдса Re определяется соотношением

, (И.3)
где
V0 - характерная средняя скорость ветра или потока в аэродинамической трубе

;
ly - размер сооружения или модели в направлении, перпендикулярном направлению скорости V0;

м
2/с - кинематическая вязкость воздуха.
Так как v имеет примерно одно и то же значение для потоков в аэродинамических трубах и в естественных условиях, а

, (И.4)
то отношение чисел Рейнольдса, соответствующих модели и натурному сооружению, пропорционально линейному масштабу Ml моделирования:

. (И.5)
Учитывая, что при модельных испытаниях реальных сооружений

, то даже приближенно выполнить моделирование по числу
Re не удается; обычно при проведении испытаний пользуются более слабым требованием: числа Рейнольдса сооружения
Re и его модели

должны находиться в одной и той же области автомодельного режима обтекания.
С практической точки зрения основной особенностью зоны автомодельности является то, что в ней аэродинамические коэффициенты слабо зависят от числа Рейнольдса. Это обстоятельство позволяет с достаточной степенью надежности использовать результаты модельных испытаний при назначении ветровых нагрузок, действующих на реальные сооружения.
Границы области автомодельности зависят от степени шероховатости

поверхности модели, ее относительных размеров и свойств набегающего потока.
Для сооружений с острыми кромками (поперечное сечение которых имеет угловые точки) нижняя граница зоны автомодельности

и при аэродинамических испытаниях их моделей можно считать, что условие автомодельности всегда выполняется.
Для сооружений с гладкой формой поперечного сечения нижняя граница зоны автомодельности, соответствующей его закризисному обтеканию, и числа Рейнольдса

, реализованные при его модельных испытаниях, часто имеют близкие значения порядка 10
5 - 10
6.
Выполнение условия автомодельности обтекания модели при проведении каждого эксперимента должно устанавливаться непосредственно на основе анализа полученных результатов.
Примечание - Выполнение условий геометрического подобия модели (с учетом степени шероховатости ее поверхности) и автомодельности ее обтекания в аэродинамической трубе обеспечивает выполнение критерия подобия по числу Струхаля при проведении экспериментальных исследований.
И.4 Для моделирования структуры погранслоя атмосферы при проведении модельных испытаний рекомендуется использовать аэродинамические трубы метеорологического или геофизического типа, длина рабочей части которых превышает шесть высот их поперечного сечения и имеющих прямоугольную форму.
Учитывая, что, образование приземного слоя атмосферы при сильных ветрах и в трубах с длинной рабочей частью происходит единообразно, за счет взаимодействия потоков с соответствующими подстилающими поверхностями, в обоих этих случаях их структура - профиль средней составляющей скорости и энергетические спектры пульсационной составляющей - оказываются подобными.
Основным параметром, характеризующим свойства реальных ветровых режимов и потоков, реализуемых в аэродинамических трубах с длинной рабочей частью, является параметр шероховатости z0 подстилающей поверхности.
За счет использования различных элементов шероховатости (турбулизаторов) и различных способов их размещения на полу аэродинамической трубы значение

при испытаниях может изменяться в достаточно широких пределах. Кроме того,

изменяется вдоль рабочей части трубы. Эти два обстоятельства позволяют выбрать условия испытаний, соответствующие реальным условиям.
Для использования результатов модельных испытаний в трубах с длинной рабочей частью вполне достаточно знать параметр шероховатости

; детальное описание энергетического спектра скорости потока при этом необязательно в силу его подобия спектру продольной составляющей скорости ветра.
Примечание - Иногда при испытаниях в трубах с короткой рабочей частью для турбулизации потока на выходе из сопла устанавливаются турбулизирующие решетки. Поскольку турбулентная структура подобных потоков существенно отличается от структуры погранслоя атмосферы, то для практического использования результаты, полученные при экспериментах с "решетчатой" турбулентностью, нуждаются в дополнительных обоснованиях.
И.5 Энергетические спектры скорости потока или давления, определяемые по результатам модельных испытаний в аэродинамических трубах, могут быть использованы на практике только для частот
f1
f
f2; здесь
f1 и
f2 являются соответственно нижней и верхней границами достоверного частотного диапазона и зависят от длины

записи пульсаций давлений при эксперименте и интервала выборки (квантования)

данных при статистической обработке этих записей. На практике допускается принять

, (И.6а)

, (И.6б)
где Ml и Mv определены в И.1 и И.3 соответственно.
Приложение К
Нормативные значения веса снегового покрова
для городов Российской Федерации
Таблица К.1
Нормативные значения веса снегового покрова
N | Город, населенный пункт | Sg, кН/м2 |
Республика Адыгея (Адыгея) |
1 | Майкоп | 0,90 |
Алтайский край. Республика Алтай |
1 | Барнаул | 1,55 |
2 | Бийск | 2,15 |
3 | Горно-Алтайск | 1,90 |
4 | Рубцовск | 1,00 |
Амурская область |
1 | Благовещенск | 0,50 |
Архангельская область |
1 | Архангельск | 1,80 |
2 | Северодвинск | 2,25 |
Астраханская область |
1 | Астрахань | 0,40 |
Республика Башкортостан |
1 | Нефтекамск | 2,05 |
2 | Октябрьский | 1,85 |
3 | Салават | 2,45 |
4 | Стерлитамак | 2,20 |
5 | Уфа | 2,45 |
Белгородская область |
1 | Белгород | 1,55 |
2 | Старый Оскол | 1,55 |
Брянская область |
1 | Брянск | 1,60 |
Республика Бурятия |
1 | Улан-Уде | 0,45 |
Владимирская область |
1 | Владимир | 1,85 |
2 | Ковров | 1,60 |
3 | Муром | 1,55 |
Волгоградская область |
1 | Волгоград | 1,00 |
2 | Волжский | 1,00 |
3 | Камышин | 1,15 |
Вологодская область |
1 | Вологда | 1,65 |
2 | Череповец | 1,85 |
Воронежская область |
1 | Воронеж | 1,55 |
Республика Дагестан |
1 | Каспийск | 0,60 |
2 | Махачкала | 0,60 |
3 | Хасавьюрт | 0,65 |
Еврейская автономная область |
1 | Биробиджан | 0,95 |
Забайкальский край |
1 | Чита | 0,40 |
Ивановская область |
1 | Иваново | 1,70 |
2 | Кинешма | 1,90 |
Республика Ингушетия |
1 | Назрань | 0,65 |
Иркутская область |
1 | Ангарск | 1,05 |
2 | Братск | 1,25 |
3 | Иркутск | 1,05 |
4 | Усть-Илимск | 1,25 |
Кабардино-Балкарская Республика |
1 | Нальчик | 0,50 |
Калининградская область |
1 | Калининград | 0,80 |
Республика Калмыкия |
1 | Элиста | 0,70 |
Калужская область |
1 | Калуга | 1,90 |
Камчатский край |
1 | Петропавловск-Камчатский | 4,10 |
Карачаево-Черкесская Республика |
1 | Черкесск | 0,60 |
Республика Карелия |
1 | Петрозаводск | 1,70 |
Кемеровская область |
1 | Кемерово | 1,80 |
2 | Киселевск | 1,60 |
3 | Междуреченск | 3,50 |
4 | Новокузнецк | 1,80 |
5 | Прокопьевск | 1,60 |
Кировская область |
1 | Киров | 2,10 |
Республика Коми |
1 | Сыктывкар | 2,45 |
2 | Ухта | 2,15 |
Костромская область |
1 | Кострома | 1,80 |
Краснодарский край |
1 | Армавир | 0,85 |
2 | Краснодар | 1,10 |
3 | Кропоткин | 0,70 |
Красноярский край |
1 | Ачинск | 1,25 |
2 | Канск | 1,10 |
3 | Красноярск | 1,35 |
4 | Норильск | 2,40 |
Республика Крым |
1 | Евпатория | 0,45 |
2 | Ялта | 0,50 |
Курганская область |
1 | Курган | 1,30 |
Курская область |
1 | Железногорск | 1,40 |
2 | Курск | 1,25 |
Ленинградская область |
1 | Выборг | 1,80 |
2 | Гатчина | 1,40 |
3 | Пушкин | 1,30 |
4 | Санкт-Петербург | 1,30 |
Липецкая область |
1 | Елец | 1,35 |
2 | Липецк | 1,50 |
Магаданская область |
1 | Магадан | 1,35 |
Республика Марий Эл |
1 | Йошкар-Ола | 1,80 |
Республика Мордовия |
1 | Саранск | 1,60 |
Московская область |
1 | Дмитров | 1,45 |
2 | Клин | 1,85 |
3 | Коломна | 1,45 |
4 | Москва | 1,45 |
5 | Сергиев Посад | 1,60 |
6 | Серпухов | 1,50 |
Мурманская область |
1 | Мурманск | 3,20 |
Нижегородская область |
1 | Арзамас | 1,60 |
2 | Нижний Новгород | 2,10 |
3 | Саров | 1,65 |
Новгородская область |
1 | Великий Новгород | 1,55 |
Новосибирская область |
1 | Бердск | 1,60 |
2 | Новосибирск | 1,60 |
Омская область |
1 | Омск | 1,35 |
Оренбургская область |
1 | Бузулук | 1,30 |
2 | Оренбург | 1,25 |
3 | Орск | 1,20 |
Орловская область |
1 | Орел | 1,40 |
Пензенская область |
1 | Кузнецк | 1,80 |
2 | Пенза | 1,45 |
Пермский край |
1 | Березники | 2,45 |
2 | Пермь | 1,95 |
3 | Соликамск | 2,60 |
4 | Чайковский | 1,85 |
Приморский край |
1 | Уссурийск | 0,70 |
Псковская область |
1 | Великие Луки | 1,10 |
2 | Псков | 1,30 |
Ростовская область |
1 | Волгодонск | 0,85 |
2 | Новочеркасск | 0,85 |
3 | Новошахтинск | 0,80 |
4 | Ростов-на-Дону | 0,85 |
5 | Таганрог | 0,85 |
6 | Шахты | 0,80 |
Рязанская область |
1 | Рязань | 1,55 |
Самарская область |
1 | Новокуйбышевск | 1,60 |
2 | Самара | 1,60 |
3 | Сызрань | 1,55 |
4 | Тольятти | 1,65 |
Саратовская область |
1 | Саратов | 1,40 |
2 | Энгельс | 1,40 |
Республика Саха (Якутия) |
1 | Якутск | 0,70 |
Сахалинская область |
1 | Южно-Сахалинск | 3,85 |
Свердловская область |
1 | Екатеринбург | 1,35 |
2 | Каменск-Уральский | 1,25 |
3 | Нижний Тагил | 1,50 |
4 | Первоуральск | 1,40 |
5 | Серов | 1,55 |
Республика Северная Осетия - Алания |
1 | Владикавказ | 0,65 |
Смоленская область |
1 | Смоленск | 1,60 |
Ставропольский край |
1 | Ессентуки | 0,65 |
2 | Кисловодск | 0,65 |
3 | Невинномысск | 0,75 |
4 | Пятигорск | 0,45 |
5 | Ставрополь | 0,95 |
Тамбовская область |
1 | Мичуринск | 1,50 |
2 | Тамбов | 1,40 |
Республика Татарстан (Татарстан) |
1 | Альметьевск | 1,85 |
2 | Бугульма | 2,55 |
3 | Казань | 2,30 |
4 | Набережные Челны | 2,25 |
5 | Нижнекамск | 2,10 |
Тверская область |
1 | Тверь | 1,60 |
Томская область |
1 | Северск | 2,15 |
2 | Томск | 2,15 |
Республика Тыва |
1 | Кызыл | 0,50 |
Тульская область |
1 | Новомосковск | 1,45 |
2 | Тула | 1,50 |
Тюменская область |
1 | Тобольск | 1,55 |
2 | Тюмень | 1,60 |
Ханты-Мансийский автономный округ - Югра |
3 | Нефтеюганск | 1,80 |
4 | Нижневартовск | 2,30 |
5 | Сургут | 1,80 |
6 | Ханты-Мансийск | 1,95 |
Ямало-Ненецкий автономный округ |
7 | Новый Уренгой | 2,55 |
Удмуртская Республика |
1 | Воткинск | 2,35 |
2 | Глазов | 1,70 |
3 | Ижевск | 2,15 |
4 | Сарапул | 1,80 |
Ульяновская область |
1 | Ульяновск | 1,40 |
2 | Димитровград | 2,05 |
Хабаровский край |
1 | Комсомольск-на-Амуре | 1,25 |
2 | Хабаровск | 1,10 |
Челябинская область |
1 | Златоуст | 1,85 |
2 | Копейск | 1,20 |
3 | Магнитогорск | 1,30 |
4 | Миасс | 1,10 |
5 | Челябинск | 1,20 |
Чеченская Республика |
1 | Грозный | 0,45 |
Чувашская Республика - Чувашия |
1 | Новочебоксарск | 1,95 |
2 | Чебоксары | 1,95 |
Ярославская область |
1 | Рыбинск | 2,00 |
2 | Ярославль | 1,80 |
".