, где
- функция распределения вероятностей, с которой проверяют согласие наблюдаемой выборки, а
, где
, где
(1)
, где g(s|H0) - условная плотность, а
, то с ней связывают условное распределение G(S|H1) и вероятность ошибки 2-го рода
, (2)
. (3)
(4)
- теоретическая функция распределения; n - объем выборки, - было получено Колмогоровым в [2]. При
- функция закона распределения, согласие с которым проверяют. Распределение величины SK при простой гипотезе в пределе подчиняется закону Колмогорова с функцией распределения K(S).
,
(10)
(11)
.
(13)
, (14)
.
для критерия
(18)
для критерия
и
.
и найдена оценка его параметра
исследователю неизвестно распределение G(S|H0) статистики соответствующего критерия согласия?
смоделировать N выборок того же объема n, что и выборка, для которой необходимо проверить гипотезу
. Далее для каждой из N выборок вычислить оценки тех же параметров закона, а затем значение статистики S соответствующего критерия согласия. В результате будет получена выборка значений статистики S1, S2, ..., SN с законом распределения G(Sn|H0) для проверяемой гипотезы H0. По этой выборке при достаточно большом N можно построить достаточно гладкую эмпирическую функцию распределения GN(Sn|H0), которой можно непосредственно воспользоваться для вывода о том, следует ли принимать гипотезу H0. При необходимости, можно по GN(Sn|H0) построить приближенную аналитическую модель, аппроксимирующую GN(Sn|H0), и тогда уже, опираясь на эту модель, принимать решение относительно проверяемой гипотезы.
, соответствующего истинной гипотезе H0;
], функция распределения статистики G(S|H1) также зависит от всех перечисленных факторов. Но в отличие от G(S|H0) распределение статистики G(S|H1) при справедливой гипотезе H1 очень сильно зависит от объема выборки n. Именно благодаря этому с ростом n повышается способность критериев различать гипотезы и возрастает мощность критериев.


и параметрами
. О близости этих законов распределения можно судить по рисунку 4, на котором представлены их функции распределения. Рисунок 5 иллюстрирует зависимость от n распределений G(Sn|H1) статистики SK Колмогорова при проверке простой (n = 20, 100, 500, 1000), а рисунок 6 - при проверке сложной гипотезы H0 (при использовании ОМП).




. (22)
. На рисунке 10 приведены эмпирические распределения G(Sn|H0) статистики Колмогорова SK, когда при проверке сложной гипотезы два параметра закона, соответствующего гипотезе H0, оценивали с использованием метода максимального правдоподобия. При этом на рисунке показаны распределения статистики G(Sn|H0), когда гипотеза H0 соответствует законам: нормальному, логистическому, Лапласа с плотностью
, распределению наименьшего значения с плотностью
, распределению Коши с плотностью
.
, соответствующего проверяемой гипотезе H0, проявляется менее значительно. На рисунке 11 показаны распределения G(Sn|H0) той же статистики SK при проверке тех же гипотез, но с использованием MD-оценок параметров, полученных минимизацией по параметрам статистики SK.


, распределения Вейбулла с плотностью
и хорошо аппроксимируются логарифмически нормальным законом с плотностью
и параметрами
;
.

, полунормальным
, Рэлея
, Максвелла
, модуля m-мерного (m = 5) нормального вектора
при оценивании масштабного параметра соответствующего закона с использованием MD-оценок
;
.
, соответствующего гипотезе H0, в существенно меньшей степени.




; 2 - при
; 3 - при
; 4 - при
; 5 - при
. Для сравнения приведена функция распределения Колмогорова K(S).


, соответствующего гипотезе H0, числа и вида оцениваемых параметров (иногда конкретного значения параметра), но и от используемого метода оценивания параметров. Ни в коем случае нельзя, оценивая параметры одним методом, использовать (предельный) закон распределения статистики, построенный для другого метода оценивания.
, соответствующего гипотезе H0. Однако наиболее мощными эти критерии оказываются при использовании ОМП.
где G(S|H0) - распределение статистики критерия при справедливости гипотезы H0. Если
, где
. Гипотезу о согласии отвергают, если значение статистики попадает в критическую область, т.е. при
.
вычисляют по функции распределения Колмогорова [формула (5)] или берут из таблицы А.1.
вычисляют по функции
(с двумя степенями свободы).
.
.
.
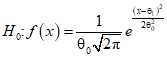
случайной величины, согласие которого с опытным распределением этой величины следует проверить. Перечень теоретических распределений, для которых возможна проверка сложных гипотез с использованием данных рекомендаций, приведен в 3.2.7.
, выбранного в соответствии с перечислением а) [оценки максимального правдоподобия на основании формул (21) - (23) или MD-оценки, минимизирующие статистику критерия на основании, соответственно, формул (24), (25) или (26)].
, оцененным параметром или параметрами, используемым методом оценивания определяют распределение статистики критерия G(S|H0) при справедливости гипотезы H0.
.
, где
. Гипотезу о согласии не отвергают, если
.
можно вычислять методом максимального правдоподобия на основании формул (21) - (23) или при минимизации статистики SK на основании формулы (24).
, оцененным параметром или параметрами выбирают из таблицы А.7. Критические значения критерия
(или
).
вычисляют методом максимального правдоподобия [формулы (21) - (23)].
, оцененным параметром или параметрами выбирают из таблицы А.11. Критические значения критерия
(или
).
может быть вычислена методом максимального правдоподобия на основании формул (21) - (23) или при минимизации статистики
в случае использования ОМП в соответствии с теоретическим распределением
, оцененным параметром или параметрами выбирают из таблицы А.13. Критические значения критерия ИС МЕГАНОРМ: примечание. В официальном тексте документа, видимо, допущена опечатка: формула (27) отсутствует. |
выбирают из таблицы А.15. Критические значения критерия
(или
).
может быть вычислена методом максимального правдоподобия на основании формул (21) - (23) или при минимизации статистики
в случае использования ОМП в соответствии с теоретическим распределением
, оцененным параметром или параметрами выбирают из таблицы А.17. Критические значения критерия ИС МЕГАНОРМ: примечание. В официальном тексте документа, видимо, допущена опечатка: формула (28) отсутствует. |
выбирают из таблицы А.19. Критические значения критерия
(или
).
или квантили
(или
).
или критические значения критерия
(или
).
в соответствии с оцененным параметром или параметрами выбирают из таблицы А.25. Критическое значение критерия
или критические значения критерия
(или
).
в соответствии с оцененным параметром или параметрами выбирают из таблицы А.27. Критическое значение критерия
или критические значения критерия
(или
).Распределение случайной величины | Функция плотности |
Экспоненциальное, x >= 0 | ![]() |
Полунормальное, x >= 0 | ![]() |
Рэлея, x >= 0 | ![]() |
Максвелла, x >= 0 | ![]() |
Лапласа, ![]() | ![]() |
Нормальное, ![]() | ![]() |
Логнормальное, ![]() | ![]() |
Коши, ![]() | ![]() |
Логистическое, ![]() | ![]() |
Наибольшего значения, ![]() | ![]() |
Наименьшего значения, ![]() | ![]() |
Вейбулла, ![]() | ![]() |
Гамма-распределение, ![]() | ![]() |
Sb-Джонсона, ![]() | ![]() |
Sl-Джонсона, ![]() | ![]() |
Su-Джонсона, ![]() | ![]() |
обозначено логарифмически нормальное распределение с функцией плотности
,
- гамма-распределение с функцией плотности
,
- распределение Sl-Джонсона с плотностью
,
- распределение Su-Джонсона с плотностью
.0,0041 | 0,0051 | 0,0058 | 0,0074 | 0,0082 |
0,0110 | 0,0160 | 0,0191 | 0,0263 | 0,0279 |
0,0294 | 0,0323 | 0,0411 | 0,0452 | 0,0688 |
0,0741 | 0,0805 | 0,0809 | 0,1026 | 0,1124 |
0,1220 | 0,1226 | 0,1233 | 0,1317 | 0,1323 |
0,1368 | 0,1379 | 0,1475 | 0,1515 | 0,1598 |
0,1710 | 0,1789 | 0,2010 | 0,2014 | 0,2072 |
0,2102 | 0,2194 | 0,2205 | 0,2297 | 0,2300 |
0,2302 | 0,2373 | 0,2375 | 0,2397 | 0,2415 |
0,2492 | 0,2869 | 0,2908 | 0,2976 | 0,3058 |
0,3060 | 0,3073 | 0,3096 | 0,3278 | 0,3553 |
0,3620 | 0,3679 | 0,3833 | 0,3921 | 0,3985 |
0,4078 | 0,4080 | 0,4119 | 0,4169 | 0,4208 |
0,4568 | 0,4707 | 0,4880 | 0,4942 | 0,5214 |
0,5277 | 0,5878 | 0,6146 | 0,6180 | 0,6263 |
0,6415 | 0,6757 | 0,7156 | 0,7157 | 0,7207 |
0,7351 | 0,7485 | 0,7535 | 0,7541 | 0,7728 |
0,8875 | 0,9021 | 0,9581 | 0,9868 | 1,0440 |
1,2226 | 1,2402 | 1,2641 | 1,3034 | 1,3328 |
1,3553 | 1,4006 | 1,5586 | 1,6296 | 2,5018 |
при значении параметра
.
. При этом значении статистики вычисляют вероятность
.
. При этом значении статистики вычисляют вероятность
.
. При этом значении статистики вычисляют вероятность
.ИС МЕГАНОРМ: примечание. Здесь и далее в официальном тексте документа, видимо, допущена опечатка: имеется в виду формула (19), а не (16). |
. При таком значении статистики вычисляют вероятность
.
(для критерия Смирнова) нет оснований для отклонения проверяемой гипотезы по всем критериям согласия.
. Вычисленная по выборке оценка максимального правдоподобия параметра
.
. Из таблицы А.7 находят, что распределение статистики критерия хорошо аппроксимируется логарифмически нормальным распределением
с параметрами
;
. При найденном значении статистики по логарифмически нормальному закону вычисляют вероятность
.
. Из таблицы А.11 видно, что распределение статистики критерия аппроксимируется логарифмически нормальным распределением с параметрами
;
. При найденном значении статистики вычисляют вероятность
.
. Из таблицы А.13 видно, что распределение статистики критерия аппроксимируется распределением Su-Джонсона с плотностью
;
;
;
. При найденном значении статистики по распределению Su-Джонсона вычисляют вероятность
.
. Из таблицы А.17 находят, что распределение статистики критерия аппроксимируется распределением Su-Джонсона с параметрами
;
;
;
. При найденном значении статистики по распределению Su-Джонсона вычисляют вероятность
.-0,6679 | -0,4652 | 0,0056 | 0,0078 | 0,0167 |
0,0362 | 0,1189 | 0,1556 | 0,1831 | 0,2037 |
0,2829 | 0,2852 | 0,3388 | 0,4264 | 0,4733 |
0,4999 | 0,5093 | 0,5181 | 0,5227 | 0,5281 |
0,5506 | 0,5679 | 0,5849 | 0,5872 | 0,6027 |
0,6052 | 0,6124 | 0,6342 | 0,6616 | 0,6669 |
0,6712 | 0,7245 | 0,7386 | 0,7567 | 0,7992 |
0,8045 | 0,8083 | 0,8151 | 0,8216 | 0,8422 |
0,8472 | 0,8502 | 0,8678 | 0,8699 | 0,8902 |
0,8918 | 0,9037 | 0,9443 | 0,9529 | 0,9535 |
0,9548 | 0,9557 | 0,9632 | 0,9767 | 0,9956 |
0,9992 | 1,0233 | 1,0257 | 1,0574 | 1,0621 |
1,0658 | 1,0706 | 1,0724 | 1,1059 | 1,1172 |
1,1447 | 1,1500 | 1,1595 | 1,1836 | 1,1875 |
1,1887 | 1,2143 | 1,2360 | 1,2589 | 1,2754 |
1,2998 | 1,3192 | 1,3288 | 1,3587 | 1,3818 |
1,3998 | 1,4088 | 1,4314 | 1,4337 | 1,4822 |
1,4832 | 1,4958 | 1,4968 | 1,5213 | 1,5249 |
1,5896 | 1,6087 | 1,6425 | 1,6554 | 1,6687 |
1,8223 | 1,8569 | 1,8886 | 2,0460 | 2,2956 |
при значении параметра
;
. При этом значении статистики вычисляют вероятность
.
. При этом значении статистики вычисляют вероятность
.
. При этом значении статистики вычисляют вероятность
.
. Полученная при таком значении статистики вероятность равна 0,5126.
(для критерия Смирнова) нет оснований для отклонения проверяемой гипотезы по всем критериям согласия.
. Вычисленные по выборке оценки максимального правдоподобия параметров
;
.
. Из таблицы А.7 находят, что распределение статистики критерия при вычислении оценок максимального правдоподобия двух параметров нормального закона аппроксимируется гамма-распределением
с параметрами
;
;
. При найденном значении статистики по гамма-распределению вычисляют вероятность
.
. Из таблицы А.11 видно, что распределение статистики критерия при вычислении ОМП двух параметров нормального закона подчиняется логарифмически нормальному распределению с параметрами
;
. При найденном значении статистики вычисляют по логарифмически нормальному закону вероятность
.
. Из таблицы А.13 находят, что распределение статистики критерия при вычислении ОМП двух параметров нормального закона подчиняется логарифмически нормальному распределению с параметрами
;
. При найденном значении статистики вычисляют по логарифмически нормальному закону вероятность
.
. Из таблицы А.17 находят, что распределение статистики критерия подчиняется распределению Su-Джонсона с параметрами
;
;
;
. При найденном значении статистики по распределению Su-Джонсона вычисляют вероятность
.0,0999 | 0,1089 | 0,1134 | 0,1160 | 0,1242 |
0,1332 | 0,1356 | 0,1442 | 0,1575 | 0,1819 |
0,1853 | 0,1922 | 0,2071 | 0,2141 | 0,2184 |
0,2244 | 0,2475 | 0,2485 | 0,2551 | 0,2572 |
0,2634 | 0,2642 | 0,2647 | 0,2659 | 0,2668 |
0,2726 | 0,2768 | 0,2796 | 0,2824 | 0,2844 |
0,2858 | 0,2897 | 0,2918 | 0,2957 | 0,3090 |
0,3151 | 0,3151 | 0,3152 | 0,3181 | 0,3187 |
0,3208 | 0,3241 | 0,3305 | 0,3380 | 0,3396 |
0,3398 | 0,3405 | 0,3417 | 0,3441 | 0,3533 |
0,3547 | 0,3548 | 0,3663 | 0,3671 | 0,3734 |
0,3781 | 0,3870 | 0,3918 | 0,3940 | 0,3980 |
0,3988 | 0,4032 | 0,4070 | 0,4110 | 0,4219 |
0,4234 | 0,4236 | 0,4257 | 0,4282 | 0,4305 |
0,4320 | 0,4535 | 0,4599 | 0,4611 | 0,4632 |
0,4739 | 0,4821 | 0,4862 | 0,4885 | 0,4899 |
0,5089 | 0,5106 | 0,5285 | 0,5338 | 0,5361 |
0,5374 | 0,5399 | 0,5505 | 0,5537 | 0,5685 |
0,5716 | 0,5717 | 0,5730 | 0,5821 | 0,5834 |
0,5999 | 0,6010 | 0,6054 | 0,6097 | 0,6120 |
0,6142 | 0,6151 | 0,6252 | 0,6259 | 0,6315 |
0,6354 | 0,6377 | 0,6423 | 0,6520 | 0,6553 |
0,6758 | 0,6853 | 0,6862 | 0,6943 | 0,6987 |
0,7095 | 0,7114 | 0,7140 | 0,7157 | 0,7355 |
0,7479 | 0,7624 | 0,7738 | 0,7748 | 0,7820 |
0,7849 | 0,7915 | 0,8013 | 0,8099 | 0,8111 |
0,8184 | 0,8234 | 0,8250 | 0,8260 | 0,8284 |
0,8295 | 0,8473 | 0,8478 | 0,8480 | 0,8493 |
0,8620 | 0,8706 | 0,8713 | 0,8834 | 0,8846 |
0,9073 | 0,9076 | 0,9128 | 0,9272 | 0,9500 |
0,9589 | 0,9608 | 0,9890 | 0,9922 | 1,0176 |
1,0184 | 1,0287 | 1,0368 | 1,0533 | 1,0538 |
1,1193 | 1,1245 | 1,1245 | 1,1346 | 1,1399 |
1,1485 | 1,1574 | 1,1591 | 1,1669 | 1,1701 |
1,2342 | 1,2618 | 1,2679 | 1,3034 | 1,3503 |
1,4257 | 1,4258 | 1,4501 | 1,4617 | 1,4632 |
1,4785 | 1,5091 | 1,5188 | 1,5752 | 1,6154 |
1,6333 | 1,6355 | 1,7139 | 1,7503 | 1,7684 |
1,9291 | 2,0316 | 2,0937 | 2,0948 | 2,3901 |
2,5209 | 2,8097 | 3,0380 | 3,0530 | 6,1251 |
. Вычисленные по выборке оценки максимального правдоподобия параметров
;
.
. Из таблицы А.7 находят, что распределение статистики критерия при вычислении оценок максимального правдоподобия двух параметров распределения Вейбулла аппроксимируется гамма-распределением с параметрами
;
;
. При найденном значении статистики в соответствии с гамма-распределением вычисляют вероятность
. Следовательно, при задании уровня значимости
проверяемая гипотеза должна быть отклонена.
. Из таблицы А.11 находят, что распределение статистики критерия при вычислении ОМП двух параметров распределения Вейбулла подчиняется логарифмически нормальному распределению с параметрами
;
. При найденном значении статистики вычисляют в соответствии с логарифмически нормальным законом вероятность
.
. Из таблицы А.13 находят, что распределение статистики критерия при вычислении ОМП двух параметров распределения Вейбулла подчиняется логарифмически нормальному распределению с параметрами
;
. При найденном значении статистики вычисляют в соответствии с логарифмически нормальным законом вероятность
.
. Из таблицы А.17 находят, что при вычислении ОМП двух параметров распределения Вейбулла распределение статистики критерия хорошо аппроксимируется распределением Su-Джонсона с параметрами
;
;
;
. При найденном значении статистики вычисляют по распределению Su-Джонсона вероятность
.0,1006 | 0,2156 | 0,2311 | 0,2925 | 0,3410 |
0,3512 | 0,4028 | 0,5132 | 0,5340 | 0,5409 |
0,6100 | 0,6187 | 0,6204 | 0,6324 | 0,6559 |
0,6743 | 0,7131 | 0,7394 | 0,7779 | 0,7911 |
0,7919 | 0,8068 | 0,8117 | 0,8839 | 0,8996 |
0,9040 | 0,9167 | 0,9210 | 0,9441 | 0,9487 |
1,0274 | 1,0285 | 1,0316 | 1,1102 | 1,1249 |
1,1302 | 1,1497 | 1,2345 | 1,2530 | 1,2903 |
1,3136 | 1,3303 | 1,3360 | 1,3405 | 1,3804 |
1,4050 | 1,4117 | 1,4331 | 1,4617 | 1,4991 |
1,5852 | 1,6111 | 1,6175 | 1,6299 | 1,6798 |
1,7159 | 1,7287 | 1,7756 | 1,8505 | 1,8872 |
1,8928 | 1,9605 | 2,0299 | 2,1560 | 2,2548 |
2,2769 | 2,2901 | 2,3020 | 2,4111 | 2,4679 |
2,5302 | 2,5342 | 2,6717 | 2,6789 | 2,6797 |
2,8988 | 2,9230 | 2,9414 | 2,9558 | 3,0030 |
3,0531 | 3,1134 | 3,2002 | 3,2757 | 3,3716 |
3,4342 | 3,4632 | 3,5365 | 3,5753 | 3,7399 |
3,9758 | 4,1776 | 4,3462 | 4,3627 | 4,5000 |
4,5506 | 4,7544 | 4,7859 | 5,6662 | 8,2201 |
.
.
. Из таблицы А.21 находят, что распределение статистики критерия при вычислении ОМП масштабного параметра гамма-распределения подчиняется распределению Su-Джонсона с параметрами
;
;
;
. При найденном значении статистики по распределению Su-Джонсона вычисляют вероятность
. Следовательно, согласие очень хорошее и проверяемая гипотеза должна быть принята.
. Из таблицы А.23 находят, что распределение статистики критерия при вычислении ОМП параметра масштаба гамма-распределения подчиняется распределению Su-Джонсона с параметрами
;
;
;
. При найденном значении статистики по распределению Su-Джонсона вычисляют вероятность
, значение которой указывает на хорошее согласие.
. Из таблицы А.25 находят, что распределение статистики критерия при вычислении ОМП параметра масштаба гамма-распределения подчиняется распределению Su-Джонсона с параметрами
;
;
;
. При найденном значении статистики по распределению Su-Джонсона вычисляют вероятность
.
. Из таблицы А.27 находят, что распределение статистики критерия при вычислении ОМП параметра масштаба гамма-распределения подчиняется распределению Su-Джонсона с параметрами
;
;
;
. При найденном значении статистики по данному распределению Su-Джонсона вычисляют вероятность
.0,0002 | 0,0004 | 0,0009 | 0,0019 | 0,0020 |
0,0025 | 0,0028 | 0,0030 | 0,0031 | 0,0040 |
0,0044 | 0,0054 | 0,0057 | 0,0068 | 0,0076 |
0,0081 | 0,0084 | 0,0090 | 0,0101 | 0,0119 |
0,0130 | 0,0162 | 0,0190 | 0,0201 | 0,0206 |
0,0237 | 0,0293 | 0,0312 | 0,0427 | 0,0431 |
0,0441 | 0,0452 | 0,0481 | 0,0492 | 0,0498 |
0,0517 | 0,0517 | 0,0552 | 0,0558 | 0,0638 |
0,0671 | 0,0714 | 0,0806 | 0,0815 | 0,0965 |
0,0987 | 0,1005 | 0,1055 | 0,1255 | 0,1307 |
0,1312 | 0,1324 | 0,1353 | 0,1411 | 0,1446 |
0,1524 | 0,1594 | 0,1678 | 0,1754 | 0,1767 |
0,1799 | 0,1838 | 0,1994 | 0,2116 | 0,2159 |
0,2162 | 0,2238 | 0,2242 | 0,2329 | 0,2545 |
0,2782 | 0,2900 | 0,2929 | 0,2967 | 0,3006 |
0,3084 | 0,3200 | 0,3262 | 0,3286 | 0,3473 |
0,3488 | 0,3608 | 0,3905 | 0,3961 | 0,4132 |
0,4294 | 0,4385 | 0,4557 | 0,4629 | 0,4699 |
0,5041 | 0,5096 | 0,6121 | 0,6146 | 0,6415 |
0,7359 | 0,9762 | 1,1460 | 1,1494 | 1,6170 |
.
;
. В таблицах А.21 - А.28 ближайшее значение параметра формы
.
. Из таблицы А.21 находят, что распределение статистики критерия при вычислении ОМП параметров формы и масштаба гамма-распределения при
подчиняется распределению Su-Джонсона с параметрами
;
;
;
. При найденном значении статистики по данному распределению Su-Джонсона вычисляют вероятность
. Так как оценка параметра формы больше 0,5, то при
. Следовательно, проверяемая гипотеза должна быть принята.
. Из таблицы А.23 находят, что распределение статистики критерия при вычислении ОМП параметров формы и масштаба гамма-распределения при
подчиняется распределению Su-Джонсона с параметрами
;
;
;
. При найденном значении статистики по данному распределению Su-Джонсона вычисляют, что вероятность
.
. Из таблицы А.25 находят, что распределение статистики критерия при вычислении ОМП параметров формы и масштаба гамма-распределения при
подчиняется распределению Su-Джонсона с параметрами
;
;
;
. При найденном значении статистики по данному распределению Su-Джонсона вычисляют, что вероятность
.
. Из таблицы А.27 находят, что распределение статистики критерия при вычислении ОМП параметров формы и масштаба гамма-распределения при
подчиняется распределению Su-Джонсона с параметрами
;
;
;
. При найденном значении статистики по данному распределению Su-Джонсона вычисляют, что вероятность
.S | 0 | 1 | 2 | 3 | 4 | 5 | 6 | 7 | 8 | 9 |
0,2 | 0,000000 | 000000 | 000000 | 000000 | 000000 | 000000 | 000000 | 000000 | 000001 | 000004 |
0,3 | 0,000009 | 000021 | 000046 | 000091 | 000171 | 000303 | 000511 | 000826 | 001285 | 001929 |
0,4 | 0,002808 | 003972 | 005476 | 007377 | 009730 | 012589 | 016005 | 020022 | 024682 | 030017 |
0,5 | 0,036055 | 042814 | 050306 | 058534 | 067497 | 077183 | 087577 | 098656 | 110394 | 122760 |
0,6 | 0,135718 | 149229 | 163255 | 177752 | 192677 | 207987 | 223637 | 239582 | 255780 | 272188 |
0,7 | 0,288765 | 305471 | 322265 | 339114 | 355981 | 372833 | 389640 | 406372 | 423002 | 439505 |
0,8 | 0,455858 | 472039 | 488028 | 503809 | 519365 | 534682 | 549745 | 564545 | 579071 | 593315 |
0,9 | 0,607269 | 620928 | 634285 | 647337 | 660081 | 672515 | 684836 | 696445 | 707941 | 719126 |
1,0 | 0,730000 | 740566 | 750825 | 760781 | 770436 | 779794 | 788860 | 797637 | 806130 | 814343 |
1,1 | 0,822282 | 829951 | 837356 | 844502 | 851395 | 858040 | 864443 | 870610 | 876546 | 882258 |
1,2 | 0,887750 | 893030 | 898102 | 903973 | 907648 | 912134 | 916435 | 920557 | 924506 | 928288 |
1,3 | 0,931908 | 935371 | 938682 | 941847 | 944871 | 947758 | 950514 | 953144 | 955651 | 958041 |
1,4 | 0,960318 | 962487 | 964551 | 966515 | 968383 | 970159 | 971846 | 973448 | 974969 | 976413 |
1,5 | 0,977782 | 979080 | 980310 | 981475 | 982579 | 983623 | 984610 | 985544 | 986427 | 987261 |
1,6 | 0,988048 | 988791 | 989492 | 990154 | 990777 | 991364 | 991917 | 992438 | 992928 | 993389 |
1,7 | 0,993823 | 994230 | 994612 | 994972 | 995309 | 995625 | 995922 | 996200 | 996460 | 996704 |
1,8 | 0,996932 | 997146 | 997346 | 997533 | 997707 | 997870 | 998023 | 998165 | 998297 | 998421 |
1,9 | 0,998536 | 998644 | 998744 | 998837 | 998924 | 999004 | 999079 | 999149 | 999213 | 999273 |
2,0 | 0,999329 | 999381 | 999429 | 999473 | 999514 | 999553 | 999588 | 999620 | 999651 | 999679 |
2,1 | 0,999705 | 999728 | 999750 | 999771 | 999790 | 999807 | 999823 | 999837 | 999851 | 999863 |
2,2 | 0,999874 | 999886 | 999895 | 999904 | 999912 | 999920 | 999927 | 999933 | 999939 | 999944 |
2,3 | 0,999949 | 999954 | 999958 | 999961 | 999965 | 999968 | 999971 | 999974 | 999976 | 999978 |
2,4 | 0,999980 | 999982 | 999984 | 999985 | 999987 | 999988 | 999989 | 999990 | 999991 | 999992 |
Функция распределения | Верхние процентные точки | ||||
0,15 | 0,1 | 0,05 | 0,025 | 0,01 | |
K(S) | 1,1379 | 1,2238 | 1,3581 | 1,4802 | 1,6276 |
S | 0 | 1 | 2 | 3 | 4 | 5 | 6 | 7 | 8 | 9 |
0,0 | 0,00000 | 00001 | 00300 | 02568 | 06685 | 12372 | 18602 | 24844 | 30815 | 36386 |
0,1 | 0,41513 | 46196 | 50457 | 54329 | 57846 | 61042 | 63951 | 66600 | 69019 | 71229 |
0,2 | 0,73253 | 75109 | 76814 | 78383 | 79829 | 81163 | 82396 | 83536 | 84593 | 85573 |
0,3 | 0,86483 | 87329 | 88115 | 88848 | 89531 | 90167 | 90762 | 91317 | 91836 | 92321 |
0,4 | 0,92775 | 93201 | 93599 | 93972 | 94323 | 94651 | 94960 | 95249 | 95521 | 95777 |
0,5 | 0,96017 | 96242 | 96455 | 96655 | 96843 | 97020 | 97186 | 97343 | 97491 | 97630 |
0,6 | 0,97762 | 97886 | 98002 | 98112 | 98216 | 98314 | 98406 | 98493 | 98575 | 98653 |
0,7 | 0,98726 | 98795 | 98861 | 98922 | 98981 | 99036 | 99088 | 99137 | 99183 | 99227 |
0,8 | 0,99268 | 99308 | 99345 | 99380 | 99413 | 99444 | 99474 | 99502 | 99528 | 99553 |
0,9 | 0,99577 | 99599 | 99621 | 99641 | 99660 | 99678 | 99695 | 99711 | 99726 | 99740 |
1,0 | 0,99754 | 99764 | 99776 | 99787 | 99799 | 99812 | 99820 | 99828 | 99837 | 99847 |
1,1 | 0,99856 | 99862 | 99869 | 99876 | 99883 | 99890 | 99895 | 99900 | 99905 | 99910 |
1,2 | 0,99916 | 99919 | 99923 | 99927 | 99931 | 99935 | 99938 | 99941 | 99944 | 99947 |
1,3 | 0,99950 | 99953 | 99955 | 99957 | 99959 | 99962 | 99964 | 99965 | 99967 | 99969 |
1,4 | 0,99971 | 99972 | 99973 | 99975 | 99976 | 99978 | 99978 | 99979 | 99980 | 99980 |
Функция распределения | Верхние процентные точки | ||||
0,15 | 0,1 | 0,05 | 0,025 | 0,01 | |
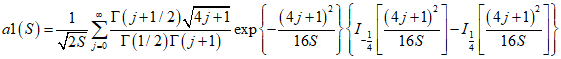
a1 (S) | 0,2841 | 0,3473 | 0,4614 | 0,5806 | 0,7434 |
S | 0 | 1 | 2 | 3 | 4 | 5 | 6 | 7 | 8 | 9 |
0,0 | 0,00000 | 00000 | 00000 | 00000 | 00000 | 00000 | 00000 | 00000 | 00000 | 00001 |
0,1 | 0,00003 | 00008 | 00020 | 00043 | 00081 | 00141 | 00228 | 00349 | 00508 | 00710 |
0,2 | 0,00959 | 01256 | 01605 | 02005 | 02457 | 02961 | 03514 | 04115 | 04762 | 05453 |
0,3 | 0,06184 | 06954 | 07759 | 08596 | 09463 | 10356 | 11273 | 12211 | 13168 | 14140 |
0,4 | 0,15127 | 16124 | 17132 | 18146 | 19166 | 20190 | 21217 | 22244 | 23271 | 24296 |
0,5 | 0,25319 | 26337 | 27351 | 28359 | 29360 | 30355 | 31342 | 32320 | 33290 | 34250 |
0,6 | 0,35200 | 36141 | 37071 | 37991 | 38900 | 39798 | 40684 | 41560 | 42424 | 43277 |
0,7 | 0,44118 | 44947 | 45765 | 46572 | 47367 | 48150 | 48922 | 49683 | 50432 | 51170 |
0,8 | 0,51897 | 52613 | 53318 | 54012 | 54695 | 55368 | 56030 | 56682 | 57324 | 57956 |
0,9 | 0,58577 | 59189 | 59791 | 60383 | 60966 | 61540 | 62104 | 62660 | 63206 | 63744 |
1,0 | 0,64273 | 64794 | 65306 | 65811 | 66307 | 66795 | 67275 | 67748 | 68213 | 68670 |
1,1 | 0,69120 | 69563 | 69999 | 70428 | 70851 | 71266 | 71675 | 72077 | 72473 | 72863 |
1,2 | 0,73247 | 73624 | 73996 | 74361 | 74721 | 75075 | 75424 | 75767 | 76105 | 76438 |
1,3 | 0,76765 | 77088 | 77405 | 77717 | 78025 | 78328 | 78626 | 78919 | 79209 | 79493 |
1,4 | 0,79773 | 80049 | 80321 | 80589 | 80852 | 81112 | 81368 | 81620 | 81868 | 82112 |
1,5 | 0,82352 | 82589 | 82823 | 83053 | 83279 | 83503 | 83723 | 83939 | 84153 | 84363 |
1,6 | 0,84570 | 84774 | 84975 | 85173 | 85369 | 85561 | 85751 | 85938 | 86122 | 86303 |
1,7 | 0,86482 | 86659 | 86832 | 87004 | 87173 | 87339 | 87503 | 87665 | 87824 | 87981 |
1,8 | 0,88136 | 88289 | 88439 | 88588 | 88734 | 88878 | 89021 | 89161 | 89299 | 89435 |
1,9 | 0,89570 | 89703 | 89833 | 89962 | 90089 | 90215 | 90338 | 90460 | 90581 | 90699 |
2,0 | 0,90816 | 90932 | 91046 | 91158 | 91269 | 91378 | 91486 | 91592 | 91697 | 91800 |
2,1 | 0,91902 | 92003 | 92102 | 92200 | 92297 | 92392 | 92486 | 92579 | 92671 | 92761 |
2,2 | 0,92851 | 92939 | 93025 | 93111 | 93196 | 93279 | 93361 | 93443 | 93523 | 93602 |
2,3 | 0,93680 | 93757 | 93833 | 93908 | 93983 | 94056 | 94128 | 94199 | 94269 | 94339 |
2,4 | 0,94407 | 94475 | 94542 | 94608 | 94673 | 94737 | 94800 | 94863 | 94925 | 94986 |
2,5 | 0,95046 | 95105 | 95164 | 95222 | 95279 | 95336 | 95391 | 95446 | 95501 | 95554 |
2,6 | 0,95607 | 95660 | 95711 | 95762 | 95813 | 95862 | 95912 | 95960 | 96008 | 96055 |
2,7 | 0,96102 | 96148 | 96194 | 96239 | 96283 | 96327 | 96370 | 96413 | 96455 | 96497 |
2,8 | 0,96538 | 96579 | 96619 | 96659 | 96698 | 96737 | 96775 | 96813 | 96850 | 96887 |
2,9 | 0,96923 | 96959 | 96995 | 97030 | 97064 | 97099 | 97132 | 97166 | 97199 | 97231 |
3,0 | 0,97263 | 97295 | 97327 | 97358 | 97388 | 97419 | 97449 | 97478 | 97507 | 97536 |
3,1 | 0,97565 | 97593 | 97621 | 97648 | 97675 | 97702 | 97729 | 97755 | 97781 | 97806 |
3,2 | 0,97831 | 97856 | 97881 | 97905 | 97929 | 97953 | 97977 | 98000 | 98023 | 98046 |
3,3 | 0,98068 | 98090 | 98112 | 98134 | 98155 | 98176 | 98197 | 98217 | 98238 | 98258 |
3,4 | 0,98278 | 98297 | 98317 | 98336 | 98355 | 98374 | 98392 | 98410 | 98429 | 98447 |
3,5 | 0,98464 | 98482 | 98499 | 98516 | 98533 | 98549 | 98566 | 98582 | 98598 | 98614 |
3,6 | 0,98630 | 98645 | 98660 | 98676 | 98691 | 98705 | 98720 | 98734 | 98749 | 98763 |
3,7 | 0,98777 | 98791 | 98804 | 98818 | 98831 | 98844 | 98857 | 98870 | 98883 | 98895 |
3,8 | 0,98908 | 98920 | 98932 | 98944 | 98956 | 98968 | 98979 | 98991 | 99002 | 99013 |
3,9 | 0,99024 | 99035 | 99046 | 99057 | 99067 | 99078 | 99088 | 99098 | 99108 | 99118 |
4,0 | 0,99128 | 99221 | 99303 | 99377 | 99442 | 99501 | 99553 | 99600 | 99642 | 99679 |
5,0 | 0,99713 | 99742 | 99769 | 99793 | 99814 | 99834 | 99851 | 99866 | 99880 | 99892 |
6,0 | 0,99903 | 99913 | 99922 | 99930 | 99937 | 99944 | 99949 | 99954 | 99959 | 99963 |
7,0 | 0,99967 | 99970 | 99973 | 99976 | 99978 | 99981 | 99983 | 99984 | 99986 | 99987 |
8,0 | 0,99989 | 99990 | 99991 | 99992 | 99993 | 99993 | 99994 | 99995 | 99995 | 99996 |
9,0 | 0,99996 | - | - | - | - | - | - | - | - | - |
Функция распределения | Верхние процентные точки | ||||
0,15 | 0,1 | 0,05 | 0,025 | 0,01 | |
a2 (S) | 1,6212 | 1,9330 | 2,4924 | 3,0775 | 3,8781 |
Распределение случайной величины | При оценивании | ||
только масштабного параметра | только параметра сдвига | двух параметров | |
Экспоненциальное | ln N(-0,3422; 0,2545) | - | - |
Полунормальное | - | - | |
Рэлея | ln N(-0,3388; 0,2621) | - | - |
Максвелла | ln N(-0,3461; 0,2579) | - | - |
Лапласа | ln N(-0,3690; 0,2499) | ln N(-0,4358; 0,2276) | |
Нормальное | ln N(-0,4138; 0,2289) | ln N(-0,4825; 0,2296) | |
Логнормальное | Su(-2,0328; 2,3642; 0,2622; 0,4072) | Su(-1,8093; 1,9041; 0,1861; 0,4174) | |
Коши | Su (-3,3278; 2,2529; 0,2185; 0,2858) | ln N(-0,5302; 0,2427) | |
Логистическое | Su(-2,8534; 3,0657; 0,2872; 0,3199) | ln N(-0,5611; 0,2082) | |
Наибольшего значения | |||
Наименьшего значения | |||
Вейбулла | |||
Распределение случайной величины | Оцениваемый параметр | Верхние процентные точки | ||||
0,15 | 0,1 | 0,05 | 0,025 | 0,01 | ||
Экспоненциальное | Масштабный | 0,9246 | 0,9841 | 1,0794 | 1,1695 | 1,2838 |
Полунормальное | Масштабный | 0,9857 | 1,0584 | 1,1752 | 1,2853 | 1,4241 |
Рэлея | Масштабный | 0,9338 | 0,9954 | 1,0944 | 1,1881 | 1,3072 |
Максвелла | Масштабный | 0,9242 | 0,9845 | 1,0812 | 1,1728 | 1,2890 |
Лапласа | Масштабный | 1,0800 | 1,1647 | 1,3009 | 1,4296 | 1,5918 |
Сдвиг | 0,9015 | 0,9612 | 1,0547 | 1,1426 | 1,2538 | |
Два параметра | 0,8216 | 0,8710 | 0,9497 | 1,0248 | 1,1206 | |
Нормальное | Масштабный | 1,0951 | 1,1803 | 1,3171 | 1,4462 | 1,6087 |
Сдвиг | 0,8381 | 0,8865 | 0,9634 | 1,0354 | 1,1260 | |
Два параметра | 0,7895 | 0,8333 | 0,9042 | 0,9723 | 1,0599 | |
Логнормальное | Масштабный | 1,1037 | 1,1907 | 1,3303 | 1,4618 | 1,6272 |
Сдвиг | 0,8516 | 0,9076 | 1,0006 | 1,0927 | 1,2151 | |
Два параметра | 0,8113 | 0,8708 | 0,9731 | 1,0782 | 1,2234 | |
Коши | Масштабный | 1,0281 | 1,1169 | 1,2669 | 1,4176 | 1,6209 |
Сдвиг | 0,9096 | 0,9722 | 1,0723 | 1,1663 | 1,2842 | |
Два параметра | 0,7568 | 0,8032 | 0,8772 | 0,9469 | 1,0350 | |
Логистическое | Масштабный | 1,0895 | 1,1777 | 1,3201 | 1,4552 | 1,6262 |
Сдвиг | 0,7903 | 0,8359 | 0,9096 | 0,9803 | 1,0713 | |
Два параметра | 0,7080 | 0,7451 | 0,8036 | 0,8581 | 0,9261 | |
Наибольшего значения | Масштабный | 1,0925 | 1,1800 | 1,3215 | 1,4557 | 1,6257 |
Сдвиг | 0,9391 | 1,0062 | 1,1141 | 1,2159 | 1,3442 | |
Два параметра | 0,7825 | 0,8304 | 0,9069 | 0,9786 | 1,0684 | |
Наименьшего значения | Масштабный | 1,0925 | 1,1800 | 1,3215 | 1,4557 | 1,6257 |
Сдвиг | 0,9391 | 1,0062 | 1,1141 | 1,2159 | 1,3442 | |
Два параметра | 0,7825 | 0,8304 | 0,9069 | 0,9786 | 1,0684 | |
Вейбулла | Формы | 1,0925 | 1,1800 | 1,3215 | 1,4557 | 1,6257 |
Масштаба | 0,9391 | 1,0062 | 1,1141 | 1,2159 | 1,3442 | |
Два параметра | 0,7825 | 0,8304 | 0,9069 | 0,9786 | 1,0684 | |
Распределение случайной величины | При оценивании | ||
только масштабного параметра | только параметра сдвига | двух параметров | |
Экспоненциальное | - | - | |
Полунормальное | - | - | |
Рэлея | - | - | |
Максвелла | - | - | |
Лапласа | ln N(-0,5358; 0,2122) | Su(-2,1079; 2,4629; 0,1661; 0,3340) ln N(-0,6970; 0,1952) | |
Нормальное | ln N(-0,5469; 0,2152) | ln N(-0,7236; 0,1837) | |
Логнормальное | ln N(-0,5469; 0,2152) | ln N(-0,7236; 0,1837) | |
Коши | ln N(-0,5182; 0,2268) | Su(-1,6929; 2,5234; 0,1892; 0,3607) ln N(-0,6946; 0,1938) | |
Логистическое | Su(-2,6522; 1,8288; 0,1738; 0,3384) | Su(-3,8497; 3,2770; 0,2136; 0,2607) ln N(-0,5511; 0,2045) | ln N(-0,7389; 0,1771) Su(-2,5093; 3,1277; 0,1932; 0,3041) |
Наибольшего значения | Su(-1,9028; 2,3972; 0,2227; 0,389) | Su(-1,3144; 2,2480; 0,1616; 0,3858) ln N(-0,7174; 0,1841) | |
Наименьшего значения | Su(-1,9028; 2,3972; 0,2227; 0,389) | Su(-1,3144; 2,2480; 0,1616; 0,3858) ln N(-0,7174; 0,1841) | |
Вейбулла | Su(-1,9028; 2,3972; 0,2227; 0,389) <2> | Su(-1,3144; 2,2480; 0,1616; 0,3858) ln N(-0,7174; 0,1841) | |
Распределение случайной величины | Оцениваемый параметр | Верхние процентные точки | ||||
0,15 | 0,1 | 0,05 | 0,025 | 0,01 | ||
Экспоненциальное | Масштабный | 0,7016 | 0,7449 | 0,8143 | 0,8796 | 0,9617 |
Полунормальное | Масштабный | 0,7569 | 0,8052 | 0,8826 | 0,9557 | 1,0476 |
Рэлея | Масштабный | 0,7429 | 0,7888 | 0,8622 | 0,9310 | 1,0174 |
Максвелла | Масштабный | 0,7308 | 0,7740 | 0,8429 | 0,9073 | 0,9879 |
Лапласа | Масштабный | 0,9660 | 1,0477 | 1,1803 | 1,3067 | 1,4674 |
Сдвиг | 0,7353 | 0,7791 | 0,8490 | 0,9145 | 0,9967 | |
Два параметра | 0,6085 | 0,6419 | 0,6970 | 0,7512 | 0,8229 | |
Нормальное | Масштабный | 0,9847 | 1,0676 | 1,2018 | 1,3295 | 1,4915 |
Сдвиг | 0,7234 | 0,7625 | 0,8245 | 0,8824 | 0,9548 | |
Два параметра | 0,5867 | 0,6137 | 0,6561 | 0,6952 | 0,7436 | |
Логнормальное | Масштабный | 0,9847 | 1,0676 | 1,2018 | 1,3295 | 1,4915 |
Сдвиг | 0,7234 | 0,7625 | 0,8245 | 0,8824 | 0,9548 | |
Два параметра | 0,5867 | 0,6137 | 0,6561 | 0,6952 | 0,7436 | |
Коши | Масштабный | 0,9669 | 1,0460 | 1,1739 | 1,2953 | 1,4491 |
Сдвиг | 0,7534 | 0,7965 | 0,8649 | 0,9290 | 1,0095 | |
Два параметра | 0,6076 | 0,6391 | 0,6906 | 0,7408 | 0,8067 | |
Логистическое | Масштабный | 0,9971 | 1,0807 | 1,2336 | 1,3532 | 1,4876 |
Сдвиг | 0,7110 | 0,7496 | 0,8119 | 0,8714 | 0,9477 | |
Два параметра | 0,5739 | 0,5993 | 0,6392 | 0,6758 | 0,7212 | |
Наибольшего значения | Масштабный | 0,9505 | 1,0272 | 1,1510 | 1,2684 | 1,4170 |
Сдвиг | 0,7358 | 0,7798 | 0,8528 | 0,9246 | 1,0199 | |
Два параметра | 0,5874 | 0,6168 | 0,6656 | 0,7138 | 0,7780 | |
Наименьшего значения | Масштабный | 0,9505 | 1,0272 | 1,1510 | 1,2684 | 1,4170 |
Сдвиг | 0,7358 | 0,7798 | 0,8528 | 0,9246 | 1,0199 | |
Два параметра | 0,5874 | 0,6168 | 0,6656 | 0,7138 | 0,7780 | |
Вейбулла | Формы | 0,9505 | 1,0272 | 1,1510 | 1,2684 | 1,4170 |
Масштаба | 0,7358 | 0,7798 | 0,8528 | 0,9246 | 1,0199 | |
Два параметра | 0,5874 | 0,6168 | 0,6656 | 0,7138 | 0,7780 | |
Распределение случайной величины | При оценивании | ||
только масштабного параметра | только параметра сдвига | двух параметров | |
Экспоненциальное | ln N(0,2260; 0,6951) | - | - |
Полунормальное | ln N(0,2050; 0,7718) | - | - |
Рэлея | ln N(0,2248; 0,7248) | - | - |
Максвелла | ln N(0,2462; 0,6779) | - | - |
Лапласа | |||
Нормальное | ln N(0,2992; 0,5298) | ln N(0,1164; 0,5436) | |
Логнормальное | Su(-2,5588; 1,6251; 0,4763; 0,2134) | Su(-2,2909; 1,3491; 0,3115; 0,3134) | |
Коши | |||
Логистическое | Su(-2,9441; 1,7404; 0,3783; 0,3082) | ln N(0,0831; 0,4473) | |
Наибольшего значения | ln N(0,2414; 0,7017) | ln N(0,1501; 0,5108) | |
Наименьшего значения | ln N(0,2414; 0,7017) | ln N(0,1501; 0,5108) | |
Вейбулла | ln N(0,2414; 0,7017) <2> | ln N(0,1501; 0,5108) | |
Распределение случайной величины | Оцениваемый параметр | Верхние процентные точки | ||||
0,15 | 0,1 | 0,05 | 0,025 | 0,01 | ||
Экспоненциальное | Масштабный | 2,5765 | 3,0551 | 3,9327 | 4,8958 | 6,3157 |
Полунормальное | Масштабный | 2,7317 | 3,3006 | 4,3688 | 5,5717 | 7,3926 |
Рэлея | Масштабный | 2,6538 | 3,1698 | 4,1247 | 5,1830 | 6,7594 |
Максвелла | Масштабный | 2,5826 | 3,0495 | 3,9011 | 4,8301 | 6,1918 |
Лапласа | Масштабный | 3,3122 | 4,0778 | 5,3989 | 6,7310 | 8,5032 |
Сдвиг | 2,5343 | 2,9829 | 3,8007 | 4,6556 | 5,8229 | |
Два параметра | 2,1134 | 2,4340 | 3,0160 | 3,6227 | 4,4495 | |
Нормальное | Масштабный | 3,5063 | 4,3091 | 5,6929 | 7,0868 | 8,9396 |
Сдвиг | 2,3656 | 2,6880 | 3,2205 | 3,7406 | 4,4163 | |
Два параметра | 1,9860 | 2,2855 | 2,8102 | 3,3438 | 4,0581 | |
Логнормальное | Масштабный | 3,5354 | 4,3677 | 5,8074 | 7,2619 | 9,1998 |
Сдвиг | 2,3633 | 2,7212 | 3,3595 | 4,0397 | 5,0141 | |
Два параметра | 2,1348 | 2,5025 | 3,1850 | 3,9446 | 5,0813 | |
Коши | Масштабный | 2,9947 | 3,6746 | 4,8455 | 6,0239 | 7,5894 |
Сдвиг | 2,5803 | 3,0471 | 3,8305 | 4,6011 | 5,6065 | |
Два параметра | 1,8488 | 2,1898 | 2,7633 | 3,3284 | 4,0668 | |
Логистическое | Масштабный | 3,5929 | 4,4877 | 6,0215 | 7,2637 | 8,7397 |
Сдвиг | 2,1515 | 2,4357 | 2,9366 | 3,4632 | 4,2073 | |
Два параметра | 1,7275 | 1,9277 | 2,2679 | 2,6112 | 3,0761 | |
Наибольшего значения | Масштабный | 3,5448 | 4,3493 | 5,7346 | 7,1286 | 8,9804 |
Сдвиг | 2,5565 | 3,0364 | 3,9180 | 4,8877 | 6,3205 | |
Два параметра | 1,9729 | 2,2361 | 2,692 | 3,1621 | 3,8129 | |
Наименьшего значения | Масштабный | 3,5448 | 4,3493 | 5,7346 | 7,1286 | 8,9804 |
Сдвиг | 2,5565 | 3,0364 | 3,9180 | 4,8877 | 6,3205 | |
Два параметра | 1,9729 | 2,2361 | 2,692 | 3,1621 | 3,8129 | |
Вейбулла | Формы | 3,5448 | 4,3493 | 5,7346 | 7,1286 | 8,9804 |
Масштаба | 2,5565 | 3,0364 | 3,9180 | 4,8877 | 6,3205 | |
Два параметра | 1,9729 | 2,2361 | 2,692 | 3,1621 | 3,8129 | |
Распределение случайной величины | При оценивании | ||
только масштабного параметра | только параметра сдвига | двух параметров | |
Экспоненциальное | Su(-1,8734; 1,2118; 0,0223; 0,0240) | - | - |
Полунормальное | Sl(0,9735; 1,1966; 0,1531; 0,0116) | - | - |
Рэлея | Su(-1,5302; 1,0371; 0,0202; 0,0299) | - | - |
Максвелла | Su(-2,0089; 1,2557; 0,0213; 0,0213) | - | - |
Лапласа | Sl(1,0274; 1,0675; 0,2305; 0,0120) | Su(-2,0821; 1,2979; 0,0196; 0,0200) | Su(-1,6085; 1,2139; 0,0171; 0,0247) |
Нормальное | Sl(1,2532; 1,0088; 0,3066; 0,0130) | ln N(-2,7500; 0,5649) | ln N(-2,9794; 0,5330) |
Логнормальное | Sl(1,0341; 1,1919; 0,2491; 0,0035) | ln N(-2,7271; 0,6092) | Su(-1,6292; 1,1541; 0,0144; 0,0234) |
Коши | Sl(1,0341; 1,1137; 0,2313; 0,0041) | Sl(1,1230; 1,2964; 0,1383; 0,0105) | Sl(1,2420; 1,2833; 0,1135; 0,0064) |
Логистическое | Sl(1,0289; 1,0666; 0,2385; 0,0110) | Sl(1,3982; 1,3804; 0,1205; 0,0102) | ln N(-3,1416; 0,4989) |
Наибольшего значения | Sl(1,0294; 1,0781; 0,2381; 0,0120) | ln N(-2,5818; 0,6410) | ln N(-2,9541; 0,5379) |
Наименьшего значения | Sl(1,0294; 1,0781; 0,2381; 0,0120) | ln N(-2,5818; 0,6410) | ln N(-2,9541; 0,5379) |
Вейбулла | Sl(1,0294; 1,0781; 0,2381; 0,0120) <1> | ln N(-2,5818; 0,6410) <2> | ln N(-2,9541; 0,5379) |
Распределение случайной величины | Оцениваемый параметр | Верхние процентные точки | ||||
0,15 | 0,1 | 0,05 | 0,025 | 0,01 | ||
Экспоненциальное | Масштабный | 0,1461 | 0,1738 | 0,2267 | 0,2872 | 0,3804 |
Полунормальное | Масштабный | 0,1730 | 0,2097 | 0,2799 | 0,3607 | 0,4858 |
Рэлея | Масштабный | 0,1490 | 0,1812 | 0,2452 | 0,3219 | 0,4458 |
Максвелла | Масштабный | 0,1408 | 0,1669 | 0,2162 | 0,2720 | 0,3573 |
Лапласа | Масштабный | 0,2672 | 0,3447 | 0,4572 | 0,5570 | 0,6608 |
Сдвиг | 0,1276 | 0,1504 | 0,1932 | 0,2418 | 0,3173 | |
Два параметра | 0,0998 | 0,1171 | 0,1504 | 0,1893 | 0,2529 | |
Нормальное | Масштабный | 0,2470 | 0,3035 | 0,4128 | 0,5397 | 0,7382 |
Сдвиг | 0,1148 | 0,1319 | 0,1619 | 0,1934 | 0,2379 | |
Два параметра | 0,0883 | 0,1006 | 0,1221 | 0,1445 | 0,1756 | |
Логнормальное | Масштабный | 0,2531 | 0,3101 | 0,4193 | 0,5452 | 0,7401 |
Сдвиг | 0,1230 | 0,1428 | 0,1782 | 0,2159 | 0,2699 | |
Два параметра | 0,0952 | 0,1125 | 0,1458 | 0,1845 | 0,2449 | |
Коши | Масштабный | 0,2359 | 0,2929 | 0,4044 | 0,5353 | 0,7422 |
Сдвиг | 0,1399 | 0,1668 | 0,2173 | 0,2743 | 0,3604 | |
Два параметра | 0,1031 | 0,1235 | 0,1618 | 0,2050 | 0,2706 | |
Логистическое | Масштабный | 0,2612 | 0,3257 | 0,4368 | 0,5392 | 0,7617 |
Сдвиг | 0,1029 | 0,1209 | 0,1543 | 0,1912 | 0,2462 | |
Два параметра | 0,0725 | 0,0819 | 0,0982 | 0,1149 | 0,1379 | |
Наибольшего значения | Масштабный | 0,2628 | 0,3226 | 0,4266 | 0,5461 | 0,7174 |
Сдвиг | 0,1470 | 0,1720 | 0,2171 | 0,2657 | 0,3360 | |
Два параметра | 0,0910 | 0,1039 | 0,1263 | 0,1496 | 0,1822 | |
Наименьшего значения | Масштабный | 0,2628 | 0,3226 | 0,4266 | 0,5461 | 0,7174 |
Сдвиг | 0,1470 | 0,1720 | 0,2171 | 0,2657 | 0,3360 | |
Два параметра | 0,0910 | 0,1039 | 0,1263 | 0,1496 | 0,1822 | |
Вейбулла | Формы | 0,2628 | 0,3226 | 0,4266 | 0,5461 | 0,7174 |
Масштаба | 0,1470 | 0,1720 | 0,2171 | 0,2657 | 0,3360 | |
Два параметра | 0,0910 | 0,1039 | 0,1263 | 0,1496 | 0,1822 | |
Распределение случайной величины | При оценивании | ||
только масштабного параметра | только параметра сдвига | двух параметров | |
Экспоненциальное | Su(-1,9324; 1,1610; 0,0134; 0,0203) | - | - |
Полунормальное | Su(-1,5024; 1,0991; 0,0173; 0,0256) | - | - |
Рэлея | Su(-1,4705; 1,1006; 0,0164; 0,0259) | - | - |
Максвелла | Su(-1,7706; 1,2978; 0,0188; 0,0220) | - | - |
Лапласа | Sl(1,0117; 0,9485; 0,2162; 0,0137) | ln N(-2,8601; 0,5471) | ln N(-3,2853; 0,4666) |
Нормальное | Sl(1,0477; 0,9883; 0,2356; 0,0112) | ln N(-2,8649; 0,5668) | ln N(-3,2715; 0,4645) |
Логнормальное | Sl(1,0477; 0,9883; 0,2356; 0,0112) | ln N(-2,8649; 0,5668) | ln N(-3,2715; 0,4645) |
Коши | Sl(1,2759; 1,0437; 0,2825; 0,0089) | ln N(-2,8577; 0,5739) | ln N(-3,2603; 0,4874) |
Логистическое | Sl(1,0898; 1,0225; 0,2399; 0,0096) | ln N(-2,8831; 0,5367) | ln N(-3,2915; 0,4592) |
Наибольшего значения | Sl(1,0771; 1,0388; 0,2065; 0,0109) | Su(-1,5348; 1,1226; 0,0166; 0,0252) | Su(-1,5326; 1,4446; 0,0147; 0,0188) ln N(-3,2627; 0,4680) |
Наименьшего значения | Sl(1,0771; 1,0388; 0,2065; 0,0109) | Su(-1,5348; 1,1226; 0,0166; 0,0252) | Su(-1,5326; 1,4446; 0,0147; 0,0188) ln N(-3,2677; 0,4680) |
Вейбулла | Sl(1,0771; 1,0388; 0,2065; 0,0109) <1> | Su(-1,5348; 1,1226; 0,0166; 0,0252) <2> | Su(-1,5326; 1,4446; 0,0147; 0,0188) ln N(-3,2627; 0,4680) |
Распределение случайной величины | Оцениваемый параметр | Верхние процентные точки | ||||
0,15 | 0,1 | 0,05 | 0,025 | 0,01 | ||
Экспоненциальное | Масштабный | 0,1062 | 0,1266 | 0,1659 | 0,2115 | 0,2826 |
Полунормальное | Масштабный | 0,1119 | 0,1338 | 0,1767 | 0,2271 | 0,3071 |
Рэлея | Масштабный | 0,1051 | 0,1252 | 0,1645 | 0,2107 | 0,2839 |
Максвелла | Масштабный | 0,1027 | 0,1198 | 0,1520 | 0,1880 | 0,2425 |
Лапласа | Масштабный | 0,2471 | 0,2994 | 0,4079 | 0,5035 | 0,6253 |
Сдвиг | 0,1010 | 0,1154 | 0,1408 | 0,1673 | 0,2045 | |
Два параметра | 0,0607 | 0,0681 | 0,0806 | 0,0934 | 0,1108 | |
Нормальное | Масштабный | 0,2558 | 0,3120 | 0,4253 | 0,5524 | 0,6935 |
Сдвиг | 0,1025 | 0,1178 | 0,1448 | 0,1731 | 0,2130 | |
Два параметра | 0,0614 | 0,0688 | 0,0815 | 0,0943 | 0,1118 | |
Логнормальное | Масштабный | 0,2558 | 0,3120 | 0,4253 | 0,5524 | 0,6935 |
Сдвиг | 0,1025 | 0,1178 | 0,1448 | 0,1731 | 0,2130 | |
Два параметра | 0,0614 | 0,0688 | 0,0815 | 0,0943 | 0,1118 | |
Коши | Масштабный | 0,2376 | 0,2950 | 0,3924 | 0,5001 | 0,6886 |
Сдвиг | 0,1040 | 0,1198 | 0,1475 | 0,1768 | 0,2181 | |
Два параметра | 0,0636 | 0,0717 | 0,0856 | 0,0998 | 0,1193 | |
Логистическое | Масштабный | 0,22605 | 0,3302 | 0,4450 | 0,57715 | 0,6941 |
Сдвиг | 0,0976 | 0,1113 | 0,1353 | 0,1602 | 0,1950 | |
Два параметра | 0,0599 | 0,0670 | 0,0792 | 0,0915 | 0,1083 | |
Наибольшего значения | Масштабный | 0,2095 | 0,2623 | 0,3676 | 0,4940 | 0,6983 |
Сдвиг | 0,1064 | 0,1265 | 0,1657 | 0,2115 | 0,2836 | |
Два параметра | 0,0611 | 0,0693 | 0,0843 | 0,1006 | 0,1246 | |
Наименьшего значения | Масштабный | 0,2095 | 0,2623 | 0,3676 | 0,4940 | 0,6983 |
Сдвиг | 0,1064 | 0,1265 | 0,1657 | 0,2115 | 0,2836 | |
Два параметра | 0,0611 | 0,0693 | 0,0843 | 0,1006 | 0,1246 | |
Вейбулла | Формы | 0,2095 | 0,2623 | 0,3676 | 0,4940 | 0,6983 |
Масштаба | 0,1064 | 0,1265 | 0,1657 | 0,2115 | 0,2836 | |
Два параметра | 0,0611 | 0,0693 | 0,0843 | 0,1006 | 0,1246 | |
Распределение случайной величины | При оценивании | ||
только масштабного параметра | только параметра сдвига | двух параметров | |
Экспоненциальное | Su(-2,8653; 1,4220; 0,1050; 0,1128) | - | - |
Полунормальное | Su(-2,5603; 1,3116; 0,1147; 0,1330) | - | - |
Рэлея | Su(-2,5610; 1,4003; 0,1174; 0,1337) | - | - |
Максвелла | Su(-2,6064; 1,4426; 0,1190; 0,1285) | - | - |
Лапласа | Sl(0,3224; 1,1638; 0,6852; 0,1040) | Su(-2,5528; 1,4006; 0,1216; 0,1358) | Su(-2,8942; 1,4897; 0,0846; 0,1131) |
Нормальное | Su(-3,1163; 1,1787; 0,0742; 0,1200) | Su(-3,1202; 1,5233; 0,0874; 0,1087) | Su(-2,7057; 1,7154; 0,1043; 0,0925) |
Логнормальное | Su(-2,4168; 1,1296; 0,1151; 0,1560) | ln N(-0,8052; 0,5123) | Su(-2,3966; 1,5967; 0,1012; 0,1179) |
Коши | Su(-2,4935; 1,0789; 0,0923; 0,1458) | Su(-2,8420; 1,3528; 0,1010; 0,1221) | Su(-2,3195; 1,1812; 0,0769; 0,1217) |
Логистическое | Sl(0,3065; 1,1628; 0,7002; 0,0930) | Su(-3,5408; 1,6041; 0,0773; 0,0829) | ln N(-1,1452; 0,4426) |
Наибольшего значения | Su(-2,5427; 1,1057; 0,0960; 0,1569) | Su(-2,5550; 1,3714; 0,1152; 0,1289) | Su(-2,4622; 1,6473; 0,1075; 0,1149) |
Наименьшего значения | Su(-2,5427; 1,1057; 0,0960; 0,1569) | Su(-2,5550; 1,3714; 0,1152; 0,1289) | Su(-2,4622; 1,6473; 0,1075; 0,1149) |
Вейбулла | Su(-2,5427; 1,1057; 0,0960; 0,1569) <1> | Su(-2,5550; 1,3714; 0,1152; 0,1289) <2> | Su(-2,4622; 1,6473; 0,1075; 0,1149) |
Распределение случайной величины | Оцениваемый параметр | Верхние процентные точки | ||||
0,15 | 0,1 | 0,05 | 0,025 | 0,01 | ||
Экспоненциальное | Масштабный | 0,9256 | 1,0797 | 1,3626 | 1,6736 | 2,1333 |
Полунормальное | Масштабный | 1,0195 | 1,2030 | 1,5463 | 1,9312 | 2,5117 |
Рэлея | Масштабный | 0,8954 | 1,0427 | 1,3140 | 1,6132 | 2,0569 |
Максвелла | Масштабный | 0,8671 | 1,0055 | 1,2587 | 1,5360 | 1,9442 |
Лапласа | Масштабный | 1,4627 | 1,7923 | 2,3158 | 2,8202 | 3,5035 |
Сдвиг | 0,9196 | 1,0712 | 1,3504 | 1,6586 | 2,1165 | |
Два параметра | 0,7019 | 0,8082 | 1,0015 | 1,2116 | 1,5188 | |
Нормальное | Масштабный | 1,4126 | 1,7309 | 2,2533 | 2,8654 | 3,8453 |
Сдвиг | 0,7750 | 0,8923 | 1,1045 | 1,3341 | 1,6681 | |
Два параметра | 0,5486 | 0,6204 | 0,7471 | 0,8806 | 1,0698 | |
Логнормальное | Масштабный | 1,4126 | 1,7309 | 2,2533 | 2,8654 | 3,8453 |
Сдвиг | 0,7602 | 0,8619 | 1,0382 | 1,2200 | 1,4719 | |
Два параметра | 0,5464 | 0,6194 | 0,7498 | 0,8893 | 1,0897 | |
Коши | Масштабный | 1,3917 | 1,7432 | 2,2967 | 2,866 | 3,5085 |
Сдвиг | 1,0072 | 1,1841 | 1,5125 | 1,8781 | 2,4251 | |
Два параметра | 0,7783 | 0,9307 | 1,2231 | 1,5606 | 2,0845 | |
Логистическое | Масштабный | 1,4097 | 1,7755 | 2,2268 | 2,8759 | 3,7694 |
Сдвиг | 0,7512 | 0,8622 | 1,0611 | 1,2741 | 1,5803 | |
Два параметра | 0,5033 | 0,5610 | 0,6589 | 0,7575 | 0,8909 | |
Наибольшего значения | Масштабный | 1,4056 | 1,7163 | 2,2631 | 2,8443 | 3,6757 |
Сдвиг | 0,9149 | 1,0703 | 1,3577 | 1,6764 | 2,1514 | |
Два параметра | 0,5580 | 0,6310 | 0,7608 | 0,8987 | 1,0956 | |
Наименьшего значения | Масштабный | 1,4056 | 1,7163 | 2,2631 | 2,8443 | 3,6757 |
Сдвиг | 0,9149 | 1,0703 | 1,3577 | 1,6764 | 2,1514 | |
Два параметра | 0,5580 | 0,6310 | 0,7608 | 0,8987 | 1,0956 | |
Вейбулла | Формы | 1,4056 | 1,7163 | 2,2631 | 2,8443 | 3,6757 |
Масштаба | 0,9149 | 1,0703 | 1,3577 | 1,6764 | 2,1514 | |
Два параметра | 0,5580 | 0,6310 | 0,7608 | 0,8987 | 1,0956 | |
Распределение случайной величины | При оценивании | ||
только масштабного параметра | только параметра сдвига | двух параметров | |
Экспоненциальное | Su(-2,6741; 1,4068; 0,0958; 0,1230) | - | - |
Полунормальное | Su(-2,6752; 1,3763; 0,0952; 0,1280) | - | - |
Рэлея | Su(-2,2734; 1,3473; 0,1101; 0,1496) | - | - |
Максвелла | Su(-2,2759; 1,3988; 0,1171; 0,1514) | - | - |
Лапласа | Su(-2,3884; 1,0811; 0,0948; 0,1548) | Su(-2,7267; 1,4972; 0,1044; 0,1239) | Su(-2,4334; 1,6104; 0,0902; 0,1123) |
Нормальное | Su(-2,4180; 1,0702; 0,0957; 0,1464) | Su(-2,7639; 1,5393; 0,1102; 0,1115) | Su(-2,5746; 1,7505; 0,0979; 0,1043) ln N(-1,1651; 0,4271) |
Логнормальное | Su(-2,4180; 1,0702; 0,0957; 0,1464) | Su(-2,7639; 1,5393; 0,1102; 0,1115) | Su(-2,5746; 1,7505; 0,0979; 0,1043) ln N(-1,1651; 0,4271) |
Коши | Su(-2,5043; 1,1355; 0,1035; 0,1384) | Su(-2,7029; 1,5179; 0,1188; 0,1100) | Su(-2,1046; 1,4364; 0,0929; 0,1301) ln N(-1,1043; 0,4692) |
Логистическое | Sl(0,3223; 1,1159; 0,6836; 0,0953) Su(-2,3007; 1,0135; 0,0906; 0,1593) | Su(-2,6212; 1,4318; 0,0932; 0,1370) | Su(-3,0152; 1,7751; 0,0800; 0,0898) |
Наибольшего значения | Su(-2,4454; 1,1083; 0,0968; 0,1459) | Su(-2,6557; 1,4282; 0,1024; 0,1254) | Su(-2,1580; 1,5446; 0,0941; 0,1279) |
Наименьшего значения | Su(-2,4454; 1,1083; 0,0968; 0,1459) | Su(-2,6557; 1,4282; 0,1024; 0,1254) | Su(-2,1580; 1,5446; 0,0941; 0,1279) |
Вейбулла | Su(-2,4454; 1,1083; 0,0968; 0,1459) <1> | Su(-2,6557; 1,4282; 0,1024; 0,1254) <2> | Su(-2,1580; 1,5446; 0,0941; 0,1279) |
Распределение случайной величины | Оцениваемый параметр | Верхние процентные точки | ||||
0,15 | 0,1 | 0,05 | 0,025 | 0,01 | ||
Экспоненциальное | Масштабный | 0,7892 | 0,9172 | 1,1527 | 1,4122 | 1,7967 |
Полунормальное | Масштабный | 0,8308 | 0,9690 | 1,2245 | 1,5075 | 1,9292 |
Рэлея | Масштабный | 0,7871 | 0,9160 | 1,1553 | 1,4218 | 1,8206 |
Максвелла | Масштабный | 0,7710 | 0,8916 | 1,1135 | 1,3582 | 1,7211 |
Лапласа | Масштабный | 1,3751 | 1,6440 | 2,1787 | 2,6035 | 3,3197 |
Сдвиг | 0,7642 | 0,8795 | 1,0888 | 1,3160 | 1,6476 | |
Два параметра | 0,4960 | 0,5607 | 0,6763 | 0,7996 | 0,9765 | |
Нормальное | Масштабный | 1,3994 | 1,7302 | 2,2526 | 2,8345 | 3,5978 |
Сдвиг | 0,7575 | 0,8705 | 1,0745 | 1,2945 | 1,6137 | |
Два параметра | 0,4832 | 0,5419 | 0,6451 | 0,7534 | 0,9061 | |
Логнормальное | Масштабный | 1,3994 | 1,7302 | 2,2526 | 2,8345 | 3,5978 |
Сдвиг | 0,7575 | 0,8705 | 1,0745 | 1,2945 | 1,6137 | |
Два параметра | 0,4832 | 0,5419 | 0,6451 | 0,7534 | 0,9061 | |
Коши | Масштабный | 1,3487 | 1,6287 | 2,0930 | 2,7014 | 3,4728 |
Сдвиг | 0,8026 | 0,9257 | 1,1483 | 1,3893 | 1,7399 | |
Два параметра | 0,5386 | 0,6164 | 0,7586 | 0,9142 | 1,1435 | |
Логистическое | Масштабный | 1,3917 | 1,7101 | 2,3316 | 3,0612 | 4,2139 |
Сдвиг | 0,7329 | 0,8454 | 1,0516 | 1,2778 | 1,6115 | |
Два параметра | 0,4778 | 0,5363 | 0,6392 | 0,7470 | 0,8986 | |
Наибольшего значения | Масштабный | 1,2638 | 1,5415 | 2,0840 | 2,7220 | 3,7319 |
Сдвиг | 0,8007 | 0,9285 | 1,1628 | 1,4200 | 1,7997 | |
Два параметра | 0,4941 | 0,5590 | 0,6757 | 0,8014 | 0,9832 | |
Наименьшего значения | Масштабный | 1,2638 | 1,5415 | 2,0840 | 2,7220 | 3,7319 |
Сдвиг | 0,8007 | 0,9285 | 1,1628 | 1,4200 | 1,7997 | |
Два параметра | 0,4941 | 0,5590 | 0,6757 | 0,8014 | 0,9832 | |
Вейбулла | Формы | 1,2638 | 1,5415 | 2,0840 | 2,7220 | 3,7319 |
Масштаба | 0,8007 | 0,9285 | 1,1628 | 1,4200 | 1,7997 | |
Два параметра | 0,4941 | 0,5590 | 0,6757 | 0,8014 | 0,9832 | |
Значение параметра формы | При оценивании | ||
только масштабного параметра | только параметра формы | двух параметров | |
0,3 | Su(-3,1261; 2,4210; 0,2564; 0,3176) | Su(-2,5800; 2,3573; 0,2522; 0,3652) | Su(-2,4004; 2,2110; 0,2222; 0,3679) |
0,5 | Su(-2,5116; 2,4317; 0,2624; 0,3737) | Su(-2,8715; 2,5280; 0,2325; 0,3296) | |
1,0 | Su(-2,4192; 2,2314; 0,2037; 0,3707) | ||
2,0 | Su(-2,2691; 2,2383; 0,2323; 0,3958) | Su(-3,0644; 2,6833; 0,2531; 0,3159) | Su(-2,2110; 2,1457; 0,1988; 0,3872) |
3,0 | Su(-2,4869; 2,4779; 0,2655; 0,3742) | Su(-2,5510; 2,4430; 0,2430; 0,3640) | Su(-2,1298; 2,1802; 0,2103; 0,3897) |
4,0 | Su(-2,4229; 2,4457; 0,2627; 0,3696) | Su(-2,0448; 2,2821; 0,2494; 0,4140) | Su(-2,4946; 2,2762; 0,2023; 0,3589) |
5,0 | Su(-2,4152; 2,3901; 0,2475; 0,3818) | Su(-2,2143; 2,2844; 0,2367; 0,3932) | Su(-2,0501; 2,1119; 0,2016; 0,3985) |
Значение параметра формы | Оцениваемый параметр | Верхние процентные точки | ||||
0,15 | 0,1 | 0,05 | 0,025 | 0,01 | ||
0,3 | Масштабный | 1,0101 | 1,0885 | 1,2196 | 1,3497 | 1,5231 |
Формы | 0,9228 | 0,9895 | 1,1012 | 1,2120 | 1,3602 | |
Два параметра | 0,8702 | 0,9343 | 1,0424 | 1,1508 | 1,2970 | |
0,5 | Масштабный | 0,9890 | 1,0625 | 1,1808 | 1,2927 | 1,4341 |
Формы | 0,9076 | 0,9704 | 1,0748 | 1,1780 | 1,3151 | |
Два параметра | 0,8503 | 0,9081 | 1,0040 | 1,0984 | 1,2233 | |
1,0 | Масштабный | 0,9461 | 1,0131 | 1,1204 | 1,2214 | 1,3483 |
Формы | 0,9031 | 0,9649 | 1,0638 | 1,1569 | 1,2740 | |
Два параметра | 0,8283 | 0,8862 | 0,9836 | 1,0813 | 1,2128 | |
2,0 | Масштабный | 0,9115 | 0,9694 | 1,0620 | 1,1466 | 1,2859 |
Формы | 0,8719 | 0,9301 | 1,0260 | 1,1196 | 1,2425 | |
Два параметра | 0,8168 | 0,8738 | 0,9703 | 1,0674 | 1,1989 | |
3,0 | Масштабный | 0,8924 | 0,9527 | 1,0525 | 1,1509 | 1,2812 |
Формы | 0,8636 | 0,9220 | 1,0190 | 1,1148 | 1,2421 | |
Два параметра | 0,8144 | 0,8704 | 0,9650 | 1,0598 | 1,1879 | |
4,0 | Масштабный | 0,8781 | 0,9381 | 1,0377 | 1,1361 | 1,2665 |
Формы | 0,8628 | 0,9207 | 1,0174 | 1,1136 | 1,2423 | |
Два параметра | 0,8146 | 0,8711 | 0,9659 | 1,0606 | 1,1877 | |
5,0 | Масштабный | 0,8771 | 0,9366 | 1,0357 | 1,1338 | 1,2645 |
Формы | 0,8558 | 0,9143 | 1,0123 | 1,1099 | 1,2408 | |
Два параметра | 0,8098 | 0,8659 | 0,9608 | 1,0565 | 1,1865 | |
Значение параметра формы | При оценивании | ||
только масштабного параметра | только параметра формы | двух параметров | |
0,3 | Su(-3,1901; 1,1381; 0,1399; 0,0081) | Su(-2,8117; 1,3517; 0,2973; 0,1474) | Su(-2,4288; 1,2878; 0,2749; 0,2074) |
0,5 | Su(-2,8625; 1,1796; 0,2003; 0,079) | Su(-2,8816; 1,4625; 0,3377; 0,1280) | Su(-2,4027; 1,3861; 0,3389; 0,2290) ln N(-0,1506; 0,6511) |
1,0 | ln N(0,2062; 0,7337) Su(-2,5635; 1,2797; 0,2922; 0,1584) | Su(-2,5861; 1,4818; 0,4130; 0,174) | Su(-2,2666; 1,3824; 0,3515; 0,2731) |
2,0 | Su(-2,5372; 1,3749; 0,3464; 0,2162) | Su(-2,3222; 1,4442; 0,4335; 0,2845) | Su(-2,2109; 1,3527; 0,3317; 0,3149) |
3,0 | Su(-2,3014; 1,3875; 0,3991; 0,2750) | Su(-2,3895; 1,4817; 0,4344; 0,2824) | Su(-2,4295; 1,4110; 0,3163; 0,2784) |
4,0 | Su(-2,3759; 1,4418; 0,4149; 0,2480) | Su(-2,2574; 1,4921; 0,4694; 0,3216) | Su(-2,4153; 1,4306; 0,3318; 0,2604) |
5,0 | Su(-2,4574; 1,4599; 0,3976; 0,2712) | Su(-2,2611; 1,4644; 0,4393; 0,3231) | Su(-2,1345; 1,3945; 0,3655; 0,3263) |
Значение параметра формы | Оцениваемый параметр | Верхние процентные точки | ||||
0,15 | 0,1 | 0,05 | 0,025 | 0,01 | ||
0,3 | Масштабный | 2,8746 | 3,5643 | 4,9025 | 6,4644 | 8,9168 |
Формы | 2,7006 | 3,2114 | 4,1601 | 5,2162 | 6,7967 | |
Два параметра | 2,2246 | 2,6511 | 3,4520 | 4,3543 | 5,7217 | |
0,5 | Масштабный | 2,8051 | 3,4363 | 4,6490 | 6,0496 | 8,2255 |
Формы | 2,5766 | 3,0273 | 3,8498 | 4,7480 | 6,0664 | |
Два параметра | 2,2406 | 2,6348 | 3,3620 | 4,1659 | 5,3609 | |
1,0 | Масштабный | 2,6291 | 3,1471 | 4,1084 | 5,1770 | 6,7737 |
Формы | 2,5364 | 2,9673 | 3,7509 | 4,6036 | 5,8510 | |
Два параметра | 2,1738 | 2,5483 | 3,2393 | 4,0035 | 5,1400 | |
2,0 | Масштабный | 2,5334 | 2,9902 | 3,8349 | 4,7709 | 6,1652 |
Формы | 2,4813 | 2,8949 | 3,6506 | 4,4775 | 5,6940 | |
Два параметра | 2,1292 | 2,4951 | 3,1737 | 3,9281 | 5,0563 | |
3,0 | Масштабный | 2,4691 | 2,8995 | 3,6930 | 4,5698 | 5,8727 |
Формы | 2,4538 | 2,8516 | 3,5745 | 4,3608 | 5,5106 | |
Два параметра | 2,1092 | 2,4613 | 3,1083 | 3,8204 | 4,8743 | |
4,0 | Масштабный | 2,4404 | 2,8534 | 3,6084 | 4,4348 | 5,6514 |
Формы | 2,4299 | 2,8149 | 3,5130 | 4,2708 | 5,3768 | |
Два параметра | 2,0978 | 2,4463 | 3,0847 | 3,7850 | 4,8178 | |
5,0 | Масштабный | 2,4296 | 2,8303 | 3,5611 | 4,3589 | 5,5299 |
Формы | 2,3877 | 2,7717 | 3,4709 | 4,2333 | 5,3511 | |
Два параметра | 2,0833 | 2,4276 | 3,0613 | 3,7602 | 4,7972 | |
Значение параметра формы | При оценивании | ||
только масштабного параметра | только параметра формы | двух параметров | |
0,3 | Su(-1,6653; 0,9957; 0,0213; 0,0286) | Su(-1,4885; 1,0365; 0,0196; 0,0305) | Su(-1,4703; 1,0481; 0,0167; 0,0258) |
0,5 | Su(-2,1013; 1,0964; 0,0172; 0,0233) | Su(-1,7133; 1,1339; 0,0203; 0,0267) ln N(-2,6112; 0,6152) | Su(-1,5811; 1,1193; 0,0164; 0,0243) ln N(-2,8269; 0,5922) |
1,0 | Su(-1,8467; 1,0824; 0,0179; 0,0250) | Su(-1,5966; 1,0899; 0,0191; 0,0281) | Su(-1,5388; 1,0487; 0,0131; 0,0249) ln N(-2,8658; 0,5850) |
2,0 | Su(-1,6042; 1,1125; 0,0207; 0,0281) ln N(-2,6123; 0,6231) | Su(-1,6693; 1,1076; 0,0181; 0,0264) ln N(-2,6844; 0,6119) | Su(-1,3082; 1,0059; 0,0146; 0,0269) |
3,0 | Su(-2,1337; 1,1654; 0,015; 0,0217) | Su(-1,5872; 1,0916; 0,0181; 0,0272) | Su(-1,4044; 1,0562; 0,0148; 0,0261) |
4,0 | Su(-1,5813; 1,1339; 0,0206; 0,0273) ln N(-2,6668; 0,6097) | Su(-1,5748; 1,1003; 0,0183; 0,0275) ln N(-2,6947; 0,6012) | Su(-1,4222; 1,0519; 0,0143; 0,0260) |
5,0 | Su(-1,6144; 1,1468; 0,0202; 0,0265) ln N(-2,6732; 0,6052) | Su(-1,7641; 1,1417; 0,0172; 0,0238) ln N(-2,7198; 0,6001) | Su(-1,2912; 1,0213; 0,0144; 0,0274) |
Значение параметра формы | Оцениваемый параметр | Верхние процентные точки | ||||
0,15 | 0,1 | 0,05 | 0,025 | 0,01 | ||
0,3 | Масштабный | 0,1885 | 0,2335 | 0,3241 | 0,4344 | 0,6151 |
Формы | 0,1416 | 0,1717 | 0,2314 | 0,3031 | 0,4190 | |
Два параметра | 0,1163 | 0,1405 | 0,1885 | 0,2458 | 0,3381 | |
0,5 | Масштабный | 0,1733 | 0,2110 | 0,2851 | 0,3724 | 0,5110 |
Формы | 0,1405 | 0,1684 | 0,2224 | 0,2853 | 0,3843 | |
Два параметра | 0,1085 | 0,1295 | 0,1702 | 0,2179 | 0,2932 | |
1,0 | Масштабный | 0,1528 | 0,1856 | 0,2499 | 0,3262 | 0,4477 |
Формы | 0,1342 | 0,1613 | 0,2145 | 0,2773 | 0,3771 | |
Два параметра | 0,1017 | 0,1220 | 0,1623 | 0,2107 | 0,2888 | |
2,0 | Масштабный | 0,1383 | 0,1658 | 0,2195 | 0,2825 | 0,3821 |
Формы | 0,1297 | 0,1557 | 0,2063 | 0,2658 | 0,3599 | |
Два параметра | 0,1007 | 0,1209 | 0,1609 | 0,2088 | 0,2859 | |
3,0 | Масштабный | 0,1351 | 0,1618 | 0,2133 | 0,2730 | 0,3660 |
Формы | 0,1265 | 0,1519 | 0,2015 | 0,2601 | 0,3533 | |
Два параметра | 0,1000 | 0,1196 | 0,1584 | 0,2047 | 0,2790 | |
4,0 | Масштабный | 0,1299 | 0,1551 | 0,2039 | 0,2608 | 0,3502 |
Формы | 0,1248 | 0,1495 | 0,1977 | 0,2544 | 0,3444 | |
Два параметра | 0,0993 | 0,1189 | 0,1576 | 0,2038 | 0,2781 | |
5,0 | Масштабный | 0,1274 | 0,1519 | 0,1991 | 0,2541 | 0,3400 |
Формы | 0,1230 | 0,1471 | 0,1937 | 0,2479 | 0,3329 | |
Два параметра | 0,0970 | 0,1162 | 0,1546 | 0,2008 | 0,2759 | |
Значение параметра формы | При оценивании | ||
только масштабного параметра | только параметра сдвига | двух параметров | |
0,3 | Su(-2,4570; 1,2601; 0,1187; 0,1380) | Su(-2,8799; 1,4942; 0,1088; 0,1149) | Su(-2,4649; 1,5188; 0,1035; 0,1141) |
0,5 | Su(-2,5752; 1,3505; 0,1078; 0,1355) | Su(-2,6867; 1,4854; 0,1155; 0,1193) | Su(-2,6917; 1,6334; 0,0970; 0,1067) |
1,0 | Su(-2,5752; 1,3505; 0,1078; 0,1355) | Su(-2,6867; 1,4854; 0,1155; 0,1193) | Su(-2,6917; 1,6334; 0,0970; 0,1067) |
2,0 | Su(-2,4667; 1,4180; 0,1207; 0,1416) | Su(-2,7782; 1,4780; 0,1041; 0,1181) | Su(-2,5083; 1,6002; 0,0992; 0,1150) |
3,0 | Su(-2,7121; 1,4220; 0,1007; 0,1321) | Su(-2,6425; 1,4834; 0,1132; 0,1224) | Su(-2,4614; 1,6592; 0,1106; 0,1125) |
4,0 | Su(-2,6722; 1,4316; 0,1036; 0,1315) | Su(-3,1020; 1,5114; 0,0884; 0,1041) | Su(-2,9531; 1,7024; 0,0902; 0,0935) |
5,0 | Su(-2,7351; 1,4967; 0,1109; 0,1187) | Su(-2,6935; 1,5149; 0,1123; 0,1184) | Su(-3,0056; 1,7207; 0,0895; 0,0912) |
Значение параметра формы | Оцениваемый параметр | Верхние процентные точки | ||||
0,15 | 0,1 | 0,05 | 0,025 | 0,01 | ||
0,3 | Масштабный | 1,0837 | 1,2882 | 1,6743 | 2,1120 | 2,7791 |
Формы | 0,8589 | 0,9929 | 1,2362 | 1,5006 | 1,8867 | |
Два параметра | 0,6279 | 0,7195 | 0,8852 | 1,0645 | 1,3251 | |
0,5 | Масштабный | 1,0067 | 1,1869 | 1,5242 | 1,9028 | 2,4744 |
Формы | 0,8501 | 0,9811 | 1,2190 | 1,4777 | 1,8556 | |
Два параметра | 0,5987 | 0,6822 | 0,8322 | 0,9932 | 1,2257 | |
1,0 | Масштабный | 0,9134 | 1,0696 | 1,3597 | 1,6825 | 2,1656 |
Формы | 0,8230 | 0,9508 | 1,1832 | 1,4359 | 1,8055 | |
Два параметра | 0,5771 | 0,6547 | 0,7931 | 0,9405 | 1,1515 | |
2,0 | Масштабный | 0,8507 | 0,9863 | 1,2352 | 1,5088 | 1,9133 |
Формы | 0,8014 | 0,9259 | 1,1527 | 1,3997 | 1,7613 | |
Два параметра | 0,5641 | 0,6401 | 0,7760 | 0,9214 | 1,1302 | |
3,0 | Масштабный | 0,8313 | 0,9641 | 1,2079 | 1,4758 | 1,8716 |
Формы | 0,7935 | 0,9157 | 1,1378 | 1,3795 | 1,7330 | |
Два параметра | 0,5611 | 0,6345 | 0,7648 | 0,9030 | 1,1001 | |
4,0 | Масштабный | 0,8185 | 0,9481 | 1,1857 | 1,4464 | 1,8309 |
Формы | 0,7846 | 0,9054 | 1,1243 | 1,3616 | 1,7074 | |
Два параметра | 0,5590 | 0,6324 | 0,7622 | 0,8993 | 1,0938 | |
5,0 | Масштабный | 0,8036 | 0,9269 | 1,1508 | 1,3940 | 1,7489 |
Формы | 0,7723 | 0,8887 | 1,0995 | 1,3277 | 1,6598 | |
Два параметра | 0,5557 | 0,6281 | 0,7558 | 0,8905 | 1,0813 | |
Оцениваемый параметр | Распределение статистики | ||
Колмогорова | |||
ln N(-0,4138; 0,2289) | ln N(-2,7500; 0,5649) | Su(-2,7925; 1,5513; 0,1138; 0,1165) | |
ln N(-0,2220; 0,3031) | Sl(0,9845; 1,1812; 0,2354; 0,0053) | Su(-3,2608; 1,2469; 0,0836; 0,0883) | |
Su(-2,5137; 1,5524; 0,0159; 0,0118) | Su(-2,1210; 1,5490; 0,1113; 0,1325) | ||
Оцениваемый параметр | Распределение статистики | ||
Колмогорова | |||
ln N(-0,4138; 0,2289) | ln N(-2,7500; 0,5649) | Su(-2,7925; 1,5513; 0,1138; 0,1165) | |
ln N(-0,2220; 0,3031) | Sl(0,9845; 1,1812; 0,2354; 0,0053) | Su(-3,2608; 1,2469; 0,0836; 0,0883) | |
ln N(-0,4138; 0,2289) | ln N(-2,7500; 0,5649) | Su(-2,7925; 1,5513; 0,1138; 0,1165) | |
Su(-1,8744; 1,2526; 0,0142; 0,0198) | Su(-2,3550; 1,5797; 0,1050; 0,1179) | ||
ln N(-0,4226; 0,2266) | ln N(-2,7644; 0,5569) | Su(-3,0997; 1,5568; 0,0937; 0,1023) | |
Su(-1,8744; 1,2526; 0,0142; 0,0198) | Su(-2,3550; 1,5797; 0,1050; 0,1179) | ||
ln N(-0,4733; 0,2271) | ln N(-2,9537; 0,5251) | Su(-1,9900; 1,5211; 0,1145; 0,1445) | |
Оцениваемый параметр | Распределение статистики | ||
Колмогорова | |||
ln N(-0,4138; 0,2289) | ln N(-2,7500; 0,5649) | Su(-2,7925; 1,5513; 0,1138; 0,1165) | |
ln N(-0,2220; 0,3031) | Sl(0,9845; 1,1812; 0,2354; 0,0053) | Su(-3,2608; 1,2469; 0,0836; 0,0883) | |
ln N(-0,2594; 0,2990) | Sl(1,0352; 1,1218; 0,2284; 0,0070) | Su(-3,0091; 1,1753; 0,0787; 0,1050) | |
ln N(-0,4316; 0,2341) | Su(-1,7738; 1,2418; 0,0173; 0,0232) | Su(-2,7823; 1,5327; 0,1140; 0,1125) | |
Su(-1,7649; 1,2854; 0,0151; 0,0208) | Su(-2,3262; 1,5422; 0,0964; 0,1235) | ||
Su(-2,5586; 2,4112; 0,1908; 0,3411) | ln N(-3,1024; 0,5069) | Su(-2,1247; 1,4688; 0,0863; 0,1339) | |
Su(-2,3187; 2,2729; 0,1888; 0,3607) | Su(-1,4187; 1,0120; 0,0117; 0,0232) | Su(-2,2356; 1,2901; 0,0799; 0,1327) | |
ln N(-0,2836; 0,3039) | Sl(1,0334; 1,1037; 0,2220; 0,0060) | Su(-3,1039; 1,1372; 0,062; 0,0950) | |
ln N(-0,5199; 0,2184) | ln N(-3,0545; 0,5152) | Sl(0,6951; 1,4454; 0,4295; 0,0818) | |
Su(-2,5904; 2,5548; 0,1859; 0,3300) | Su(-1,6883; 1,2861; 0,0121; 0,0187) | Su(-2,1944; 1,3600; 0,0804; 0,1262) | |
Su(-2,1848; 2,1100; 0,1651; 0,3611) | Su(-1,2247; 1,0971; 0,0120; 0,0228) | Su(-2,2549; 1,4569; 0,0715; 0,1163) | |
ln N(-3,2677; 0,4767) | ln N(-1,3166; 0,4065) | ||
ln N(-0,6615; 0,1929) | ln N(-1,4121; 0,3753) | ||
ln N(-0,6101; 0,2020) | Su(-1,5455; 1,2383; 0,0108; 0,0186) | Su(-2,2203; 1,3198; 0,0646; 0,1203) | |
ln N(-0,7128; 0,1923) | ln N(-3,5836; 0,4154) | ||
Распределение случайной величины | Оцениваемый параметр | Верхние процентные точки | ||||
0,15 | 0,1 | 0,05 | 0,025 | 0,01 | ||
Sb-Джонсона | 0,8381 | 0,8865 | 0,9634 | 1,0354 | 1,1260 | |
1,0965 | 1,1811 | 1,3186 | 1,4507 | 1,6211 | ||
0,7889 | 0,8379 | 0,9161 | 0,9892 | 1,0808 | ||
Sl-Джонсона | 0,8381 | 0,8865 | 0,9634 | 1,0354 | 1,1260 | |
1,0965 | 1,1811 | 1,3186 | 1,4507 | 1,6211 | ||
0,8381 | 0,8865 | 0,9634 | 1,0354 | 1,1260 | ||
0,7887 | 0,8381 | 0,9168 | 0,9906 | 1,0829 | ||
0,8288 | 0,8762 | 0,9513 | 1,0218 | 1,1102 | ||
0,7887 | 0,8381 | 0,9168 | 0,9906 | 1,0829 | ||
0,7883 | 0,8334 | 0,9051 | 0,9722 | 1,0566 | ||
Su-Джонсона | 0,8381 | 0,8865 | 0,9634 | 1,0354 | 1,1260 | |
1,0965 | 1,1811 | 1,3186 | 1,4507 | 1,6211 | ||
1,0518 | 1,1318 | 1,2616 | 1,3863 | 1,5468 | ||
0,8278 | 0,8767 | 0,9545 | 1,0276 | 1,1196 | ||
0,7852 | 0,8338 | 0,9113 | 0,9840 | 1,0749 | ||
0,7433 | 0,7907 | 0,8697 | 0,9479 | 1,0520 | ||
0,7522 | 0,8015 | 0,8841 | 0,9665 | 1,0771 | ||
1,0319 | 1,1117 | 1,2414 | 1,3662 | 1,5271 | ||
0,7456 | 0,7866 | 0,8516 | 0,9122 | 0,9882 | ||
0,6919 | 0,7327 | 0,8000 | 0,8661 | 0,9533 | ||
0,7231 | 0,7719 | 0,8546 | 0,9381 | 1,0516 | ||
0,6917 | 0,7325 | 0,7977 | 0,8590 | 0,9357 | ||
0,6303 | 0,6608 | 0,7088 | 0,7532 | 0,8084 | ||
0,6698 | 0,7038 | 0,7574 | 0,8072 | 0,8692 | ||
0,5984 | 0,6273 | 0,6727 | 0,7147 | 0,7669 | ||
Распределение случайной величины | Оцениваемый параметр | Верхние процентные точки | ||||
0,15 | 0,1 | 0,05 | 0,025 | 0,01 | ||
Sb-Джонсона | 0,1148 | 0,1319 | 0,1619 | 0,1934 | 0,2379 | |
0,2513 | 0,3080 | 0,4170 | 0,5429 | 0,7384 | ||
0,0893 | 0,1028 | 0,1271 | 0,1532 | 0,1911 | ||
Sl-Джонсона | 0,1148 | 0,1319 | 0,1619 | 0,1934 | 0,2379 | |
0,2513 | 0,3080 | 0,4170 | 0,5429 | 0,7384 | ||
0,1148 | 0,1319 | 0,1619 | 0,1934 | 0,2379 | ||
0,0916 | 0,1074 | 0,1373 | 0,1711 | 0,2227 | ||
0,1122 | 0,1286 | 0,1575 | 0,1877 | 0,2302 | ||
0,0916 | 0,1074 | 0,1373 | 0,1711 | 0,2227 | ||
0,0899 | 0,1022 | 0,1237 | 0,1459 | 0,1769 | ||
Su-Джонсона | 0,1148 | 0,1319 | 0,1619 | 0,1934 | 0,2379 | |
0,2513 | 0,3080 | 0,4170 | 0,5429 | 0,7384 | ||
0,2357 | 0,2915 | 0,4003 | 0,5278 | 0,7290 | ||
0,1054 | 0,1238 | 0,1584 | 0,1977 | 0,2578 | ||
0,0867 | 0,1009 | 0,1274 | 0,1573 | 0,2026 | ||
0,0760 | 0,0861 | 0,1035 | 0,1214 | 0,1461 | ||
0,0889 | 0,1071 | 0,1437 | 0,1878 | 0,2598 | ||
0,2286 | 0,2840 | 0,3923 | 0,5200 | 0,7223 | ||
0,0804 | 0,0912 | 0,1100 | 0,1294 | 0,1563 | ||
0,0683 | 0,0790 | 0,0990 | 0,1216 | 0,1557 | ||
0,0692 | 0,0811 | 0,1044 | 0,1318 | 0,1753 | ||
0,0624 | 0,0702 | 0,0834 | 0,0970 | 0,1155 | ||
0,0507 | 0,0562 | 0,0652 | 0,0739 | 0,0849 | ||
0,0614 | 0,0710 | 0,0892 | 0,1099 | 0,1415 | ||
0,0427 | 0,0473 | 0,0550 | 0,0627 | 0,0730 | ||
Распределение случайной величины | Оцениваемый параметр | Верхние процентные точки | ||||
0,15 | 0,1 | 0,05 | 0,025 | 0,01 | ||
Sb-Джонсона | 0,7832 | 0,8988 | 1,1072 | 1,3317 | 1,6567 | |
1,3989 | 1,6841 | 2,2245 | 2,8391 | 3,7791 | ||
0,5525 | 0,6269 | 0,7605 | 0,9041 | 1,1119 | ||
Sl-Джонсона | 0,7832 | 0,8988 | 1,1072 | 1,3317 | 1,6567 | |
1,3989 | 1,6841 | 2,2245 | 2,8391 | 3,7791 | ||
0,7832 | 0,8988 | 1,1072 | 1,3317 | 1,6567 | ||
0,5611 | 0,6374 | 0,7741 | 0,9207 | 1,1318 | ||
0,7667 | 0,8810 | 1,0870 | 1,3088 | 1,6298 | ||
0,5611 | 0,6374 | 0,7741 | 0,9207 | 1,1318 | ||
0,5553 | 0,6297 | 0,7638 | 0,9086 | 1,1187 | ||
Su-Джонсона | 0,7832 | 0,8988 | 1,1072 | 1,3317 | 1,6567 | |
1,3989 | 1,6841 | 2,2245 | 2,8391 | 3,7791 | ||
1,3336 | 1,6190 | 2,1680 | 2,8028 | 3,7900 | ||
0,7963 | 0,9164 | 1,1334 | 1,3677 | 1,7079 | ||
0,5446 | 0,6189 | 0,7527 | 0,8969 | 1,1057 | ||
0,5001 | 0,5683 | 0,6924 | 0,8274 | 1,0253 | ||
0,6342 | 0,7403 | 0,9395 | 1,1637 | 1,5032 | ||
1,2760 | 1,5604 | 2,1124 | 2,7568 | 3,7689 | ||
0,6257 | 0,7262 | 0,9104 | 1,1122 | 1,4095 | ||
0,5549 | 0,6409 | 0,8003 | 0,9771 | 1,2412 | ||
0,4549 | 0,5182 | 0,6336 | 0,7595 | 0,9445 | ||
0,4085 | 0,4513 | 0,5231 | 0,5946 | 0,6901 | ||
0,3595 | 0,3941 | 0,4517 | 0,5084 | 0,5833 | ||
0,4985 | 0,5767 | 0,7226 | 0,8859 | 1,1316 | ||
0,2994 | 0,3269 | 0,3713 | 0,4135 | 0,4667 | ||
Денисов В.И., Лемешко Б.Ю., Постовалов С.Н. Прикладная статистика. Правила проверки согласия опытного распределения с теоретическим: Методические рекомендации. Часть I. Критерии типа | |
Kolmogoroff A.N. Sulla determinazione empirica di una legge di distribuzione. // G. Ist. Ital. attuar. - 1933. - Vol. 4. - N 1, - P. 83 - 91 | |
Большев Л.Н., Смирнов Н.В. Таблицы математической статистики. - М.: Наука, 1983. - 416 с. | |
Anderson T.W., Darling D.A. Asymptotic theory of certain "Goodness of fit" criteria based on stochastic processes. - AMS, 1952, 23. - P. 193 - 212 | |
Орлов А.И. Распространенная ошибка при использовании критериев Колмогорова и омега-квадрат // Заводская лаборатория. - 1985. - Т. 51. - N 1. - С. 60 - 62 | |
[6] | Бондарев Б.В. О проверке сложных статистических гипотез // Заводская лаборатория. - 1986. - Т. 52. - N 10. - С. 62 - 63 |
Кулинская Е.В., Саввушкина Н.Е. О некоторых ошибках в реализации и применении непараметрических методов в пакете для IBM PC // Заводская лаборатория. - 1990. - Т. 56. - N 5. - С. 96 - 99 | |
Kac M., Kiefer J., Wolfowitz J. On tests of normality and other tests of goodness of fit based on distance methods // Ann. Math. Stat. - 1955. - V. 26. - P. 189 - 211 | |
Durbin J. Kolmogorov - Smirnov test when parameters are estimated // Lect. Notes Math. - 1976. - V. 566. - P. 33 - 44 | |
Мартынов Г.В. Критерии омега-квадрат. - М.: Наука, 1978. - 80 с. | |
Pearson E.S., Hartley H.O. Biometrica tables for Statistics. V. 2. - Cambridge: University Press, 1972. - 634 p. | |
[12] | Stephens M.A. Use of Kolmogorov - Smirnov, Cramer - von Mises and related statistics - without extensive table // J.R. Stat. Soc. - 1970. - B. 32. - P. 115 - 122 |
[13] | Stephens M.A. EDF statistics for goodness of fit and some comparisons // J. Am. Statist. Assoc. - 1974. - V. 69. - P. 730 - 737 |
Chandra M., Singpurwalla N.D., Stephens M.A. Statistics for Test of Fit for the Extrem-Value and Weibull Distribution // J. Am. Statist. Assoc. - 1981. - V. 76. - P. 375 | |
Тюрин Ю.Н. О предельном распределении статистик Колмогорова - Смирнова для сложной гипотезы // Изв. АН СССР. Сер. Матем. - 1984. - Т. 48. - N 6. - С. 1314 - 1343 | |
[16] | Тюрин Ю.Н., Саввушкина Н.Е. Критерии согласия для распределения Вейбулла - Гнеденко // Изв. АН СССР. Сер. Техн. Кибернетика. - 1984. - N 3. - С. 109 - 112 |
[17] | Тюрин Ю.Н. Исследования по непараметрической статистике (непараметрические методы и линейная модель): Автореф. дисс. д-ра физ.-мат. наук. - М., 1985. - 33 с. - (МГУ) |
[18] | Саввушкина Н.Е. Критерий Колмогорова - Смирнова для логистического и гамма-распределения // Сб. тр. ВНИИ систем, исслед. - 1990, N 8 |
Тюрин Ю.Н., Макаров А.А. Анализ данных на компьютере. - М.: ИНФРА-М, Финансы и статистика, 1995. - 384 с. | |
Лемешко Б.Ю., Постовалов С.Н. Прикладные аспекты использования критериев согласия в случае проверки сложных гипотез // Надежность и контроль качества. - 1997. - N 11. - С. 3 - 17 | |
Лемешко Б.Ю., Постовалов С.Н. О распределениях статистик непараметрических критериев согласия при оценивании по выборкам параметров наблюдаемых законов // Заводская лаборатория. - 1998. - Т. 64. - N 3. - С. 61 - 72 | |
Лемешко Б.Ю., Постовалов С.Н. Исследование допредельных распределений статистик критериев согласия при проверке сложных гипотез // Тр. IV международной конференции "Актуальные проблемы электронного приборостроения". - Новосибирск. - 1998. - Т. 3. - С. 12 - 16 | |
Лемешко Б.Ю., Постовалов С.Н. О зависимости распределений статистик непараметрических критериев и их мощности от метода оценивания параметров // Заводская лаборатория. Диагностика материалов. - 2001. - Т. 67. - N 7 | |
Лемешко Б.Ю., Постовалов С.Н. Применение непараметрических критериев согласия при проверке сложных гипотез // Автометрия. - 2001. - N 2. - С. 88 - 102 | |
Лемешко Б.Ю., Постовалов С.Н. О зависимости предельных распределений статистик | |
Лемешко Б.Ю., Постовалов С.Н. Статистический анализ одномерных наблюдений по частично группированным данным // Изв. вузов. Физика. - Томск, 1995. - N 9. - С. 39 - 45 | |
Лемешко Б.Ю., Постовалов С.Н. Статистический анализ смесей распределений по частично группированным данным // Сб. научных трудов НГТУ. - Новосибирск: Изд-во НГТУ, 1995. - N 1. - С. 25 - 31 | |
Орлов А.И. Методы оценки близости допредельных и предельных распределений статистик // Заводская лаборатория. - 1998. - Т. 64. - N 5. - С. 64 - 67 | |
Ермаков С.М., Михайлов Г.А. Статистическое моделирование. - М.: Наука, 1982. - 296 с. | |
Орлов А.И. Неустойчивость параметрических методов отбраковки резко выделяющихся наблюдений // Заводская лаборатория. - 1992. - Т. 58. - N 7. - С. 40 - 42 | |
Денисов В.И., Лемешко Б.Ю., Цой Е.Б. Оптимальное группирование, оценка параметров и планирование регрессионных экспериментов: В 2 ч. / Новосиб. гос. техн. ун-т. - Новосибирск, 1993. - 346 с. | |
[32] | Лемешко Б.Ю., Постовалов С.Н. Вопросы обработки выборок одномерных случайных величин // Научный вестник НГТУ. - Новосибирск, 1996. - N 2. - С. 3 - 24 |
[33] | Лемешко Б.Ю. Асимптотически оптимальное группирование наблюдений - это обеспечение максимальной мощности критериев // Надежность и контроль качества. - 1997. - N 8. - С. 3 - 14 |
Лемешко Б.Ю. Асимптотически оптимальное группирование наблюдений в критериях согласия // Заводская лаборатория. - 1998. - Т. 64. - N 1. - С. 56 - 64 | |
Rao C.R. Criteria of estimation in large samples // Sankhua, 1962. - V. 25. - P. 189 - 206 | |
Рао С.Р. Линейные статистические методы и их применения. - М.: Наука, 1968. - 548 с. | |
[37] | Губарев В.В. Вероятностные модели: Справочник. В 2 ч. / Новосиб. электротехн. ин-т. - Новосибирск, 1992. - 422 с. |
УДК 311.218:311(084):006.354 | ОКС 03.120.30 | ОКСТУ 0011 |
Ключевые слова: проверка гипотез, критерии согласия, простые и сложные гипотезы, статистика критерия, распределение статистики, уровень значимости, конкурирующая гипотеза, мощность критерия, статистическое моделирование | ||