Главная // Актуальные документы // ПособиеСПРАВКА
Источник публикации
М.: МЧС России, 2014
М.: ФГБУ ВНИИПО МЧС России, 2014
Примечание к документу
Название документа
"Пособие по применению СП 12.13130.2009 "Определение категорий помещений, зданий и наружных установок по взрывопожарной и пожарной опасности"
"Пособие по применению СП 12.13130.2009 "Определение категорий помещений, зданий и наружных установок по взрывопожарной и пожарной опасности"
ПО ПРИМЕНЕНИЮ СП 12.13130.2009
"ОПРЕДЕЛЕНИЕ КАТЕГОРИЙ ПОМЕЩЕНИЙ, ЗДАНИЙ И НАРУЖНЫХ
УСТАНОВОК ПО ВЗРЫВОПОЖАРНОЙ И ПОЖАРНОЙ ОПАСНОСТИ"
Авторы: И.М. Смолин, Н.Л. Полетаев, Д.М. Гордиенко, Ю.Н. Шебеко, Е.В. Смирнов (ФГБУ ВНИИПО МЧС России).
Пособие разработано в связи с утверждением и введением в действие приказом МЧС России от 25.03.2009 г. N 182
СП 12.13130.2009 "Определение категорий помещений, зданий и наружных установок по взрывопожарной и пожарной опасности".
Приведены порядок определения и упрощенные методы расчета параметров взрывопожарной опасности и категорий помещений по взрывопожарной и пожарной опасности, порядок определения категорий наружных установок по пожарной опасности, сведения о пожаровзрывоопасных и физико-химических свойствах широко применяемых легковоспламеняющихся и горючих жидкостей, горючих газов, горючих пылей и твердых горючих веществ и материалов. Представлены примеры расчетов категорий помещений, зданий и наружных установок по взрывопожарной и пожарной опасности конкретных объектов.
Пособие предназначено для практического использования организациями, занимающимися вопросами категорирования производственных и складских помещений, зданий и наружных установок по взрывопожарной и пожарной опасности.
В связи с утверждением и введением в действие приказом МЧС России от 25.03.2009 г. N 182
СП 12.13130.2009 "Определение категорий помещений, зданий и наружных установок по взрывопожарной и пожарной опасности" возникла необходимость переработки ранее действовавшего
Пособия по применению НПБ 105-95 "Определение категорий помещений и зданий по взрывопожарной и пожарной опасности".
Актуальность переработки
Пособия по применению НПБ 105-95 определялась введением категорирования наружных установок по пожарной опасности и методов расчета критериев пожарной опасности наружных установок в
НПБ 105-03 и в дальнейшем в
СП 12.13130.2009, внесением
Изменения N 1 к СП 12.13130.2009, уточняющего расчетный метод определения категории помещения В4 и расчетный метод определения горизонтальных размеров зон, ограничивающих газо- и паровоздушные смеси с концентрацией горючего выше нижнего концентрационного предела распространения пламени, введением в
СП 12.13130.2009 расчетного метода определения массы паров, нагретых до температуры кипения легковоспламеняющихся и горючих жидкостей, и обращениями граждан и организаций по вопросам определения категорий помещений, зданий и наружных установок по взрывопожарной и пожарной опасности, касающимися положений
НПБ 105-03,
СП 12.13130.2009 и
Пособия по применению НПБ 105-95.
Значительная часть предложений и замечаний относилась к пожеланиям включить в документ порядок определения и упрощенные методы расчета параметров взрывопожарной опасности и категорий помещений по взрывопожарной и пожарной опасности, порядок определения категорий наружных установок по пожарной опасности, сведения о пожаровзрывоопасных и физико-химических свойствах широко применяемых легковоспламеняющихся жидкостей (ЛВЖ), горючих жидкостей (ГЖ), горючих газов (ГГ), горючих пылей и твердых горючих веществ и материалов, а также примеры расчетов категорий помещений, зданий и наружных установок по взрывопожарной и пожарной опасности конкретных объектов. Материалы такого рода являются предметом рассмотрения настоящего методического документа, содержащего подробные разъяснения по практическому использованию расчетных методов определения категорий помещений, зданий и наружных установок по взрывопожарной и пожарной опасности.
В Пособии приведены порядок определения и упрощенные методы расчета параметров взрывопожарной опасности и категорий помещений по взрывопожарной и пожарной опасности, порядок определения категорий наружных установок по пожарной опасности, сведения о пожаровзрывоопасных свойствах широко применяемых горючих веществ и материалов и типовые примеры расчетов категорий помещений, зданий и наружных установок по взрывопожарной и пожарной опасности конкретных объектов.
Пособие рассматривает расчетные методы определения категорий помещений (А, Б, В1 - В4, Г, Д), зданий (А, Б, В, Г, Д) и наружных установок (АН, БН, ВН, ГН, ДН) по взрывопожарной и пожарной опасности, в которых находятся (обращаются) горючие газы, легковоспламеняющиеся и горючие жидкости, горючие пыли и твердые горючие вещества и материалы.
Последовательность и порядок проведения необходимых вычислений, выбор исходных данных, обоснование расчетного варианта с учетом особенностей технологических процессов производства отражены в типовых примерах расчетов категорий помещений, зданий и наружных установок по взрывопожарной и пожарной опасности.
Данные, необходимые для проведения указанных выше расчетов, представлены в
прил. 1 -
4.
2. ПОРЯДОК ОПРЕДЕЛЕНИЯ И УПРОЩЕННЫЕ МЕТОДЫ РАСЧЕТА
ПАРАМЕТРОВ ВЗРЫВОПОЖАРНОЙ ОПАСНОСТИ ГОРЮЧИХ ГАЗОВ
2.1. В соответствии с положениями
приложения А [1] определяется масса горючего газа (ГГ)
m (кг), вышедшего в результате расчетной аварии в помещение.
2.2. Согласно химической формуле ГГ [
2; приложение 1] определяется значение стехиометрического коэффициента кислорода в реакции сгорания

по
формуле (А.3) [1].
2.3. Стехиометрическая концентрация ГГ
Cст (% об.) рассчитывается по
формуле (А.3) [1].
2.4. В соответствии с
[3] определяется абсолютная максимальная температура воздуха для данной климатической зоны, соответствующая расчетной температуре
tр (°C) в рассматриваемом помещении.
2.5. Из справочных данных [
2; приложение 1] определяется молярная масса
M (кг·кмоль
-1) ГГ и удельная теплота сгорания
Hт (Дж·кг
-1).
2.7. Согласно
п. А.1.4 [1] определяется свободный объем помещения
Vсв (м
3).
2.8. Избыточное давление взрыва

(кПа) для ГГ, указанных в
п. А.2.1 [1], кроме водорода, при значении
Z = 0,5 определяется по формуле

. (1)
2.9. Для водорода, метана, этана, пропана и бутана избыточное давление взрыва

(кПа) согласно
п. А.2.1 [1] может быть определено по формулам:
- для водорода (Z = 1,0)

; (2)
- для метана (Z = 0,5)

; (3)
- для этана (Z = 0,5)

; (4)
- для пропана (Z = 0,5)

; (5)
- для бутана (Z = 0,5)

. (6)
2.10. Избыточное давление взрыва

(кПа) для ГГ, указанных в
п. А.2.2 [1], кроме водорода, при значении
Z = 0,5 определяется по формуле

. (7)
2.11. Для водорода, метана, этана, пропана и бутана избыточное давление взрыва

(кПа), согласно
п. А.2.2 [1], может быть определено по формулам:
- для водорода (Z = 1,0)

; (8)
- для метана (Z = 0,5)

; (9)
для этана (Z = 0,5)

; (10)
- для пропана (Z = 0,5)

; (11)
- для бутана (Z = 0,5)

. (12)
2.12. Определяется категория помещения по взрывопожарной и пожарной опасности на основании полученного значения избыточного давления взрыва

(кПа). Если

, то помещение относится к взрывопожароопасной категории А. Если

, то помещение не относится к взрывопожароопасной категории А и дальнейшее определение категории помещения в зависимости от пожароопасных свойств и количества обращающихся в помещении веществ и материалов осуществляется в соответствии с требованиями
п. 5.2 [1].
3. ПОРЯДОК ОПРЕДЕЛЕНИЯ И УПРОЩЕННЫЕ
МЕТОДЫ РАСЧЕТА ПАРАМЕТРОВ ВЗРЫВОПОЖАРНОЙ ОПАСНОСТИ
ЛЕГКОВОСПЛАМЕНЯЮЩИХСЯ И ГОРЮЧИХ ЖИДКОСТЕЙ
3.1. Согласно
пп. 2.1 -
2.7 разд. 2 настоящего Пособия определяются значения соответствующих параметров для легковоспламеняющихся (ЛВЖ) и горючих жидкостей (ГЖ).
3.2. Из справочной литературы
[2] находятся значения констант Антуана
A,
B и
Cа и расчетным путем определяется значение давления насыщенного пара
Pн (кПа) по формуле

.
3.4. По
табл. А.2 [1] выбирается значение коэффициента

. При отсутствии аварийной вентиляции или постоянно работающей общеобменной вентиляции в помещении значение коэффициента

принимается равным 1,0. При наличии аварийной или постоянно работающей общеобменной вентиляции в помещении, удовлетворяющей требованиям
п. А.2.3 [1], определяется скорость воздушного потока в помещении
U =
A·
L, где
A - кратность воздухообмена аварийной вентиляции (с
-1) и
L - длина помещения, м. Исходя из значений
U и
tр определяется значение коэффициента

.
3.5. Определяется значение молярной массы ЛВЖ и ГЖ
M (кг·кмоль
-1) [
2; приложения 1, 2]. По
формуле (А.13) [1] рассчитывается значение интенсивности испарения ЛВЖ и ГЖ
W (кг·с
-1·м
-2).
3.6. По
п. А.2.5 [1] рассчитывается масса паров ЛВЖ и ГЖ
m (кг), поступивших в помещение.
3.7. Избыточное давление взрыва

(кПа) для ЛВЖ и ГЖ, указанных в
п. А.2.1 [1], при значении
Z = 0,3 определяется по формуле

. (13)
3.8. Для дизельного топлива зимнего, бензина АИ-93 зимнего, гексана, м-ксилола, толуола, диэтилового эфира, ацетона и этилового спирта избыточное давление взрыва

(кПа) согласно
п. А.2.1 [1] при значении
Z = 0,3 может быть определено по формулам:
- для дизельного топлива зимнего

; (14)
- для бензина АИ-93 зимнего

; (15)
- для гексана

; (16)
- для м-ксилола

; (17)
- для толуола

; (18)
- для диэтилового эфира (при tр < tкип = 34,5 °C - температура кипения диэтилового эфира):

; (19)
- для ацетона

; (20)
- для этилового спирта

. (21)
3.9. Избыточное давление взрыва

(кПа) для ЛВЖ и ГЖ, указанных в
п. А.2.2 [1], при значении
Z = 0,3 определяется по формуле

. (22)
3.10. Для м-ксилола, гексана, бензина АИ-93 зимнего, дизельного топлива зимнего, толуола, диэтилового эфира, ацетона и этилового спирта избыточное давление взрыва

(кПа) согласно
п. А.2.2 [1] при значении
Z = 0,3 может быть определено по формулам:
- для м-ксилола

; (23)
- для гексана

; (24)
- для бензина АИ-93 зимнего

; (25)
- для дизельного топлива зимнего

; (26)
- для толуола

; (27)
- для диэтилового эфира (при tр < tкип = 34,5 °C - температура кипения диэтилового эфира)

; (28)
- для ацетона

; (29)
- для этилового спирта

. (30)
3.11. Для ацетона и бензина АИ-93 зимнего избыточное давление взрыва

(кПа) согласно
п. А.2.1 [1] в зависимости от параметра

(
mж - масса поступившей в помещение ЛВЖ) при значении
Z = 0,3, при условии полного испарения с поверхности разлива (менее площади помещения), температуре
tр = 45 °C и отсутствии подвижности воздуха в помещении может быть рассчитано при указанных условиях и для различных значений температуры
tр по формулам:
- для ацетона:

; (31)

; (32)

; (33)

; (34)

; (35)

; (36)
- для бензина АИ-93 зимнего:

; (37)

; (38)

; (39)

; (40)

; (41)

. (42)
3.12. Определяется категория помещения по взрывопожарной и пожарной опасности на основании полученного значения избыточного давления взрыва

(кПа). Если

, то помещение относится к взрывопожароопасной категории А (Б). Если

, то помещение не относится к взрывопожароопасной категории А (Б) и дальнейшее определение категории помещения в зависимости от пожароопасных свойств и количества обращающихся в помещении веществ и материалов осуществляется в соответствии с требованиями
п. 5.2 [1].
4. ПОРЯДОК ОПРЕДЕЛЕНИЯ И УПРОЩЕННЫЕ МЕТОДЫ РАСЧЕТА
ПАРАМЕТРОВ ВЗРЫВОПОЖАРНОЙ ОПАСНОСТИ ГОРЮЧИХ ПЫЛЕЙ
4.1. В соответствии с положениями
приложения А [1] определяется масса взвешенной в объеме помещения горючей пыли
m (кг), образовавшейся в результате аварийной ситуации.
4.2. Избыточное давление взрыва

(кПа) для горючих пылей согласно
п. А.2.2 [1] при значении
Z = 0,5 определяется по формуле

, (43)
где Hт - теплота сгорания вещества, МДж·кг-1.
4.3. Расчет стехиометрической концентрации твердого горючего с известной химической брутто-формулой, включающей, например, атомы C, H, N, O, P, Al в воздухе, производится на основе химического уравнения окисления данного вещества воздухом с брутто-формулой (O
2 + 3,77N
2) до следующих соответствующих продуктов взаимодействия: CO
2, H
2O, N
2, P
2O
5, Al
2O
3 и др. Перечень упомянутых продуктов взаимодействия атомов можно найти в книге В.Т. Монахова
[4].
Для твердого вещества с неизвестной химической брутто-формулой величину стехиометрической концентрации

можно определить экспериментально, например, в стандартных опытах по определению теплоты сгорания, где потребуется дополнительно измерить уменьшение массы кислорода

в камере для сжигания в атмосфере кислорода пробной навески данного вещества

:

, где
MO ~= 0,24 кг·м
-3 - масса кислорода в 1 м
3 воздуха нормального состава при комнатной температуре.
4.4. Определяется категория помещения по взрывопожарной и пожарной опасности на основании полученного значения величины избыточного давления взрыва

(кПа). Если

, то помещение относится к взрывопожароопасной категории Б. Если

, то помещение не относится к взрывопожароопасной категории Б и дальнейшее определение категории помещения в зависимости от пожароопасных свойств и количеств обращающихся в помещении веществ и материалов осуществляется в соответствии с требованиями
п. 5.2 [1].
5. ТИПОВЫЕ ПРИМЕРЫ РАСЧЕТОВ КАТЕГОРИЙ ПОМЕЩЕНИЙ
И ЗДАНИЙ ПО ВЗРЫВОПОЖАРНОЙ И ПОЖАРНОЙ ОПАСНОСТИ
5.1. Помещения с горючими газами
1. Исходные данные.
1.1. Аккумуляторное помещение объемом Vп = 27,2 м3 оборудуется аккумуляторными батареями СК-4 из 12 аккумуляторов и СК-1 из 13 аккумуляторов.
1.2. Максимальная абсолютная температура воздуха согласно
[3] в районе строительства 38 °C (г. Екатеринбург).
1.3. Обоснование расчетного варианта наиболее неблагоприятного в отношении взрыва периода.
1.3.1. При расчете избыточного давления взрыва в качестве расчетного варианта принимается наиболее неблагоприятный в отношении взрыва период, связанный с формовкой и зарядом полностью разряженных батарей с напряжением более 2,3 В на элемент и наибольшим значением зарядного тока, превышающим в четыре раза максимальный зарядный ток.
1.3.2. Происходит заряд аккумуляторных батарей с максимальной номинальной емкостью (А·ч). Количество одновременно заряжаемых батарей устанавливается в зависимости от эксплуатационных условий, мощности и напряжения внешнего источника тока. Продолжительность поступления водорода в помещение соответствует конечному периоду заряда при обильном газовыделении и принимается равной 1 ч (T = 3600 с).
1.3.3. За расчетную температуру принимается максимальная абсолютная температура наружного воздуха в населенном пункте (климатической зоне) согласно
СНиП 23-01-99* [3].
1.4. Расчет поступающего в помещение водорода при заряде аккумуляторных батарей.
1.4.1. Масса водорода, выделившегося в одном элементе при установившемся динамическом равновесии между силой зарядного тока и количеством выделяемого газа, составляет:

,
где F = 9,65·104 А·с·моль-1 - постоянная Фарадея; A - атомная единица массы водорода, равная 1 а.е.м = 1·10-3 кг·моль-1; Z = 1 - валентность водорода; I - сила зарядного тока, А; T - расчетное время заряда, с.
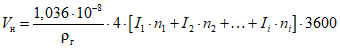
1.4.2. Объем водорода, поступающего в помещение при заряде нескольких батарей, м3, можно определить по формуле

,
где

- плотность водорода при расчетной температуре воздуха, кг·м
-3;
Ii - максимальный зарядный ток
i-й батареи, А;
ni - количество аккумуляторов
i-й батареи.
Плотность водорода определяется по формуле

,
где
M - масса одного киломоля водорода, равная 2 кг·кмоль
-1;
V0 - объем киломоля газа при нормальных условиях, равный 22,413 м
3·кмоль
-1;

- коэффициент температурного расширения газа;
tр - расчетная температура воздуха, °C.
Максимальная сила зарядного тока принимается по ГОСТ 825-73 "Аккумуляторы свинцовые для стационарных установок".
1.5. Стехиометрическая концентрация водорода
Cст рассчитывается по
формуле А.3 [1]:

;

.
1.6. Плотность водорода при расчетной температуре воздуха будет равна:

.
1.7. Объем водорода, поступающего в аккумуляторное помещение при зарядке двух батарей СК-4 и СК-1, составит:

.
1.8. Свободный объем аккумуляторного помещения составит:
Vсв = 0,8·Vп = 0,8·27,2 = 21,76 м3.
2. Избыточное давление взрыва

водорода в аккумуляторном помещении согласно
формуле (2) Пособия будет равно:

.
Так как расчетное избыточное давление взрыва более 5 кПа, то аккумуляторное помещение следует относить к категории А.
3. Расчет избыточного давления взрыва

водорода в аккумуляторном помещении с учетом работы аварийной вентиляции или постоянно работающей общеобменной вентиляции, отвечающей требованиям
п. А.2.3 [1] (продолжительность поступления водорода в объем помещения
T = 3600 с).
3.1. При кратности воздухообмена, создаваемого аварийной вентиляцией, равной 8 ч-1, объем водорода, поступающего в помещение, составит:

.
Избыточное давление взрыва

при этом будет равно:

.
3.2. При оборудовании аккумуляторного помещения аварийной вентиляцией или постоянно работающей вентиляцией с кратностью воздухообмена
A = 8 ч
-1, отвечающей требованиям
п. А.2.3 [1],
СП 7.13130.2009 [5] и ПУЭ
[6], допускается не относить аккумуляторное помещение к категории А.
Согласно
п. 5.2 и
табл. 1 [1] при расчетном давлении взрыва, не превышающем 5 кПа, аккумуляторное помещение следует относить к категории В1 - В4 в зависимости от пожарной нагрузки, находящейся в аккумуляторном помещении.
1. Исходные данные.
1.1. Пост диагностики автотранспортного предприятия для грузовых автомобилей, работающих на сжатом природном газе. Объем помещения Vп = 300 м3. Свободный объем помещения Vсв = 0,8·Vп = 0,8·300 = 240 м3. Объем баллона со сжатым природным газом V = 50 л = 0,05 м3. Давление в баллоне P1 = 2·104 кПа.
1.2. Основной компонент сжатого природного газа - метан (98% (об.). Молярная масса метана M = 16,04 кг·кмоль-1.
2. Обоснование расчетного варианта аварии.
При определении избыточного давления взрыва

в качестве расчетного варианта аварии принимается разгерметизация одного баллона со сжатым природным газом и поступление его в объем помещения. За расчетную температуру принимается максимальная абсолютная температура воздуха в данном районе (г. Москва) согласно
СНиП 23-01-99* [3] tр = 37 °C.
Плотность метана при tр = 37 °C составит:

.
Vа = 0,01·2·104·0,05 = 10 м3;
m = 10·0,6301 = 6,301 кг.
4. Избыточное давление взрыва

, определенное по
формуле (9) Пособия, составит:

.
5. Расчетное избыточное давление взрыва превышает 5 кПа, следовательно, помещение поста диагностики относится к категории А.
1. Исходные данные.
1.1. Помещение участка наращивания кремния. Наращивание поликристалла кремния осуществляется методом восстановления тетрахлорида кремния в атмосфере водорода на двух установках с давлением в их реакторах P1 = 200 кПа. Водород подается к установкам от коллектора, расположенного за пределами участка, по трубопроводу из нержавеющей стали диаметром d = 0,02 м (радиусом r = 0,01 м) под давлением P2 = 300 кПа. Суммарная длина трубопровода от автоматической задвижки с электроприводом, расположенной за пределами участка, до установок составляет L1 = 15 м. Объем реактора V = 0,09 м3. Температура раскаленных поверхностей реактора t = 1200 °C. Время автоматического отключения по паспортным данным Tа = 3 с. Расход газа в трубопроводе q = 0,06 м3·с-1. Размеры помещения L x S x H = 15,81 x 15,81 x 6 м. Объем помещения Vп = 1500 м3. Свободный объем помещения Vсв = 0,8·1500 = 1200 м3. Площадь помещения F = 250 м2.
1.2. Молярная масса водорода M = 2,016 кг·кмоль-1. Нижний концентрационный предел распространения пламени водорода CНКПР = 4,1% (об.). Стехиометрическая концентрация водорода Cст = 29,24% (об.). Максимальное давление взрыва водорода Pmax = 730 кПа. Тетрахлорид кремния - негорючее вещество. Образующиеся в результате химической реакции вещества - негорючие.
2. Обоснование расчетного варианта аварии.
При определении избыточного давления взрыва в качестве расчетного варианта аварии принимается разгерметизация одного реактора и выход из него и подводящего трубопровода водорода в объем помещения. За расчетную температуру принимается максимальная абсолютная температура воздуха в данном районе (г. Воронеж) согласно
[3] tр = 41 °C. Плотность водорода при
tр = 41 °C

. Расчетное время отключения трубопровода по
п. А.1.2 в) [1] Tа = 120 с.
Vа = 0,01·200·0,09 = 0,18 м3;
V1т = 0,06·120 = 7,2 м3;
V2т = 0,01·3,14·300·0,012·15 = 0,014 м3;
Vт = 7,2 + 0,014 = 7,214 м3;
m = (0,18 + 7,214)·0,0782 = 0,5782 кг.
4. Коэффициент участия водорода во взрыве
Z определяется в соответствии с
приложением Д [1].
4.1. Средняя концентрация водорода Cср в помещении составит:

;
Cср = 0,62% (об.) < 0,5·CНКПР = 0,5·4,1 = 2,05% (об.).
Следовательно, можно определить значение коэффициента участия водорода во взрыве Z расчетным методом.
4.2. Значение предэкспоненциального множителя C0 составит:

.
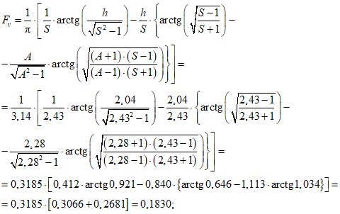
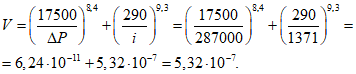
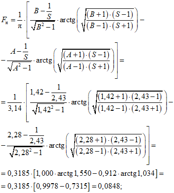
4.3. Расстояния XНКПР, YНКПР и ZНКПР составят:

;

.
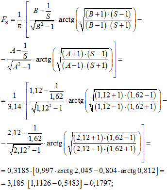
4.4. Расчетное значение коэффициента участия водорода во взрыве Z будет равно:

.

.
6. Расчетное избыточное давление взрыва не превышает 5 кПа. Помещение участка наращивания кремния не относится к категории А. Согласно
п. 5.2 и
табл. 1 [1] при расчетном давлении взрыва, не превышающем 5 кПа, данное помещение следует относить к категории В1 - В4 в зависимости от пожарной нагрузки, находящейся в помещении участка наращивания кремния.
5.2. Помещения с легковоспламеняющимися жидкостями
1. Исходные данные.
1.1. Помещение складирования ацетона. В помещении хранится десять бочек с объемом ацетона в каждой по Vа = 80 л = 0,08 м3. Размеры помещения L x S x H = 12 x 6 x 6 м. Объем помещения Vп = 432 м3. Свободный объем помещения Vсв = 0,8·432 = 345,6 м3. Площадь помещения F = 72 м2.
1.2. Молярная масса ацетона
M = 58,08 кг·кмоль
-1. Константы уравнения Антуана:
A = 6,37551;
B = 1281,721;
Cа = 237,088. Химическая формула ацетона C
3H
6O. Плотность ацетона (жидкости)

. Температура вспышки ацетона
tвсп = -18 °C.
2. Обоснование расчетного варианта аварии.
При определении избыточного давления взрыва в качестве расчетного варианта аварии принимается разгерметизация одной бочки и разлив ацетона по полу помещения, исходя из условия, что 1 л ацетона разливается на 1 м
2 пола помещения. За расчетную температуру принимается абсолютная температура воздуха в данном районе (г. Мурманск) согласно
[3] tр = 32 °C.
3. Определение параметров взрывопожарной опасности проводим в соответствии с требованиями
[1] и данного Пособия.
3.1. По
формуле (А.2) [1] определяется значение плотности паров ацетона при расчетной температуре
tр = 32 °C:

.
3.2. Согласно Пособию определяется значение давления насыщенных паров ацетона
Pн = 40,95·кПа (

, откуда расчетное значение
Pн = 40,95 кПа).

.
4. Расчетная площадь разлива содержимого одной бочки ацетона составляет:
Fи = 1,0·Vа = 1,0·80 = 80 м2.
Поскольку площадь помещения F = 72 м2 меньше рассчитанной площади разлива ацетона Fи = 80 м2, то окончательно принимаем Fи = F = 72 м2.
5. Масса паров ацетона, поступивших в помещение,
m рассчитывается по
формуле (А.12) [1]:
m = 3,1208·10-4·72·3600 = 80,891 кг.
В этом случае испарится только масса разлившегося из бочки ацетона и

.
6. Избыточное давление взрыва

согласно
формуле (20) Пособия будет равно:

.
7. Расчетное избыточное давление взрыва превышает 5 кПа, следовательно, помещение складирования ацетона относится к категории А.
1. Исходные данные.
1.1. Помещение промежуточного топливного бака резервной дизельной электростанции унифицированной компоновки. В помещении находится топливный бак с объемом дизельного топлива марки "З"
(ГОСТ 305-82) Vа = 6,3 м
3. Размеры помещения
L x
S x
H = 4,0 x 4,0 x 3,6 м. Объем помещения
Vп = 57,6 м
3. Свободный объем помещения
Vсв = 0,8·57,6 = 46,08 м
3. Площадь помещения
F = 16 м
2. Суммарная длина трубопроводов диаметром
d1 = 57 мм = 0,057 м (
r1 = 0,0285 м), ограниченная задвижками (ручными), установленными на подводящем и отводящем участках трубопроводов, составляет
L1 = 10 м. Расход дизельного топлива в трубопроводах
q = 1,5 л·с
-1 = 0,0015 м
3·с
-1.
1.2. Молярная масса дизельного топлива марки "З"
M = 172,3 кг·кмоль
-1. Брутто-формула C
12,343 H
23,889. Плотность жидкости при температуре
t = 25 °C

. Константы уравнения Антуана:
A = 5,07828;
B = 1255,73;
Cа = 199,523. Температура вспышки
tвсп > 40 °C. Теплота сгорания

. Нижний концентрационный предел распространения пламени
CНКПР = 0,6% (об.).
2. Обоснование расчетного варианта аварии.
При определении избыточного давления взрыва в качестве расчетного варианта аварии принимается разгерметизация топливного бака и выход из него и подводящих и отводящих трубопроводов дизельного топлива в объем помещения. За расчетную температуру принимается максимальная абсолютная температура воздуха в данном районе (г. Благовещенск) согласно
[3] tр = 41 °C. Плотность паров дизельного топлива при
tр = 41 °C

. Расчетное время отключения трубопроводов по
п. А.1.2 [1] Tа = 300 с, длительность испарения по
п. А.1.2 е) [1] T = 3600 с.
3. Объем
Vж и площадь разлива
Fи поступившего при расчетной аварии дизельного топлива определяются в соответствии с положениями
п. А.1.2 [1]:
Fи = 1,0·6776 = 6776 м2.
Поскольку площадь помещения F = 16 м2 меньше рассчитанной площади разлива дизельного топлива Fи = 6776 м2, то окончательно принимаем Fи = F = 16 м2.
4. Определяем давление насыщенных паров дизельного топлива Pн при расчетной температуре tр = 41 °C:

;
Pн = 0,72 кПа.
5. Интенсивность испарения W дизельного топлива составит:

.
6. Масса паров дизельного топлива, поступивших в помещение, m будет равна:
m = 9,45·10-6·16·3600 = 0,5443 кг.
7. Определение коэффициента участия паров дизельного топлива во взрыве
Z проводим в соответствии с
приложением Д [1].
7.1. Средняя концентрация паров дизельного топлива Cср в помещении составит:

;
Cср = 0,18% (об.) < 0,5·CНКПР = 0,5·0,6 = 0,3% (об.).
Следовательно, можно определить значение коэффициента участия паров дизельного топлива во взрыве Z расчетным методом.
7.2. Значение Cн будет равно:

.
7.3. Значение стехиометрической концентрации паров дизельного топлива
Cст согласно
формуле (А.3) [1], исходя из химической брутто-формулы дизельного топлива, составит:

;

.
7.4. Значение параметра C* будет равно:
C* = 1,9·1,12 = 2,13% (об.).
7.5. Поскольку Cн = 0,71% < C* = 2,13% (об.), то рассчитываем значение параметра X:

.
7.6. Согласно
рис. Д.1 приложения Д
[1] при значении
X = 0,33 определяем значение коэффициента участия паров дизельного топлива во взрыве
Z = 0.

.
9. Расчетное избыточное давление взрыва не превышает 5 кПа. Помещение промежуточного топливного бака резервной дизельной электростанции унифицированной компоновки не относится к категориям А или Б. Согласно
п. Б.2 и
табл. Б.1 [1] проведем проверку принадлежности помещения к категориям В1 - В4.
10. В соответствии с
п. Б.2 [1] определим пожарную нагрузку
Q и удельную пожарную нагрузку
g:

;

;
S = F = 16 м2;

.
11. Удельная пожарная нагрузка более 2200 МДж·м
-2. Помещение промежуточного топливного бака резервной дизельной электростанции унифицированной компоновки согласно
табл. Б.1 [1] относится к категории В1.
1. Исходные данные.
1.1. Помещение сушильно-пропиточного отделения электромашинного цеха. В помещении находятся два бака для покрытия лаком БТ-99 полюсных катушек способом окунания с подводящими и отводящими трубопроводами. Размеры помещения
L x
S x
H = 32 x 10 x 8 м. Объем помещения
Vп = 2560 м
3. Свободный объем помещения
Vсв = 0,8·2560 = 2048 м
3. Площадь помещения
F = 320 м
2. Объем каждого бака
Vап = 0,5 м
3. Степень заполнения бака лаком

. Объем лака в баке

. Длина и диаметр подводящего (напорного) трубопровода между баком и насосом
L1 = 10 м и
d1 = 25 мм = 0,025 м соответственно. Длина и диаметр отводящего трубопровода между задвижкой и баком
L2 = 10 м и
d2 = 40 мм = 0,04 м соответственно. Производительность насоса
q = 6,5·10
-5 м
3·с
-1. Время отключения насоса
Tа = 300 с. В каждый бак попеременно загружается и выгружается единовременно по 10 шт. полюсных катушек, размещаемых в корзине. Открытое зеркало испарения каждого бака
Fемк = 1,54 м
2. Общая поверхность 10 шт. свежеокрашенных полюсных катушек
Fсв.окр = 6,28 м
2.
1.2. В лаке БТ-99
(ГОСТ 8017-74) в виде растворителей содержится 46% (масс.) ксилола и 2% (масс.) уайт-спирита. В общей массе растворителей содержится

ксилола и

уайт-спирита. Плотность лака БТ-99

. Молярная масса ксилола
M = 106,17 кг·кмоль
-1, уайт-спирита
M = 147,3 кг·кмоль
-1. Химическая формула ксилола C
8H
10, уайт-спирита C
10,5H
21,0. Плотность жидкости ксилола

, уайт-спирита

. Температура вспышки ксилола
tвсп = 29 °C, уайт-спирита
tвсп = 33 °C. Нижний концентрационный предел распространения пламени ксилола
CНКПР = 1,1% (об.), уайт-спирита
CНКПР = 0,7% (об.). Теплота сгорания ксилола

, уайт-спирита

. Константы уравнения Антуана для ксилола
A = 6,17972;
B = 1 478,16;
Cа = 220,535; для уайт-спирита
A = 7,13623;
B = 2218,3;
Cа = 273,15.
2. Обоснование расчетного варианта аварии.
При определении избыточного давления взрыва в качестве расчетного варианта аварии принимается разгерметизация одного бака с лаком для покрытия полюсных катушек способом окунания и утечка лака из напорного и отводящего трубопроводов при работающем насосе с последующим разливом лака на пол помещения. Происходит испарение ксилола и уайт-спирита с поверхности разлившегося лака, а также с открытой поверхности второго бака и с поверхности выгружаемых покрытых лаком полюсных катушек (10 шт.). За расчетную температуру принимается максимальная абсолютная температура воздуха в данном районе (г. Москва) согласно
[3] tр = 37 °C. Плотность паров при
tр = 37 °C:

;

.
3. Объем
Vж, площадь разлива
Fр поступившего в помещение при расчетной аварии лака и площадь испарения
Fи определяются в соответствии с положениями
п. А.1.2 [1]:
Fр = 0,5·487 = 243,5 м2;
Fи = Fр + Fемк + Fсв.окр = 243,5 + 1,54 + 6,28 = 251,3 м2.
4. Определяем давление насыщенных паров Pн ксилола и уайт-спирита при расчетной температуре tр = 37 °C:
- для ксилола

;
Pн = 2,755 кПа;
- для уайт-спирита

;
Pн = 0,964 кПа.
5. Интенсивность испарения W растворителя составит:
- по ксилолу

;
- по уайт-спириту

.
6. В соответствии с положениями
п. А.2.5 [1] определяем массу паров, поступивших в помещение,
m по наиболее опасному компоненту - ксилолу:
m = 2,8387·10-5·251,3·3600 = 25,6812 кг.
7. Определение коэффициента участия паров растворителя во взрыве
Z проводим в соответствии с
приложением Д [1], принимая значения расчетных параметров по ксилолу либо уайт-спириту, наиболее опасные в отношении последствий взрыва.
7.1. Средняя концентрация Cср паров растворителя в помещении составит:

;
Cср = 0,30% (об.) < 0,5·CНКПР = 0,5·0,7 = 0,35% (об.).
Следовательно, можно определить значение коэффициента участия паров растворителя во взрыве Z расчетным методом.
7.2. Значение Cн будет равно:

.
7.3. Значение C0 будет равно:

.
7.4. Расстояния XНКПР, YНКПР, ZНКПР составят:

;

;

.
7.5. Коэффициент участия паров растворителя во взрыве
Z согласно
формуле (Д.2) приложения Д
[1] составит:

.
8. Значение стехиометрической концентрации
Cст согласно
формуле (А.3) [1] составит:
- для ксилола

;

;
- для уайт-спирита

;

.

.
10. Расчетное избыточное давление взрыва превышает 5 кПа, следовательно, помещение сушильно-пропиточного отделения электромашинного цеха относится к категории Б.
11. Расчет избыточного давления взрыва

в помещении сушильно-пропиточного отделения электромашинного цеха с учетом работы аварийной вентиляции или постоянно работающей общеобменной вентиляции, удовлетворяющей требованиям
п. А.2.3 [1]. Рассматривается случай при кратности обмена аварийной вентиляции
A = 6 ч
-1.
11.1. При кратности воздухообмена, создаваемого аварийной вентиляцией, равной
A = 6 ч
-1 = 1,6667·10
-3·с
-1, согласно
п. 3.4 Пособия скорость движения воздуха в помещении составит:
U = A·L = 1,6667·10-3·32 = 0,05 м·с-1.
11.2. Интенсивность испарения
W растворителя (по ксилолу) при скорости воздушного потока в помещении
U = 0,05 м·с
-1 (с некоторым запасом коэффициент

в соответствии с
табл. А.2 [1]) будет равна:

.
11.3. Масса поступивших в помещение паров растворителя (по ксилолу) mи составит:
mи = 4,5420·10-5·251,3·3600 = 41,0906 кг.
11.4. Масса находящихся в помещении паров растворителя
m при учете работы аварийной вентиляции или постоянно работающей общеобменной вентиляции, удовлетворяющей требованиям
п. А.2.3 [1], будет равна:

.
11.5. Средняя концентрация Cср паров растворителя в помещении составит:

;
Cср = 0,07% (об.) < 0,5·CНКПР = 0,5·0,7 = 0,35% (об.).
Следовательно, можно определить значение коэффициента участия паров растворителя во взрыве Z расчетным методом.
11.6. Значение C0 будет равно:

.
11.7. Расстояния XНКПР, YНКПР, ZНКПР составят:

;

;

.
Значения
XНКПР,
YНКПР,
ZНКПР согласно
приложению Д [1] принимаются равными 0, поскольку логарифмы указанных в формулах сомножителей дают отрицательные значения. Следовательно, согласно
формуле (Д.1) приложения Д
[1] коэффициент участия паров растворителя также равен
Z = 0. Подставляя в
формулу (А.1) [1] значение коэффициента
Z = 0, получим избыточное давление взрыва

.
11.8. Расчетное избыточное давление взрыва не превышает 5 кПа, следовательно, помещение сушильно-пропиточного отделения электромашинного цеха при оснащении его аварийной вентиляцией или постоянно работающей общеобменной вентиляцией, удовлетворяющей требованиям
п. А.2.3 [1], с кратностью воздухообмена
A = 6 ч
-1 не относится к категории А или Б. Согласно
п. Б.2 и
табл. Б1 [1] проведем проверку принадлежности помещения к категориям В1 - В4.
11.9. В соответствии с
п. Б.2 [1] определим пожарную нагрузку
Q и удельную пожарную нагрузку
g:

;

;
S = 2·Fемк = 1,54·2 = 3,08 м2

.
11.10. Удельная пожарная нагрузка более 2200 МДж·м
-2. Помещение сушильно-пропиточного отделения электромашинного цеха при оснащении его аварийной вентиляцией или постоянно работающей общеобменной вентиляцией, удовлетворяющей требованиям
п. А.2.3 [1], с кратностью воздухообмена
A = 6 ч
-1 согласно
табл. Б.1 [1] относится к категории В1.
5.3. Помещения с нагретыми легковоспламеняющимися
и горючими жидкостями
1. Исходные данные.
1.1. Помещение приемной емкости охлажденного гексана установки экстракции пропиточного масла. В помещении расположена емкость с объемом гексана Vа = 40 л = 0,04 м3, насосы горячей воды. Размеры помещения L x S x H = 12 x 6 x 6 м. Объем помещения Vп = 432 м3. Свободный объем помещения Vсв = 0,8·432 = 345,6 м3. Площадь помещения F = 72 м2. Температура гексана в емкости охлажденного гексана Tа = 50 °C = 323,2 К. Суммарный объем гексана, истекающего из подводящих и отводящих трубопроводов при аварийной ситуации, составляет Vтр = 1 л = 0,001 м3.
1.2. Молярная масса гексана
M = 86,177 кг·кмоль
-1. Константы уравнения Антуана:
A = 5,99517;
B = 1166,274;
Cа = 223,661. Химическая формула гексана C
6H
14. Плотность гексана (жидкости) при температуре жидкости
tж = 50 °C

. Средняя теплоемкость гексана в интервале температур
Cж = 2514 Дж·кг
-1·К
-1. Температура вспышки гексана
tвсп = -23 °C. Температура кипения гексана
tк = 68,74 °C.
2. Обоснование расчетного варианта аварии.
При определении избыточного давления взрыва в качестве расчетного варианта аварии принимается разгерметизация приемной емкости и выход из нее и подводящих и отводящих трубопроводов гексана в объем помещения. За расчетную температуру принимается температура нагрева гексана в приемной емкости
tр,2 = 50 °C. Максимальная абсолютная температура воздуха в данном районе (г. Москва) согласно
[3] tр,1 = 37 °C.
3. Определение параметров взрывопожарной опасности проводим с использованием
[1] и данного Пособия.

;

.
3.2. Давление насыщенных паров гексана при температурах
tр,1 = 37 °C и
tр,2 = 50 °C составит соответственно (
п. 3.2 Пособия):

;
Pн,1 = 33,18 кПа;

;
Pн,2 = 54,13 кПа.
3.3. Удельная теплота испарения гексана
Lисп (Дж·кг
-1) при температуре
tр,2 = 50 °C рассчитывается по
формуле (А.15) [1]:
3.4. Объем гексана, вышедшего в помещение, Vг (м3) составит:
Vг = Vа + Vтр = 0,04 + 0,001 = 0,041 м3.
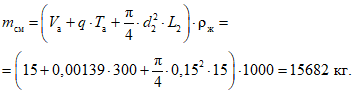
3.5. Масса вышедшего в помещение гексана mп (кг) составит:

.
3.6. Расчетная площадь разлившегося гексана Fи (м2) составит:
Fи = 1,0·Vг = 1,0·41 = 41 м2.
4. Для определения массы
m1 (кг) паров гексана, испарившихся при охлаждении разлившейся жидкости от
tр,2 = 50 °C до
tр,1 = 37 °C, воспользуемся
формулой (А.14) [1]:

.
5. Интенсивность испарения
W (кг·м
-2·с
-1) гексана при расчетной температуре
tр,1 = 37 °C определяем согласно
формуле (А.13) [1]:

.
6. Масса
m2 (кг) паров гексана, испарившихся с поверхности разлива при расчетной температуре
tр,1 = 37 °C, согласно
формуле (А.12) [1] составит:
m2 = 3,0802·10-4·41·3600 = 45,464 кг.
7. Суммарная масса испарившегося гексана составит:
m = m1 + m2 = 1,808 + 45,464 = 47,272 кг.
Поскольку mп = 25,904 < m = 47,272 кг, то принимаем, что масса вышедшего при аварийной разгерметизации приемной емкости гексана испаряется полностью, т.е. m = mп = 25,904 кг.
8. Избыточное давление взрыва

согласно
формуле (16) Пособия будет равно:

.
9. Расчетное избыточное давление взрыва превышает 5 кПа, следовательно, помещение приемной емкости охлажденного гексана относится к категории А.
1. Исходные данные.
1.1. Помещение насосной диметилформамида (ДМФА). В помещении расположены три насоса, откачивающих ДМФА из расположенного вне пределов помещения сборника, в который ДМФА отбирается из отгонного куба низа ректификационной колонны при температуре
T1 = 130 °C = 403,2 К. Температура нагретого ДМФА в сборнике
Tа = 110 °C = 383,2 К. Производительность одного насоса
q = 1 м
3·ч
-1 = 2,78 x 10
-4 м
3·с
-1 = 0,278 л·с
-1. На подводящих и отводящих трубопроводах насосов за пределами помещения установлены автоматические задвижки (время отключения

). Объем ДМФА в отводящих и подводящих трубопроводах с учетом объема ДМФА в насосе для одного насоса составляет
Vтр = 0,02 м
3 = 20 л. Размеры помещения
L x
S x
H = 18 x 6 x 6 м. Площадь помещения
F = 108 м
2. Объем помещения
Vп = 648 м
3. Свободный объем помещения
Vсв = 0,8·648 = 518,4 м
3.
1.2. Молярная масса ДМФА
M = 73,1 кг·кмоль
-1. Константы уравнения Антуана:
A = 6,15939;
B = 1482,985;
Cа = 204,342. Химическая формула ДМФА C
3H
7ON. Стехиометрическая концентрация ДМФА
Cст = 4,64% (об.). Плотность жидкости ДМФА при
t = 25 °C

(с запасом для
t = 110 °C при расчетах). Теплоемкость ДМФА принимаем с запасом для расчетов по гексану
Cж = 2514 Дж·кг
-1·К
-1 (
пример 7 Пособия). Температура вспышки ДМФА
tвсп = 53 °C. Температура кипения ДМФА
tк = 153 °C. Теплоту сгорания

принимаем с запасом для расчетов по гексану (
приложение 1 Пособия).
2. Обоснование расчетного варианта аварии.
При определении избыточного давления взрыва в качестве расчетного варианта аварии принимается разгерметизация одного насоса и выход из него и подводящих и отводящих трубопроводов ДМФА в объем помещения. За расчетную температуру принимается температура нагрева ДМФА в сборнике
tр,2 = 110 °C. Максимальная абсолютная температура воздуха в данном районе (г. Москва) согласно
[3] tр,1 = 37 °C.
3. Определение параметров взрывопожарной опасности проводим в соответствии с требованиями
[1] и данного Пособия.
3.1. Плотность паров ДМФА при tр,1 = 37 °C составит:

;
при tр,2 = 110 °C

.
3.2. Давление насыщенных паров ДМФА при температуре
tр,2 = 110 °C составит соответственно (
п. 3.2 Пособия):

;
Pн = 27,65 кПа.
3.3. Удельная теплота испарения
Lисп (Дж·кг
-1) ДМФА при температуре
tр,2 = 110 °C рассчитывается по
формуле (А.15) [1]:
3.4. Объем Vд (м3) ДМФА, вышедшего в помещение, и площадь разлива жидкости Fр (м2) составит:

;
Fр = 1,0·Vд = 1,0·53,4 = 53,4 м2.
3.5. Масса вышедшего в помещение ДМФА mп (кг) составит:

.
4. Масса
m (кг) паров ДМФА, образующихся при испарении нагретой жидкости ДМФА, определяется по
формуле (А.14) [1]:

.
5. Избыточное давление взрыва

согласно
формуле (13) Пособия составит:

.
6. Расчетное избыточное давление взрыва не превышает 5 кПа. Помещение насосной диметилформамида не относится к категориям А или Б. Согласно
п. Б.2 и
табл. Б.1 [1] проведем проверку принадлежности помещения к категориям В1 - В4.
7. В соответствии с
п. Б.2 [1] определим пожарную нагрузку
Q и удельную пожарную нагрузку
g:

;
G = 3·mп = 3·50,73 = 152,2 кг;

;
S = 3·Fр = 3·53,4 = 160,2 м2.
Поскольку F < Fр, принимаем S = F = 108 м2.
8. Удельная пожарная нагрузка менее 180 МДж·м
-2, но площадь размещения пожарной нагрузки более 10 м
2. В соответствии с
табл. Б.1 [1] помещение насосной диметилформамида относится к категории В3.
5.4. Помещения с горючими пылями
1. Исходные данные.
1.1. Производственное помещение, где осуществляется фасовка пакетов с сухим растворимым напитком, имеет следующие габариты: высота - 8 м, длина - 30 м, ширина - 10 м. Свободный объем помещения составляет Vсв = 0,8·8·30·10 = 1920 м3. В помещении расположен смеситель, представляющий собой цилиндрическую емкость со встроенным шнекообразным устройством равномерного перемешивания порошкообразных компонентов напитка, загружаемых через расположенное сверху входное отверстие. Единовременная загрузка дисперсного материала в смеситель составляет mап = m = 300 кг. Основным компонентом порошкообразной смеси является сахар (более 95% (масс.), который представляет наибольшую пожаровзрывоопасность. Подготовленная в смесителе порошкообразная смесь подается в аппараты фасовки, где производится дозирование (по 30 г) сухого напитка в полиэтиленовые упаковки. Значительное количество пылеобразного материала в смесителе и частая пылеуборка в помещении позволяет при обосновании расчетного варианта аварии пренебречь пылеотложениями на полу, стенах и других поверхностях.
1.2. Расчет категории помещения производится по сахарной пыли, которая представлена в подавляющем количестве по отношению к другим компонентам сухого напитка. Теплота сгорания пыли Hт = 16477 кДж·кг-1 = 1,65·107 Дж·кг-1. Распределение пыли по дисперсности представлено в таблице.
Фракция пыли, мкм | <= 100 мкм | <= 200 мкм | <= 500 мкм | <= 1 000 мкм |
Массовая доля, % (масс.) | 5 | 10 | 40 | 100 |
Критический размер частиц взрывоопасной взвеси сахарной пыли d* = 200 мкм.
2. Обоснование расчетного варианта аварии.
Поскольку в помещении не обращаются горючие газы, легковоспламеняющиеся жидкости с температурой вспышки не более 28 °C, а также вещества и материалы, способные взрываться и гореть при взаимодействии с водой, кислородом воздуха или друг с другом, данное помещение не относится к категории А.
В соответствии с
п. 5.2 [1] следует рассмотреть возможность отнесения данного помещения к категории Б. Поскольку в помещении обращаются только горючие пыли, для проверки возможности отнесения данного помещения к категории Б следует рассмотреть аварию, сопровождающуюся образованием облака горючей пыли, и произвести расчет избыточного давления взрыва.
Аварийная ситуация, которая сопровождается наибольшим выбросом горючего материала в объем помещения, связана с разгерметизацией смесителя, как емкости, содержащей наибольшее количество горючего материала. Процесс разгерметизации может быть связан со взрывом взвеси в смесителе: в процессе перемешивания в объеме смесителя создается взрывоопасная смесь горючего порошка с воздухом, зажигание которой возможно разрядом статического электричества или посторонним металлическим предметом, попавшим в аппарат при загрузке исходных компонентов; затирание примесного материала между шнеком и корпусом смесителя приводит к его разогреву до температур, достаточных для зажигания пылевоздушной смеси. Взрыв пыли в объеме смесителя вызывает ее выброс в объем помещения и вторичный взрыв. Отнесение помещения к категории Б зависит от величины расчетного избыточного давления взрыва.
3. Расчет избыточного давления взрыва

производится по
формуле (А.4) [1], где коэффициент участия пыли во взрыве
Z рассчитывается по
формуле (А.16) [1] (для
d* <= 200 мкм
F = 10% = 0,1) и составляет:
Z = 0,5·F = 0,5·0,1 = 0,05.
Отсюда получаем:

.
4. Расчетное избыточное давление взрыва превышает 5 кПа, следовательно, помещение фасовки пакетов с сухим растворимым напитком относится к категории Б.
1. Исходные данные.
1.1. Складское помещение мукомольного комбината для хранения муки в мешках по 50 кг. Свободный объем помещения Vсв = 1000 м3. Ежесменная пылеуборка в помещении позволяет пренебречь пылеотложениями на полу, стенах и других поверхностях (mвз = 0). Размещение мешков производится вручную складскими работниками. Максимальная высота подъема мешка не превышает 2 м.
1.2. Единственным взрывопожароопасным веществом в помещении является мука: мелкодисперсный продукт (размер частиц менее 100 мкм). Теплота сгорания Hт = 1,8·107 Дж·кг-1. Критический размер частиц взрывоопасной взвеси мучной пыли d* = 250 мкм.
1.3. Сведения, необходимые для определения стехиометрической концентрации мучной пыли

в воздухе при нормальных условиях (атмосферное давление 101,3 кПа, температура 20 °C), могут задаваться одним из трех способов:
1) прямым указанием величины:

;
2) указанием сведений о брутто-формуле химического состава вещества, например, в виде C
УH
ВO
КN
А. В таком случае расчет

производится на основе химического уравнения окисления данного вещества воздухом до соответствующих продуктов взаимодействия (CO
2, H
2O и N
2) - по формуле

.
При наличии в брутто-формуле вещества других атомов, например S, P, Al, и т.д., в расчете должны учитываться дополнительные продукты окисления: SO3, P2O5, Al2O3 и т.д.;
| | ИС МЕГАНОРМ: примечание. Взамен ГОСТ 21261-91 Приказом Росстандарта от 30.11.2021 N 1664-ст с 01.01.2023 введен в действие ГОСТ 21261-2021. | |
3) результатами экспериментального измерения убыли массы кислорода

в камере, где произведено выжигание пробной массы исследуемого вещества

в атмосфере кислорода (например, в установке для определения теплоты сгорания вещества по ГОСТ 21261-91).
В этом случае расчет

производится по формуле

,
где MO - масса кислорода в 1 м3 воздуха; допускается принимать MO = 0,24 кг·м-3.
2. Обоснование расчетного варианта аварии.
Поскольку в помещении не обращаются горючие газы, легковоспламеняющиеся жидкости с температурой вспышки не более 28 °C, а также вещества и материалы, способные взрываться и гореть при взаимодействии с водой, кислородом воздуха или друг с другом, данное помещение не относится к категории А.
В соответствии с
п. 5.2 [1] следует рассмотреть возможность отнесения данного помещения к категории Б. Поскольку в нем обращаются только горючие пыли, для проверки возможности отнесения данного помещения к категории Б следует рассмотреть аварию, сопровождающуюся образованием облака горючей пыли, и произвести расчет избыточного давления взрыва.
Аварийная ситуация с образованием пылевоздушного облака может быть связана с разрывом тары (одного из мешков с мукой), в результате которого его содержимое (mав = 50 кг), поступая в помещение с максимально возможной высоты (H = 2 м), образует взрывоопасную взвесь. С определенным запасом надежности примем объем образующегося при этом пылевоздушного облака равным объему конуса, имеющего высоту H и радиус основания также равный H. В этом случае объем аварийного облака составит:

.
3. Коэффициент участия пыли во взрыве
Z рассчитывается по
формуле (А.16) [1] и составляет:
Z = 0,5·F = 0,5·1 = 0,5.
4. Расчетную массу взвешенной в объеме помещения пыли
m (кг), образовавшейся в результате аварийной ситуации, определяют по
формуле (А.17) [1]:

.
Поскольку
mвз +
mав = 0 + 50 = 50 кг;

, следует принять
m = 4,2 кг.
Для надежного выполнения расчета

целесообразно объяснить физический смысл использованной здесь
формулы (А.17) [1]. Избыточное давление воздуха в помещении при горении взвеси объясняется тепловыделением реакции окисления дисперсного горючего кислородом воздуха. Поэтому в окончательном расчете давления взрыва присутствует общая масса сгоревшей в пылевоздушном облаке пыли
m и теплотворная характеристика выгорания единичного количества пыли
Hт. Понятно, что масса
m не может превысить общую массу пыли в этом облаке (
mвз +
mав), которая записана в верхней строке
формулы (А.17) [1]. Но масса
m может быть меньше (
mвз +
mав). Последнее происходит в случае горения пылевоздушных облаков, обогащенных горючим, когда для полного выгорания пыли в таком облаке не хватает кислорода воздуха. Для подобных "богатых" смесей масса выгорающей пыли будет ограничена содержанием кислорода в облаке, а потому не должна превосходить величину

, представленную в нижней строке
формулы (А.17) [1]. Добавим, что поправка (1/
Z) к указанной величине обусловлена спецификой расчета

, куда масса сгоревшей пыли фактически входит в виде комплекса
m·
Z.

.
6. Расчетное избыточное давление взрыва не превышает 5 кПа, следовательно, рассматриваемое помещение мукомольного комбината для хранения муки не относится к категории Б и его следует относить к категории В1 - В4 в зависимости от пожарной нагрузки, находящейся в этом помещении.
5.5. Помещения с горючими жидкостями
При определении категории помещений в нижеприведенных примерах учитываются следующие положения
[1]:
- в качестве расчетного выбирается наиболее неблагоприятный вариант аварии, при котором участвует аппарат, имеющий наибольшую пожарную нагрузку (
пп. А.1.1,
Б.1 [1]);
- площадь пожарной нагрузки определяется с учетом особенностей технологии, под площадью пожарной нагрузки понимается площадь поверхности зеркала ГЖ в аппарате, площадь разлива ГЖ из аппарата, ограниченная бортиками, поддонами, площадь, занимаемая оборудованием, сливными емкостями и т.п.
Цех разделения, компрессии воздуха и компрессии продуктов разделения воздуха. Машинное отделение. В помещении находятся горючие вещества (турбинные, индустриальные и другие масла с температурой вспышки выше 61 °C), которые обращаются в центробежных и поршневых компрессорах. Количество масла в компрессоре составляет 15 кг. Количество компрессоров 5. Температура нагрева масел в компрессорах менее температур их вспышек.
Определим категорию помещения для случая, когда количество масла в каждом из компрессоров составляет 15 кг, а другая пожарная нагрузка отсутствует.
В соответствии с
п. Б.2 [1] пожарная нагрузка определяется из соотношения

,
где
Gi - количество
i-го материала пожарной нагрузки, кг;

- низшая теплота сгорания
i-го материала пожарной нагрузки, МДж·кг
-1.
Низшая теплота сгорания для турбинного масла составляет 41,87 МДж·кг-1. Пожарная нагрузка будет равна:
Q = 15·41,87 = 628 МДж.
Согласно технологическим условиям площадь размещения пожарной нагрузки составляет 6 - 8 м
2. В соответствии с
п. Б.2 [1] принимаем площадь размещения пожарной нагрузки
S = 10 м
2. Удельная пожарная нагрузка составит:

.
В соответствии с
табл. Б.1 [1] помещения с данной удельной пожарной нагрузкой могут быть отнесены к категории В4 (
g <= 180 МДж·м
-2) при условии, что способ ее размещения удовлетворяет необходимым требованиям, изложенным в
приложении Б [1].
Для пожарной нагрузки, состоящей из ЛВЖ и ГЖ, расстояния между участками разлива пожарной нагрузки должны быть больше предельных.
В помещении минимальное расстояние от поверхности пожарной нагрузки до нижнего пояса ферм H составляет около 9 м. При этих условиях (H < 11 м) предельное расстояние lпр должно удовлетворять неравенству
lпр >= 26 - H или при H = 9 м lпр >= 17 м.
Поскольку данное условие для машинного отделения не выполняется (расстояния между агрегатами не более 6 м), то помещение машинного отделения согласно
табл. Б.1 [1] относится к категории В3.
Определим категорию помещения для другого случая, когда количество масла в одном из компрессоров (имеющем наибольшее количество масла) составляет 1200 кг.
В соответствии с
п. Б.2 [1] пожарная нагрузка будет равна:
Q = 1200·41,87 = 50244 МДж.
Согласно технологическим условиям площадь размещения пожарной нагрузки будет составлять 30 м
2. В соответствии с
п. Б.2 [1] принимаем площадь размещения пожарной нагрузки
S = 30 м
2. Удельная пожарная нагрузка составит:

.
В соответствии с
табл. Б.1 [1] помещения с данной удельной пожарной нагрузкой могут быть отнесены к категории В2 при условии, что способ ее размещения удовлетворяет необходимым требованиям, изложенным в
приложении Б [1].
В данном помещении минимальное расстояние H от поверхности пожарной нагрузки до покрытия составляет около 6,5 м.
Определим, выполняется ли условие
Q >= 0,64·g·H2.
После подстановки численных значений получим:
0,64·g·H2 = 0,64·2200·6,52 = 59488 МДж.
Так как
Q = 50244 МДж и условие
Q >= 59488 МДж не выполняется, то помещение машинного отделения согласно
табл. Б.1 [1] относится к категории В2.
Определим категорию помещения, приведенного в
примере 11, для другого случая, когда количество масла в одном из компрессоров (имеющем наибольшее количество масла) составляет 1200 кг.
В соответствии с
п. Б.2 [1] пожарная нагрузка будет равна:
Q = 1200·41,87 = 50244 МДж.
Согласно технологическим условиям площадь размещения пожарной нагрузки составляет 26 м
2. В соответствии с
п. Б.2 [1] принимаем площадь размещения пожарной нагрузки
S = 26 м
2. Удельная пожарная нагрузка составит:

.
В соответствии с
табл. Б.1 [1] помещения с данной удельной пожарной нагрузкой могут быть отнесены к категории В2 при условии, что способ ее размещения удовлетворяет необходимым требованиям, изложенным в
приложении Б [1].
В данном помещении минимальное расстояние H от поверхности пожарной нагрузки до покрытия составляет около 9 м.
Определим, выполняется ли условие
Q >= 0,64·g·H2.
После подстановки численных значений получим:
0,64·g·H2 = 0,64·2200·92 = 114048 МДж.
Так как
Q = 50244 МДж и условие
Q >= 114048 МДж не выполняется, то согласно
табл. Б.1 [1] помещение машинного отделения относится к категории В2.
Определим категорию того же помещения
(пример 13) для случая, когда количество масла в одном из компрессоров (имеющем наибольшее количество масла) составляет 7000 кг.
В соответствии с
п. Б.2 [1] пожарная нагрузка будет равна:
Q = 7000·41,87 = 293090 МДж.
Согласно технологическим условиям площадь размещения пожарной нагрузки составляет 130 м
2. В соответствии с
п. Б.2 [1] принимаем площадь размещения пожарной нагрузки
S = 130 м
2. Удельная пожарная нагрузка составит:

.
В соответствии с
табл. Б.1 [1] помещение машинного отделения с данной удельной пожарной нагрузкой относится к категории В1.
5.6. Помещения с твердыми горючими веществами и материалами
Складское здание. Представляет собой многостеллажный склад, в котором предусмотрено хранение на металлических стеллажах негорючих материалов в картонных коробках. В каждом из десяти рядов стеллажей имеется десять ярусов, шестнадцать отсеков, в которых хранятся по три картонных коробки весом 1 кг каждая. Верхняя отметка хранения картонной тары на стеллажах составляет 5 м, а высота нижнего пояса до отметки пола 7,2 м. Длина стеллажа составляет 48 м, ширина 1,2 м, расстояние между рядами стеллажей - 2,8 м.
Согласно исходным данным площадь размещения пожарной нагрузки в каждом ряду составляет 57,6 м2.
Определим полное количество горючего материала (картон) в каждом ряду стеллажей:
10 ярусов x 16 отсеков x 3 коробки x 1 кг = 480 кг.
Низшая теплота сгорания для картона составляет 13,4 МДж·кг-1. Пожарная нагрузка будет равна:
Q = 480·13,4 = 6432 МДж.
Удельная пожарная нагрузка составит:

.
Это значение удельной пожарной нагрузки соответствует категории В4. Однако площадь размещения пожарной нагрузки превышает 10 м
2. Поэтому к категории В4 данное помещение не относится. В соответствии с
табл. Б.1 [1] помещение складского здания относится к категории В3.
Производственная лаборатория. В помещении лаборатории находятся: шкаф вытяжной химический, стол для микроаналитических весов, два стула. В лаборатории можно выделить один участок площадью 10 м2, на котором расположены стол и два стула, изготовленные из дерева. Общая масса древесины на этом участке составляет около 47 кг.
Низшая теплота сгорания для древесины составляет 13,8 МДж·кг-1. Пожарная нагрузка будет равна:
Q = 13,8·47 = 648,6 МДж.
Площадь размещения пожарной нагрузки составляет 2,5 м
2. В соответствии с
п. Б.2 [1] принимаем площадь размещения пожарной нагрузки
S = 10 м
2. Удельная пожарная нагрузка составит:

.
В соответствии с
табл. Б.1 [1] помещение производственной лаборатории с данной удельной пожарной нагрузкой относится к категории В4.
Поскольку в помещении лаборатории нет других участков с пожарной нагрузкой, то согласно
табл. Б.1 и
п. Б.2 [1] проверка помещения производственной лаборатории на принадлежность к категории В3 не производится.
Помещение гаража. Основную пожарную нагрузку автомобиля составляет резина, топливо, смазочные масла, искусственные полимерные материалы. Среднее значение количества этих материалов для грузового автомобиля следующее: резина - 118,4 кг, дизельное топливо - 120 кг, смазочные масла - 18 кг, пенополиуретан - 4 кг, полиэтилен - 1,8 кг, полихлорвинил - 2,6 кг, картон - 2,5 кг, искусственная кожа - 9 кг. Общая масса горючих материалов 276,3 кг. Как показано выше в
примере 5, для дизельного топлива

, т.е. помещение не относится к категории А или Б.
Низшая теплота сгорания составляет: смазочное масло - 41,87 МДж·кг-1, резина - 33,52 МДж·кг-1, дизельное топливо - 43,59 МДж·кг-1, пенополиуретан - 24,3 МДж·кг-1, полиэтилен - 47,14 МДж·кг-1, полихлорвинил - 14,31 МДж·кг-1, картон - 13,4 МДж·кг-1, искусственная кожа - 17,76 МДж·кг-1. Пожарная нагрузка будет равна:
Q = 18·41,87 + 118,4·33,52 + 120·43,59 + 4·24,3 + 1,8 x
x 47,14 + 2,5·13,4 + 9·17,76 + 2,6·14,31 = 10365,8 МДж.
Минимальное расстояние H от поверхности пожарной нагрузки до покрытия составляет 6 м. Площадь размещения пожарной нагрузки S = 10 м2. Удельная пожарная нагрузка составит:

.
В соответствии с
табл. Б.2 [1] помещение с данной удельной пожарной нагрузкой относится к категории В3.
Q >= 0,64·g·H2.
После подстановки численных значений получим:
0,64·g·H2 = 0,64·1400·62 = 32256 МДж.
Так как Q = 10365,8 МДж и условие Q >= 32256 МДж не выполняется, помещение гаража относится к категории В3.
5.7. Помещения с горючими газами,
легковоспламеняющимися жидкостями, горючими жидкостями,
пылями, твердыми веществами и материалами
1. Исходные данные.
1.1. Помещение малярно-сдаточного цеха тракторосборочного корпуса. В помещении цеха производится окрашивание и сушка окрашенных тракторов на двух конвейерных линиях. В сушильных камерах в качестве топлива используется природный газ. Избыток краски из окрасочных камер смывается водой в коагуляционный бассейн, из которого после отделения от воды краска удаляется по трубопроводу за пределы помещения для дальнейшей ее утилизации.
1.2. Используемые вещества и материалы:
- природный газ метан (содержание 99,2% (об.);
1.3. Физико-химические свойства веществ и материалов
[2].
Молярная масса, кг·кмоль-1:
- метана

;
- сольвента

.
Расчетная температура tр, °C:
- в помещении
tп = 39
[3];
- в сушильной камере tк = 80.
Плотность жидкости, кг·м-3:
- сольвента

.
Плотность газов и паров, кг·м-3:
- метана

;
Парциальное давление насыщенных паров при температуре 39 °C
[2], кПа:
- сольвента

;

.
Интенсивность испарения при 39 °C, кг·м-2·с-1:
- сольвента

.
1.4. Пожароопасные свойства
[2].
Температура вспышки, °C:
- сольвента tвсп = 21.
Нижний концентрационный предел распространения пламени (НКПР), % (об.):
- метана

;
- сольвента

.
Стехиометрическая концентрация, % (об.):
- метана

;
- сольвента

(
Cст,с).
1.5. Размеры помещений и параметры технологического процесса.
1.5.1. Общие размеры цеха: L = 264,7 м, S = 30,54 м, H = 15,75 м. Объем помещения Vп = 264,7·30,54·15,75 = 127322,0 м3.
1.5.2. Площадь окрасочного пролета со встроенными помещениями на отметке 0,00: Fобщ = 264,7·30,54 = 8083,94 м2.
1.5.3. Площади встроенных помещений:
- тамбур (ось В/1) F1,встр = 1,75·3,49 = 6,11 м2;
- ПСУ (оси К-К/1) F2,встр = 1,97·6,61 = 13,02 м2;
- помещения (оси Л/3-Р/1) F3,встр = 82,76·6,55 = 542,08 м2;
- помещения (оси У-Х1) F4,встр = 50,04·6,55 = 327,76 м2;
- суммарная площадь встроенных помещений:
Fвстр = F1,встр + F2,встр + F3,встр + F4,встр =
= 6,11 + 13,02 + 542,08 + 327,76 = 888,97 м2.
1.5.4. Площадь окрасочного пролета без встроенных помещений:
Fоп = Fобщ - Fвстр = 8083,94 - 888,97 = 7194,97 м2.
1.5.5. Объем окрасочного пролета с площадью Fоп и высотой H:
Vбвп = 7194,97·15,75 = 113320,78 м3.
1.5.6. Объемы встроенных помещений на отметке 6,500:
- венткамера (отм. 6,500, ось В/1, консоль):
V1,встр = 1,95·27,05·9,25 = 487,91 м3;
- венткамера (отм. 6,500, оси Х/Х1, консоль):
V2,встр = 5,47·23,99·9,25 = 1213,83 м3;
- венткамера (отм. 6,500, оси И/2-К/2):
V3,встр = 23,92·7,27·9,25 - 13,02·9,25 = 1488,12 м3;
- венткамера (отм. 6,500, оси Р/1-У):
V4,встр = 5,43·6,55·9,25 = 328,99 м3;
- венткамера (отм. 6,500, оси П/2-У, консоль):
V5,встр = 0,72·27,0·9,25 = 179,82 м3;
- суммарный объем встроенных помещений:
V1-5,встр = V1,встр + V2,встр + V3,встр +
+ V4,встр + V5,встр = 3698,67 м3.
1.5.7. Объем окрасочного пролета без объема V1-5,встр:
V1 = Vбвп - V1-5,встр = 113320,78 - 3698,67 = 109622,11 м3.
1.5.8. Объемы над встроенными помещениями на отметке 12,030:
- венткамеры (отм. 12,030, оси Л/3-М/1):
V1,пер = 10,5·6,55·3,72 = 255,84 м3;
- помещения (отм. 6,500, оси М/1-М/3):
V2,пер = 6,5·6,55·9,25 = 393,82 м3;
- венткамеры (отм. 12,030, оси М/3-Н/1):
V3,пер = 5,08·6,55·3,72 = 123,78 м3;
- помещения (отм. 7,800, оси Ф-Х):
V4,пер = 23,1·6,55·7,95 - 5,82·2,72·2,82 = 1158,23 м3;
- тамбур (отм. 3,74, ось В/1):
V5,пер = 1,75·3,49·2,26 = 13,80 м3;
- ПСУ (отм. 3,040, оси К-К/1):
V6,пер = 1,97·6,61·2,96 = 38,54 м3;
- общий объем над встроенными помещениями:
V1-6,пер = V1,пер + V2,пер + V3,пер + V4,пер +
+ V5,пер + V6,пер = 1984,01 м3.
1.5.9. Объем бассейна коагуляции на отметке -2,500 и 0,00 (
L = 80,5 м,

,

):
Vб = (1,90·6,40 + 2,40·5,00 + 1,40·4,00 + 6,40·3,10 + 66,4 x
x 2,60 + 2,0·2,50)·2,20 + 76,20·1,00·2,10 = 659,95 м3.
1.5.10. Объем помещения окрасочного участка малярно-сдаточного цеха:
Vп = V1 + V1-6,пер + Vб = 109622,11 + 1984,01 + 659,95 =
= 112266,07 м3.
1.5.11. Свободный объем помещения окрасочного участка малярно-сдаточного цеха:
Vсв = 0,8·Vп = 0,8·112266,07 = 89812,86 м3 ~= 89813 м3.
1.5.12. Толщина слоя лакокрасочных материалов:
- грунт ФЛ-03

;
- эмаль МЛ-152

.
1.5.13. Расход лакокрасочных материалов:
- грунт ФЛ-03К Gг,фл = 3,97 г·м-2·мкм-1;
- эмаль МЛ-152 Gэ = 4,2 г·м-2·мкм-1.
1.5.14. Содержание горючих растворителей в лакокрасочных материалах:
- грунт ФЛ-03К

;
- эмаль МЛ-152

.
1.5.15. Расход растворителя на единицу площади окрашиваемых поверхностей тракторов:
- сольвент (грунт ФЛ-03К) Gрфл = 2,66 г·м-2·мкм-1;
- сольвент (эмаль МЛ-152) Gрэ = 3,276 г·м-2·мкм-1.
1.5.16. Производительность конвейера по площади нанесения лакокрасочных материалов:
- линия окрашивания тракторов в серийном исполнении:
nк,с = 407,3 м2·ч-1 = 6,79 м2·мин-1 = 0,1131 м2·с-1;
- линия окрашивания тракторов в экспортном исполнении:
nк,э = 101,8 м2·ч-1 = 1,70 м2·мин-1 = 0,0283 м2·с-1.
1.5.17. Производительность конвейера по массе растворителя, содержащегося в нанесенных лакокрасочных материалах:
- нанесение грунта ФЛ-03К (сольвент), окрашивание тракторов в экспортном исполнении:
nр,фл = 101,8·15·2,66·10-3 = 4,0618 кг·ч-1 =
= 0,001128 кг·с-1;
- нанесение эмали МЛ-152 (сольвент), окрашивание тракторов в экспортном исполнении:
nр,э = 101,8·20·3,276·10-3 = 6,6699 кг·ч-1 =
= 0,001853 кг·с-1;
- нанесение эмали МЛ-152 (сольвент), окрашивание тракторов в серийном исполнении:
nр,эс = 407,3·20·3,276·10-3 = 26,6863 кг·ч-1 =
= 0,007413 кг·с-1.
2. Обоснование расчетных вариантов аварии.
2.1. Разгерметизация трубопровода, подающего природный газ в теплогенераторы, при работающем конвейере.
2.1.1. Расход метана в подводящем трубопроводе при давлении

:

.
2.1.2. Масса газа

, поступающего из трубопроводов диаметром
dг = 0,219 м и общей длиной участков трубопроводов
Lг = 1152 м, согласно
пп. А.1.2 в) и
А.2.4 [1] составит:

.
2.1.3. Масса растворителя, испаряющегося с окрашенных изделий, при работающем конвейере за время аварийной ситуации
Tа = 3600 с = 1 ч
[1] с учетом коэффициента избытка лакокрасочных материалов
Kи = 2 составит:
- линия окрашивания тракторов в серийном исполнении, окрашивание эмалью МЛ-152:
mэс = 2·nр,эс·Tа = 2·26,6863·1 = 53,3726 кг;
- линия окрашивания тракторов в экспортном исполнении, грунтование грунтом ФЛ-03К:
mгэ = 2·nр,фл·Tа = 2·4,0618·1 = 8,1236 кг;
- линия окрашивания тракторов в экспортном исполнении, окрашивание эмалью МЛ-152:
mээ = 2·nр,э·Tа = 2·6,6699·1 = 13,3398 кг.
2.1.4. Масса растворителя
mрб (кг), испаряющегося со свободной поверхности бассейна коагуляции
Fбк = 226,84 м
2 за время аварийной ситуации
Tа = 3600 с
[1], составит:
mрб = Wс·Fбк·Tа = 3,1919·10-5·226,84·3600 = 26,0658 кг.
2.2. Разгерметизация красконагнетательного бака при работающем конвейере.
2.2.1. Масса растворителя, поступающего в помещение при аварийной ситуации из красконагнетательного бака Vбк = 60 л = 0,06 м3 и трубопроводов диаметром dбко = dбкп = 0,04 м и длиной (Lбко + Lбкп) = 312 м, составит:
2.2.2. Площадь испарения Fи,бк (м2) с поверхности разлившейся из бака и трубопровода эмали МЛ-152 будет равна:

.
2.2.3. Масса растворителя
mрбб (кг), испаряющегося со свободной поверхности бассейна коагуляции и с поверхности разлившейся эмали МЛ-152 из красконагнетательного бака, будет равна:
mрбб = mрб + Wс·Fи,бк·Tа = 26,0658 + 3,1919·10-5·458,6 x
x 3600 = 78,7628 кг.
2.2.4. Масса растворителя
mрк (кг), испаряющегося с окрашенных изделий при работающем конвейере
(п. 2.1.3), составит:
mрк = mэс + mгэ + mээ = 53,3726 + 8,1236 + 13,3398 =
= 74,836 кг.
2.2.5. Масса паров растворителя mп,р (кг), поступившая в объем помещения при аварийной ситуации, будет равна:
mп,р = mрбб + mрк = 78,7628 + 74,836 = 153,5988 кг.
2.3. Разгерметизация красконагнетательного бака, остановка конвейера.
2.3.1. Масса растворителя
mрбб (кг), испаряющегося со свободной поверхности бассейна и с поверхности разлившейся эмали МЛ-152 из красконагнетательного бака
(п. 2.2.3).
2.3.2. Площадь окрашиваемых поверхностей, находящихся на технологических линиях окраски тракторов в экспортном и серийном исполнении, и масса растворителя, содержащегося в лакокрасочных материалах, нанесенных на эти поверхности, составят:
- участок нанесения грунта ФЛ-03К, линия окрашивания тракторов в экспортном исполнении:
Fго = 260 м2;

;
- участок сушки грунта ФЛ-03К, линия окрашивания тракторов в экспортном исполнении:
Fгс = 227,5 м2;

;
- участок нанесения эмали МЛ-152, линия окрашивания тракторов в экспортном исполнении:
Fэо = 305,5 м2;

;
- участок сушки эмали МЛ-152, линия окрашивания тракторов в экспортном исполнении:
Fэсэ = 500,5 м2;

;
- участок нанесения эмали МЛ-152, линия окрашивания тракторов в серийном исполнении:
Fэос = 533 м2;

;
- участок сушки эмали МЛ-152, линия окрашивания тракторов в серийном исполнении:
Fэсс = 1092 м2;

.
2.4. Разгерметизация трубопровода, подающего природный газ в теплогенераторы, остановка конвейера.
2.4.1. Масса газа

, поступающего из трубопровода
(п. 2.1.2).
2.4.2. Масса растворителя, испаряющегося с окрашенных поверхностей и со свободной поверхности (
пп. 2.3.2 и
2.1.4).
3. Расчет избыточного давления взрыва

для различных вариантов аварийных ситуаций проводится согласно
формуле (А.1) [1].
3.1. Разгерметизация трубопровода, подающего природный газ в теплогенераторы, при работающем конвейере:
Расчетное избыточное давление взрыва не превышает 5 кПа, следовательно, при данном варианте аварийной ситуации помещение малярно-сдаточного цеха не относится к категории А или Б.
3.2. Разгерметизация красконагнетательного бака при работающем конвейере:
Расчетное избыточное давление взрыва не превышает 5 кПа, следовательно, при данном варианте аварийной ситуации помещение малярно-сдаточного цеха не относится к категории А или Б.
3.3. Разгерметизация красконагнетательного бака, остановка конвейера:
Расчетное избыточное давление взрыва не превышает 5 кПа, следовательно, при данном варианте аварийной ситуации помещение малярно-сдаточного цеха не относится к категории А или Б.
3.4. Разгерметизация трубопровода, подающего природный газ в теплогенераторы, остановка конвейера:
Расчетное избыточное давление взрыва превышает 5 кПа, следовательно, при данном варианте аварийной ситуации помещение малярно-сдаточного цеха относится к категории А.
1. Исходные данные.
1.1. Помещение отделения консервации и упаковки станков. В помещении производится обезжиривание поверхностей станков в водном растворе тринатрийфосфата с синтанолом ДС-10, обезжиривание отдельных деталей станков уайт-спиритом и обработка поверхностей станков (промасливание) индустриальным маслом И-50. Размеры помещения L x S x H = 54,0 x 12,0 x 12,7 м. Объем помещения Vп = 8229,6 м3. Свободный объем помещения Vсв = 0,8·8229,6 = 6583,7 м3 ~= 6584 м3. Площадь помещения F = 648 м2. Обезжиривание станков раствором тринатрийфосфата (m1 = 20,7 кг) с синтанолом ДС-10 (m2 = 2,36 кг) осуществляется в ванне размером L1 x S1 x H1 = 1,5 x 1,0 x 1,0 м (F1 = 1,5 м2). Отдельные детали станков обезжириваются в вытяжном шкафу размером L2 x S2 x H2 = 1,2 x 0,8 x 2,85 м (F2 = 0,96 м2) уайт-спиритом, который хранится в шкафу в емкости объемом Vа = 3 л = 0,003 м3 (суточная норма). Обработка поверхностей станков производится в ванне с индустриальным маслом И-50 размером L3 x S3 x H3 = 1,15 x 0,9 x 0,72 м (F3 = 1,035 м2, V3 = 0,7452 м3) при температуре t = 140 °C. Масса индустриального масла И-50 в ванне m3 = 538 кг. Рядом с ванной для промасливания станков расположено место для упаковки станков размером L4 x S4 = 6,0 x 4,0 м (F4 = 24,0 м2), на котором находится упаковочная бумага массой m4 = 24 кг и обшивочные доски массой m5 = 1650 кг.
1.2. Тринатрийфосфат - негорючее вещество. Брутто-формула уайт-спирита C
10,5H
21,0. Молярная масса уайт-спирита
M = 147,3 кг·кмоль
-1. Константы уравнения Антуана для уайт-спирита:
A = 7,13623;
B = 2218,3;
Cа = 273,15. Температура вспышки уайт-спирита
tвсп > 33 °C, индустриального масла И-50
tвсп = 200 °C, синтанола ДС-10
tвсп = 247 °C. Плотность жидкости при температуре
t = 25 °C: уайт-спирита

, индустриального масла И-50

, синтанола ДС-10

. Теплота сгорания уайт-спирита

, индустриального масла И-50 по формуле Басса

, упаковочной бумаги

, древесины обшивочных досок

.
2. Обоснование расчетного варианта аварии.
При определении избыточного давления взрыва в качестве расчетного варианта аварии принимается разгерметизация емкости с уайт-спиритом. За расчетную температуру принимается максимальная абсолютная температура воздуха в данном районе (г. Вологда) согласно
[3] tр = 35 °C. Плотность паров уайт-спирита при
tр = 35 °C

. Длительность испарения по
п. А.1.2 е) [1] T = 3600 с.
3. Объем
Vж и площадь разлива
Fи поступившего в помещение при расчетной аварии уайт-спирита согласно
п. А.1.2. [1] составят:
Vж = Vа = 0,003 м3 = 3 л;
Fи = 1,0·3 = 3 м2.
4. Определяем давление Pн насыщенных паров уайт-спирита при расчетной температуре tр = 35 °C:

;
Pн = 0,87 кПа.
5. Интенсивность испарения W уайт-спирита составит:

.
6. Масса паров уайт-спирита m, поступивших в помещение, будет равна:
m = 1,056·10-5·3·3600 = 0,114 кг.
7. Избыточное давление взрыва

согласно
формуле (22) Пособия составит:

.
8. Расчетное избыточное давление взрыва не превышает 5 кПа. Помещение отделения консервации и упаковки станков не относится к категории А или Б, Согласно
п. Б.2 и
табл. Б.1 [1] проведем проверку принадлежности помещения к категориям В1 - В4.
9. В соответствии с
п. Б.2 [1] определим пожарную нагрузку
Q и удельную пожарную нагрузку
g:
G3 = m3 = 538 кг, G4 = m4 = 24 кг, G5 = m5 = 1650 кг;
Q = 538·42,744 + 24·13,272 + 1650·20,583 = 57277 МДж;
S = F3 + F4 = 1,035 + 24,0 = 25,035 м2;

.
10. Удельная пожарная нагрузка превышает 2200 МДж·м
-2. Помещение отделения консервации и упаковки станков согласно
табл. Б.1 [1] относится к категории В1.
1. Исходные данные.
1.1. Помещение первичных и вторичных смесителей, насосов и фильтров. В этом помещении осуществляется приготовление смеси для пропитки гидроизоляционных материалов и производится ее подача насосами в пропиточные ванны производственных линий, находящиеся в другом помещении. В качестве компонентов смеси используются битум БНК 45/190, полипропилен и наполнитель (тальк). Всего в помещении находится 8 смесителей: 6 смесителей объемом Vа = 10 м3 каждый, из которых каждые два заполнены битумом, а один пустой; 2 смесителя объемом Vа = 15 м3 каждый. Все смесители обогреваются диатермическим маслом (аллотерм-1), подаваемым из помещения котельной и имеющим температуру t = 210 °C. Температура битума и смеси в смесителях t = 190 °C. Смесь состоит из битума БНК 45/190 - 8 т, полипропилена - 1 т, талька - 1 т. Полипропилен подается в единичной таре в виде гранул массой m1 = 250 кг. В 1 т гранулированного полипропилена содержится до 0,3 кг пыли. Полипропилен загружается из тары в бункер смесителя объемом Vа = 1 м3. Количество полипропилена в бункере m2 = 400 кг, следовательно, пыли в этом бункере в грануляте содержится m3 = 0,12 кг.
Полипропилен и его сополимеры в процессе переработки при его нагревании выше температуры t = 150 °C могут выделять в воздух летучие продукты термоокислительной деструкции, содержащие органические кислоты, карбонильные соединения, оксид углерода. При этом на 1 т сырья выделяется 1,7 кг газообразных продуктов (в пересчете на уксусную кислоту).
Размеры помещения L x S x H = 24 x 36 x 12 м. Объем помещения Vп = 10368 м3. Свободный объем помещения Vсв = 0,8·10368 = 8294,4 м3. Площадь помещения F = 864 м2.
Производительность насоса с диатермическим маслом (аллотерм-1) n1 = 170 м3·ч-1 = 0,0472 м3·с-1 = 71,5 кг·с-1. Всего в системе циркуляции диатермического масла находится m4 = 15 т масла. Максимальная длина подводящих и отводящих трубопроводов с диатермическим маслом между ручными задвижками и смесителями L1 = 19 м, диаметр d1 = 150 мм = 0,15 м. Производительность насоса, подающего смесь в пропиточную ванну, n2 = 10 м3·ч-1 = 0,00278 м3·с-1 = 2,78 кг·с-1 (по битуму с полипропиленом 2,5 кг·с-1), а отводящего смесь в смесители из ванн n3 = 5 м3·ч-1 = 0,00139 м3·с-1 = 1,39 кг·с-1 (по битуму с полипропиленом 1,25 кг·с-1). Максимальная длина подводящих и отводящих трубопроводов со смесью между ручными задвижками и смесителями L2 = 15 м, диаметр d2 = 150 мм = 0,15 м. Производительность насоса, перекачивающего битум из резервуара, расположенного в другом помещении, в смесители, n4 = 25 м3·ч-1 = 0,007 м3·с-1 = 7 кг·с-1. Максимальная длина подводящего трубопровода между ручной задвижкой и смесителем L3 = 20 м, диаметр d3 = 150 мм = 0,15 м.
По данным технологического регламента с 1 т гранулированного полипропилена при загрузке в смеситель в помещение поступает 30 г (0,03 кг) содержащейся в грануляте пыли. Текущая влажная пылеуборка производится не реже 1 раза в смену, генеральная влажная пылеуборка не реже 1 раза в месяц. Производительность по перерабатываемому полипропилену
n5 = 1,65 т·ч
-1. Доли выделяющейся в объем помещения пыли, оседающей на труднодоступных и доступных для уборки поверхностях, соответственно

и

.
1.2. Тальк - негорючее вещество. Температура вспышки битума БНК 45/190
tвсп = 212 °C, аллотерма-1
tвсп = 214 °C. Плотность жидкости битума

, аллотерма-1

. Теплота сгорания битума по формуле Басса

, аллотерма-1

, полипропилена

.
2. Обоснование расчетного варианта аварии.
При определении избыточного давления взрыва в качестве расчетного из двух вариантов аварии принимается наиболее неблагоприятный по последствиям взрыва. За первый вариант аварии принимается разгерметизация бункера при загрузке полипропилена в смеситель. За второй вариант принимается разгерметизация трубопровода на участке между смесителем и задвижкой перед насосом, перекачивающим смесь из ванны в смеситель.
2.1. Разгерметизация бункера при загрузке полипропилена в смеситель. Расчет проводим в соответствии с
пп. А.3.2 -
А.3.6.
2.1.1. Интенсивность пылеотложений n6 в помещении при загрузке в бункера смесителей полипропилена из тары по исходным данным составит:
n6 = 0,03·1,65 = 0,0495 кг·ч-1.
2.1.2. Масса пыли
M1, выделяющейся в объем помещения за период (30 дней = 720 ч) между генеральными пылеуборками (

;

), будет равна:
m1 = 0,0495·720·0,2 = 7,128 кг.
2.1.3. Масса пыли
M2, выделяющейся в объем помещения за время (8 ч) между текущими пылеуборками (

;

), будет равна:
m2 = 0,0495·8·0,8 = 0,317 кг.
2.1.4. Масса отложившейся в помещении пыли к моменту аварии mп (Kг = 1,0; Kу = 0,7) и масса взвихрившейся пыли mвз (Kвз = 0,9) составят:

;
mвз = 10,636·0,9 = 9,572 кг.
2.1.5. Масса пыли mав, поступившей в помещение в результате аварийной ситуации, будет равна:
mав = m3 = 0,12 кг.
2.1.6. Расчетная масса взвешенной в объеме помещения пыли m, образовавшейся в результате аварийной ситуации, составит:
m = 9,572 + 0,12 = 9,692 кг.
2.2. Разгерметизация трубопровода на участке между смесителем и задвижкой перед насосом, перекачивающим смесь из ванны в смеситель. Расчет проводим в соответствии с
п. А.1.2 [1] и исходными данными.
2.2.1. Масса вышедшей из смесителя (Vа = 15 м3) и трубопровода смеси при работающем насосе mсм будет равна (q = n3; Tа = 300 с):
2.2.2. Масса полипропилена mпр в массе mсм составит, при соотношении битума, полипропилена и талька 8:1:1:

.
2.2.3. Масса летучих углеводородов m, выделяющихся при термоокислительной деструкции из полипропилена, входящего в состав разлившейся смеси (из 1 т полипропилена выделяется 1,7 кг газообразных продуктов), будет равна:
m = 0,0017·mпр = 0,0017·1568,2 = 2,7 кг.
3. Избыточное давление взрыва

для двух расчетных вариантов аварии определяем по
формулам (22) и
(43) Пособия.
3.1. Избыточное давление взрыва

при аварийной ситуации, связанной с разгерметизацией бункера при загрузке полипропилена в смеситель, составит:

.
3.2. Избыточное давление взрыва

при аварийной ситуации, связанной с разгерметизацией трубопровода на участке между смесителем и задвижкой перед насосом, перекачивающим смесь из ванны в смеситель, составит:

.
4. Расчетное избыточное давление взрыва для каждого из вариантов аварии не превышает 5 кПа. Помещение первичных и вторичных смесителей, насосов и фильтров не относится к категории А или Б. Согласно
п. Б.2 и
табл. Б1 [1] проведем проверку принадлежности помещения к категориям В1 - В4.
5. Учитывая, что в помещении находится достаточно большое количество горючих веществ, проведем для упрощения расчет только по битуму и смеси, находящихся в 4 смесителях объемом
Vа = 10 м
3 каждый и в двух смесителях объемом
Vа = 15 м
3 каждый. При этом количество циркулирующего диатермического масла не принимается во внимание. Также для упрощения расчет проведем с использованием единой теплоты сгорания для всех компонентов и веществ по битуму, равной

.
6. В соответствии с
п. Б.2 [1] определим пожарную нагрузку
Q и удельную пожарную нагрузку
g:
G = 4·10·1000 + 2·15·0,9·1000 = 67000 кг;
Q = 67000·41,92 = 2808640 МДж;
S = F = 864 м2;

.
7. Удельная пожарная нагрузка превышает 2200 МДж·м
-2. Помещение первичных и вторичных смесителей, насосов и фильтров согласно
табл. Б.1 [1] относится к категории В1.
5.8. Примеры расчетов категорий зданий
по взрывопожарной и пожарной опасности
5.8.1. Здания категории А
1. Исходные данные. Производственное шестиэтажное здание. Общая площадь помещений здания F = 9000 м2. В здании находятся помещения категории А суммарной площадью FА = 400 м2.
2. Определение категории здания.
Суммарная площадь помещений категории А составляет 4,44% и не превышает 5% площади всех помещений здания, но более 200 м
2. Согласно
п. 6.2 [1] здание относится к категории А.
1. Исходные данные. Производственное трехэтажное здание. Общая площадь помещений здания F = 20000 м2. В здании находятся помещения категории А суммарной площадью FА = 2000 м2. Эти помещения оборудованы установками автоматического пожаротушения.
2. Определение категории здания.
Суммарная площадь помещений категории А, оборудованных установками автоматического пожаротушения, составляет 10% и не превышает 25% площади всех помещений здания, но более 1000 м
2. Согласно
п. 6.2 [1] здание относится к категории А.
5.8.2. Здания категории Б
1. Исходные данные.
Производственное шестиэтажное здание. Общая площадь помещений здания F = 32000 м2. Площадь помещений категории А составляет FА = 150 м2, категории Б - FБ = 400 м2, суммарная категорий А и Б - FА,Б = 550 м2.
2. Определение категории здания.
Суммарная площадь помещений категории А составляет 0,47% и не превышает 5% площади всех помещений здания и 200 м
2. Согласно
п. 6.2 [1] здание не относится к категории А. Суммарная площадь помещений категорий А и Б составляет 1,72% и не превышает 5% площади всех помещений здания, но более 200 м
2. Согласно
п. 6.4 [1] здание относится к категории Б.
1. Исходные данные.
Производственное двухэтажное здание. Общая площадь помещений здания F = 15000 м2. Площадь помещений категории А составляет FА = 800 м2, категории Б - FБ = 600 м2, суммарная категорий А и Б - FА,Б = 1400 м2. Помещения категорий А и Б оборудованы установками автоматического пожаротушения.
2. Определение категории здания.
Суммарная площадь помещений категории А, оборудованных установками автоматического пожаротушения, составляет 5,33% и не превышает 25% площади всех помещений здания и 1000 м
2. Согласно
п. 6.3 [1] здание не относится к категории А. Суммарная площадь помещений категорий А и Б, оборудованных установками автоматического пожаротушения, составляет 9,33% и не превышает 25% площади всех помещений здания, но более 1000 м
2. Согласно
пп. 6.4 и
6.5 [1] здание относится к категории Б.
5.8.3. Здания категории В
1. Исходные данные.
Производственное восьмиэтажное здание. Общая площадь помещений здания F = 40000 м2. В здании отсутствуют помещения категорий А и Б. Площадь помещений категорий В1 - В3 составляет FВ = 8000 м2.
2. Определение категории здания.
Суммарная площадь помещений категорий В1 - В3 составляет 20% площади всех помещений здания, что более 10%. Согласно
п. 6.6 [1] здание относится к категории В.
1. Исходные данные.
Производственное трехэтажное здание. Общая площадь помещений здания F = 12000 м2. Площадь помещений категорий А и Б составляет FА,Б = 180 м2, категорий В1 - В3 - FВ = 5000 м2, суммарная категорий А, Б, В1 - В3 - FА,Б,В = 5180 м2.
2. Определение категории здания.
Суммарная площадь помещений категорий А и Б составляет 1,5% площади всех помещений здания и не превышает 200 м
2. Согласно
пп. 6.2 и
6.4 здание не относится к категории А или Б. Суммарная площадь помещений категорий А, Б, В1 - В3 составляет 43,17% площади всех помещений здания, что более 5%. Согласно
п. 6.6 [1] здание относится к категории В.
1. Исходные данные.
Производственное двухэтажное здание. Общая площадь помещений здания F = 20000 м2. Площадь помещений категорий А и Б составляет FА,Б = 900 м2, категорий В1 - В3 - FВ = 4000 м2, суммарная категорий А, Б, В1 - В3 - FА,Б,В = 4900 м2. Помещения категории А, Б, В1 - В3 оборудованы установками автоматического пожаротушения.
2. Определение категории здания.
Суммарная площадь помещений категорий А и Б, оборудованных установками автоматического пожаротушения, составляет 4,5% и не превышает 25% площади всех помещений здания и 1000 м
2. Согласно
пп. 6.3 и
6.5 [1] здание не относится к категориям А или Б. Суммарная площадь помещений категорий А, Б, В1 - В3 составляет 24,5% и не превышает 25% площади всех помещений здания, но более 3500 м
2. Согласно
п. 6.7 [1] здание относится к категории В.
5.8.4. Здания категории Г
1. Исходные данные.
Производственное шестиэтажное здание. Общая площадь помещений здания F = 30000 м2. Помещения категорий А и Б в здании отсутствуют. Площадь помещений категорий В1 - В3 составляет FВ = 1800 м2, категории Г - FГ = 2000 м2, суммарная площадь помещений категорий В1 - В3, Г - FВ,Г = 3800 м2.
2. Определение категории здания.
Суммарная площадь помещений категорий В1 - В3 составляет 6% и не превышает 10% площади всех помещений здания. Согласно
п. 6.6 [1] здание не относится к категории В. Суммарная площадь помещений категорий В1 - В3, Г составляет 12,67% площади всех помещений здания, что превышает 5%. Согласно
пп. 6.6 и
6.8 [1] здание относится к категории Г.
1. Исходные данные.
Производственное четырехэтажное здание. Общая площадь помещений здания F = 16000 м2. Площадь помещений категорий А и Б составляет FА,Б = 800 м2, помещений категорий В1 - В3 - FВ = 1500 м2, помещений категории Г - FГ = 3000 м2, суммарная категорий А, Б, В1 - В3 - FА,Б,В = 2300 м2, суммарная категорий А, Б, В1 - В3, Г - FА,Б,В,Г = 5300 м2. Помещения категорий А, Б, В1 - В3 оборудованы установками автоматического пожаротушения.
2. Определение категории здания.
Суммарная площадь помещений категорий А и Б, оборудованных установками автоматического пожаротушения, составляет 5% и не превышает 25% площади всех помещений здания и 1000 м
2. Согласно
пп. 6.3 и
6.5 [1] здание не относится к категории А или Б. Суммарная площадь помещений категорий А, Б, В1 - В3, оборудованных установками автоматического пожаротушения, составляет 14,38% и не превышает 25% площади всех помещений здания и 3500 м
2. Согласно
п. 6.7 [1] здание не относится к категории В. Суммарная площадь помещений категорий А, Б, В1 - В3, Г, где помещения категорий А, Б, В1 - В3 оборудованы установками автоматического пожаротушения, составляет 31,12% площади всех помещений здания, что более 25% и 5000 м
2. Согласно
пп. 6.7,
6.8 и
6.9 [1] здание относится к категории Г.
5.8.5. Здания категории Д
1. Исходные данные.
Производственное одноэтажное здание. Общая площадь помещений здания F = 8000 м2. Площадь помещений категорий А и Б составляет FА,Б = 600 м2, категорий В1 - В3 - FВ = 1000 м2, категории Г - FГ = 200 м2, категорий В4 и Д - FВ4,Д = 6200 м2, суммарная категорий А, Б, В1 - В3 - FА,Б,В = 1600 м2, суммарная категорий А, Б, В1 - В3, Г - FА,Б,В,Г = 1800 м2. Помещения категорий А, Б, В1 - В3 оборудованы установками автоматического пожаротушения.
2. Определение категории здания.
Суммарная площадь помещений категорий А и Б, оборудованных установками автоматического пожаротушения, составляет 7,5% и не превышает 25% площади всех помещений здания и 1000 м
2. Согласно
пп. 6.3 и
6.5 [1] здание не относится к категории А или Б. Суммарная площадь помещений категорий А, Б, В1 - В3, оборудованных установками автоматического пожаротушения, составляет 20% и не превышает 25% площади всех помещений здания и 3500 м
2. Согласно
п. 6.7 [1] здание не относится к категории В. Суммарная площадь помещений категорий А, Б, В1 - В3, Г, где помещения категорий А, Б, В1 - В3 оборудованы установками автоматического пожаротушения, составляет 22,5% и не превышает 25% площади всех помещений здания и 5000 м
2. Согласно
пп. 6.9 и
6.10 [1] здание не относится к категориям А, Б, В и Г. Следовательно, оно относится к категории Д.
1. Исходные данные.
Производственное пятиэтажное здание. Общая площадь помещений здания F = 25000 м2. Помещения категорий А и Б в здании отсутствуют. Площадь помещений категорий В1 - В3 составляет FВ = 1000 м2, категории Г - FГ = 200 м2, категорий В4 и Д - FВ4,Д = 23800 м2, суммарная категорий В1 - В3, Г - FВ,Г = 1200 м2.
2. Определение категории здания.
Суммарная площадь помещений категорий В1 - В3 составляет 4% и не превышает 10% площади всех помещений здания. Согласно
п. 6.6 [1] здание не относится к категории В. Суммарная площадь помещений категорий В1 - В3, Г составляет 4,8% и не превышает 5% площади всех помещений здания. Согласно
пп. 6.8 и
6.10 [1] здание не относится к категориям А, Б, В и Г. Следовательно, оно относится к категории Д.
1. Исходные данные.
Производственное двухэтажное здание. Общая площадь помещений F = 10000 м2. Помещения категорий А, Б, В1 - В3 и Г отсутствуют. Площадь помещений категории В4 составляет FВ4 = 2000 м2, категории Д - FД = 8000 м2.
2. Определение категории здания.
Согласно
п. 6.10 [1] здание относится к категории Д.
6. ТИПОВЫЕ ПРИМЕРЫ РАСЧЕТОВ КАТЕГОРИЙ
НАРУЖНЫХ УСТАНОВОК ПО ПОЖАРНОЙ ОПАСНОСТИ
6.1. Наружные установки с горючими газами
1. Исходные данные.
1.1. Наружная установка. Емкость-сепаратор, расположенная на открытой площадке и предназначенная для отделения факельного газообразного пропилена от возможной влаги. Емкость-сепаратор размещается за ограждением факельной установки на расстоянии
L2 = 75 м (длина отводящего трубопровода) от факела и
L1 = 700 м (длина подводящего трубопровода) от наружной установки пропиленового холодильного цикла. На участках начала и конца подводящих и отводящих трубопроводов установлены автоматические задвижки (время срабатывания задвижек

). Диаметр подводящего и отводящего трубопроводов
dтр1 =
dтр2 = 500 мм = 0,5 м. Объем емкости-сепаратора
Vа = 50 м
3. Давление газа
P =
P1 =
P2 = 2500 кПа, расход газа
G = 40000 кг·ч
-1 = 11,1111 кг·с
-1, температура газа
tг = 60 °C.
1.2. Молярная масса пропилена M = 42,08 кг·кмоль-1. Химическая формула C3H6. Удельная теплота сгорания пропилена Qсг = 45604 кДж·кг-1 = 45,604·106 Дж·кг-1. Плотность пропилена при tг = 60 °C составит:

.
2. Обоснование расчетного варианта аварии.
При определении избыточного давления взрыва

при сгорании смеси горючего газа с воздухом в открытом пространстве принимается разгерметизация трубопроводов или емкости-сепаратора, при которой масса поступившего газа в открытое пространство будет максимальной.
3. Масса
m пропилена, поступившего в открытое пространство при расчетной аварии из трубопроводов (
m1,
m2) или емкости-сепаратора (
m3), определяется с учетом формул
п. В.1.4 [1]:
Максимальная масса поступившего в открытое пространство при расчетной аварии пропилена составляет m = m1 = 6617,8 кг.
4. Избыточное давление

(кПа) взрыва на расстоянии
r = 30 м от наружной установки емкости-сепаратора согласно
формулам (В.14) и
(В.15) [1] составит:

.
5. Расчетное избыточное давление взрыва превышает 5 кПа на расстоянии 30 м от наружной установки, следовательно, согласно
п. 7.3 и
табл. 2 [1] наружная установка емкости-сепаратора для отделения факельного газообразного пропилена от возможной влаги относится к категории АН.
1. Исходные данные.
1.1. Наружная установка. Изотермическое хранилище этилена (ИХЭ). Изотермический резервуар хранения этилена (ИРЭ) представляет собой двустенный металлический резервуар. Пространство между внутренней и наружной стеной заполнено теплоизоляцией - пористым слоем перлита. Объем резервуара
Vр = 10000 м
3. Максимальный коэффициент заполнения резервуара

. Температура сжиженного этилена
Tж = -103 °C = 170,2 К. Давление паров этилена в резервуаре
Pр = 103,8 кПа. Резервуар размещен в бетонном обваловании площадью
F = 5184 м
2 (
L =
S = 72 м,
H = 2,2 м).
При аварийной ситуации в обвалование поступает весь объем сжиженного этилена из резервуара, составляющий с учетом поступившего этилена из подводящих и отводящих трубопроводов до отсечных клапанов Vж = 9850 м3 с массой mж = 5,5948·106 кг.
1.2. Молярная масса этилена
M = 28,05 кг·кмоль
-1 = 0,02805 кг·моль
-1. Удельная теплота сгорания этилена
Qсг = 46988 кДж·кг
-1 = 46,988·10
6 Дж·кг
-1. Плотность сжиженного этилена при температуре его кипения
Tк = -103,7 °C = 169,5 К равна

. Максимальная абсолютная температура воздуха и средняя скорость ветра (воздушного потока) в летний период в данном районе (г. Томск) согласно
[3] составляют
tр =
T0 = 36 °C = 309,2 К и
U = 3 м·с
-1 соответственно. Мольная теплота испарения сжиженного этилена
Lисп = 481,62 кДж·кг
-1 = 4,8162·10
5 Дж·кг
-1 = 13509,4 Дж·моль
-1. Коэффициент теплопроводности бетона

, воздуха

. Теплоемкость бетона
Cтв = 840 Дж·кг
-1·К
-1. Плотность бетона

. Кинематическая вязкость воздуха

. Плотность воздуха при
tр = 36 °C составит:

.
Плотность газообразного этилена при Tж = -103 °C составит:

.
2. Обоснование расчетного варианта аварии.
При определении избыточного давления взрыва

при сгорании смеси горючего газа с воздухом в открытом пространстве принимается разгерметизация трубопровода между изотермическим резервуаром хранения этилена и установленными в обваловании отсечными клапанами на подводящих и отводящих трубопроводах и выход сжиженного и газообразного этилена в окружающее пространство с разливом сжиженного этилена внутри обвалования.
3. Масса
m1 газообразного этилена, поступившего в открытое пространство при расчетной аварии из ИРЭ, определяется согласно
формулам (В.2),
(В.3) [1]:

.
4. Удельная масса
mуд испарившегося сжиженного этилена за время
t = 3600 с из обвалования в соответствии с
формулой (В.11) [1] составит:

;

;
Fи = F = 5184 м2;

.
5. Масса m паров (газов) этилена, поступивших при расчетной аварии в окружающее пространство, будет равна:
m = m1 + mуд·Fи = 1044 + 32,95·5184 =
= 1044 + 170813 = 171857 кг.
6. Избыточное давление

взрыва на расстоянии
r = 30 м от наружной установки ИРЭ согласно
формулам (В.14) и
(В.15) [1] составит:

.
7. Расчетное избыточное давление взрыва превышает 5 кПа на расстоянии 30 м от наружной установки, следовательно, согласно
п. 7.3 и
табл. 2 [1] наружная установка изотермического резервуара этилена относится к категории АН.
1. Исходные данные.
Исходные данные аналогичны данным
примера 33. Частота разгерметизации емкости под давлением с последующим истечением газа для всех размеров утечек представлена в
табл. П.1.1 [7]. Для упрощенного расчета частоту реализации в течение года рассматриваемого сценария аварии для всех размеров утечек принимаем равной
Q = 6,2 x 10
-5 год
-1.
2. В соответствии с расчетами из
примера 33 величина избыточного давления взрыва

на расстоянии
r = 30 м от наружной установки равна 287 кПа.

.
Pr = 5 - 0,26·ln(V) = 5 - 0,26·ln(5,32·10-7) =
= 5 + 3,76 = 8,76;
5. По
табл. Г.1 [1] для полученного значения пробит-функции определяем условную вероятность поражения человека
Qd > 0,999. Принимаем
Qd = 1,0.
6. Пожарный риск
P(
a) (год
-1) в определенной точке территории (
a), на расстоянии 30 м от наружной установки, определяют с помощью
соотношения (1) [1]:
P(a) = Qd·Q = 1,0·6,2·10-5 = 6,2·10-5 год-1.
7. Величина пожарного риска при возможном сгорании пропилена с образованием волн давления превышает одну миллионную (10
-6) в год на расстоянии 30 м от наружной установки, следовательно, согласно
табл. 2 [1] наружная установка емкости-сепаратора для отделения факельного газообразного пропилена от возможной влаги относится к категории АН.
1. Исходные данные.
Исходные данные аналогичны данным
примера 33. Частота разгерметизации
Q (год
-1) емкости под давлением с последующим истечением для всех размеров утечек при различных диаметрах
d (м) истечения представлена в
табл. П.1.1 [7] и соответственно составляет:
d1 = 5·10-3 м, Q1 = 4,0·10-5 год-1;
d2 = 12,5·10-3 м, Q2 = 1,0·10-5 год-1;
d3 = 25·10-3 м, Q3 = 6,2·10-6 год-1;
d4 = 50·10-3 м, Q4 = 3,8·10-6 год-1;
d5 = 100·10-3 м, Q5 = 1,7·10-6 год-1;
полное разрушение, Q6 = 3,0·10-7 год-1.
2. Интенсивность истечения пропилена Gист (кг·м-2·с-1) в соответствии с исходными данными составляет:

.
3. Расход пропилена G (кг·с-1) через различные диаметры истечения составляет:

;

;

;

;

;

.
4. Масса пропилена m, поступившего в открытое пространство при разгерметизации емкости через различные диаметры истечения, составляет:
m2 = 6,9444·10-3·120 + 1923,4 = 1924,2 кг;
m3 = 0,0278·120 + 1923,4 = 1926,7 кг;
m4 = 0,1111·120 + 1923,4 = 1976,7 кг;
m5 = 0,4444·120 + 1923,4 = 1976,7 кг;
m6 = 11,1111·120 + 1923,4 = 3256,7 кг.
5. Избыточное давление взрыва

на расстоянии
r = 30 м от наружной установки емкости-сепаратора при ее разгерметизации через различные диаметры истечения согласно
формулам (В.14) и
(В.15) [1] составит:

;

;
mпр2 = 1,009·1924,2 = 1941,4 кг;

;
mпр3 = 1,009·1926,7 = 1944 кг;

;
mпр4 = 1,009·1936,7 = 1954 кг;

;
mпр5 = 1,009·1976,7 = 1994 кг;

;
mпр6 = 1,009·3256,7 = 3286 кг.

;

;

;

;

;

.
Pr1 = 5 - 0,26·ln(V1) = 5 - 0,26·ln(1,047·10-3) = 6,78;

;
Pr2 = 5 - 0,26·ln(1,046·10-3) = 6,78;

;
Pr3 = 5 - 0,26·ln(1,036·10-3) = 6,79;

;
Pr4 = 5 - 0,26·ln(1,0005·10-3) = 6,79;

;
Pr5 = 5 - 0,26·ln(8,873·10-4) = 6,83;

;
Pr6 = 5 - 0,26·ln(4,131·10-5) = 7,62;

.
8. По
табл. Г.1 [1] для полученных значений пробит-функции определяем условные вероятности поражения человека
Qd:
Qd1 = 0,962, Qd2 = 0,962, Qd3 = 0,963, Qd4 = 0,963,
Qd5 = 0,966, Qd6 = 0,996.
9. Пожарный риск
P(
a) в определенной точке территории (
a), на расстоянии 30 м от наружной установки, вычисляют с помощью
соотношения (1) [1]:
P(a) = Qd1·Q1 + Qd2·Q2 + Qd3·Q3 + Qd4·Q4 + Qd5·Q5 +
+ Qd6·Q6 = 0,962·4,0·10-5 + 0,962·1,0·10-5·0,963·6,2·10-6 +
+ 0,963·3,8·10-6 + 0,966·1,7·10-6 + 0,996·3,0·10-7 =
= 3,848·10-5 + 0,962·10-5 + 5,971·10-6 +
+ 3,659·10-6 + 1,642·10-6 + 2,988·10-7 = 5,967·10-5.
10. Величина пожарного риска при возможном сгорании пропилена с образованием волн давления превышает одну миллионную (10
-6) в год на расстоянии 30 м от наружной установки, следовательно, согласно
табл. 2 [1] наружная установка емкости-сепаратора для отделения факельного газообразного пропилена от возможной влаги относится к категории АН.
6.2. Наружные установки с легковоспламеняющимися жидкостями
1. Исходные данные.
1.1. Наружная установка. Склад ацетона. Представляет собой группу из 8 горизонтальных резервуаров объемом 10 м
3 каждый (коэффициент заполнения резервуаров

). Ацетон поступает из ж.-д. цистерны по подводящему трубопроводу через коллектор налива ацетона в резервуары склада. Раздача ацетона в отдельные емкости производится по отводящему трубопроводу через коллектор слива ацетона. Резервуары склада ацетона соединены между собой трубопроводами. На всех трубопроводах и коллекторах установлены ручные задвижки. Склад имеет грунтовое обвалование площадью
Fоб =
Fи = 14·17,6 = 246,4 м
2 (
Fи - площадь испарения, м
2). Высота обвалования
Hоб = 1,5 м.
1.2. Молярная масса ацетона
M = 58,08 кг·кмоль
-1. Химическая формула C
3H
6O. Температура вспышки
tвсп = -18 °C. Удельная теплота сгорания ацетона
Qсг = 31360 кДж·кг
-1 = 31,36·10
6 Дж·кг
-1. Плотность жидкости

. Абсолютная максимальная температура воздуха в данном районе (г. Пермь)
[3] составляет
tр = 37 °C. Плотность паров ацетона при
tр = 37 °C составляет

. Константы уравнения Антуана
A = 6,37551,
B = 1281,721,
Cа = 237,088.
1.3. Давление насыщенных паров ацетона Pн (кПа) при расчетной температуре tр = 37 °C составит:

;
Pн = 50,03 кПа.
1.4. Вычисляется интенсивность испарения
W (кг·м
-2·с
-1) ацетона в соответствии с
формулой (В.10) [1]:

.
2. Обоснование расчетного варианта аварии.
При определении избыточного давления взрыва

при сгорании смеси горючих паров ацетона с воздухом в открытом пространстве принимается для упрощения расчетов разгерметизация одного резервуара с ацетоном, разлив поступившего из резервуара ацетона в обвалование, испарение ацетона с поверхности разлива и поступление паров ацетона в окружающее пространство.
3. Масса паров ацетона
m (кг), поступивших в окружающее пространство, согласно
формуле (В.8) [1] определяется из выражения:
m = W·Fи·T = 3,8128·10-4·246,4·3600 = 338,2 кг.
4. Избыточное давление

(кПа) взрыва на расстоянии
r = 30 м от наружной установки склада ацетона согласно
формулам (В.14) и
(В.15) составит:

.
5. Расчетное избыточное давление взрыва превышает 5 кПа на расстоянии 30 м от наружной установки, следовательно, согласно
п. 7.3 и
табл. 2 [1] наружная установка склада ацетона относится к категории АН.
1. Исходные данные.
1.1. Наружная установка. Открытая площадка для автоцистерны (АЦ), используемой для заполнения подземных резервуаров дизельным топливом. Объем дизельного топлива в АЦ Vж = 6 м3. Площадка не имеет ограждения.
1.2. Молярная масса дизельного топлива
M = 172,3 кг·кмоль
-1. Химическая формула C
12,343H
23,889. Температура вспышки
tвсп > 35 °C. Удельная теплота сгорания дизельного топлива
Qсг = 43590 кДж·кг
-1 = 43,59·10
6 Дж·кг
-1. Плотность жидкости

. Абсолютная максимальная температура воздуха в данном районе (г. Тула)
[3] составляет
tр = 38 °C. Плотность паров дизельного топлива при
tр = 38 °C составляет:

.
Константы уравнения Антуана A = 5,07818, B = 1255,73, Cа = 199,523. Нижний концентрационный предел распространения пламени CНКПР = 0,61% (об.).
1.3. Давление насыщенных паров дизельного топлива Pн при расчетной температуре tр = 38 °C составит:

;
Pн = 0,62 кПа.
1.4. Вычисляется интенсивность испарения
W дизельного топлива в соответствии с
формулой (В.10) [1]:

.
2. Обоснование расчетного варианта аварии.
При определении избыточного давления взрыва

при сгорании смеси горючих паров дизельного топлива с воздухом в открытом пространстве принимается разгерметизация резервуара АЦ, разлив поступившего из резервуара АЦ дизельного топлива на горизонтальную поверхность, испарение дизельного топлива с поверхности разлива и поступление паров дизельного топлива в окружающее пространство.
3. Масса паров дизельного топлива
m, поступивших в окружающее пространство с поверхности испарения
Fи, определяется согласно
п. В.1.3 г) и
формуле (В.8) [1] из выражений:
m = W·Fи·T = 8,14·10-6·900·3600 = 26,374 кг;
Fи = 0,15·Vж·1000 = 0,15·6000 = 900 м2.
4. Горизонтальный размер зоны
RНКПР, ограничивающий область концентраций, превышающих нижний концентрационный предел распространения пламени
CНКПР, согласно
формуле (В.13) [1] составит:

.
5. Избыточное давление взрыва

в на расстоянии
r = 30 м от наружной установки площадки для АЦ согласно
формулам (В.14) и
(В.15) [1] составит:

;

.
6. Расчетное избыточное давление взрыва превышает 5 кПа на расстоянии 30 м от наружной установки, следовательно, согласно
п. 7.3 и
табл. 2 [1] наружная установка площадки для автоцистерны с дизельным топливом относится к категории БН.
1. Исходные данные.
Исходные данные аналогичны данным
примера 38. Частота разгерметизации резервуаров с ЛВЖ при давлении, близком к атмосферному, с последующим истечением жидкости для всех размеров утечки представлена в
табл. П.1.1 [7] и соответственно составляет:
d1 = 0,025 м, Q1 = 8,8·10-5·год-1;
d2 = 0,1 м, Q2 = 1,2·10-5·год-1;
полное разрушение, Q3 = 5,0·10-6·год-1.
Частота реализации в течение года рассматриваемого сценария аварии для всех размеров утечек составляет Q = 1,05·10-4 год-1.
2. В соответствии с расчетами из
примера 38 величина избыточного давления взрыва

на расстоянии
r = 30 м от наружной установки равна 11,2 кПа.

.
Pr = 5 - 0,26·ln(V) = 5 - 0,26·ln(3,76·108) = -0,134;
| | ИС МЕГАНОРМ: примечание. В официальном тексте документа, видимо, допущена опечатка: имеется в виду таблица П.4.2 и формула (П.4.2) [7], а не [6]. | |
6. Пожарный риск
P(
a) в определенной точке территории (
a), на расстоянии 30 м от наружной установки, рассчитывают с помощью
соотношения (1) [1]:
P(a) = Qd·Q = 1,42·10-7·1,05·10-4 = 1,49·10-11 год-1.
7. Величина пожарного риска при возможном сгорании паров дизельного топлива с образованием волн давления не превышает одну миллионную (10
-6) в год на расстоянии 30 м от наружной установки, следовательно, согласно
табл. 2 [1] наружная установка открытой площадки для автоцистерны не относится к категории БН.
8. В соответствии с
пп. 7.2 и
7.3 [1] проведем проверку наружной установки на принадлежность к категории ВН.
9. Проведем оценку параметров углового коэффициента облученности
Fq, входящих в
формулу (В.27) [1]:

;
F = Fи = 900 м2;

;

;

;

;

;

;

.
11. Вычисляем интенсивность теплового излучения
q (кВт·м
-2) при горении пролива жидкости по
формуле (В.24) [1]:

;
12. Расчетная интенсивность теплового излучения превышает 4 кВт·м
-2 на расстоянии 30 м от наружной установки, следовательно, согласно
п. 7.3 и
табл. 2 [1] наружная установка открытой площадки для автоцистерны с дизельным топливом относится к категории ВН.
6.3. Наружные установки с нагретыми горючими жидкостями
1. Исходные данные.
1.1. Наружная установка. Цех прядильных машин. Емкость-накопитель горячего масла-теплоносителя АМТ-300 расположена на открытой площадке. Объем масла-теплоносителя в емкости Vж = 30 м3. На подводящих и отводящих трубопроводах установлены автоматические задвижки. Объем масла-теплоносителя АМТ-300, поступающего при аварийной разгерметизации емкости из подводящих и отводящих трубопроводов, составляет Vтр = 5 м3. Площадка не имеет ограждения. Температура нагрева теплоносителя tж = 280 °C = 553,2 К (Tа).
1.2. Молярная масса масла-теплоносителя АМТ-300 составляет
M = 312,9 кг·кмоль
-1. Химическая формула C
22,25H
33,48S
0,34N
0,07. Температура вспышки
tвсп > 170 °C. Удельная теплота сгорания масла-теплоносителя АМТ-300 равна
Qсг = 42257 кДж·кг
-1 = 42,257·10
6 Дж·кг
-1. Плотность жидкости при
tж = 280 °C составляет

. Теплоемкость теплоносителя при
tж = 280 °C равна
Cж = 2480 Дж·кг
-1·К
-1. Константы уравнения Антуана
A = 6,12439,
B = 2240,001,
Cа = 167,85.
1.3. Давление насыщенных паров теплоносителя Pн при начальной температуре нагретого теплоносителя tж = 280 °C = 553,2 К (Tа) составляет:

;
Pн = 13,26 кПа.
1.4. Теплота испарения теплоносителя
Lисп (Дж·кг
-1) согласно
формуле (А.15) [1] будет равна:
2. Обоснование расчетного варианта аварии.
При определении избыточного давления взрыва

при сгорании смеси горючих паров теплоносителя с воздухом в открытом пространстве принимается разгерметизация емкости-накопителя горячего масла-теплоносителя АМТ-300, разлив поступившего из емкости теплоносителя на горизонтальную поверхность, испарение горячего теплоносителя с поверхности разлива и поступление паров теплоносителя в окружающее пространство.
3. Масса жидкости mп (кг), поступившей в окружающее пространство, составляет:

.
4. Масса паров
m (кг), образующихся при испарении нагретой жидкости, определяется по
соотношению (А.14) [1]:
5. Избыточное давление взрыва

на расстоянии
r = 30 м от наружной установки емкости-накопителя масла-теплоносителя АМТ-300 согласно
формулам (В.14) и
(В.15) [1] составит:

;

.
6. Расчетное избыточное давление взрыва превышает 5 кПа на расстоянии 30 м от наружной установки, следовательно, согласно
п. 7.3 и
табл. 2 [1] наружная установка емкости-накопителя горячего масла-теплоносителя АМТ-300 относится к категории БН.
1. Исходные данные.
1.1. Наружная установка. Система водно-гликолевого обогрева. Резервуар хранения отработанного этиленгликоля расположен на открытой площадке. Объем этиленгликоля в емкости Vж = 3,0 м3. На подводящих и отводящих трубопроводах установлены автоматические задвижки. Объем этиленгликоля, поступающего при аварийной разгерметизации резервуара из подводящих и отводящих трубопроводов, составляет Vтр = 0,2 м3. Площадка не имеет ограждения. Температура поступающего в резервуар хранения этиленгликоля tж = 120 °C = 393,2 К (Tа).
1.2. Молярная масса этиленгликоля
M = 62,068 кг·кмоль
-1. Химическая формула C
2H
6O
2. Температура вспышки
tвсп = 111 °C. Удельная теплота сгорания этиленгликоля
Qсг = 19329 кДж·кг
-1 = 19329·10
6 Дж·кг
-1. Плотность жидкости при
tж = 120 °C равна

. Теплоемкость жидкости при
tж = 120 °C составляет
Cж = 2820 Дж·кг
-1·К
-1. Константы уравнения Антуана
A = 8,13754,
B = 2753,183,
Cа = 252,009. Абсолютная максимальная температура воздуха в данном районе (г. Ноглики, Сахалинская обл.)
[3] составляет
tр = 37 °C.
1.3. Давление насыщенных паров этиленгликоля Pн при начальной температуре жидкости tж = 120 °C = 393,2 К (Tа) составляет:

;
Pн = 5,45 кПа.

.
2. Обоснование расчетного варианта аварии.
При определении избыточного давления взрыва

при сгорании смеси горючих паров этиленгликоля с воздухом в открытом пространстве принимается разгерметизация резервуара с нагретым этиленгликолем, разлив поступившего из резервуара этиленгликоля на горизонтальную поверхность, испарение нагретого этиленгликоля с поверхности разлива и поступление паров этиленгликоля в окружающее пространство.
3. Масса жидкости mп, поступившей в окружающее пространство, составляет:

.

.
5. Избыточное давление взрыва

на расстоянии
r = 30 м от наружной установки резервуара хранения отработанного этиленгликоля согласно
формулам (В.14) и
(В.15) [1] составит:

;

.
6. Избыточное давление взрыва на расстоянии 30 м от наружной установки не превышает 5 кПа, следовательно, согласно
табл. 2 [1] наружная установка открытой площадки для резервуара хранения отработанного этиленгликоля не относится к категории БН.
7. В соответствии с
пп. 7.2 и
7.3 [1] проведем проверку наружной установки на принадлежность к категории ВН.
8. Проведем оценку параметров углового коэффициента облученности
Fq, входящих в
формулу (В.27) [1]:

;
F = Fн = 0,15·1000·(Vж + Vтр) =
= 0,15·1000·(3 + 0,2) = 480 м2;

;

;

;

;

;

;

.
10. Вычисляем интенсивность теплового излучения
q при горении пролива жидкости согласно
формуле (В.24) [1]:

;
11. Расчетная интенсивность теплового излучения не превышает 4 кВт·м
-2 на расстоянии 30 м от наружной установки, следовательно, согласно
п. 7.3 и
табл. 2 [1] наружная установка резервуара хранения отработанного этиленгликоля, расположенного на открытой площадке, не относится к категории ВН и относится к категории ДН.
6.4. Наружные установки с горючими пылями
1. Исходные данные.
1.1. Приемный бункер аспирационной системы цеха шлифовки изделий из древесины объемом 30 м3 выполнен из фильтрующей ткани и расположен под навесом на открытой территории предприятия.
1.2. В бункере накапливается мелкодисперсная древесная пыль (размер частиц менее 100 мкм) в количестве до 5000 кг. Теплота сгорания древесной пыли
Hт = 1,5·10
7 Дж·кг
-1. Критический размер частиц взрывоопасной взвеси древесной пыли
d* = 250 мкм. Стехиометрическая концентрация принимается равной

. В объеме фильтра возможно образование взрывоопасного облака древесной пыли при взвихрении отложений пыли (сорвавшихся со стенок бункера) поступающим в бункер потоком запыленного воздуха.
1.3. Сведения, необходимые для определения стехиометрической концентрации мучной пыли

в воздухе при нормальных условиях (атмосферное давление 101,3 кПа, температура 20 °C), могут задаваться одним из трех способов:
1) прямым указанием величины:

;
2) указанием сведений о брутто-формуле химического состава вещества, например, в виде C
УH
ВO
КN
А. В таком случае расчет

производится на основе химического уравнения окисления данного вещества воздухом до соответствующих продуктов взаимодействия (CO
2, H
2O и N
2) - по формуле

.
При наличии в брутто-формуле вещества других атомов, например S, P, Al, в расчете должны учитываться дополнительные продукты окисления SO3, P2O5, Al2O3;
| | ИС МЕГАНОРМ: примечание. Взамен ГОСТ 21261-91 Приказом Росстандарта от 30.11.2021 N 1664-ст с 01.01.2023 введен в действие ГОСТ 21261-2021. | |
3) результатами экспериментального измерения убыли массы кислорода

в камере, где произведено выжигание пробной массы исследуемого вещества

в атмосфере кислорода (например, в установке для определения теплоты сгорания вещества по ГОСТ 21261-91).
В этом случае расчет

производится по формуле

,
где MO - масса кислорода в 1 м3 воздуха; допускается принимать MO = 0,24 кг·м-3.
2. Обоснование расчетного варианта аварии.
Поскольку в рассматриваемой установке не присутствуют горючие газы, легковоспламеняющиеся жидкости с температурой вспышки не более 28 °C, вещества и (или) материалы, способные гореть при взаимодействии с водой, кислородом воздуха и (или) друг с другом, данная установка не относится к категории АН.
Поскольку в установке присутствуют горючие пыли, необходимо исследовать возможность отнесения данной установки к категории БН. Для этого следует рассмотреть аварию, сопровождающуюся образованием облака горючей пыли и произвести расчет избыточного давления взрыва.
Аварийная ситуация, приводящая к воспламенению горючего пылевоздушного облака в объеме фильтра, связана с появлением в объеме бункера источника зажигания в виде:
- тлеющих частиц, принесенных потоком запыленного воздуха;
- разрядов статического электричества с энергией, превышающей минимальную энергию зажигания пылевоздушного облака.
Частота возникновения подобных аварийных ситуаций неизвестна.
Объем сгорающей в аварийном режиме аэровзвеси совпадает с объемом бункера Vав = 30 м3.
3. Ввиду отсутствия сведений о частоте возникновения рассмотренной аварийной ситуации оказывается невозможным оценить величину пожарного риска. В соответствии с
п. 7.3 [1] в этом случае допускается использовать критерии отнесения установки к категории БН по величине расчетного избыточного давления

при сгорании пылевоздушной смеси на расстоянии 30 м от наружной установки.
Ниже приводится расчет

.
4. Коэффициент участия пыли во взрыве
Z рассчитывается по
формуле (А.16) [1] и составляет:
Z = 0,5·F = 0,5·1 = 0,5.
5. Расчетную массу взвешенной пыли
m (кг), участвующей в развитии аварийной ситуации, определяют по
формуле (В.17) [1]:

.
Поскольку
mвз +
mав = 0 + 5000 = 5000 кг;

, следует принять
m = 15 кг.
Для надежного выполнения расчета

целесообразно объяснить физический смысл использованной здесь
формулы (А.17) [1]. Избыточное давление воздуха в помещении при горении взвеси объясняется тепловыделением реакции окисления дисперсного горючего кислородом воздуха. Поэтому в окончательном расчете давления взрыва присутствует общая масса сгоревшей в пылевоздушном облаке пыли
m и теплотворная характеристика выгорания единичного количества пыли
Hт. Понятно, что масса
m не может превысить общую массу пыли в этом облаке (
mвз +
mав), которая записана в верхней строке
формулы (А.17) [1]. Но масса
m может быть меньше (
mвз +
mав). Последнее происходит в случае горения пылевоздушных облаков, обогащенных горючим, когда для полного выгорания пыли в таком облаке не хватает кислорода воздуха. Для подобных "богатых" смесей масса выгорающей пыли будет ограничена содержанием кислорода в облаке, а потому она не должна превосходить величину

, фигурирующую в нижней строке
формулы (А.17) [1]. Добавим, что поправка (1/
Z) к указанной величине обусловлена спецификой расчета

, куда масса сгоревшей пыли фактически входит в виде комплекса
m·
Z.
mпр = m·Z·Hт/Hт0 = 15·0,1·1,5·107/4,52·106 = 4,9 кг.
7. Определение избыточного давления взрыва

на расстоянии
r = 30 м от наружной установки производится по
формуле (В.22) [1]:
8. Поскольку

превышает 5 кПа, в соответствии с критерием
п. 7.3 [1] рассматриваемую наружную установку следует отнести к категории БН.
1. Исходные данные.
Исходные данные аналогичны данным
примера 42 с тем различием, что известна частота реализации в течение года рассматриваемого сценария развития аварии:
Q = 10
-3 год
-1. Дополнительная информация: насыпная плотность древесной пыли составляет

, угол естественного откоса для отложения древесной пыли составляет

, массовая скорость выгорания отложения древесной пыли составляет 0,01 кг·м
-2·с
-1; плотность воздуха

.
В рассматриваемой установке не присутствуют горючие газы, легковоспламеняющиеся жидкости с температурой вспышки не более 28 °C, вещества и (или) материалы, способные гореть при взаимодействии с водой, кислородом воздуха и (или) друг с другом. По этой причине данная установка не относится к категории АН.
В установке присутствуют горючие пыли. По этой причине необходимо исследовать возможность отнесения данной установки к категории БН. Для этого следует рассмотреть аварию, сопровождающуюся образованием облака горючей пыли и произвести расчет избыточного давления взрыва.
2. В соответствии с расчетами из предыдущего
примера величина избыточного давления взрыва

на расстоянии
r = 30 м от наружной установки составляет 5,6 кПа.

.
Pr = 5 - 0,26·ln·(V) = 5 - 7,7 = -2,7,
где

.
5. По
табл. Г.1 [1] для полученного значения пробит-функции определяем условную вероятность поражения человека:
Qd < 0,001.
6. Пожарный риск
P(
a) (год
-1) в определенной точке территории (
a), на расстоянии 30 м от наружной установки, определяют с помощью
соотношения (1) [1]:
P(a) = Qd·Q < 10-6 год-1.
7. Поскольку P(a) < 10-6 год-1, рассматриваемая наружная установка не относится в категории БН.
8. Таким образом, рассматриваемая наружная установка не относится к категориям АН и БН. В соответствии с требованиями
п. 7.2 [1] рассмотрим возможность отнесения данной наружной установки к категории ВН. В установке присутствует только горючая пыль, и ответ на вопрос о принадлежности установки к категории ВН в соответствии с критерием
п. 7.3 [1] зависит от расчетного значения интенсивности теплового излучения от очага пожара, вызванного загоранием просыпавшейся из установки пыли, на расстоянии
r = 30 м от установки.
9. В соответствии с требованием
п. В.4.1 следует выбирать наиболее неблагоприятный вариант аварии, при котором в горении участвует наибольшее количество пыли, что отвечает полному заполнению емкости бункера, то есть объему пыли, равному
Vп = 30 м
3. Такое количество пыли при просыпании на землю образует объект в виде конуса (угол откоса равен

) с высотой
H, равной радиусу основания
R.
Приравнивая объем конуса к начальному объему пыли, получим:

,
откуда следует:

.
10. В соответствии с
формулой (В.24) [1] интенсивность теплового излучения
q, кВт·м
-2, при горении твердых материалов рассчитывают по формуле

,
где
Ef - среднеповерхностная плотность теплового излучения пламени, кВт·м
-2;
Fq - угловой коэффициент облученности;

- коэффициент пропускания атмосферы.
В соответствии с
примечанием к табл. В.1 допускается принимать
Ef = 40 кВт·м
-2.
Из общих соображений следует, что величина углового коэффициента облученности подчиняется соотношению

,
где Smax - максимально возможная площадь проекции тела, имеющего форму пламени вокруг горящего объекта; rmin - минимальное расстояние от пламени до точки, удаленной на расстояние r = 30 м от наружной установки.
Согласно
п. В.5.1 [1] при горении тонкого цилиндрического слоя древесной пыли, лежащего на поверхности земли и имеющего диаметр
d = 2
R = 6 м, форму пламени можно представить цилиндром с основанием того же диаметра и высотой
H, равной

.
Поскольку форма просыпавшейся пыли представляет конус меньшей высоты (3 м), с достаточным запасом надежности будем аппроксимировать форму пламени вертикальным цилиндром диаметром 6 м и высотой, равной сумме высоты цилиндра и полученной ранее высоты пламени, то есть 6,84 м.
Для пламени рассматриваемой формы

;
rmin =
r -
R. Таким образом,
Fq <= 3,14·32/(30 - 3)2 = 0,04.

.
Объединяя результаты оценок, получим:
q <= 40·0,04·0,98 = 1,6 кВт·м-2.
11. Поскольку
q < 4 кВт·м
-2, в соответствии с критерием
п. 7.3 [1] рассматриваемая наружная установка не относится к категории ВН.
12. В соответствии с требованиями
п. 7.2 [1] рассмотрим возможность отнесения данной наружной установки к категории ГН. Поскольку в установке не присутствуют негорючие вещества и материалы в горячем, раскаленном и (или) расплавленном состоянии, процесс обработки которых сопровождается выделением лучистого тепла, искр и (или) пламени, а также не присутствуют горючие газы, жидкости и (или) твердые вещества, которые сжигаются или утилизируются в качестве топлива, данная установка не относится к категории ГН.
13. Поскольку рассматриваемая наружная установка не относится к категориям АН, БН, ВН и ГН, данную установку в соответствии с требованиями
п. 7.2 [1] и
табл. 2 следует отнести к категории ДН.
6.5. Наружные установки с горючими жидкостями
1. Исходные данные.
1.1. Наружная установка. Открытая площадка хранения индустриального масла И-5А в металлических бочках. Объем жидкости в 40 бочках Vж = 7,2 м3. Площадка не имеет ограждения.
1.2. Индустриальное масло И-5А - горючая жидкость. Температура вспышки
tвсп > 118 °C. Плотность жидкости при
tж = 20 °C равна

. Абсолютная максимальная температура воздуха в данном районе (г. Владимир)
[3] составляет
tр = 37 °C.
2. Обоснование расчетного варианта аварии.
При расчете интенсивности теплового излучения при горении металлических бочек с индустриальным маслом И-5А принимается его разлив из бочек на горизонтальную поверхность и горение на поверхности разлива. Площадь разлива жидкости F = 1080 м2.
3. В соответствии с
пп. 7.2 и
7.3 [1] проведем проверку наружной установки на принадлежность к категории ВН.
4. Проведем оценку параметров углового коэффициента облученности
Fq, входящих в
формулу (В.27) [1]:

;

;

;

;

;

;

;

.

.
6. Вычисляем интенсивность теплового излучения
q при горении пролива жидкости согласно
формуле (В.24) [1]:

;
7. Расчетная интенсивность теплового излучения превышает 4 кВт·м
-2 на расстоянии 30 м от наружной установки, следовательно, согласно
п. 7.3 и
табл. 2 [1] наружная установка открытой площадки хранения индустриального масла в металлических бочках относится к категории ВН.
1. Исходные данные.
1.1. Наружная установка. Трансформатор, расположенный на открытой площадке. Объем трансформаторного масла в трансформаторе Vж = 1,0 м3. Под трансформатором размещен поддон-маслосборник объемом Vм = 1,2 м3. Площадь поддона F = 20 м2.
1.2. Трансформаторное масло - горючая жидкость. Температура вспышки
tвсп > 135 °C. Плотность жидкости

. Абсолютная максимальная температура воздуха в данном районе (г. Ростов-на-Дону)
[3] составляет
tр = 40 °C.
2. Обоснование расчетного варианта аварии.
При расчете интенсивности теплового излучения при горении трансформатора с трансформаторным маслом принимается разлив трансформаторного масла в поддон-маслосборник и горение на поверхности жидкости в поддоне-маслосборнике площадью F = 20 м2.
3. В соответствии с
пп. 7.2 и
7.3 [1] проведем проверку наружной установки на принадлежность к категории ВН.
4. Проведем оценку параметров углового коэффициента облученности
Fq, входящих в
формулу (В.27) [1]:

;

;

;

;

;

;

;

.

.
6. Вычисляем интенсивность теплового излучения
q при горении пролива жидкости согласно
формуле (В.24) [1]:

;
7. Рассчитанная интенсивность теплового излучения не превышает 4 кВт·м
-2 на расстоянии 30 м от наружной установки, следовательно, согласно
п. 7.3 и
табл. 2 [1] наружная установка трансформатора с трансформаторным маслом, расположенного на открытой площадке, не относится к категории ВН и относится к категории ДН.
6.6. Наружные установки с твердыми
горючими веществами и материалами
1. Исходные данные.
1.1. Наружная установка. Склад для хранения пиломатериалов в штабелях на открытой площадке. Площадь хранения (размещения) пиломатериалов F = 1000 м2.
1.2. Пиломатериалы - горючий материал. Удельная массовая скорость выгорания пиломатериалов
M = 0,04 кг·м
-2·с
-1. Абсолютная максимальная температура воздуха в данном районе (г. Архангельск)
[3] составляет
tр = 34 °C.
2. Обоснование расчетного варианта аварии.
При расчете интенсивности теплового излучения при горении пиломатериалов на складе принимается горение на площади их размещения F = 1000 м2.
3. В соответствии с
пп. 7.2 и
7.3 [1] проведем проверку наружной установки на принадлежность к категории ВН.
4. Проведем оценку параметров углового коэффициента облученности
Fq, входящих в
формулу (В.27) [1]:

;

;

;

;

;

;

;

.

.
6. Вычисляем интенсивность теплового излучения
q при горении твердых горючих материалов согласно
формуле (В.24) [1]:

;
7. Рассчитанная интенсивность теплового излучения превышает 4 кВт·м
-2 на расстоянии 30 м от наружной установки, следовательно, согласно
п. 7.3 и
табл. 2 [1] наружная установка склада хранения пиломатериалов на открытой площадке относится к категории ВН.
1. Исходные данные.
1.1. Наружная установка. Открытая площадка складирования пластиковых поддонов. Площадь хранения (размещения) пластиковых поддонов F = 200 м2.
1.2. Пластик - полимерный горючий материал. Удельная массовая скорость выгорания пластика
M = 0,04 кг·м
-2·с
-1. Абсолютная максимальная температура воздуха в данном районе (г. Санкт-Петербург)
[3] составляет
tр = 33 °C.
2. Обоснование расчетного варианта аварии.
При расчете интенсивности теплового излучения при горении пластиковых поддонов на складе принимается горение на площади их размещения F = 200 м2.
3. В соответствии с
пп. 7.2 и
7.3 [1] проведем проверку наружной установки на принадлежность к категории ВН.
4. Проведем оценку параметров углового коэффициента облученности
Fq, входящих в
формулу (В.27) [1]:

;

;

;

;

;

;

;

.

.
6. Вычисляем интенсивность теплового излучения
q при горении твердых горючих материалов согласно
формуле (В.24) [1]:

;
7. Рассчитанная интенсивность теплового излучения превышает 4 кВт·м
-2 на расстоянии 30 м от наружной установки, следовательно, согласно
п. 7.3 и
табл. 2 [1] наружная установка открытой площадки складирования пластиковых поддонов относится к категории ВН.
1. Исходные данные и обоснование расчетного варианта аварии аналогичны
примеру 47. Площадь размещения пластиковых поддонов
F = 50 м
2.
2. Проведем оценку параметров углового коэффициента облученности
Fq, входящих в
формулу (В.27) [1]:

;

;

;

;

;

;

.

.
4. Вычисляем интенсивность теплового излучения
q при горении твердых горючих материалов согласно
формуле (В.24) [1]:

;
5. Рассчитанная интенсивность теплового излучения не превышает 4 кВт·м
-2 на расстоянии 30 м от наружной установки, следовательно, согласно
п. 7.3 и
табл. 2 [1] наружная установка открытой площадки складирования пластиковых поддонов относится к категории ДН.
ЗНАЧЕНИЯ ПОКАЗАТЕЛЕЙ ПОЖАРНОЙ ОПАСНОСТИ
НЕКОТОРЫХ ИНДИВИДУАЛЬНЫХ ВЕЩЕСТВ
N п/п | Вещество | Химическая формула | Молярная масса, кг·кмоль-1 | Температура вспышки, °C | Температура самовоспламенения, °C | Константы уравнения Антуана | Температурный интервал значений констант уравнения Антуана, °C | Нижний концентрационный предел распространения пламени CНКПР, % (об.) | Характеристика вещества | Теплота сгорания, кДж·кг-1 |
A | B | Cа |
1 | Амилацетат | C7H14O2 | 130,196 | +43 | +290 | 6,29350 | 1579,510 | 221,365 | | 1,08 | ЛВЖ | 29879 |
2 | Амилен | C5H10 | 70,134 | < -18 | +273 | 5,91048 | 1014,294 | 229,783 | | 1,49 | ЛВЖ | 45017 |
3 | н-Амиловый спирт | C5H12O | 88,149 | +48 | +300 | 6,3073 | 1287,625 | 161,330 | | 1,46 | ЛВЖ | 38385 |
4 | Аммиак | NH3 | 17,03 | - | +650 | - | - | - | - | 15,0 | ГГ | 18585 |
5 | Анилин | C6H7N | 93,128 | +73 | +617 | 6,04622 | 1457,02 | 176,195 | | 1,3 | ГЖ | 32386 |
6 | Ацетальдегид | C2H4O | 44,053 | -40 | +172 | 6,31653 | 1093,537 | 233,413 | | 4,12 | ЛВЖ | 27071 |
7 | Ацетилен | C2H2 | 26,038 | - | +335 | - | - | - | - | 2,5 | ГГ (ВВ) | 49965 |
8 | Ацетон | C3H6O | 58,08 | -18 | +535 | 6,37551 | 1281,721 | 237,088 | | 2,7 | ЛВЖ | 31360 |
9 | Бензиловый спирт | C7H8O | 108,15 | +90 | +415 | - | - | - | - | 1,3 | ГЖ | - |
10 | Бензол | C6H6 | 78,113 | -11 | +560 | 5,61391 | 902,275 | 178,099 | | 1,43 | ЛВЖ | 40576 |
6,10906 | 1252,776 | 225,178 | |
11 | 1,3-Бутадиен | C4H6 | 54,091 | - | +430 | - | - | - | - | 2,0 | ГГ | 44573 |
12 | н-Бутан | C4H10 | 58,123 | -69 | +405 | 6,00525 | 968,098 | 242,555 | | 1,8 | ГГ | 45713 |
13 | 1-Бутен | C4H8 | 56,107 | - | +384 | - | - | - | - | 1,6 | ГГ | 45317 |
14 | 2-Бутен | C4H8 | 56,107 | - | +324 | - | - | - | - | 1,8 | ГГ | 45574 |
15 | н-Бутилацетат | C6H12O2 | 116,16 | +29 | +330 | 6,25205 | 1430,418 | 210,745 | | 1,35 | ЛВЖ | 28280 |
16 | втор-Бутилацетат | C6H12O2 | 116,16 | +19 | +410 | - | - | - | - | 1,4 | ЛВЖ | 28202 |
17 | н-Бутиловый спирт | C4H10O | 74,122 | +35 | +340 | 8,72232 | 2664,684 | 279,638 | | 1,8 | ЛВЖ | 36805 |
18 | Винилхлорид | C2H3Cl | 62,499 | - | +470 | 6,0161 | 905,008 | 239,475 | | 3,6 | ГГ | 18496 |
19 | Водород | H2 | 2,016 | - | +510 | - | - | - | - | 4,12 | ГГ | 119841 |
20 | н-Гексадекан | C16H34 | 226,44 | +128 | +207 | 5,91242 | 1656,405 | 136,869 | | 0,47 | ГЖ (ТГВ) | 44312 |
21 | н-Гексан | C6H14 | 86,177 | -23 | +233 | 5,99517 | 1166,274 | 223,661 | | 1,24 | ЛВЖ | 45105 |
22 | н-Гексиловый спирт | C6H14O | 102,17 | +60 | +285 | 6,17894 | 1293,831 | 152,631 | | 1,2 | ЛВЖ | 39587 |
7,23663 | 1872,743 | 202,666 | |
23 | Гептан | C7H16 | 100,203 | -4 | +223 | 6,07647 | 1295,405 | 219,819 | | 1,07 | ЛВЖ | 44919 |
24 | Гидразин | N2H4 | 32,045 | +38 | +132 | 7,99805 | 2266,447 | 266,316 | | 4,7 | ЛВЖ (ВВ) | 14644 |
25 | Глицерин | C3H8O3 | 92,1 | +198 | +400 | 8,177393 | 3074,220 | 214,712 | | 2,6 | ГЖ | 16102 |
26 | Декан | C10H22 | 142,28 | +47 | +230 | 6,52023 | 1809,975 | 227,700 | | 0,7 | ЛВЖ | 44602 |
27 | Дивиниловый эфир | C4H6O | 70,1 | -30 | +360 | - | - | - | - | 1,7 | ЛВЖ | 32610 |
28 | N,N-Диметилформамид | C3H7ON | 73,1 | +53 | +440 | 6,15939 | 1482,985 | 204,342 | | 2,35 | ЛВЖ | - |
29 | 1,4-Диоксан | C4H8O2 | 88,1 | +11 | +375 | 6,64091 | 1632,425 | 250,725 | | 2,0 | ЛВЖ | - |
30 | 1,2-Дихлорэтан | C2H4Cl2 | 98,96 | +9 | +413 | 6,78615 | 1640,179 | 259,715 | | 6,2 | ЛВЖ | 10873 |
31 | Диэтиламин | C4H11N | 73,14 | -14 | +310 | 6,34794 | 1267,557 | 236,329 | | 1,78 | ЛВЖ | 34876 |
32 | Диэтиловый эфир | C4H10O | 74,12 | -41 | +180 | 6,12270 | 1098,945 | 232,372 | | 1,7 | ЛВЖ | 34147 |
33 | н-Додекан | C12H26 | 170,337 | +77 | +202 | 7,29574 | 2463,739 | 253,884 | | 0,63 | ГЖ | 44470 |
34 | Изобутан | C4H10 | 58,123 | -76 | +462 | 5,95318 | 916,054 | 243,783 | | 1,81 | ГГ | 45578 |
35 | Изобутилен | C4H8 | 56,11 | - | +465 | - | - | - | - | 1,78 | ГГ | 45928 |
36 | Изобутиловый спирт | C4H10O | 74,12 | +28 | +390 | 7,83005 | 2058,392 | 245,642 | | 1,8 | ЛВЖ | 36743 |
37 | Изопентан | C5H12 | 72,15 | -52 | +432 | 5,91799 | 1022,551 | 233,493 | | 1,36 | ЛВЖ | 45239 |
38 | Изопропилбензол | C9H12 | 120,20 | +37 | +424 | 6,06756 | 1461,643 | 207,56 | | 0,88 | ЛВЖ | 46663 |
39 | Изопропиловый спирт | C3H8O | 60,09 | +14 | +430 | 7,51055 | 1733,00 | 232,380 | | 2,23 | ЛВЖ | 34139 |
40 | м-Ксилол | C8H10 | 106,17 | +28 | +530 | 6,13329 | 1461,925 | 215,073 | | 1,1 | ЛВЖ | 52829 |
41 | о-Ксилол | C8H10 | 106,17 | +31 | +460 | 6,28893 | 1575,114 | 223,579 | | 1,0 | ЛВЖ | 41217 |
42 | п-Ксилол | C8H10 | 106,17 | +26 | +528 | 6,25485 | 1537,082 | 223,608 | | 1,1 | ЛВЖ | 41207 |
43 | Метан | CH4 | 16,04 | - | +537 | 5,68923 | 380,224 | 264,804 | | 5,28 | ГГ | 50000 |
44 | Метиловый спирт | CH4O | 32,04 | +6 | +440 | 7,3527 | 1660,454 | 245,818 | | 6,98 | ЛВЖ | 23839 |
45 | Метилпропилкетон | C5H10O | 86,133 | +6 | +452 | 6,98913 | 1870,4 | 273,2 | | 1,49 | ЛВЖ | 33879 |
46 | Метилэтилкетон | C4H8O | 72,107 | -6 | - | 7,02453 | 1292,791 | 232,340 | | 1,90 | ЛВЖ | - |
47 | Нафталин | C10H8 | 128,06 | +80 | +520 | 9,67944 | 3123,337 | 243,569 | | 0,9 | ТГВ | 39435 |
6,7978 | 2206,690 | 245,127 | |
48 | н-Нонан | C9H20 | 128,257 | +31 | +205 | 6,17776 | 1510,695 | 211,502 | | 0,78 | ЛВЖ | 44684 |
49 | Оксид углерода | CO | 28,01 | - | +605 | - | - | - | - | 12,5 | ГГ | 10104 |
50 | Оксид этилена | C2H4O | 44,05 | -18 | +430 | - | - | - | - | 3,2 | ГГ (ВВ) | 27696 |
51 | н-Октан | C8H18 | 114,230 | +14 | +215 | 6,09396 | 1379,556 | 211,896 | | 0,9 | ЛВЖ | 44787 |
52 | н-Пентадекан | C15H32 | 212,42 | +115 | +203 | 6,0673 | 1739,084 | 157,545 | | 0,5 | ГЖ | 44342 |
53 | н-Пентан | C5H12 | 72,150 | -44 | +286 | 5,97208 | 1062,555 | 231,805 | | 1,47 | ЛВЖ | 45350 |
54 | | C6H7N | 93,128 | +39 | +578 | 6,44382 | 1632,315 | 224,787 | | 1,4 | ЛВЖ | 36702 |
55 | Пиридин | C5H5N | 79,10 | +20 | +530 | 5,91684 | 1217,730 | 196,342 | | 1,8 | ЛВЖ | 35676 |
56 | Пропан | C3H8 | 44,096 | -96 | +470 | 5,95547 | 813,864 | 248,116 | | 2,3 | ГГ | 46353 |
57 | Пропилен | C3H6 | 42,080 | - | +455 | 5,94852 | 786,532 | 247,243 | | 2,4 | ГГ | 45604 |
58 | н-Пропиловый спирт | C3H8O | 60,09 | +23 | +371 | 7,44201 | 1751,981 | 225,125 | | 2,3 | ЛВЖ | 34405 |
59 | Сероводород | H2S | 34,076 | - | +246 | - | - | - | - | 4,3 | ГГ | - |
60 | Сероуглерод | CS2 | 76,14 | -43 | +102 | 6,12537 | 1202,471 | 245,616 | | 1,0 | ЛВЖ | 14020 |
61 | Стирол | C8H8 | 104,14 | +30 | +490 | 7,06542 | 2113,057 | 272,986 | | 1,1 | ЛВЖ | 43888 |
62 | Тетрагидрофуран | C4H8O | 72,1 | -20 | +250 | 6,12008 | 1202,29 | 226,254 | | 1,8 | ЛВЖ | 34730 |
63 | н-Тетрадекан | C14H30 | 198,39 | +103 | +201 | 6,40007 | 1950,497 | 190,513 | | 0,5 | ГЖ | 44377 |
64 | Толуол | C7H8 | 92,140 | +7 | +535 | 6,0507 | 1328,171 | 217,713 | | 1,27 | ЛВЖ | 40936 |
65 | н-Тридекан | C13H28 | 184,36 | +90 | +204 | 7,09388 | 2468,910 | 250,310 | | 0,58 | ГЖ | 44424 |
66 | 2,2,4-Триметилпентан | C8H18 | 114,230 | -4 | +411 | 5,93682 | 1257,84 | 220,735 | | 1,0 | ЛВЖ | 44647 |
67 | Уксусная кислота | C2H4O2 | 60,05 | +40 | +465 | 7,10337 | 1906,53 | 255,973 | | 4,0 | ЛВЖ | 13097 |
68 | н-Ундекан | C11H24 | 156,31 | +62 | +205 | 6,80501 | 2102,959 | 242,574 | | 0,6 | ГЖ | 44527 |
69 | Формальдегид | CH2O | 30,03 | - | +430 | 5,40973 | 607,399 | 197,626 | | 7,0 | ГГ | 19007 |
70 | Фталевый ангидрид | C8H4O3 | 148,1 | +153 | +580 | 7,12439 | 2879,067 | 277,501 | | 1,7 (15 г·м-3) | ТГВ | - |
71 | Хлорбензол | C6H5Cl | 112,56 | +29 | +637 | 6,38605 | 1607,316 | 235,351 | | 1,4 | ЛВЖ | 27315 |
72 | Хлорэтан | C2H5Cl | 64,51 | -50 | +510 | 6,11140 | 1030,007 | 238,612 | | 3,8 | ГГ | 19392 |
73 | Циклогексан | C6H12 | 84,16 | -17 | +259 | 5,96991 | 1203,526 | 222,863 | | 1,3 | ЛВЖ | 43833 |
74 | Этан | C2H6 | 30,069 | - | +515 | - | - | - | - | 2,9 | ГГ | 52413 |
75 | Этилацетат | C4H8O2 | 88,10 | -3 | +446 | 6,22672 | 1244,951 | 217,881 | | 2,0 | ЛВЖ | 23587 |
76 | Этилбензол | C8H10 | 106,16 | +20 | +431 | 6,35879 | 1590,660 | 229,581 | | 1,0 | ЛВЖ | 41323 |
77 | Этилен | C2H4 | 28,05 | - | +435 | - | - | - | - | 2,7 | ГГ | 46988 |
78 | Этиленгликоль | C2H6O2 | 62,068 | +111 | +412 | 8,13754 | 2753,183 | 252,009 | | 4,29 | ГЖ | 19329 |
79 | Этиловый спирт | C2H6O | 46,07 | +13 | +400 | 7,81158 | 1918,508 | 252,125 | | 3,6 | ЛВЖ | 30562 |
80 | Этилцеллозольв | C4H10O2 | 90,1 | +40 | +235 | 7,86626 | 2392,56 | 273,15 | | 1,8 | ЛВЖ | 26382 |
ЗНАЧЕНИЯ ПОКАЗАТЕЛЕЙ ПОЖАРНОЙ ОПАСНОСТИ
НЕКОТОРЫХ СМЕСЕЙ И ТЕХНИЧЕСКИХ ПРОДУКТОВ
N п/п | Продукт (ГОСТ, ТУ), состав смеси, % (масс.) | Суммарная формула | Молярная масса, кг·кмоль-1 | Температура вспышки, °C | Температура самовоспламенения, °C | Константы уравнения Антуана | Температурный интервал значений констант уравнения Антуана, °C | Нижний концентрационный предел распространения пламени CНКПР, % (об.) | Характеристика вещества | Теплота сгорания, кДж·кг-1 |
A | B | Cа |
1 | | C7,267H14,796 | 102,2 | -34 | +300 | 7,54424 | 2629,65 | 384,195 | | 0,79 | ЛВЖ | 44094 |
2 | Бензин А-72 (зимний) (ГОСТ 2084-67) | C6,991H13,108 | 97,2 | -36 | - | 4,19500 | 682,876 | 222,066 | | 1,08 | ЛВЖ | 44239 |
3 | Бензин АИ-93 (летний) (ГОСТ 2084-67) | C7,024H13,706 | 98,2 | -36 | - | 4,12311 | 664,976 | 221,695 | | 1,06 | ЛВЖ | 43641 |
4 | Бензин АИ-93 (зимний) (ГОСТ 2084-67) | C6,911H12,168 | 95,3 | -37 | - | 4,26511 | 695,019 | 223,220 | | 1,1 | ЛВЖ | 43641 |
| | ИС МЕГАНОРМ: примечание. Взамен ГОСТ 305-73 Постановлением Госстандарта СССР от 31.03.1982 N 1386 с 1 января 1983 года введен в действие ГОСТ 305-82. | |
|
5 | Дизельное топливо "3" (ГОСТ 305-73) | C12,343H23,889 | 172,3 | > +35 | +225 | 5,07818 | 1255,73 | 199,523 | | 0,61 | ЛВЖ | 43590 |
6 | Дизельное топливо "Л" (ГОСТ 305-73) | C14,511H29,120 | 203,6 | > +40 | +210 | 5,00109 | 1314,04 | 192,473 | | 0,52 | ЛВЖ | 43419 |
7 | Керосин осветительный КО-20 (ГОСТ 4753-68) | C13,595H26,860 | 191,7 | > +40 | +227 | 4,82177 | 1211,73 | 194,677 | | 0,55 | ЛВЖ | 43692 |
8 | Керосин осветительный КО-22 (ГОСТ 4753-68) | C10,914H21,832 | 153,1 | > +40 | +245 | 5,59599 | 1394,72 | 204,260 | | 0,64 | ЛВЖ | 43692 |
9 | Керосин осветительный КО-25 (ГОСТ 4753-68) | C11,054H21,752 | 154,7 | > +40 | +236 | 5,12496 | 1223,85 | 203,341 | | 0,66 | ЛВЖ | 43692 |
| | ИС МЕГАНОРМ: примечание. Постановлением Госстандарта СССР от 22.12.1978 N 3407 с 1 января 1980 года введен в действие ГОСТ 9410-78. | |
|
10 | Ксилол (смесь изомеров) (ГОСТ 9410-60) | C8H10 | 106,17 | +29 | +490 | 6,17972 | 1478,16 | 220,535 | | 1,1 | ЛВЖ | 43154 |
| | ИС МЕГАНОРМ: примечание. Взамен ГОСТ 3134-52 Постановлением Госстандарта СССР от 29.03.1978 N 856 с 1 января 1979 года введен в действие ГОСТ 3134-78. | |
|
11 | Уайт-спирит (ГОСТ 3134-52) | C10,5H21,0 | 147,3 | > +33 | +250 | 7,13623 | 2218,3 | 273,15 | | 0,7 | ЛВЖ | 43966 |
| | ИС МЕГАНОРМ: примечание. Взамен ГОСТ 10121-62 Постановлением Госстандарта СССР от 21.01.1976 N 158 с 1 января 1977 года введен в действие ГОСТ 10121-76. | |
|
12 | Масло трансформаторное (ГОСТ 10121-62) | C21,74H42,28S0,04 | 303,9 | > +135 | +270 | 6,88412 | 2524,17 | 174,010 | | 0,29 | ГЖ | 43111 |
13 | Масло АМТ-300 (ТУ 38-1Г-68) | C22,25H33,48S0,34N0,07 | 312,9 | > +170 | +290 | 6,12439 | 2240,001 | 167,85 | | 0,2 | ГЖ | 42257 |
14 | Масло АМТ-300 Т (ТУ 38101243-72) | C19,04H24,58S0,196N0,04 | 260,3 | > +189 | +334 | 5,62020 | 2023,77 | 164,09 | | 0,2 | ГЖ | 41778 |
15 | Растворитель Р-4 (н-бутилацетат - 12, толуол - 62, ацетон - 26) | C5,452H7,606O0,535 | 81,7 | -7 | +550 | 6,29685 | 1373,667 | 242,828 | | 1,65 | ЛВЖ | 40936 |
16 | Растворитель Р-4 (ксилол - 15, толуол - 70, ацетон - 15) | C6,231H7,798C0,223 | 86,3 | -4 | - | 6,27853 | 1415,199 | 244,752 | | 1,38 | ЛВЖ | 43154 |
17 | Растворитель Р-5 (н-бутилацетат - 30, ксилол - 40, ацетон - 30) | C5,309H8,655O0,897 | 86,8 | -9 | - | 6,30343 | 1378,851 | 245,039 | | 1,57 | ЛВЖ | 43154 |
18 | Растворитель Р-12 (н-бутилацетат - 30, ксилол - 10, толуол - 60) | C6,837H9,217O0,515 | 99,6 | +10 | - | 6,17297 | 1403,079 | 221,483 | | 1,26 | ЛВЖ | 43154 |
19 | Растворитель М (н-бутилацетат - 30, этилацетат - 5, этиловый спирт - 60, изобутиловый спирт - 5) | C2,761H7,147O1,187 | 59,36 | +6 | +397 | 8,05697 | 2083,566 | 267,735 | | 2,79 | ЛВЖ | 36743 |
20 | Растворитель РМЛ (ТУКУ 467-56) (толуол - 10, этиловый спирт - 64, н-бутиловый спирт - 10, этилцеллозольв - 16) | C2,645H6,810O1,038 | 55,24 | +10 | +374 | 8,69654 | 2487,728 | 290,920 | | 2,85 | ЛВЖ | 40936 |
21 | Растворитель РМЛ-218 (МРТУ 6-10-729-68) (н-бутилацетат - 9, ксилол - 21,5, толуол - 21,5, этиловый спирт - 16, н-бутиловый спирт - 3, этилцеллозольв - 13, этилацетат - 16) | C4,791H8,318O0,974 | 81,51 | +4 | +399 | 7,20244 | 1761,043 | 251,546 | | 1,72 | ЛВЖ | 43154 |
22 | Растворитель РМЛ-315 (ТУ 6-10-1013-70) (н-бутилацетат - 18, ксилол - 25, толуол - 25, н-бутиловый спирт - 15, этилцеллозольв - 17) | C5,962H9,779O0,845 | 94,99 | +16 | +367 | 6,83653 | 1699,687 | 241,00 | | 1,25 | ЛВЖ | 43154 |
| | ИС МЕГАНОРМ: примечание. Взамен ГОСТ 3134-52 Постановлением Госстандарта СССР от 29.03.1978 N 856 с 1 января 1979 года введен в действие ГОСТ 3134-78. | |
|
23 | Уайт-спирит (ГОСТ 3134-52) | C10,5H21,0 | 147,3 | > +33 | +250 | 7,13623 | 2218,3 | 273,15 | | 0,7 | ЛВЖ | 43966 |
ЗНАЧЕНИЯ НИЗШЕЙ ТЕПЛОТЫ СГОРАНИЯ
ТВЕРДЫХ ГОРЮЧИХ ВЕЩЕСТВ И МАТЕРИАЛОВ
Вещества и материалы | Низшая теплота сгорания  , МДж·кг -1 |
Бумага: | |
разрыхленная | 13,40 |
книги, журналы | 13,40 |
книги на деревянных стеллажах | 13,40 |
Древесина (бруски, W = 14%) | 13,80 |
Древесина (мебель в жилых и административных зданиях,  ) | 13,80 |
Кальций (стружка) | 15,80 |
Канифоль | 30,40 |
Кинопленка триацетатная | 18,80 |
Капрон | 31,09 |
Карболитовые изделия | 26,90 |
Каучук СКС | 43,89 |
Каучук натуральный | 44,73 |
Каучук хлоропреновый | 27,99 |
Краситель жировой 5С | 33,18 |
Краситель 9-78Ф п/э | 20,67 |
Краситель фталоцианотен 4 "З" М | 13,76 |
Ледерин (кожзаменитель) | 17,76 |
Линкруст поливинилхлоридный | 17,08 |
Линолеум: | |
масляный | 20,97 |
поливинилхлоридный | 14,31 |
поливинилхлоридный двухслойный | 17,91 |
поливинилхлоридный на войлочной основе | 16,57 |
поливинилхлоридный на тканевой основе | 20,29 |
Линопор | 19,71 |
Магний | 25,10 |
Мипора | 17,40 |
Натрий металлический | 10,88 |
Органическое стекло | 27,67 |
Полистирол | 39,00 |
Резина | 33,52 |
Текстолит | 20,90 |
Торф | 16,60 |
Пенополиуретан | 24,30 |
Волокно штапельное | 13,80 |
Волокно штапельное в кипе 40 x 40 x 40 см | 13,80 |
Полиэтилен | 47,14 |
Полипропилен | 45,67 |
Хлопок в тюках  | 16,75 |
Хлопок разрыхленный | 15,70 |
Лен разрыхленный | 15,70 |
Хлопок + капрон (3:1) | 16,20 |
ЗНАЧЕНИЯ КРИТИЧЕСКИХ ПЛОТНОСТЕЙ ПАДАЮЩИХ ЛУЧИСТЫХ ПОТОКОВ
Материалы | qкр, кВт·м-2 |
Древесина (сосна влажность 12%) | 13,9 |
Древесно-стружечные плиты плотностью 417 кг·м-3 | 8,3 |
Торф брикетный | 13,2 |
Торф кусковый | 9,8 |
Хлопок волокно | 7,5 |
Слоистый пластик | 15,4 |
Стеклопластик | 15,3 |
Пергамин | 17,4 |
Резина | 14,8 |
Уголь | 35,0 |
Рулонная кровля | 17,4 |
Картон серый | 10,8 |
| 19,0 |
Декоративный бумажно-слоистый пластик, ТУ 400-1-18-64 | 24,0 |
Металлопласт, ТУ 14-1-4003-85 | 24,0 |
Металлопласт, ТУ 14-1-4210-86 | 27,0 |
| 13,0 |
| | ИС МЕГАНОРМ: примечание. Взамен ГОСТ 10632-77 Постановлением Госстандарта СССР от 02.02.1989 N 13 с 1 января 1990 года введен в действие ГОСТ 10632-89. | |
|
Плитка древесно-стружечная, ГОСТ 10632-77 | 12,0 |
Плитка древесно-стружечная с отделкой "Полиплен", ГОСТ 21-29-94-81 | 12,0 |
Плитка древесно-волокнистая с лакокрасочным покрытием под ценные породы дерева, ГОСТ 8904-81 | 12,0 |
Плитка древесно-волокнистая с лакокрасочным покрытием под ценные породы дерева, ТУ 400-1-199-80 | 16,0 |
Винилискожа обивочная пониженной горючести, ТУ 17-21-488-84 | 30,0 |
Винилискожа, ТУ 17-21-473-84 | 32,0 |
Кожа искусственная "Теза", ТУ 17-21-488-84 | 17,9 |
Кожа искусственная "ВИК-ТР", ТУ 17-21-256-78 | 20,0 |
Кожа искусственная "ВИК-Т" на ткани 4ЛХ, ТУ 17-21-328-80 | 20,0 |
Стеклопластик на полиэфирной основе, ТУ 6-55-15-88 | 14,0 |
Лакокрасочные покрытия РХО, ТУ 400-1-120-85 | 25,0 |
Обои моющиеся ПВХ на бумажной основе, ТУ 21-29-11-72 | 12,0 |
Линолеум ПВХ однослойный, ГОСТ 14632-79 | 10,0 |
Линолеум алкидный, ГОСТ 19247-73 | 10,0 |
Линолеум ПВХ марки ТТН-2, ТУ 21-29-5-69 | 12,0 |
Линолеум ПВХ на тканевой основе, ТУ 21-29-107-83 | 12,0 |
Линолеум рулонный на тканевой основе | 12,0 |
Линолеум ПВХ, ТУ 480-1-237-86: | |
с применением полотна, ТУ 17-14-148-81 | 7,2 |
с применением полотна, ТУ 17-РСФСР-18-17-003-83 | 6,0 |
на подоснове "Неткол" | 9,0 |
Дорожка прутковая чистошерстяная, ТУ 17-Таджикская ССР-463-84 | 9,0 |
Покрытие ковровое, прошивное, ОСТ 17-50-83, арт. 5867 | 22,0 |
Покрытие ковровое для полов рулонное "Ворсолон", ТУ 21-29-12-72 | 5,0 |
Покрытие ковровое иглопробивное "Мистра-1", ТУ 17-Эстонская ССР-266-80 | 6,0 |
Покрытие ковровое иглопробивное "Мистра-2", ТУ 17-Эстонская ССР-266-80 | 5,0 |
Покрытие ковровое иглопробивное "Авистра" | 12,0 |
Покрытие ковровое иглопробивное "Вестра", ТУ 17-Эстонская ССР-551-86 | 5,0 |
Покрытие ковровое типа А, ТУ 21-29-35 арт. 10505 | 4,0 |
Сено, солома (при минимальной влажности до 8%) | 7,0 |
Легковоспламеняющиеся, горючие и трудногорючие жидкости при температуре самовоспламенения, °C: | |
300 | 12,1 |
350 | 15,5 |
400 | 19,9 |
500 и выше | 28,0 |
1.
СП 12.13130.2009. Определение категорий помещений, зданий и наружных установок по взрывопожарной и пожарной опасности. М.: ВНИИПО, 2009. 27 с.
Изменение N 1 к СП 12.13130.2009, утвержденное приказом МЧС России от 09.12.2010 г. N 643 и введенное в действие 01.02.2011 г.
2. Пожаровзрывоопасность веществ и материалов и средства их тушения: Справ. изд.: в 2 кн./А.Н. Баратов [и др.]. М.: Химия, 1990. 496 с., 384 с.
3.
СНиП 23-01-99*. Строительная климатология. М: ОАО "ЦПП", 2010. 70 с.
4. Монахов В.П. Методы исследования пожарной опасности веществ. М.: Химия, 1980.
5.
СП 7.13130.2013. Отопление, вентиляция и кондиционирование. Противопожарные требования, М.: ВНИИПО, 2009. 29 с.
6. Правила устройства электроустановок. 7-е изд. М.: Омега-Л, 2009. 268 с.
7.
Методика определения расчетных величин пожарного риска на производственных объектах, утвержденная приказом МЧС России от 10.07.2009 г. N 404. М.: ВНИИПО, 2009. 76 с.
(
Изменения к методике утверждены приказом МЧС России от 14.12.2010 г. N 649).