Главная // Актуальные документы // ПособиеСПРАВКА
Источник публикации
М.: Стройиздат, 1971
Примечание к документу
Название документа
"Пособие по теплотехническим расчетам санитарно-технических сетей, прокладываемых в вечномерзлых грунтах"
"Пособие по теплотехническим расчетам санитарно-технических сетей, прокладываемых в вечномерзлых грунтах"
ОРДЕНА ТРУДОВОГО КРАСНОГО ЗНАМЕНИ
НАУЧНО-ИССЛЕДОВАТЕЛЬСКИЙ ИНСТИТУТ ОСНОВАНИЙ
И ПОДЗЕМНЫХ СООРУЖЕНИЙ
ПОСОБИЕ
ПО ТЕПЛОТЕХНИЧЕСКИМ РАСЧЕТАМ САНИТАРНО-ТЕХНИЧЕСКИХ СЕТЕЙ,
ПРОКЛАДЫВАЕМЫХ В ВЕЧНОМЕРЗЛЫХ ГРУНТАХ
Г.В. ПОРХАЕВ, Ю.А. АЛЕКСАНДРОВ, Л.П. СЕМЕНОВ, Ю.Л. ШУР
В пособии рассматриваются вопросы теплового взаимодействия санитарно-технических сетей с вечномерзлыми грунтами и даются методы теплового расчета трубопроводов различного назначения при надземной и наземной прокладке, при подземной прокладке в вентилируемых и невентилируемых каналах и непосредственно в грунт с теплоизоляцией и без нее; для магистральных трубопроводов, разводящих сетей, вводов и выпусков из зданий; для трубопроводов с неполным заполнением труб; при непрерывном и периодическом движении и т.д.
Тепловые расчеты включают в себя определение падения температуры жидкости по длине трубы, необходимой температуры подогрева, времени допустимой остановки движения, расчет зоны оттаивания грунта вокруг труб и каналов, расчет необходимой толщины теплоизоляции, расчет вентилирования каналов, теплового влияния санитарно-технических сетей на температурный режим оснований зданий и сооружений.
Пособие рассчитано на широкий круг инженеров и техников, занимающихся проектированием и строительством санитарно-технических сетей в районах распространения вечномерзлых грунтов.
Надежность и эксплуатационная пригодность санитарно-технических сетей, прокладываемых в районах распространения вечномерзлых грунтов, в значительной мере определяется их тепловым взаимодействием с вмещающей средой. Поэтому прогноз теплового взаимодействия является важной составной частью проектирования санитарно-технических сетей для указанных районов. Прогноз осуществляется на основании теплотехнических расчетов, в состав которых входит определение:
изменения температуры теплоносителя по длине трубопровода;
размеров зоны оттаивания грунтов вокруг трубопровода;
времени возможного прекращения работы трубопровода из условий недопустимости замерзания в нем транспортируемой жидкости;
температуры и расхода воздуха в канале для ограничения зоны оттаивания в грунте вокруг канала;
температуры и расхода воздуха в канале для сохранения вечномерзлого состояния грунтов под каналом при оттаивании летом и промерзании зимой ограниченного слоя грунта под подошвой канала;
количества тепла, необходимого для подогрева жидкости с целью предотвращения ее замерзания;
оптимального количества установок подогрева.
Для надземных и наземных трубопроводов, прокладываемых на специальных опорах, необходимо знать глубину сезонного оттаивания грунта при сливающихся вечномерзлых грунтах или глубину сезонного промерзания грунта при несливающихся вечномерзлых грунтах и таликах.
Имеющиеся решения отдельных вопросов приведены в статьях, опубликованных в различных сборниках и журналах. До настоящего времени не имелось обобщающей работы, в которой систематически и с достаточной полнотой были бы приведены методы теплотехнических расчетов санитарно-технических сетей. Предлагаемое пособие предназначено восполнить этот пробел.
Основой для разработки пособия явилось обобщение опыта эксплуатации санитарно-технических сетей в районах распространения вечномерзлых грунтов, теоретические разработки и многолетние исследования теплового взаимодействия трубопроводов с мерзлыми грунтами, проведенные как в районах с вечномерзлыми грунтами, так и в районах с глубоким сезонным промерзанием грунтов.
Руководство разработкой пособия осуществлял Г.В. Порхаев.
Отзывы и предложения просьба направлять по адресу: Москва, Ж-389, 2-я Институтская ул., д. 6, НИИ оснований и подземных сооружений Госстроя СССР.
1.1. Особенностями строительства и эксплуатации санитарно-технических сетей в районах распространения вечномерзлых грунтов, определяющими технологические и конструктивные решения, являются отрицательная в течение длительного периода года температура окружающей среды (воздуха, грунта) и резкого изменения физико-механических свойств большинства грунтов при их оттаивании.
В соответствии с этим при проектировании санитарно-технических сетей следует учитывать:
а) мерзлотно-грунтовые условия строительных площадок и участков;
б) влияние освоения территории на мерзлотно-грунтовые условия за счет изменения растительного покрова, перераспределения снежных отложений, появления новых очагов разгрузки грунтовых вод и т.д.;
в) необходимость температурного и гидравлического регулирования транспортируемой жидкости с целью предохранения ее от замерзания или для уменьшения теплопотерь;
г) тепловое воздействие трубопроводов на окружающие грунты;
д) механическое воздействие грунтов на трубопроводы при протаивании и промерзании грунтов;
е) тепловое влияние трубопроводов на основания зданий и сооружений;
ж) опасность непосредственного теплового и гидравлического воздействия транспортируемой жидкости на мерзлые грунты при авариях трубопроводов.
1.2. Мерзлотно-грунтовые условия строительных площадок и участков в районах распространения вечномерзлых грунтов характеризуются:
а) распространением и залеганием вечномерзлых грунтов;
б) составом, сложением и строением грунтов;
в) температурным режимом грунтов;
г) толщиной сезоннооттаивающих и сезоннопромерзающих слоев грунта;
д) физико-механическими свойствами грунтов;
е) мерзлотными процессами (пучение, наледи, термокарст, трещинообразование);
ж) грунтовыми водами;
з) климатическими условиями района строительства.
1.3. Грунты всех видов называются мерзлыми, если они имеют отрицательную или нулевую температуру и содержат в своем составе лед; эти грунты называются вечномерзлыми, если они находятся в мерзлом состоянии в продолжение многих лет.
Поверхностный слой грунта в районах распространения вечномерзлых грунтов, подвергающийся сезонному промерзанию и оттаиванию, называется:
сезоннопромерзающим - оттаивающий летом и промерзающий зимой, но без слияния с толщей вечномерзлого грунта;
сезоннооттаивающим - оттаивающий летом и промерзающий зимой до полного слияния с толщей вечномерзлого грунта.
Примечание. Слои грунта, замерзающие зимой и не оттаивающие полностью в течение одного-двух лет, называются перелетками.
1.4. Наименование видов мерзлых грунтов принимают в соответствии с характеристиками этих грунтов, которые они приобретают после оттаивания.
Для грунтов, содержащих больше 50% частиц размером от 0,05 до 0,005 мм, к обычному наименованию добавляется наименование "пылеватые".
1.5. Сложение мерзлого грунта, обусловленное замерзанием содержащейся в нем воды и характеризуемое формой, величиной и расположением ледяных включений, называется криогенной текстурой.
Различаются массивная, слоистая и сетчатая текстуры мерзлого грунта.
Массивная текстура в основном характеризуется наличием порового льда.
Слоистая и сетчатая текстуры характеризуются наличием линз и прослоек; в грунтах сетчатой текстуры эти включения расположены в виде сетки, а в грунтах слоистой текстуры ледяные включения расположены в виде прослоек и линз, чередующихся с минеральными слоями; минеральные слои характеризуются массивной текстурой.
1.6. Основными характеристиками температурного режима грунта являются его среднегодовая температура, глубина сезонного промерзания-оттаивания грунта, а также минимальная температура грунта на глубине заложения трубопровода. Эти характеристики следует иметь для всех участков с различными условиями теплообмена, зависящими от толщины снежного покрова, вида растительности и состава грунтов.
1.7. Среднегодовая температура грунта t0 изменяется в широких пределах (от 0 до -12 °C). Низкие температуры вечномерзлых грунтов характерны для северных районов области их распространения. Но даже в этих районах встречаются участки с талыми грунтами.
1.8. Среднегодовую температуру грунта в естественных условиях можно принимать по данным разовых измерений, проведенных на глубинах, указанных в табл. 1.
Таблица 1
Глубины, на которых измеряется среднегодовая температура
глинистых грунтов
Среднегодовая температура грунта | От 0 до -2 °C | Ниже -2 до -4 °C | Ниже -4 °C |
При измерениях с середины лета до момента полного промерзания сезонноталого слоя грунта | 3,5 - 4 м | 5 - 6 м | 7 - 8 м |
При измерениях с момента полного промерзания сезонноталого слоя грунта до середины лета | 5 - 6 м | 7 - 8 м | 9 - 10 м |
Примечание. В песчаных и скальных грунтах глубины измерения температур увеличиваются на 1 - 2 м. |
При изменении условий теплообмена на поверхности грунта, вызванном освоением территории, среднегодовые температуры грунта принимаются по данным измерений на территории застройки или определяются теплотехническим расчетом.
1.9. Глубины сезонного оттаивания грунтов изменяются в пределах от 0,2 до 3,5 м. Минимальные значения глубины слоя сезонного оттаивания приурочены к заторфованным глинистым грунтам с низкими среднегодовыми температурами t0; максимальные - к супесчаным, лишенным растительного покрова со среднегодовыми температурами грунта, близкими к 0 °C.
Глубины сезонного промерзания грунтов изменяются в пределах от 0,6 до 5 м. В районах с мощным снежным покровом наименьшее промерзание наблюдается на отрицательных формах рельефа (полосы стока и т.п.); наибольшее - на повышенных участках без растительного покрова. В районах с бесснежными зимами наименьшее промерзание, как правило, характерно для положительных форм рельефа, а наибольшее для пониженных участков.
1.10. Глубина сезонного оттаивания грунта
Hт принимается равной наибольшей из ежегодных максимальных глубин сезонного оттаивания грунта за срок наблюдений за фактическим оттаиванием грунтов не менее 10 лет:
а) в пределах застройки - по данным наблюдений на осушенной площадке без растительного и торфяного покрова, очищаемой весной от снега;
б) вне населенных пунктов - на площадке с естественными условиями.
При отсутствии данных многолетних наблюдений глубина сезонного оттаивания грунта Hт определяется теплотехническим расчетом.
1.11. Глубина сезонного промерзания грунта
Hм принимается равной средней из ежегодных максимальных глубин сезонного промерзания грунтов по данным наблюдений за срок не менее 10 лет:
а) в пределах застройки - по данным наблюдений на осушенной площадке без растительного и торфяного покрова, очищаемой зимой от снега;
б) вне населенных пунктов - на площадке с естественными условиями.
При отсутствии данных многолетних наблюдений глубина сезонного промерзания грунта Hм определяется теплотехническим расчетом.
1.12. В течение года температура грунта испытывает сезонные колебания. Эти колебания тем больше, чем ниже среднегодовая температура грунта. Минимальные температуры грунта на различных глубинах прослеживаются в разное время года. В пределах глубин 1 - 2 м, считая от поверхности грунта, эти температуры обычно наблюдаются в конце января - начале февраля.
1.13. За минимальную температуру грунта в расчетах (расчетная температура
tг) принимается минимальная среднемесячная температура грунта на глубине заложения трубопровода (считая от поверхности грунта до оси трубы или середины канала). Эта температура определяется по данным многолетних наблюдений (за срок не менее 10 лет) за температурой грунта:
а) в пределах застройки - по данным наблюдений на осушенной площадке без растительного и торфяного покрова, очищаемой от снега;
б) вне населенных пунктов - на площадке с естественными условиями.
При отсутствии данных многолетних наблюдений расчетная температура грунта tг определяется теплотехническим расчетом.
1.14. Физико-механические свойства мерзлых грунтов зависят от их температуры. Особенно резко эти свойства изменяются при переходе грунта из мерзлого состояния в талое. Осадка мерзлого грунта при оттаивании под нагрузкой состоит из осадки оттаивания и осадки уплотнения грунта. Первый вид осадки происходит за счет собственного веса грунта; второй - под воздействием внешней нагрузки. Наибольшую осадку при оттаивании дают грунты со слоистой и сетчатой криогенной текстурой.
Трубопровод оказывает незначительное давление на грунт. Поэтому осадка трубопровода обусловлена осадкой оттаивания грунта, т.е. зависит только от свойств грунта и теплового воздействия трубопровода на грунт - зоны оттаивания грунта под трубой.
Если в зону оттаивания грунтов от теплового воздействия трубопровода попадают погребенные льды или сильнольдистые грунты, трубы могут "тонуть" в оттаивающем основании, вовлекая в зону оттаивания новые слои грунта.
1.15. Мерзлотные процессы обусловлены промерзанием и оттаиванием грунтов и накоплением или вытаиванием в них льда.
Пучением называется увеличение объема грунтов при их промерзании. К пучинистым грунтам относятся пылеватые пески, супеси, суглинки и глины при влажности, превышающей предел раскатывания. Максимальные величины пучения характерны для сезоннопромерзающего слоя с высоким уровнем грунтовых вод.
Пучение грунтов при промерзании достигает наибольшей величины на участках с несливающимися вечномерзлыми грунтами, а также на таликовых участках, особенно при близком к поверхности (2 - 3 м) залегании уровня грунтовых вод.
Термокарстом называются провальные и просадочные формы рельефа, обусловленные оттаиванием содержащегося в грунте льда. Наиболее часто термокарст встречается на плоских участках рельефа и в пониженных местах. Причиной образования термокарста при освоении территории служит уничтожение растительного покрова и увеличение мощности снежных отложений, тепловое воздействие трубопроводов и т.д. Так, прокладка трубопровода на участках с подземными льдами (жильные льды) с нарушением естественного покрова приведет к образованию термокарстовых озер и ложбин.
Наледью называется ледяное образование на поверхности льда или почвы в результате излияния и замерзания речной или грунтовой воды. Наледи образуются везде, где в результате промерзания возникают препятствия для нормального движения поверхностных и грунтовых вод.
Наледные процессы интенсивно протекают в естественных условиях (особенно в южной зоне области вечномерзлых грунтов), но и изменения естественных условий могут привести к образованию наледей в тех местах, где их раньше не было. Так, дорога, проложенная около косогорного участка, вследствие более быстрого промерзания грунта под ней, часто вызывает появление наледей; трубопровод с положительной температурой транспортируемой жидкости уменьшает глубину промерзания грунта, что также приводит к образованию наледей по трассе трубопровода.
Морозобойные трещины представляют собой нарушение сплошности (разрывы) поверхностных слоев грунта в результате температурного сжатия и неравномерного пучения.
1.16. Область распространения вечномерзлых грунтов по условиям их преимущественного распространения и залегания, среднегодовой температуры грунта, возможности деградации и возникновения вечномерзлых грунтов и интенсивности проявления мерзлотных процессов подразделяют на три зоны: южную, среднюю и северную.
1.17. Южная зона проходит широкой полосой вдоль южной границы области распространения вечномерзлых грунтов, охватывая как северные территории СССР (главным образом в европейской части), так и южные (в Восточной Сибири). В южной зоне расположены, например, такие населенные пункты, как Воркута, Салехард, Игарка, Петровск-Забайкальский, Балей, Сковородино, Бодайбо, Магадан.
Распределение и залегание вечномерзлых грунтов в южной зоне отличается большим разнообразием. Для этой зоны характерны прерывистость вечномерзлых грунтов как по площади, так и по вертикали. Вечномерзлые грунты толщиной до 30 - 60 м имеют обычно островное распространение, толщиной от 60 до 100 м - островное и сплошное с островами талых грунтов, а вечномерзлые грунты толщиной свыше 100 м занимают, как правило, большие площади.
Прерывистость по вертикали выражается в том, что вечномерзлые грунты перемежаются слоями талого грунта. Эти слои талого грунта часто являются водонасыщенными.
1.18. Для южной зоны характерны высокие среднегодовые температуры грунта (до -1,5, -2 °C).
Высокая температура вечномерзлых грунтов южной зоны и их прерывистое распространение обусловливают быстрое изменение мерзлотно-грунтовых условий в процессе строительства и эксплуатации сооружений, при уничтожении растительного покрова, перераспределении снежных отложений и т.п. При этом может происходить как оттаивание вечномерзлых грунтов, так и образование мерзлых массивов. Последнее характерно для очищаемых от снега территорий.
1.19. Средняя зона области вечномерзлых грунтов характеризуется их среднегодовыми температурами порядка -3, -4 °C. Участки с талыми грунтами встречаются в виде отдельных "островов" на общем фоне сплошного распространения вечномерзлых грунтов. Толщина слоя сезонного оттаивания грунта в этой зоне в среднем составляет 1,5 - 2,5 м, а его промерзание заканчивается в январе-феврале.
1.20. В северной зоне области вечномерзлых грунтов их среднегодовая температура в ряде районов достигает -12 °C. Сквозные талики встречаются только под большими водоемами и водотоками. Сезонное оттаивание грунта летом составляет в среднем 0,5 - 1,5 м, а в тундровой зоне при наличии мохо-торфяного покрова может быть даже менее 0,2 - 0,3 м. Зимнее промерзание оттаявшего слоя грунта завершается к декабрю-январю.
2. ПРИНЦИПЫ ИСПОЛЬЗОВАНИЯ ГРУНТОВ
2.1. В зависимости от изменения физико-механических свойств мерзлых грунтов при оттаивании, температурных режимов трубопроводов и грунтов по трассе, а также температурного режима оснований зданий и сооружений, расположенных вблизи трубопроводов, принимается один из следующих принципов использования вечномерзлых грунтов в качестве основания трубопроводов.
Принцип I - максимальное сохранение вечномерзлого состояния грунтов в основании в процессе строительства и эксплуатации.
Принцип II - допущение оттаивания вечномерзлых грунтов в основании в процессе строительства и эксплуатации.
2.2. Принцип I применяется в следующих случаях:
грунты характеризуются значительными осадками при оттаивании;
оттаивание грунтов вокруг трубопроводов оказывает влияние на устойчивость расположенных вблизи зданий и сооружений, построенных с сохранением основания в мерзлом состоянии.
2.3. Принцип II применяется в следующих случаях:
грунты характеризуются незначительными осадками на всю расчетную глубину оттаивания;
здания и сооружения по трассе трубопроводов расположены на значительном расстоянии от трубопроводов или построены с допущением оттаивания вечномерзлых грунтов в их основаниях.
2.4. В зависимости от мерзлотно-грунтовых условий, назначения трубопроводов, планировки и застройки населенного пункта и размещения сетей возможны следующие способы применения принципа максимального сохранения вечномерзлого состояния грунтов в основании:
а) исключение теплового воздействия трубопроводов на грунты основания;
б) ограничение зоны оттаивания грунта вокруг трубопровода до минимальных размеров с целью уменьшения объемов работ по устройству оснований и теплового воздействия трубопровода на грунты оснований зданий и сооружений;
в) допущение сезонного оттаивания грунтов в летний период с последующим промораживанием в зимний период оттаявшего слоя с помощью специальных мероприятий.
2.5. Размеры зоны оттаивания вокруг трубопровода, глубина сезонного оттаивания грунта в его основании определяются теплотехническими расчетами. Мероприятия по ограничению зоны оттаивания и промораживанию сезонноталого слоя грунта в основании трубопроводов также проектируются на основании теплотехнических расчетов.
3.1. В районах распространения вечномерзлых грунтов могут быть использованы следующие способы прокладки: надземная, наземная и подземная (как совмещенные, так и раздельные).
3.2. Надземная прокладка имеет следующие особенности:
а) полностью исключается тепловое воздействие трубопроводов на вечномерзлые грунты;
б) повышенные теплопотери;
в) суровый климат снижает долговечность теплоизоляции;
г) части здания и сооружений могут использоваться в качестве опорных конструкций под трубопроводы в сочетании со специальными опорами или эстакадами.
3.3. Наземная прокладка имеет следующие особенности:
а) незначительное тепловое воздействие трубопроводов на вечномерзлые грунты;
б) меньшие теплопотери по сравнению с надземной прокладкой (особенно при прокладке в насыпях);
в) снежные заносы снижают долговечность теплоизоляции и увеличивают возможность ее механического повреждения при прокладке в пределах населенного пункта;
г) минимальный объем строительно-монтажных работ;
д) трудности в трассировке по населенным пунктам без частого пересечения улиц, дорог и проходов и удлинение трасс трубопроводов вследствие вынужденной прокладки внутри кварталов;
е) при укладке трубопроводов в насыпях на склонах должны быть предусмотрены мероприятия по отводу поверхностных вод и учтена возможность образования наледей.
3.4. Подземная бесканальная прокладка применяется для водопроводных, канализационных и газовых сетей.
Подземная прокладка теплопроводов осуществляется только в каналах. Невентилируемые каналы могут применяться при наличии благоприятных мерзлотно-грунтовых условий.
3.5. Совмещение сетей различного назначения по одной трассе может осуществляться:
а) в непроходных и проходных каналах при всех способах прокладки сетей (надземной, наземной, подземной);
б) применением различных способов прокладки (например, подземная бесканальная прокладка водопровода и канализации в зоне теплового воздействия тепловой сети, уложенной в канале; подземная бесканальная прокладка канализации по одной трассе с наземной прокладкой тепловой сети и водопровода и т.д.).
3.6. При проектировании и строительстве совмещенной прокладки трубопроводов максимально используются следующие особенности этой прокладки:
а) уменьшение теплового воздействия трубопроводов на вечномерзлые грунты оснований и сокращение объемов строительных работ по обеспечению устойчивости сетей при оттаивании и промерзании грунтов;
б) уменьшение числа отдельных вводов и выпусков в здания с существенным сокращением их общего теплового воздействия на грунты оснований зданий и уменьшение объемов строительных работ по мероприятиям, обеспечивающим устойчивость фундаментов зданий в местах вводов и выпусков (дополнительное заглубление фундаментов, устройство водоотводных лотков под трубами и др.);
в) возможность прокладки всех сетей с максимальным удалением от здания;
г) упрощение организации автоматического контроля и управления работой трубопроводов с минимальными затратами материально-технических ресурсов (сокращение числа и протяженности путей контрольного обхода, аварийных подъездов, числа точек контроля и управления).
3.7. При подземной прокладке рационально совмещение в одной траншее канала теплопровода, водопровода и канализации (рис. 1).
Рис. 1. Совмещенная прокладка санитарно-технических сетей
в одной траншее
1 - непроходной железобетонный канал теплопровода;
2 - водопровод; 3 - канализация; 4 - глинобетон;
5 - замененный или предварительно оттаянный и уплотненный
грунт; 6 - граница вечномерзлого грунта
Водопровод укладывается на уровне подошвы теплофикационного канала на расстоянии, определяемом в зависимости от температуры воздуха в канале и среднезимней высоты снежного покрова по табл. 2.
Таблица 2
Расстояние от оси водопроводных труб
до наружной стенки канала теплопровода в м
Температура воздуха в канале в град | Среднезимняя высота снежного покрова в м |
0 | 0,1 | 0,2 | 0,3 |
20 | 0,2 | 0,2 | 0,3 | 0,3 |
25 | 0,3 | 0,3 | 0,4 | 0,5 |
30 | 0,4 | 0,5 | 0,6 | 0,7 |
35 | 0,5 | 0,6 | 0,8 | 1,0 |
45 | 0,7 | 0,8 | 1,2 | 1,5 |
60 | 1,0 | 1,2 | 1,6 | 1.9 |
Канализационные трубы укладываются по другую сторону теплофикационного канала на глубине ниже подошвы канала на 0,1 м; на расстоянии от водопровода в соответствии с санитарными нормами.
Температура воздуха в невентилируемом канале принимается по табл. 3, а в вентилируемом (для ограничения зоны оттаивания грунта вокруг канала) - по теплотехническим расчетам.
Таблица 3
Температура воздуха в невентилируемых каналах теплопроводов
Глубина заложения до верха канала в м | Размер канала в мм |
400 x 500 | 400 x 600 | 400 x 750 | 500 x 1000 | 650 x 1250 | 800 x 1500 |
0,5 | 12/20 | 12/20 | 13/22 | 16/27 | 24/41 | 27/46 |
0,7 | 12/20 | 14/24 | 14/24 | 20/34 | 28/47 | 30/51 |
1 | 13/22 | 15/25 | 15/25 | 21/35 | 28/47 | 30/51 |
1,5 | 14/25 | 17/30 | 17/30 | 22/38 | 31/53 | 35/60 |
Примечание. В числителе указана температура воздуха для теплопроводов с параметрами теплоносителя 95 - 70 °C; в знаменателе - для теплопроводов с параметрами теплоносителя 130 - 90 °C. |
3.8. Расстояния в свету от подземных трубопроводов до обрезов фундаментов зданий и сооружений следует принимать:
а) при строительстве по принципу I - по теплотехническим расчетам, но не менее указанных в
табл. 4;
б) при строительстве по принципу II при бесканальной прокладке - по требованиям соответствующих глав СНиП по проектированию наружных инженерных сетей; при прокладке теплофикационных трубопроводов в каналах с положительной среднегодовой температурой воздуха - не менее размеров зоны оттаивания грунта около канала в горизонтальном направлении за срок эксплуатации канала.
Таблица 4
Минимальные расстояния от трубопроводов
до обрезов фундаментов зданий и сооружений, возводимых
с сохранением оснований в мерзлом состоянии, в м
Грунт | Среднегодовая температура вечномерзлого грунта в °C |
от 0 до -2 | ниже -2 до -4 | ниже -4 |
Глинистый | 7 | 6 | 5 |
Песчаный | 8 | 7 | 6 |
Крупнообломочный | 10 | 9 | 8 |
3.9. Глубину заложения трубопроводов при бесканальной прокладке следует принимать минимальной в соответствии с теплотехническими расчетами, но не менее 0,7 м до верха трубы.
3.10. При надземной, наземной и подземной (канальной) прокладке необходимо предусматривать тепловую изоляцию трубопроводов в соответствии с теплотехническими расчетами.
Необходимость устройства тепловой изоляции при подземной бесканальной прокладке и ее толщину следует определять теплотехническим и технико-экономическим расчетами.
При выборе конструкции тепловой изоляции следует учитывать ее долговечность и необходимость ее защиты от внешних воздействий (климатических, механических и др.) в зависимости от способа прокладки трубопроводов.
3.11. Подземная бесканальная прокладка водопроводных и канализационных труб осуществляется, как правило, без теплоизоляции. В результате теплового взаимодействия труб с окружающим их мерзлым грунтом вокруг трубы образуется отепленная зона (зона оттаивания). Эта зона талого грунта является естественной теплоизоляцией и предохраняет жидкость в трубах от замерзания при кратковременных остановках работы трубопровода, так как промерзание слоя талого грунта происходит сравнительно медленно.
Теплоизоляция может быть применена только в сухих, хорошо дренированных грунтах, если по технико-экономическим расчетам это оказывается более целесообразным, чем дополнительный подогрев воды, ее непрерывная циркуляция и т.д.
3.12. При подземной прокладке трубопроводов в вентилируемых каналах большое влияние на устойчивость изоляции оказывает высокая влажность воздуха при периодических колебаниях его температуры от положительных до отрицательных значений.
3.13. Установку задвижек на трубопроводах следует предусматривать с учетом возможности опорожнения аварийных участков за время, определяемое теплотехническим расчетом (время допустимой остановки).
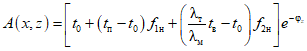
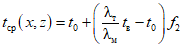
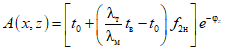
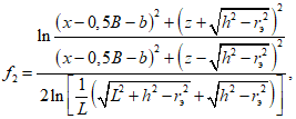
4. ОСНОВНЫЕ ПОЛОЖЕНИЯ ТЕПЛОТЕХНИЧЕСКИХ РАСЧЕТОВ
4.1. Теплотехническими расчетами определяется температурный режим санитарно-технических сетей и окружающих их грунтов.
В состав теплотехнических расчетов входит определение:
а) минимальных температур грунта на глубине заложения трубопровода;
б) среднегодовой температуры грунта;
в) глубин сезонного оттаивания или промерзания грунта;
г) изменения температуры теплоносителя по длине трубопровода;
д) размеров зоны оттаивания вокруг трубопровода;
е) времени возможного прекращения работы трубопровода из условия недопустимости замерзания в нем транспортируемой жидкости;
ж) температуры и расхода воздуха в канале для ограничения зоны оттаивания в грунте вокруг канала;
з) температуры и расхода воздуха в канале для сохранения вечномерзлого состояния грунтов под каналом (при оттаивании летом и промерзании зимой ограниченного слоя грунта под подошвой канала);
и) условий и скорости образования корки льда на внутренних стенках трубопровода;
к) оптимальной величины тепловой изоляции;
л) количества тепла, необходимого для подогрева жидкости с целью предотвращения ее замерзания;
м) оптимального количества установок подогрева.
4.2. В зависимости от способа прокладки трубопроводов и его технологических особенностей, которые определяются видом транспортируемой жидкости (вода, сточная жидкость и т.д.) и режимом работы (непрерывный, периодический), применяются различные методы теплотехнических расчетов.
4.3. Теплотехнические расчеты производятся на основе принятого гидравлического режима трубопроводов. В свою очередь на основании теплотехнических расчетов могут быть внесены коррективы по гидравлическому режиму.
4.4. Теплотехнические расчеты производятся по отдельным расчетным участкам. За расчетный принимается участок, на протяжении которого условия теплообмена можно принять постоянными (расходы, глубина заложения, свойства грунтов вдоль трассы, снежный покров и т.п.).
4.5. В теплотехнических расчетах приняты следующие основные определения и обозначения:
r - внутренний радиус трубы в м;
rн - наружный радиус трубы в м;
h - глубина заложения трубы (от поверхности грунта до ее оси) в м;
l - длина расчетного участка трубопровода в м;
Hт - глубина оттаивания грунта в м;
Hм - глубина промерзания грунта в м;
Hс - толщина снежного покрова в м;
rи - радиус трубы с изоляцией в м;

- толщина изоляции в
м;
S - толщина слоя грунта, термическое сопротивление которого равно термическому сопротивлению изоляции, снега и т.п.; при наличии одновременно снега и теплоизоляции на поверхности грунта S определяется по формуле

; (4.1)

- коэффициент теплопроводности грунта в талом состоянии в
ккал/
м·
ч·
град; определяется по
табл. 5;

- коэффициент теплопроводности грунта в мерзлом состоянии, в
ккал/
м·
ч·
град; определяется по
табл. 5;

- коэффициент теплопроводности снега в
ккал/
м·
ч·
град; определяется по
табл. 6;

- коэффициент теплопроводности теплоизоляции в
ккал/
м·
ч·
град;
R0 - вспомогательная величина для вычисления термического сопротивления трубы, уложенной в грунт; определяется по номограмме
(рис. 2);
Таблица 5
Расчетные значения теплофизических характеристик
талых и мерзлых грунтов
Объемный вес  в т/ м3 | Суммарная влажность грунта в долях единицы Wс | Коэффициент теплопроводности грунта в ккал/м·ч·град | Объемная теплоемкость в ккал/м3·град |
пески | супеси | суглинки-глины |
| | | | | | Cт | Cм |
1,2 | 0,05 | 0,40 | 0,52 | - | - | - | - | 285 | 260 |
1,2 | 0,10 | 0,62 | 0,79 | 0,38 | 0,45 | - | - | 320 | 270 |
1,4 | 0,05 | 0,57 | 0,69 | - | - | - | - | 330 | 300 |
1,4 | 0,10 | 0,87 | 1,08 | 0,52 | 0,69 | 0,44 | 0,68 | 370 | 315 |
1,4 | 0,15 | 1,00 | 1,25 | 0,71 | 0,88 | 0,56 | 0,84 | 410 | 330 |
1,4 | 0,20 | - | - | 0,84 | 1,05 | 0,65 | 0,94 | 450 | 345 |
1,4 | 0,25 | - | - | 0,92 | 1,16 | 0,72 | 1,00 | 490 | 360 |
1,6 | 0,05 | 0,75 | 0,91 | - | - | - | - | 380 | 340 |
1,6 | 0,10 | 1,05 | 1,35 | - | - | - | - | 430 | 360 |
1,6 | 0,15 | 1,25 | 1,60 | 0,93 | 1,10 | 0,72 | 0,98 | 470 | 370 |
1,6 | 0,20 | 1,36 | 1,73 | 1,05 | 1,29 | 0,88 | 1,12 | 520 | 395 |
1,6 | 0,25 | 1,41 | 1,82 | 1,16 | 1,44 | 0,96 | 1,24 | 565 | 410 |
1,6 | 0,30 | - | 1,93 | 1,20 | 1,55 | 1,00 | 1,30 | 610 | 430 |
1,6 | 0,35 | - | - | 1,30 | 1,65 | 1,05 | 1,35 | 650 | 445 |
1,6 | 0,40 | - | - | - | 1,72 | 1,10 | 1,41 | 700 | 465 |
1,6 | 0,60 | - | - | - | - | - | 1,50 | - | 500 |
1,8 | 0,10 | 1,30 | 1,60 | - | - | - | - | 480 | 400 |
1,8 | 0,15 | 1,55 | 1,90 | 1,19 | 1,31 | 1,00 | 1,23 | 530 | 420 |
1,8 | 0,20 | 1,65 | 2,10 | 1,34 | 1,52 | 1,12 | 1,38 | 580 | 440 |
1,8 | 0,25 | 1,75 | 2,23 | 1,43 | 1,70 | 1,24 | 1,53 | 640 | 460 |
1,8 | 0,30 | - | 2,32 | 1,48 | 1,82 | 1,28 | 1,61 | 690 | 480 |
1,8 | 0,35 | - | - | 1,51 | 1,93 | 1,33 | 1,66 | 740 | 500 |
1,8 | 0,40 | - | - | - | 2,00 | 1,40 | 1,72 | 795 | 520 |
1,8 | 0,60 | - | - | - | - | - | 1,80 | - | 560 |
2,0 | 0,15 | 1,76 | 2,20 | 1,40 | 1,50 | - | - | 590 | 470 |
2,0 | 0,20 | 2,00 | 2,42 | 1,56 | 1,75 | 1,24 | - | 590 | 490 |
2,0 | 0,25 | 2,26 | 2,72 | 1,73 | 1,93 | 1,35 | 1,65 | 705 | 510 |
2,0 | 0,30 | - | - | 1,80 | 2,10 | 1,44 | 1,75 | 770 | 530 |
2,0 | 0,35 | - | - | - | - | 1,53 | 1,86 | 820 | 555 |
Таблица 6
Коэффициенты теплопроводности снега 
для наиболее характерных пунктов области
вечномерзлых грунтов в ккал/м·ч·град
Пункт | |
Сковородино | 0,17 |
Игарка | 0,22 |
Воркута | 0,25 |
Якутск | 0,13 |
Анадырь | 0,28 |
Тикси | 0,28 |
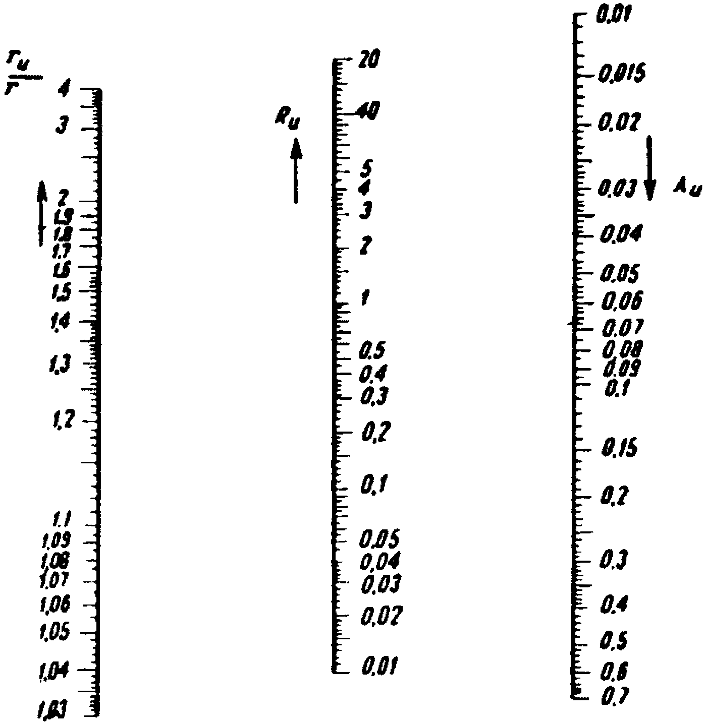
Рис. 2. Номограмма для определения
вспомогательной величины R0
Rи - термическое сопротивление кольцевой теплоизоляции трубопровода в
м·
ч·
град/
ккал; определяется по номограмме
(рис. 3);
v - скорость движения воздуха в м/сек;
Cт - коэффициент теплоемкости талого грунта в
ккал/
м3·
град; определяется по
табл. 5;
Cм - коэффициент теплоемкости мерзлого грунта в
ккал/
м3·
град; определяется по
табл. 5;
t - температура жидкости в °C;
tн - температура жидкости в начале расчетного участка трубопровода в °C;
tк - температура жидкости в конце расчетного участка трубопровода в °C;
tв - температура воздуха в °C;
tг - расчетная температура грунта на глубине заложения трубопровода в °C;
t0 - среднегодовая температура грунта в °C;
q - теплота замерзания воды или таяния льда в 1 м3 грунта в ккал/м3, равная:

; (4.2)
Рис. 3. Номограмма для определения термического
сопротивления кольцевой теплоизоляции трубопровода Rи
здесь

- удельная теплота плавления льда или замерзания воды, равная 80
ккал/
кг;

- объемный вес скелета мерзлого грунта в
кг/
м3;

- объемный вес мерзлого грунта в
кг/
м3;
Wс - суммарная весовая влажность грунта в долях единицы;
Wн - весовое содержание незамерзшей воды в долях единицы, определяемое по формуле
kн - коэффициент, принимаемый по
табл. 7 в зависимости от вида грунта, числа пластичности
Wп и температуры мерзлого грунта;
Wр - влажность на границе раскатывания в долях единицы.
Таблица 7
Грунт | Число пластичности | Значения kн при температуре грунтов в °C |
-0,3 | -0,5 | -1 | -2 |
Пески | | Wп <= 1 | 0 | 0 | 0 | 0 |
Супеси | | 1 < Wп <= 2 | 0 | 0 | 0 | 0 |
2 < Wп <= 7 | 0,6 | 0,5 | 0,4 | 0,35 |
Суглинки | | 7 < Wп <= 13 | 0,7 | 0,65 | 0,6 | 0,50 |
13 < Wп <= 17 | 1 | 0,75 | 0,65 | 0,55 |
Глины | | Wп > 17 | 1 | 0,95 | 0,9 | 0,65 |
c - удельная теплоемкость теплоносителя в ккал/кг·град;
G - весовой расход теплоносителя в кг/ч;

- коэффициент, зависящий от степени заполнения трубопровода;

- время в
ч.
5. ТЕМПЕРАТУРНЫЙ РЕЖИМ ГРУНТОВ
5.1. Температурный режим грунтов характеризуется их среднегодовой температурой
t0, минимальной среднемесячной температурой грунта на глубине заложения трубопровода
tг и глубиной сезонного промерзания-оттаивания грунтов
Hм и
Hт. Эти температуры и глубины сезонного промерзания-оттаивания грунтов принимаются по данным наблюдений (см.
пп. 1.8,
1.10,
1.11 и
1.13).
5.2. При отсутствии опытных данных значения t0, tг, Hм и Hт определяются расчетом. В расчетах следует учитывать возможные изменения теплофизических свойств грунтов, их влажности и условий теплообмена на поверхности, которые произойдут в результате освоения территории.
5.3. В теплотехнических расчетах суммарная влажность для площадок, где сохраняется естественный покров и природный режим грунтовых вод, принимается равной естественной; для площадок, где предусматривается вертикальная планировка, мероприятия по регулированию поверхностного стока или по понижению уровня надмерзлотных вод и другие меры по инженерной подготовке территории, приводящие к уменьшению влажности грунтов, величина
Wс принимается равной:
для суглинков ..

" супесей ....

" песков .....

где Wр - влажность на границе раскатывания в долях единицы;
Wт - влажность на границе текучести в долях единицы;
Wм - максимальная молекулярная влагоемкость грунта в долях единицы.
Рис. 4. Номограмма для определения значения
A
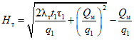
5.4. Минимальная температура грунта tг вычисляется по формуле

, (5.1)
где
A - определяется по графику
(рис. 4) в зависимости от

;

- отрицательная сумма градусо-часов за зимний период (минимальная за срок наблюдений 10 лет);

- продолжительность периода с отрицательными среднемесячными температурами воздуха (зимний период) в
ч;
Значение
B находится по номограмме
(рис. 5) по параметрам

и

:

(5.2)
Величины коэффициентов теплопроводности

и объемной теплоемкости
Cм мерзлого грунта принимаются для значений влажности и объемного веса грунта в естественных условиях.
Для территории застройки значение
S принимается равным нулю, т.е. значение
B находится по номограмме (рис. 5) при

.
Рис. 5. Номограмма для определения значения
B
При определении значения
tг для участков вне населенных пунктов толщина снежного покрова при вычислении значения
S по
формуле (4.1) принимается равной минимальной среднезимней за срок наблюдений 10 лет.
5.5. В процессе освоения территории условия теплообмена на поверхности грунта претерпевают резкие изменения за счет осушения местности, изменения мощности и плотности снежного покрова, удаления растительного покрова и т.д. Все это приводит либо к увеличению, либо к уменьшению среднегодовой температуры грунта, а следовательно, и к изменению минимальной температуры грунта на глубине заложения трубопровода tг. Особенно существенное влияние на изменение tг оказывает удаление снежного покрова. Если в результате новых условий ожидается изменение t0, то его величина определяется по формулам:
при отсутствии снежного покрова в зимний период

; (5.3)
при наличии снежного покрова

, (5.4)
где

- отрицательная сумма градусо-часов воздуха за зимний период (средняя за срок наблюдений 10 лет);

- сумма градусо-часов воздуха за летний период (средняя за срок наблюдений 10 лет).
Значение
B определяется по номограмме
(рис. 5) по значению

.
Для участков, расположенных в пределах населенных пунктов, значение
t0 определяется по
формуле (5.3). Величины коэффициентов теплопроводности

и

в
формулах (5.3) и
(5.4) и теплоты замерзания
q, вычисляемой по
формуле (4.2), определяются для значений влажности грунта на застроенной территории. Значение влажности грунта на этой территории можно принимать по указаниям
п. 5.3.
Пример. Определить минимальную температуру грунта
tг на глубине
h = 1
м на площадке, где предусматривается вертикальная планировка и отвод поверхностных вод. Среднезимняя высота уплотненного снежного покрова
Hс = 0,28
м. Продолжительность зимнего периода составляет

; продолжительность летнего периода

. Среднезимняя температура воздуха
tз = -13 °C; среднелетняя температура воздуха
tл = 8 °C.
Грунт - суглинок объемным весом

, суммарной влажностью
Wс = 0,26, пределом раскатывания
Wр = 0,15 и числом пластичности
Wп = 8. Среднегодовая температура грунта до освоения площадки
t0 = -1 °C.
Определим количество незамерзшей воды
Wн по
формуле (4.3). Коэффициент
kн находится по
табл. 7; при
Wп = 8 и
t0 = -1 °C находим
kн = 0,65.
Wн = 0,65·0,15 ~= 0,1.
Согласно
пункту 5.3 для данной площадки в расчетах следует принимать
Wс =
Wр.

.
Коэффициенты теплопроводности грунта в мерзлом и талом состоянии и его объемная теплоемкость в мерзлом состоянии определяются по
табл. 5; при
Wс =
Wр = 0,15 и

;

и
Cм = 400
ккал/
м3·
град.
Коэффициент теплопроводности снега равен:

.

.

.
По номограмме на
рис. 5 при

и

находится
B = 0,67.
По
формуле (5.4) находится среднегодовая температура грунта на глубине 10
м после освоения площадки:

.

.
По значению

по графику
(рис. 4) находим величину коэффициента
A в
формуле (5.1), который равен:
A = 1,9·10
-4.
Тогда минимальная температура грунта на глубине 1
м по
формуле (5.1) равна:
tг = -3,2 - 5800·13·1,9·10-4·0,47 = -9,9 °C.
5.6. Глубина сезонного промерзания грунта вычисляется по формуле

, (5.5)
где tз - средняя температура воздуха в °C за период с отрицательными среднемесячными температурами воздуха - среднезимняя температура воздуха (принимается со знаком плюс);
| | ИС МЕГАНОРМ: примечание. Текст абзаца дан в соответствии с официальным текстом документа. | |
- продолжительность периода с отрицательными среднемесячными температурами воздуха (зимний период) в ч.
За расчетную среднезимнюю температуру воздуха принимается минимальная среднезимняя температура за срок наблюдений 10 лет.
Определение теплоты замерзания грунта
q производится по
формуле (4.2) при значении
Wн = 0.
При вычислении глубины промерзания грунта для участка на территории застройки снежный покров не учитывается, т.е. в
формуле (4.1), по которой вычисляется значение
S, принимается
Hс = 0. Величины коэффициентов теплопроводности

и теплоемкости
Cм грунта и теплота замерзания грунта
q определяются для значений влажности грунта на застроенной территории. Значения влажности грунта на этой территории можно принимать по указаниям
п. 5.3.
При вычислении глубины промерзания грунта для участков, расположенных вне населенных пунктов, толщина снежного покрова принимается равной минимальной среднезимней за срок наблюдений 10 лет. Величины коэффициентов теплопроводности

и объемной теплоемкости
Cм грунта и теплота замерзания грунта
q определяются для влажности грунта в естественных условиях, если не предусматриваются мероприятия по осушению грунта по трассе трубопровода; в случае осушения грунтов вдоль трассы значения указанных величин принимаются как для участков в пределах населенных пунктов.
Пример. Определить глубину сезонного промерзания грунта на участке, расположенном за пределами населенного пункта.
Грунт - суглинок объемным весом

, суммарная влажность грунта
Wн = 0,19.
Продолжительность зимнего периода

; среднезимняя температура воздуха
tз = -14 °C. Среднезимняя высота снежного покрова
Hс = 0,23
м.
В соответствии с указаниями
п. 5.3 значения коэффициентов теплопроводности и теплоемкости принимаем для объемного веса и суммарной влажности грунта в естественных условиях. При

и
Wс = 0,19 по
табл. 5 имеем:

и
Cм = 430
ккал/
м3·
град.
Коэффициент теплопроводности снега

. Значение
q по
формуле (4.2) также определяем для естественной влажности грунта при
Wн = 0:

.

.
Глубина сезонного промерзания грунта определяется по
формуле (5.5):

.
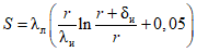
5.7. Глубина сезонного оттаивания грунта Hт вычисляется по формуле

, (5.6)
где

(5.7)
здесь tл - средняя температура воздуха за период положительных температур в °C;

- продолжительность периода с положительными температурами воздуха в
ч;

; (5.9)
здесь tз - средняя температура воздуха за зимний период в °C;

- продолжительность зимнего периода в месяцах.
Значения
tл и

принимаются по
табл. 1 главы СНиП II-А.6-62 "Строительная климатология и геофизика", причем для климатических подрайонов I Б и I Г значения
tл и

принимаются с коэффициентом 0,9.
Коэффициент

определяется по номограмме (
рис. 6,
в) в зависимости от

, где

- термическое сопротивление снежного покрова;
Hс - толщина снега;

- коэффициент теплопроводности снега (см.
табл. 6).
Если глубина сезонного оттаивания определяется для участков, с поверхности которых снег сдувается или счищается, значение коэффициента

принимается равным 1.
Значение коэффициента
kм в
формуле (5.9) определяется по номограмме (
рис. 6,
б) в зависимости от продолжительности зимнего периода

(мес.) и величины коэффициента
k0.
Значение коэффициента
k0 предварительно находится по графику (
рис. 6,
а) по величине средней годовой температуры грунта
t0.
Теплота таяния льда в грунте
q вычисляется по
формуле (4.2) при значении
Wн, определенной для
t =
t0.
Рис. 6. Номограмма для определения
вспомогательных величин
k0,
kм и

Величины коэффициентов теплопроводности и объемные теплоемкости грунта принимаются по
табл. 5 для значений влажности, указанных в
п. 5.3.
Пример. Требуется определить глубину сезонного оттаивания грунта вне территории застройки при следующих исходных данных.
Грунт - суглинок объемным весом

, суммарной влажностью
Wс = 0,25, пределом раскатывания
Wр = 0,15 и числом пластичности
Wп = 15. Среднегодовая температура грунта
t0 = -8 °C. Коэффициенты теплопроводности грунта в талом и мерзлом состоянии (по
табл. 5)

;

; его теплоемкость
Cт = 640
ккал/
м3·
град;
Cм = 460
ккал/
м3·
град. Толщина снежного покрова
Hс = 0,2
м; его коэффициент теплопроводности

. Значения

;
tл = 4,5 °C. Продолжительность зимнего периода

; средняя температура воздуха за зимний период
tз = -20 °C.
Wн = 0,47·0,15 = 0,07.
t1 = 1,4·4,5 + 2,4 = 8,7 °C;

;

.
Значение

определяем по величине

.
По графику (
рис. 6,
в) для этого значения

находим:

.
По графику (
рис. 6,
а) при
t0 = -8 °C значение
k0 = 0,26. Тогда при значениях
k0 = 0,26 и

по графику (
рис. 6,
б) определяем значение коэффициента
kм = 5,7.

.

.
ПОДЗЕМНЫЕ ВОДОВОДЫ И РАЗВОДЯЩИЕ СЕТИ
6.1. Тепловой расчет производится по расходам, установленным при гидравлических расчетах. Тепловой расчет в свою очередь может внести коррективы в расчетные расходы за счет необходимых по теплотехническим расчетам циркуляционных расходов и дополнительных сбросов воды.
6.2. Тепловой расчет участков производится по минимальным среднесуточным расходам.
6.3. Температура воды в конце tк и в начале tн расчетного участка трубопровода, если не учитывается нагрев за счет трения воды о стенки трубопровода, определяется по формулам:

; (6.1)

, (6.2)
где

; (6.3)
G - весовой расход воды в кг/ч;
c - удельная теплоемкость воды, равная 1 ккал/кг·град;

- коэффициент, зависящий от степени заполнения трубопровода (для напорных трубопроводов

; для самотечных трубопроводов, работающих неполным сечением, определяется по
табл. 9);
k - коэффициент теплопередачи в ккал/м·ч·град, определяемый по формулам:
для трубопроводов без теплоизоляции

, (6.4)
здесь
R0 - определяется по графику (см.
рис. 2) в зависимости от отношения

;
для трубопроводов с теплоизоляцией

(6.5)
где
Rи - определяется по графику (см.
рис. 3) в зависимости от отношения

и значения коэффициента теплопроводности изоляции

.
Величины коэффициентов теплопроводности грунта принимаются при влажности грунта в естественных условиях.
Пример. Требуется определить температуру воды в конце напорного стального водовода радиусом r = 0,05 м, длиной l = 3000 м и расходом воды G = 30000 кг/ч. Глубина заложения водовода h = 0,7 м. Температура поступающей в водовод воды равна: tн = 6 °C.
Грунт - суглинок объемным весом

, суммарной влажностью
Wс = 0,2. Минимальная температура грунта на глубине заложения водовода
tг = -15 °C.
Предварительно по
табл. 5 определяются коэффициенты теплопроводности грунта в мерзлом и талом состоянии. Они соответственно равны:

и

.
По
формуле (6.4) определяется величина коэффициента теплопередачи. Предварительно по графику
(рис. 2) для

находим значение
R0 = 0,53.
Тогда

.

.

.
6.4. При движении жидкости по трубам часть энергии движения расходуется на преодоление внутреннего трения в жидкости и ее трения о стенки труб. Эта часть энергии переходит в тепло, вызывающее нагрев жидкости. Тепло трения
qтр зависит от скорости движения жидкости, диаметра трубопровода и шероховатости его внутренней поверхности, характеризуемой коэффициентом шероховатости
n. Связь количества тепла трения со скоростью движения жидкости и диаметром трубы при различных коэффициентах шероховатости представлена в табл. 8.
Таблица 8
Тепло, выделяющееся за счет трения
Коэффициент шероховатости | Количество тепла трения в ккал/м·ч |
0,010 | 4,0d0,40v3 |
0,011 | 4,9d0,69v3 |
0,012 | 6,0d0,67v3 |
0,013 | 7,2d0,65v3 |
0,014 | 8,5d0,64v3 |
Примечание. В табл. 8 диаметр труб d выражен в м, скорость движения жидкости v - в м/ сек. |
Из таблицы видно, что количество тепла трения очень сильно зависит от скорости движения жидкости (а именно, прямо пропорционально v3), существенно возрастает с увеличением коэффициента шероховатости труб и в меньшей степени зависит от диаметра труб.
Величина тепла трения во многих случаях весьма большая и в значительной мере восполняет теплопотери жидкости в окружающую среду и даже иногда приводит к повышению температуры жидкости по сравнению с первоначальной.
При технико-экономическом обосновании выбора целесообразного диаметра труб следует рассматривать возможность уменьшения их диаметра, что повысит скорость движения жидкости и соответственно количество выделяющегося тепла трения. В результате можно получить значительную экономию за счет уменьшения глубин заложения труб, за счет уменьшения толщины теплоизоляции (для надземных трубопроводов), или за счет уменьшения стоимости труб и арматуры. В ряде случаев повышение скорости движения жидкости целесообразно осуществлять за счет повышения расходов воды в циркуляционных системах.
Расчет количества тепла трения в ккал/ч производится по формуле
Qтр = qтрl, (6.6)
где
qтр - определяется по номограмме на
рис. 7;
l - длина расчетного участка в м.
При определении значения qтр коэффициент n принимается следующим:
Для новых стальных цельнотянутых труб, не бывших в эксплуатации ............. | n = 0,010 |
Для стальных труб при слабо корродирующей воде и сроке службы 5 - 10 лет ............. | n = 0,011 |
Для стальных цельнотянутых труб, а также новых чугунных труб в начальные сроки эксплуатации ............. | n = 0,012 |
Для чугунных труб в средних условиях эксплуатации ... | n = 0,012 |
Для стальных и чугунных труб в условиях длительной эксплуатации, но при отсутствии сильно корродирующего действия воды и без механического уменьшения сечения из-за осадков ............. | n = 0,013 |
Для стальных труб при длительной эксплуатации в условиях корродирующей воды, но без ощутимого уменьшения сечения ............. | n = 0,014 и более |
6.5. Температура на концах расчетного участка трубопровода tк и tн с учетом теплоты трения qтр определяется по формулам:

; (6.7)

, (6.8)
где
qтр - определяется по номограмме
(рис. 7).
Пример. Определить конечную температуру воды в водоводе длиной
l = 5000
м, уложенного в грунте на глубине
h = 1
м. Трубы водовода стальные
r = 0,2
м длительно эксплуатировавшиеся. Скорость движения воды
v = 1,4
м/
сек, что соответствует расходу
G = 633 000
кг/
ч. Теплоемкость воды
c = 1
ккал/
кг·
град. Температура воды, поступающей в трубопровод после насосной станции, равна:
tн = 4,1 °C. Температура грунта на глубине заложения трубы равна:
tг = -10 °C. Теплопроводность грунта в талом и мерзлом состоянии соответственно равна:

и

. При соотношении

по графику
(рис. 2) находим:
R0 = 0,37. Значение
k по
формуле (6.4) равно:

.
Количество тепла трения, выделяющееся в трубе в
ккал/
м·
ч, определяется по номограмме на
рис. 7. При этом коэффициент шероховатости
n для стальных цельнотянутых труб, длительно эксплуатировавшихся, согласно
п. 6.4 принимается равным 0,013. Тогда количество тепла трения
qтр составит 10,1
ккал/
м·
ч.

.

.
Рис. 7. Номограмма для определения величины
теплоты трения qтр
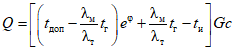
6.6. Если при заданных минимальных расходах температура воды в конце разводящей линии окажется меньше допустимой, необходимо осуществлять подогрев воды или повысить расходы путем устройства циркуляционных линий. Выбор одного из этих мероприятий производится на основе технико-экономических соображений. Подогрев воды осуществляется либо в начале трубопровода, а также в промежуточных пунктах, если предельная допустимая начальная температура воды в 20 °C не обеспечит минимальной допустимой температуры воды в конце трубопровода, либо равномерно по всей длине трубопровода.
Количество тепла в ккал/ч, необходимое для подогрева воды в начале трубопровода и в промежуточных пунктах, определяется по формуле

, (6.9)
где tи - температура воды, поступающей от источника водоснабжения, в °C;
tдоп - допустимая температура воды в конце водовода в °C.
Пример. Определить количество тепла, необходимого для подогрева воды в стальном напорном водоводе радиусом
r = 0,04
м, длиной
l = 4300
м. Глубина заложения трубы
h = 1,5
м. Расход воды в водоводе
G = 10 000
кг/
ч. Температура воды, поступающей в водовод от источника,
tи = 2 °C. Допустимая температура воды в конце водовода
tдоп = 3 °C. Грунт - суглинок объемным весом

, суммарной влажностью
Wс = 0,2. Минимальная температура грунта на глубине заложения водовода
tг = -8 °C.
По
табл. 5 определяются коэффициенты теплопроводности грунта в мерзлом и талом состояниях, которые соответственно равны:

и

.
По графику
(рис. 2) для соотношения

находим, что
R0 = 0,76.
Тогда

.

.

.
6.7. При равномерном подогреве трубопровода электрическим кабелем, уложенным вдоль трубопровода, количество тепла в ккал/ч определяется по формуле

(6.10)
Электрическая мощность кабеля в квт/м, необходимая для подогрева 1 пог. м водовода, вычисляется по формуле

. (6.11)
Пример. Определить количество тепла и электрическую мощность кабеля, необходимые для подогрева воды в стальном напорном водоводе с помощью электрокабеля, уложенного вдоль водовода. Радиус трубы r = 0,075 м, длина водовода l = 2000 м, глубина заложения h = 1,5 м. Расход воды в водоводе G = 35 000 кг/ч. Температура воды, поступающей от источника водоснабжения, tи = 4 °C; допускаемая температура воды в конце водовода tдоп = 3 °C.
Минимальная температура грунта tг = -10 °C.
Грунт - супесь объемным весом

, суммарной влажностью
Wс = 0,15.
Предварительно по
табл. 5 определяются коэффициенты теплопроводности грунта в мерзлом и талом состоянии, которые соответственно равны:

и

.
Значение

.
Мощность электрического кабеля, необходимая для подогрева 1
пог.
м водовода, вычисляется по
формуле (6.11):

.
6.8. При теплотехнических расчетах трубопроводов следует учитывать нагрев транспортируемой жидкости в насосных станциях. Источником возникновения тепла при этом являются потери трения в насосе. Количество тепла Qтр в ккал/ч, образующегося при прохождении воды через насос, рассчитывается по формуле

, (6.12)
а повышение температуры воды в °C в пределах насосной станции

составит:

, (6.13)
где H - гидравлический напор в м;

- коэффициент полезного действия насоса в долях единицы.
Пример. Определить общее количество тепла, поступающего на нагрев воды, и величину повышения температуры за счет потерь трения в насосе производительностью
G = 360 000
кг/
ч и напором
H = 120
м. Коэффициент полезного действия насоса

.
Рис. 8. Номограмма для определении коэффициента

Количество тепла, образующегося при прохождении воды через насос, определяется по
формуле (6.12):

.
Величина повышения температуры воды при ее прохождении через насос рассчитывается по
формуле (6.13):

.
6.9. Предельная глубина оттаивания грунтов под водоводами и разводящими сетями hп определяется по формуле

. (6.14)
Предварительно вычисляется значение

, равное:

. (6.15)
По значению

и отношению глубины заложения трубопровода к его радиусу

по номограмме
(рис. 8) находится значение коэффициента

.
6.10. Глубина оттаивания грунта под трубой за время

определяется по формуле для значений

:

. (6.16)
Коэффициент

находится по номограммам
(рис. 9) по значению

, отношению

и параметру
J, вычисляемому по формуле

. (6.17)
Глубина оттаивания для промежуточных значений

и
m определяется по интерполяции.
Пример. Определить глубину оттаивания грунтов под напорным водоводом за время эксплуатации

. Радиус трубы
r = 0,15
м, глубина заложения
h = 1,5
м. Температура воды
t = 9 °C. Грунт - суглинок объемным весом

, суммарной влажностью
Wс = 0,26; число пластичности
Wп = 8; влажность на пределе раскатывания
Wр = 0,15. Температура грунта на глубине 10
м t0 = -0,7 °C.
Wн = 0,65·0,15 = 0,1.

.
Коэффициенты теплопроводности грунта в мерзлом и талом состоянии определяются по
табл. 5:

.

;

.
Рис. 9. Номограмма для определения коэффициента

| | ИС МЕГАНОРМ: примечание. Текст абзаца дан в соответствии с официальным текстом документа. | |
Далее по номограмме
(рис. 9) находится величина

: при

,
J = 0,56·10
3 и

.
Окончательно по
формуле (6.16) глубина оттаивания грунта под трубопроводом равна:

.
Рис. 10. Номограмма для определения коэффициента

6.11. Предельное оттаивание грунта
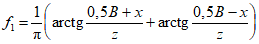
lп в горизонтальном направлении (от оси трубопровода) при

вычисляется по формуле

, (6.18)
Рис. 11. Номограмма для определения коэффициента
D
6.12. Оттаивание грунта в горизонтальном направлении

при

за время

вычисляется по формуле

, (6.19)
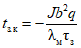
6.13. В случае аварийной остановки водовода или разводящего трубопровода допустимое время остановки без слива воды определяется по формуле

, (6.20)
где
D - коэффициент, определяемый по номограмме
(рис. 11) при значениях

и

;
tс - среднемесячная температура грунта на глубине заложения трубы в °C.
При вычислении q количество незамерзшей воды Wн принимается равным нулю.
Значение отношения

вычисляется по формуле

. (6.21)
При разработке проекта следует составить график допустимого времени остановки водовода или разводящей сети для каждого месяца.
ПОДЗЕМНЫЕ ТУПИКОВЫЕ ОТВЕТВЛЕНИЯ И ВВОДЫ
В ЗДАНИЯ И СООРУЖЕНИЯ
6.14. На участках с малыми расходами и скоростями (вводы в здания и сооружения, концевые участки сети, перемычки между магистралями и т.д.) наиболее вероятно замерзание воды в трубах. Поэтому на теплотехнический расчет этих участков следует обращать особое внимание.
6.15. Тепловой расчет ответвлений и вводов с непрерывным течением воды производится так же, как водоводов и разводящих сетей.
6.16. Тепловой расчет периодически действующих тупиковых ответвлений и вводов производится по минимальной температуре воды в разводящей линии в точке ответвления и по допустимому времени остановки.
6.17. Допустимое время остановки

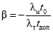
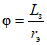
зависит от времени промерзания талика вокруг трубы и определяется по
формуле (6.20). Значение коэффициента
D находится по номограмме
(рис. 11) для значения отношения

, определяемого с помощью номограммы (рис. 12). Значение

по номограмме (рис. 12) определяется по соотношению

и параметрам
A2 и
B2.
Рис. 12. Номограмма для определения величины отношения

Значения этих параметров:

(6.22)
где

- время непрерывной работы трубопровода в
ч.
Допустимое время остановки при

может быть определено без предварительного вычисления радиуса талика по формуле

. (6.23)
6.18. Если время допустимой остановки

меньше времени остановки по графику водопотребления

, то время, в течение которого необходимо дополнительно сбрасывать воду в канализационную сеть или осуществлять циркуляцию в шунтовом присоединении, определяется выражением

. (6.24)
Пример. Требуется определить время допустимой остановки периодически работающего тупикового ответвления водопроводной сети.
Глубина заложения трубы h = 0,8 м; радиус трубы r = 0,05 м. Температура воды в трубе t = 2 °C.
Минимальная температура грунта на глубине заложения трубы
tг = -10 °C. Теплофизические характеристики грунта:

;

;
Cт = 600
ккал/
м3·
град;
Cм = 510
ккал/
м3·
град;
q = 11 200
ккал/
м3. Значение

. Время непрерывной работы трубопроводов

.

;

.
Соотношение

.
Для

и значений
A2 = 11 и
B2 = 1,66 по номограммам
(рис. 13) находим:

. Для отношения

и значения

по номограмме
(рис. 11) находим
D = 1.

.
Поскольку допустимое время остановки меньше времени остановки работы водопровода, равного 24 - 10 = 14
ч, то время, в течение которого необходима дополнительная циркуляция воды в водопроводе, найдем по
формуле (6.24):

.
7.1. Канализационные коллекторы и канализационные выпуски из зданий рассчитываются так же, как водоводы, разводящие сети и вводы системы водоснабжения. Коэффициент

, зависящий от степени заполнения канализационной трубы
e в %, принимается по табл. 9.
Таблица 9
Значение коэффициента 
Температура t °C | Степень заполнения канализационной трубы в % при трубах из |
стали, чугуна | бетона, железобетона |
10 | 30 | 100 | 10 | 30 | 100 |
0 | 0,8 | 0,95 | 1,0 | 0,7 | 0,8 | 1,0 |
-2 | 0,75 | 0,85 | 1,0 | 0,65 | 0,75 | 1,0 |
-4 | 0,7 | 0,8 | 1,0 | 0,6 | 0,7 | 1,0 |
-6 | 0,66 | 0,77 | 1,0 | 0,55 | 0,66 | 1,0 |
8. ТРУБОПРОВОДЫ В КАНАЛАХ
В ОСНОВАНИИ КАНАЛА ДОПУСКАЕТСЯ
СЕЗОННОЕ ОТТАИВАНИЕ-ПРОМЕРЗАНИЕ ГРУНТА
8.1. Расчетом определяется:
а) глубина оттаивания грунта в основании канала в летнее время;
б) температура воздуха в канале в зимнее время, необходимая для промораживания слоя грунта, оттаявшего под каналом за летний период;
в) расходы воздуха для вентилирования канала в летнее и зимнее время;
г) толщина теплоизоляции труб;
д) изменение температуры теплоносителя по длине трубопровода, уложенного в канале.
8.2. Устойчивость вентилируемого канала и уложенных в нем трубопроводов при наличии льдонасыщенных грунтов обеспечивается при соотношении
Hт = Hм, (8.1)
где Hт - глубина оттаивания грунта в летнее время в основании канала, равная толщине слоя замененного грунта или предварительно оттаянного и уплотненного в м;
Hм - глубина промерзания грунта в основании канала в зимнее время в м.
8.3. Расчет глубины оттаивания и промерзания производится по средним температурам воздуха за летний и зимний периоды.
8.4. Глубина оттаивания грунта в основании вентилируемого канала определяется по формуле

, (8.2)
где

- коэффициент, определяемый по графику
(рис. 13) в зависимости от параметра
J:

; (8.3)

; (8.4)

- толщина стенки канала в
м;

- коэффициент теплопроводности стенки канала в
ккал/
м·
ч·
град;
b - ширина канала в м;
tл - среднелетняя температура наружного воздуха в °C;

- продолжительность периода с положительной среднесуточной температурой в
ч.
8.5. Расход воздуха на вентилирование в расчете на 1 пог. м канала в летний период Gл в кг/ч определяется по формуле

(8.5)
где cв - теплоемкость воздуха в ккал/кг·град;
tпр - температура теплоносителя в прямой трубе теплопровода в °C;
tоб - температура теплоносителя в обратной трубе теплопровода в °C;
U - внутренний периметр канала.
Рис. 13. График для определения коэффициента

Коэффициент теплопередачи k вычисляется по формулам:
для прямой трубы

(8.6)
для обратной трубы

(8.7)
где rпр и rоб - наружные радиусы прямой и обратной труб теплопровода в м;

- толщина теплоизоляции в
м;

- коэффициент теплопроводности теплоизоляции в
ккал/
м·
ч·
град;

- коэффициент теплоотдачи от поверхности теплоизоляции труб теплопровода к воздуху в канале в
ккал/
м2·
ч·
град.
Если в канале кроме теплопровода укладываются другие трубопроводы (водопровод, канализация и пр.), то расход воздуха на вентилирование определяется только исходя из теплопотерь теплопровода.
8.6. Средняя температура воздуха в канале за период с отрицательными температурами воздуха находится по формуле

, (8.8)

- продолжительность периода с отрицательными среднемесячными температурами воздуха (зимний период) в
ч.
8.7. Расход воздуха на вентилирование в расчете на 1 пог. м в канале в зимний период определяется по формуле

, (8.9)
где

- среднезимняя температура наружного воздуха в °C;

; (8.10)
h0 - расстояние от поверхности земли до верха канала в м;
Hс - высота снежного покрова в м;

- коэффициент теплопроводности снега в
ккал/
м·
ч·
град.
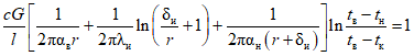
8.8. Толщина теплоизоляции труб в канале

определяется предварительно по величине допустимых среднегодовых теплопотерь по формуле

(8.11)
где tт - температура теплоносителя в трубе в °C;
qср - допустимая среднегодовая величина теплопотерь в ккал/м·ч.
8.9. Перепад температуры теплоносителя

в самый холодный месяц рассчитывается по формуле

. (8.12)
8.10. Если перепад температуры теплоносителя в трубах в самый холодный месяц окажется больше допустимого, то окончательная толщина теплоизоляции определяется по формуле

, (8.13)
где
8.11. Тепловой расчет вводов в здания, выполненных в канальной прокладке, производится так же, как и для магистральных каналов.
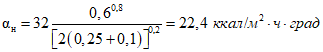
Пример. Определить расход воздуха, необходимый для вентилирования канала при сохранении грунтов основания в мерзлом состоянии.
В железобетонном канале с внутренним сечением 1 x 1
м проложены прямая и обратная трубы теплопровода радиусами
rпр =
rоб = 0,15
м. Трубы изолированы шлаковатой слоем

и

. Толщина стенки канала 0,1
м. Глубина заложения до верха канала 0,5
м. Температура теплоносителя
tпр = 90 °C и
tоб = 70 °C. Расход теплоносителя
G = 100 000
кг/
ч, его теплоемкость
c = 1
ккал/
кг·
град, теплоемкость воздуха
cв = 0,24
ккал/
кг·
град.
Климатические условия: среднелетняя температура воздуха tл = 9,5 °C; среднезимняя температура воздуха tз = -25 °C; среднезимняя высота снежного покрова Hс = 0,3 м.
Продолжительность летнего периода

, продолжительность зимнего периода

.
Теплофизические свойства грунтов и материалов:

;

;

.

;

.

.
По графику
(рис. 13) по значению
J = 1,2 находим величину

.

.
Далее определяются величины kпр и kобр:
Расход воздуха в
кг/
ч для вентиляции 1
пог.
м канала в летний период по
формуле (8.5) равен:
Для промерзания грунтов под каналом зимой достаточно поддерживать в канале температуру
[формула (8.8)]

.
Определим расход воздуха для вентилирования 1
пог.
м канала в зимний период по
формуле (8.9):
ЗОНА ОТТАИВАНИЯ ГРУНТА ВОКРУГ КАНАЛА
8.12. Размеры зоны оттаивания грунтов вокруг каналов определяются при положительной средней годовой температуре воздуха в канале. Температура воздуха в канале принимается по
табл. 8.
8.13. Расчетом определяется глубина оттаивания грунта под каналом по
формулам (6.16) и
(6.17) и оттаивание грунта в горизонтальном направлении от оси канала по
формуле (6.19).

, (8.14)
где U - внутренний периметр канала;
значение m вычисляется по формуле

. (8.15)
ОГРАНИЧЕНИЕ РАЗМЕРОВ ЗОНЫ ОТТАИВАНИЯ ГРУНТА ВОКРУГ КАНАЛА
8.14. Расчетом определяются:
а) среднегодовая температура воздуха в канале, при которой размеры зоны оттаивания вокруг него не превышают заданных;
б) расход воздуха для вентиляции канала и расстояния между вентиляционными отверстиями;
в) толщина теплоизоляции труб в канале;
г) перепад температуры теплоносителя в наиболее холодный месяц года.
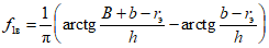
8.15. При заданной глубине оттаивания грунта под серединой канала
Hз среднегодовая допустимая температура воздуха в канале

в зависимости от значения

(8.16)
определяется по следующим формулам:
при


; (8.17)
при


. (8.18)
Предварительно задается приближенное значение среднегодовой допустимой температуры воздуха в канале
tдоп и вычисляется значение

по
формуле (8.14). Далее определяют значение
m по
формуле (8.15) и значение

, равное:

. (8.19)
При

по значениям

,

и
m по номограмме
(рис. 9) находится значение
J. По
формуле (8.17) вычисляется значение
tдоп. В случае расхождения предварительно заданного значения
tдоп и вычисленного по
формуле (8.17) более чем на 5° расчет повторяется.
При

по значениям

и
m по номограмме
(рис. 8) находится значение

. При расхождении предварительно заданного значения
tдоп и вычисленного по
формуле (8.18) более чем на 2° расчет повторяется.
8.16. При заданной величине оттаивания грунта от оси канала в горизонтальном направлении
Lз определение допустимой среднегодовой температуры воздуха в канале
tдоп производится способом, аналогичным изложенному в
п. 8.15.
По заданному оттаиванию грунта в сторону от канала
Lз находится значение

по формуле

. (8.20)
Далее задается приближенное значение
tдоп и по
формуле (8.16) вычисляется значение

.
При расхождении значений tдоп (предварительно заданного и полученного расчетом) более чем на 5° расчет повторяется при полученном расчетом значении tдоп.
При

вычисляется

(8.21)
и по значению

и
m по номограмме
(рис. 11) находится значение

, по которому по
формуле (8.18) вычисляется значение
tдоп.
При расхождении значений tдоп (предварительно заданного и полученного расчетом) более чем на 2° расчет повторяется.
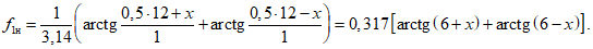
Пример. Требуется определить допустимую среднегодовую температуру воздуха в канале
tдоп при заданном оттаивании грунта через

в сторону от канала
Lз = 8
м. Внутреннее сечение канала 0,6 x 1,2
м; глубина его заложения (до середины канала)
h = 1,3
м. Коэффициенты теплопроводности грунта:

;

; теплота таяния грунта
q = 15 000
ккал/
м3. Среднегодовая температура вечномерзлого грунта
t0 = -0,8 °C.

;

;

.
Задаемся значением tдоп = 20 °C.

.
По значениям
m = 2,3;

и

по номограмме
(рис. 10) находим:
J = 0,18·1000.

.
Расхождения между заданным и полученным значениями tдоп менее 5°. Поэтому окончательно можно принять tдоп = 16 °C.
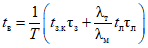
8.17. Допустимая среднегодовая температура воздуха в канале tдоп поддерживается его вентилированием в течение всего года.
Расход воздуха G в кг/ч, проходящего через канал, и расстояние между вентиляционными шахтами lв в м определяется по формуле

(8.22)
где tср - среднегодовая температура наружного воздуха в °C;
tпр - температура теплоносителя в прямой трубе теплопровода в °C;
tоб - температура теплоносителя в обратной трубе теплопровода в °C.
Если в канале кроме теплопровода укладывается водопровод, канализация и другие трубопроводы, то расход воздуха на вентилирование канала определяется только исходя из теплопотерь теплопровода.
Пример. Определить расход воздуха в канале, если среднегодовая допустимая температура воздуха в нем
tдоп = 20 °C. В канале проложены прямая и обратная трубы теплоснабжения радиусами
rпр =
rоб = 0,15
м. Теплоизоляция труб - шлаковата толщиной: прямая труба

, обратная труба

. Температура теплоносителя: в прямой трубе
tпр = 130 °C, в обратной трубе
tоб = 70 °C. Среднегодовая температура наружного воздуха
tср = -4 °C. Коэффициент теплоотдачи от поверхности изоляции к воздуху в канале

. Расстояние между вентиляционными шахтами
lв = 30
м.
Коэффициент теплопроводности шлаковаты

.
8.18. Толщина теплоизоляции труб в канале предварительно определяется по величине допустимых среднегодовых теплопотерь по формуле

(8.23)
где qдоп - допустимые среднегодовые теплопотери в ккал/м2·ч.
8.19. Средняя температура воздуха в канале на вентилируемом участке tк в наиболее холодный месяц определяется по формуле

, (8.24)
где

. (8.25)
В расчетах по
формуле (8.24) за величину
tср принимается среднемесячная температура наружного воздуха в наиболее холодный месяц.
8.20. Перепад температуры теплоносителя в трубах в наиболее холодный месяц

рассчитывается по
формуле (8.12).
8.21. Если перепад температуры теплоносителя в трубах в наиболее холодный месяц окажется больше допустимого, то окончательная толщина теплоизоляции определяется по
формуле (8.13).
9.1. В зависимости от условий эксплуатации водовода и его диаметра возможны два расчетных случая:
а) на внутренних стенках трубы не допускается образования ледяной корки;
б) на внутренних стенках трубы допускается образование ледяной корки.
9.2. Если образование ледяной корки на внутренних стенках трубы не допускается, то расчетом определяется либо начальная температура воды
tн, либо толщина теплоизоляции

при заданной начальной температуре воды.
Температура воды в начале водовода
tн и толщина теплоизоляции

связаны соотношением

, (9.1)
где tв - минимальная среднесуточная температура наружного воздуха в °C;

; (9.2)

; (9.3)

; (9.4)

- коэффициент теплоотдачи от воды к внутренним стенкам трубы в
ккал/
м2·
ч·
град, определяемый по формуле

; (9.5)
r - радиус трубы в м;
vв - скорость воды в м/сек;

- коэффициент теплоотдачи от поверхности трубопровода к наружному воздуху в
ккал/
м2·
ч·
град, определяемый в зависимости от наружного радиуса (с изоляцией) и скорости ветра

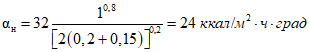
; (9.6)
v - скорость ветра в м/сек;

- толщина теплоизоляции в
м.
Значения
v0,8, (2
r)
0,2 и

определяются по графикам (
рис. 14 и
15).
Толщина теплоизоляции

при заданной температуре воды в начале водовода определяется подбором из
формулы (9.1).
Выбор наиболее целесообразного сочетания начальной температуры воды и толщины изоляции определяется теплотехническим и технико-экономическим расчетами.
Пример. Определить температуру воды в начале напорного водовода, если образование ледяной корки в трубе не допускается. Радиус стальной трубы водовода
r = 0,25
м. Длина водовода
l = 20 000
м. Расход воды
G = 1 000 000
кг/
ч. Теплоизоляция трубы - стеклянный войлок толщиной

; его коэффициент теплопроводности

. Минимальная среднесуточная температура воздуха
tв = -50 °C. Скорость ветра
v = 0,6
м/
сек. Скорость воды при заданном расходе
vв = 1,5
м/
сек.

.

.
Рис. 14. График для определения величины
v0,8
Рис. 15. График для определения величины
d0,2

.

.

.
Температура воды в начале водовода должна быть не менее рассчитанной по
формуле (9.1):

.
Пример. Определить толщину теплоизоляции стального напорного водовода. Материал теплоизоляции - шлаковата с коэффициентом теплопроводности

. Радиус водовода
r = 0,1
м. Длина водовода
l = 2000
м. Расход воды
G = 110 000
кг/
ч. Температура воды, поступающей в водовод,
tп = 5 °C. Минимальная среднесуточная температура наружного воздуха
tв = -40 °C. Скорость ветра
v = 1
м/
сек. Скорость воды при заданном расходе
vв = 1
м/
сек.

.

.
Толщина теплоизоляции

при заданной температуре воды в начале водовода
tн определяется подбором по
формуле (9.1). В данном случае толщина теплоизоляции равна 0,08
м.
9.3. В случае если заданы температура воды в конце водовода
tк и толщина теплоизоляции

, температура воды в начале водовода
tн должна быть не менее рассчитанной по формуле

, (9.7)
Пример. Определить требуемую температуру воды в начале водовода, чтобы в конце водовода температура воды равнялась
tк = 3 °C. Радиус водовода
r = 0,2. Длина водовода
l = 1000
м. Расход воды
G = 450 000
кг/
ч. Теплоизоляция - пенобетоном с коэффициентом теплопроводности

. Толщина теплоизоляции

. Минимальная среднесуточная температура воздуха
tв = -43 °C. Скорость ветра
v = 0,5
м/
сек. Коэффициент теплоотдачи от поверхности трубы (в теплоизоляции)

.
Скорость воды в водоводе при заданном расходе vв = 1 м/сек.

.

.

.

.

.
Температура воды в начале водовода определяется по
формуле (9.7):

.
9.4. Если заданы температуры воды в начале
tн и конце
tк водовода, то толщина требуемой теплоизоляции

определяется подбором из уравнения

. (9.8)
9.5. Если на внутренней поверхности трубы водовода допускается образование ледяной корки в периоды резкого похолодания, то толщина ледяной корки определяется по формуле

, (9.9)
где

;

- коэффициент теплопроводности льда в
ккал/
м·
ч·
град;

- продолжительность расчетного периода с температурой воздуха самого холодного месяца в
ч;
tм - температура воздуха в расчетный период

в °C.
Значения

и
tм подбираются по таблице климатического справочника ("Число дней со средней суточной температурой в различных пределах") таким образом, чтобы величина

по абсолютной величине была наибольшей.
9.6. Если во время резких похолоданий толщина ледяной корки больше допустимой

по технологическим условиям, то толщина теплоизоляции

, при которой толщина ледяной корки не превышает допустимой

, определяется по формуле

, (9.10)
где

. (9.11)
Пример. Определить толщину теплоизоляции, при которой толщина ледяной корки в период резкого похолодания не превысит допустимого значения

. Радиус трубы
r = 0,25
м. Коэффициент теплопроводности

. Продолжительность расчетного периода

. Температура воздуха в расчетный период
tм = -50 °C.

.

.
10. ВЛИЯНИЕ ТРУБОПРОВОДОВ НА ТЕПЛОВОЙ РЕЖИМ ГРУНТОВ
ОСНОВАНИЙ ЗДАНИЙ
10.1. В соответствии с требованиями главы СНиП II-Б.6-66 "Основания и фундаменты зданий и сооружений на вечномерзлых грунтах" необходимо учитывать влияние санитарно-технических сетей на тепловой режим оснований зданий и сооружений.
10.2. Максимальные температуры грунта под зданиями и сооружениями, возводимыми с сохранением основания в мерзлом состоянии в точке
x,
z (рис. 16), определяются выражением
t(
x,
z) =
tср(
x,
z) -
A(
x,
z), (10.1)
где t(x, z) - максимальная температура мерзлого грунта в °C;
tср(x, z) - средняя температура мерзлого грунта в °C;
A(x, z) - амплитуда колебаний сезонных температур в °C.
Рис. 16. Схема к расчету влияния подземных сетей
на тепловой режим основания здания
10.3. Определение температур грунта в основании зданий и сооружений производится для следующих основных расчетных случаев при учете теплового влияния:
трубопровода (водовод, канализационный коллектор, разводящие трубопроводы);
теплофикационного канала с положительной среднегодовой температурой воздуха в канале;
вентилируемого канала с отрицательной среднегодовой температурой воздуха.
10.4. Среднегодовая температура воздуха в холодных подпольях и глубина сезонного оттаивания грунта под зданиями и сооружениями определяется в соответствии с указаниями, приведенными в "
Пособии по проектированию оснований и фундаментов зданий и сооружений на вечномерзлых грунтах" (Стройиздат, 1968).
10.5. Средняя температура грунта под зданием с учетом теплового влияния трубопровода (водовод, канализационный коллектор, разводящие трубопроводы) определяется по формуле

, (10.2)
где

; (10.3)

, (10.4)
t0 - среднегодовая температура грунта в °C;
tп - среднегодовая температура воздуха в холодном подполье в °C;
tв - среднегодовая температура транспортируемой жидкости в °C;
B - ширина здания в м;
R0 - определяется в зависимости от отношения

по номограмме (см.
рис. 2);
h - глубина заложения трубы (от поверхности грунта до ее оси) в м;
rн - наружный радиус трубы в м;
b - расстояние от оси трубопровода до обреза фундамента здания в м.
10.6. Амплитуда колебаний сезонных температур грунта под зданием с учетом теплового влияния трубопровода определяется по формуле

, (10.5)
Hт - глубина сезонного оттаивания грунта под зданием в м;

;
T = 8760 ч.
Пример. Требуется определить максимальные температуры вечномерзлого грунта под краем и серединой здания с учетом теплового влияния водовода. Расстояние от оси водовода до края здания b = 10 м; глубина заложения водовода h = 2 м; его радиус r = 0,3 м; температура жидкости в трубопроводе tв = 12 °C.
Ширина здания
B = 12
м. Среднегодовая температура воздуха в холодном подполье
tп = -4 °C. Температура вечномерзлого грунта
t0 = -2 °C. Глубина сезонного оттаивания грунта под зданием
Hт = 1
м. Коэффициенты теплопроводности грунта в талом и мерзлом состояниях

;

. Теплоемкость мерзлого грунта
Cм = 500
ккал/
м3·
град.

.
Вычисляем значение вспомогательной величины:

.
По
формуле (10.1), суммируя значения
tср(
x,
z) и
A(
x,
z), получаем максимальные температуры вечномерзлого грунта в основании здания. Расчеты, проведенные для двух значений:
x = 0 (середина здания) и
x = 6
м (край здания) при различных значениях
z (рис. 16), сведены в табл. 10.
Таблица 10
Средние температуры, амплитуды температур, максимальные
температуры вечномерзлого грунта в основании здания
z, м | Середина здания x = 0 | Край здания x = 6 м |
tср(0,z), °C | A(0,z), °C | t(0,z), °C | tср(6,z), °C | A(6,z), °C | t(6,z), °C |
1 | -3,67 | -3,67 | 0 | -2,76 | -2,76 | 0 |
2 | -3,44 | -2,48 | -0,96 | -2,55 | -1,85 | -0,7 |
4 | -2,96 | -1,14 | -1,82 | -2,14 | -0,86 | -1,28 |
6 | -2,45 | -0,52 | -1,93 | -1,86 | -0,39 | -1,49 |
8 | -2,31 | -0,24 | -2,07 | -1,69 | -0,18 | -1,51 |
10.7. Если в основании здания сохраняется естественный температурный режим (т.е.
tп =
t0), то тепловое влияние трубопровода на температурный режим основания определяется по
формуле (10.1), в которой принимается:

; (10.6)

, (10.7)
10.8. Средняя температура грунта под зданием с учетом теплового влияния теплофикационного канала со среднегодовой положительной температурой воздуха внутри канала определяется по формуле
tср(
x,
z) =
t0 + (
tп -
t0)
f1 - [
t0 + (
tп -
t0)
f1в]
f2, (10.8)
где

; (10.9)

(10.10)
L - оттаивание грунта в сторону от канала, определяемое в соответствии с указаниями
п. 8.16, в
м;
10.9. Амплитуда колебаний сезонных температур грунта под зданием с учетом влияния теплофикационного канала определяется по формуле

, (10.11
10.10. Если в основании здания сохраняется естественный температурный режим (т.е.
tп =
t0), то тепловое влияние теплофикационного канала на температурный режим основания определяется по
формуле (10.1), в которой принимается:
tср(x, z) = t0(1 - f2); (10.12)

, (10.13)
10.11. Средняя температура грунта под зданием с учетом теплового влияния вентилируемого канала, имеющего отрицательную среднегодовую температуру воздуха, определяется по формуле
tср(x, z) = t0 + (tп - t0)f1 +
+ [tв - t0 - (tп - t0)f1в]f2, (10.14)

; (10.15)

; (10.16)
R0 - определяется по номограмме (см.
рис. 2) по отношению

;
tв - среднегодовая температура воздуха в вентилируемом канале, вычисляется по формуле

, (10.17)
T = 8760 ч;
tз.к - среднезимняя температура воздуха в канале (см.
п. 8.6) в °C;

- продолжительность периода с отрицательными температурами воздуха в
ч;
tл - среднелетняя температура наружного воздуха в °C;

- продолжительность периода с положительными температурами воздуха в
ч.
10.12. Амплитуда колебаний сезонных температур грунта под зданием с учетом влияния канала, имеющего отрицательную среднегодовую температуру воздуха, определяется по формуле

, (10.18)
10.13. Если в основании здания сохраняется естественный температурный режим (т.е.
tп =
t0), то тепловое влияние канала, имеющего отрицательную среднегодовую температуру воздуха, определяется по
формуле (10.1), в которой принимается
tср(x, z) = t0 + (tв - t0)f2; (10.19)

, (10.20)
10.14. При высокотемпературных вечномерзлых грунтах, т.е. для южной зоны области распространения вечномерзлых грунтов, где в соответствии с требованиями главы СНиП II-Б.6-66 температура вечномерзлых грунтов в основаниях зданий и сооружений должна понижаться по сравнению с температурами грунта в естественных условиях, допустимые расстояния до фундаментов зданий и сооружений определяются:
от водоводов, разводящих сетей, канализационных коллекторов и выпусков по формуле

, (10.21)
где

, (10.22)
от теплофикационных каналов с положительной среднегодовой температурой воздуха по соотношению
Lдоп = 2Lз, (10.23)
где
Lз - определяется в соответствии с указаниями
п. 8.16.
Минимальные допустимые расстояния от трубопроводов и теплофикационных каналов до фундаментов зданий и сооружений приведены в
табл. 4 (см. п. 3.8).
Пример. Определить допустимое расстояние водовода от здания, возводимого с сохранением грунтов основания в мерзлом состоянии, при следующих исходных данных: радиус трубы
r = 0,15
м; глубина заложения
h = 1,5
м, температура воды
tв = 8,5 °C; среднегодовая температура грунта
t0 = -1,5 °C; коэффициенты теплопроводности глинистого грунта в мерзлом и талом состояниях соответственно равны:

;

. Расчет производится по
формуле (10.21).

.
ln = 0,5·42·0,15 = 3,15 м.

.

.
ТАБЛИЦА ЗНАЧЕНИЙ
И 
| | | | | |
0,00 | 1,00 | 1,00 | 0,66 | 1,93 | 0,52 |
0,01 | 1,01 | 0,99 | 0,68 | 1,97 | 0,51 |
0,02 | 1,02 | 0,98 | 0,70 | 2,01 | 0,50 |
0,03 | 1,03 | 0,97 | 0,72 | 2,05 | 0,49 |
0,04 | 1,04 | 0,96 | 0,74 | 2,10 | 0,48 |
0,05 | 1,05 | 0,95 | 0,76 | 2,14 | 0,47 |
| | | | | |
0,06 | 1,06 | 0,94 | 0,78 | 2,18 | 0,46 |
0,07 | 1,07 | 0,93 | 0,80 | 2,23 | 0,45 |
0,08 | 1,08 | 0,92 | 0,82 | 2,27 | 0,44 |
0,09 | 1,09 | 0,91 | 0,84 | 2,32 | 0,43 |
0,10 | 1,11 | 0,90 | 0,86 | 2,36 | 0,42 |
0,11 | 1,12 | 0,90 | 0,88 | 2,41 | 0,41 |
| | | | | |
0,12 | 1,13 | 0,89 | 0,90 | 2,46 | 0,41 |
0,13 | 1,14 | 0,88 | 0,92 | 2,51 | 0,40 |
0,14 | 1,15 | 0,87 | 0,94 | 2,56 | 0,39 |
0,15 | 1,16 | 0,86 | 0,96 | 2,61 | 0,38 |
0,16 | 1,17 | 0,85 | 0,98 | 2,66 | 0,37 |
0,17 | 1,19 | 0,84 | 1,00 | 2,78 | 0,36 |
| | | | | |
0,18 | 1,20 | 0,84 | 1,05 | 2,86 | 0,35 |
0,19 | 1,21 | 0,83 | 1,10 | 3,00 | 0,33 |
0,20 | 1,22 | 0,82 | 1,15 | 3,16 | 0,32 |
0,21 | 1,23 | 0,81 | 1,20 | 3,32 | 0,30 |
0,22 | 1,25 | 0,80 | 1,25 | 3,49 | 0,29 |
0,23 | 1,26 | 0,79 | 1,30 | 3,67 | 0,27 |
| | | | | |
0,24 | 1,27 | 0,79 | 1,35 | 3,86 | 0,25 |
0,25 | 1,28 | 0,78 | 1,40 | 4,06 | 0,24 |
0,26 | 1,30 | 0,78 | 1,45 | 4,06 | 0,24 |
0,27 | 1,31 | 0,76 | 1,50 | 4,48 | 0,22 |
0,28 | 1,32 | 0,70 | 1,55 | 4,71 | 0,21 |
0,29 | 1,34 | 0,75 | 1,57 | 4,81 | 0,21 |
| | | | | |
0,30 | 1,35 | 0,74 | 1,59 | 4,90 | 0,20 |
0,32 | 1,38 | 0,73 | 1,60 | 4,95 | 0,19 |
0,34 | 1,41 | 0,71 | 1,70 | 5,47 | 0,18 |
0,36 | 1,44 | 0,70 | 1,80 | 6,05 | 0,17 |
0,38 | 1,46 | 0,68 | 1,90 | 6,63 | 0,15 |
0,40 | 1,49 | 0,67 | 2,00 | 7,39 | 0,14 |
| | | | | |
0,42 | 1,52 | 0,66 | 2,10 | 8,17 | 0,12 |
0,44 | 1,55 | 0,64 | 2,20 | 9,02 | 0,11 |
0,46 | 1,58 | 0,63 | 2,30 | 9,97 | 0,10 |
0,48 | 1,62 | 0,62 | 2,40 | 11,02 | 0,091 |
0,50 | 1,65 | 0,61 | 2,50 | 12,18 | 0,082 |
0,52 | 1,68 | 0,59 | 2,60 | 13,46 | 0,074 |
| | | | | |
0,54 | 1,72 | 0,58 | 2,70 | 14,88 | 0,067 |
0,56 | 1,75 | 0,57 | 2,70 | 16,45 | 0,061 |
0,58 | 1,79 | 0,56 | 2,90 | 18,17 | 0,055 |
0,60 | 1,82 | 0,55 | 3,00 | 20,09 | 0,050 |
0,62 | 1,86 | 0,54 | 3,10 | 22,20 | 0,045 |
0,64 | 1,90 | 0,53 | 3,20 | 24,53 | 0,041 |
Продолжение приложения 1
| | | | | |
3,30 | 27,11 | 0,037 | 4,60 | 99,48 | 0,010 |
3,40 | 29,96 | 0,033 | 4,80 | 121,5 | 0,0082 |
3,50 | 33,11 | 0,030 | 5,00 | 148,4 | 0,0067 |
3,60 | 36,60 | 0,027 | 5,20 | 181,3 | 0,0055 |
3,70 | 40,45 | 0,025 | 5,40 | 221,4 | 0,0045 |
| | | | | |
3,80 | 44,70 | 0,022 | 5,60 | 270,4 | 0,0037 |
3,90 | 49,40 | 0,020 | 5,80 | 330,3 | 0,0030 |
4,00 | 54,50 | 0,018 | 6,00 | 403,4 | 0,0024 |
4,20 | 66,69 | 0,015 | 6,20 | 492,7 | 0,0020 |
4,40 | 81,45 | 0,012 | 6,40 | 601,9 | 0,0017 |
ТАБЛИЦА ЗНАЧЕНИЙ 
| | | | | |
0,00 | 0,00 | 1,50 | 0,98 | 6,5 | 1,41 |
0,05 | 0,05 | 1,55 | 0,99 | 7,0 | 1,42 |
0,10 | 0,10 | 1,60 | 1,01 | 7,5 | 1,43 |
0,15 | 0,14 | 1,65 | 1,02 | 8,0 | 1,44 |
0,20 | 0,19 | 1,70 | 1,04 | 8,5 | 1,45 |
0,25 | 0,24 | 1,75 | 1,05 | 9,0 | 1,46 |
| | | | | |
0,30 | 0,29 | 1,80 | 1,06 | 9,5 | 1,46 |
0,35 | 0,33 | 1,85 | 1,07 | 10,0 | 1,47 |
0,40 | 0,38 | 1,90 | 1,08 | 11,0 | 1,48 |
0,45 | 0,42 | 1,95 | 1,09 | 12,0 | 1,49 |
0,50 | 0,46 | 2,0 | 1,10 | 13,0 | 1,49 |
0,55 | 0,50 | 2,1 | 1,12 | 14,0 | 1,50 |
| | | | | |
0,60 | 0,54 | 2,2 | 1,14 | 15,0 | 1,50 |
0,65 | 0,57 | 2,3 | 1,16 | 16,0 | 1,51 |
0,70 | 0,61 | 2,4 | 1,17 | 17,0 | 1,51 |
0,75 | 0,64 | 2,5 | 1,19 | 18,0 | 1,51 |
0,80 | 0,67 | 2,6 | 1,20 | 19,0 | 1,52 |
0,85 | 0,70 | 2,7 | 1,21 | 20,0 | 1,52 |
| | | | | |
0,90 | 0,73 | 2,8 | 1,22 | 22,0 | 1,52 |
0,95 | 0,76 | 2,9 | 1,23 | 24,0 | 1,53 |
1,00 | 0,78 | 3,0 | 1,25 | 26,0 | 1,53 |
1,05 | 0,81 | 3,2 | 1,27 | 28,0 | 1,53 |
1,10 | 0,83 | 3,4 | 1,28 | 30,0 | 1,54 |
1,15 | 0,85 | 3,6 | 1,30 | 32,0 | 1,54 |
| | | | | |
1,20 | 0,87 | 3,8 | 1,31 | 34,0 | 1,54 |
1,25 | 0,89 | 4,0 | 1,32 | 36,0 | 1,54 |
1,30 | 0,91 | 4,5 | 1,35 | 38,0 | 1,54 |
1,35 | 0,93 | 5,0 | 1,37 | 40,0 | 1,54 |
1,40 | 0,95 | 5,5 | 1,39 | 42,0 | 1,54 |
1,45 | 0,96 | 6,0 | 1,40 | 44,0 | 1,54 |