Главная // Актуальные документы // ПостановлениеСПРАВКА
Источник публикации
ИУС "Государственные стандарты", N 5, 1983
Примечание к документу
Документ
введен в действие с 1 июля 1984 года.
Название документа
"Изменение N 1 ГОСТ 22495-77 "Машины кругловязальные большого диаметра. Типоразмеры"
(введено Постановлением Госстандарта СССР от 24.01.1983 N 357)
"Изменение N 1 ГОСТ 22495-77 "Машины кругловязальные большого диаметра. Типоразмеры"
(введено Постановлением Госстандарта СССР от 24.01.1983 N 357)
Введено
Постановлением Государственного
комитета СССР по стандартам
от 24 января 1983 г. N 357
ИЗМЕНЕНИЕ N 1 ГОСТ 22495-77
"МАШИНЫ КРУГЛОВЯЗАЛЬНЫЕ БОЛЬШОГО ДИАМЕТРА. ТИПОРАЗМЕРЫ"
Постановлением Государственного комитета СССР по стандартам от 24.01.83 N 357 срок введения установлен
с 1 июля 1984 года
Circular knitting machines. Basic parameters".
Пункт 1 изложить в новой редакции: "1. Настоящий стандарт полностью соответствует СТ СЭВ 3554-82".
Пункт 3 изложить в новой редакции: "3. Номинальные диаметры игольных цилиндров машин должны выбираться из ряда: 57; 64; 70; 76; 83; 89; 96; 102; 108; 115; 121; 127; 133; 139; 146; 152; 165; 177; 190; 200; 250; 300; 350; 400; 450; 500; 550; 600; 650; 700; 750; 850; 900; 1000 мм".
Пункты 5,
6 изложить в новой редакции: "5. Ряд классов машин и соответствующие им теоретические шаги игл - по
ГОСТ 25042-81.
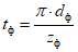
6. Фактический шаг игл на игольном цилиндре определяют по формуле

,
где tф - фактический шаг игл;
dф - фактический диаметр игольного цилиндра;
zф - число игл, расположенных по фактическому диаметру игольного цилиндра, взятое с учетом кратности, указанной в таблице.
Число игл, полученное при расчете по теоретическому шагу | Кратность |
До 199 | 4 |
От 200 " 499 | 12 |
" 500 " 999 | 24 |
1000 и более | 48 |
Примечания:
1. Для кругловязальных машин с номинальным диаметром игольного цилиндра менее 200 мм и теоретическим шагом менее 0,977 мм допускается отклонение числа игл +/- 1.
2. Для кругловязальных машин с жаккардовым механизмом и номинальным диаметром игольного цилиндра 200 мм и более допускаются кратности, не указанные в таблице.
3. Термины и определения понятий, применяемых в стандарте, - по
ГОСТ 25155-82".