Главная // Актуальные документы // ПостановлениеСПРАВКА
Источник публикации
"Бюллетень строительной техники", N 12, 1979
Примечание к документу
Утратил силу с 1 июля 1986 года в связи с изданием
Постановления Госстроя СССР от 04.10.1985 N 189.
Введен в действие с 1 января 1980 года.
Название документа
"Изменения и дополнения главы СНиП II-30-76 "Внутренний водопровод и канализация зданий"
(утв. Постановлением Госстроя СССР от 17.08.1979 N 152)
"Изменения и дополнения главы СНиП II-30-76 "Внутренний водопровод и канализация зданий"
(утв. Постановлением Госстроя СССР от 17.08.1979 N 152)
Утверждены
Постановлением Госстроя СССР
от 17 августа 1979 г. N 152
ИЗМЕНЕНИЯ И ДОПОЛНЕНИЯ
ГЛАВЫ СНиП II-30-76
"ВНУТРЕННИЙ ВОДОПРОВОД И КАНАЛИЗАЦИЯ ЗДАНИЙ"
Дата введения
с 1 января 1980 года
Постановлением Госстроя СССР от 17 августа 1979 г. N 152 утверждены и с 1 января 1980 г. вводятся в действие публикуемые ниже изменения и дополнения главы СНиП II-30-76 "Внутренний водопровод и канализация зданий", утвержденной Постановлением Госстроя СССР от 19 августа 1976 г. N 137.
"2. Внутренний водопровод - система трубопроводов и устройств, обеспечивающая подачу воды к санитарно-техническим приборам, пожарным кранам и технологическому оборудованию, обслуживающая одно или несколько зданий или сооружений и имеющая общее водоизмерительное устройство от сети водопровода населенного пункта или промышленного предприятия.
В случае подачи воды из системы на наружное пожаротушение проектирование ее надлежит выполнять в соответствии с главой СНиП по проектированию наружных сетей и сооружений водоснабжения".
"2.2. Максимальный секундный расход воды на расчетном участке сети q, л/с, следует определять по формуле

, (1)
где

- расход воды прибором, величину которого следует принимать в соответствии с пп. 2.3 и 2.4;

- величина, определяемая в зависимости от общего числа приборов N на расчетном участке сети и вероятности их действия P, которая принимается по Прил. 2 при P, большем 0,1, и числе N, меньшем или равном 200. В других случаях величину

надлежит принимать по Прил. 1.
Максимальный секундный расход сточных вод

, л/с, на участках канализационных сетей в зданиях или сооружениях следует определять:
а) при общем расчетном секундном расходе воды q <= 8 л/с в сетях холодного и горячего водопровода, обслуживающих группу приборов, по формуле

;
б) в других случаях по формуле

,
где

- наибольший секундный расход от прибора, принимаемый по табл. 1".
"2.3. Для зданий или сооружений, в которых размещаются одинаковые потребители (по табл. 2 и 3), на расчетных участках сети следует:
расход воды одним прибором

принимать по прибору (табл. 1) с наибольшим расходом, при этом количество этих приборов в здании или сооружении должно составлять не менее 10% общего количества приборов, установленных на расчетном участке;
вероятность действия приборов P (общей или холодной воды) определять по формуле:

, (2)
где

- норма расхода общей или холодной воды, л, одним потребителем в час наибольшего водопотребления, которую надлежит принимать в соответствии с табл. 2 и 3;
U - общее число одинаковых потребителей в здании или сооружении:
N - общее число приборов, обслуживающих U потребителей.
Примечания. 1. Для зданий или сооружений с одинаковыми потребителями значения P следует определять по формуле (2) для всего здания или сооружения в целом, не учитывая изменение соотношения U/N на отдельных участках сети.
2. При отсутствии в табл. 2 норм расхода воды, отнесенных к одному потребителю, расчет по формуле (2) следует производить на основании количества установленных приборов U = N и норм расхода воды соответствующими приборами.
3. Значения

и

для общего расхода воды принимаются для зданий, оборудованных холодным водопроводом и системами местного горячего водоснабжения,

и

для расхода холодной воды - при наличии централизованного горячего водоснабжения".
"2.4. Для зданий (помещений) или сооружений, в которых размещаются разные потребители (по табл. 2 и 3), на расчетных участках сети следует:
расход воды одним прибором

определять как средневзвешенную величину

,
где

,

,

- величины N, P,

, относящиеся к каждому потребителю и принимаемые в соответствии с п. 2.3;
вероятность действия приборов P (общей или холодной воды) вычислять по формуле

. (3)
Примечание. Для отдельных производственных и административно-бытовых зданий, включая столовые, значения

и P допускается определять как средневзвешенные величины для всего здания в целом".
"2.6. Максимальный часовой расход

, л/ч, следует определять:
а) для жилых и общественных зданий по формуле

, (4)
где

- часовой расход воды прибором (по табл. 1), принимаемый для жилых зданий по прибору с максимальным часовым расходом, в других случаях

следует определять как средневзвешенную величину;

- величина, принимаемая по Прил. 1 и 2 в зависимости от общего количества приборов N на расчетном участке сети и вероятности их использования

; (5)
б) для вспомогательных зданий промышленных предприятий как сумму расходов воды на хозяйственно-питьевые нужды, принимаемых по табл. 3, и на пользование душами, определяемых по количеству работающих в наиболее многочисленной смене".
В табл. 1: расход стоков от душей в групповых установках вместо 0,4 принять 0,2; расход воды общий и холодной на писсуары вместо 0,2 принять 0,035.
В табл. 2: расход холодной воды в клубах вместо 0,9 принять 0,6; расход воды в общежитиях с общими душевыми, столовыми и прачечными признать утратившим силу;
примечания 1 -
5 изложить в следующей редакции:
"Примечания. 1. Для зданий общежитий, гостиниц, пансионатов, мотелей, больниц, санаториев, домов отдыха, административных зданий, школ, детских яслей-садов, пионерских лагерей расход воды в столовых и прачечных должен учитываться дополнительно.
2. Для зданий кинотеатров, клубов и театров расход воды в буфетах должен учитываться дополнительно.
3. Расход воды на охлаждение агрегатов холодильных установок и кондиционирование воздуха должен учитываться дополнительно.
4. Норма расхода воды на поливку установлена из расчета одной поливки. Количество поливок в сутки следует принимать в зависимости от климатических условий.
5. Продолжительность пользования душем в групповых душевых вспомогательных зданий и помещениях промышленных предприятий следует принимать 45 мин после окончания смены".
В табл. 4 раздел водопотребление и водоотведение для производственных и вспомогательных зданий промышленных предприятий признать утратившим силу.
В табл. 5:
абзац третий после слова "...ломбарды" дополнить словами: "предприятия связи, вокзалы, учреждения финансирования, кредитования и страхования";
абзац пятый "Здания животноводческих ферм на промышленной основе и многоэтажные животноводческие и птицеводческие" признать утратившим силу;
"Жилые односекционные и многосекционные здания высотой 12 - 16 этажей";
абзац одиннадцатый после слов: "...учебные заведения" дополнить словами: "предприятия связи, вокзалы, учреждения финансирования, кредитования и страхования высотой до 12 этажей и";
абзац шестнадцатый "Производственные здания, за исключением указанных в п. 3.11" признать утратившим силу;
"1. Для обеспечения трех и более расчетных противопожарных струй допускается использовать пожарные краны на соседних стояках";
таблицу дополнить примечаниями 5, 6 и 7 следующего содержания:
"5. Внутренний противопожарный водопровод следует предусматривать в складах для хранения сгораемых материалов и несгораемых материалов в сгораемой упаковке, размещаемых в производственных зданиях.
6. Продолжительность тушения пожара из внутренних пожарных кранов должна приниматься 3 ч.
7. Расход воды на одну струю следует уточнять по табл. 6 в зависимости от высоты компактной части струи и диаметра спрыска".
Пункт 3.10 дополнить таблицей 5а следующего содержания:
"Таблица 5а
┌─────────┬──────────┬─────────────────────────────────────────────────────┐
│Степень │Категория │ Число струй и расход воды на одну струю, л/с, на │
│огнестой-│производ- │ внутреннее пожаротушение в производственных зданиях │
│кости │ства по │ высотой до 50 м, объемом в тыс. м3 │
│зданий │пожарной ├──────────┬─────────┬─────────┬───────────┬──────────┤
│ │опасности │ от 0,5 │ более 5 │более 50 │ более 200 │ более 400│
│ │ │ до 5 │ до 50 │ до 200 │ до 400 │ │
├─────────┼──────────┼──────────┼─────────┼─────────┼───────────┼──────────┤
│I и II │А, Б, В │2 x 2,5 │2 x 5 │2 x 5 │2 x 5 │4 x 5 │
│III │В │2 x 2,5 │2 x 5 │- │- │- │
│III │Г, Д │- │2 x 2,5 │- │- │- │
│IV и V │В │2 x 2,5 │2 x 5 │- │- │- │
│IV и V │Г, Д │- │2 x 2,5 │- │- │- │
└─────────┴──────────┴──────────┴─────────┴─────────┴───────────┴──────────┘
Примечания. 1. В множимом указано число струй, в множителе - минимальный расход воды на одну струю, л/с.
2. Использование воды для внутреннего пожаротушения зданий и помещений, в которых ее применение может вызвать взрыв или распространение огня, не допускается".
Пункт 3.11:
"а) для зданий общеобразовательных школ, в том числе школ, имеющих актовые залы, оборудованные стационарной киноаппаратурой, а также бань";
"ж) в зданиях и помещениях объемом или высотой менее указанных в табл. 5 и 5а".
"3.13. Гидростатический напор в системе хозяйственно-питьевого или хозяйственно-противопожарного водопровода на отметке наиболее низко расположенного санитарно-технического прибора не должен превышать 60 м. Гидростатический напор на отметке наиболее низко расположенного пожарного крана не должен превышать 90 м.
Примечание. В системе хозяйственно-противопожарного водопровода на время пожара допускается повышение напора не более чем до 90 м на отметке наиболее низко расположенного санитарно-технического прибора. При этом гидравлическое испытание системы водопровода должно производиться при установленной водоразборной арматуре".
Пункт 3.16:
"16 м - для общественных, производственных зданий промышленных предприятий высотой более 50 м";
"8 м - для жилых зданий высотой более 50 м".
Пункт 4.3:
"кольцевыми, с закольцованными вводами или двумя тупиковыми трубопроводами с ответвлениями к потребителям от каждого из них - при необходимости обеспечить непрерывную подачу воды";
"Примечание. При количестве пожарных кранов в здании до 12 шт. допускается принимать тупиковую систему водопровода с устройством одного ввода".
"жилых зданий с количеством квартир более 400, клубов, театров и кинотеатров, а также зданий, оборудованных спринклерными и дренчерными системами при количестве узлов управления более трех".
Пункт 4.16 дополнить примечанием следующего содержания:
"Примечание. Для жилых зданий высотой 17 этажей и более при зонном водоснабжении кольцевание по вертикали хозяйственно-питьевого водопровода допускается не предусматривать".
"Примечание. Для зданий, расположенных в климатических подрайонах IА, IБ и IГ, необходимость установки поливочных кранов следует определять в зависимости от степени благоустройства населенного пункта, наличия зеленых насаждений и других местных условий".
Пункт 4.27:
"4. При расположении маховика запорной арматуры на высоте более 1,6 м от пола следует предусматривать площадки или мостики для ее обслуживания".
Пункт 4.31:
в абзаце втором слова: "хозяйственно-питьевых" заменить словами: "хозяйственно-противопожарных или противопожарных";
в абзаце четвертом слова: "хозяйственно-питьевого" заменить словами: "хозяйственно-противопожарного";
"Примечание. Установка регуляторов давления на вводе в систему водоснабжения группы зданий (микрорайона) не исключает в случае необходимости установку регуляторов давления на вводах в отдельные здания или квартиры, а также на стояках в зданиях".
"в умывальных помещениях при числе водоразборных точек пять и более;"
"5.2. Подбор счетчиков (крыльчатых и турбинных) для измерения количества воды, устанавливаемых на вводах внутренних водопроводных сетей, следует производить так, чтобы допускаемый при длительной эксплуатации счетчика средний часовой расход воды, принятый по государственным стандартам на счетчики, был больше 4%-ного максимального суточного расхода воды.
В случаях когда продолжительность работы счетчиков в сутки меньше 24 ч, значения средних часовых расходов воды следует увеличивать на величину, равную отношению 24 ч к фактическому числу часов работы счетчиков.
Примечание. Подача воды для спринклерных и дренчерных установок, а также на внутреннее пожаротушение должна осуществляться непосредственно от ввода минуя счетчики (если счетчик не обеспечивает пропуск общего расхода воды)".
Пункт 5.4 дополнить абзацем следующего содержания:
"сопротивление S в счетчиках для воды приведено в табл. 5б.
Таблица 5б
┌───────────────┬────┬────┬─────┬─────┬─────┬─────┬───────────┬───────────┬────────────┐
│Диаметр крыль- │ 15 │ 20 │ 25 │ 32 │ 40 │ 50 │ 80 │ 100 │ 150 │
│чатых и турбин-│ │ │ │ │ │ │ │ │ │
│ных счетчиков │ │ │ │ │ │ │ │ │ │
│воды, мм │ │ │ │ │ │ │ │ │ │
├───────────────┼────┼────┼─────┼─────┼─────┼─────┼───────────┼───────────┼────────────┤
│ │ │ │ │ │ │ │ -3│ -3│ -4"│
│Сопротивление │13 │5,08│2,682│1,265│0,327│0,032│2,37 х 10 │1,07 х 10 │1,71 х 10 │
│S (при расходах│ │ │ │ │ │ │ │ │ │
│воды, л/с) │ │ │ │ │ │ │ │ │ │
└───────────────┴────┴────┴─────┴─────┴─────┴─────┴───────────┴───────────┴────────────┘
"Примечание. Для районов жилой застройки на время пожаротушения подачу воды в систему горячего водоснабжения допускается не предусматривать".
"одновременно следует производить проверку напора насосов на случай наибольшего напора в сети наружного водопровода в часы минимального водопотребления".
Пункт 7.13 дополнить абзацем и примечанием следующего содержания:
"При автоматическом включении насосов, подающих воду только в спринклерные и дренчерные установки, в насосных станциях до узла управления следует предусматривать установку импульсного устройства (гидропневматического бака емкостью 0,5 м3).
Примечание. Для клубов с эстрадами и зрительным залом до 300 мест пуск противопожарных насосов допускается принимать с ручным и дистанционным управлением".
"7.20. Для насосных установок, подающих воду на хозяйственно-питьевые, производственные и противопожарные нужды, категорию надежности электроснабжения следует принимать:
I категорию - при расходе воды на внутреннее пожаротушение более 2,5 л/с, а также для насосных установок, перерыв в работе которых не допускается;
II категорию - при расходе воды на внутреннее пожаротушение 2,5 л/с и для жилых зданий высотой 12 - 16 этажей при расходе 5 л/с, а также для насосных установок, допускающих кратковременный перерыв в работе на время, необходимое для ручного включения резервного питания.
Примечания. 1. При невозможности по местным условиям осуществить питание насосных установок I категории от двух независимых источников электроснабжения допускается принимать питание их от одного источника, при условии подключения к разным линиям 0,4 кВ и разным трансформаторам двухтрансформаторной подстанции или трансформаторам двух ближайших однотрансформаторных подстанций (с устройством АВР).
Указанную схему электроснабжения следует принимать также для питания противопожарных насосных установок в жилых зданиях высотой 12 - 16 этажей.
2. В случае невозможности обеспечения необходимой надежности электроснабжения насосных установок допускается установка резервных насосов с приводом от двигателей внутреннего сгорания. При этом размещать их в подвальных помещениях не допускается".
"7.25. В проектах насосных станций следует предусматривать мероприятия по снижению шума и вибрации во время работы насосных агрегатов (кроме противопожарных)".
"8.3. Неприкосновенный противопожарный объем воды следует принимать:
а) при ручном или автоматическом включении пожарных насосов из расчета 10-минутной продолжительности тушения пожара из внутренних пожарных кранов и одновременном наибольшем расходе воды на производственные или хозяйственно-питьевые нужды;
б) при автоматическом включении насосов для подачи воды в спринклерные и дренчерные установки запас воды в водонапорных баках - равным 1,5 м3 при расчетном расходе воды на пожаротушение 35 л/с и менее и 3 м3 при расчетном расходе воды более 35 л/с;
в) в баках гидропневматических установок противопожарный объем воды допускается не предусматривать, но должен приниматься минимальный объем воды, обеспечивающий гарантированное включение противопожарных насосов.
Примечания. 1. При определении объема неприкосновенного противопожарного запаса воды расход на души и мытье полов не учитывается.
2. В зданиях с зонным водопроводом в запасных емкостях каждой зоны, включая гидропневматические установки, должен храниться неприкосновенный противопожарный объем воды, предусмотренный примечанием 2 к табл. 5".
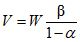
"8.4. Полный объем гидропневматического бака V, м3, следует определять по формуле

, (10)
а объем водонапорного бака - по формуле

, (11)
где W - регулирующий объем бака, м3;

- противопожарный объем бака, м3;

- отношение абсолютного минимального давления к максимальному давлению, значения которого следует принимать 0,8 - для установок, работающих с подпором; 0,75 - для установок с напором до 50 м вод. ст., 0,7 - для установок с напором выше 50 м вод. ст.;

- коэффициент запаса емкости бака, принимаемый: при работе насосных установок в повторно-кратковременном режиме и соотношении подачи воды насосом

к расходам

(по формуле 1) и

(по формуле 4)

,

;

,

;

,

;
при непрерывной работе насосных установок

,

.
Значение

определяется по формуле

".
"15.10. Расчетный расход дождевых вод, приходящихся на одну водосточную воронку и один водосточный стояк, не должен превышать величин, приведенных в табл. 12 и 13.
Таблица 12
┌───────────────────────────┬─────────────────┬─────────────────┐
│Диаметр воронки, мм │ 80 │ 100 │
├───────────────────────────┼────────┬────────┼────────┬────────┤
│Тип воронки │ ВР-9 │ ВВ-1 │ ВР-9 │ ВВ-1 │
├───────────────────────────┼────────┼────────┼────────┼────────┤
│Расчетный расход дождевых │ 3 │ 4,5 │ 8 │ 12 │
│вод на одну водосточную │ │ │ │ │
│воронку, л/с │ │ │ │ │
└───────────────────────────┴────────┴────────┴────────┴────────┘
Таблица 13
Диаметр стояка, мм | 80 | 100 | 150 | 200 |
Расчетный расход дождевых вод на один водосточный стояк, л/с | 10 | 20 | 50 | 80" |