Главная // Актуальные документы // ПостановлениеСПРАВКА
Источник публикации
М.: Госстандарт России, 2003
Примечание к документу
Документ
введен в действие с 01.04.2004.
Название документа
"Р 50.2.029-2003. Рекомендации по метрологии. Государственная система обеспечения единства измерений. Измерения в оптоэлектронике. Термины и определения. Часть III. Средства измерений и их элементы"
(приняты и введены в действие Постановлением Госстандарта России от 29.09.2003 N 275-ст)
"Р 50.2.029-2003. Рекомендации по метрологии. Государственная система обеспечения единства измерений. Измерения в оптоэлектронике. Термины и определения. Часть III. Средства измерений и их элементы"
(приняты и введены в действие Постановлением Госстандарта России от 29.09.2003 N 275-ст)
Приняты и введены в действие
от 29 сентября 2003 г. N 275-ст
РЕКОМЕНДАЦИИ ПО МЕТРОЛОГИИ
ГОСУДАРСТВЕННАЯ СИСТЕМА ОБЕСПЕЧЕНИЯ ЕДИНСТВА ИЗМЕРЕНИЙ
ИЗМЕРЕНИЯ В ОПТОЭЛЕКТРОНИКЕ
ТЕРМИНЫ И ОПРЕДЕЛЕНИЯ
ЧАСТЬ III
СРЕДСТВА ИЗМЕРЕНИЙ И ИХ ЭЛЕМЕНТЫ
Р 50.2.029-2003
Группа Т80
Дата введения
1 апреля 2004 года
1 РАЗРАБОТАНЫ Федеральным Государственным Унитарным предприятием "Всероссийский научно-исследовательский институт оптико-физических измерений" (ФГУП ВНИИОФИ) Госстандарта России
ВНЕСЕНЫ Управлением метрологии Госстандарта России
2 ПРИНЯТЫ И ВВЕДЕНЫ В ДЕЙСТВИЕ
Постановлением Госстандарта России от 29.09.2003 г. N 275-ст
3 ВВЕДЕНЫ ВПЕРВЫЕ
Содержащиеся в рекомендации термины расположены в систематизированном порядке, отражающем систему понятий в области измерений в оптоэлектронике. В
разделах 3 и
4 дана сквозная нумерация терминов.
Для каждого понятия рекомендуется один термин, набранный полужирным шрифтом.
Для отдельных терминов приведены в качестве справочных краткие формы, указанные светлым шрифтом, которые можно применять в случаях, исключающих возможность их различного толкования.
В рекомендациях приведены иноязычные эквиваленты терминов на немецком (обозначение - de) и английском (обозначение - en) языках, являющиеся справочными.
В рекомендациях приведен алфавитный
указатель содержащихся в них терминов, а также приведены алфавитные указатели эквивалентов терминов на
немецком и
английском языках.
Настоящие рекомендации содержат термины и определения основных понятий, применяемых в области измерений в оптоэлектронике.
Термины, приведенные в настоящих рекомендациях, рекомендуются для применения в нормативных документах всех видов, научно-технической, учебной и справочной литературе.
В настоящих рекомендациях использованы ссылки на следующие нормативные документы:
ГОСТ Р 1.5-2002 Государственная система стандартизации Российской Федерации. Стандарты. Общие требования к построению, изложению, оформлению, содержанию и обозначению
РМГ 29-99 Государственная система обеспечения единства измерений. Метрология. Основные термины и определения
Примечание - При пользовании настоящими рекомендациями целесообразно проверить действие ссылочных нормативных документов по указателю "Государственные стандарты", составленному по состоянию на 1 января текущего года, и по соответствующим информационным указателям, опубликованным в текущем году. Если ссылочный документ заменен (изменен), то при пользовании настоящими рекомендациями следует руководствоваться замененным (измененным) документом. Если ссылочный документ отменен без замены, то положение, в котором дана ссылка на него, применяется в части, не затрагивающей эту ссылку.
3 Методы измерений и регистрации
de Messverfahren
en method of measurement
Операция или совокупность операций по определению значения измеряемой величины или параметров процесса.
Примечание - По
РМГ 29: Прием или совокупность приемов сравнения измеряемой величины с ее единицей в соответствии с реализованным принципом измерений
de Registrierungmethode
en recording method
Метод записи информации на материале или другом носителе
3 метод фотографической регистрации
de Methode der photographischenregistrierung
en photographic recording method
Метод регистрации, при котором материалом-носителем информации является светочувствительная эмульсия
3.1 Методы высокоскоростной фотографии
4 метод многоканального усиления яркости изображения
de Methode der

der Bildeshelle
en method many-channel intensifier brightness of image
Метод последовательного усиления яркости с помощью многокаскадных ЭОП
5 метод визуализации изображения
de Methode des Visualizationes des Bildes
en method of visualization image
Метод преобразования невидимого для человеческого глаза изображения предмета в видимое изображение
de Methode der Bearbeitung
en processing method
Способ или технический прием обработки информации
7 кинематографический метод
de Filmischesmethode
en method cinematographic
Метод исследования и измерений параметров быстропротекающий процесс (БПП), основанный на применении кинематографической аппаратуры
8 электронно-оптический метод
de Elektronenoptischesmethode
en electron-optical method
Метод регистрации, основанный на преобразовании потока фотонов в поток электронов для последующего усиления и создания изображения на мишени или экране
9 фотохронографический метод регистрации
de Methode der Photochronographischregistrierung
en photo chronographic method of registration
Метод регистрации, при котором на фотокатоде ЭОП проецируется изображение объекта в виде узкой щели, которая затем разворачивается по экрану, в результате чего происходит преобразование пространственной координаты изображения во временную
10 метод электронно-оптической диагностики
de Methode elektronenoptischer Diagnostik
en method of electron-optical diagnostics high-speed transient event
Метод, основанный на применении импульсных ЭОП в качестве времяанализирующих элементов скоростных систем, позволяющих получить пространственно-временные характеристики физических явлений
11 интерференционный метод
de Interferenzmethode
en interference method
Метод измерений, основанный на эффекте интерференции оптического излучения
12 интерферометрический метод
de Interferometrischemmethode
en interferometric method
Метод, основанный на применении интерферометров
13 метод двулучевого интерферометра
de Methode des zweiradialen Interferometers
en two beam Interferometric method
Метод, заключающийся в том, что луч излучения, модулированного по фазе, поступает в интерферометр типа Майкельсона
14 метод Хэнбери-Брауна и Твисса
de Methode Chenbery-Braun und Twiss
en Chenbery-Brawn and Twiss method
Интерференционный метод корреляции интенсивностей по выходным сигналам двух детекторов
15 метод интерференционного контраста
de Methode des Interferenzkontrastes
en method of interferometric contrast
Метод, основанный на интерференции пучков оптического излучения, прошедших через прозрачную или слабо прозрачную частицу вещества. При использовании оптических компенсаторов разность хода лучей может быть измерена до

16 метод Фурье-спектроскопии
de Methode Foyrie-spektroskopie
en Foyrier-spectroscopy method
Метод получения спектров оптического излучения, заключающийся в регистрации интерферограммы исследуемого излучения и вычислении спектра путем Фурье-преобразований
17 метод покадровой регистрации
de Methode der Stammregistrierung
en method of frame-wise registration
Метод, при котором на катоде проецируется двухмерное изображение - кадр. Последовательная регистрация кадров позволяет осуществить многокадровую съемку
18 метод оптической компенсации
de Methode des optischen Abfindungsgeldes
en optical compensation
Метод компенсации скорости движения фотопленки в высокоскоростной фотографической камере
19 метод временного интегрирования
de Methode der zeitlichen Integration
en method of time integration
Метод увеличения отношения сигнал/шум в изображениях, путем наложения некоррелированного шума
20 метод фазового контраста;
фазово-контрастный метод
de Methode des Phasekontrastes
en phase-contrast method
Метод получения изображений микроскопических объектов, основанный на регистрации различия в сдвигах фазы разных участков волны оптического излучения при ее прохождении через эти объекты
21 поляризационно-оптический метод
de Polarisation-optische Methode
en polarize-optical method
Метод измерений механических напряжений, основанный на искусственном двойном лучепреломления (пьезооптическом эффекте)
22 метод фазовых разложений
de Methode der Phasezerlegungen
en method of phase decomposition
Метод измерений параметров поляризации непрерывного оптического излучения, основанный на анализе всевозможных вариантов состояния поляризации излучения. Осуществляется наблюдением за изменением яркости поля зрения при вращении поляризатора и вращениях поляризатора и четвертьволновой пластинки относительно оси, совпадающей с направлением распространения излучения. Может быть использовано также расщепление пучка на несколько компонентов, проходящих через анализаторы, установленные под различными углами
3.2 Методы измерений параметров лазерного излучения
3.2.1 Методы измерений энергии или мощности
23 тепловой метод измерений энергии (мощности);
тепловой метод
de Thermischemethode
en thermal method
Метод, основанный на использовании тепловой энергии, выделяющейся при поглощении лазерного излучения веществом
24 фотоэлектрический метод измерений энергии (мощности);
фотоэлектрический метод
de Photoelektrischemethode
en photo-electric method
Метод, основанный на использовании фотоэлектрических эффектов в веществе, основными из которых являются эффекты возникновения э.д.с. или эмиссии электронов и изменения электропроводности под действием падающего лазерного излучения
25 метод измерений энергии (мощности) счетом фотонов;
метод счета фотонов
de Methode der Photonenrechnung
en method of account of photons
Фотоэлектрический метод, основанный на регистрации лазерного излучения путем счета отдельных фотонов
de Ponderomotivesmethode
en ponderomotive method
Метод, основанный на использовании пондеромоторного действия лазерного излучения на вещество, заключающегося в передаче веществу импульса или момента импульса
de Lumineszenzmethode
en luminescent method
Метод, основанный на воздействии лазерного излучения на процессы люминесценции, по одному из переменных параметров которой определяются энергетические параметры лазерного излучения
de Photochimikermethode
en photochemical method
Метод, основанный на использовании фотохимических реакций с известным квантовым выходом, возникающих при поглощении лазерного излучения веществом
de Photographischemethode
en photographic method
Метод, основанный на фотохимическом действии лазерного излучения на фотоматериалы и функциональной зависимости оптической плотности почернения D фоточувствительного слоя от облученности этого слоя E и времени экспонирования t
30 метод нелинейных оптических эффектов
de Methode der nichtlinearen optischen Effekte
en method of nonlinear optical effects
Метод, основанный на нелинейных оптических эффектах, возникающих при прохождении лазерного излучения через вещество, основными из которых являются эффект оптического выпрямления, эффект оптической поляризации, генерирования гармоник и комбинационное рассеивание
3.2.2 Методы измерений расходимости лазерного излучения
31 метод фокального пятна
de Brenfleckmethode
en method of focal spot
Метод, в котором значение расходимости пучка лазерного излучения определяется из отношения диаметра пятна изображения поля излучения в фокальной плоскости объектива, измеряемого при определенном уровне энергии излучения, к фокусному расстоянию объектива
32 автокалибровочный метод
de Autoeichmethode
en auto gauge method
Метод фокального пятна, в котором с помощью зеркального клина одновременно получается несколько изображений поля лазерного излучения с разной экспозицией
de Methode zwei Schnitte
en method of two cuts
Метод, в котором значение расходимости пучка лазерного излучения определяется из отношения разности диаметров двух сечений лазерного пучка, расположенных в дальней зоне и измеряемых при определенном уровне энергии излучения, к расстоянию между выбранными сечениями
34 метод диаграммы направленности
de Methode des Diagrammes der Ausrichtung
en method of directional diagram
Метод, при котором определяют диаграмму направленности лазерного излучения на основании полученных фотографическим, тепловым, фотоэлектрическим и другими методами данных о распределении поля излучения в сечении лазерного пучка, находящегося в дальней зоне на различных расстояниях от излучающей поверхности лазера
3.2.3 Методы измерений распределения плотности мощности (энергии) в сечении лазерного пучка
35 метод параллельного анализа
de Methode der parallelen Analyse
en method of parallel analysis
Метод, в котором распределение плотности мощности или энергии лазерного излучения измеряется одновременного по всему сечению лазерного пучка
36 метод последовательного анализа
de Methode der sequentiellen Analyse
en method of sequential analysis
Метод, при котором распределение плотности мощности или энергии лазерного излучения измеряется последовательно по отдельным площадкам сечения лазерного пучка
de Maternmethode
en matrix method
Метод, при котором осуществляется поэлементное дискретное разложение сечения лазерного пучка при помощи матрицы, состоящей из определенного числа первичных измерительных преобразователей, обычно равномерно распределенных по сканируемому полю, с одновременной или последовательной регистрацией выходных сигналов преобразователей и их координат
3.3 Методы измерений длины волны, нестабильности длины волны, модового состава и спектральных характеристик
38 метод интерференционной спектрометрии
de Interferenzspektrometriiemethode
en method interference spectrometry
Метод измерений длины волны, при котором для разложения лазерного излучения в спектр и получения интерферограмм используются интерферометры различных типов
39 метод призменной спектрометрии
de Prismenspektroskopiemethode
en method of prism spectrometry
Метод измерений длины волны, при котором разложение лазерного излучения в спектр используются призменные спектральные приборы
40 метод дифракционной спектрометрии
de Diffractivespektrometriiemethode
en method of diffraction spectrometry
Метод измерений длины волны, при котором для разложения лазерного излучения в спектр используются дифракционные спектральные приборы
41 метод сравнения с эталонным источником излучения
de Methode des Vergleiches mit der geeichten Quelle der Ausstrahlung
en method of a comparison with a standard stimulus source
Метод, основанный на измерениях длины волны лазерного излучения с длиной волны эталонного источника с последующим вычислением по параметрам интерферограмм абсолютных значений длины волны, а также нестабильности длины волны при определении абсолютных значений длины волны через определенные интервалы времени
42 метод определения спектральной плотности мощности (энергии) лазерного излучения
de Methode der Bestimmung der spektralen Dichte der

(die Energie) der Laserausstrahlung
en method of determination of a spectral density of power (energy) of a laser radiation
Метод, основанный на определении с помощью различных спектральных приборов распределения плотности мощности (энергии) лазерного излучения по спектру и на определении аппаратной функции спектрального прибора с последующей редукцией.
Примечание - Наблюдаемое распределение

есть свертка аппаратной функции

и истинного распределения спектральной плотности мощности

:
3.4 Методы измерений частоты и нестабильности частоты
43 метод сравнения с эталонной частотой
de Methode des Vergleiches mit der geeichten Frequenz
en method of a comparison with standard frequency
Метод абсолютных измерений частоты, при котором сигнал с эталонной частотой или гармоника этого сигнала смешиваются на нелинейном элементе с сигналом, частота которого неизвестна, с последующими измерениями частоты разностного сигнала биений
44 метод оптического гетеродинирования
de Methode der Optischesuberlagerung
en optical heterodyning method
Метод измерений частоты и нестабильности лазерного излучения, при котором используется смешение пучков излучения двух независимых или идентичных лазеров с последующим анализом частоты биений, в результате которого по одной известной частоте определяется неизвестная, а изменение частоты сигнала биений характеризует относительную нестабильность частоты излучения одного лазера относительно другого
45 гомодинный метод преобразования фазовой модуляции в амплитудную
de Homodinsmethode der Transformation der Phasemodulation in spitzen
en homodyne method conversion phase modulation in pulse modulation
Метод преобразования, заключающийся в сложении модулированного по фазе сигнала оптического излучения, проходящего через среду, с опорным сигналом
46 гомодинный метод анализа спектра
de Homodinsmethode der Analyse des Spektrums
en homodyne method of analyze spectrum
Метод измерений, при котором используются собственные биения частоты спектральной линии при использовании ответвителей излучения; разностная частота при этом равна флюктуации частоты
47 гетеродинный метод анализа спектра
de Uberlagerungsmethode der Analyse des Spektrums
en heterodyne method of analysis spectrum
Метод измерений, при котором используется принцип модуляции пучка оптического излучения при смешении исследуемого излучения с излучением гетеродина с последующим анализом разностной частоты
48 метод межмодовых биений
de Methode Interferenzschwingung zwischen den Moden
en methode beats between modes
Метод измерений, при котором регистрируется и анализируется спектр частот биений между отдельными модами лазерного излучения
49 метод Фурье-спектрометрии
de Fourier Spektroskopiemethod
en Fourier spectroscopy method
Метод оптической спектрометрии, при котором осуществляется непрерывное кодирование длин волн с помощью интерференционной модуляции, возникающей в двухлучевом интерферометре при изменении оптической разности хода, с получением интерферограммы, которая для получения искомого спектра подвергается Фурье-преобразованию на компьютере
3.5 Методы измерений временной когерентности
50 интерференционный метод измерений временной когерентности;
интерференционный метод
de Interferentdiemethode des Messens der Zeitlichskoharenz
en interferometric method of measurement time coherence
Метод, основанный на создании сдвига фаз оптических сигналов во времени оптическими методами и определении видности полос интерференционной картины
51 голографический метод измерений временной когерентности;
голографический метод
de Holographischesmethode des Messens der Zeitlichskoharenz
en holographic method of measurement time coherence
Метод, основанный на сравнении распределения яркости по объекту с распределением яркости по изображению этого объекта, восстановленному голограммой
52 метод измерений временной когерентности счетом фотонов
de Methode des Messens zeitweilig

von der Rechnung photons
en method of measurement of temporary coherence by account of photons
Метод, основанный на исследовании корреляции между флуктуациями числа фотонов, приходящих в единицу времени на два независимых фотоэлектрических преобразователя от двух групп фотонов с определенным запаздыванием

являются методами косвенных измерений ширины спектральной линии

и наоборот. При Гауссовой форме линии, например, связь между ними определяется выражением
3.6 Методы измерений пространственной когерентности
53 интерференционный метод измерений пространственной когерентности;
интерференционный метод
de Interferentdiemethode des Messens der Raumskoharenz
en interferometric method of measurement space coherence
Метод, основанный на создании оптическими методами сдвига фаз сигналов, исходящих из различных точек пучка излучения, и определении видности полос интерференционной картины
54 голографический метод измерений пространственной когерентности
de Holographischesmethode des Messens der Raumskoharenz
en holographic method of measurement spatial coherence
Метод, основанный на определении распределения яркости восстановленного с помощью голограммы изображения объекта при освещении определенного ее элемента источником, используемым для записи голограммы
55 дифракционный метод измерений пространственной когерентности;
дифракционный метод
de Diffraktionsmethode
en diffraction method
Метод, основанный на исследовании картины дифракции, которая образуется при прохождении исследуемого излучения через отверстие определенной формы
56 поляризационный метод измерений пространственной когерентности
de Polarisationsmethode des Messens der Raumskoharenz
en polarization method of measurement space coherence
Метод, основанный на получении интерференционной картины при помощи поляризационных устройств с последующими измерениями видности интерференционных полос
57 метод измерений пространственной когерентности счетом фотонов
de Methode der Messen Raumskoharenz von der Rechnung photons
en measurement method of space coherence by the account of photons
Метод, основанный на исследовании корреляции между флуктуациями числа фотонов, приходящих в единицу времени на два независимых фотоэлектрических преобразователя от двух групп фотонов, на которые разделяется исследуемый поток излучения в двухлучевых интерферометрах с пространственным разделением волнового фронта при изменении удаления от оси координат
3.7 Методы измерений временных параметров
58 фотоэлектрический метод измерений временного параметра лазерного излучения
de Photoelektrischemethode des Messens des zeitweiligen Parameters der Laserausstrahlung
en photo-electric method of a measurement of a temporary parameter of a laser radiation
Метод, при котором лазерное излучение преобразуется в линейном режиме при помощи различного рода фотоэлектрических преобразователей в электрический сигнал с последующей передачей его на измерительную и регистрирующую аппаратуру или компьютер с целью измерений параметров электрического импульса, по которым и определяют временные параметры и характеристики лазерного излучения
59 тепловой метод измерений временного параметра лазерного излучения
de Thermischemethode des Messens des zeitweiligen Parameters der Laserausstrahlung
en thermal method of measurement of temporary parameter of laser radiation
Метод, в котором для измерений временных параметров и характеристик лазерное излучение преобразуют с помощью быстродействующих болометров или пироэлектрических преобразователей с последующей передачей сигнала на измерительную и регистрирующую аппаратуру
60 метод электронно-оптической хронографии
de Methode der Elektronenoptischeschronography
en method of electron-optical chronographic
Метод измерений, при котором изменение интенсивности изображения источника излучения в пространстве и времени регистрируются с помощью ЭОП с целью измерений временных параметров и кинетики характеристик лазерного излучения
61 метод генерирования гармоник
de Methode generation der Harmoniken
en method generation of harmonics
Метод, при котором лазерный пучок делится на два со строго контролируемой разностью хода и направляется в нелинейную среду, отклик которой затем исследуется, а длительность одиночного импульса излучения определяется по зависимости интенсивности второй гармоники от сдвига фаз двух волн
62 метод многоквантового поглощения
de Methode der Mehrquantenabsorption
en method of multiquantum absorption
Метод, основанный на взаимодействии прямой и обратной волн в кювете, заполненной красителем, природа которого и положение полосы поглощения определяют характер кратности поглощения с последующей люминесценцией, по распределению интенсивности которой и определяется длительность однократного импульса излучения
3.8 Методы измерений параметров поляризации лазерного излучения
63 метод фазовых разложений
de Methode der Phasezerlegungen
en method of phase expansions
Метод, основанный на анализе всевозможных вариантов состояний поляризации излучения. Осуществляется наблюдением за изменениями яркости поля зрения при вращении поляризатора и независимых взаимных вращениях поляризатора и четвертьволновой пластинки относительно оси, совпадающей с направлением распространения излучения. Может быть использовано также расщепление пучка на несколько компонент, проходящих через анализаторы, установленные под различными углами
64 метод внесения разности фаз
de Methode der Eintragung der Differenz der Phasen
en method of phase change carry in
Метод измерений степени поляризации частично поляризованного оптического излучения, основанный на разделении его при помощи поляризаторов и анализаторов на поляризованную и неполяризованную компоненты с последующим изменением разности фаз при помощи фазовых пластинок и измерениями интенсивностей поляризованной компоненты и общего потока излучения
65 метод линейного поляризатора
de Methode Linearspolarisator
en method of linear polarizer
Метод измерений степени поляризации оптического излучения с частичной линейной поляризацией. Основан на определении двух положений линейного поляризатора, установленного на пути пучка лазерного излучения и вращаемого вокруг его оси, соответствующих наибольшей и наименьшей интенсивностям проходящего излучения. При этом отношение разности и суммы указанных величин равно степени поляризации исследуемого излучения
66 метод определения положения плоскости колебаний
de Methode der Bestimmung der Lage der

der Schwingungen
en method of determination of apposition of aplane of oscillations
Метод, основанный на зависимости вида

интенсивности I линейно поляризованного излучения, прошедшего через вращающийся относительно оси лазерного пучка поляризатор, от угла поворота последнего

.
Примечание - Угол поворота поляризатора

- угол между плоскостью колебаний падающего линейно поляризованного излучения и главной плоскостью поляризации
67 метод определения пространственного положения эллипса
de Methode der Bestimmung der Raumlage der Ellipse
en method of determination of attitude of ellipse
Метод, основанный на определении угла между большой осью эллипса и горизонталью, перпендикулярной к оси лазерного пучка, при вращении поляризатора вокруг этой оси и на определении максимальной яркости поля зрения, соответствующей направлению пропускания поляризатора, параллельным большой и малой осям эллипса соответственно
68 метод определения формы эллипса
de Methode der Bestimmung der Form der Ellipse
en method of determination of form of ellipse
Метод, основанный на преобразовании лазерного излучения неизвестной поляризации при помощи комбинации фазовых пластинок до полного исчезновения сигнала в приемнике, настроенном на линейную поляризацию, и анализе взаимных положений пластинок и анализатора
69 метод измерений разности фаз;
метод измерений сдвига фаз
de Methode des Messens der Differenz der Phasen
en method of phase change measurement
Метод, основанный на определении потока излучения, выходящего из анализатора при различных взаимных ориентациях элементов используемой оптической схемы, и на анализе зависимости этого потока от направления колебаний электрического вектора излучения, падающего на анализатор
3.9 Методы контроля качества
70 метод пространственного интегрирования
de Methode der Raumintegration
en method of space integration
Метод выделений фиксированных деталей в сумме нескольких изображений одного и того же предмета
71 автоколлимационный метод
de Autokollimationsmethode
en auto-collimation method
Метод, применяемый для проверки параллельности оптических деталей (например, лазерных зеркал), контроля параллельности перемещений и т.д.
теневой метод
de Teplers-methode
en Teplers method
Метод обнаружения оптических неоднородностей в прозрачных преломляющих средах и дефектов отражающих поверхностей
3.10 Методы голографической интерферометрии
73 метод реального времени
de Methode der realen Zeit
en method of real time
Метод, основанный на интерференции волны, непосредственно распространяющейся от объекта и объемной волны, полученной при восстановлении, и используемый для наблюдения интерференционной картины одновременно с изменениями, происходящими в объекте
de Methode zwei Expositionen
en method of two expositions
Метод, основанный на получении совмещенной голограммы, состоящей из двух подголограмм, каждая из которых является голограммой одного и того же объекта, и последующем восстановлении
75 метод усреднения во времени
de Methode

in der Zeit
en method of averaging in time
Метод, основанный на получении совмещенной голограммы объекта, колеблющегося с постоянной частотой и амплитудой, при времени экспонирования, превышающем период колебания, и последующем воспроизведении
76 стробоголографический метод
de Strobeholographicmethode
en strobe holographic methode
Метод, основанный на получении совмещенной голограммы объекта, находящегося в повторно-переменном состоянии, получение подголограмм которой синхронизировано с определенным состоянием объекта, и последующем воспроизведении
77 метод синтезированной голограммы
de Methode synthesized des Hologrammes
en method of synthesized hologram
Метод, основанный на использовании синтезированной голограммы
de Methode zwei

der Wellen
en method of two lengths of waves
Метод, основанный на получении совмещенной голограммы с помощью излучения, содержащего две близкие длины волны
de Immersionsmethode
en immersion method
Метод, основанный на получении совмещенной голограммы, путем помещения объекта в среды с различными показателями преломления
de Methode zwei Quellen
en method of two sources
Метод, основанный на получении совмещенной голограммы объекта путем использования двух освещающих источников с различными частотами
81 метод совмещенного источника
de Methode der vereinten Quelle
en method of combined source
Метод, основанный на получении совмещенной голограммы объекта путем смещения освещающего источника между последовательными экспозициями
4 Средства измерений и их элементы
4.1 Государственные эталоны
de Normal
en measurement standard
Средство измерений (или комплекс средств измерений), предназначенное для воспроизведения и (или) хранения единицы и передачи ее размера нижестоящим по поверочной схеме средствам измерений и утвержденное в качестве эталона в установленном порядке (по
РМГ 29)
de

en primary standard
Эталон, обеспечивающий воспроизведение единицы с наивысшей в стране (по сравнению с эталонами той же единицы) точностью (по
РМГ 29)
84 государственный первичный эталон;
государственный эталон;
ГПЭ
de Staatliches Normal
en state measurement standard
Эталон, признанный решением уполномоченного на то государственного органа в качестве исходного на территории государства (по
РМГ 29)
85 государственный специальный эталон;
ГСЭ
de Staatlichen speziellen Etalon
en state special measurement standard
Эталон, обеспечивающий воспроизведение единицы в особых условиях и заменяющий для этих условий первичный эталон
86 ГПЭ единицы силы света
de Staatliches Normal Einheit der Kraft des Lichtes
en state measurement standard of unit of light intensity
Эталон, утвержденный в качестве государственного Постановлением Госстандарта России 25 января 1990 г. (ГОСТ 8.023-90).
Примечание - Метрологические характеристики:
- диапазон измерений: 30 - 100 кд;
- СКО: 0,1·10-2;
- НСП: 0,25·10-2
87 ГПЭ единицы средней мощности лазерного излучения
de Staatliches Normal Einheiten der mittleren

der Laserausstrahlung
en state measurement standard of units of average power of laser radiation
Эталон, утвержденный в качестве государственного Постановлением Госстандарта России.
Примечание - Метрологические характеристики:
- спектральный диапазон: 0,3 - 12 мкм;
- диапазон измерений: 0,08 - 0,8 Вт;
- СКО: 0,03·10-2;
- НСП: 0,04·10-2
88 ГСЭ единиц координат цвета и координат цветности
de Staatliches Normal Einheiten der Koordinaten der Farbe und der Chromatikkoordinaten
en state measurement standard of units of coordinates of color and coordinates of chromaticity
Эталон, утвержденный в качестве государственного Постановлением Госстандарта России 3 июля 1991 г. (ГОСТ 8.275-91).
Примечание - Метрологические характеристики:
- диапазон измерений: | 1,4 - 109,0, 0,0039 - 0,8338; |
- СКО: (1 - 2)·10-2, (0,25 - 2,5)·10-4;
- НСП: 0,05 - 0,1, (0,5 - 5)·10-3
89 ГСЭ единицы спектральной плотности энергетической яркости оптического излучения в диапазоне длин волн 0,04 - 0,25 мкм
de Staatliches Normal Einheiten der spektralen Dichte der energetischen Helle der optischen Ausstrahlung im Bereich der

der Wellen 0,04 - 0,25 micron
en state measurement standard of Units of spectral density of power brightness of optical radiation in a range of lengths of waves 0,04 - 0,25 microns
Эталон, утвержденный в качестве государственного Постановлением Госстандарта России 6 февраля 1986 г. (ГОСТ 8.197-86).
Примечание - Метрологические характеристики:
- спектральный диапазон: 0,04 - 0,25 мкм;
- диапазон измерений: 1,109 - 1,1015 Вт/(ср·м3);
- СКО: (2,7 - 1,9)·10-2;
- НСП: (2,0 - 1,6)·10-2
90 ГСЭ единицы мощности импульсного лазерного излучения в диапазоне длин волн 0,4 - 10,6 мкм
de Staatliches Normal Einheiten der

der Impulslaserausstrahlung im Bereich der

der Wellen 0,4 - 10,6 micron
en state measurement standard of units of power of impulse laser radiation in a range of lengths of waves 0,4 - 10,6 micron
Эталон, утвержденный в качестве государственного Постановлением Госстандарта СССР 20 декабря 1985 г. (ГОСТ 8.198-85).
Примечание - Метрологические характеристики:
- спектральный диапазон: 0,4 - 10,6 Вт;
- диапазон измерений: 1·10-5 - 1 Вт;
- СКО: 1,5·10-2;
- НСП: 2·10-2 - 3,5·10-2
91 ГСЭ единицы потока излучения при длине волны 0,95 мкм
de Staatliches Normal Einheiten des

der Ausstrahlung bei der

der Welle 0,95 micron
en state measurement standard of unit of a radiation flux for want of to wavelength 0,95 microns
Эталон, утвержденный в качестве государственного Постановлением Госстандарта СССР 23 января 1978 г. (ГОСТ 8.273-78).
Примечание - Метрологические характеристики:
- спектральный диапазон: 0,4 - 1,4 мкм;
- диапазон измерений: (1 - 2)·10-2;
- СКО: 2·10-2;
- НСП: 4·10-4
92 ГПЭ единицы показателя преломления
de Staatliches Normal Einheiten der Brechungstxponent
en state measurement standard of units of a parameter of refraction
Эталон, утвержденный в качестве государственного Постановлением Госстандарта СССР 5 декабря 1985 г. (МИ 2129-91).
Примечание - Метрологические характеристики:
- диапазон измерений: 1,4 - 2 - для твердого тела, 1 - 4 - для жидкости;
- СКО: 1·10-6, 1·10-7;
- НСП: 2·10-6, 2·10-7
93 ГСЭ единицы потока импульсного оптического излучения в диапазоне длин волн 0,8 - 1,0 мкм
de Staatliches Normal Einheiten des

der Impuls- optischen Ausstrahlung im Bereich der

der Wellen 0,8 - 1,0 micron
en state measurement standard of units of stream of impulse optical radiation in a range of lengths of waves 0,8 - 1,0 microns
Эталон, утвержденный в качестве государственного Постановлением Госстандарта СССР 5 декабря 1985 г. (ГОСТ 8.538-85).
Примечание - Метрологические характеристики:
- спектральный диапазон: 0,8 - 1,0 мкм;
- диапазон измерений: 1·10-3 - 1·10-2 Вт;
- СКО: 1·10-2;
- НСП: 2·10-2
94 ГПЭ единиц спектрального коэффициента направленного пропускания в диапазоне 0,2 - 50 мкм, диффузного и зеркального отражений в диапазоне 0,2 - 2,5 мкм
de Staatliches Normal Einheiten des spektralen Koeffizientes gerichtet Transmission im Bereich 0,2 - 50 micron, diffusionen und der Spiegelreflexionen im Bereich 0,2 - 2,5 micron
en state measurement standard of units of spectral factor of directed passing in a range 0,2 - 50 microns, diffuse and mirror reflections in a range 0,2 - 2,5 microns
Эталон, утвержденный в качестве государственного Постановлением Госстандарта России (ГОСТ 8.557-91).
Примечание - Метрологические характеристики:
- спектральный диапазон: | 0,2 - 50 мкм, 0,2 - 2,5 мкм; |
- диапазон измерений: 0,01 - 0,95;
- СКО 2·10-4;
- НСП 5·10-3
95 ГСЭ единицы энергетической освещенности малых уровней в диапазоне длин волн 1 - 50 мкм
de Staatliches Normal Einheiten der energetischen

der kleinen Niveaus im Bereich der

der Wellen 1 - 50 micron
en state measurement standard of units of power light exposure of small levels in a range of lengths of waves 1 - 50 microns
Эталон, утвержденный в качестве государственного Постановлением Госстандарта России 10 марта 1993 г. (ГОСТ Р 8.558-93).
Примечание - Метрологические характеристики:
- спектральный диапазон: 1 - 50 мкм;
- диапазон измерений: 1·10-3 - 1 Вт/м2;
- СКО: 1·10-4;
- НСП: (0,06 - 1)·10-2
96 ГПЭ единиц потока излучения и энергетической освещенности в диапазоне длин волн 0,03 - 0,4 мкм
de Staatliches Normal Einheiten des

der Ausstrahlung und der energetischen

im Bereich der

der Wellen 0,03 - 0,4 micron
en state measurement standard of units of a radiation flux and power light exposure in a range of lengths of waves 0,03 - 0,4 microns
Эталон, утвержденный в качестве государственного Постановлением Госстандарта России 24 апреля 2001 г. (ГОСТ 8.552-01).
Примечание - Метрологические характеристики:
- спектральный диапазон: 0,03 - 0,4 мкм;
- диапазоны измерений: | 10-6 - 102 Вт, 10-3 - 103 Вт/м2 |
97 ГПЭ единиц спектральной плотности энергетической яркости, спектральной плотности силы излучения и спектральной плотности энергетической освещенности в диапазоне длин волн 0,25 - 25,00 мкм; силы излучения и энергетической освещенности в диапазоне длин волн 0,2 - 25,0 мкм
de Staatliches NormalEinheiten der spektralen Dichte der energetischen Helle, der spektralen Dichte der Kraft der Ausstrahlung und der spektralen Dichte der energetischen

im Bereich der

der Wellen 0,25 - 25,00 micron; die

der Ausstrahlung und der energetischen

im Bereich der

der Wellen 0,2 - 25,0 micron
en state measurement standard of units of spectral density of power brightness, spectral density of force of radiation and spectral density of power light exposure in a range of lengths of waves 0,25 - 25,00 microns; forces of radiation and power light exposure in a range of lengths of waves 0,2 - 25,0 microns
Эталон, утвержденный в качестве государственного Постановлением Госстандарта России 2 февраля 1989 г. (ГОСТ 8.195-89).
Примечание - Метрологические характеристики:
- спектральный диапазон: 0,25 - 25,0 мкм;
- СПЭЯ, СПСИ и СПЭО, 0,2 - 25,0 мкм - СИ и ЭО;
- диапазоны измерений:
1·107 - 1·1012 Вт/(ср·м3),
1·102 - 1·108 Вт/(ср·м),
1·102 - 1·108 Вт/м3,
10 - 100 Вт/ср,
10 - 2000 Вт/м2,
- СКО: (0,06 - 1)·10-2, 0,1·10-2;
- НСП: (0,09 - 1,1)·10-2, (0,14 - 1,36)·10-2, (0,15 - 1,37)·10-2, 0,1·10-2
98 ГСЭ единицы длины для спектроскопии
de Staatliches Normal Einheiten der

Spektroskopie
en state measurement standard of units of length for spectroscopy
Эталон, утвержденный в качестве государственного Постановлением Госстандарта России в 1996 г.
(МИ 2060-90).
Примечание - Метрологические характеристики:
- длина волны: 0,60578021 мкм;
- СКО: 4·10-9;
- НСП: 5·10-10
4.2 Измерительная аппаратура, приборы и установки
de Messmittel
en measuring instrument
Техническое средство, предназначенное для измерений, имеющее нормированные метрологические характеристики, воспроизводящее и (или) хранящее единицу физической величины, размер которой принимают неизменным (в пределах установленной погрешности) в течение известного интервала времени (по
РМГ 29)
de Apparatur
en apparatus
Совокупность приборов, технических устройств и приспособлений, предназначенных для выполнения каких-либо работ по регулированию, контролю, испытаниям, измерениям и т.п.
101 измерительная аппаратура
de

en measurement apparatus
Аппаратура, разрешенная к применению в качестве средств измерений
102 аппаратура высокоскоростной фотографии
de Apparatur der Hochgeschwindigkeitsfotografie
en high speed photographic apparatus
Аппаратура, предназначенная для регистрации и измерений параметров оптико-физических быстропротекающих процессов
103 кинематографическая аппаратура
de Filmische Apparatur
en cinematographic apparatus
Аппаратура, обеспечивающая согласование по времени и фазе устройств для приведения к взаимному соответствию процессов, протекающих в этих устройств
de Kammer
en camera
Оптико-механическое или оптико-электронное устройство для получения изображения объектов на светочувствительном слое фотопленки, экране ЭОП или в цифровом коде
105 высокоскоростная камера
de Hochgeschwindigkeitskammer
en camera for high speed motion
Камера, позволяющая регистрировать быстропротекающие процессы
106 оптико-механическая высокоскоростная камера
de Opticalsmechanische Kammer
en mechanical-optical camera
Высокоскоростная камера, основными элементами которой являются оптическая система и механическая развертка изображения
107 зеркальная высокоскоростная камера
de Spiegelhochgeschwindigkeitskammer
en mirror camera for high-speed motion
Оптико-механическая камера, в которой осуществляется зеркальная развертка изображения
de Elektronische Kammer
en electronic camera
Электронно-оптический прибор для воспроизведения изображения объектов на фотоэмульсии, чувствительной к воздействию потока электронов, или люминесцирующем экране
109 электронно-оптическая камера
de Elektronenoptische Kammer
en electron-optical camera
Высокоскоростная камера, предназначенная для регистрации и измерений пространственно-временных интервалов однократных БПП, сопровождаемых мягким рентгеновским излучением или оптическим излучением, в зависимости от типа применяемого ЭОП
110 однокадровая электронно-оптическая камера
de Einstammelektronenoptische Kammer
en one frame electron-optical camera
Электронная камера, предназначенная для однокадровой регистрации и измерений пространственных интервалов между характерными точками изображения слабосветящихся процессов видимого и ближнего ИК диапазонов спектра, а также мягкого рентгеновского излучения и вакуумного ультрафиолета, в зависимости от типа применяемого ЭОП
111 масс-спектрограф Томсона
de Thomsons Massenspektrograph
en Thomson mass-spectrograph
Высокоскоростная камера, предназначенная для исследования ионной компоненты лазерной плазмы по энергиям и зарядовому состояниям. Основным узлом является ЭОП с микроканальным усилением
отметчик времени
de Chronograph
en chronograph
Прибор для регистрации момента времени какого-либо события
de Foto den Chronograph
en photo chronograph
Прибор для регистрации и измерений в пространстве и времени параметров оптического излучения, основными элементами которого являются входная оптическая и развертывающая системы и узел регистрации
114 высокоскоростной зеркальный хронограф
de Hochgeschwindigkeitsspiegelchronograph
en high-speed mirror chronograph
Высокоскоростная камера, предназначенная для регистрации и измерений параметров БПП в спектральном диапазоне 0,2 - 11 мкм
115 голографическая установка
de Holographischeaufstellen
en holographic plant
Установка, предназначенная для измерений и регистрации параметров объектов и БПП
116 импульсная голографическая установка
de Impuls- Holographischeaufstellen
en pulsed holographic plant
Установка, предназначенная для измерений и регистрации параметров БПП в жидкостях и газах методами голографии и томографии
117 голографический корреляционный спектрометр
de Holographisch korrelationsspektrometer
en holographic correlative spectrometer
Прибор, предназначенный для исследования равновесных и неравновесных процессов, характеризующих динамику вязких светорассеивающих сред
118 голографический микроскоп
de Holographischesmicrosckope
en holographic microscope
Оптический микроскоп, основанный на использовании голографических методов
119 голографический интерференционный микроскоп
de Holographisch interferense Microsckope
en holographic interference microscope
Голографический микроскоп, основанный на использовании методов голографической интерферометрии
120 голограммный оптический элемент
ГОЭ
de Holographischesoptischeselement
en hologram an optical element
Элемент, представляющий собой оптическую голограмму или голограммный транспарант, выполняющий дифракционное преобразование как аналогичное преобразованиям, осуществляемым классическими оптическими элементами, так и специфическое, определяемое возможностями голографии
de Holographischesoptik
en hologram optics
Совокупность голограммных оптических элементов
122 синтезированный голограммный оптический элемент
de Synthese Holographisches optische Element
en synthesized hologram optical element
Голограммный оптический элемент, выполненный в виде синтезированной голограммы
123 дифракционная решетка
de Begungsgitter
en diffraction grating
Оптический прибор, представляющий собой периодическую структуру регулярно расположенных элементов, на которых происходит дифракция оптического излучения. Например, параллельные и равноотстоящие штрихи, нанесенные на плоскую или вогнутую оптическую поверхность
124 голограммная дифракционная решетка
de Holographischesbegungsgitter
en hologram diffraction grating
Голограмма, выполняющая функции дифракционной решетки
125 синтезированная голограммная дифракционная решетка
de Synthese Holographischesbegungsgitter
en synthesized hologram diffraction grating
Синтезированный голограммный оптический элемент, выполняющий функции дифракционной решетки
126 пропускающая голограммная дифракционная решетка
de

en passing hologram diffraction grating
Голограммная дифракционная решетка, представляющая собой пропускающую голограмму
127 отражательная голограммная дифракционная решетка
de Reflexionsholographischesbegungsgitter
en reflective hologram diffraction grating
Голограммная дифракционная решетка, представляющая собой отражательную голограмму
128 голограммный мультипликатор
de Holographischesmultiplikator
en hologram multiplicator
Оптическая система для получения идеальных изображений объекта, в которой роль множительного элемента выполняет голограмма набора точечных источников
129 голографический интерферометр
de Holographischesinterferometer
en hologram interferometer
Измерительный прибор, основанный на принципах голографической интерферометрии
130 голографический асферометр
de Holographischesaspherometer
en hologram aspherometer
Голографический измерительный прибор, предназначенный для контроля качества асферических поверхностей оптических деталей как с помощью оптической голограммы образцового объекта, так и с помощью синтезированной голограммы
131 голографический анализатор веществ
de Holographischeanalysator der Stoffe
en hologram analyzer of substances
Голографический прибор, предназначенный для анализа веществ
de Tomograph
en tomograph
Прибор, предназначенный для получения изображений внутренних сечений трехмерных объектов, основанный на принципах интерферометрии
133 измерительный томограф
de

en measuring tomograph
Томограф, имеющий нормированные метрологические характеристики
de Spektrograph
en spectrograph
Спектральный прибор, предназначенный для получения и одновременной регистрации протяженных спектров оптического излучения
de Chronospektrograph
en chronospectrograph
Спектрограф и хронограф, конструктивно объединенные в одном приборе
анализатор
de

en decipherer
Устройство для расшифровки заснятых объектов, установление их качественных и количественных характеристик
de

en film-decipherer
Дешифратор для расшифровки заснятых кинематографической аппаратурой объектов
138 оптический анализатор изображения
de Analysator des optischen Bildes
en analyzer of optical image
Узел оптической системы, осуществляющий первичную обработку информации о структуре изображения с целью образования оптического сигнала, параметры которого определенным образом связаны с параметрами изображения
139 анализатор записи сигналов
de Analysator der Aufzeichnung der Signale
en analyzer of signal recording
Прибор, позволяющий осуществлять обработку сигналов, записанных на пленке, экране потенциалоскопа, электронно-лучевой трубке, ЭОП и др.
de Analysator des Spektrums
en analyzer of spectrum
Прибор, позволяющий анализировать спектр процесса. Двухмерные когерентные оптические анализаторы позволяют также измерять фазовые сдвиги спектральных компонентов, присутствующих в двух процессах
141 анализатор спектра изображений
de Analysator des Spektrums des Bildes
en analyzer of image spectrum
Прибор, позволяющий проводить спектральный анализ графиков, рисунков, чертежей реальных структур и рельефов, изображений, излучающих рассеянное некогерентное излучение
de Korrelator
en korrelator
Прибор, служащий для измерений корреляционных функций случайных процессов
143 анализатор корреляции
de Analysator der Korrelation
en correlative analyzer
Прибор, позволяющий измерять и регистрировать функции корреляции процессов
de Optischesystem
en optical system
Совокупность оптических деталей: линз, призм, пластинок, зеркал и т.п., скомбинированных между собой определенным образом для получения оптического изображения или для преобразования потока оптического излучения, идущего от источника
de Abtastendesystem
en scanning system
Устройство, позволяющее проводить анализ исследуемого пространства путем последовательного просмотра
146 оптико-механическая сканирующая система
de Optikal-mechanische abtastende System
en optical-mechanical scanning system
Сканирующая система, в которой просмотр поля осуществляется при помощи специальных оптико-механических устройств - вращающегося зеркала или других вращающихся или поступательно перемещающихся оптических элементов
147 фотоэлектронная сканирующая система
de Foto-elektronische Abtastendesystem
en photo electronic scanning system
Сканирующая система, в которой изображение исследуемого поля излучения проецируется на чувствительный элемент преобразователя излучения, а затем анализируется электронным лучом, управляемым электрическим или магнитным полем
148 электронно-лучевой прибор
de

en electron-beam apparatus
Электронный прибор, предназначенный для преобразования информации, представленной в виде электрических сигналов или сигналов оптического излучения. Отличительная особенность - использование потока электронов, сконцентрированных в узкий пучок, управляемый как по интенсивности, так и по положению в пространстве
149 регистрирующий прибор
de

en autographic apparatus
Прибор, в состав которого входят носитель записи информации, регистрирующий орган, устройство для перемещения носителя и регистрирующего органа
de Fotoregistrator
en photo recorder
Регистрирующий прибор, в котором запись информации осуществляется на светочувствительный материал
de Interferometer
en interferometer
Прибор, действие которого основано на интерференции волн
152 оптический интерферометр
de Optikalsinterferometer
en optical interferometer
Интерферометр, в котором поток оптического излучения от источника пространственно разделяется на два или большее число когерентных лучей, проходящих различные оптические пути
153 лазерный интерферометр
de Laserinterferometer
en laser interferometer
Оптический интерферометр, в котором в качестве источника излучения используется лазер
154 интерферометр Фабри-Перо
de Fabry-Perot Interferometer
en Fabry-Perot interferometer
Многолучевой интерферометр, состоящий из двух параллельных между собой стеклянных или кварцевых пластинок, на обращенные друг к другу поверхности которых нанесены зеркальные покрытия с высоким коэффициентом отражения
155 интерферометр Маха-Цандера
de Mach-Sander-Interferometer
en Mach-Sander-interferometer
Интерферометр, основу которого составляет интегрально-оптический волновод, разветвляющийся на входе устройства на два канала, которые вновь объединяются на выходе
156 фототермопластический регистратор
de Fotothermoplastisch Registrator
en photo-thermoplastic register
Прибор, предназначенный для регистрации голограмм на термопластиковой пленке, основанный на методах голографии и томографии
157 волоконно-оптический интерферометр
de Fiber-optical Interferometer
en fiber-optical interferometer
Оптический интерферометр, в котором лучи до сведения проходят через волоконный световод, на который воздействует измеряемая величина (давление ускорение и т.д.)
158 ахроматический интерферометр
de Achromatischesinterferometer
en achromatic interferometer
Интерферометр, в котором устранена хроматическая аберрация
159 система первичной обработки информации
de System der primaren Bearbeitung der Information
en system of primary processing information
Система, служащая обычно для образования электрического сигнала, среднее значение которого связано с входным значением измеряемого параметра определенной зависимостью. Основными ее звеньями являются оптическая система и приемник оптического излучения
160 оптическое запоминающее устройство
de Optische Speichereinrichtung
en optical storage device
Запоминающее устройство, в котором по крайней мере одна из операций - запись, считывание или стирание - осуществляется с использованием оптического излучения
161 переключатель Цернике
de Zernicke Umschalter
en Zernicke switching
Интерферометр, состоящий из двух элементов связи с коэффициентом передачи по 3 дБ каждый и устройства для изменения фазы волны оптического излучения в одной из ветвей
162 поляризационный прибор
de

en polarization apparatus
Оптический прибор для обнаружения, анализа, получения и преобразования поляризованного оптического излучения, а также для различных исследований и измерений, основанных на явлении поляризации
de Polarimeter
en polarimeter
Прибор для измерений угла вращения плоскости поляризации монохроматического излучения в оптически активных веществах, а также для определения степени поляризации частично поляризованного излучения
de Kolorimetr
en colorimeter
Прибор для измерений цветов в трехмерной колориметрической системе. Предполагается, что любой цвет может быть представлен как результат оптического смешения определенных количеств трех цветов, принимаемых за основные цвета
de Kaloriemesser
en calorimeter
Измерительный прибор, основанный на преобразовании энергии излучения в тепловую энергию, представляющий собой поглотитель известной массы с известной теплоемкостью, близкий по своим свойствам к черному телу, или с неизвестным коэффициентом отражения
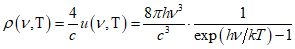
de Modell des schwarzen

en model of black body
Излучатель, спектр равновесного излучения которого описывается формулой Планка:

,
где

- объемная плотность излучения (энергия излучения в единице объема;

- испускательная способность абсолютно черного тела (энергия излучения, испускаемая его поверхностью за единицу времени)
de Radiometr
en radiometer
Прибор, предназначенный для измерений энергии оптического излучения, основанный на его тепловом действии
de Spektrometr
en spectrometer
Прибор для измерений оптических спектров с помощью фотоэлектрических приемников
de Spectroradiometr
en spectroradiometer
Прибор для измерений мощности (потока) излучения в узком спектральном диапазоне
de Spektrophotometr
en spectrophotometer
Спектральный прибор для измерений потока излучения в различных участках спектра (обычно путем сравнения измеряемого потока с потоком эталонного источника), а также для сравнения спектрального состава различных источников
de Pirheliometr
en pyrheliometer
Прибор для измерений освещенности солнечным излучением, основным элементом которого является тепловой измерительный преобразователь (приемник) с электрическим замещением энергии поглощенного оптического излучения
de Aktinometr
en actinometer
Прибор для измерений энергетической освещенности солнечным освещением по степени нагрева поглощающей излучение зачерненной поверхностью
de Piranometr
en pyranometer
Термоэлектрический прибор для измерений энергетической освещенности солнечным излучением
de Albedometr
en albedometer
Прибор для измерений отражательной способности тела
de Balansenmetr
en balancemeter
Прибор для измерений энергетической освещенности солнечным излучением методом электрического замещения поглощенной энергии излучения
de

der Helle
en meter of brightness
Прибор, предназначенный для измерений яркости оптического излучения
de Laserviser
en laserviser
Прибор, предназначенный для визуализации лазерного излучения и измерений в сечении пучка пространственно-энергетических характеристик лазерного излучения с длиной волны, лежащей за пределами видимого диапазона спектра электромагнитного излучения
178 дозиметр лазерного излучения
de Laserausstrahlungsdosimeter
en dosimeter of laser radiation
Средство измерений параметров лазерного излучения в заданной точке пространства с целью выявления степени опасности воздействия на организм человека, животных и на растения
4.3 Измерительные приемники и источники оптического излучения
179 измерительный преобразователь
de Messwandler
en measuring transducer
Техническое средство с нормированными метрологическими характеристиками, служащее для преобразования измеряемой величины в другую величину или измерительный сигнал, удобный для обработки, хранения, дальнейших преобразований, индикации или передачи (по
РМГ 29)
180 первичный измерительный преобразователь;
первичный преобразователь
de Aufnehmer;
en sensor
Измерительный преобразователь, на который непосредственно воздействует измеряемая физическая величина, т.е. первый преобразователь в измерительной цепи измерительного прибора (установки, системы) (по
РМГ 29)
181 измерительный преобразователь оптического излучения;
преобразователь излучения
de Umsetzer der Ausstrahlung
en converter of radiation
Измерительный преобразователь, предназначенный для преобразования оптической энергии оптического излучения в другие виды энергии или преобразования спектрального состава излучения
182 приемник оптического излучения
de

der optischen Ausstrahlung
en optical radiation receiver
Устройство, служащее для преобразования энергии оптического излучения в другие виды энергии, удобные для регистрации и (или) измерений
183 измерительный приемник оптического излучения;
измерительный приемник
de

en measuring receiver
Приемник оптического излучения с нормированным метрологическими характеристиками.
Примечания
1 Измерительный приемник оптического излучения аналогичен первичному измерительному преобразователю.
2 В дальнейшем рассматриваются измерительные приемники
184 чувствительный элемент приемника оптического излучения;
чувствительный элемент
de Eempfindlicheelement
en ensitive element
Основная часть приемника, находящаяся под непосредственным воздействием оптического излучения
185 измерительный источник оптического излучения;
измерительный источник
de Messquelle
en measuring source
Источник оптического излучения с нормированными метрологическими характеристиками
186 программируемый приемник оптического излучения;
программируемый приемник
de

en programmed receiver
Устройство оптоэлектроники, включающее приемник оптического излучения, электронные схемы обработки электрического сигнала и стабилизации режимов работы, процессор и другие элементы, выполненное в едином конструктивном исполнении
187 программируемый источник оптического излучения;
программируемый источник
de Programmiertequelle
en programmed source
Устройство оптоэлектроники, включающее источник оптического излучения, электронные схемы стабилизации режимов работы, процессор и другие элементы, выполненное в едином конструктивном исполнении
188 иммерсионный приемник
de

en immersion receiver
Приемник оптического излучения, в котором при вводе излучения используется принцип оптической иммерсии. При этом за счет уменьшения площади чувствительного слоя приемника отношение сигнал/шум на его выходе увеличивается кратно показателю преломления (в n раз)
189 пондеромоторный измерительный преобразователь излучения;
пондеромоторный преобразователь
de Ponderomotiveumsetzer
en ponderomotive converter
Измерительный преобразователь, принцип действия которого основан на пондеромоторном действии оптического излучения, заключающемся в передаче веществу импульса или момента импульса
190 дилатометрический приемник
de

en dilatometer receiver
Приемник, основанный на использовании теплового расширения твердых тел
191 измерительный фотоэлектрический преобразователь;
фотоэлектрический преобразователь;
фотоэлектрический приемник;
фотоприемник
de

en photo receiver
Измерительный преобразователь (приемник) оптического излучения, основанный на использовании внешнего или внутреннего фотоэффекта
192 измерительный фотоэлектромагнитный преобразователь излучения;
фотоэлектромагнитный преобразователь
de en Photoelectromagneticumsetzer
en photoelectromagnetic converter
Фотоэлектрический преобразователь излучения с чувствительным элементом из полупроводникового материала, действие которого основано на электромагнитном эффекте
193 измерительный преобразователь излучения на основе фотонного увлечения
de Messumsetzer der Ausstrahlung auf Grand der Photonenbegeisterung
en measuring converter of a radiation because of photon dagging
Фотоэлектрический измерительный преобразователь импульсного лазерного излучения, основанный на эффекте увлечения свободных электронов в полупроводниках фотонами, с регистрацией тока или э.д.с., возникающих при распределении импульса поглощаемого излучения между кристаллической решеткой полупроводника и свободными электронами
194 тепловой измерительный преобразователь излучения;
тепловой преобразователь;
тепловой приемник
de

en thermal receiver
Измерительный преобразователь (приемник) излучения, в котором поглощение электромагнитного излучения чувствительным элементом приводит или к фазовым переходам, или к нагреванию этого элемента, вызывающим изменения его физических свойств, которые измеряют
195 люминесцентный измерительный преобразователь;
люминесцентный преобразователь;
люминесцентный приемник
de

en luminescent receiver
Измерительный преобразователь (приемник) излучения, основанный на изменении параметров оптического излучения люминофором, из которого изготовлен его чувствительный элемент
196 диэлектрический измерительный преобразователь;
диэлектрический преобразователь
de Dielektrischumsetzer
en dielectric converter
Измерительный преобразователь излучения чувствительным элементом - конденсатором, температура которого, а, как следствие, и емкость изменяются вследствие поглощения потока излучения, действие которого основано на зависимости диэлектрической постоянной вещества от изменения температуры
197 фотохимический измерительный преобразователь излучения;
фотохимический преобразователь;
фотохимический приемник
de

en photochemical receiver
Измерительный преобразователь (приемник) излучения, в котором в качестве чувствительного элемента используются фотографические материалы или химические актинометры, представляющие собой жидкостные или газовые системы, в которых поглощение кванта излучения приводит к специфической реакции с известным квантовым выходом
198 пироэлектрический измерительный преобразователь;
пироэлектрический преобразователь;
пироэлектрический приемник
de Piroelektrik

en pyroelectric receiver
Измерительный преобразователь (приемник) излучения, действие которого основано на пироэлектрическом эффекте
199 оптико-пневматический измерительный преобразователь излучения;
оптико-пневматический преобразователь;
приемник Голея
de

en Golay-receiver
Измерительный преобразователь (приемник) излучения, чувствительный элемент которого представляет собой ячейку, заполненную газом, повышение температуры которого вследствие поглощения энергии излучения, а, следовательно, и объема, приводит к изгибу мембраны, являющейся одной из стенок ячейки
200 координатно-чувствительный приемник
de Koordinatensempfindlichen

en coordinate-sensitivity receiver
Приемник оптического излучения, сигнал на выходе которого изменяется в зависимости от места попадания потока излучения на чувствительный элемент (слой) приемника
201 одноэлементный измерительный преобразователь излучения;
одноэлементный преобразователь;
одноэлементный приемник
de Einelementen

en single-element receiver
Измерительный преобразователь (приемник) оптического излучения, имеющий один чувствительный элемент
202 многоэлементный измерительный преобразователь излучения;
многоэлементный преобразователь;
мозаичный приемник;
многоэлементный приемник
de Mehrelementen

en many-element receiver
Координатно-чувствительный преобразователь (приемник), чувствительный слой которого состоит из нескольких отдельных элементов, заключенных в один корпус
203 фотомагнитоэлектрический приемник
de Fotomagnetoelektrischen

en photomagneticoelectrical receiver
Приемник, работающий на основе фотомагнитоэлектрического эффекта
de Abtaster
en scannister
Координатно-чувствительный приемник, основой которого являются параллельные пластины, имеющие несколько p-n переходов, соединенных попарно и включенных навстречу друг другу
de Fotozelle
en photocell
Фотоэлектрический приемник, в котором в результате поглощения энергии падающего на него оптического излучения генерируется э.д.с или электрический ток
206 широкополосный коаксиальный фотоэлемент;
ФЭК
de Breitbandkoaxialfotozelle
en wide-band coaxial phototube
Фотоэлемент, предназначенный для аналогового преобразования однократных импульсов оптического излучения в электрический сигнал
207 фотоэлектронный умножитель;
фотоумножитель
de Sekundarelektronenvervielfacher
en photo multiplier
Фотоэлектрический приемник, преобразующий слабые сигналы оптического излучения в электрические, основанный на фотоэлектронной и вторичной электронной эмиссиях
208 широкополосный фотоумножитель
de

en wide-band electron-multiplier
Фотоумножитель, предназначенный для преобразования потока импульсно-модулированного оптического излучения в электрический сигнал
209 фотоумножитель с микроканальной пластиной
de

mit der Mikrokanalplatte
en electron-multiplier with micro channel plate
Фотоумножитель, предназначенный для применения в импульсной фотометрии и оптоэлектронике в качестве преобразователя слабых потоков оптического излучения в электрический сигнал с высоким временным разрешением
210 управляемый фотоумножитель
de Steuerung

en controlled electron-multiplier
Фотоумножитель, предназначенный для преобразования формы, амплитуды, длительности и мощности оптических импульсов
211 логарифмический фотоумножитель
de Logarithmischen Sekundarelektronenvervielfacher
en logarithmic electron-multiplier
Фотоумножитель, для исследования БПП, сопровождающихся оптическим излучением с большой неопределенностью амплитудных и временных параметров
de Fotodiode
en photodiode
Полупроводниковый фотоэлектрический приемник, обладающей односторонней фотопроводимостью
de Lawinesfotodiode
en avalanche photodiode
Фотодиод, основанный на явлении фотоэлектрического пробоя p-n перехода, в результате которого из-за ударной ионизации происходит лавинообразное увеличение числа носителей заряда
de Schot-diode
en Shot-diode
Фотодиод, основанный на переходе металл-полупроводник. Отличается высокой чувствительностью при больших энергиях излучения
de P-i-n diode
en p-i-n diode
Фотоприемник, обладающий быстрым откликом. В p-i-n диоде используются слаболегированные подложки, позволяющие расширить область пространственного заряда на всю толщину подложки
светоизлучающий диод;
светодиод
de Ausstrahllend Diode
en light diode
Полупроводниковый прибор, преобразующий электрическую энергию в энергию оптического излучения на основе явления спонтанной рекомбинации электронов и дырок в полупроводниковом кристалле с электронно-дырочным переходом, либо на основе инжекционной электролюминесценции при гетеропереходе, либо контакте металл-полупроводник
217 высокочастотный светодиод
de Hochfrequent Ausstrahllend Diode
en high frequency light-diode
Светодиод, способный работать при высоких частотах модуляции, например, диоды с двумя гетеропереходами при высоких уровнях легирования германия
de Laser-diode
en high frequency light-diode
Излучающий диод, в котором индуцированное излучение получается с помощью неосновных носителей при использовании p-n перехода или гетероперехода
de Fotosresistor
en photo resistor
Фотоприемник из однородного полупроводника, электрическое сопротивление которого изменяется в зависимости от интенсивности его облучения
220 измерительный термоэлемент;
термоэлемент
de Thermoelement
en thermoelement
Полупроводниковый или металлический термоэлемент с нормированными метрологическими характеристиками
221 измерительный термостолбик;
термостолбик
de

en thermocouple
Несколько соединенных измерительных термостолбиков
de Bolometer
en bolometer
Тепловой неселективный приемник (преобразователь) оптического излучения, основанный на изменении электрического сопротивления термочувствительного элемента при нагревании его вследствие поглощения измеряемого потока излучения.
Примечание - В зависимости от материала чувствительного элемента болометры бывают металлические и полупроводниковые
223 сверхпроводящий болометр
de

en superconducting bolometer
Болометр, материал чувствительного элемента которого охлаждается до состояния сверхпроводимости
224 электронно-оптический преобразователь;
ЭОП
de Elektronenoptischen Umsetzer
en electron-optical converter
Вакуумный фотоэлектронный прибор, предназначенный для преобразования невидимого глазом оптического изображения объекта (в ИК и УФ диапазонах), а также рентгеновского изображения в видимое и (или) служащий для усиления яркости изображения
de Einkaskaden- elektronenoptischen Umsetzer
en stage less electron-optical converter
ЭОП, состоящий из фотокатода, фокусирующей системы и люминесцентного экрана
de Mehrkaskaden- elektronenoptischen Umsetzer
en multi-stage electron-optical converter
Прибор, состоящий из последовательно соединенных ЭОП, причем, поток излучения с экрана первого ЭОП направляется на фотокатод второго и т.д.
de Hybrid- elektronenoptischen Umsetzer
en hybrid electron-optical converter
ЭОП с жидкокристаллической мишенью, преобразующий некогерентное излучение в когерентное. Предназначен для регистрации слабосветящихся объектов и процессов с последующим оперативным вводом данных в различные системы оптической обработки информации
228 времяанализирующий ЭОП
de Zeit den analysierenden elektronenoptischen Umsetzer
en time-analyzing electron-optical converter
ЭОП, имеющий систему управления потоком электронов, содержащую электронный затвор и электростатические пластины развертки. Предназначен для сверхскоростной съемки как хронографической, так и покадровой регистрации БПП
229 времяанализирующий рентгеновский ЭОП
de Zeit den analysierenden Rontgen- elektronenoptischen Umsetzer
en time-analyzing roentgen electron-optical converter
Времяанализирующий ЭОП, предназначенный для регистрации БПП в диапазоне мягкого рентгеновского излучения
230 ЭОП с микроканальным усилением
de Elektronenoptischen Umsetzer mit der Mikrokanalverstarkung
en electron-optical converter with microphone intensify
ЭОП с микроканальными пластинами, в которых возникает дополнительное усиление потока электронов за счет вторичной эмиссии
de

en planar brightness image intensifier
Однокаскадный ЭОП, в котором отсутствует система фокусировки электронов
усилитель изображения;
электронный усилитель изображения
de

en image intensifier;
brightness intensifier;
electronic image intensifier
Электронный прибор, предназначенный для увеличения яркости оптического изображения
233 масштабирующий усилитель яркости изображения
de

des Bildes
en scaled brightness image intensifier
ЭОП, в котором масштаб изображения на экране может изменяться плавно или скачком
234 гибридный рентгеновский преобразователь
de

en roentgen hybrid electron-optical converter
Преобразователь с диодно-мозаичной кремниевой мишенью и электрическим считыванием сигнала телевизионным растром. Предназначен для систем визуализации и измерений параметров рентгеновского пучка
de Impuls- elektronenoptischen Umsetzer
en pulsed image-converter tube
ЭОП, управляющие электроды которого питаются от импульсных источник электрического напряжения
de Dissektor
en dissector
Электровакуумный прибор, формирующий наносекундные электрические импульсы специальной формы путем преобразования заданной функции освещенности фотокатода в пропорциональный аналоговый электрический сигнал. Предназначен для работы в системах определения пространственного и спектрального распределения мощности оптического излучения БПП и автоматических системах съема и обработки информации
237 диссектор изображения
de Bildesdissektor
en image dissector
Передающий электронно-лучевой прибор, преобразующий изображение в последовательность электрических сигналов без накопления заряда
238 ослабитель оптического излучения;
ослабитель
de Attenuator
en attenuator
Устройство, предназначенное для уменьшения потока излучения в известное число раз
4.4 Элементы средств измерений
4.4.1 Элементы средств измерений параметров ВОСП
239 компонент волоконно-оптической системы передачи;
компонент ВОСП
de Komponent
en component
Изделие оптики, оптоэлектроники или оптико-механические изделия, являющееся частью волоконно-оптической системы передачи
240 оптический волновод ВОСП
de Optischehohleiter
en optical wave guide
Направляющая среда, структура которой обеспечивает распространение оптического излучения вдоль нее
волокно
de Fiber
en fiber
Оптический волновод ВОСП, выполненный в виде нити из диэлектрических материалов с покрытием или других материалов
242 многомодовое оптическое волокно;
многомодовое волокно
de Mehrmoden Fiber
en multimode fiber
Оптическое волокно, по которому может распространяться более одной моды
243 градиентное оптическое волокно;
градиентное волокно
de Gradientsfiber
en gradient fiber
Оптическое волокно, профиль показателя преломления которого является монотонной убывающей функцией радиуса в пределах его сердцевины
244 оболочка оптического волокна;
оболочка
de

en casing
Внешняя поверхность оптического волокна, имеющая постоянное значение показателя преломления по поперечному сечению и определяющая совместно с сердцевиной структуру поля распространяющегося оптического излучения
245 сердцевина оптического волокна;
сердцевина
de Herz
en core
Центральная поверхность оптического волокна, имеющая больший показатель преломления, чем окружающая оболочка оптического волокна, и определяющая совместно с нею структуру поля распространяющегося оптического излучения
световод
de Lichtfiber
en fiber waveguide
Направляющий канал для передачи оптического излучения, состоящий из сердцевины, окруженной отражающей оболочкой (оболочками)
247 волоконно-оптическая пластина
de Fiber-optische Platte
en fiber-optic faceplate
Изделие из параллельно расположенных и жестко скрепленных по всей длине волоконных световодов с длиной, меньшей поперечного сечения
248 ступенчатое оптическое волокно
de Gestufte optische Fiber
en graduated optical filament
Оптическое волокно, значение показателя преломления которого постоянно в пределах сердцевины
de Speicherunger
en cone concentrator
Изделие из волоконных световодов с увеличивающимся или уменьшающимся по длине сечением
4.4.2 Элементы формирования оптического излучения
de Elektronenlinse
en electronic lens
Устройство, предназначенное для формирования пучка электронов, их фокусировки и создания электронно-оптических изображений объектов
de Magnetischenlinse
en magnetic lens
Устройство для создания магнитных полей, обладающих определенной симметрией, служащее для фокусировки пучков заряженных частиц
de Elektronenprisma
en electron-optical prism
Электронно-оптическая система, предназначенная для отклонения пучка электронов
de Elektronischen Spiegel
en electron-optical mirror
Электрическая или магнитная система, отражающая пучок электронов и предназначения для получения с помощью таких пучков электронно-оптических изображений либо для изменения направления движения электронов
254 диэлектрическое зеркало
de Dielektrischspiegel
en dielectric mirror
Зеркало, состоящее из слоев диэлектриков попеременно с высоким и низким показателями преломления. Оптическая толщина каждого слоя составляет

4.4.3 Модуляторы и затворы оптического излучения
255 модулятор оптического излучения;
модулятор света
de Modulator der optischen Ausstrahlung
en light modulator
Прибор, осуществляющий изменение параметров излучения после его выхода из источника
de Optischabschluss
en optical shutter
Устройство, обеспечивающее пропускание и (или) перекрытие потока оптического излучения в течение определенного, заранее заданного интервала времени (выдержки)
257 фотоупругий модулятор
de Fotoelastischen Modulator
en photo elastic modulator
Модулятор, основанный на изменении показателя преломления вещества при механических деформациях упругой среды
258 фотоупругий модулятор на двулучепреломлении
de Fotoelastischen Modulator auf Duppeltrefraktion
en photo elastic modulation on double refraction
Модулятор принцип действия которого заключается в возникновении разности фаз между компонентами поляризованного излучения под действием механических напряжений. Деформация в кристалле обычно создается продольной стоячей акустической волной
259 дифракционный модулятор
de Diffraktionsmodulator
en diffraction modulator
Модулятор, в котором оптическое излучение дифрагирует на решетке, образованной периодическим изменением показателя преломления в поле акустической волны
260 магнитооптический модулятор
de Magneto-optisch Modulator
en magneto-optical modulator
Модулятор, основанный на использовании магнитооптического эффекта
261 магнитооптический затвор
de Magneto-optisch

en magneto optical shutter
Затвор, основанный на использовании магнитооптического эффекта
262 электронно-лучевой модулятор
de Elektronenstrahlsmodulator
en electron-beam modulator
Модулятор, основанный на использовании зависимости коэффициента вторичной эмиссии, вызванной электронным лучом, от потенциала кристалла-мишени, обладающего продольным электрооптическим эффектом
263 фарадеевский модулятор
de Faraday Modulator
en Faraday modulator
Магнитооптический модулятор, основанный на эффекте Фарадея
264 электрооптический модулятор
de Elektronenoptisch Modulator
en electro optical modulator
Модулятор, основанный на использовании электрооптического эффекта
265 электрооптический затвор
de

en electrooptical shutter
Затвор, основанный на использовании электрооптического эффекта
266 микрополосковый модулятор
de Mikrostreifensmodulator
en micro strip line modulator
Электрооптический модулятор, в котором кристалл помещается в согласованную микрополосковую линию передачи
пространственный модулятор
de Raumsmodulator
en spatial modulator
Модулятор, осуществляющий модуляцию оптического излучения различную в каждой точке поперечного сечения пучка излучения
268 модулятор со сосредоточенными параметрами
de Modulator mit den konzentrierten Parametern
en modulator with lumped parameter
Модулятор, в котором электрооптический кристалл помещается в зазоре конденсатора, включенного в контур с сосредоточенными элементами. Частота модуляции при этом составляет 100 - 200 МГц
269 коаксиальный модулятор
de Koaxialmodulator
en coaxial modulator
Модулятор, в котором электрооптический кристалл помещается в емкостном зазоре коаксиального резонатора. Частота модуляции при этом составляет 1 - 3 ГГц
270 двухпроводный модулятор
de

en two-conductor modulator
Модулятор, в котором электрооптический кристалл помещается в емкостном зазоре двухпроводного резонатора. Частота модуляции при этом составляет 1 - 3 ГГц
271 модулятор на p-n переходе полупроводникового диода
de Modulator auf p-n den

en modulator on p-n junction
Модулятор, основанный на линейном электрооптическом эффекте в p-n переходе полупроводникового диода
272 модулятор с длительным взаимодействием волн оптического излучения и СВЧ
de Modulator mit dem Dauerzusammenwirken der Wellen der optischen Ausstrahlung und der superhohen Frequenzen
en Modulator with long-time interaction between optical and microwave radiation
Модулятор резонансного типа или системы типа бегущей волны, в котором осуществляется длительное взаимодействие волны оптического излучения с продольной составляющей электрического поля
273 модулятор резонансного типа;
модулятор с оптическим резонатором
de Modulator mit dem optischen Resonator
en modulator with optical resonator
Электрооптический модулятор, в котором используется многократное прохождение оптического излучения через кристалл
274 неколлинеарный модулятор
de Nichtkollineation Modulator
en non collinear modulator
Волноводный модулятор, в котором уменьшение скорости распространения оптического излучения достигается при зигзагообразном распространении его по отношению к оси волноводной структуры
275 асинхронный модулятор
de Asynchronen Modulator
en asynchronous modulator
Модулятор, в котором для увеличения длительности взаимодействия волн оптического излучения и СВЧ используется эффект накопления разности фаз или метод компенсации различия между скоростями распространения оптического излучения и СВЧ-волны
276 СВЧ-фарадеевский модулятор
de Mikrowellen Faraday Modulator
en microwave Faraday modulator
Фарадеевский модулятор, в котором для модуляции излучения используется прецессия магнитного момента при ферромагнитном или парамагнитном резонансе
de Phasenmodulator
en phase modulator
Модулятор, предназначенный для изменения фазы когерентного оптического излучения
de Frequenzmodulator
en frequency modulator
Модулятор, предназначенный для изменения частоты когерентного оптического излучения
279 модулятор поляризации
de Polarisationsmodulator
en polarization modulator
Модулятор, предназначенный для изменения поляризации оптического излучения
280 оптико-механический затвор
de Optisches-mechanisch

en optomechanical shutter
Затвор, основанный на механическом перемещении оптических элементов
281 акустооптический затвор
de Akuctisch-optisch

en acoustooptical shutter
Затвор, действие которого основано на акустооптическом эффекте
de Kerr Zelle
en Kerr cell
Электрооптическое устройство, основанное на эффекте Керра, применяемое в качестве оптического затвора или модулятора оптического излучения
4.4.4 Дефлекторы оптического излучения
283 дефлектор оптического излучения;
дефлектор света;
дефлектор
de Deflektor der Optischenausstrahlung
en light deflector
Устройство, осуществляющее изменение отклонений пучка оптического излучения, основанное на различных физических принципах. Применяется, в основном, для сканирования пучка
284 волноводный дефлектор оптического излучения;
волноводный дефлектор
de Hohleiterdeflector
en optical waveguide deflektor
Дефлектор, в котором происходит отклонение пучка оптического излучения, распространяющегося в оптическом волноводе
285 электрооптический дефлектор
de Elektrooptischdeflektor
en electrooptical deflector
Дефлектор, действие которого основано на электрооптическом эффекте
286 акустооптический дефлектор
de Akuctisch-optischdeflector
en acoustooptical deflector
Дефлектор, действие которого основано на акустооптическом эффекте
287 магнитооптический дефлектор
de Magnetooptischesdeflektor
en magnetooptical deflector
Дефлектор, действие которого основано на магнитооптическом эффекте
288 оптико-механический дефлектор
de Optisches-mechanischdeflektor
en optomechanical deflector
Дефлектор, действие которого основано на отклонении и (или) перемещении оптических отражающих элементов
289 однокоординатный дефлектор
de Einkoordinatendeflector
en one-axis deflector
Дефлектор, предназначенный для перемещения пучка оптического излучения по одной координате
290 двухкоординатный оптический дефлектор
de Zweikoordinaten-Optischdeflector
en two-axis deflector
Дефлектор, предназначенный для перемещения пучка оптического излучения по двум координатам
291 дискретный оптический дефлектор
de Diskretoptischdeflector
en digital optical deflector
Дефлектор, осуществляющий перемещение пучка оптического излучения в заданное фиксированное положение
292 непрерывный оптический дефлектор
de Stetigoptischdeflector
en optical scanner
Дефлектор, осуществляющий перемещение пучка оптического излучения в любое положение в заданном интервале координат
4.4.5 Фильтры оптического излучения
светофильтр;
фильтр
de Filter
en color filter
Устройство, меняющее спектральный состав и энергию падающего на него оптическое излучение
de Absorption filter
en absorption filter
Фильтр, действие которого основано на поглощении оптического излучения
de Neutralenfilter
en neutral filter
Фильтр, равномерно ослабляющий поток излучения в определенной области спектра
296 фильтр интерференционный
de Interferentionsfilter
en interference filter
Фильтр, действие которого основано на интерференции оптического излучения
de Band filter
en band filter
Фильтр, пропускающий оптическое излучение в узкой полосе длин волн
298 фильтр интерференционно-поляризационный;
фильтр поляризационный
de Interferention-polarisation Filter
en birefringent filter
Полосовой фильтр, основным элементом которого является поляризатор, служащий для пропускания полос поляризованного излучения через материалы, обладающие двойным лучепреломлением
299 фильтр отсекающий длинноволновый
de Filter beschneiden

en low-pass filter
Фильтр, пропускающий излучение с длинами волн, большими заранее заданного предела

300 фильтр отсекающий коротковолновый
de Filter beschneiden kurzwellen
en high-pass filter
Фильтр, пропускающий излучение с длиной волны, меньшей заданного предела

301 фильтр пространственный
de Raumfilter
en spatial filter
Фильтр, пропускание которого согласовано с пространственной яркостной структурой объекта, т.е. с полезным сигналом в виде функции яркости или освещенности
302 система воспроизведения;
фильтр воспроизведения
de Wiedergabensfilter
en reproduction filter
Система, обеспечивающая воспроизведение сигнала по одному или нескольким его параметрам. Импульсная характеристика этой системы является зеркальным отражением полезного сигнала на ее входе
303 оптимальная система воспроизведения;
фильтр воспроизведения оптимальный
de Optimal Wiedergabensfilter
en optimal reproduction filter
Система воспроизведения, которая обеспечивает минимальную среднюю квадратическую погрешность при воспроизведении сигнала
de Filter des Entdeckens
en decting filter
Входной фильтр системы, максимизирующий отношение сигнал/помеха для аддитивной смеси сигнала и помехи
поляризационный светофильтр
de Polaroid
en polaroid
Линейный поляризатор, представляющий собой тонкую поляризационную пленку, обладающую линейным дихроизмом
306 корректирующий фильтр в системах передачи информации
de Korrigierenden Filter im System der Informationsvermittlung
en correction filter of informative transmitting system
Фильтр, преобразующий выходной сигнал в восстановленный сигнал перед поступлением на цифровую решающую систему
de

en lag line
Устройство для задержки электромагнитных сигналов на некоторый заданный промежуток времени
световод
de Optische Hohlleiter
en optical wave guide
Закрытое устройство для направленной передачи оптического излучения
de Mikrolinse
en micro lens
Линза, имеющая толщину и диаметр в несколько микрометров. Применяется для улучшения сочленения лазеров, имеющих большой угол расходимости, со световодом. Прикрепляется на торец лазера либо световода
310 направленный ответвитель
de Gerichtetkoppleiter
en directed branch
Оптический аналог ответвителя в микроволновой технике. Применяется для сочленения волноводных элементов интегральной оптики в качестве элемента связи и делителя мощности излучения
311 дифракционная отклоняющая система
de Diffractionsablehnendesystem
en diffraction deflection system
Система отклонения луча оптического излучения, основанная на дифракции излучения на акустических волнах. Используется зависимость положения боковых максимумов дифракционного излучения от частоты звука
312 микроканальная пластина
de Mikrokanalplatte
en micro channel plate
Пластина из волоконных световодов с детализированной входной поверхностью. Предназначена для усиления электронного изображения без пролета фотоэлектронов
de Zwerchfell in Optik
en diaphragm in optics
Непрозрачная для оптического излучения преграда, ограничивающая поперечное сечение пучка излучения в оптических системах
314 диафрагма в электронной оптике
de Zwerchfell in elektronischer Optik
en diaphragm in electron optics
Отверстие в проводящей пластине. Применяется для ограничения поперечного сечения и изменения угла раствора (апертуры)
de Aperturzwerchfell
en aperture stop
Диафрагма определяющая поперечное сечение пучка, формирующего изображение
316 разрядник газонаполненный
de Gasgefulltsentlader
en gas-filled discharger
Прибор, формирующий высоковольтные наносекундных импульсов; используется в системах управления лазерным излучением на основе электрооптического затвора
de Polarisator
en polarizer
Устройство для получения полностью или частично поляризованного оптического излучения с произвольными поляризационными характеристиками
318 носитель записи для голографии;
голографический детектор
de

en carrier
Физическое тело (вещество), используемое в процессе записи голографического поля для сохранения в нем или на его поверхности голографической информации
319 регистрирующая среда для голографии;
регистрирующая среда;
среда для записи голограммы;
материал для записи голограммы
de Registrierende Medium
en material for recording hologram
Вещество, используемое в носителе для записи голографического поля
de Hologramm
en hologram
Носитель с записанным голографическим полем
321 необратимая среда для голографии;
необратимая среда;
нереверсивная среда
de Irreversibele Medium
en nonreversible medium
Регистрирующая среда, позволяющая осуществлять однократную запись голографического поля и многократное восстановление
de Irreversibelen

en nonreversible carrier
Носитель, в котором используется необратимая среда
de Umwandelbaren

en reversible carrier
Носитель, в котором используется обратимая регистрирующая среда
324 обратимая среда для голографии;
обратимая среда;
реверсивная среда;
обращаемая среда
de Umwandelbare Medium
en reversible medium
Регистрирующая среда, позволяющая осуществлять многократную запись голографического поля, многократное воспроизведение волнового фронта и стирание голографической информации
325 фотополимер для голографии;
фотополимер
de Photopolimer
en photopolymer
Необратимая среда, в которой запись голографического поля осуществляется в результате полимеризации мономерных или сшивания полимерных молекул, приводящей к изменению показателя преломления
326 фотополимерный носитель
de

en photopolymer carrier
Носитель, в котором используется фотополимер
327 фототермопластическая среда для голографии;
фототермопластическая среда;
фототермопласт
de Phototermoplastic medium

den Holografie
en phototermoplastic medium for holography
Обратимая среда, запись голографического поля, в которой осуществляется в результате термо- или фотоиндуцированного изменения рельефа поверхности термопластического слоя при действии теплового поля в соответствии с распределением электрического заряда
328 фототермопластический носитель
de Phototermoplastic

en phototermoplastic carrier
Носитель, в котором используется термопластическая среда
329 электрооптический носитель
de Elektrooptisch

en electrooptical carrier
Носитель, в котором используется электрооптическая среда
330 электрооптическая среда для голографии;
электрооптическая среда;
фотопреломляющая среда
de Elektrooptisch Medium
en elektrooptisch Medium
Обратимая среда, запись голографического поля в которой осуществляется в результате фотоиндуцированного изменения показателя преломления
331 магнитооптическая среда для голографии;
магнитооптическая среда;
магнитная среда
de Magnetooptisch Medium
en magnetooptical medium
Обратимая среда, запись голографического поля в которой осуществляется в результате фотоиндуцированного нагревания и изменения вектора намагниченности вещества во внешнем магнитном поле
332 магнитооптический носитель;
магнитный носитель
de Magnetooptisch

en magnetooptical carrier
Носитель, в котором используется магнитооптическая среда
333 жидкокристаллическая среда для голографии;
жидкокристаллическая среда
de Flussigkristalinische Medium
en liquid crystal medium
Обратимая среда, запись голографического поля в которой осуществляется в результате изменения оптических свойств жидких кристаллов
334 жидкокристаллический носитель
de Flussigkristalinische

en liquid crystal carrier
Носитель, в котором используется жидкокристаллическая среда
АЛФАВИТНЫЙ УКАЗАТЕЛЬ ТЕРМИНОВ НА РУССКОМ ЯЗЫКЕ
А |
Актинометр | |
Альбедометр | |
Анализатор | |
Анализатор веществ голографический | |
Анализатор записи сигналов | |
Анализатор изображения оптический | |
Анализатор корреляции | |
Анализатор спектра изображений | |
Анализатор спектра | |
Аппаратура | |
Аппаратура высокоскоростной фотографии | |
Аппаратура измерительная | |
Аппаратура кинематографическая | |
Асферометр голографический | |
Б |
Балансомер | |
Болометр сверхпроводящий | |
Болометр | |
В |
Волновод оптический | |
Волновод оптический ВОСП | |
Волокно | |
Волокно градиентное | |
Волокно многомодовое | |
Волокно оптическое | |
Волокно оптическое градиентное | |
Волокно оптическое многомодовое | |
Волокно оптическое ступенчатое | |
Г |
Голограмма | |
ГПЭ | |
ГПЭ единиц потока излучения и энергетической освещенности в диапазоне длин волн 0,03 - 0,4 мкм | |
ГПЭ единиц спектрального коэффициента направленного пропускания в диапазоне 0,2 - 50 мкм, диффузного и зеркального отражений в диапазоне 0,2 - 2,5 мкм | |
ГПЭ единиц спектральной плотности энергетической яркости, спектральной плотности силы излучения и спектральной плотности энергетической освещенности в диапазоне длин волн 0,25 - 25,00 мкм; силы излучения и энергетической освещенности в диапазоне длин волн 0,2 - 25,0 мкм | |
ГПЭ единицы показателя преломления | |
ГПЭ единицы силы света | |
ГПЭ единицы средней мощности лазерного излучения | |
ГСЭ | |
ГСЭ единиц координат цвета и координат цветности | |
ГСЭ единицы длины для спектроскопии | |
ГСЭ единицы мощности импульсного лазерного излучения в диапазоне длин волн 0,4 - 10,6 мкм | |
ГСЭ единицы потока излучения при длине волны 0,95 мкм | |
ГСЭ единицы потока импульсного оптического излучения в диапазоне длин волн 0,8 - 1,0 мкм | |
ГСЭ единицы спектральной плотности энергетической яркости оптического излучения в диапазоне длин волн 0,04 - 0,25 мкм | |
ГСЭ единицы энергетической освещенности малых уровней в диапазоне длин волн 1 - 50 мкм | |
Д |
Детектор голографический | |
Дефлектор | |
Дефлектор акустооптический | |
Дефлектор волноводный | |
Дефлектор магнитооптический | |
Дефлектор однокоординатный | |
Дефлектор оптико-механический | |
Дефлектор оптический двухкоординатный | |
Дефлектор оптический дискретный | |
Дефлектор оптический непрерывный | |
Дефлектор оптического излучения | |
Дефлектор оптического излучения волноводный | |
Дефлектор света | |
Дефлектор электрооптический | |
Дешифратор | |
Диафрагма апертурная | |
Диафрагма в оптике | |
Диафрагма в электронной оптике | |
Диод излучающий | |
Диод лазерный | |
Диод светоизлучающий | |
Диод Шотки | |
Диссектор | |
Диссектор изображения | |
Дозиметр лазерного излучения | |
З |
Затвор акустооптический | |
Затвор магнитооптический | |
Затвор оптико-механический | |
Затвор оптический | |
Затвор электрооптический | |
Зеркало диэлектрическое | |
Зеркало электронное | |
И |
Интерферометр | |
Интерферометр ахроматический | |
Интерферометр волоконно-оптический | |
Интерферометр голографический | |
Интерферометр лазерный | |
Интерферометр Маха-Цандера | |
Интерферометр оптический | |
Интерферометр Фабри-Перо | |
Источник измерительный | |
Источник оптического излучения измерительный | |
Источник оптического излучения программируемый | |
Источник программируемый | |
К |
Калориметр | |
Камера | |
Камера высокоскоростная | |
Камера зеркальная высокоскоростная | |
Камера оптико-механическая высокоскоростная | |
Камера электронная | |
Камера электронно-оптическая | |
Камера электронно-оптическая однокадровая | |
Кино-дешифратор | |
Колориметр | |
Компонент волоконно-оптической системы передачи | |
Компонент ВОСП | |
Коррелятор | |
Л |
Лазеровизор | |
Линза магнитная | |
Линза электронная | |
Линия задержки | |
М |
Масс-спектрограф Томсона | |
Материал для записи голограммы | |
Метод автокалибровочный | |
Метод автоколлимационный | |
Метод анализа спектра гетеродинный | |
Метод анализа спектра гомодинный | |
Метод визуализации изображения | |
Метод внесения разности фаз | |
Метод временного интегрирования | |
Метод генерирования гармоник | |
Метод голографический | |
Метод двулучевого интерферометра | |
Метод двух длин волн | |
Метод двух источников | |
Метод двух сечений | |
Метод двух экспозиций | |
Метод диаграммы направленности | |
Метод дифракционный | |
Метод дифракционной спектрометрии | |
Метод измерений | |
Метод измерений временного параметра лазерного излучения тепловой | |
Метод измерений временного параметра лазерного излучения фотоэлектрический | |
Метод измерений временной когерентности голографический | |
Метод измерений временной когерентности интерференционный | |
Метод измерений временной когерентности счетом фотонов | |
Метод измерений пространственной когерентности голографический | |
Метод измерений пространственной когерентности дифракционный | |
Метод измерений пространственной когерентности интерференционный | |
Метод измерений пространственной когерентности поляризационный | |
Метод измерений пространственной когерентности счетом фотонов | |
Метод измерений разности фаз | |
Метод измерений сдвига фаз | |
Метод измерений энергии (мощности) счетом фотонов | |
Метод измерений энергии (мощности) тепловой | |
Метод измерений энергии (мощности) фотоэлектрический | |
Метод иммерсионный | |
Метод интерференционного контраста | |
Метод интерференционной спектрометрии | |
Метод интерференционный | |
Метод интерференционный | |
Метод интерферометрический | |
Метод кинематографический | |
Метод линейного поляризатора | |
Метод люминесцентный | |
Метод матричный | |
Метод межмодовых биений | |
Метод многоканального усиления яркости изображения | |
Метод многоквантового поглощения | |
Метод нелинейных оптических эффектов | |
Метод обработки | |
Метод определения положения плоскости колебаний | |
Метод определения пространственного положения эллипса | |
Метод определения спектральной плотности мощности (энергии) лазерного излучения | |
Метод определения формы эллипса | |
Метод оптического гетеродинирования | |
Метод оптической компенсации | |
Метод параллельного анализа | |
Метод покадровой регистрации | |
Метод поляризационно-оптический | |
Метод пондеромоторный | |
Метод последовательного анализа | |
Метод преобразования фазовой модуляции в амплитудную гомодинный | |
Метод призменной спектрометрии | |
Метод пространственного интегрирования | |
Метод реального времени | |
Метод регистрации | |
Метод регистрации фотохронографический | |
Метод синтезированной голограммы | |
Метод совмещенного источника | |
Метод сравнения с эталонной частотой | |
Метод сравнения с эталонным источником излучения | |
Метод стробоголографический | |
Метод счета фотонов | |
Метод теневой | |
Метод Теплера | |
Метод тепловой | |
Метод усреднения во времени | |
Метод фазового контраста | |
Метод фазово-контрастный | |
Метод фазовых разложений | |
Метод фокального пятна | |
Метод фотографический | |
Метод фотографической регистрации | |
Метод фотохимический | |
Метод фотоэлектрический | |
Метод Фурье-спектрометрии | |
Метод Фурье-спектроскопии | |
Метод Хэнбери-Брауна и Твисса | |
Метод электронно-оптический | |
Метод электронно-оптической диагностики | |
Метод электронно-оптической хронографии | |
Микролинза | |
Микроскоп голографический | |
Микроскоп голографический интерференционный | |
Модель черного тела | |
Модулятор асинхронный | |
Модулятор двухпроводный | |
Модулятор дифракционный | |
Модулятор коаксиальный | |
Модулятор магнитооптический | |
Модулятор микрополосковый | |
Модулятор на двулучепреломлении фотоупругий | |
Модулятор на p-n переходе полупроводникового диода | |
Модулятор неколлинеарный | |
Модулятор объемный | |
Модулятор оптического излучения | |
Модулятор поляризации | |
Модулятор пространственный | |
Модулятор резонансного типа | |
Модулятор света | |
Модулятор СВЧ-фарадеевский | |
Модулятор с длительным взаимодействием волн оптического излучения и СВЧ | |
Модулятор с оптическим резонатором | |
Модулятор со сосредоточенными параметрами | |
Модулятор фазы | |
Модулятор фарадеевский | |
Модулятор фотоупругий | |
Модулятор частоты | |
Модулятор электронно-лучевой | |
Модулятор электрооптический | |
Мультипликатор голограммный | |
Н |
Носитель жидкокристаллический | |
Носитель записи для голографии | |
Носитель магнитный | |
Носитель магнитооптический | |
Носитель необратимый | |
Носитель обратимый | |
Носитель фотополимерный | |
Носитель фототермопластический | |
Носитель электрооптический | |
О |
Оболочка | |
Оболочка оптического волокна | |
Оптика голограммная | |
Ослабитель | |
Ослабитель оптического излучения | |
Ответвитель направленный | |
Отметчик времени | |
П |
Переключатель Цернике | |
P-i-n диод | |
Пиранометр | |
Пиргелиометр | |
Пластина волоконно-оптическая | |
Пластина микроканальная | |
Поляризатор | |
Поляриметр | |
Поляроид | |
Преобразователь | |
Преобразователь диэлектрический | |
Преобразователь излучения | |
Преобразователь излучения измерительный многоэлементный | |
Преобразователь излучения измерительный на основе фотонного увлечения | |
Преобразователь излучения измерительный одноэлементный | |
Преобразователь излучения измерительный оптико-пневматический | |
Преобразователь излучения измерительный пондеромоторный | |
Преобразователь излучения измерительный тепловой | |
Преобразователь излучения измерительный фотохимический | |
Преобразователь излучения измерительный фотоэлектромагнитный | |
Преобразователь измерительный | |
Преобразователь измерительный диэлектрический | |
Преобразователь измерительный люминесцентный | |
Преобразователь измерительный оптического излучения | |
Преобразователь измерительный первичный | |
Преобразователь измерительный пироэлектрический | |
Преобразователь измерительный фотоэлектрический | |
| | ИС МЕГАНОРМ: примечание. В официальном тексте документа, видимо, допущена опечатка: имеется в виду п. 195, а не 191. | |
|
Преобразователь люминесцентный | |
Преобразователь многоэлементный | |
Преобразователь одноэлементный | |
Преобразователь оптико-пневматический | |
Преобразователь первичный | |
Преобразователь пироэлектрический | |
Преобразователь пондеромоторный | |
Преобразователь рентгеновский гибридный | |
Преобразователь тепловой | |
Преобразователь фотохимический | |
Преобразователь фотоэлектрический | |
Преобразователь фотоэлектромагнитный | |
Преобразователь электронно-оптический | |
Прибор поляризационный | |
Прибор регистрирующий | |
Прибор электронно-лучевой | |
Приемник Голея | |
Приемник дилатометрический | |
Приемник измерительный | |
Приемник иммерсионный | |
Приемник координатно-чувствительный | |
Приемник люминесцентный | |
Приемник мозаичный | |
Приемник одноэлементный | |
Приемник оптического излучения | |
Приемник оптического излучения измерительный | |
Приемник оптического излучения программируемый | |
Приемник пироэлектрический | |
Приемник программируемый | |
Приемник тепловой | |
Приемник фотомагнитоэлектрический | |
Приемник фотохимический | |
Приемник фотоэлектрический | |
Призма электронная | |
Р |
Радиометр | |
Разрядник газонаполненный | |
Регистратор фототермопластический | |
Решетка дифракционная | |
Решетка дифракционная голограммная | |
Решетка дифракционная голограммная отражательная | |
Решетка дифракционная голограммная пропускающая | |
Решетка дифракционная голограммная синтезированная | |
С |
Световод | |
Световод волоконный | |
Светодиод | |
Светодиод высокочастотный | |
Светофильтр | |
Светофильтр поляризационный | |
Сердцевина | |
Сердцевина оптического волокна | |
Система воспроизведения оптимальная | |
Система воспроизведения | |
Система оптическая | |
Система отклоняющая дифракционная | |
Система первичной обработки информации | |
Система сканирующая | |
Система сканирующая оптико-механическая | |
Система сканирующая фотоэлектронная | |
Сканистер | |
Спектрограф | |
Спектрометр | |
Спектрометр корреляционный голографический | |
Спектрорадиометр | |
Спектрофотометр | |
Среда для голографии жидкокристаллическая | |
Среда для голографии магнитооптическая | |
Среда для голографии необратимая | |
Среда для голографии обратимая | |
Среда для голографии регистрирующая | |
Среда для голографии электрооптическая | |
Среда для записи голограммы | |
Среда жидкокристаллическая | |
Среда магнитная | |
Среда магнитооптическая | |
Среда необратимая | |
Среда нереверсивная | |
Среда обратимая | |
Среда обращаемая | |
Среда реверсивная | |
Среда регистрирующая | |
Среда фотопреломляющая | |
Среда фототермопластическая | |
Среда фототермопластическая для голографии | |
Среда электрооптическая | |
Средство измерений | |
Т |
Термостолбик | |
Термостолбик измерительный | |
Термоэлемент | |
Термоэлемент измерительный | |
Томограф | |
Томограф измерительный | |
У |
Умножитель фотоэлектронный | |
Усилитель изображения | |
Усилитель изображения электронный | |
Усилитель планарный | |
Усилитель яркости | |
Усилитель яркости изображения масштабирующий | |
Установка голографическая | |
Установка голографическая импульсная | |
Устройство оптическое запоминающее | |
Ф |
Фильтр | |
Фильтр абсорбционный | |
Фильтр воспроизведения оптимальный | |
Фильтр воспроизведения | |
Фильтр в системах передачи информации корректирующий | |
Фильтр интерференционно-поляризационный | |
Фильтр интерференционный | |
Фильтр нейтральный | |
Фильтр обнаружения | |
Фильтр оптический | |
Фильтр отсекающий длинноволновый | |
Фильтр отсекающий коротковолновый | |
Фильтр полосовой | |
Фильтр поляризационный | |
Фильтр пространственный | |
Фокон | |
Фотодиод | |
Фотодиод лавинный | |
Фотополимер для голографии | |
Фотополимер | |
Фотоприемник | |
Фоторегистратор | |
Фоторезистор | |
Фототермопласт | |
Фотоумножитель | |
Фотоумножитель логарифмический | |
Фотоумножитель с микроканальной пластиной | |
Фотоумножитель управляемый | |
Фотоумножитель широкополосный | |
Фотохронограф | |
Фотоэлемент | |
Фотоэлемент коаксиальный широкополосный | |
ФЭК | |
Х |
Хронограф | |
Хронограф высокоскоростной зеркальный | |
Хроноспектрограф | |
Э |
Элемент оптический голограммный | |
Элемент оптический голограммный синтезированный | |
Элемент чувствительный | |
Элемент приемника оптического излучения чувствительный | |
ЭОП | |
ЭОП времяанализирующий | |
ЭОП времяанализирующий рентгеновский | |
ЭОП гибридный | |
ЭОП импульсный | |
ЭОП многокаскадный | |
ЭОП однокаскадный | |
ЭОП с микроканальным усилением | |
Эталон | |
Эталон государственный | |
Эталон государственный первичный | |
Эталон государственный специальный | |
Эталон первичный | |
Я |
Яркомер | |
Ячейка Керра | |
АЛФАВИТНЫЙ УКАЗАТЕЛЬ ЭКВИВАЛЕНТОВ НА НЕМЕЦКОМ ЯЗЫКЕ
A |
Absorption filter | |
Abtastendesystem | |
Abtaster | |
Achromatischesinterferometer | |
Aktinometr | |
Akuctisch-optisch  | |
Akuctisch-optischdeflector | |
Albedometr | |
Analysator der Aufzeichnung der Signale | |
Analysator der Korrelation | |
Analysator des optischen Bildes | |
Analysator des Spektrums des Bildes | |
Analysator des Spektrums | |
Aperturzwerchfell | |
Apparatur der Hochgeschwindigkeitsfotografie | |
Apparatur | |
Asynchronen Modulator | |
Attenuator | |
Aufnehmer | |
Ausstrahllend Diode | |
Autoeichmethode | |
Autokollimationsmethode | |
B |
Baldnsenmetr | |
Band filter | |
Begungsgitter | |
Bildesdissektor | |
Bolometer | |
Breitbandkoaxialfotozelle | |
| |
Brenfleckmethode | |
C |
Chronograph | |
Chronospektrograph | |
D |
| |
| |
Deflektor der Optischenausstrahlung | |
Dielektrischspiegel | |
Dielektrischumsetzer | |
Diffractionsablehnendesystem | |
Diffractivespektrometriiemethode | |
Diffraktionsmethode | |
Diffraktionsmodulator | |
| |
Diskretoptischdeflector | |
Dissektor | |
| |
E |
Eempfindlicheelement | |
Einelementen  | |
Einkaskaden- elektronenoptischen Umsetzer | |
Einkoordinatendeflector | |
Einstamm- elektronenoptische Kammer | |
Elektronenlinse | |
Elektronenoptisch Modulator | |
| |
Elektronenoptische Kammer | |
Elektronenoptischen Umsetzer mit der Mikrokanalverstarkung | |
Elektronenoptischen Umsetzer | |
Elektronenoptischesmethode | |
Elektronenprisma | |
| |
Elektronenstrahlsmodulator | |
Elektronische Kammer | |
Elektronischen Spiegel | |
Elektrooptisch Medium | |
Elektrooptisch  | |
Elektrooptischdeflektor | |
 der optischen Ausstrahlung | |
F |
Fabry-Perot Interferometer | |
Faraday Modulator | |
Fiber | |
Fiber-optical Interferometer | |
Fiber-optische Platte | |
Filmische Apparatur | |
Filmischesmethode | |
Filter beschneiden kurzwellen | |
Filter beschneiden  | |
Filter des Entdeckens | |
Filter | |
Flussigkristalinische Medium | |
Flussigkristalinische  | |
Foto den Chronograph | |
Fotodiode | |
Fotoelastischen Modulator auf Duppeltrefraktion | |
Fotoelastischen Modulator | |
Foto-elektronische Abtastendesystem | |
| |
Fotomagnetoelektrischen  | |
Fotoregistrator | |
Fotosresistor | |
Fotothermoplastisch Registrator | |
Fotozelle | |
Fourier Spektroskopiemethod | |
Frequenzmodulator | |
G |
Gasgefulltsentlader | |
Gerichtetkoppleiter | |
Gestufte optische Fiber | |
| |
Gradientsfiber | |
H |
| |
Herz | |
Hochfrequent Ausstrahllend Diode | |
Hochgeschwindigkeitskammer | |
Hochgeschwindigkeitsspiegelchronograph | |
Hohleiterdeflector | |
Hologramm | |
Holographisch interferense Microsckope | |
Holographisch korrelationsspektrometer | |
Holographischeanalysator der Stoffe | |
Holographischeaufstellen | |
Holographischesaspherometer | |
Holographischesbegungsgitter | |
Holographischesinterferometer | |
Holographischesmethode des Messens der Raumskoharenz | |
Holographischesmethode des Messens der Zeitlichskoharenz | |
Holographischesmicrosckope | |
Holographischesmultiplikator | |
Holographischesoptik | |
Holographischesoptischeselement | |
Homodinsmethode der Analyse des Spektrums | |
Homodinsmethode der Transformation der Phasemodulation in spitzen | |
Hybrid-elektronenoptischen Umsetzer | |
| |
I |
| |
Immersionsmethode | |
Impuls- elektronenoptischen Umsetzer | |
Impuls- Holographischeaufstellen | |
Interferentdiemethode des Messens der Raumskoharenz | |
Interferentdiemethode des Messens der Zeitlichskoharenz | |
Interferention-polarisation Filter | |
Interferentionsfilter | |
Interferenzmethode | |
Interferenzspektrometriiemethode | |
Interferometer | |
Interferometrischemmethode | |
Irreversibele Medium | |
Irreversibelen  | |
K |
Kaloriemesser | |
Kammer | |
Kerr Zelle | |
| |
Koaxialmodulator | |
Kolorimetr | |
Komponenten | |
Koordinatensempfindlichen  | |
Korrelator | |
Korrigierenden Filter im System der Informationsvermittlung | |
L |
Laserausstrahlungsdosimeter | |
Laser-diode | |
Laserinterferometer | |
Laserviser | |
Lawinesfotodiode | |
Lichtfiber | |
Logarithmischen Sekundarelektronenvervielfacher | |
| |
Lumineszenzmethode | |
M |
Mach-Sander-Interferometer | |
Magnetischenlinse | |
Magneto-optisch  | |
Magnetooptisch Medium | |
Magneto-optisch Modulator | |
Magnetooptisch  | |
Magnetooptischesdeflektor | |
 des Bildes | |
de Maternmethode | |
Mehrelementen  | |
Mehrkaskaden- elektronenoptischen Umsetzer | |
Mehrmoden Fiber | |
| |
| |
| |
Messmittel | |
Messquelle | |
Messumsetzer der Ausstrahlung auf Grund der Photonenbegeisterung | |
Messverfahren | |
Messwandler | |
Methode Chenbery-Braun und Twiss | |
Methode der Bearbeitung | |
Methode der Bestimmung der Form der Ellipse | |
Methode der Bestimmung der Lage der  der Schwingungen | |
Methode der Bestimmung der Raumlage der Ellipse | |
Methode der Bestimmung der spektralen Dichte der  (die Energie) der Laserausstrahlung | |
Methode der Eintragung der Differenz der Phasen | |
Methode der Elektronenoptischeschronography | |
Methode der  der Bildeshelle | |
Methode der Mehrquantenabsorption | |
Methode der Messen Raumskoharenz von der Rechnung photons | |
Methode der nichtlinearen optischen Effekte | |
Methode der Optischesuberlagerung | |
Methode der parallelen Analyse | |
Methode der Phasezerlegungen | |
Methode der Phasezerlegungen | |
Methode der Photochronographischregistrierung | |
Methode der photographischenregistrierung | |
Methode der Photonenrechnung | |
Methode der Raumintegration | |
Methode der realen Zeit | |
Methode der sequentiellen Analyse | |
Methode der Stammregistrierung | |
Methode der vereinten Quelle | |
Methode der zeitlichen Integration | |
Methode des Diagrammes der Ausrichtung | |
Methode des Interferenzkontrastes | |
Methode des Messens der Differenz der Phasen | |
Methode des Messens zeitweilig  von der Rechnung photons | |
Methode des optischen Abfindungsgeldes | |
Methode des Phasekontrastes | |
Methode des Vergleiches mit der geeichten Frequenz | |
Methode des Vergleiches mit der geeichten Quelle der Ausstrahlung | |
Methode des Visualizationes des Bildes | |
Methode des zweiradialen Interferometers | |
Methode elektronenoptischer Diagnostik | |
Methode Foyrie-spektroskopie | |
Methode generation der Harmoniken | |
Methode Interferenzschwingung zwischen den Moden | |
Methode  in der Zeit | |
Methode Linearspolarisator | |
Methode synthesized des Hologrammes | |
Methode zwei Expositionen | |
Methode zwei  der Wellen | |
Methode zwei Quellen | |
Methode zwei Schnitte | |
 der Helle | |
| |
Mikrokanalplatte | |
Mikrolinse | |
Mikrostreifensmodulator | |
Mikrowellen Faraday Modulator | |
Modell des schwarzen  | |
Modulator auf p-n den  | |
Modulator der optischen Ausstrahlung | |
Modulator mit dem Dauerzusammenwirken der Wellen der optischen Ausstrahlung und der superhohen Frequenzen | |
Modulator mit dem optischen Resonator | |
Modulator mit den konzentrierten Parametern | |
N |
Neutralenfilter | |
Nichtkollineation Modulator | |
Normal | |
O |
Opticalsmechanische Kammer | |
Optikal-mechanische abtastende System | |
Optikalsinterferometer | |
Optimal Wiedergabensfilter | |
Optischabschluss | |
Optische Hohlleiter | |
Optische Speichereinrichtung | |
Optischehohleiter | |
Optisches-mechanisch  | |
Optisches-mechanischdeflektor | |
Optischesystem | |
P |
Phasenmodulator | |
| |
Photochimikermethode | |
Photoelectromagneticumsetzer | |
Photoelektrischemethode des Messens des zeitweiligen Parameters der Laserausstrahlung | |
Photoelektrischemethode | |
Photographischemethode | |
Photopolimer | |
| |
Phototermoplastic medium  den Holografie | |
Phototermoplastic  | |
P-i-n diode | |
Piranometr | |
Pirheliometr | |
Piroelektrik  | |
| |
Polarimeter | |
Polarisation-optische Methode | |
Polarisationsmethode des Messens der Raumskoharenz | |
Polarisationsmodulator | |
Polarisator | |
| |
Polaroid | |
Ponderomotivesmethode | |
Ponderomotiveumsetzer | |
| |
Prismenspektroskopiemethode | |
| |
Programmiertequelle | |
R |
Radiometr | |
Raumfilter | |
Raumsmodulator | |
Reflexionsholographischesbegungsgitter | |
Registrierende Medium | |
| |
Registrierungmethode | |
S |
Schot-diode | |
 mit der Mikrokanalplatte | |
Sekundarelektronenvervielfacher | |
Spectroradiometr | |
Speicherunger | |
Spektrograph | |
Spektrometr | |
Spektrophotometr | |
Spiegelhochgeschwindigkeitskammer | |
Staatlichen speziellen Etalon | |
| | ИС МЕГАНОРМ: примечание. В официальном тексте документа, видимо, допущена опечатка: имеется в виду п. 84, а не 94. | |
|
Staatliches Normal | |
Staatliches Normal Einheit der Kraft des Lichtes | |
Staatliches Normal Einheiten der Koordinaten der Farbe und der Chromatikkoordinaten | |
Staatliches Normal Einheiten der mittleren  der Laserausstrahlung | |
Staatliches Normal Einheiten der spektralen Dichte der energetischen Helle, der spektralen Dichte der Kraft der Ausstrahlung und der spektralen Dichte der energetischen  im Bereich der  der Wellen 0,25 - 25,0 micron; die  der Ausstrahlung und der energetischen  im Bereich der  der Wellen 0,2 - 25,0 micron | |
Staatliches Normal Einheiten des  der Ausstrahlung bei der  der Welle 0,95 micron | |
Staatliches Normal Einheiten des spektralen Koeffizientes gerichtet Transmission im Bereich 0,2 - 50 micron, diffusionen und der Spiegelreflexionen im Bereich 0,2 - 2,5 micron | |
Staatliches Normal | |
Staatliches Normal Einheiten der Brechungstxponent | |
Staatliches Normal Einheiten der energetischen  der kleinen Niveaus im Bereich der  der Wellen 1 - 50 micron | |
Staatliches Normal Einheiten der  der Impulslaserausstrahlung im Bereich der  der Wellen 0,4 - 10,6 micron | |
Staatliches Normal Einheiten der  Spektroskopie | |
Staatliches Normal Einheiten der spektralen Dichte der energetischen Helle der optischen Ausstrahlung im Bereich der  der Wellen 0,04 - 0,25 micron | |
Staatliches Normal Einheiten des  der Ausstrahlung und der energetischen  im Bereich der  der Wellen 0,03 - 0,4 micron | |
Staatliches Normal Einheiten des  der Impuls- optischen Ausstrahlung im Bereich der  der Wellen 0,8 - 1,0 micron | |
Stetigoptischdeflector | |
Steuerung  | |
Strobeholographicmethode | |
| |
Synthese Holographisches optische Element | |
Synthese Holographischesbegungsgitter | |
System der primaren Bearbeitung der Information | |
T |
Teplers-methode | |
Thermischemethode des Messens des zeitweiligen Parameters der Laserausstrahlung | |
Thermischemethode | |
| |
Thermoelement | |
| |
Thomsons Massenspektrograph | |
Tomograph | |
U |
Uberlagerungsmethode der Analyse des Spektrums | |
| |
Umsetzer der Ausstrahlung | |
Umwandelbare Medium | |
Umwandelbaren  | |
V |
| |
| |
W |
Wiedergabensfilter | |
Z |
Zeit den analysierenden elektronenoptischen Umsetzer | |
Zeit den analysierenden Rontgen- elektronenoptischen Umsetzer | |
Zernicke Umschalter | |
Zweikoordinaten- Optischdeflector | |
Zwerchfell in elektronischer Optik | |
Zwerchfell in Optik | |
АЛФАВИТНЫЙ УКАЗАТЕЛЬ ЭКВИВАЛЕНТОВ НА АНГЛИЙСКОМ ЯЗЫКЕ
A |
Achromatic interferometer | |
Acoustooptical deflector | |
Acoustooptical shutter | |
Actinometer | |
Albedometer | |
Analyzer of image spectrum | |
Analyzer of optical image | |
Analyzer of signal recording | |
Analyzer of spectrum | |
Aperture stop | |
Apparatus | |
Asynchronous modulator | |
Attenuator | |
Auto gauge method | |
Auto-collimation method | |
Autographic apparatus | |
Avalanche photodiode | |
B |
Balancemeter | |
Band filter | |
Birefringent filter | |
Bolometer | |
Brightness intensifier | |
C |
Calorimeter | |
Camera for high speed motion | |
Camera | |
Carrier | |
Casing | |
Chenbery-Brawn and Twiss method | |
Chronograph | |
Chronospectrograph | |
Cinematographic apparatus | |
Coaxial modulator | |
Color filter | |
Colorimeter | |
Components | |
Cone concentrator | |
Controlled electron-multiplier | |
Converter of radiation | |
Coordinate-sensitivity receiver | |
Core | |
Correction filter of informative transmitting system | |
Correlative analyzer | |
D |
Decipherer | |
Decting filter | |
Diaphragm in electron optics | |
Diaphragm in optics | |
Dielectric converter | |
Dielectric mirror | |
Diffraction deflection system | |
Diffraction grating | |
Diffraction method | |
Diffraction modulator | |
Digital optical deflector | |
Dilatometer receiver | |
Directed branch | |
Dissector | |
Dosimeter of laser radiation | |
E |
Electro optical modulator | |
Electron-optical converter | |
Electron-beam apparatus | |
Electron-beam modulator | |
Electronic camera | |
Electronic image intensifier | |
Electronic lens | |
Electron-multiplier with micro channel plate | |
Electron-optical camera | |
Electron-optical converter with microphone intensify | |
Electron-optical method | |
Electron-optical mirror | |
Electron-optical prism | |
Electrooptical carrier | |
Electrooptical deflector | |
Electrooptical shutter | |
Elektrooptisch Medium | |
Ensitive element | |
F |
Fabry-Perot interferometer | |
Faraday modulator | |
Fiber waveguide | |
Fiber | |
Fiber-optic faceplate | |
Fiber-optical interferometer | |
Film-decipherer | |
Fourier spectroscopy method | |
Foyrier-spectroscopy method | |
Frequency modulator | |
G |
Gas-filled discharger | |
Golay-receiver | |
Gradient fiber | |
Graduated optical filament | |
H |
Heterodyne method of analysis spectrum | |
High frequency light-diode | |
High frequency light-diode | |
High speed photographic apparatus | |
High-pass filter | |
High-speed mirror chronograph | |
Hologram an optical element | |
Hologram analyzer of substances | |
Hologram aspherometer | |
Hologram diffraction grating | |
Hologram interferometer | |
Hologram multiplicator | |
Hologram optics | |
Hologram | |
Holographic correlative spectrometer | |
Holographic interference microscope | |
Holographic method of measurement spatial coherence | |
Holographic method of measurement time coherence | |
Holographic microscope | |
Holographic plant | |
Homodyne method conversion phase modulation in pulse modulation | |
Homodyne method of analyze spectrum | |
Hybrid electron-optical converter | |
I |
Immersion receiver | |
Image dissector | |
Image intensifier | |
Immersion method | |
Interference filter | |
Interference method | |
Interferometer | |
Interferometric method of measurement time coherence | |
Interferometric method | |
Interferometric method of measurement space coherence | |
K |
Kerr cell | |
Korrelator | |
L |
Lag line | |
Laser interferometer | |
Laserviser | |
Light deflector | |
Light diode | |
Light modulator | |
Liquid crystal carrier | |
Liquid crystal medium | |
Logarithmic electron-multiplier | |
Low-pass filter | |
Luminescent method | |
Luminescent receiver | |
M |
Mach-Sander-interferometer | |
Magnetic lens | |
Magnetooptical shutter | |
Magnetooptical carrier | |
Magnetooptical deflector | |
Magnetooptical medium | |
Magnetooptical modulator | |
Many-element receiver | |
Material for recording hologram | |
Matrix method | |
Measurement apparatus | |
Measurement method of space coherence by the account of photons | |
Measurement standard | |
Measuring converter of a radiation because of photon dagging | |
Measuring instrument | |
Measuring receiver | |
Measuring source | |
Measuring tomograph | |
Measuring transducer | |
Mechanical-optical camera | |
Meter of brightness | |
Method cinematographic | |
Method generation of harmonics | |
Method interference spectrometry | |
Method many-channel intensifier brightness of image | |
Method of focal spot | |
Method of a comparison with a standard stimulus source | |
Method of a comparison with standard frequency | |
Method of account of photons | |
Method of averaging in time | |
Method of combined source | |
Method of determination of a spectral density of power (energy) of a laser radiation | |
Method of determination of apposition of aplane of oscillations | |
Method of determination of attitude of ellipse | |
Method of determination of form of ellipse | |
Method of diffraction spectrometry | |
Method of directional diagram | |
Method of electron-optical chronographic | |
Method of electron-optical diagnostics high-speed transient event | |
Method of frame-wise registration | |
Method of interferometric contrast | |
Method of linear polarizer | |
Method of measurement of temporary coherence by account of photons | |
Method of measurement | |
Method of multiquantum absorption | |
Method of nonlinear optical effects | |
Method of parallel analysis | |
Method of phase change carry in | |
Method of phase change measurement | |
Method of phase decomposition | |
Method of phase expansions | |
Method of prism spectrometry | |
Method of real time | |
Method of sequential analysis | |
en Method of space integration | |
en Method of synthesized hologram | |
Method of time integration | |
Method of two cuts | |
Method of two expositions | |
Method of two lengths of waves | |
Method of two sources | |
Method of visualization image | |
Method of beats between modes | |
Micro channel plate | |
Micro lens | |
Micro strip line modulator | |
Microwave Faraday modulator | |
Mirror camera for high-speed motion | |
Model of black body | |
Modulator on p-n junction | |
Modulator with long-time interaction between optical and microwave radiation | |
Modulator with lumped parameter | |
Modulator with optical resonator | |
Multimode fiber | |
Multi-stage electron-optical converter | |
N |
Neutral filter | |
Non collinear modulator | |
Nonreversible carrier | |
Nonreversible medium | |
O |
One frame electron-optical camera | |
One-axis deflector | |
Optomechanical deflector | |
Optical compensation | |
Optical heterodyning method | |
Optical interferometer | |
Optical radiation receiver | |
Optical scanner | |
Optical shutter | |
Optical storage device | |
Optical system | |
Optical wave guide | |
Optical wave guide | |
Optical waveguide deflector | |
Optical-mechanical scanning system | |
Optimal reproduction filter | |
Optomechanical shutter | |
P |
Passing hologram diffraction grating | |
Phase modulator | |
phase-contrast method | |
Photo chronograph | |
Photo chronographic method of registration | |
Photo elastic modulation on double refraction | |
Photo elastic modulator | |
Photo electronic scanning system | |
Photo multiplier | |
Photo receiver | |
Photo recorder | |
Photo resistor | |
Photocell | |
Photochemical method | |
Photochemical receiver | |
Photodiode | |
Photo-electric method of a measurement of a temporary parameter of a laser radiation | |
Photo-electric method | |
Photoelectromagnetic converter | |
Photographic method | |
Photographic recording method | |
Photomagneticoelectrical receiver | |
Photopolymer carrier | |
Photopolymer | |
Phototermoplastic carrier | |
Phototermoplastic medium for holography | |
Photothermoplastic register | |
P-i-n diode | |
Planar brightness image intensifier | |
Polarimeter | |
Polarization apparatus | |
Polarization method of measurement space coherence | |
Polarization modulator | |
Polarize-optical method | |
Polarizer | |
Polaroid | |
Ponderomotive converter | |
Ponderomotive method | |
Primary standard | |
Processing method | |
Programmed receiver | |
Programmed source | |
Pulsed holographic plant | |
Pulsed image-converter tube | |
Pyranometer | |
Pyrheliometer | |
Pyroelectric receiver | |
R |
Radiometer | |
Recording method | |
Reflective hologram diffraction grating | |
Reproduction filter | |
Reversible carrier | |
Reversible medium | |
Roentgen hybrid electron-optical converter | |
S |
Scaled brightness image intensifier | |
Scanning system | |
Scannister | |
Sensor | |
Shot-diode | |
Single-element receiver | |
Spatial filter | |
Spatial modulator | |
Spectrograph | |
Spectrometer | |
Spectrophotometer | |
Spectroradiometer | |
Stage less electron-optical converter | |
State measurement standard of unit of a radiation flux for want of to wavelength 0,95 microns | |
State measurement standard of unit of light intensity | |
State measurement standard of units of a parameter of refraction | |
State measurement standard of units of a radiation flux and power light exposure in a range of lengths of waves 0,03 - 0,4 microns | |
State measurement standard of units of average power of laser radiation | |
en State measurement standard of units of coordinates of color and coordinates of chromaticity | |
State measurement standard of units of length for spectroscopy | |
State measurement standard of units of power light exposure of small levels in a range of lengths of waves 1 - 50 microns | |
State measurement standard of units of power of impulse laser radiation in a range of lengths of waves 0,4 - 10,6 microns | |
State measurement standard of Units of spectral density of power brightness of optical radiation in a range of lengths of waves 0,04 - 0,25 microns | |
en State measurement standard of units of spectral density of power brightness, spectral density of force of radiation and spectral density of power light exposure in a range of lengths of waves 0,25 - 25,00 microns; forces of radiation and power light exposure in a range of lengths of waves 0,2 - 25,0 microns | |
en State measurement standard of units of spectral factor of directed passing in a range 0,2 - 50 microns, diffuse and mirror reflections in a range 0,2 - 2,5 microns | |
State measurement standard of units of stream of impulse optical radiation in a range of lengths of waves 0,8 - 1,0 microns | |
State measurement standard | |
State special measurement standard | |
Strobe holographic method | |
Superconducting bolometer | |
Synthesized hologram diffraction grating | |
Synthesized hologram optical element | |
System of primary processing information | |
T |
Teplers method | |
Thermal method of measurement of temporary parameter of laser radiation | |
Thermal method | |
Thermal receiver | |
Thermocouple | |
Thermoelement | |
Thomson mass-spectrograph | |
Time-analyzing electron-optical converter | |
Time-analyzing roentgen electron-optical converter | |
Tomograph | |
Two beam Interferometric method | |
Two-axis deflector | |
Two-conductor modulator | |
W |
Wide-band coaxial phototube | |
Wide-band electron-multiplier | |
Z |
Zernicke switching | |
(справочное)
РАЗДЕЛЫ ФИЗИКИ, ИСПОЛЬЗОВАННЫЕ ПРИ ОПРЕДЕЛЕНИИ ТЕРМИНОВ
1 Интегральная оптика
de Integral Optik
en Integrated optics
Раздел оптоэлектроники, основной задачей которого является изучение и использование особенностей генерации, распространения и преобразования волн оптического излучения в тонких слоях прозрачных материалов, а также разработка принципов и методов создания и интеграции оптических и оптоэлектронных волноводных элементов
2 Оптика
de Optiken
en Optic
Раздел физики, в котором изучают оптическое излучение, процессы его распространения и взаимодействия с веществом
3 Физическая оптика
de Physikalischeoptik
en Physical optics
Раздел оптики, рассматривающий проблемы, связанные с природой оптического излучения
4 Электрооптика
de Elektrooptik
en Electro-optics
Раздел физической оптики, в котором изучают изменения оптических свойств сред под действием электрического поля и вызванные этими изменениями особенности взаимодействия оптического излучения со средой, помещенной в поле
5 Магнитооптика
de Magnetooptik
en Magneto-optics
Раздел физической оптики, в котором изучают изменения оптических свойств сред под действием магнитного поля и обуславливающие эти изменения особенности взаимодействия оптического излучения с помещенным в поле веществом
6 Волоконная оптика
de Fiberoptic
en Fiber optics
Раздел оптоэлектроники, в котором рассматривают передачу излучения и изображения по волоконным световодам
7 Оптика неоднородных сред
de Optik der inhomogenes Medium
en Optics of no homogeneous environments
Раздел физической оптики, в котором изучают явления, сопровождающие распространение оптического излучения в оптически неоднородных средах, показатель преломления которых зависит от координат
8 Голография
de Holographi
en Holography
Область науки и техники, предметом изучения которой являются процессы записи и последующего воспроизведения информации об объекте, содержащиеся в физически реализуемых или математически описываемых волновых полях, с использованием законов дифракции и интерференции волн
ISO/DIS 11145 Lasers and laser-related equipment. Vocabluary and symbols.
ISO/FDIS 11670 Optics and optical instruments. Laser and laser-related equipment. Test methods for laser beam parameters. Beam positional stability.
ISO/FDIS 120051999(E) Lasers and laser-related equipment. Test methods for laser beam parameters. Polarization.
ISO/FDIS 13694 Optics and optical instruments. Laser and laser-related equipment. Test methods for laser beam power (energy) density distribution.
ISO/WD 13695 Optics and optical instruments. Laser and laser-related equipment. Test methods for laser beam parameters: Spectral characteristic.
ISO/DIS 13696 Lasers and laser-related equipment. Test methods for radiation scattered by optical components.
ISP/WI 15367 Lasers and laser-related equipment. Test methods for laser beam parameters. Phase distribution.
ISO/WD 17526-1 Optics and optical instruments. Laser and laser-related equipment. Lifetime of lasers.
УДК 001.4:681.782.473:006.354 | | Т80 | |
Ключевые слова: оптоэлектроника, оптика, метод, эталон, государственный первичный эталон, государственный специальный эталон, измерение, средство измерений, термин, определение |