Главная // Актуальные документы // ПостановлениеСПРАВКА
Источник публикации
М.: Госстандарт России, 2002
Примечание к документу
Документ
введен в действие с 01.07.2003.
Название документа
"Р 50.2.027-2002. Рекомендации по метрологии. Государственная система обеспечения единства измерений. Измерения в оптоэлектронике. Термины и определения. Часть II. Измеряемые величины и параметры"
(приняты и введены в действие Постановлением Госстандарта России от 19.12.2002 N 494-ст)
"Р 50.2.027-2002. Рекомендации по метрологии. Государственная система обеспечения единства измерений. Измерения в оптоэлектронике. Термины и определения. Часть II. Измеряемые величины и параметры"
(приняты и введены в действие Постановлением Госстандарта России от 19.12.2002 N 494-ст)
Приняты и введены в действие
от 19 декабря 2002 г. N 494-ст
РЕКОМЕНДАЦИИ ПО МЕТРОЛОГИИ
ГОСУДАРСТВЕННАЯ СИСТЕМА ОБЕСПЕЧЕНИЯ ЕДИНСТВА ИЗМЕРЕНИЙ
ИЗМЕРЕНИЯ В ОПТОЭЛЕКТРОНИКЕ
ТЕРМИНЫ И ОПРЕДЕЛЕНИЯ
ЧАСТЬ II
ИЗМЕРЯЕМЫЕ ВЕЛИЧИНЫ И ПАРАМЕТРЫ
Р 50.2.027-2002
Группа Т80
Дата введения
1 июля 2003 года
1 РАЗРАБОТАНЫ Федеральным Государственным Унитарным предприятием "Всероссийский научно-исследовательский институт оптико-физических измерений" (ФГУП ВНИИОФИ) Госстандарта России
ВНЕСЕНЫ Управлением метрологии Госстандарта России
2 ПРИНЯТЫ И ВВЕДЕНЫ В ДЕЙСТВИЕ
Постановлением Госстандарта России от 19.12.2002 г. N 494-ст
3 ВВЕДЕНЫ ВПЕРВЫЕ
Содержащиеся в рекомендации термины расположены в систематизированном порядке, отражающем систему понятий в области измерений в оптоэлектронике. В
разделах 3,
4 и
5 дана сквозная нумерация терминов.
Для каждого понятия рекомендуется один термин, набранный полужирным шрифтом.
Для отдельных терминов приведены в качестве справочных краткие формы, указанные светлым шрифтом, которые можно применять в случаях, исключающих возможность их различного толкования.
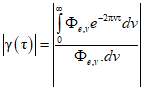
В рекомендациях приведены иноязычные эквиваленты терминов на немецком (обозначение - de) и английском (обозначение - en) языках, являющиеся справочными.
В рекомендациях приведен алфавитный
указатель содержащихся в них терминов, а также приведены алфавитные указатели эквивалентов терминов на
немецком и
английском языках.
Для терминов полностью раскрывающих их содержание, определения не приведены.
Настоящие рекомендации содержат термины и определения основных понятий, применяемых в области измерений в оптоэлектронике.
Термины, приведенные в настоящих рекомендациях, рекомендуются для применения в нормативных документах всех видов, научно-технической, учебной и справочной литературе.
В настоящих рекомендациях использована ссылка на следующий стандарт:
ГОСТ Р 1.5-92 Государственная система стандартизации Российской Федерации. Общие требования к построению, изложению оформлению и изложению стандартов
3 Лазеры и лазерные системы
de

en beam axis
Прямая линия, соединяющая центроиды, определяемые пространственным моментом первого порядка профиля поперечного сечения мощности (энергии) при последовательных положениях в направлении распространения в однородной среде
2 площадь поперечного сечения пучка, Au
de

,
Au
en beam cross-sectional area, Au
Минимальная полностью заполненная площадь Au, содержащая u% общей мощности (энергии) пучка.
Примечание - Здесь и в дальнейшем, если исходные значения помечены индексом "u", "u" всегда должно быть заменено конкретным числом, т.е. A90 для u = 90%
3 площадь поперечного сечения пучка, 
de

,

en beam cross-sectional area,

Площадь

поперечного сечения круглого пучка может быть вычислена как

. Для пучка эллиптического поперечного сечения эта площадь равняется

de

en beam diameter
de

,
du
en beam diameter, du
Минимальный диаметр апертуры в плоскости, перпендикулярной оси пучка, который содержит u% общей мощности (энергии) пучка
de

en beam radius
de

,
Wu
en beam radius, Wu
Радиус пучка, Wu = 1/2du
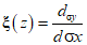
8 радиус пучка, 
de

,

en beam radius,

Радиус пучка

определяется как

Определение момента второго порядка

9 диаметр пучка, 
de

,

en beam diameter,

Диаметр пучка определяется как

,
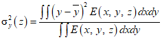
где момент второго порядка функции распределения плотности мощности E(x,y,z) пучка в направлении z определяется выражением

,
где
r - расстояние до центроиды (

,

) и где моменты первого порядка определяют координаты центроиды т.е.

,

.
В принципе интегрирование должно проводиться по всей плоскости xy. Практически интегрирование должно быть осуществлено по такой площади, чтобы по крайней мере было охвачено 99% мощности (энергии) пучка.
Для импульсных лазеров плотность мощности E должна быть заменена плотностью энергии H
de

en beam widths
11 ширина пучка, dxu; dyu:
de
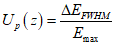
dxu;
dyu
en beam widths, dxu; dyu
Ширина минимальной щели, пропускающей u% мощности (энергии) пучка в 2-х предпочтительных ортогональных направлениях x и y, перпендикулярных оси пучка. Предпочтительные направления задаются минимальной шириной пучка и ортогональным направлением.
Примечание - Для круглых Гауссовых пучков dx,95,4 = d86,5
12 ширина пучка,
; 
en beam widths,

;

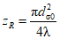
Ширина пучка определяется как

,

,
где момент второго порядка функции распределения плотности мощности E(x,y,z) пучка в направлении z определяется как

,

,
где

и

- расстояния до центроиды

и где моменты первого порядка определяют координаты центроиды, т.е.

,

.
В принципе интегрирование должно быть проведено по всей плоскости x-y. На практике интегрирование должно быть осуществлено по площади так, чтобы было охвачено по крайней мере 99% мощности (энергии) пучка.
Для лазеров импульсного режима работы плотность мощности E должна быть заменена плотностью энергии H
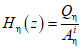
13 произведение параметров пучка, 
de

,

en beam parameter product

Произведение диаметра сфокусированного пучка и угловой расходимости, деленное на 4:

.
Произведение параметров пучка для эллиптических пучков может быть дано отдельно для главных осей распределения мощности (энергии)
de

en beam position
Смещение оси пучка относительно фиксированной механической оси оптической системы в определенной плоскости, перпендикулярной механической оси оптической системы. Механическая ось задается прямой линией, соединяющей центроиды ограничивающие апертуры
15 угловое перемещение пучка,
, 
de Winkelumstellung des

{*Strahl*},

,

en angular movement,

,

Угловое перемещение лазерного пучка в плоскости xz и yz, соответственно
16 стабильность положения пучка
de

en beam positional stability
Максимальное поперечное смещение и (или) угловое движение пучка от среднего устойчивого положения
17 угловая стабильность пучка, 
,

,

en beam angular stability,

,

,

Угловая стабильность пучка определяется как удвоенное стандартное отклонение измеренного углового перемещения
de Zentrum des Drehens des

{*Strahl*}
en pivot
Центр вращения определяется точкой пересечения всех мгновенных осей пучка с осью z
19 поперечное смещение пучка, ax, ay
de Querlaufende Absetzung des

{*Strahl*},
ax,
ay
en transverse displacement, ax, ay
Расстояние, на которое лазерный пучок смещается в поперечном направлении соответственно вдоль оси x и y
20 позиционная стабильность пучка, 
en beam positional stability,

Позиционная стабильность пучка определяется перемещением центроиды лазерного пучка в плоскости x' y' в z'
21 стабильность пучка за короткий период времен
de

des

{* Strahl*} fur die kurze Periode der Zeit
en short-term stability
Для определения стабильности за короткий период времени время измерения составляет 1 секунду
22 стабильность пучка за средний период времени
de

des

{*Strahl*} fur die mittlere Periode der Zeit
en Medium-term stability
Для определения стабильности среднего периода времени время измерения составляет 1 минуту
23 стабильность пучка за продолжительный период времени
de

des

{*Strahl*} fur die langwierige Periode der Zeit
en long-term stability
Для определения стабильности за продолжительный период времени время измерения составляет 1 час
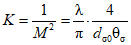
24 коэффициент распространения пучка, K;
коэффициент временного дифракционного предела, M2
de

,
K;

,
M2
en beam propagation factor, K;
times-diffraction-limit-factor, M2
Коэффициент, определяющий насколько произведение параметров пучка близко к дифракционному пределу совершенного Гауссового пучка. Он вычисляется из формулы
и равняется отношению произведения параметров пучка для основной Гауссовой моды (TEM00) и фактической моды лазера
Коэффициент передачи пучка равняется единице для теоретически совершенного Гауссового пучка и имеет значение между нулем и единицей для любого реального пучка
каустика пучка;
шейка пучка;
перехват пучка
de

en beam waist
Локальный минимум диаметра пучка или ширины пучка
диаметр каустики;
диаметр шейки пучка
de Ferengerungsdiameter
en beam waist diameter
27 диаметр сужения пучка d0,u;
диаметр каустики пучка, d0,u;
диаметр шейки пучка d0,u
de

,
d0,u
en beam waist diameter, d0,u
Диаметр du пучка в месте сужения пучка
28 диаметр сужения пучка
;
диаметр каустики пучка,

;
диаметр шейки пучка,

de

,

en beam waist diameter,

Диаметр

пучка в месте сужения пучка
радиус каустики пучка;
радиус шейки пучка
de

en beam waist radius
30 радиус сужения пучка, w0,u;
радиус каустики пучка, w0,u;
радиус шейки пучка, w0,u
de

,
w0,u
en beam waist radius, w0,u
Радиус wu пучка в месте сужения пучка
ширина каустики пучка;
ширина шейки пучка
de

en beam waist widths
32 ширина сужения пучка, dx0,u; dy0;
ширина каустики пучка, dx0,u; dy0,u;
ширина шейки пучка, dx0,u; dy0,u
de

,
dx0,u; dy0,u
en beam waist widths, dx0,u; dy0,u
Ширина пучка dx,u и dy,u в местах сужений пучка
33 ширина сужения пучка,
;
;
ширина каустики пучка,
; 
;
ширина шейки пучка,
; 
en beam waist widths,
; 
Ширина пучка

и

в местах сужений пучка
34 степень взаимной когерентности, 
de

,

en degree of mutual coherence,

Модуль комплексной степени когерентности пучка излучения

, определяющий контраст интерференционной картины, возникающей при наложении с произвольным запаздыванием

полей равной интенсивности, относящихся к различным точкам с координатами
R1 и
R2 нормального пучка излучения.
Примечания:
1 Степень взаимной когерентности равна

,
где Imax и Imin - максимальная и минимальная интенсивности в интерференционной картине.
2 Степень взаимной когерентности совпадает с огибающей нормированной функции корреляции электрического поля излучения
35 степень пространственной когерентности, 
de

,

en degree of spatial coherence,

Степень взаимной когерентности при запаздывании, равном нулю
36 степень временной когерентности, 
de

,

en degree of time coherence,

Степень взаимной когерентности для одной точки пространства.
Примечание - Степень временной когерентности связана со спектральной плотностью потока излучения следующим образом:
37 длина когерентности, lc
de

,
lc
en coherence length, lc
Расстояние в пучке, внутри которого излучение, испускаемое лазером, сохраняет основное фазовое соотношение. Она определяется как

, где
c - скорость света
38 время когерентности, 
de

,

en coherence time,

Временной интервал, внутри которого излучение, испускаемое лазером, сохраняет основное фазовое соотношение. Оно определяется как

39 площадь когерентности, S'c
de

,
S'c
en coherence square, S'c
Ограниченная кривой

площадь нормального сечения пучка излучения, в пределах которой степень пространственной когерентности принимает значения от 1 до 0
40 объем когерентности, Vc
de

,
Vc
en coherence volume, Vc
Объем, ограниченный минимальной поверхностью

41 коэффициент полезного действия прибора,
;
к.п.д. прибора,

de

en device efficiency,

Отношение общей мощности (энергии) лазерного пучка к общей входной мощности (энергии), включающей все вспомогательные системы
42 расходимость лазерного излучения энергетическая;
расходимость энергетическая
de Divergenz der Laserausstrahlung
en energetic divergence of laser beams
Плоский или телесный угол, внутри которого распространяется заданная доля энергии или мощности лазерного излучения
de Winkeldiwergenz
en divergence angle
44 угловая расходимость,
;
; 
Полный угол, образованный асимптотическим конусом "оболочки", образованной увеличением ширины пучка.
Ширина пучка круглого поперечного сечения задается диаметром пучка du. Для некруглых поперечных сечений угловые расходимости определяются отдельно соответствующей шириной пучка в x- и y-направлениях, dx,u; dy,u соответственно.
При упоминании угловых расходимостей должны быть использованы подстрочные индексы для определения соответствующей ширины пучка (например:

означает, что должна быть использована ширина пучка
dx,50).
Примечание - Описанные определения систем координат так же как определения ширины пучка не содержат случая обычного астигматизма
45 Угловая расходимость,
;
, 
Полный угол, образованный асимптотическим конусом огибающей, образованной шириной увеличения пучка.
Ширина пучка круглого поперечного сечения задается диаметром пучка

. Для некруглых поперечных сечений угловые расходимости определяются отдельно соответствующей шириной пучка в
x- и
y-направлениях,
; 
, соответственно.
Примечание - Описанные определения систем координат так же как определения ширины пучка не содержат случая обычного астигматизма
46 эффективное фокусное число
de Wirkung f-Zahl
en effective F-number
Отношение фокусного расстояния оптического элемента к диаметру пучка на этом элементе

47 длина волны в вакууме, 
de

,

en vacuum-wavelength,

Длина волны, соответствующая определению Международного Комитета мер и весов (МКМВ)
48 длина волны в воздухе, 
de

,

en wavelength in air,

Длина волны, которая измеряется в атмосфере
49 спектральное распределение плотности мощности (энергии), 
de Spektrale Verteilung der Dichte der Leistung (die Energie),

en Spectral power (energy) distribution,

Зависимость спектральной плотности мощности (энергии, в случае импульсного лазера) от длины волны. Полная мощность (энергия) переносимая лазерным пучком, равна

или

,
где пределы интегрирования

и

должны быть выбраны так, чтобы спектральная плотность распределения вне этих пределов была менее 1% ее максимального значения
50 пиковая длина волны излучения, 
de

der Ausstrahlung,

en peak-emission wavelength,

Длина волны пиковой моды, соответствующая наибольшей спектральной плотности мощности излучения
51 средняя длина волны, 
de

,

en average wavelength,

Длина волны многомодового лазера, определяемая как центральная длина волны средневзвешенного значения длин волн мод.

,
где

- длина волны
i-й спектральной линии с
i = 0 для

;
ai = амплитуда
i-й спектральной линии с
i = 0 для

52 гравитационная длина волны, 
de

,

en gravity wavelength,

Длина волны, определяемая как центр тяжести спектрального распределения плотности мощности (энергии)

,
где

представляет собой спектральное распределение мощности

, в случае непрерывного лазера, или спектральное распределение энергии

, в случае импульсного лазера.
Пределы интегрирования обычно выбираются таким образом, чтобы спектральное распределение вне этого интервала составляло менее 1% своего максимального значения
53 ширина спектральной линии, 
de Spektralliniebreite,

en Spectral line width,

Интервал длин волн между точками излучения, в которых мощность (энергия) спектрального излучения составляет половину максимального значения
54 среднеквадратичная спектральная ширина полосы пропускания, 
de Mittelwert des Spektralebreitequadrats,

en RMS spectral bandwidth,

Ширина полосы пропускания, определяемая выражением

,
где

- длина волны
i-й спектральной линии при
i = 0 для

;
ai - амплитуда спектральной линии при
i = 0 для

;

- средняя длина волны
55 спектральная полоса пропускания излучения (второй момент), 
de Spektralepassband der Ausstrahlung (der zweite Moment),

en spectral radiation bandwidth (second moment),

Спектральная полоса, определяемая выражением

,
где

- спектральное распределение мощности

, в случае непрерывного лазера, или спектральное распределение энергии

, в случае импульсного лазера. Ширина полосы пропускания включает все длины волн, при которых мощность излучения составляет 10% мощности самого интенсивного излучения
56 число продольных мод, Nm
de Zahl der

Moden,
Nm
en Number of longitudinal modes, Nm
Число мод в пределах полосы пропускания излучения, включая моды на границах полосы
57 межмодовое расстояние, Sm
de Zwischenbenachbartenmodenabstand, Sm
en. mode spacing, Sm
Разность длин волн соседних продольных мод
58 степень подавления боковой моды, SMS
de Stufe der Unterdruckung der Seitenmode, SMS
en side-mode suppression ratio, SMS
Отношение мощности излучения при длине волны максимального излучения Ip к мощности излучения следующей интенсивной моды Is определяемое соотношением
59 зависимость длины волны от температуры, 
de

von der Temperatur,

en temperature dependence of wavelength,

Изменение длины волны при изменении температуры
60 зависимость длины волны от тока, 
de

vom Strom,

en current dependence of wavelength,

Изменение длины волны при изменении тока
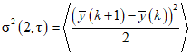
61 стабильность длины волны непрерывного лазера, 
de

des Stetigenlasers,

en wavelength stability for CW laser,

Определяется как среднеквадратическое отклонение, основанное на двойной выборке дисперсии

от

удвоенного значения флуктуации длины волны.

определяется как

,
где

- означает среднее для бесконечного набора данных. Интегральная относительная частота конечных разностей

и

обычно находятся из гетеродинных измерений в виде разности частот

, проинтегрированной по интервалу

и нормированной по частоте колебаний
v.
Стабильность длины волны оценивается как

de

en effective f-number
Отношение фокусного расстояния оптического элемента к диаметру пучка на этом элементе

de Strahlungenergie, Q
en radiant energy, Q
Энергия, переносимая излучением
64 средняя плотность энергии, Hu; 
de Durchschnittsenergiedichte,
Hu; 
en average energy density,
Hu; 
Общая энергия пучка, деленная на его площадь поперечного сечения
Au или

65 объемная плотность энергии излучения, Ue
de Strahlungsenergiedichte, Ue
en radiant energy density, Ue
Отношение энергии излучения к объему, который оно заполняет
66 плотность энергии, H(x, y)
de Energiedichte, H(x, y)
en energy density, H(x, y)
Энергия пучка, который падает на площадь

при определенных
x и
y, деленная на площадь

дальняя область
de Weitefeld
en far-field
Область излучения лазера на расстоянии z от сужения, которая существенно больше, чем Рэлеевская длина zR
de Lebensdauer
en lifetime
Интервал (время или количество импульсов), в течение которого лазерный прибор или лазерный агрегат сохраняет свои качественные характеристики, указанные производителем. Условия использования, службы и обслуживания указываются изготовителем
69 время до отказа в работе
de Zeit bis zum Aussersten in der Arbeit
en time between failure
Полное время работы лазера до тех пор, пока его выходная мощность (энергия) не превышает установленного техническими условиями значения
de Degradation
en degradation
Непрерывное уменьшение выходной оптической мощности лазера во время его работы при неизменных рабочих условиях и условиях окружающей среды
71 скорость деградации, D
de Degradationsgeschwindigkeit, D
en degradation rate, D
Дифференциал уменьшения выходной мощности (энергии) лазера в процессе его работы при постоянных рабочих условиях. В режиме постоянной накачки или режиме постоянной установки скорость деградации определяется как отношение уменьшения мощности (энергии) за промежуток времени между t1 и t2:
D = (P2 - P1)/(t2 - t1)
de Polarisationszustand
en state of polarization
Поляризация классифицируется как линейная, хаотическая, эллиптическая или излучение не поляризовано
de Schwingungensrichtung
en direction of vibration
Направление вектора электрического поля электромагнитной волны
de

en plane of vibration
Плоскость, содержащая вектор электрического поля и направление распространения электромагнитной волны
de

,
b/a
en ellipticity, b/a
Для эллиптически поляризованного излучения отношение малой полуоси b эллипса к большой полуоси a эллипса
Примечание - Эллипс описывается концом вектора электрического поля, который перемещается в плоскости, перпендикулярной к направлению распространения излучения
76 угол эллиптичности, 
de

,

en ellipticity angle,

Угол, тангенс которого представляет эллиптичность.
Примечание - Угол эллиптичности находится в пределах

. При

поляризация круговая, а при

поляризация линейная
77 азимут, 
de Azimut,

en. azimuths,

Угол между большой осью эллипса и опорной осью, перпендикулярной к направлению распространения
de Extinktion
en extinction
Ослабление пучка излучения при его распространении в веществе за счет действия поглощения излучения и рассеяния излучения
79 показатель экстинкции, k
de Extinktionindex
en Extinction ratio
Для линейного поляризатора. Мера качества линейного поляризатора.
Примечание - Если на поляризатор падает идеально линейно поляризованное излучение, то соотношение экстинкции этого поляризатора дается выражением

,
где

- максимальный коэффициент пропускания (отражения);

- минимальный коэффициент пропускания (отражения) мощности (энергии), проходящей через линейный поляризатор
de Stokes parameter
en stokes parameters
Набор из четырех действительных величин, полностью описывающий состояние поляризации монохроматического или квазимонохроматического излучения.
Примечание - Совокупность этих параметров известна как вектор Стокса
81 степень линейной поляризации, p
de Linearpolarisationsgrad
en degree of linear polarization p
Отношение разности мощностей P (энергий Q) пучка к их сумме в двух ортогональных направлениях поляризации, т.е.

или

.
Выбираются направления x и y, для которых мощность (энергия) пучка аттенюирована минимально или максимально, соответственно, после прохождения через линейный поляризатор.
Направление x, для которого ослабление пучка после прохождения через линейный поляризатор является минимальным, представляет собой направление поляризации
82 средняя плотность мощности, Eu; 
de Durchschnittsleistungdichte,
Eu; 
en average power density,
Eu; 
Общая мощность пучка, деленная на его площадь поперечного сечения
Au или

83 мощность лазера непрерывного режима работы, P
de CW-leistung, P
en CW-power, P
Выходная мощность лазера непрерывного режима работы
84 плотность мощности, E(x, y)
de Leistungsdichte, E(x, y)
en power density, E(x, y)
Мощность пучка, который падает на площадь

в плоскости
x-y, деленная на площадь

85 плотность мощности, E(x, y, z)
de Leistungsdichte E(x, y, z)
en power density, E(x, y, z)
Часть мощности пучка в положении
z, который падает на площадь

в плоскости
x-y, деленная на площадь

86 плотность энергии, H(x, y, z)
de Energiedichte, H(x, y, z)
en energy density, H(x, y, z)
Часть энергии пучка импульсного лазерного излучения (проинтегрированной по времени и мощности) в положении
z, который падает на площадь

в плоскости
x-y, деленная на площадь

.
de Leistung, P(z)
en power, P(z)
Мощность непрерывного излучения пучка в положении z.
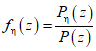
88 энергия импульса, Q(z)
de Impulsenergie, Q(z)
en pulse energy, Q(z)
Энергия импульса пучка в положении z.
89 максимальная плотность мощности (энергии), Emax(z) [Hmax(z)]
de Maximale Leistung (Energie) dichte, Emax(z) [Hmax(z)]
en maximum power (energy) density, Emax(z) [Hmax(z)]
Максимальное значение пространственной функции распределения плотности мощности (энергии) E(x, y, z) [H(x, y, z)] в положении z
90 положение максимума, (xmax, ymax, z)
de Maximumslage, (xmax, ymax, z)
en location of the maximum, (xmax, ymax, z)
Положение максимальных значений Emax(z) или Hmax(z) в плоскости x-y в положении z.
Примечание - Положение максимума (xmax, ymax, z) может быть определено неоднозначно, если для измерений используются приемники с высоким пространственным разрешением и относительно небольшим динамическим диапазоном
91 пороговая плотность мощности (энергии), 
de Schwellendichte der Leistung (die Energie),

en threshold power maximum,

Часть максимальной плотности мощности (энергии) в положении z.

- для непрерывных пучков;

- для импульсных пучков,

.
Примечание - Значение

обычно выбирается так, чтобы во время измерений величины
или 
едва превышали максимумы фонового шума приемника
92 эффективная мощность (энергия), 
de Wirksameleistung (energie),
, 
en effective power (energy),
, 
Мощность
P(z) [энергия
Q(z)], которая оценивается посредством суммирования только по тем положениям (x,y), для которых

.
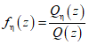
93 удельная эффективная мощность (энергия), 
удельная мощность (энергия),

de Spezifischewirksameleistung, (energie),

en fractional power (energy},

Отношение эффективной мощности (энергии) для данного

к полной мощности (энергии) в распределении в положении
z.

- для непрерывных пучков;

- для импульсных пучков,

94 центр тяжести распределения; положение центроиды, 
de Schwerpunkt der Verteilung,

en center of gravity centroid position,

Первые линейные моменты в положении z
95 эллиптичность пучка (эксцентриситет), 
de

{*Strahl*} (exzentrizitat),

en beam ellipticity (eccentricity),

Параметр, служащий для количественной оценки округлости или квадратичности (отношения сторон) распределения в положении z.
Эллиптичность пучка -

.
Эксцентриситет -

,
где направление оси
x выбрано вдоль большой оси распределения, так что

.
Примечание - Если
e <= 0,5 или

то осе симметричное распределение можно считать круговым, а распределение прямоугольной формы - квадратным
96 площадь поперечного сечения пучка, 
en beam cross-sectional area,


- для пучка с поперечным сечение в виде круга;

- для пучка с поперечным сечением в виде эллипса
97 эффективная площадь облучения, 
de

,

en effective irradiation area,

Площадь облучения в положении z, при котором мощность (энергия) облучения превышает пороговую мощность (энергию)
98 эффективная средняя плотность мощности (энергии), 
de Wirksamemittleredichte der Leistung (die Energie),

en effective average power (energy) density,

Усредненная по пространству плотность распределения мощности (энергии) в положении z, определяемая средневзвешенным значением.

- для непрерывного пучка;

- для импульсного пучка
de Impuls-leistung, PH
en pulse power, PH
Отношение энергии импульса
Q к длительности импульса

100 коэффициент плоскостности, 
de

,

en flatness factor,

Отношение средней плотности мощности (энергии) к максимальной плотности мощности (энергии) распределения в положении z.

- для непрерывного пучка;

- для импульсного пучка,

.
Примечание - В случае идеально плоской вершины распределения плотности мощности (энергии)

101 однородность пучка, 
de Gleichartigkeit des

{*Strahl*},

en beam uniformity,

Нормированное среднеквадратичное отклонение плотности мощности (энергии) от ее среднего значения в положении z.

- для непрерывного пучка;

- для импульсного пучка
102 однородность плато, Up(z)
de Gleichartigkeit des

Teiles der Charakteristik,
Up(z)
en plateau uniformity, Up(z)
<Для распределений, имеющих профиль с почти плоской вершиной>

- для непрерывного пучка;

- для импульсного пучка,
где

- полная ширина на половине максимума
(FWHM) вблизи
Emax [Hmax] гистограммы плотности мощности (энергии)
N(Ei) [NHi], т.е. число положений (x,y), в которых зарегистрирована данная плотность мощности (энергии)
Ei[H].
Примечание - 0 <
Up(z) < 1;

, по мере приближения вершины распределения к плоскости
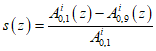
103 крутизна границы, s(z)
de Grenzesteilheit s(z)
en edge steepness, s(z)
Нормированная разность эффективных облучаемых площадей

и

со значениями плотности мощности (энергии), превышающими, соответственно, 0,1
Emax(
z)[0,1
Hmax(
z)] и 0,9
Emax(
z)[0,9
Hmax(
z)].

,
0 < s(z) < 1.
Примечание -

, по мере того, как границы распределения становятся более вертикальными
104 неточность аппроксимации, R
de Approximationunexaktheit, R
en roughness of fit, R
Максимальное отклонение измеренного распределения от теоретической аппроксимации

,
где
Ef - аппроксимированное теоретическое распределение
(рисунок 1), 0 <=
R <= 1.
Примечание - Когда

, качество аппроксимации улучшается
Рисунок 1 - Иллюстрация однородного распределения плотности
мощности E(x) в одном измерении. Аппроксимация распределения
105 критерий адекватности, G
de Angemessenheitkriterium, G
en goodness of fit, G
Параметр, основанный на статистическом критерии Колмогорова-Смирнова, характеризующий аппроксимацию между измеренным и теоретическим распределениями.

,
где N - общее число точек данных в измеренном распределении;

- максимальное отклонение между измеренным и теоретически распределениями диафрагмированной мощности (энергии) в произвольных положениях (
xi, yi) при
n >= 10.

,
где

и

,
где Ef - аппроксимированное теоретическое распределение, 0 <= Gf <= 1.
Примечание - Когда

, качество аппроксимации улучшается
106 средняя мощность, Pav
de Durchschnitsleistung, Pav
en average power, Pav
Произведение средней энергии импульса Q и частоты повторения импульсов fp
107 максимальная мощность импульса, Pp
de Maximaleleistung des Impulses, Pp
en peak power-time function, Pp
Максимальное значение функции зависимости мощности от времени
108 длительность импульса, 
de Impulsdauer,

en pulse duration,

Интервал между временами, когда мгновенная мощность достигает 50% от максимальной мощности импульса для первого и последнего момента времени
109 длительность импульса на уровне 10%, 
de Impulsdauer,

en 10%-pulse duration,

Интервал между первым и последним моментами времени, когда импульс достигает 1/10 от максимальной мощности импульса
110 частота повторения импульсов, fp
de Impulsfolgefrequenz, fp
en pulse repetition rate, fp
Количество повторяющихся лазерных импульсов импульсного лазера в секунду
111 квантовый выход, 
de Quantenertrag,

en quantum efficiency,

Отношение энергии единичного фотона лазера к энергии единичного "накачанного" фотона, вызывающего инверсию оптически "накачанного" лазера
112 Рэлеевская длина, zR; zRx, zRy
de

,
zR; zRx, zR
en Raleigh length zR; zRx, zR
Расстояние от сужения пучка до точки на оси в направлении распространения, для которого диаметр пучка или ширина пучка составляет в

раз больше, чем сужение пучка.
Для Гауссовой основной моды

.
Обычно формула

является правильной
113 спектральная ширина полосы пропускания,
, 
de Spektrumbadbreit,
, 
en spectral bandwidth,
, 
Максимальное различие между длинами волн (оптическими частотами), для которых спектральная плотность мощности (энергии) составляет половину от ее максимального значения
de Betriebszustand
en mode of operation
Режим генерации, обусловленный режимом возбуждения условиями возникновения генерации
de Kontinuierlichszustand
en CW-mode
Режим работы, при котором лазер непрерывно излучает и уровень мощности постоянен
116 периодически повторяющийся непрерывный режим
de Periodisch wiederholte Kontinuierlichszustand
en repetitive cw-mode
Режим непрерывной работы, при котором лазер периодически включается и выключается чаще одного раза в минуту. Соответствующие времена включения (выключения) должны быть больше одной секунды и в продолжение времени включения должна быть достигнута стабильная работа лазера
de Impulsregime
en pulsed mode
Режим работы, при котором лазер испускает не менее 1000 последовательных импульсов излучения при непрерывной частоте повторения импульсов
118 режим одиночных импульсов
de Einzelnenimpulseregime
en single pulse mode
Режим работы, при котором лазер излучает одиночные импульсы с низкой частотой повторения, т.е. время между последовательными импульсами по крайней мере в 106 раз больше длительности импульса
119 квазинепрерывный режим
de Quasikontinuierlichszustand
en quasi-cw-mode
Режим работы, при котором импульс излучения настолько длинный, что лазерный материал достигает своего оптического, а не теплового равновесия. Квазинепрерывный режим охватывает длительности импульсов от 100 мкс до 2000 мкс.
Примечание - Этот режим работы характерен для некоторых типов лазеров, особенно диодных лазеров и приборов на их основе
120 режим постоянной мощности
de Konstantenleistungregime
en constant power mode
Режим, при котором лазер генерирует постоянную оптическую мощность (непрерывный или периодически повторяющийся непрерывный режим) или постоянную энергию оптического импульса (импульсный или квазинепрерывный режим)
121 Режим постоянной накачки
de Konstantenpumpregime
en constant pump mode
Режим работы лазера при постоянной мощности накачки (непрерывный или периодически повторяющийся непрерывный режим) или постоянной энергии импульса накачки (импульсный или квазинепрерывный режим)
122 режим постоянной установки
de Konstantenaufstellensregime
en constant setting mode
Режим, при котором параметры лазера устанавливаются и поддерживаются на постоянном уровне, удобном для потребителя.
Примечание - Примеры параметров, поддерживаемых на постоянном уровне: ток возбуждения разряда газового лазера; ток импульсной лампы твердотельного лазера; ток диодного лазера
de Wellenfront
en wave front
Разность оптического пути между плоскостью измерений и непрерывной поверхностью постоянной фазы в данной рассматриваемой позиции по оси пучка
124 фаза, 
de Phase,

en phase,

Часть волнового периода, который прошел относительно начала выбранной системы координат.
Примечания:
1 Фаза выражена в радианах,

.
2 Фаза определена только для пучка излучения, который имеет степень согласованности, достаточной для практического наблюдения интерференционных явлений
de Phasengeschwindigkeit, v
en phase velocity, v
Скорость распространения поверхности равной фазы для монохроматического излучения
126 групповая скорость, u
de Gruppengeschwindigkeit, u
en group velocity, u
Скорость распространения характерной точки на огибающей группы волн, близких по частоте.
Примечание - В недиспергирующих средах групповая скорость совпадает с фазовой скоростью
127 плоскость измерений, Zm
de

,
Zm
en measurement planes, Zm
Плоскость, в которой измеряется фазовое распределение
de

en principal planes
Плоскости, содержащие ось пучка и большие или малые оси, перпендикулярные распределению плотности мощности (энергии) или фазы.
Примечания
1 Большие или малые оси - такие как оси эллипса при наилучшем приближении к нему не кругового распределения плотности мощности (энергии) или фазы.
2 Если фазовое распределение измеряется между сужениями или фокусами астигматического пучка, большие и малые оси направлены в сторону наибольшей и наименьшей кривизны волнового фронта
de

,
z
en beam axis, z
Третья координатная ось и линия, соединяющая центроиды распределения по плотности мощности (энергии)
130 механические оси, x, y, z
de Mechanischenachsen x, y, z
en mechanical axes x, y, z
Ортогональные поперечные оси, определенные осями конструкции лазера или измерительной системы.
Примечание - Начало координат механической системы осей должно быть идентифицировано и совпадать с некоторым доступным и очевидным расположением на оси пучка. Это может быть база изготовителей на лазере или на измерительном приборе. Направление поперечных осей может быть связано с лазером или вертикальными и горизонтальными осями в среде измерений
131 длина оптического пути, OPL
оптический путь
de

,
OPL
en optical path length, OPL
Произведение физического расстояния распространения излучения в среде и показателе преломления той среды
Примечание - Для оптической системы с множественными элементами
k, оптический путь выражается как

, где
Lk является физическим расстоянием пути луча в среде
k;
nk - показатель преломления среды
k
132 разность оптического пути, OPD
de Optischenwegesdifferenz
en optical path difference, OPD
Разность полного оптического пути и выбранного базисного оптического пути луча, прошедшего через оптическую систему.
Примечание - Базисный луч - обычно главный луч, связан с OPD для многоэлементной системы выражением

,
где nk - показатель преломления k-го элемента;
Lk - физическая длина луча k-го элемента
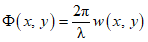
133 фазовое распределение, Ф (x, y)
de Phasedistribution, Ф (x, y)
en. phase distribution, Ф (x, y)
Двумерное распределение локального значения фазы в поперечной плоскости относительно оси.
Примечание - Фазовое распределение связано с функцией распределения волнового фронта следующим образом:

,
где

- длина волны излучения
134 главные плоскости фазового распространения, x`z и y`z
de

,
x`z и
y`z
en principal planes of phase propagation x`z и y`z
Главные плоскости фазового распределения и оси пучка.
Примечание - Главные плоскости фазового распространения необязательно совпадут с плоскостями лабораторной системы x-z и y-z
135 система координат фазового распределения, x',
y',
z
de Phasedistributionskoordinatensystem der, x', y', z
en phase distribution coordinate system, x', y', z
Система координат, используемая как направляющие оси для обозначения направления основных осей астигматической фазы распределение относительно механических осей измерительной среды.
Примечание - Оси
x',
y' и z определяют ортогональные пространственные направления фазового распределения в системе, перпендикулярны к пучку и определяют поперечную плоскость. Начало координат осей находится в механической плоскости, содержащей механические координаты, определенной изготовителем лазера (например, передняя сторона лазерного корпуса) или измерительной системой. Принципиальная схема системы осей показана на
рисунке 2.
Рисунок 2 - Координатная система астигматического фазового
распределения относительно механических осей
136 фазовый азимутальный угол, 
de Phasenazimutwinkel,

en phase azimuth angle,

Угол между главными плоскостями фазового распространения и механическими осями
137 система координат распределения по плотности мощности (энергии)
de Distributionkoordinatensystem nach der Dichteleistung (Energie)
en power/energy density distribution coordinate system
Координатная система, используемая для обозначения направления основных осей астигматического распределение по плотности мощности (энергии) относительно механических осей измерительной системы.
Примечание - Параметры определения распределения по плотности мощности (энергии) простого астигматического пучка показаны в
рисунке 3.
Расположения сужения zox и zoy показаны для обеих осей пучка
Рисунок 3 - Координаты системы осей пучка для распределения
по плотности мощности (энергии).
138 распределение по плотности мощности (энергии), E(x, y, zm)
de Distribution nach der Dichteleistung (Energie), E(x, y, zm)
en power/energy density distribution, E(x, y, zm)
Распределение по плотности мощности (энергии) в плоскости измерений
139 угол азимута распределения по плотности мощности (энергии), 
de Azimuteswinkel der Distribution nach der Leistungdichte (Energie),

en power/energy density distribution azimuth angle,

Угол между главными плоскостями распространения распределения по плотности мощности (энергии) и механическими осями
de Astigmatismus
en astigmatism
Аберрация пучка, который не фокусируется в точку или не отображает осевую симметрию свойств вокруг оси пучка
de Einfachenastigmatismus
en simple astigmatism
Аберрация пучка, в котором поперечное распределение по плотности мощности (энергии) не обладает осевой симметрией, но чьи главные плоскости фазы и распределения по плотности мощности (энергии) ортогональны и фиксированы в пространстве, чьи азимутальные углы, равны (

, см.
рисунки 1 и
2), и где поперечная круговая симметрия распределения по плотности мощности (энергии) должна быть найдена по крайней мере при одном расположении по оси распространения.
Примечание - В общем случае простого астигматизма пучка прямоугольной формы каждый луч формирует сужение в отдельных осевых местоположениях и имеет сферические волновые фронты (круговые интерференционные полосы или фазовые контуры) в этих местоположениях. Реальные или действительные распределения плотности мощности (энергии) будут иметь круговую симметрию в двух различных осевых местоположениях
de Gemeinensastigmatismus
en general astigmatism
Аберрация пучка, в котором поперечное распределение по плотности мощности (энергии) не обладает осевой симметрией и чьи главные плоскости фазы и распределения по плотности мощности (энергии) не являются ни ортогональными, ни фиксированными в пространстве, а азимутальные углы отличаются

, и где пучок никогда не отображает поперечную круговую симметрию
143 астигматическая фокальная разность, 
de Astigmatischesfokaldifferenz,

en astigmatic focal difference,

Расстояние по оси пучка между ортогональными фокусами, сформированными пучком, который отображает простой астигматизм.
Примечание - Это является описанием астигматической аберрации, которое применяется традиционно к несвязанным пучкам, появляющимся от оптических элементов или систем
144 астигматическое разделение сужений, 
de Astigmatischeseinengungenteilung,

en astigmatic waist separation,

Расстояние между расположениями сужений в главных ортогональных плоскостях пучка, обладающего простым астигматизмом.
Примечание - Числовое значение астигматического разделения сужения дается (см.
рисунок 2) выражением
145 астигматическая кривизна волнового фронта, Cx, Cy
de

,
Cx, Cy
en astigmatic wave front curvatures, Cx, Cy
Значения максимальной и минимальной ортогональной кривизны волнового фронта пучка в указанном расположении.
Примечания:
1 Кривизна - обратная величина радиуса кривизны
2 Разность между двумя радиусом кривизны становится по существу идентичной с астигматической фокальной разностью и разделениями сужения, когда измерения сделаны в дальней зоне лазерного пучка
146 измеренный волновой фронт, wM(x,y)
de Gemessenewellenfront, wM(x,y)
en measured wave front, wM(x,y)
Поверхность, вычисленная по данным измерений фазовых распределений
147 исправленный волновой фронт, wc(x, y)
de Korrigiertewellenfront, wc(x, y)
en corrected wave front, wc(x, y)
Поверхность, полученная с учетом среднего отклонения измеренного волнового фронта от эталонного волнового фронта.
Примечание - Эталонный волновой фронт может быть преднамеренно отклонен относительно измеряемого волнового фронта, чтобы помочь при идентификации номера порядка интерференционной картины
148 аппроксимированная сферическая поверхность
de

en approximating spherical surface
Сферическая поверхность, которая является касательной к оси пучка и для которой среднеквадратическая ошибка разности отклонения от исправленного волнового фронта минимальна
de Defokussierung, Rss
en defocus, Rss
Радиус кривизны аппроксимации сферической поверхности
150 функция аберрации волнового фронта;
деформация волнового фронта, wAF(x, y)
de Wellenfrontsaberrationsfunktion, wAF(x, y)
en wavefront aberration function; wavefront deformation, wAF(x, y)
Двумерное распределение разности оптического пути между приблизительно соответствующей сферической поверхностью и исправленным волновым фронтом.
Примечание - Разность оптического пути должна быть измерена по направлению распространения волнового фронта
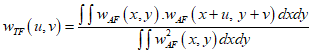
151 автокорреляционная функция волнового фронта, wTF(
u,
v);
неоднородность волнового фронта, wTF(u, v)
de Wellenfrontsautokorrelationsfunktion der, wTF(u, v)
en wavefront autocorrelation function, wTF(u, v)
wavefront inhomogeneity, wTF(u, v)
Двумерная автокорреляционная функция волнового фронта - аберрационная функция.
Примечание - Функция текстуры волнового фронта рассчитывается, используя выражение

,
по области, определенной размерами ширины пучка

,

152 нерегулярность волнового фронта, wpv
de Wellenfrontsirregular, wpv
en wavefront irregularity, wpv
Расстояние между максимальными и минимальными значениями функции аберрации волнового фронта по области, определенной размерами ширины пучка

,

153 взвешенное среднеквадратическое значение деформации, RMS
de Abgewogenedeformationsmittelwertbedeutung
en weighted RMS deformation
irradiance weighted RMS wavefront error
Среднеквадратическое значение величины произведения локального распределения по плотности мощности (энергии) и разности оптического пути между исправленным волновым фронтом и приблизительно соответствующей сферической поверхностью по области, определенной размерами ширины пучка
, 
.
Примечание - Чтобы учесть неравномерность распределения по плотности мощности (энергии) поперек лазерного пучка, RMS деформация волнового фронта взвешена локальной плотностью мощности (энергии)
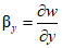
154 наклон, 
наклон относительно оси
y,

de Neigung,

en tilt,

tilt about the y-axis,

Локальный градиент волнового фронта в направлении оси x.
Примечание - Наклон дается выражением
155 наклон, 
наклон относительно оси
x,

de Neigung,

en tilt,

tilt about the x-axes,

Локальный градиент волнового фронта в направлении оси y.
Примечание - Этот наклон дается выражением
156 градиент волнового фронта, 
de Wellenfrontsgradient,

en wavefront gradient,

Векторная сумма наклона

и наклона

.
Примечание - Градиент волнового фронта выражается как
157 фазовый градиент, 
de Phasegradienten,

en phase gradient,

Локальный наклон фазовой дистрибутивной поверхности, являющейся произведением градиента волнового фронта и волнового числа

de Zerstreuteausstrahlung
en scattered radiation
Часть падающего излучения, которая отклонена от зеркального оптического пути
de

en front surface
Оптическая поверхность, которая взаимодействует первой с падающим излучением
de

en rear surface
Поверхность, которая взаимодействует последней с прошедшим излучением
161 индикатриса рассеяния
de Streuungindikatrix
en scattering indicatrix
Кривая, графически отображающая зависимость интенсивности рассеянного излучения от угла рассеяния
de Ruckwartsstreuung
en backward scattering
Часть излучения, рассеянного оптическим компонентом в заднее полупространство. Заднее полупространство определено как полупространство, которое содержит падающий пучок, и которое ограничено плоскостью, содержащей переднюю поверхность оптического компонента
de

en forward scattering
Часть излучения, рассеянного оптической компонентой в переднее полупространство. Переднее полупространство определено как полупространство, которое содержит пучок, переданный компонентом, и оно ограничено плоскостью, содержащей тыловую поверхность оптического компонента
de Vollstreuung
en total scattering
Отношение полной мощности, рассеянного излучения, образованного всеми компонентами, вносящими вклад в рассеяние в переднюю и заднюю полусферы, к полной мощности падающего излучения. Рассматриваемые пространства, рассеивание назад и рассеивание вперед, различны
165 диапазон приемного угла
de Bereichsemfangswinkels
en range of acceptance angle
Диапазон значений угла от минимума до максимального относительно отраженного или переданного пучка, который может быть собран приемным элементом
166 угол поляризации, 
de Polarisationswinkel,

en angle of polarization,

Угол между главной осью мгновенного эллипса падающего излучения и плоскости падения. Для неперпендикулярного падения плоскость падения определяется как плоскость, которая содержит направление распространения падающего излучения и нормаль в точке падения.
Примечание - Угол поляризации

является идентичным азимуту

, если ось коэффициента отражения расположена в плоскости падения
4 Оптоэлектронные и оптические системы и их элементы
167 пространственная аберрация
de Raumaberration
en spatial aberration
Искажение электронно-оптического изображения, возникающее из-за эффекта пространственного заряда
de Zeitaberration
en temporal aberration
Искажение электронно-оптического изображения, возникающее вследствие наличия тепловых скоростей электронов
169 хроматическая аберрация оптической системы
de Chromatischaberration des Optischesystemes.
en chromatic aberrations of optical system
Искажение изображения, связанное с зависимостью показателя преломления оптического материала от длины волны излучения
170 хроматическая аберрация электронной системы
de Chromatischaberration des elektronischen Systemes
en chromatic aberrations of electron system
Искажение изображения, обусловленное начальными скоростями электронов в плоскости изображения
171 разрешающая способность системы
de

des Systemes
en resolution abilities of system
Способность оптической или оптоэлектронной системы давать отдельное изображение двух близких друг к другу точек объекта
de

en image amplification
Увеличение яркости изображения с помощью приборов и устройств
173 электронное усиление изображения
de

des Bildes
en electronic image amplification
Увеличение яркости изображения с помощью электронных приборов
de

en light amplification
Увеличение яркости света с помощью специальных приборов и устройств, например, электронно-оптических преобразователей
дешифровка
de Dechifrierung
en decipher
Определение качественных и количественных характеристик параметров быстропротекающих процессов по изображению, получаемому методом высокоскоростной фотографии
176 апертура оптической системы
апертура
de Apertur
en aperture
Действующее отверстие системы, определяемое размером линз, зеркал или диафрагм
de Winkelapertur
en angular aperture
Угол между крайними лучами конического пучка оптического излучения, входящего в систему
178 числовая апертура оптического волокна
числовая апертура
de Zahlenapertur des Optischfibers
en digital aperture
Апертура, равная

,
где n - показатель преломления материала, из которого изготовлено волокно;

- угол между крайними лучами конического пучка оптического излучения, входящего в оптическое волокно
179 апертура электронно-лучевого прибора
de Elektronenstralapertue des Gerates
en aperture of electron-beams
Размеры поперечного сечения электронного луча в плоскости экрана принимающего прибора или мишени передающего прибора
180 относительная апертура
относительное отверстие
de Relativapertur
en Relative aperture
Отношение диаметра действующего отверстия объектива к его фокусному расстоянию
181 светосила оптической системы
de

des Optischeszstem
en light-grasp of optical system
Величина, позволяющая сравнивать освещенности в плоскостях изображений оптических систем, равная (без учета потерь) квадрату относительной апертуры системы
de Bildeshelle
en image brightness
Яркость экрана электронно-оптического прибора, образуемая изображением предмета на экране
de Grundeshelle
en background brightness
Яркость экрана электронно-оптического прибора, образуемая посторонней засветкой
de Spektralenkanal
en spectral channel
Спектральный интервал, равный ширине функции распределения на уровне половины максимума распределения
185 частотно-контрастная характеристика
de Modulationubertragungsfunktion
en modulation transfer function
Функция контраста в изображении для данной пространственной частоты, отнесенного к максимально возможному контрасту для объекта k.
k = (bmax - bmin)/(bmax + bmin),
где bmax и bmin - максимальное и минимальное значения яркости объекта
186 электронно-оптическое преобразование
de Elektronenoptischetransformation
en electron-optical conversion
Преобразование энергии фотонов в поток электронов
187 разрешающая способность в пространстве
пространственное разрешение
de

en space definition
Максимальное число элементов разложения, приходящихся на 1 мм изображения на выходе средства измерений, при заданном отношении сигнала к шуму
188 разрешающая способность во времени
временное разрешение
de

en time definition
Интервал времени, определяемый при фиксированном отношении сигнала к шуму и равный минимальной длительности любого из двух прямоугольных импульсов излучения, следующих последовательно со скважностью, равной двум, и еще воспринимаемых раздельно
задержка
запаздывание
de Verzug
en time delay
Разность моментов времени поступления на вход системы (устройства) и выхода из нее, обусловленная конечной скоростью распространения сигнала
190 диаграмма направленности оптического излучения
диаграмма направленности
de Ausrichtungdiagramm
en directivity diagram
Угловое распределение энергии или мощности излучения
191 ось диаграммы направленности оптического излучения
ось диаграммы направленности
de Diagrammesachse der Ausrichtung
en axis of directivity diagram
Прямая, проходящая через максимум углового распределения энергии или мощности излучения
de Axialenastigmatismus
en Axis astigmatism
Искажение электронного изображения, вызванное нарушением осевой симметрии электрического и (или) магнитного поля
de Dispersion
en dispersion
Зависимость показателя преломления вещества от частоты (длины волны) излучения
194 дисперсия оптического волокна
дисперсия
de Optischfibersdispersion
en dispersion of optical fiber
Дисперсия, вызванная различием групповых скоростей спектральных составляющих оптического излучения
195 межмодовая дисперсия оптического волокна
межмодовая дисперсия
de Zwischenmodedispersion des Optischesfiber
en between mode dispersion of optical fiber
Дисперсия оптического волокна, обусловленная различием групповых скоростей его мод
196 внутримодовая дисперсия оптического волокна
внутримодовая дисперсия
de Innerermodedispersion des Optischesfiber
en inside mode dispersion of optical fiber
Составляющая дисперсии, обусловленная нелинейной зависимостью постоянной распространения данной моды оптического волокна от длины волны оптического излучения
197 угловая дисперсия, 
de Winkeldispersion,

en angular dispersion,

Величина отношения изменения угла отклонения

к вызвавшему его изменению длины волны

излучения, проходящего через оптическую систему.
198 линейная дисперсия, Dl
de Linear dispersion, Dl
en linear dispersion, Dl
Величина отношения
dl к вызвавшему его изменению длины волны

излучения, проходящего через оптическую систему.
199 фотографическая актиничность
de

en photographic efficiency of light source
Способность оптического излучения оказывать фотографическое действие на светочувствительный материал
200 коэффициент актиничности
de Aktininischfaktor
en efficiency of light source
Отношение освещенностей, создаваемых в плоскости фотографического материала источником излучения и источником сравнения, которые при одинаковых выдержках и последующей химико-фотографической обработке дают одинаковый фотографический эффект
201 диссекция изображения
de Bildesdissektion
en image dissection
Разложение электронного изображения на отдельные электрические сигналы
фазовый сдвиг
de Phasenverschiebung
en phase change
Отставание во времени одного периодического процесса от другого, выраженное в радианах, долях периода или длины волны
203 сдвиг фаз между компонентами поляризованного излучения
de Phasenverschiebung zwischen den Komponenten Polarisiertenausstrahlung
en phase change between components of polarized radiation
Разность фаз между длинами волн поляризованного излучения, распространяющегося в кристалле
204 пространственная частота
de Raumfrequenz
en spatial frequency
Физическая величина, характеризующая пространственное распределение амплитуды и фазы волны оптического излучения
de Raumbereich
en visual field
Часть пространства или плоскости, изображенная оптической или оптоэлектронной системой
de Kamerabereich
en Visual field of camera
Часть пространства или плоскости изображаемая камерой
de Winkelraumbereich
en angular visual field
Угол, под которым виден входной люк из центра входного зрачка
208 фоновая характеристика приемника оптического излучения
de Grundtoncharakteristik des Empfangers der optischen Ausstrahlung
en phone characteristic of optical radiation receiver
Зависимость параметров приемника от параметров фонового излучения, воздействующего на чувствительный элемент наряду с полезным сигналом
209 шум приемника оптического излучения
de

der Optischenausstrahlung
en noise of optical radiation receiver
Сигнал на выходе приемника в отсутствие входного сигнала
210 средний уровень шума приемника оптического излучения
средний уровень шума
de Mittlereniveau des

en average noise level
Математическое ожидание хаотического сигнала на выходе приемника оптического излучения
шум Джонсона
de

en Johnson's noise
Флюктуации напряжений и токов в радиоэлектронных устройствах, вызванные тепловым движением носителей заряда
Флуктуационный шум
de

en fluctuation noise
Флюктуации напряжений и токов в радиоэлектронных устройствах, вызванные неравномерной эмиссией электронов
de

en diffusive noise
Шум, возникающий в полупроводниковых приборах, обусловленный флюктуациями тока из-за модуляционных процессов
радиационный шум
de

en photocurrent noise
Шум, обусловленный флюктуациями числа фотонов, попадающих на чувствительный элемент приемника как от внешних излучателей, так и от частей самого приемника
шум мерцания
шум токовый
шум избыточный
de

en flickers noise
Шум, вызванный медленными флюктуациями электрических токов и напряжений в электровакуумных и газоразрядных электронных приборах, спектр которых имеет вид 1/f, испарением атомов вещества катода, диффузией их из глубинных слоев к поверхности катода, бомбардировкой катода положительными ионами, зеркальностью структуры неметаллических полупроводников и др.
216 генерационно-рекомбинационный шум
de Generation-Rekombination

en generate-recombination noise
Шум, возникающий в полупроводниковых приборах, создаваемый спонтанными флюктуациями скорости генерации, рекомбинации, улавливания и т.д.
217 коэффициент шума лавинного фотодиода
de

der Lawinenfotodiode
en efficiency of noise of avalanche photodiodes
Величина, равная квадрату отношения тока шума лавинного фотодиода в лавинном режиме работы к произведению его коэффициента умножения на ток шума при отсутствии в нем эффекта лавинного умножения
218 спектральная плотность мощности шума
спектр шума
de Spektraledichte der

en spectral concentration of power noise
Зависимость, описывающая распределение дисперсии шума по частотам
219 степень монохроматичности оптического излучения
степень монохроматичности
de Monochromatischgrad
en agree of monochromatization
Отношение ширины огибающей спектра оптического излучения к усредненной по спектру частоте или длине волны излучения
de

en photo elasticity
Возникновение в изотропных твердых телах оптической анизотропии под воздействием упругих напряжений
221 скважность импульса оптического излучения;
скважность
de Verhaltnis
en duty ratio
Безразмерная величина, равная отношению периода повторения импульса к длительности одиночного импульса
222 длительность среза импульса оптического излучения
длительность среза импульса
de Impulsabfallzeit
en pulse decay time
Интервал времени, в течение которого мощность импульса спадает в пределах 0,9 - 0,1 от ее максимального значения
223 длительность фронта импульса оптического излучения
длительность фронта импульса
de Impulsansteigezeit
en pulse rise time
Интервал времени, в течение которого мощность импульса излучения нарастает в пределах 0,1 - 0,9 от ее максимального значения
224 частота следования импульсов оптического излучения
частота следования
de Folgefreguenz
en pulsed frequency
Отношение числа импульсов излучения к единичному интервалу времени наблюдения
225 дифракционное разрешение
de

en diffraction resolution
Наименьший интервал длин волн, который может разрешить данная дифракционная решетка
226 разрешающая способность дифракционной решетки, R
de

Diffraktiongitters,
R
en instrumental resolution of diffraction grating, R
Отношение длины волны

к наименьшему интервалу длин волн

, который может разрешить данная дифракционная решетка.
227 спектральная временная развертка
развертка спектра во времени
спектральное сканирование
de Spektralezeitweiligeabtastung
en spectral scanning
Последовательное изменение во времени длины волны настройки спектрального прибора
228 импульсная характеристика
de Impulsverhalten
en pulse response
Функция, описывающая изменения в линейной системе, возникающие под влиянием внешнего воздействия, имеющего вид

229 переходная характеристика
de Ausgleichscharaktreistik
en step response
Функция, описывающая изменения в линейной системе под влиянием внешнего ступенчатого воздействия, имеющего вид мгновенного скачка от нуля до некоторого постоянного значения, принятого за единицу, и позволяющая определить реакцию системы на любое воздействие
230 время жизни в подложке
de Lebenszeit in der Unterlage
en life time in layer
Время отклика p-n перехода, обусловленное глубиной поглощения оптического излучения в подложке и ее удельным сопротивлением
231 аномальные изменения параметров светодиодов
de

des Lichtdiodesparameter
en anomaly change of light-diodes parameter
Деградация, возникающая в светодиоде в результате загрязнения структуры в процессе выращивания материалов и (или) при создании устройства
232 деградация светодиода
de Lichtdiodesdegradation
en degradation of light-diode
Изменение параметров светодиода в процессе функционирования прибора
233 дифракционная эффективность
de Diffraktionswirkungsgrad
en efficiency of diffraction
Свойство оптической запоминающей среды, определяемое изменением пропускания среды вследствие изменения коэффициента поглощения
de

en length of absorption
Величина, характеризующая проникновение излучения в полупроводник, численно равная обратному значению коэффициента поглощения
235 затухание светового потока
de

en beam light attenuation
Уменьшение величины светового потока вследствие поглощения и рассеяния
236 индуцированная прозрачность
de Induzierendurchsichtidkeit
en Induced transmission
Прозрачность, вызванная сдвигом Бурштейна-Мосса
237 коэффициент потерь на рассеяние
de Dispersionverlustfaktor
en scattering loss factor
Коэффициент рассеяния, обусловленный статическими флюктуациями концентрации разных компонентов материалов
238 коэффициент рассеяния
de Streuungsfaktor
en scattering factor
Отношение потока излучения, рассеиваемого телом, к падающему на него потоку излучения
239 коэффициент собственного рассеяния
de Eigenstreuungsfaktor
en factor of property scattering
Коэффициент, определяющий рассеяние для данного материала, обусловленный флюктуациями плотности
240 коэффициент ослабления
коэффициент экстинции
de

en extinction factor
Безразмерный коэффициент, равный сумме коэффициента поглощения и коэффициента рассеяния среды
241 коэффициент пропускания, 
de Transmissionsgrade,

en transmittance factor,

Отношение потока излучения, прошедшего сквозь тело, к потоку излучения, упавшему на него
242 коэффициент отражения, g
de Reflexionsgrad, g
en reflectance factor, g
Отношение потока излучения, отраженного данным телом, к потоку излучения, упавшему на него
243 коэффициент поглощения, 
de Absorptionsgrad,

en absorptance factor,

Отношение потока излучения, поглощенного данным телом, к потоку излучения, упавшему на это тело
244 спектральный коэффициент пропускания
de Spektraletransmissionsgrade
en spectral transmittance factor
Отношение среднего значения коэффициента пропускания в рассматриваемом малом интервале к ширине этого интервала
245 спектральный коэффициент отражения
de Spektralereflexionsgrad
en spectral reflectance factor
Отношение среднего значения коэффициента отражения в рассматриваемом малом интервале к ширине этого интервала
246 спектральный коэффициент поглощения
de Spektraleabsorptionsgrad
en spectral absorptance factor
Отношение среднего значения коэффициента поглощения в рассматриваемом малом интервале к ширине этого интервала
247 коэффициент размножения, M
de Vermehrungsfaktor, M
en reproduction factor, M
Коэффициент, характеризующий процесс размножения носителей в полупроводнике при относительно высоких обратных напряжениях смещения электрического поля.
Для фотоприемников на основе p-n перехода выражение для коэффициента размножения M имеет вид
M = n/(1 - V/Vbp),
где V - напряжение смещения;
Vbp - напряжение пробоя перехода;
n - коэффициент, больший 1
248 коэффициент прозрачности
прозрачность
de Durchsichtigkeitfaktor
en transmittance
Отношение потока излучения, прошедшего в среде без изменения направления путь, равный 1, к потоку, вошедшему в эту среду в виде направленного пучка
249 коэффициент различимости
de Verschiedenheitungsfaktor
en distinction factor
Параметр обнаружения, определяемый как корень квадратный из отношения энергии минимально различимого сигнала к мощности шумов, приходящихся на единицу полосы пропускания
250 коэффициент усиления оптической системы
de

des Optischensystemes
en amplification factor of optical system
Отношение потока излучения, собираемого на приемник при наличии оптической системы, к потоку, который попал бы на приемник от того же излучателя при отсутствии системы
251 коэффициент усиления оптической передающей системы
de

des Optischenbegebendensystemes
en amplification factor of optical transmitting system
Отношение осевой силы излучения на выходе системы к осевой силе излучения источника
252 коэффициент усиления ФЭУ
de

des fotos - elektronisch Multiplizierer
en amplification factor of photo multiplier
Величина

,
где n - число эмиттеров;

- коэффициент вторичной эмиссии
253 коэффициент сканирования
de Skanierensfaktor
en scanning factor
Отношение активного времени сканирования к времени сканирования одной строки (периоду сканирования)
254 коэффициент яркости ЭОП
de Hellefaktor des Elektronenoptischenumsetzers
en brightness factor of electron-optical image converter
Отношение светимости экрана к облученности на фотокатоде, которое определяется уравнением

,
где Гэ - электронно-оптическое увеличение преобразователя;

- коэффициент преобразования
255 коэффициент использования потока
de Nutzfaktor des

en utilization factor of flow
Отношение части потока Ф, которая попала на исследуемый объект, к потоку в пределах апертуры

.
256 коэффициент использования оптической системы
de Nutzfaktor des Optischensystemes
en utilization factor of optical system
Отношение величины потока

в пределах апертуры к полному потоку

, создаваемому источником.
257 коэффициент вторичной эмиссии
de Sekundareemissionsfaktor
en secondary-emission rate
Отношение числа электронов, получаемых на выходе эмиттера, к числу электронов, бомбардирующих его
258 коэффициент использования приемника излучения
de Nutzfaktor des

en utilization factor of radiation receiver
Коэффициент, характеризующий степень эффективности приема излучения АЧТ.
259 оптическая плотность, D
de Optischesdichte, D
en optical density, D
Десятичный логарифм величины, обратной коэффициенту пропускания
260 показатель преломления, n
de Brechungzahl, n
en refractive index, n
Отношение скорости распространения оптического излучения в вакууме к фазовой скорости распространения излучения в данной среде
261 показатель преломления обыкновенного луча, no
de Brechungsyahl ordentlichen Strahles, no
en refractive index of the ordinary ray, no
Отношение скорости распространения оптического излучения в вакууме к фазовой скорости распространения обыкновенного луча в анизотропной среде
262 главный показатель преломления необыкновенного луча, ne
de Hauptbrechungsyahl

Strahles,
ne
en main refractive index of the unordinary ray, ne
Отношение скорости распространения оптического излучения в вакууме к фазовой скорости необыкновенного луча в анизотропной среде в направлении, перпендикулярном оптической оси в случае одно-осевой анизотропии или в направлении, перпендикулярном биссектрисе угла между оптическими осями в случае двухосевой анизотропии
263 показатель двулучепреломления, b
de Zweimalbrechungzahl, b
en index of birefringence, b
Разность между главным показателем преломления необыкновенного луча в анизотропной среде и показателем преломления обыкновенного луча
264 показатель поглощения, a
de Absorptionskoeffizient, a
en linear absorption coefficient, a
Величина, обратная расстоянию, на которое поток излучения, образующего параллельный пучок, ослабляется в 10 раз в результате поглощения в веществе
265 показатель рассеяния, r
de Streuungsmodul, r
en coefficient of scattering, r
Величина, обратная расстоянию, на котором поток излучения, образующего параллельный пучок, ослабляется в 10 раз в результате рассеяния в веществе
266 показатель ослабления, 
de Schwachungskoeffizient,

en linear attenuation coefficient,

Величина, обратная расстоянию, на котором поток излучения, образующего параллельный пучок, ослабляется в 10 раз в результате совместного действия поглощения и рассеяния в веществе
267 дисперсия показателя преломления,
, df, dv
de Brechungszahldispersion,
, df, dv
en dispersion of the refractive index.
, df, dv
Частная производная от показателя преломления по длине волны, частоте или волновому числу
de Dichroismus
en dichroism
Поглощение оптического излучения, обусловленное оптической анизотропией, зависящей от длины волны и поляризации излучения
de Lineardichroismus
en linear dichroism
Неодинаковость поглощения обыкновенного и необыкновенного лучей
de Zirkulardichroismus
en circular dichroism
Различие поглощения оптического излучения правой и левой круговых поляризаций
271 оптическая разность хода, 
de Optischergangunterschied,

en optical difference of path,

Разность оптических длин пути двух лучей
272 поглощение оптического излучения в полупроводнике
de Optischenausstrahlungaabsorption im Halbleiter
en absorption of optical radiation in semi-conductor
Поглощение, обусловленное следующими физическими явлениями:
- межзонные электронные переходы;
- возбуждение колебаний кристаллической решетки;
- внутризонные электронные переходы;
- электронные переходы с участием дискретных уровней примесных атомов;
- возбуждение колебаний примесных атомов
273 поглощение на примесях
примесное поглощение
de Beimischungenabsorption
en admixture absorption
Поглощение в прозрачных средах, обусловленное ионами переходных металлов, входящими в состав среды, (или) гидроксильными радикалами, поглощающими в ближней ИК области спектра
274 поглощение свободными электронами
de Freielektronenabsorption
en free electrons absorption
Поглощение оптического излучения в полупроводнике свободными носителями, возрастающее при увеличении длины волны

пропорционально

, где 1,5
p < 3,5
275 собственное поглощение
de Eigene Absorption
en proper absorption
Поглощение, обусловленное полосами в ультрафиолетовой области спектра, связанными с переносом заряда, а также колебательными и многофотонными процессами в ближней ИК области спектра
276 оптические потери на рассеяние в световоде
de Optischeverluste auf streuung in Lichtdiode
en optical loss scattering in light diode
Затухание потока оптического излучения, вызванное уходом фотонов из волокна из-за неоднородности показателя преломления, дефектов в материале и т.д.
277 оптические потери на поглощение
de Optischenverluste auf die Absorption
en optical loss absorption
Затухание потока оптического излучения, вызванное преобразованием энергии фотонов в тепло за счет взаимодействия с примесями, вакансиями и за счет собственного поглощения
278 собственное рассеяние
de Freistreuung
en proper scattering
Рассеяние оптического излучения, обусловленное природой стекла из-за присущих ему флюктуаций плотности
279 многофотонное поглощение
de Mehrphotonsabsorption
en many-photon absorption
Процесс поглощения излучения в полупроводнике через реальное промежуточное состояние и (или) через виртуальное промежуточное состояние с использованием двух фотонов с одинаковой энергией
280 монохроматический коэффициент поглощения
поглощательная способность
de Monochromatischapsorptionsgrad
en monochromatic absorptivity
Отношение поглощаемого телом потока излучения к падающему на него монохроматическому потоку излучения частоты f
281 мощность рассеяния на фотосопротивлении
мощность рассеяния
de Verlustleistung
en scattering power
Мощность, рассеиваемая фоторезисторами
282 поверхностная плотность потока излучения
de

des

en radiant flux surface density
Отношение испускаемого поверхностью в полусферу потока излучения к площади этой поверхности.
283 переключение поляризации
de Umschaltung der Polarisation
en switching of polarization
Переключение, основанное на изменении двойного лучепреломления, угла рассеяния оптического излучения, деформации поверхности сегнетоэлектрика и других эффектах
284 характеристика обнаружения
de Entdeckenscharakteristik
en characteristic of discovery
Зависимость вероятности правильного обнаружения по отношению сигнала к уровню шума
285 чувствительность по напряжению, Su
чувствительность вольтовая, Su
de Spannungsempfindlichkeit, Su
en voltage sensitivity, Su
При наличии модуляции сигнала - отношение среднего квадратического значения напряжения выходного сигнала к среднему квадратическому значению мощности излучения, падающего на приемник.
При отсутствии модуляции сигнала - отношение приращения сигнала напряжения

к приращению потока излучения

.
286 чувствительность по току, Si
чувствительность токовая, Si
de Stromsempfindlichkeit, Si
en current sensitivity, Si
При наличии модуляции сигнала - отношение среднего квадратического значения тока выходного сигнала к среднему квадратическому значению мощности излучения, падающему на приемник.
При отсутствии модуляции сигнала - отношение приращения сигнала тока

к вызвавшему его приращение потоку излучения

.
287 чувствительность приемника излучения интегральная
чувствительность интегральная
de Integralempfindlichkeit des Empfangers der optischen Ausstrahlung;
Integralempfindlichkeit
en total sensitivity
Отношение одного из параметров собственно приемника излучения к вызвавшему это изменение воздействию. Определяется как отношение малых приращений выходного и входного сигналов
288 спектральная чувствительность
de Spektralempfindlichkeit
en spectral sensitivity
Отношение величины, характеризующей уровень реакции приемника, к потоку или энергии монохроматического оптического излучения, вызывающему эту реакцию
289 обнаружительная способность
регистрирующая способность
de

en detectivity
Величина, обратная порогу чувствительности Фп
290 порог чувствительности, Фп
пороговая чувствительность, Фп
de

, Ф
п
en noise equivalent power, Фп
Минимальное эффективное значение потока синусоидально модулированного оптического излучения с заданным спектральным распределением, взятое по отношению к единице эффективной полосы пропускания

.

,
где p - заданное отношение сигнала к шуму;
Su - чувствительность по напряжению;
u2шо - эффективное значение потока синусоидально модулированного излучения с заданным спектральным распределением, взятое по отношению к единице эффективной полосы пропускания

,

или

,
где q - размер чувствительной площадки приемника;
D* - удельная обнаружительная способность
291 удельная обнаружительная способность, D*
de Spezifisches

,
D*
en specific detectivity, D*
Нормированная обнаружительная способность.
292 эффективная полоса пропускания, 
de Wirksamebreitsband,

en effective pass band,

Полоса пропускания приемника, определяемая выражением

без учета спектра шумов и

с учетом спектра шумов.
Здесь S(f) - чувствительность приемники для частоты модуляции f; D(f) - порог чувствительности в функции частоты
293 порог чувствительности по энергии, Dэ
чувствительность пороговая по энергии, Dэ
de Empfindlichkeitsschwelle nach der Energie, Dэ
en noise equivalent energy, Dэ
Для потока оптического излучения, поступающего на приемник в виде отдельных импульсов, порог чувствительности имеет вид

,
где uпик - пиковое значение выходного сигнала;
W - энергия выходного сигнала;
(u2ш)1/2 - уровень шума на выходе
294 зонная характеристика приемника оптического излучения
зонная характеристика
de Zonencharakteristik
en zone characteristic
Зависимость чувствительности приемника от координат элементной площадки на поверхности его чувствительного элемента или входного отверстия
295 угловая характеристика приемника оптического излучения
угловая характеристика
de Winkelcharakteristik
en angular characteristic
Зависимость коэффициента чувствительности приемника от угла падения потока излучения на его чувствительный элемент или входное окно
296 модуляция оптического излучения
оптическая модуляция
de Optischesmodulation
en optical modulation
Изменение во времени по заданному закону параметров, характеризующих оптическое излучение
de

en fatigue of receiver
Понижение чувствительности приемника оптического излучения при длительном облучении
298 ширина спектра излучения
de Strallungsspektrumbreite
en spectral band of radiation
Интервал частот или длин волн, характеризующий излучение
299 спектральный состав излучения
de Spektralenbestand der Ausstrahlung
en Spectral composition of radiation
Распределение электромагнитной энергии излучения по длинам волн или частотам
300 ширина спектра оптического излучения
de Spektrumsbreite der Optischenausstrahlung
en width of spectral characteristic
Расстояние между абсциссами точек линии, огибающей спектр излучения, соответствующих заданному уровню спектральной плотности мощности излучения
лучистый поток
de

, Ф
e
en radiant flux, Фe
Физическая величина, характеризующаяся количеством энергии, переносимой электромагнитными волнами через какую-либо поверхность в единицу времени
de Lichtstrom, Ue
en luminous flux, Ue
Величина, пропорциональная потоку излучения, оцененному с учетом относительной спектральной световой эффективности монохроматического излучения
de

,
Ie
en radiant intensity, Ie
Отношение потока излучения, распространяющегося от источника внутри малого телесного угла, к этому телесному углу
de

,
Iv
en luminous intensity, Iv
Отношение светового потока, распространяющегося от источника внутри малого телесного угла, к этому телесному углу
энергетическая освещенность
de Bestrahlungsstarke, Ee
en irradiance, Ee
Отношение потока излучения, падающего на малый участок поверхности, к площади этого участка
de Beleuchtungsstarke, Ev
en illuminance, Ev
Отношение светового потока, падающего на малый участок поверхности, к площади этого участка
de Spezifischelichtausstrahlung
en luminous exitance
Отношение светового потока, исходящего от рассматриваемого малого участка поверхности, к площади этого участка
308 энергетическая яркость, Le
de Strahldichte, Le
en radiance, Le
Отношение потока излучения, проходящего в рассматриваемом направлении в пределах малого телесного угла через участок поверхности, к произведению этого телесного угла, площади участка и косинуса угла между рассматриваемым направлением и нормалью к участку
de Leuchtdichte, Le
en luminance, Le
Отношение светового потока, проходящего в рассматриваемом направлении в пределах малого телесного угла через участок поверхности, к произведению этого телесного угла, площади участка и косинуса угла между рассматриваемым направлением и нормалью к участку
310 спектральная плотность потока излучения
de Spektraledichte des

en spectral concentration of an Radiant flux
Отношение среднего значения потока излучения в рассматриваемом малом спектральном интервале к ширине этого интервала
311 спектральная плотность силы излучения
de Spektraledichte des

en spectral concentration of an Radiant flux
Отношение среднего значения силы излучения в рассматриваемом малом спектральном интервале к ширине этого интервала
312 спектральная плотность облученности
Спектральная плотность энергетической освещенности
de Spektraledichte des Bestrahlungsstarke
en spectral concentration of an Irradiance
Отношение среднего значения облученности в рассматриваемом малом спектральном интервале к ширине этого интервала
313 спектральная плотность энергетической яркости
de Spektraledichte des Strahldichte
en spectral concentration of an Luminance
Отношение среднего значения энергетической яркости в рассматриваемом малом спектральном интервале к ширине этого интервала
314 спектральная характеристика приемника
спектральная характеристика
de Spektralecharakteristik
en spectral characteristic
Зависимость чувствительности приемника оптического излучения от длины волны (частоты) излучения
de Zeitkonstante
en relaxation time
Промежуток времени от начала облучения приемника до момента, когда выходная величина достигает

установившегося значения при длительном облучении. Обычно

принимают равной 63%
316 фазочастотная характеристика
de Phasen-Frequenzkennlinie
en phase-frequency characteristics
Характеристика, выражающая зависимость сдвига по фазе между гармоническими колебаниями на выходе и входе системы от частоты колебаний на ее входе
317 динамический диапазон
de Dynamischbereich
en dynamic range
Интервал между наибольшими и наименьшими значениями напряжения или мощности сигналов, в пределах которого они передаются или принимаются с допускаемым искажением переносимой (принимаемой) информации
318 детектирование оптического излучения;
демодуляция оптического излучения
de Demodulation der Optischenausstrahlung
en detection of optical radiation
Преобразование модулированных колебаний поля с целью выявления закона модуляции, интенсивности поля, его частоты и фазы. Основано на нелинейной зависимости фототока приемника (фотоэлемента) от напряженности электрического поля волны излучения
319 интенсивность излучения
de

en intensity of radiation
Величина, пропорциональная квадрату амплитуды электромагнитного колебания
320 сопротивление приемника
de Empfangerwiderstand
en receiver resistance
Сопротивление чувствительного элемента приемника оптического излучения. Зная его, можно выбрать оптимальное сопротивление нагрузки, на которую работает приемник
321 динамическое сопротивление фотодиода
de Dynamischenwiderstand die Fotodiode
en dynamic resistance of photodiode
Отношение изменения напряжения сигнала к величине изменения фототока при заданной облученности приемника
322 темновое сопротивление фоторезистора
de Dunkelwiderstand die Phototransistor
en dark resistance of photo resistor
Сопротивление чувствительного слоя при отсутствии облучения приемника
323 пространственная фильтрация
de Raumsiebung
en space filtration
Использование различия в пространственных размерах исследуемого объекта и помех, на фоне которых объект наблюдается. Осуществляется путем применения пространственных фильтров, пропускание которых согласовано с пространственной яркостной структурой объекта
угловая селекция
de Winkelsiebung
en angular filtration
Использование различия в угловых размерах исследуемого объекта и помех, на фоне которых объект наблюдается
325 спектральная фильтрация
спектральная селекция
de Spektralsiebung
en spectral selection
Выделение исследуемого объекта на фоне других излучений, отличающихся по спектру
de

en surface brightness
Поверхностно-пространственная плотность потока излучения, исходящего от поверхности
de Lichtdiodesalterung
en degradation of optical wave guide
Необратимая деградация параметров светодиода в процессе его работы
328 яркость темнового фона
de Dunkelsgrundeshelligkeit
en brightness of dark noise
Яркость электронно-оптических преобразователей, обусловленная в основном явлениями термоэлектронной и автоэлектронной эмиссии катода, определяемая по формуле

,
где jт - плотность темнового тока фотокатода;
Гэ - электронно-оптическое увеличение преобразователя;
uо - ускоряющее напряжение;

- коэффициент преобразования
329 световая отдача атома
de Lichtnutzeffekt des Atomes
en light recoil of atom
Пондеромоторное действие света, заключающееся в том, что атом, испускающий фотон, приобретает импульс отдачи, направленный в сторону, противоположную вылету фотона
330 диаграмма направленности светодиода
de Ausrichtungdiagramm der Lichtdiode
en directivity diagram of light-diode
Угловое распределение потока излучения светодиода
331 диаграмма направленности лазерного диода
de Ausrichtungdiagramm der Laserdiode
en directivity diagram of laser-diode
Угловое распределение потока излучения лазерного диода
332 модуляционная характеристика светодиода
de Modulationscharakteristik der Lichtdiode
en modulation characteristic of light-diode
Зависимость мощности излучения светодиода от частоты модуляции при неизменной амплитуде тока через диод
de Selbstfokussierung
en self-focusing
Концентрация энергии оптического излучения в нелинейной среде, показатель преломления которой возрастает с увеличением мощности излучения
de Ausstrahlungswinkel
en emission angle
Угол выхода оптического излучения из волновода. Для заданной длины волны каждой моде волновода соответствует свой угол излучения
de Zahlenapertur
en numerical aperture
Величина, равная

, где
n - показатель преломления среды, в которой распространяется пучок излучения перед входом в оптическую систему;

- апертурный угол
de Beschneidungsfrequenz der Mode
en cutoff frequency for mode
Параметр, характеризующий режим работы световода, когда распространяется только одна мода, а следующие высшие моды с более высокими частотами не могут распространяться
de Lichtleitersverluste
en loss in optical wave guide
Затухание потока оптического излучения, вызванное его поглощением, рассеянием и излучением, связанным со структурой световода
338 коэффициент связи мод
de Modeskopplungsfaktor
en coupling factor of mode
Коэффициент, характеризующий обмен энергией между модами, вызванный нерегулярностями в многомодовом световоде. Проявляется во внесении дополнительных потерь в световоде
339 профиль показателя преломления
de Refraktionrennzifferprofil
en refractive-index profile
Распределение показателя преломления оптического волокна вдоль диаметра его поперечного сечения
340 профиль показателя преломления распределенный
de Verteilenprofil der Refraktionrennziffer
en dispersion refractive-index of profile
Распределение показателя преломления по сечению волоконного световода, характеризующееся зависимостью показателя преломления только от радиальной координаты
341 профиль показателя преломления ступенчатый
de Gestufteprofil der Refraktionrennziffer
en Step-like refractive-index of profile
Распределение показателя преломления по сечению волоконного световода, характеризующееся ступенчатым изменением показателя преломления
342 угол распространения излучения в волноводе
de Ausstrahlungverbreitungwinkel im Hohlleiter
en angle of spread of radiation in wave guide
Угол, возникающий вследствие взаимодействия волн одной моды "", определяемый из условия

,
где n - показатель преломления для данной длины волны;
Y - ордината точки с абсциссой

de Impulsausweitung
en pulse broadening
Эффект, связанный с дисперсией материала световода и дисперсией его волновой структуры
344 уширение импульса внутримодовое
de Innensmodeenimpulsausweitung
en pulse broadening inside mode
Уширение, определяемое спектральной шириной излучения и его длиной волны
345 уширение импульса межмодовое
de Zwischenmodeenimpulsausweitung
en pulse broadening between mode
Уширение, определяемое относительной разностью значений показателя преломления сердцевины и оболочки световода
346 радиационная стойкость световода
радиационная стойкость
de Strahlungsstandhaftigkeit
en radiation resistance
Величина, характеризующая зависимость наведенного поглощения в световоде от параметров ионизирующего излучения
347 приведенная разность населенностей, 
de

der Population
en reduced difference of populations
Разность отношений чисел частиц Ni и Nk к единице объема, находящихся на уровнях i и k, к статистическим весам gi и gk этих уровней.

.
Примечания:
1 Уровень i ниже уровня k.
2 При термодинамическом равновесии

. Случай

соответствует инверсии населенностей (инверсная система)
348 показатель усиления, g
de

en index of amplification
Величина, обратная расстоянию, на котором поток излучения, образующего параллельный пучок в веществе с

усиливается в 10 раз в результате совместного действия поглощения, усиления и рассеяния в веществе
349 вероятность спонтанного испускания, Aj
de Spontanemissonwahrscheinlichkeit
en probability of spontaneous emanation
Отношение среднего числа самопроизвольных переходов атома (иона, молекулы) с излучением из возможного состояния j ко времени, рассчитанное на один возбужденный атом (ион, молекулу)
350 вероятность поглощения, aij
de Einfangwahrscheinlichkeit
en absorption probability
Отношение среднего числа вынужденных переходов атома (иона, молекулы) с поглощением из состояния i в состояние j ко времени, рассчитанное на один атом (ион, молекулу)
351 вероятность вынужденного испускания, sji
de Anregungsemissionswahrscheinlichkeit
en probability of stimulated emission
Отношение среднего числа вынужденных переходов атома (иона, молекулы) с излучением из состояния j в состояние i ко времени, рассчитанное на один возбужденный атом (ион, молекулу)
352 вероятность перехода без излучения, dij
de

ohne Amstrahlung
en probability of radiationless transition
Отношение среднего числа переходов атома (иона, молекулы) между состояниями i и j, не сопровождающихся поглощение или излучением, ко времени, рассчитанное на один атом (ион, молекулу)
353 длительность возбужденного состояния, 
de Lebens dauer eines angeregten Zustandes
en life-time of an excited state
Величина, обратная сумме вероятностей всех возможных переходов атома (иона, молекулы) из возбужденного состояния i в любые другие состояния
354 естественная длительность возбужденного состояния, 
de Natutlebens dauer eines angeregten Zustandes
en natural life-time of an excited state
Величина, обратная сумме вероятностей спонтанных переходов атома (иона, молекулы) с излучением из возбужденного состояния i в любые другие состояния
355 квантовый выход фотопроцесса, 
de Quantenausbeute der Photokatod,

en quantum efficiency of photocatode,

Отношение числа актов фотопроцесса к числу актов оптического возбуждения (одно- или многоквантового) системы
лавинное умножение
de

en avalanche amplification
Процесс в полупроводниковом диоде с отрицательным сопротивлением, вызванный ударной ионизацией атомов носителями заряда
357 эффективность модулятора
de

en modulator efficiency
Отношение переменной составляющей интенсивности оптического излучения на выходе модулятора к интенсивности падающего излучения
358 оптическая ось кристалла
de Optischeachse des Kristalles
en optical axis of crystal
Направление в кристалле, по которому распространяется излучение, не испытывая двойного лучепреломления
359 корреляционное сжатие сигнала
de Korrelationskompression des Signales
en correlation compression of signal
Сжатие сигнала по времени для увеличения отношения сигнал/шум на выходе канала связи
360 коэффициент сжатия сигнала
de Kompressionsignaleskoeffizient
en compression ratio of signal
Отношение длительности сигнала к эффективной ширине интервала корреляции
de

en image scale
Отношение линейного размера изображения к линейному размеру предмета
de Scanieren
en scanning
Анализ исследуемого пространства путем последовательного его просмотра при передвижении мгновенного поля зрения по полю обзора
363 аберрация электронной линзы
de Aberration der Elektronischenlinse
en aberration of electron lenses
Искажение электронно-оптического изображения, возникающее вследствие разброса частиц по энергии в пучке электронов, наличии тепловых скоростей, диффузии частиц, а также из-за эффекта пространственного заряда
de Distorsion
en distortion
Вид аберрации оптической системы, при котором увеличение неодинаково по всему полю зрения
365 коэффициент преобразования ЭОП, 
de Transformationskoeffizient der Elektronenoptischentransformation,

en conversion factor of electron-optical,

Отношение потока, излучаемого экраном (Фэ), к потоку, пришедшему на фотокатод от объекта (Фк).
366 интегральная чувствительность ЭОП
de Integralempfinglichkeit der Elektronenoptischentransformation
en integrated sensitivity of electron-optical converter
Отношение фототока к интенсивности падающего на фотокатод излучения
367 разрешающая способность ЭОП
пространственное разрешение ЭОП
de

des Elektronenoptischentransformation
en space definition of electron-optical converter
Максимальное количество различаемых штрихов изображения на участке экрана длиной 1 мм
368 временное разрешение ЭОП
de

des Elektronenoptischentransformation
en time definition of electron-optical converter
Время прохождения электронным лучом одного разрешаемого элемента изображения "0" на выходе экрана преобразователя
369 яркость темнового фона на экране ЭОП
de Dunkelsgrundeshelligkeit am Bildschirm des Elektronenoptischentransformation
en brightness of a dark background on the screen of an electron-optical converter
Яркость свечения выходного экрана в отсутствие освещенности входного фотокатода
370 время нарастания переходной характеристики по фиксированному уровню
de Steigerungzeit der transitorischencharakteristik nach dem Festgelegtenniveau
en time of increase of a surge characteristic on a fixed level
Интервал времени, в течение которого значения функции, описывающей реакцию приемника на воздействие импульса излучения, имеющего вид единичного скачка, нарастает в пределах заданных уровней от максимального значения
371 длительность импульсной характеристики по фиксированному уровню;
длительность импульсной характеристики
de Impulscharakteristikdauer nach dem Festgelegtenniveau
en duration of a pulse response on a fixed level
Интервал времени, в течение которого значения функции, описывающей реакцию приемника на воздействие импульсного излучения, имеющего вид дельта-функции, превышает заданную долю от максимального значения
372 быстродействие системы ввода информации
de Systemesschnelligkeit der

en speed of the system of input of the information
Параметр системы, определяемый временным запаздыванием ввода сигнала в анализатор относительно момента поступления информации на вход системы и временем регистрации или запоминания сигнала
de Optischeabtastung
en optical scanning
Непрерывное во времени перемещение по поверхности светочувствительного элемента оптического изображения
de Spiegelabtastung
en mirror scanning
Развертка, при которой основным элементом является вращающееся зеркало (многогранник)
de Abtastungsgeschwindigkeit
en rate of scanning
Скорость перемещения изображения относительно пленки или экрана ЭОП
376 сечение пучка излучения;
сечение пучка
de

en section of beam
Площадь сферической поверхности с радиус-вектором, соответствующим изоэнергетической диаграмме по заданному уровню
377 диаметр пучка оптического излучения
de

der Optischenausstrahlung
en beam diameter of optical radiation
Диаметр сечения пучка излучения, внутри которого проходит заданная доля энергии или мощности излучения
378 коэффициент ослабления ослабителя оптического излучения
коэффициент ослабления ослабителя
de Attenuatorsabschwachungskoeffizient
en attenuation ratio of attenuator
Отношение потока излучения, падающего на ослабитель, к потоку излучения на выходе ослабителя
379 диапазон коэффициента ослабления
диапазон ослабления
de Abschwachungsbereich
en range of attenuation
Область значений коэффициента ослабления, ограниченная наименьшим и наибольшим его значениями, которые могут быть получены при использовании данного ослабителя
380 относительное распределение плотности энергии (мощности) оптического излучения
ОРПЭ (ОРПМ)
de Relativeverteilungdichte der Energie (die Kapazitat) der Optischenausstrahlung
en relative allocation of density of energy (power) of optical radiation
Распределение плотности энергии (мощности) излучения по сечению пучка, нормированное относительно максимального значения плотности энергии (мощности)
5 Голографические системы и их элементы
381 голографическая интерференционная структура
de Holographischesinterferencestruktur
en holography interference structure
Пространственное распределение интенсивности в голографическом поле
382 голограммная структура
de Hologrammesstruktur
en strukture of hologram
Пространство распределения физических характеристик голограммы, функционально связанных с голографической интерференционной структурой
de Hologrammesapertur
en aperture of hologram
Область голограммной структуры, в пределах которой осуществляется восстановление волнового фронта
384 отношение сигнал/шум голограммы
отношение сигнал/шум
de Beziehung das Signal/

en signal-noise ratio
Отношение мощности излучения в заданном дифракционном порядке, участвующего в формировании изображения объекта, к мощности излучения, не участвующего в формировании объекта в том же дифракционном порядке
385 дифракционная эффективность голограммы
дифракционная эффективность
de

en efficiency diffracted
Отношение мощности излучения в заданном дифракционном порядке к мощности излучения падающего на голограмму при восстановлении
de Hologrammesaberration
en aberration of hologram
Искажение изображения, вызванное отклонением голограммой структуры от идеальной
387 спектральная избирательность голограммы
de

des Hologrammes
en spectral selectivity of hologram
Допускаемое изменение длины волны при воспроизведении изображения.
Для толстых фазовых голограмм

,
где

- угол между плоскопараллельными волнами, падающими на запоминающую среду;

- расстояние между полосами;
d - толщина запоминающей среды
388 угловая избирательность голограммы
de

des Hologrammes
en angle selectivity of hologram
Допускаемое изменение угла

между плоскопараллельными волнами, падающими на запоминающую среду, при воспроизведении изображения.
Для толстых фазовых голограмм

,
где

- расстояние между полосами интерференции;
d - толщина запоминающего слоя
389 голографическая чувствительность регистрирующей среды
голографическая чувствительность
de Holographischeempfindlichkeit
en holographic sensitivity
Величина экспозиции, обеспечивающая получение максимальной дифракционной эффективности голограммы данного типа
390 голографическая разрешающая способность регистрирующей среды
голографическая разрешающая способность
de

en holographic resolution
Максимальное значение пространственной частоты голограммной структуры двух плоских волн, обеспечивающей получение заданной дифракционной эффективности голограммы
391 коэффициент нелинейности регистрирующей среды
коэффициент нелинейности
de

en ratio of nonlinear
Отношение дифракционной эффективности исследуемой голограммы к дифракционной эффективности голограммы, соответствующей записи голографического поля, обеспечивающей линейную связь голограммной структуры с голографической интерференционной структурой
АЛФАВИТНЫЙ УКАЗАТЕЛЬ ТЕРМИНОВ НА РУССКОМ ЯЗЫКЕ
А |
Аберрация временная | |
Аберрация голограммы | |
Аберрация оптической системы хроматическая | |
Аберрация пространственная | |
Аберрация электронной линзы | |
Аберрация электронной системы хроматическая | |
Азимут,  | |
Актиничность фотографическая | |
Апертура, | |
Апертура голограммы | |
Апертура оптического волокна числовая | |
Апертура оптической системы | |
Апертура относительная | |
Апертура угловая | |
Апертура числовая | |
Апертура числовая | |
Апертура электронно-лучевого прибора | |
Астигматизм | |
Астигматизм общий | |
Астигматизм осевой | |
Астигматизм простой | |
Б |
Быстродействие системы ввода информации | |
В |
Вероятность вынужденного испускания, sji | |
Вероятность перехода без излучения, dij | |
Вероятность поглощения, ai | |
Вероятность спонтанного испускания, Aj | |
Время до отказа в работе | |
Время жизни в подложке | |
Время когерентности,  | |
Время нарастания переходной характеристики по фиксированному уровню | |
Выход квантовый,  | |
Выход квантовый фотопроцесса,  | |
Г |
Градиент волнового фронта,  | |
Градиент фазовый,  | |
Д |
Деградация | |
Деградация светодиода | |
Демодуляция оптического излучения | |
Детектирование оптического излучения | |
Дефокусировка, Rss | |
Деформация волнового фронта, wAF(x, y) | |
Дешифрирование | |
Дешифровка | |
Диаграмма направленности | |
Диаграмма направленности лазерного диода | |
Диаграмма направленности оптического излучения | |
Диаграмма направленности светодиода | |
Диаметр каустики | |
Диаметр каустики пучка, d0,u | |
Диаметр каустики пучка,  | |
Диаметр пучка | |
Диаметр пучка, du | |
Диаметр пучка,  | |
Диаметр пучка оптического излучения | |
Диаметр сужения | |
Диаметр сужения пучка d0,u | |
Диаметр сужения пучка  | |
Диаметр шейки пучка | |
Диаметр шейки пучка d0,u | |
Диаметр шейки пучка,  | |
Диапазон динамический | |
Диапазон коэффициента ослабления | |
Диапазон ослабления | |
Диапазон приемного угла | |
Дисперсия | |
Дисперсия линейная, Dl | |
Дисперсия оптического волокна | |
Дисперсия оптического волокна внутримодовая | |
Дисперсия оптического волокна межмодовая | |
Дисперсия показателя преломления, , df, dv | |
Дисперсия угловая,  | |
Диссекция изображения | |
Дисторсия | |
Дихроизм | |
Дихроизм круговой | |
Дихроизм линейный | |
Длина волны в вакууме,  | |
Длина волны в воздухе,  | |
Длина волны гравитационная,  | |
Длина волны излучения пиковая,  | |
Длина волны средняя,  | |
Длина когерентности, lc | |
Длина оптического пути, OPL | |
Длина поглощения | |
Длина Рэлеевская, zR; zRx, zRy | |
Длительность возбужденного состояния,  | |
Длительность возбужденного состояния естественная,  | |
Длительность импульса,  | |
Длительность импульса на уровне 10%,  | |
Длительность импульсной характеристики | |
Длительность импульсной характеристики по фиксированному уровню | |
Длительность среза импульса | |
Длительность среза импульса оптического излучения | |
Длительность фронта импульса | |
Длительность фронта импульса оптического излучения | |
З |
Зависимость длины волны от температуры,  | |
Зависимость длины волны от тока,  | |
Задержка | |
Задержка во времени | |
Запаздывание | |
Затухание светового потока | |
Значение деформации среднеквадратическое взвешенное, RMS | |
Зона дальняя | |
И |
Избирательность спектральная голограммы | |
Избирательность угловая голограммы | |
Излучение рассеянное | |
Изменения параметров светодиодов аномальные | |
Индикатриса рассеяния | |
Интенсивность излучения | |
К |
к.п.д. прибора,  | |
Канал спектральный | |
Каустика пучка | |
Коэффициент актиничности | |
Коэффициент временного дифракционного предела, M2 | |
Коэффициент вторичной эмиссии | |
Коэффициент использования оптической системы | |
Коэффициент использования потока | |
Коэффициент использования приемника излучения | |
Коэффициент нелинейности | |
Коэффициент нелинейности регистрирующей среды | |
Коэффициент ослабления | |
Коэффициент ослабления ослабителя | |
Коэффициент ослабления ослабителя оптического излучения | |
Коэффициент отражения, g | |
Коэффициент отражения спектральный | |
Коэффициент плоскостности,  | |
Коэффициент поглощения,  | |
Коэффициент поглощения монохроматический | |
Коэффициент поглощения спектральный | |
Коэффициент полезного действия прибора,  | |
Коэффициент потерь на рассеяние | |
Коэффициент преобразования ЭОП,  | |
Коэффициент прозрачности | |
Коэффициент пропускания,  | |
Коэффициент пропускания спектральный | |
Коэффициент различимости | |
Коэффициент размножения, M | |
Коэффициент распространения пучка, K | |
Коэффициент рассеяния | |
Коэффициент связи мод | |
Коэффициент сжатия сигнала | |
Коэффициент сканирования | |
Коэффициент собственного рассеяния | |
Коэффициент усиления оптической передающей системы | |
Коэффициент усиления оптической системы | |
Коэффициент усиления ФЭУ | |
Коэффициент шума лавинного фотодиода | |
Коэффициент яркости ЭОП | |
Кривизна волнового фронта астигматическая, Cx, Cy | |
Критерий адекватности, G | |
Крутизна границы, s(z) | |
М |
Масштаб изображения | |
Модуляция оптическая | |
Модуляция оптического излучения | |
Мощность, P(z) | |
Мощность импульса, PH | |
Мощность импульса максимальная, Pp | |
Мощность лазера непрерывного режима работы, P | |
Мощность рассеяния на фотосопротивлении | |
Мощность средняя, Pav | |
Мощность (энергия) эффективная,  | |
Мощность (энергия) эффективная удельная,  | |
Н |
Наклон,  | |
Наклон,  | |
Наклон относительно оси x,  | |
Наклон относительно оси y,  | |
Направление колебаний | |
Неоднородность волнового фронта, wTF(u, v) | |
Нерегулярность волнового фронта, wpv | |
Неточность аппроксимации, R | |
О |
Область дальняя | |
Облученность, Ee | |
Объем когерентности, Vc | |
Однородность плато, Up(z) | |
Однородность пучка,  | |
ОРПЭ (ОРПМ) | |
Освещенность, Ev | |
Оси механические x, y, z | |
Ось диаграммы направленности | |
Ось диаграммы направленности оптического излучения | |
Ось кристалла оптическая | |
Ось пучка | |
Ось пучка, z | |
Отдача атома световая | |
Отношение сигнал/шум | |
Отношение сигнал/шум голограммы | |
П |
Параметры Стокса | |
Переключение поляризации | |
Перемещение пучка угловое, ,  | |
Перехват пучка | |
Плоскости главные | |
Плоскости фазового распространения главные, x`z и y`z | |
Плоскость измерений, Zm | |
Плоскость колебаний | |
Плотность мощности, E(x, y) | |
Плотность мощности, E(x, y, z) | |
Плотность мощности средняя, Eu;  | |
Плотность мощности шума спектральная | |
Плотность мощности (энергии) максимальная, Emax(z) [Hmax(z)] | |
Плотность мощности (энергии) пороговая,  | |
Плотность мощности (энергии) средняя эффективная,  | |
Плотность облученности спектральная | |
Плотность оптическая, D | |
Плотность потока излучения поверхностная | |
Плотность потока излучения спектральная | |
Плотность силы излучения спектральная | |
Плотность энергетической яркости спектральная | |
| | ИС МЕГАНОРМ: примечание. В официальном тексте документа, видимо, допущена опечатка: имеется в виду п. 66, а не 84. | |
|
Плотность энергии, H(x, y) | |
Плотность энергии, H(x, y, z) | |
Плотность энергии излучения объемная, Ue | |
Плотность энергии средняя, Hu;  | |
Площадь когерентности, S'c | |
Площадь облучения эффективная,  | |
Площадь поперечного сечения пучка,  | |
Площадь поперечного сечения пучка,  | |
Площадь поперечного сечения пучка, Au | |
Поверхность аппроксимированная сферическая | |
Поверхность задняя | |
Поверхность передняя | |
Поглощение многофотонное | |
Поглощение на примесях | |
Поглощение оптического излучения в полупроводнике | |
Поглощение свободными электронами | |
Поглощение собственное | |
Показатель двулучепреломления, b | |
Показатель ослабления,  | |
Показатель поглощения, a | |
Показатель преломления, n | |
Показатель преломления необыкновенного луча главный, ne | |
Показатель преломления обыкновенного луча, nо | |
Показатель рассеяния, r | |
Показатель усиления, g | |
Показатель экстинкции, k | |
Поле зрения | |
Поле зрения камеры | |
Поле зрения угловое | |
Положение максимума, (xmax, ymax, z) | |
Положение пучка | |
Положение центроиды,  | |
Полоса пропускания излучения (второй момент) спектральная,  | |
Полоса пропускания эффективная,  | |
Порог чувствительности, Фп | |
Порог чувствительности по энергии, Dэ | |
Постоянная времени | |
Потери в световоде | |
Потери на поглощение оптические | |
Потери на рассеяние в световоде оптические | |
Поток излучения, Фe | |
Поток лучистый | |
Поток световой, Ue | |
Преобразование электронно-оптическое | |
Примесное поглощение | |
Прозрачность | |
Прозрачность индуцированная | |
Произведение параметров пучка,  | |
Профиль показателя преломления | |
Профиль показателя преломления распределенный | |
Профиль показателя преломления ступенчатый | |
Р |
Радиус каустики пучка | |
Радиус каустики пучка, w0,u | |
Радиус пучка | |
Радиус пучка, wu | |
Радиус пучка,  | |
Радиус сужения пучка | |
Радиус сужения пучка, w0,u | |
Радиус шейки пучка | |
Радиус шейки пучка, w0,u | |
Развертка зеркальная | |
Развертка оптическая | |
Развертка спектра во времени | |
Развертка спектральная временная | |
Разделение сужений астигматическое,  | |
Разность населенностей приведенная,  | |
Разность оптического пути, OPD | |
Разность фокальная астигматическая,  | |
Разность хода оптическая,  | |
Разрешение временное ЭОП | |
Разрешение дифракционное | |
Разрешение пространственное ЭОП | |
Распределение плотности энергии (мощности) оптического излучения относительное | |
Распределение плотности мощности (энергии) спектральное,  | |
Распределение по плотности мощности (энергии), E(x, y, zm) | |
Распределение фазовое, Ф(x, y) | |
Рассеяние вперед | |
Рассеяние назад | |
Рассеяние полное | |
Рассеяние собственное | |
Расстояние межмодовое, Sm | |
Расходимость лазерного излучения энергетическая | |
Расходимость угловая | |
Расходимость угловая, ; ,  | |
Расходимость угловая, ; ;  | |
Режим импульсный | |
Режим квазинепрерывный | |
Режим непрерывный | |
Режим одиночных импульсов | |
Режим периодически повторяющийся непрерывный | |
Режим постоянной мощности | |
Режим постоянной накачки | |
Режим постоянной установки | |
Режим работы | |
С |
Самофокусировка | |
| | ИС МЕГАНОРМ: примечание. В официальном тексте документа, видимо, допущена опечатка: термин "сверхлюминесценция" в п. 30 отсутствует. | |
|
Сверхлюминесценция | 30 |
Светимость | |
Светосила оптической системы | |
Светосила эффективная | |
Сдвиг фаз | |
Сдвиг фаз между компонентами поляризованного излучения | |
Сдвиг фазовый | |
Селекция спектральная | |
Селекция угловая | |
Сечение пучка | |
Сечение пучка излучения | |
Сжатие сигнала корреляционное | |
Сила излучения, Ie | |
Сила света, Iv | |
Система координат распределения по плотности мощности (энергии) | |
Система координат фазового распределения, x', y', z | |
Сканирование | |
Сканирование спектральное | |
Скважность | |
Скважность импульса оптического излучения | |
Скорость групповая, u | |
Скорость деградации, D | |
Скорость развертки | |
Скорость фазовая, v | |
Смещение пучка поперечное, ax, ay | |
Сопротивление приемника | |
Сопротивление фотодиода динамическое | |
Сопротивление фоторезистора темновое | |
Состав излучения спектральный | |
Состояние поляризации | |
Спектр шума | |
Способность обнаружительная | |
Способность обнаружительная удельная, D* | |
Способность разрешающая в пространстве | |
Способность разрешающая во времени | |
Способность разрешающая голографическая | |
Способность разрешающая голографическая регистрирующей среды | |
Способность разрешающая дифракционной решетки, R | |
Способность разрешающая системы | |
Способность разрешающая ЭОП | |
Способность регистрирующая | |
Срок службы | |
Стабильность длины волны непрерывного лазера,  | |
Стабильность положения пучка | |
Стабильность пучка за короткий период времени | |
Стабильность пучка за продолжительный период времени | |
Стабильность пучка за средний период времени | |
Стабильность пучка позиционная,  ,  | |
Стабильность пучка угловая,  ,  ,  | |
Старение светодиода | |
Степень взаимной когерентности,  | |
Степень временной когерентности,  | |
Степень линейной поляризации, p | |
Степень монохроматичности | |
Степень монохроматичности оптического излучения | |
Степень подавления боковой моды, SMS | |
Степень пространственной когерентности,  | |
Стойкость радиационная | |
Стойкость световода радиационная | |
Структура голограммная | |
Структура интерференционная голографическая | |
Сужение пучка | |
У |
Угол азимута распределения по плотности мощности (энергии),  | |
Угол излучения | |
Угол поляризации,  | |
Угол распространения излучения в волноводе | |
Угол фазовый азимутальный,  | |
Угол эллиптичности,  | |
Умножение лавинное | |
Уровень шума приемника оптического излучения средний | |
Уровень шума средний | |
Усиление изображения | |
Усиление изображения электронное | |
Усиление лавинное | |
Усиление света | |
Утомление приемника | |
Уширение импульса | |
Уширение импульса внутримодовое | |
Уширение импульса межмодовое | |
Ф |
Фаза,  | |
Фильтрация пространственная | |
Фильтрация спектральная | |
Фильтрация угловая | |
Фликкер-шум | |
Фотоупругость | |
Фронт волновой | |
Фронт волновой измеренный, wM(x, y) | |
Фронт волновой исправленный, wc(x, y) | |
Функция аберрации волнового фронта | |
Функция волнового фронта автокорреляционная, wTF(u, v) | |
Х |
Характеристика зонная | |
Характеристика импульсная | |
Характеристика обнаружения | |
Характеристика переходная | |
Характеристика приемника оптического излучения зонная | |
Характеристика приемника оптического излучения угловая | |
Характеристика приемника оптического излучения фоновая | |
Характеристика приемника спектральная | |
Характеристика светодиода модуляционная wTF(u, v) | |
Характеристика спектральная | |
Характеристика угловая | |
Характеристика фазочастотная | |
Характеристика частотно-контрастная | |
Ц |
Центр вращения пучка | |
Центр тяжести распределения | |
Ч |
Частота отсечки моды | |
Частота повторения импульсов, fp | |
Частота пространственная | |
Частота следования | |
Частота следования импульсов оптического излучения | |
Число продольных мод, Nm | |
Чувствительность вольтовая, Su | |
Чувствительность голографическая | |
Чувствительность голографическая регистрирующей среды | |
Чувствительность интегральная | |
Чувствительность по напряжению, Su | |
Чувствительность по току, Si | |
Чувствительность пороговая, Фп | |
Чувствительность пороговая по энергии, Dэ | |
Чувствительность приемника излучения интегральная | |
Чувствительность спектральная | |
Чувствительность токовая, Si | |
Чувствительность ЭОП интегральная | |
Ш |
Шейка пучка | |
Ширина каустики пучка | |
Ширина каустики пучка, dx0,u; dy0,u | |
Ширина каустики пучка,  ;  | |
Ширина полосы пропускания спектральная, ,  | |
Ширина полосы пропускания спектральная среднеквадратичная,  | |
Ширина пучка | |
Ширина пучка, ;  | |
Ширина пучка, dxu; dyu | |
Ширина спектра излучения | |
Ширина спектра оптического излучения | |
Ширина спектральной линии,  | |
Ширина сужения пучка | |
Ширина сужения пучка, dx0,u; dy0 | |
Ширина сужения пучка, ;  | |
Ширина шейки пучка | |
Ширина шейки пучка, dx0,u; dy0,u | |
Ширина шейки пучка,  ;  | |
Шум генерационно-рекомбинационный | |
Шум Джонсона | |
Шум диффузный | |
Шум дробовый | |
Шум избыточный | |
Шум мерцания | |
Шум приемника оптического излучения | |
Шум радиационный | |
Шум тепловой | |
Шум токовый | |
Шум флуктуационный | |
Шум фотонный | |
Э |
Экстинкция | |
Эллиптичность, b/a | |
Эллиптичность пучка (эксцентриситет),  | |
Энергия излучения, Q | |
Энергия импульса, Q(z) | |
Эффективность дифракционная | |
Эффективность дифракционная голограммы | |
Эффективность модулятора | |
Я |
Яркость, Le | |
Яркость изображения | |
Яркость поверхности | |
Яркость темнового фона | |
Яркость темнового фона на экране ЭОП | |
Яркость фона | |
Яркость энергетическая, Le | |
АЛФАВИТНЫЙ УКАЗАТЕЛЬ ЭКВИВАЛЕНТОВ НА НЕМЕЦКОМ ЯЗЫКЕ
A |
Aberration der Elektronischenlinse | |
Abgewogenedeformationsmittelwertbedeutung | |
Abschwachungsbereich | |
Absorptionsgrad,  | |
Absorptionskoeffizient, a | |
| |
Abtastungsgeschwindigkeit | |
Aktininischfaktor | |
Angemessenheitkriterium, G | |
 des Lichtdiodesparameter | |
Anregungsemissionswahrscheinlichkeit | |
Apertur | |
Approximationunexaktheit, R | |
 Astigmatischenfokaldifferenz,  | |
Astigmatischeseinengungenteilung,  | |
 , Cx, Cy | |
Astigmatismus | |
Attenuatorsabschwachungskoeffizient | |
 der Population | |
Ausgleichscharaktreistik | |
 des Elektronenoptischentransformation | |
 des Systemes | |
 Diffraktiongitters, R | |
Ausrichtungdiagramm | |
Ausrichtungdiagramm der Laserdiode | |
Ausrichtungdiagramm der Lichtdiode | |
Ausstrahlungverbreitungwinkel im Hohlleiter | |
Ausstrahlungswinkel | |
Axialenastigmatismus | |
Azimut,  | |
Azimuteswinkel der Distribution nach der Leistungdichte (Energie),  | |
B |
| | ИС МЕГАНОРМ: примечание. В официальном тексте документа, видимо, допущена опечатка: имеется в виду п. 273, а не 278. | |
|
Beimischungenabsorption | |
Beleuchtungsstarke, Ev | |
Bereichsemfangswinkels | |
Beschneidungsfrequenz der Mode | |
Bestrahlungsstarke, Ee | |
Betriebszustand | |
Beziehung das Signal/  | |
Bildesdissektion | |
Bildeshelle | |
| |
| |
Brechungzahl, n | |
Brechungszahldispersion, , df, dv | |
Brechungszahl ordentlichen Strahles, no | |
 , z | |
| | ИС МЕГАНОРМ: примечание. В официальном тексте документа, видимо, допущена опечатка: имеется в виду п. 377, а не 36. | |
|
 der Optischenausstrahlung | |
 , du | |
 ,  | |
 , Au | |
| | ИС МЕГАНОРМ: примечание. В официальном тексте документа, видимо, допущена опечатка: имеется в виду п. 10, а не 31. | |
|
| |
dxu, dyu | |
 , dx0,u; dy0,u | |
| |
| |
 ,  | |
 {*Strahl*} (exzentrizitat),  | |
| |
 , d0,u | |
 ,  | |
| |
 , w0,u | |
 ,  | |
| |
 ,  | |
 , Wu | |
| |
| |
| |
 , K | |
C |
Chromatischaberration des Elektronischensystemes | |
Chromatischaberration des Optischensystemes | |
CW-leistung, P | |
D |
Dechifriereinrichtung | |
Defokussierung, Rss | |
Degradation | |
Degradationsgeschwindigkeit, D | |
Demodulation der Optischenausstrahlung | |
Diagrammesachse der Ausrichtung | |
Dichroismus | |
| |
| |
Diffraktionswirkungsgrad | |
| |
| | ИС МЕГАНОРМ: примечание. В официальном тексте документа, видимо, допущена опечатка: имеется в виду п. 193, а не 364. | |
|
Dispersion | |
Dispersionverlustfaktor | |
| | ИС МЕГАНОРМ: примечание. В официальном тексте документа, видимо, допущена опечатка: имеется в виду п. 364, а не 193. | |
|
Distorsion | |
Distributionkoordinatensystem nach der Distribution nach der Dichteleistung (Energie), E(x, y, zm) | |
Dichteleistung (Energie) | |
Divergenz der Laserausstrahlung | |
Dunkelsgrundeshelligkeit | |
Dunkelsgrundeshelligkeit am Bildschirm des Elektronenoptischentransformation | |
Dunkelwiderstand die Phototransistor | |
Durchschnittsenergiedichte, Hu;  | |
Durchschnittsleistungdichte, Eu;  | |
Durchsichtigkeitfaktor | |
Dynamischbereich | |
Dynamischenwiderstand die Fotodiode | |
E |
Eigeneabsorption | |
Eigenstreuungsfaktor | |
Einfachenastigmatismus | |
Einfangwahrscheinlichkeit | |
Einzelnenimpulseregime | |
Elektronenoptischetransformation | |
Elektronenstralapertue des Gerates | |
 des Bildes | |
 , b/a | |
 ,  | |
| |
 der Optischenausstrahlung | |
Entdeckenscharakteristik | |
Empfangerwiderstand | |
 , Ф п | |
Empfindlichkeitsschwelle nach der Energie, Dэ | |
Energiedichte, H(x, y, z) | |
Energiedichte, H(x, y) | |
Freielektronenabsorption | |
Extinktion | |
Extinktionindex | |
F |
| |
 ,  | |
| |
| |
Folgefreguenz | |
| | ИС МЕГАНОРМ: примечание. В официальном тексте документа, видимо, допущена опечатка: имеется в виду п. 278, а не 273. | |
|
Freistreuung | |
G |
Gemeinensastigmatismus | |
Gemessenewellenfront, wM(x, y) | |
| |
Generation-Rekombination  | |
| |
 der Lawinenfotodiode | |
Gestufteprofil der Refraktionrennziffer | |
Gleichartigkeit des  {*Strahl*},  | |
Gleichartigkeit des  Teiles der Charakteristik, Up(z) | |
 ,  | |
Grenzesteilheit, s(z) | |
Grundeshelle | |
Grundtoncharakteristik des Empfangers der optischen Ausstrahlung | |
Gruppengeschwindigkeit, u | |
H |
Hauptbrechungsyahl  Strahles, ne | |
Hellefaktor des Elektronenoptischenumsetzers | |
Hologrammesaberration | |
Hologrammesapertur | |
Hologrammesstruktur | |
| |
Holographischeempfindlichkeit | |
Holographischesinterferencestruktur | |
I |
Impulsabfallzeit | |
Impulsansteigezeit | |
Impulsausweitung | |
Impulscharakteristikdauer nach dem Festgelegtenniveau | |
Impulsdauer,  | |
Impulsdauer,  | |
Impulsenergie, Q(z) | |
Impulsfolgefrequenz, fp | |
Impuls-leistung, PH | |
Impulsregime | |
Impulsverhalten | |
Induzierendurchsichtidkeit | |
Innensmodeenimpulsausweitung | |
Innerermodedispersion des Optischesfiber | |
Integralempfindlichkeit | |
Integralempfindlichkeit des Empfangers der optischen Ausstrahlung | |
Integralempfinglichkeit der Elektronenoptischentransformation | |
K |
Kamerabereich | |
 , S'c | |
 , lc | |
 ,  | |
 , Vc | |
| |
 ,  | |
Kompressionsignaleskoeffizient | |
Konstantenaufstellensregime | |
Konstantenleistungregime | |
Konstantenpumpregime | |
Kontinuierlichszustand | |
| | ИС МЕГАНОРМ: примечание. В официальном тексте документа, видимо, допущена опечатка: п. 554 отсутствует. | |
|
Koordinatensempfindlichen  | 554 |
Korrelationskompression des Signales | |
Korrigierte Wellenfront, wc(x, y) | |
L |
| |
Lebensdauer | |
Lebens dauer eines angeregten Zustandes | |
Lebens dauer eines angeregten Zustandes Lebenszeit in der Unterlage | |
Leistung, P(z) | |
Leistungsdichte, E(x, y, z) | |
Leistungsdichte, E(x, y) | |
Leuchtdichte, Le | |
Lichtdiodesalterung | |
Lichtdiodesdegradation | |
Lichtleitersverluste | |
 , Iv | |
| |
| |
Lichtnutzeffekt des Atomes | |
 des Optischeszstem | |
Lichtstrom, Ue | |
Lineardichroismus | |
Linear dispersion, Dl | |
Linearpolarisationsgrad | |
 ,  | |
M |
Maximale Leistung (Energie) dichte, Emax(z) [Hmax(z)] | |
Maximaleleistung des Impulses, Pp | |
Maximumslage, (xmax, ymax, z) | |
Mechanischen Achsen, x, y, z | |
Mehrphotonsabsorption | |
 , Zm | |
Mittelwert des Spektralebreitequadrats,  | |
Mittlere Niveau des  | |
Mittlere  ,  | |
Modeskopplungsfaktor | |
Modulationscharakteristik der Lichtdiode | |
Modulationubertragungsfunktion | |
| |
Monochromatischapsorptionsgrad | |
Monochromatischgrad | |
N |
Natutlebens dauer eines angeregten Zustandes | |
Neigung,  | |
Neigung,  | |
| |
Nutzfaktor des  | |
Nutzfaktor des  | |
Nutzfaktor des Optischensystemes | |
O |
 des  | |
Optischeabtastung | |
Optischeachse des Kristalles | |
Optischenausstrahlungaabsorption im Halbleiter | |
Optischenverluste auf die Absorption | |
Optischenwegesdifferenz | |
 , OPL | |
Optischergangunterschied,  | |
Optischesdichte, D | |
Optischesmodulation | |
Optischeverluste auf streuung in Lichtdiode | |
Optischfibersdispersion | |
P |
Periodisch wiederholte Kontinuierlichszustand | |
Phase,  | |
Phasedistribution, Ф (x, y) | |
 , x`z и y`z | |
Phasedistributionskoordinatensystem der, x', y', z | |
| | ИС МЕГАНОРМ: примечание. В официальном тексте документа, видимо, допущена опечатка: имеется в виду п. 157, а не 163. | |
|
Phasegradienten,  | |
Phasenazimutwinkel,  | |
Phasenverschiebung zwischen den Komponenten Polarisiertenausstrahlung | |
Phasen-Frequenzkennlinie | |
Phasengeschwindigkeit, v | |
Phasenverschiebung | |
| |
| |
| |
 der Ausstrahlung,  | |
Polarisationswinkel,  | |
Polarisationszustand | |
Q |
Quantenausbeute,  | |
Quantenausbeute der Photokatod,  | |
Quasikontinuierlichszustand | |
Querlaufende Absetzung des  {*Strahl*}, ax, ay | |
| |
R |
Raumaberration | |
| |
Raumbereich | |
Raumfrequenz | |
Raumsiebung | |
Reflexionsgrad, g | |
Refraktionrennzifferprofi | |
| |
Relativapertur | |
Relativeverteilungdichte der Energie (die Kapazitat) der optischen Ausstrahlung | |
 , zR; zRx, zR | |
Ruckwartsstreuung | |
S |
Scanieren | |
| |
Schwachungskoeffizient,  | |
Schwellendichte der Leistung (die Energie),  | |
Schwerpunkt der Verteilung,  | |
| |
Schwingungensrichtung | |
Sekundareemissionsfaktor | |
Selbstfokussierung | |
Skanierensfaktor | |
Spannungsempfindlichkeit, Su | |
Spektrale Verteilung der Dichte der Leistung (die Energie),  | |
Spektraleabsorptionsgrad | |
Spektraledichte der  | |
Spektraledichte des Bestrahlungsstarke | |
Spektraledichte des Strahldichte | |
Spektraledichte des  | |
Spektraledichte des  | |
Spektralezeitweiligeabtastung | |
Spektralecharakteristik | |
Spektralempfindlichkeit | |
Spektralenbestand der Ausstrahlung | |
Spektralenkanal | |
Spektralereflexionsgrad | |
 des Hologrammes | |
Spektralliniebreite,  | |
Spektralsiebung | |
Spektraletransmissionsgrade | |
Spektrumbadbreit, ,  | |
Spektrumsbreite der optischen Ausstrahlung | |
Spezifischelichtausstrahlung | |
Spezifisches  , D* | |
Spezifischewirksameleistung, (Energie),  | |
Spiegelabtastung | |
Spontanemissonwahrscheinlichkeit | |
 des  {*Strahl*} fur die kurze Periode der Zeit | |
 des  {*Strahl*} fur die langwierige Periode der Zeit | |
 des  {*Strahl*} fur die mittlere Periode der Zeit | |
 des  {*Strahl*}, Stokes parameter | |
Strahldichte, Le | |
Strahlungenergie, Q | |
Strahlungsenergiedichte, Ue | |
 , Ф e | |
| |
Strahlungsstandhaftigkeit | |
Strahlungsspektrumbreite | |
 , Ie | |
Streuungindikatrix | |
Streuungsmodul, r | |
Steigerungzeit dertransitorischencharakteristik nach dem Festgelegtenniveau | |
Streuungsfaktor | |
Stromsempfindlichkeit, Si | |
Stufe der Unterdruckung der Seitenmode, SMS | |
Systemesschnelligkeit der  | |
T |
| |
Transmissionsgrade,  | |
Transformationskoeffizient der Elektronenoptischentransformation,  | |
U |
 ohne Amstrahlung | |
Umschaltung der Polarisation | |
V |
 ,  | |
Verhaltnis | |
Verlustleistung | |
Vermehrungsfaktor, M | |
Verschiedenheitungsfaktor | |
 des fotos-elektronisch Multiplizierer | |
 des optischen begebenden Systemes | |
 des optischen Systemes | |
| |
Verteilenprofil der Refraktionrennziffer | |
Verzug | |
Vollstreuung | |
| |
W |
Weitefeld | |
Wellenfront | |
Wellenfrontsirregular, wpv | |
 von der Temperatur,  | |
Wellenfrontsaberrationsfunktion, wAF(x, y) | |
Wellenfrontsautokorrelationsfunktion der, wTF(u, v) | |
Wellenfrontsgradient,  | |
 vom Strom,  | |
 des Stetigenlasers,  | |
Winkelapertur | |
Winkelcharakteristik | |
Winkeldispersion,  | |
Winkeldiwergenz | |
| |
| |
Winkelraumbereich | |
 des Hologrammes | |
Winkelsiebung | |
| |
Winkelumstellung des  {*Strahl*},  ,  | |
 ,  | |
Wirksameleistung(Energie),  | |
| | ИС МЕГАНОРМ: примечание. В официальном тексте документа, видимо, допущена опечатка: имеется в виду п. 98, а не 209. | |
|
Wirksame mittlere Dichte der Leistung (die Energie),  | |
Wirkung f-Zahl | |
Wirksamebreitsband,  | |
Z |
Zahl der  Moden, Nm | |
Zahlenapertur | |
Zahlenapertur des Optischfibers en digital aperture | |
Zeit bis zum aussersten in der Arbeit | |
Zeitaberration | |
| |
Zeitkonstante | |
 des Elektronenoptischentransformation | |
Zentrum des Drehens des  {*Strahl*} | |
Zerstreuteausstrahlung | |
Zirkulardichroismus | |
Zonencharakteristik | |
 ,  | |
Zweimalbrechungzahl, b | |
Zwischenbenachbartenmodenabstand, Sm | |
Zwischenmodedispersion des Optischesfiber | |
Zwischenmodeenimpulsausweitung | |
АЛФАВИТНЫЙ УКАЗАТЕЛЬ ЭКВИВАЛЕНТОВ НА АНГЛИЙСКОМ ЯЗЫКЕ
10%-pulse duration,  | |
A |
Aberration of electron lenses | |
Aberration of hologram | |
Absorptance factor,  | |
Absorption of optical radiation in semiconductor | |
Absorption probability | |
| | ИС МЕГАНОРМ: примечание. В официальном тексте документа, видимо, допущена опечатка: имеется в виду п. 273, а не 278. | |
|
Admixture absorption | |
Agree of monochromatization | |
| | ИС МЕГАНОРМ: примечание. В официальном тексте документа, видимо, допущена опечатка: имеется в виду п. 250, а не 251. | |
|
Amplification factor of optical system | |
| | ИС МЕГАНОРМ: примечание. В официальном тексте документа, видимо, допущена опечатка: имеется в виду п. 251, а не 250. | |
|
Amplification factor of optical transmitting system | |
Amplification factor of photo multiplier | |
Angle of polarization,  | |
Angle of spread of radiation in wave guide | |
Angle selectivity of hologram | |
Angular aperture | |
Angular characteristic | |
Angular dispersion  | |
Angular filtration | |
Angular movement,  ,  | |
Angular visual field | |
Anomaly change of light-diodes parameter | |
Aperture | |
Aperture of electron-beams | |
Aperture of hologram | |
Approximating spherical surface | |
Astigmatic focal difference,  | |
Astigmatic waist separation,  | |
Astigmatic wavefront curvatures, Cx, Cy | |
Astigmatism | |
Attenuation ratio of attenuator | |
Avalanche amplification | |
Average energy density, Hu;  | |
Average noise level | |
Average power density, Eu;  | |
Average power, Pav | |
Average wavelength,  | |
Axis astigmatism | |
Axis of directivity diagram | |
Azimuth,  | |
B |
Background brightness | |
Backward scattering | |
Beam angular stability,  ,  ,  | |
Beam axis | |
Beam axis, z | |
Beam cross-sectional area,  | |
Beam cross-sectional area,  | |
Beam cross-sectional area, Au | |
Beam diameter | |
Beam diameter,  | |
Beam diameter, du | |
Beam diameter of optical radiation | |
Beam ellipticity (eccentricity),  | |
Beam light attenuation | |
Beam parameter product,  | |
Beam position | |
Beam positional stability | |
Beam propagation factor, K | |
Beam radius | |
Beam radius,  | |
Beam radius, Wu | |
Beam uniformity,  | |
Beam waist | |
Beam waist diameter | |
Beam waist diameter, d0,u | |
Beam waist diameter,  | |
Beam waist radius | |
Beam waist radius, w0,u | |
Beam waist widths | |
Beam waist widths,  ;  | |
Beam waist widths, dx0,u; dy0,u | |
Beam widths | |
Beam widths,  ;  | |
Beam widths, dxu, dyu | |
Between mode dispersion of optical fiber | |
Brightness factor of electron-optical image converter | |
Brightness of a dark background on the screen of an electron-optical converter | |
Brightness of dark noise | |
C |
Center of gravity | |
Characteristic of discovery | |
Chromatic aberrations of electron system | |
Chromatic aberrations of optical system | |
Circular dichroism | |
Coefficient of scattering, r | |
Coherence length, lc | |
Coherence square, S'c | |
Coherence time  | |
Coherence volume, Vc | |
Compression ratio of signal | |
Constant power mode | |
Constant pump mode | |
Constant setting mode | |
Conversion factor of electron-optical,  | |
Corrected wavefront, wc(x, y) | |
Correlation compression of signal | |
Coupling factor of mode | |
Current dependence of wavelength,  | |
Current sensitivity, Si | |
Cutoff frequency for mode | |
CW-mode | |
Cw-power, P | |
D |
Dark resistance of photo resistor | |
Decipherer | |
Defocus, Rss | |
Degradation | |
Degradation of light-diode | |
Degradation of optical wave guide | |
Degradation rate | |
Degree of linear polarization p | |
Degree of mutual coherence,  | |
Degree of spatial coherence,  | |
Degree of time coherence,  | |
Detection of optical radiation | |
Detectivity | |
Device efficiency,  | |
Dichroism | |
Diffraction resolution | |
Diffusive noise | |
Digital aperture | |
Direction of vibration | |
Directivity diagram | |
Directivity diagram of laser-diode | |
Directivity diagram of light-diode | |
Dispersion | |
Dispersion of optical fiber | |
Dispersion of the refractive index,  , df, dv | |
Dispersion refractive-index of profile | |
Distinction factor | |
Distortion | |
Divergence angle | |
| |
| |
Double-refractive index, b | |
Duration of a pulse response on a fixed level | |
Duty ratio | |
Dynamic range | |
Dynamic resistance of photodiode | |
E |
Edge steepness, s(z) | |
Effective average power (energy) density,  | |
Effective f-number | |
Effective irradiation area,  | |
Effective pass band,  | |
Effective power (energy),  ,  | |
Efficiency diffracted | |
Efficiency of diffraction | |
Efficiency of light source | |
Efficiency of noise of avalanche photodiodes | |
Electronic image amplification | |
Electron-optical conversion | |
Ellipticity angle,  | |
Ellipticity, b/a | |
Emission angle | |
Energetic divergence of laser beams | |
Energy density, H(x, y, z) | |
Energy density, H(x, y) | |
Extinction | |
Extinction factor | |
Extinction ratio | |
F |
Factor of property scattering | |
Far-field | |
Fatigue of receiver | |
Flatness factor,  | |
Flickers noise | |
Fluctuation noise | |
Forward scattering | |
Fractional power (energy},  | |
Free electrons absorption | |
Front surface | |
General astigmatism | |
Generate-recombination noise | |
Goodness of fit, G | |
Gravity wavelength,  | |
Group velocity, u | |
H |
Holographic resolution | |
Holographic sensitivity | |
Holography interference structure | |
I |
Illuminance, Ev | |
Image amplification | |
Image brightness | |
Image dissection | |
Image scale | |
Index of amplification | |
Induced transmission | |
Inside mode dispersion of optical fiber | |
Instrumental resolution of diffraction grating, R | |
Integrated sensitivity of electron-optical converter | |
Intensity of radiation | |
Irradiance, Ee | |
J |
Johnson's noise | |
L |
Length of absorption | |
Life time in layer | |
Life-time of an excited state | |
Lifetime | |
Light amplification | |
Light recoil of atom | |
Light-grasp of optical system | |
Linear absorption coefficient | |
Linear attenuation coefficient,  | |
Linear dichroism | |
Linear dispersion, Dl | |
Location of the maximum, (xmax, ymax, z)) | |
Long-term stability | |
Loss in optical wave guide | |
Luminance, Le | |
Luminous exitance | |
Luminous flux, Ue | |
Luminous intensity, Iv | |
M |
Main refractive index of the unordinary ray, ne | |
Many-photon absorption | |
Maximum power (energy) density, Emax(z) [Hmax(z)] | |
Measured wavefront, wM(x, y) | |
Measurement planes, Zm | |
Mechanical axes, x, y, z | |
Medium-term stability | |
Mirror scanning | |
Mode of operation | |
Mode spacing, Sm | |
Modulation characteristic of light-diode | |
Modulation transfer function | |
Modulator efficiency | |
Monochromatic absorptivity | |
N |
Natural life-time of an excited state | |
Noise equivalent energy, Dэ | |
Noise equivalent power, Фп | |
Number of longitudinal modes, Nm | |
Numerical aperture | |
O |
Optical axis of crystal | |
Optical density, D | |
Optical difference of path,  | |
Optical loss absorption | |
Optical loss scattering in light diode | |
Optical modulation | |
Optical path difference | |
Optical path difference, OPD | |
Optical path length, OPL | |
Optical scanning | |
P |
Peak power-time function, Pp | |
Peak-emission wavelength,  | |
Phase azimuth angle,  | |
Phase change | |
Phase change between components of polarized radiation | |
Phase distribution coordinate system, x', y', z | |
Phase distribution, Ф(x, y) | |
Phase-frequency characteristics | |
Phase gradient,  | |
Phase,  | |
Phase velocity, v | |
Phone characteristic of optical radiation receiver | |
Photocurrent noise | |
Photo elasticity | |
Photographic efficiency of light source | |
Pivot | |
Plane of vibration | |
Plateau uniformity, Up(z) | |
Power density, E(x, y) | |
Power density, E(x, y, z) | |
Power, P(z) | |
Power/energy density distribution azimuth angle,  | |
Power/energy density distribution coordinate system | |
Power/energy density distribution, E(x, y, zm) | |
Principal planes | |
Principal planes of phase propagation, x`z и y`z | |
Probability of radiationless transition | |
Probability of spontaneous emanation | |
Probability of stimulated emission | |
Proper absorption | |
Proper scattering | |
Pulse broadening | |
Pulse broadening between mode | |
Pulse broadening inside mode | |
Pulse decay time | |
Pulse duration,  | |
Pulsed mode | |
Pulse energy, Q(z) | |
Pulse power, PH | |
Pulse repetition-rate, fp | |
Pulse response | |
Pulse rise time | |
Pulsed frequency | |
Q |
Quantum efficiency,  | |
Quantum efficiency of photocatode,  | |
Quasi-cw-mode | |
R |
Radiance, Le | |
Radiant energy, Q | |
Radiant energy density, Ue | |
Radiant intensity, Ie | |
Radiant flux, Фe | |
Radiant flux surface density | |
Radiation resistance | |
Raleigh | |
Range of acceptance angle | |
Range of attenuation | |
Rate of scanning | |
Ratio of nonlinear | |
Rayleigh length, zR; zRx, zR | |
Rear surface | |
Receiver resistance | |
Reduced difference of populations | |
Reflectance factor, g | |
Refractive index, n | |
refractive index of the ordinary ray, no | |
Refractive-index profile | |
Relative allocation of density of energy (power) of optical radiation | |
Relative aperture | |
Relaxation time | |
Repetitive cw-mode | |
Reproduction factor, M | |
Resolution abilities of system | |
RMS spectral bandwidth,  | |
Roughness of fit, R | |
S |
Scanning | |
Scanning factor | |
Scattered radiation | |
Scattering factor | |
Scattering indicatrix | |
Scattering loss factor | |
Scattering power | |
Secondary-emission rate | |
Section of beam | |
Self-focusing | |
Short-term stability | |
Side-mode suppression ratio, SMS | |
Signal-noise ratio | |
Simple astigmatism | |
Single pulse mode | |
Space definition | |
Space definition of electron-optical converter | |
Space filtration | |
Spatial aberration | |
Spatial frequency | |
Specific detectivity, D* | |
Spectral absorptance factor | |
Spectral band of radiation | |
Spectral bandwidth,  ,  | |
Spectral channel | |
Spectral characteristic | |
Spectral composition of radiation | |
Spectral concentration of an Irradiance | |
Spectral concentration of an Luminance | |
Spectral concentration of an Radiant flux | |
Spectral concentration of power noise | |
Spectral line width,  | |
Spectral power (energy) distribution,  | |
Spectral radiation bandwidth (second moment),  | |
Spectral reflectance factor | |
Spectral scanning | |
Spectral selection | |
Spectral selectivity of hologram | |
Spectral sensitivity | |
Spectral transmittance factor | |
Speed of the system of input of the information | |
State of polarization | |
Step response | |
Step-like refractive-index of profile | |
Stokes parameters | |
Structure of hologram | |
Surface brightness | |
Switching of polarization | |
T |
Temperature dependence of wavelength,  | |
Temporal aberration | |
Threshold power maximum,  | |
Tilt,  | |
Tip,  | |
Time between failure | |
Time definition | |
Time definition of electron-optical converter | |
Time delay | |
Time of increase of a surge characteristic on a fixed level | |
Times-diffraction-limit-factor, M2 | |
Total scattering | |
Total sensitivity | |
Transmittance | |
Transmittance factor,  | |
Transverse displacement, ax, ay | |
U |
Utilization factor of flow | |
Utilization factor of optical system | |
Utilization factor of radiation receiver | |
V |
Vacuum-wavelength,  | |
Visual field | |
Visual field of camera | |
Voltage sensitivity, Su | |
W |
Wavefront | |
Wavefront aberration function | |
Wavefront autocorrelation function, wTF(u, v) | |
Wavefront deformation, wAF(x, y) | |
Wavefront gradient,  | |
wavefront inhomogeneity, wTF(u, v) | |
Wavefront irregularity, wpv. | |
Wavelength in air,  | |
Wavelength stability for CW laser,  | |
Weighted RMS deformation | |
Width of spectral characteristic | |
Z |
Zone characteristic | |
(справочное)
РАЗДЕЛЫ ФИЗИКИ, ИСПОЛЬЗОВАННЫЕ ПРИ ОПРЕДЕЛЕНИИ ТЕРМИНОВ
1 Интегральная оптика
de Integral Optik
en Integrated optics
Раздел оптоэлектроники, основной задачей которого является изучение и использование особенностей генерации, распространения и преобразования волн оптического излучения в тонких слоях прозрачных материалов, а также разработка принципов и методов создания и интеграции оптических и оптоэлектронных волноводных элементов.
2 Оптика
de Optiken
en Optic
Раздел физики, в котором изучают оптическое излучение, процессы его распространения и взаимодействия с веществом.
3 Физическая оптика
de Physikalischeoptik
en Physical optics
Раздел оптики, рассматривающий проблемы, связанные с природой оптического излучения.
4 Электрооптика
de Elektrooptik
en Electro-optics
Раздел физической оптики, в котором изучают изменения оптических свойств сред под действием электрического поля и вызванные этими изменениями особенности взаимодействия оптического излучения со средой, помещенной в поле.
5 Магнитооптика
de Magnetooptik
en Magneto-optics
Раздел физической оптики, в котором изучают изменения оптических свойств сред под действием магнитного поля и обуславливающие эти изменения особенности взаимодействия оптического излучения "" с помещенным в поле веществом.
6 Волоконная оптика
de Fiberoptic
en Fiber optics
Раздел оптоэлектроники, в котором рассматривают передачу излучения и изображения по волоконным световодам.
7 Оптика неоднородных сред
de Optik der inhomogenes Medium
en Optics of no homogeneous environments
Раздел физической оптики, в котором изучают явления, сопровождающие распространение оптического излучения в оптически неоднородных средах, показатель преломления которых зависит от координат.
8 Голография
de Holographi
en Holography
Область науки и техники, предметом изучения которой являются процессы записи и последующего воспроизведения информации об объекте, содержащиеся в физически реализуемых или математически описываемых волновых полях, с использованием законов дифракции и интерференции волн.
(справочное)
БИБЛИОГРАФИЯ
ISO/DIS 11145 Lasers and laser-related equipment. Vocabulary and symbols.
ISO/FDIS 11670 Optics and optical instruments. Laser and laser-related equipment. Test methods for laser beam parameters. Beam positional stability.
ISO/FDIS 120051999(E) Lasers and laser-related equipment. Test methods for laser beam parameters. Polarization.
ISO/FDIS 13694 Optics and optical instruments. Laser and laser-related equipment. Test methods for laser beam power (energy) density distribution.
ISO/WD 13695 Optics and optical instruments. Laser and laser-related equipment. Test methods for laser beam parameters: Spectral characteristic.
ISO/DIS 13696 Lasers and laser-related equipment. Test methods for radiation scattered by optical components.
ISP/WI 15367 Lasers and laser-related equipment. Test methods for laser beam parameters. Phase distribution.
ISO/WD 17526-1 Optics and optical instruments. Laser and laser-related equipment. Lifetime of lasers.
УДК 001.4:681.782.473:006.354 | | Т80 | |
Ключевые слова: оптоэлектроника, оптика, лазер, голография, излучение, волна, измерения, термин, определение |