Главная // Актуальные документы // Поправка / ПоправкиСПРАВКА
Источник публикации
М., Госстрой РФ, 2003
Примечание к документу
Документ утратил силу в связи с изданием
Приказа Минстроя России от 15.06.2016 N 414/пр.
Взамен Методических
указаний по определению расходов топлива, электроэнергии и воды на выработку тепла отопительными котельными коммунальных теплоэнергетических предприятий, утвержденных заместителем председателя Комитета Российской Федерации по муниципальному хозяйству 22.02.1994, Инструкции по нормированию расхода котельно-печного топлива на отпуск тепловой энергии котельными системы Министерства жилищно-коммунального хозяйства РСФСР, утвержденной Минжилкомхозом РСФСР 27.06.1984.
Название документа
"Методика определения потребности в топливе, электрической энергии и воде при производстве и передаче тепловой энергии и теплоносителей в системах коммунального теплоснабжения"
(утв. Госстроем РФ 12.08.2003)
"Методика определения потребности в топливе, электрической энергии и воде при производстве и передаче тепловой энергии и теплоносителей в системах коммунального теплоснабжения"
(утв. Госстроем РФ 12.08.2003)
Заместителем Председателя
Госстроя России
12 августа 2003 года
Согласовано
Федеральной энергетической
комиссией Российской Федерации
22 апреля 2003 г. N ЕЯ-1357/2
Департаментом государственного
энергетического надзора,
лицензирования
и энергоэффективности
Минэнерго России
10 апреля 2003 г. N 32-10-11/540
| | Общероссийским строительным каталогом (СК-1) настоящей Методике присвоен номер МДК 4-05.2004. | |
МЕТОДИКА
ОПРЕДЕЛЕНИЯ ПОТРЕБНОСТИ В ТОПЛИВЕ, ЭЛЕКТРИЧЕСКОЙ ЭНЕРГИИ
И ВОДЕ ПРИ ПРОИЗВОДСТВЕ И ПЕРЕДАЧЕ ТЕПЛОВОЙ ЭНЕРГИИ
И ТЕПЛОНОСИТЕЛЕЙ В СИСТЕМАХ КОММУНАЛЬНОГО
ТЕПЛОСНАБЖЕНИЯ
Разработана закрытым акционерным обществом "Роскоммунэнерго" (Хиж Э.Б., Скольник Г.М., Бытенский О.М., Толмасов А.С.) при участии Российской ассоциации "Коммунальная энергетика" и Академии коммунального хозяйства им. К.Д. Памфилова.
Согласована Федеральной энергетической комиссией Российской Федерации (22.04.03, N ЕЯ-1357/2), Департаментом государственного энергетического надзора, лицензирования и энергоэффективности Минэнерго России (10.04.03, N 32-10-11/540).
Одобрена Секцией "Коммунальная энергетика" Научно-технического совета Госстроя России (протокол от 29.05.03 N 01-нс-14/1).
Утверждена Заместителем председателя Госстроя России 12.08.03.
"Методика определения потребности в топливе, электрической энергии и воде при производстве и передаче тепловой энергии и теплоносителей в системах коммунального теплоснабжения" разработана для использования при прогнозировании и планировании потребности в топливе, электрической энергии и воде теплоснабжающими организациями жилищно-коммунального комплекса, органами управления жилищно-коммунальным хозяйством.
Методика используется также для обоснования потребности теплоснабжающих организаций в финансовых средствах при рассмотрении тарифов (цен) на тепловую энергию, ее передачу и распределение.
Использование Методики позволяет оценивать технико-экономическую эффективность при планировании энергосберегающих мероприятий, внедрении энергоэффективных технологических процессов и оборудования.
Настоящая Методика используется взамен:
Методических
указаний по определению расходов топлива, электроэнергии и воды на выработку тепла отопительными котельными коммунальных теплоэнергетических предприятий, утвержденных заместителем председателя Комитета Российской Федерации по муниципальному хозяйству 22.02.94;
Инструкции по нормированию расхода котельно-печного топлива на отпуск тепловой энергии котельными системы Министерства жилищно-коммунального хозяйства РСФСР, утвержденной Минжилкомхозом РСФСР 27.06.84.
При подготовке Методики использованы предложения ОАО "Институт экономики жилищно-коммунального хозяйства", ГУП "СантехНИИпроект", Ассоциации "Мособлтеплоэнерго", научно-внедренческой фирмы "Интехэнерго М" Московского энергетического института, производственно-технического предприятия "Оргкоммунэнерго-М", ряда коммунальных теплоэнергетических предприятий (г. г. Вологда, Ставрополь, Таганрог Ростовской обл. и др.).
1.1. "Методика определения потребности в топливе, электрической энергии и воде при производстве и передаче тепловой энергии и теплоносителей в системах коммунального теплоснабжения" (далее - Методика) разработана для использования при прогнозировании и планировании потребности в топливе, электрической энергии и воде теплоснабжающими организациями жилищно-коммунального комплекса, органами управления жилищно-коммунальным хозяйством.
Методика используется также для обоснования потребности теплоснабжающих организаций в финансовых средствах при рассмотрении тарифов (цен) на тепловую энергию, ее передачу и распределение.
1.2. Настоящая Методика не может применяться для определения фактических показателей, используемых при финансовых расчетах между теплоснабжающими организациями и потребителями тепловой энергии (теплоносителей).
1.3. Исходными данными для определения потребности в топливе, электрической энергии и воде являются:
- физические (материальные) характеристики источников теплоснабжения (отопительных котельных), тепловых сетей и сооружений на них (тепловых пунктов, насосных станций, дроссельных пунктов, баков-аккумуляторов горячей воды);
- нормативные характеристики материальных объектов систем коммунального теплоснабжения;
- планируемые (прогнозируемые) значения расчетных тепловых нагрузок потребителей, количества тепловой энергии и теплоносителей, необходимых для их удовлетворения в заданных режимах.
1.4. Все используемые для расчетов данные должны основываться на достоверной информации, проектных характеристиках зданий, помещений, технологических процессов потребителей, количестве жителей, пользующихся горячим водоснабжением, и др.
1.5. При утрате и невозможности восстановления проектных материалов, а также при недокументированных изменениях теплоснабжаемых зданий и сооружений расчетные значения их тепловой нагрузки могут быть определены путем натурных обмеров (натурных испытаний) и последующих расчетов. Результаты обмеров и расчетов, выполненных потребителями тепловой энергии, подлежат согласованию с энергоснабжающей организацией. В случае разногласий к их разрешению привлекается по соглашению сторон экспертная организация или орган государственного энергетического надзора по месту нахождения потребителя тепловой энергии.
1.6. В Методике применяются следующие основные понятия:
система коммунального теплоснабжения - совокупность объединенных общим производственным процессом источников теплоснабжения и (или) тепловых сетей города (района, квартала), другого населенного пункта, эксплуатируемых теплоэнергетической организацией жилищно-коммунального комплекса;
присоединенная тепловая нагрузка (мощность) - суммарная проектная максимальная (расчетная) часовая тепловая нагрузка (мощность) либо суммарный проектный максимальный (расчетный) часовой расход теплоносителя для всех систем теплопотребления, присоединенных к тепловой сети теплоснабжающей организации;
произведенная тепловая энергия - тепловая энергия, произведенная котельным агрегатом (котельными агрегатами), установленным (установленными) в котельной (источнике теплоснабжения);
выработанная тепловая энергия - тепловая энергия, равная сумме тепловой энергии, произведенной котельными агрегатами котельной (источника теплоснабжения), за вычетом тепловой энергии, использованной в котельной (источнике теплоснабжения) на собственные нужды, и переданная в тепловую сеть;
отпущенная тепловая энергия - тепловая энергия, отпущенная потребителю тепловой энергии (потребителям) на границе эксплуатационной ответственности (балансовой принадлежности);
расчетная часовая тепловая нагрузка потребителя тепловой энергии (расчетное тепловое потребление) - сумма значений часовой тепловой нагрузки по видам теплового потребления (отопление, приточная вентиляция, кондиционирование воздуха, горячее водоснабжение), определенных при расчетных значениях температуры наружного воздуха для каждого из видов теплового потребления, и среднего значения часовой за неделю нагрузки горячего водоснабжения;
расчетная часовая тепловая нагрузка источника теплоснабжения - сумма расчетных значений часовой тепловой нагрузки всех потребителей тепловой энергии в системе теплоснабжения и тепловых потерь трубопроводами тепловой сети при расчетном значении температуры наружного воздуха;
расчетный часовой расход теплоносителя на отопление (приточную вентиляцию) - значение часового расхода теплоносителя на отопление (приточную вентиляцию) при значении температуры наружного воздуха, расчетном для проектирования отопления (приточной вентиляции);
расчетный часовой расход теплоносителя на горячее водоснабжение - значение часового расхода теплоносителя на горячее водоснабжение, соответствующее среднему за неделю значению часовой тепловой нагрузки горячего водоснабжения, при значении температуры наружного воздуха, соответствующем точке излома температурного графика регулирования тепловой нагрузки;
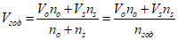
средняя часовая за неделю тепловая нагрузка горячего водоснабжения - часть тепловой энергии, используемой на горячее водоснабжение за неделю, соответствующая выражению 1/7Т, где Т - продолжительность функционирования систем горячего водоснабжения, ч;
средняя часовая за неделю массовая (весовая) нагрузка горячего водоснабжения (средненедельный водоразбор) - 168-я часть количества теплоносителя (сетевой воды), используемого за неделю на горячее водоснабжение непосредственным водоразбором;
годовой расчетно-нормативный расход тепловой энергии на отопление, вентиляцию и горячее водоснабжение, топлива и электрической энергии - расчетно-нормативное потребление энергоустановками тепловой энергии, топлива, электроэнергии в год с учетом нормативных потерь.
1.7. Настоящая Методика используется взамен:
Методических
указаний по определению расходов топлива, электроэнергии и воды на выработку тепла отопительными котельными коммунальных теплоэнергетических предприятий, утвержденных заместителем председателя Комитета Российской Федерации по муниципальному хозяйству 22.02.94
[13];
Инструкции по нормированию расхода котельно-печного топлива на отпуск тепловой энергии котельными системы Министерства жилищно-коммунального хозяйства РСФСР, утвержденной Минжилкомхозом РСФСР 27.06.84
[14].
2. ОПРЕДЕЛЕНИЕ ПОТРЕБНОСТИ В ТОПЛИВЕ ДЛЯ ПРОИЗВОДСТВА
ТЕПЛОВОЙ ЭНЕРГИИ НА ПЛАНИРУЕМЫЙ ПЕРИОД
2.1. Потребность в топливе на выработку тепловой энергии определяется по нормам удельного расхода топлива, кг у.т./Гкал, на весь объем тепловой энергии, необходимой для теплоснабжения потребителей в планируемом периоде.
2.2. Потребность в топливе на выработку тепловой энергии по отдельной котельной, по группе котельных, входящих в одну систему теплоснабжения, или по предприятию (организации) в целом определяется с использованием норм удельного расхода топлива соответствующего уровня.
2.3. Для определения потребности в топливе на производство тепловой энергии используются групповые нормы удельного расхода топлива, основанные на индивидуальных нормах.
Индивидуальная норма - норма расхода данного расчетного вида топлива в условном исчислении на производство 1 Гкал тепловой энергии котлоагрегатом <*> с котлом данного типа при определенных, заранее выбранных оптимальных эксплуатационных условиях. При определении индивидуальной нормы в качестве расчетного топлива принимается вид топлива, указанный в техническом паспорте котла. Индивидуальные нормы измеряются в килограммах условного топлива на 1 Гкал произведенной тепловой энергии (кг у.т./Гкал). Отклонение условий эксплуатации от расчетных, принятых при определении индивидуальных норм, учитывается при расчете групповых норм нормативными коэффициентами.
------------------------------------
<*> Здесь и далее под термином "котлоагрегат" понимается паровой или водогрейный котел с хвостовыми поверхностями нагрева (экономайзер, воздухоподогреватель).
Групповая норма расхода топлива на выработку тепловой энергии - плановое значение расхода топлива на выработку 1 Гкал тепловой энергии при планируемых условиях производства. Групповая норма расхода топлива на выработку тепловой энергии измеряется в килограммах условного топлива на 1 Гкал тепловой энергии (кг у.т./Гкал).
2.4. При разработке норм расхода топлива необходимо соблюдать следующее:
- нормы разрабатываются на всех уровнях планирования на единой методической основе;
- учитываются условия производства, достижения научно-технического прогресса, планы организационно-технических мероприятий, предусматривающие рациональное и эффективное использование топлива;
- нормы систематически пересматриваются с учетом планируемого развития и технического прогресса производства, достигнутых наиболее экономичных показателей использования топливно-энергетических ресурсов;
- нормы должны способствовать максимальному использованию резервов экономии топлива.
2.5. В нормы расхода топлива не должны включаться затраты топлива, вызванные отступлениями от правил технической эксплуатации и режимов функционирования, на строительство и капитальный ремонт зданий и сооружений, монтаж, пуск и наладку нового оборудования котельной, на научно-исследовательские и экспериментальные работы.
2.6. Установленные для котельных нормы расхода топлива должны изменяться при возникновении следующих причин, существенно влияющих на расход тепловой энергии и топлива:
- изменение вида или качества сжигаемого топлива;
- выявление испытаниями новых характеристик котлоагрегатов;
- установка нового или реконструкция действующего оборудования.
Все изменения норм на основании испытаний или обоснованных расчетов должны быть введены в действие после их утверждения.
2.7. Исходными данными для определения норм расхода топлива являются:
- фактические технические данные оборудования (производительность, давление, КПД и др.) и режим функционирования (по времени и нагрузке);
- режимные карты, составленные в результате режимно-наладочных испытаний;
- план организационно-технических мероприятий по рациональному использованию и экономии топливно-энергетических ресурсов;
- информация о плановых и фактических удельных расходах топлива за прошедшие годы.
2.8. Работа по определению норм расхода топлива в котельной на планируемый период проводится в следующей последовательности:
- определяется плановая выработка тепловой энергии котельной (котельными) Q;
- уточняется характеристика сжигаемого топлива: низшая теплота сгорания

, для угля - марка угля, влажность, зольность, фракционный состав (содержание мелочи класса 0 - 6 мм, %);
- определяются технические характеристики и параметры функционирования оборудования - тепловая мощность котлоагрегата (котла), Гкал/ч, т/ч пара, температура питательной воды

, давление пара Р, коэффициент избытка воздуха в топке котла

, присосы по газоходам и т.д.;
- подбираются типовые нормативные характеристики, соответствующие установленному оборудованию и виду сжигаемого топлива. В случае, если нормативные характеристики не соответствуют фактическим для установленных котлоагрегатов (вследствие несоответствия параметров пара, питательной воды, поверхностей нагрева элементов котла, качества топлива и т.д.), а также при отсутствии нормативных характеристик для установленных котлов проводятся режимно-наладочные испытания с целью установления оптимальных режимов функционирования котла и разработки обоснованных нормативных характеристик;
- по нормативным характеристикам устанавливается индивидуальная норма расхода топлива на производство тепловой энергии каждым котлоагрегатом;
- определяется расход тепловой энергии на собственные нужды котельной;
- определяется норма расхода топлива на выработку тепловой энергии для котельной в целом.
2.9. Расчет индивидуальных норм расхода топлива на производство тепловой энергии осуществляется в следующем порядке.
2.9.1. В состав индивидуальных норм включаются расходы топлива на основной технологический процесс - производство тепловой энергии.
В основу разработки индивидуальных норм

положены нормативные характеристики котлоагрегатов.
Нормативная характеристика представляет собой зависимость расхода условного топлива на 1 Гкал произведенной тепловой энергии

от нагрузки (производительности) котлоагрегата при нормальных условиях его работы на данном виде топлива.
Построение нормативной характеристики предусматривает определение значений удельного расхода топлива брутто, кг у.т./Гкал, во всем диапазоне нагрузки котлоагрегата

- от минимальной до максимальной:

, (1)
где

- изменение КПД брутто котлоагрегата во всем диапазоне его нагрузки.
2.9.2. КПД брутто определяется по результатам режимно-наладочных испытаний котлоагрегата при сжигании топлива одного вида одинаковым способом.
Испытания котлоагрегатов проводятся по утвержденной методике специализированными организациями.
Характеристики составляются для котлоагрегата, находящегося в технически исправном и отлаженном состоянии и работающего в соответствии с режимными картами.
В случае невозможности проведения режимно-наладочных испытаний расчет проводится по индивидуальным нормам расхода топлива, приведенным в
Приложении 1.
2.9.3. При установлении индивидуальных норм в качестве нормативных значений принимаются значения удельного расхода расчетного вида топлива в условном исчислении при номинальной нагрузке котлоагрегата с учетом прогрессивных показателей удельного расхода топлива на выработку тепловой энергии котлом данного типа

. Индивидуальные нормы

расхода топлива для некоторых типов котлоагрегатов при номинальной нагрузке приведены в
Приложении 1.
При прогнозировании и планировании потребности в топливе значения удельных расходов топлива на выработку тепла по данным завода-изготовителя при номинальной загрузке корректируются в соответствии с режимной картой конкретного котла, учитывающей техническое состояние, срок ввода в эксплуатацию и величину его фактической загрузки.
Нормативные характеристики используются и для разработки нормативных коэффициентов, учитывающих отклонения условий эксплуатации от принятых при определении индивидуальных отраслевых норм:
- нормативный коэффициент

, учитывающий эксплуатационную нагрузку котлоагрегата;
- нормативный коэффициент

, учитывающий работу котлоагрегата без хвостовых поверхностей нагрева;
- нормативный коэффициент

, учитывающий использование нерасчетных видов топлива на данном типе котлов.
Коэффициенты

,

и

определяются как отношение значений удельного расхода топлива при планируемых или фактических нагрузках котлоагрегата в условиях эксплуатации

и удельного расхода топлива при оптимальных условиях эксплуатации на номинальной нагрузке

. Значение

принимается по соответствующим нормативным характеристикам. После установки хвостовых поверхностей и работе котла на расчетном виде топлива

=

= 1.
2.9.4. Нормативный коэффициент

определяется по нормативной характеристике

как отношение расхода условного топлива при средней производительности котлоагрегата за планируемый или фактический период работы

к расходу условного топлива при номинальной нагрузке

по выражению:

. (2)
Нормативные коэффициенты

для некоторых типов котлоагрегатов в зависимости от их нагрузки приведены в таблице 1.
Таблица 1
Нормативные коэффициенты,
учитывающие эксплуатационные нагрузки котлоагрегатов
┌─────────────────┬────┬─────────────────────────────────────────┐
│ Тип │Вид │ Нагрузка, % номинальной │
│ котлоагрегата │топ-├──────┬──────┬──────┬──────┬──────┬──────┤
│ │лива│ 90 │ 80 │ 70 │ 60 │ 50 │ 40 │
├─────────────────┼────┼──────┼──────┼──────┼──────┼──────┼──────┤
│ 1 │ 2 │ 3 │ 4 │ 5 │ 6 │ 7 │ 8 │
├─────────────────┴────┴──────┴──────┴──────┴──────┴──────┴──────┤
│ ПАРОВЫЕ КОТЛОАГРЕГАТЫ │
├─────────────────┬────┬──────┬──────┬──────┬──────┬──────┬──────┤
│ТП-35-У │КУ │1 │1,001 │1,005 │1,009 │1,015 │1,022 │
│ │БУ │0,997 │0,996 │1 │1,005 │1,009 │1,014 │
├─────────────────┼────┼──────┼──────┼──────┼──────┼──────┼──────┤
│ТП-35 │М │1 │1,001 │1,002 │1,005 │1,008 │1,011 │
├─────────────────┼────┼──────┼──────┼──────┼──────┼──────┼──────┤
│ТП-30 │Г │0,999 │0,999 │1 │1 │1,002 │1,007 │
│ │М │0,995 │0,993 │0,99 │0,99 │0,993 │1,001 │
├─────────────────┼────┼──────┼──────┼──────┼──────┼──────┼──────┤
│ТС-20 │Г │1 │1,001 │1,002 │1,007 │1,012 │1,017 │
│ │М │1,002 │1,006 │1,011 │1,016 │1,021 │1,028 │
├─────────────────┼────┼──────┼──────┼──────┼──────┼──────┼──────┤
│ТП-20 │Г │0,999 │0,998 │0,998 │0,999 │0,99 │1 │
├─────────────────┼────┼──────┼──────┼──────┼──────┼──────┼──────┤
│ДКВР-20-13 │Г │1,004 │1,011 │1,018 │1,026 │1,032 │1,037 │
│ │М │0,995 │0,99 │0,99 │0,995 │1 │1,005 │
│ │КУ │0,987 │0,954 │0,935 │0,935 │0,944 │0,962 │
├─────────────────┼────┼──────┼──────┼──────┼──────┼──────┼──────┤
│ДКВР-10-13 │Г │0,997 │0,996 │0,998 │0,998 │0,999 │1,001 │
│ │М │0,996 │0,993 │0,992 │0,992 │0,994 │0,998 │
├─────────────────┼────┼──────┼──────┼──────┼──────┼──────┼──────┤
│ДКВР-6,5-13 │Г │0,993 │0,988 │0,997 │0,997 │1,003 │1,011 │
│ │М │0,999 │0,999 │1,002 │1,002 │1,007 │1,014 │
├─────────────────┼────┼──────┼──────┼──────┼──────┼──────┼──────┤
│ДКВР-4-13 │Г │1 │1,001 │1,002 │1,002 │1,008 │1,02 │
│ │М │0,997 │0,992 │0,991 │0,991 │0,991 │0,994 │
├─────────────────┼────┼──────┼──────┼──────┼──────┼──────┼──────┤
│ДКВР-2,5-13 │Г │1 │1,001 │1,005 │1,005 │1,011 │1,019 │
├─────────────────┼────┼──────┼──────┼──────┼──────┼──────┼──────┤
│ШБА-5 │Г │0,999 │0,999 │1 │1,001 │1,001 │1,003 │
│ │М │1,001 │1,002 │1,003 │1,005 │1,007 │1,011 │
├─────────────────┼────┼──────┼──────┼──────┼──────┼──────┼──────┤
│ШБА-3 │Г │1,002 │1,005 │1,008 │1,012 │1,017 │1,024 │
│ │М │1,002 │1,006 │1,009 │1,018 │1,03 │1,044 │
├─────────────────┼────┼──────┼──────┼──────┼──────┼──────┼──────┤
│Шухова, т/ч: │ │ │ │ │ │ │ │
│7,5 │Г │0,999 │0,999 │0,999 │0,999 │1 │1,002 │
│4,7 │Г │1,001 │1,002 │1,003 │1,007 │1,012 │1,019 │
│3,8 │Г │0,999 │0,999 │1 │1,004 │1,011 │1,03 │
│3,2 │Г │1,001 │1,003 │1,007 │1,015 │1,025 │1,04 │
│2 │Г │1,002 │1,007 │1,012 │1,018 │1,024 │1,033 │
├─────────────────┼────┼──────┼──────┼──────┼──────┼──────┼──────┤
│Ланкаширский, │ │ │ │ │ │ │ │
│т/ч: │ │ │ │ │ │ │ │
│3,7 │Г │1,003 │1,007 │1,012 │1,018 │1,026 │1,036 │
│2,5 │Г │1,001 │1,005 │1,01 │1,016 │1,024 │1,036 │
├─────────────────┼────┼──────┼──────┼──────┼──────┼──────┼──────┤
│КРШ-4 │Г │1,001 │1,002 │1,004 │1,007 │1,011 │1,019 │
├─────────────────┴────┴──────┴──────┴──────┴──────┴──────┴──────┤
│ ВОДОГРЕЙНЫЕ КОТЛОАГРЕГАТЫ │
├─────────────────┬────┬──────┬──────┬──────┬──────┬──────┬──────┤
│ПТВМ-100 │Г │0,997 │0,994 │0,992 │0,989 │0,988 │0,988 │
│ │М │0,999 │0,999 │1 │1,001 │1,002 │1,004 │
├─────────────────┼────┼──────┼──────┼──────┼──────┼──────┼──────┤
│ПТВМ-50 │Г │0,997 │0,994 │0,992 │0,99 │0,988 │0,988 │
│ │М │0,997 │0,994 │0,99 │0,988 │0,987 │0,988 │
├─────────────────┼────┼──────┼──────┼──────┼──────┼──────┼──────┤
│ТВГМ-30 │Г │0,996 │0,992 │0,987 │0,985 │0,983 │0,982 │
├─────────────────┼────┼──────┼──────┼──────┼──────┼──────┼──────┤
│ПГВМ-30-МС │Г │0,997 │0,995 │0,993 │0,991 │0,988 │0,986 │
├─────────────────┼────┼──────┼──────┼──────┼──────┼──────┼──────┤
│ТВГ │Г │1,002 │1,005 │1,008 │1,011 │1,017 │1,023 │
│ │М │1 │0,994 │0,988 │0,986 │0,987 │1,002 │
├─────────────────┼────┼──────┼──────┼──────┼──────┼──────┼──────┤
│Секционные чугун-│Г │0,996 │0,994 │0,993 │0,994 │0,996 │0,998 │
│ные и стальные │М │0,999 │0,999 │1 │1,004 │1,011 │1,03 │
│(НР-18, НИИСТУ-5 │КУ │1,003 │1,007 │1,012 │1,018 │1,026 │1,036 │
│и др.) │БУ │1,005 │1,012 │1,023 │1,036 │1,05 │1,065 │
└─────────────────┴────┴──────┴──────┴──────┴──────┴──────┴──────┘
Примечание. Г - газ, М - мазут, КУ - каменный уголь, БУ - бурый уголь.
2.9.5. Нормативный коэффициент

определяется только при отсутствии чугунных экономайзеров в котлах паропроизводительностью до 20 т/ч при параметрах, соответствующих номинальной нагрузке.
┌──────────────────────────────┬─────────────────────────────────┐
│ Вид топлива │ Значения коэффициента К │
│ │ 2 │
├──────────────────────────────┼─────────────────────────────────┤
│Газ │ 1,025 - 1,035 │
│Мазут │ 1,030 - 1,037 │
│Каменный уголь │ 1,070 - 1,08 │
│Бурый уголь │ 1,070 - 1,08 │
└──────────────────────────────┴─────────────────────────────────┘
Меньшее значение коэффициента

принимается для котлов типа ДКВР, ШБА; большее - для котлов типа Шухова, КРШ.
2.9.6. Нормативный коэффициент

для стальных секционных и чугунных котлов типа НР-18, НИИСТУ-5, "Минск-1", "Универсал", "Тула-3" и др., а также для паровых котлов типа Е-1/9, топки которых оборудованы колосниковой решеткой с ручным обслуживанием, при сжигании рядовых углей с содержанием мелочи (класс 0 - 6 мм) более 60% принимается равным: 1,15 - для антрацита; 1,17 - для каменных углей; 1,2 - для бурых углей.
Для остальных котлов коэффициент

определяется по потерям теплоты топок от механического недожога

в зависимости от типа топочного устройства, зольности и фракционного состава топлива по формуле:

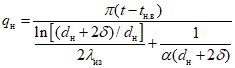
, (3)
где:

- исходное значение потерь теплоты от механического недожога, %; потери теплоты с механическим недожогом в зависимости от типа топочного устройства, зольности и вида сжигаемого топлива принимается по номограмме на рис. 1 <*>;

- поправка на содержание мелочи (класс 0 - 6 мм) в топливе; определяется по номограмме на рис. 2 <*>.
--------------------------------
<*> Не приводятся.
При наличии острого двустороннего дутья значение

=

должно быть умножено на поправочный коэффициент 0,78.
Нормативные показатели работы слоевых топок приведены в таблице 2.
Таблица 2
Нормативные показатели работы слоевых топок
┌──────────────────┬────────────────────┬──────┬───────┬────────────┐
│ Тип, марка угля │ Характеристика │Давле-│Коэффи-│Потери тепла│
│ │ топлива │ние │циент │ топкой от │
│ ├──────┬─────────────┤возду-│избытка│недожога, % │
│ │золь- │зерновая ха- │ха под│воздуха├──────┬─────┤
│ │ность,│рактеристика │решет-│за кот-│меха- │хими-│
│ │% ├──────┬──────┤кой, │лом, │ничес-│чес- │
│ │ │макси-│содер-│кгс/м2│альфа │кого │кого │
│ │ │маль- │жание │ │ ух│q │q │
│ │ │ный │фрак- │ │ │ 4 │ 3 │
│ │ │размер│ций │ │ │ │ │
│ │ │куска,│0 - 6 │ │ │ │ │
│ │ │мм │мм, % │ │ │ │ │
├──────────────────┼──────┼──────┼──────┼──────┼───────┼──────┼─────┤
│ 1 │ 2 │ 3 │ 4 │ 5 │ 6 │ 7 │ 8 │
├──────────────────┴──────┴──────┴──────┴──────┴───────┴──────┴─────┤
│ С РУЧНЫМ ЗАБРОСОМ ТОПЛИВА │
├──────────────────┬──────┬──────┬──────┬──────┬───────┬──────┬─────┤
│Бурые рядовые типа│30 │75 │55 │100 │1,65 │7 │2 │
│челябинских │ │ │ │ │ │ │ │
│Бурые рядовые типа│35 │75 │55 │100 │1,65 │11 │3 │
│подмосковных │ │ │ │ │ │ │ │
│Каменные типа Г, Д│20 │75 │55 │80 │1,65 │7 │5 │
│Каменные сильно- │20 │75 │55 │100 │1,65 │7 │4 │
│спекающиеся типа │ │ │ │ │ │ │ │
│К, ПЖ │ │ │ │ │ │ │ │
│Каменные рядовые │16 │50 │55 │100 │1,65 │6 │3 │
│тощие │ │ │ │ │ │ │ │
│Антрацит │16 │50 │55 │100 │1,75 │14 │2 │
├──────────────────┴──────┴──────┴──────┴──────┴───────┴──────┴─────┤
│ С ЗАБРАСЫВАТЕЛЯМИ И НЕПОДВИЖНЫМ СЛОЕМ │
├──────────────────┬──────┬──────┬──────┬──────┬───────┬──────┬─────┤
│Бурые рядовые типа│30 │35 │55 │60 │1,65 │7 │1 │
│челябинских │ │ │ │ │ │ │ │
│Бурые рядовые типа│35 │35 │55 │60 │1,65 │11 │1 │
│подмосковных │ │ │ │ │ │ │ │
│Каменные типа Г, Д│20 │35 │55 │60 │1,65 │7 │1 │
│Каменные сильно- │20 │35 │55 │60 │1,65 │7 │1 │
│спекающиеся типа │ │ │ │ │ │ │ │
│К, ПЖ │ │ │ │ │ │ │ │
│Каменные рядовые │18 │35 │55 │100 │1,85 │18 │0,5 │
│тощие │ │ │ │ │ │ │ │
│Антрацит АРШ │16 │35 │55 │100 │1,85 │18 │0,5 │
└──────────────────┴──────┴──────┴──────┴──────┴───────┴──────┴─────┘
2.9.7. Интегральный нормативный коэффициент К определяется:

. (4)
2.10. Индивидуальная норма на производство тепловой энергии котлоагрегатом, кг у.т./Гкал, определяется по выражению:

. (5)
2.11. Расчет групповых норм на выработку тепловой энергии котельной производится в следующей последовательности.
2.11.1. Определение групповых норм расхода топлива для котельной предусматривает:
- определение средневзвешенной нормы расхода топлива на выработку тепловой энергии котельной в целом

;
- определение нормативной доли расхода тепловой энергии на собственные нужды

котельной;
- расчет групповой нормы на выработку тепловой энергии котельной, кг у.т./Гкал, по формуле:

. (6)
2.11.2. Средневзвешенная норма расхода топлива на выработку тепловой энергии котельной, кг у.т./Гкал, определяется по формуле:

, (7)
где:

,

,

- индивидуальная норма расхода топлива для каждого котла при планируемой нагрузке, кг у.т./Гкал;

,

,

- производство тепловой энергии каждым котлом в котельной на планируемый период, Гкал.
2.12. Нормативная доля расхода тепловой энергии на собственные нужды котельной

определяется расчетным или опытным методами.
Нормативы расхода тепловой энергии на собственные нужды котельной

по элементам затрат в процентах от нагрузки приведены в
таблице 3. Нормативы установлены при следующих показателях:
- максимальная величина продувки котлов производительностью 10 т/ч пара - 10%, больше 10 т/ч пара - 5%; при определении нормативного расхода тепловой энергии на собственные нужды в реальных условиях следует принимать величину продувки по результатам ранее проведенных режимно-наладочных испытаний;
- возврат конденсата 90 - 95% количества пара, производимого котлами, температура возвращаемого конденсата 90 °С, температура добавочной химически очищенной воды 5 °С;
- марка мазута М-100, подогрев мазута - от 5 до 105 °С;
- дробеочистка принята для котлов паропроизводительностью более 25 т/ч, работающих на сернистом мазуте, бурых углях и угле марки АРШ с расходом пара на эжектор 1500 кг/ч при давлении 14 кгс/см2 и температуре 280 - 330 °С;
- расход топлива на растопку принят исходя из следующего количества растопок в год: 6 - после простоя длительностью до 12 ч, 3 - после простоя длительностью более 12 ч;
- расход пара на калориферы для подогрева воздуха перед воздухоподогревателем предусмотрен для котлов паропроизводительностью 25 т/ч и более и работающих на сернистом мазуте, бурых углях и угле марки АРШ.
Таблица 3
Нормативная доля расхода теплоты
на собственные нужды котельной
┌───────────────────────────┬──────┬─────────────────────┬───────┐
│ Составляющие затрат │Газо- │ Твердое топливо │Жидкое │
│ тепловой энергии на │образ-├─────────────┬───────┤топливо│
│ собственные нужды │ное │шахтно-мель- │слоевые│ │
│ │топли-│ничные топки │ топки │ │
│ │во ├──────┬──────┤ │ │
│ │ │камен-│бурые │ │ │
│ │ │ные │угли, │ │ │
│ │ │угли │ АРШ │ │ │
├───────────────────────────┼──────┼──────┼──────┼───────┼───────┤
│ 1 │ 2 │ 3 │ 4 │ 5 │ 6 │
├───────────────────────────┼──────┼──────┼──────┼───────┼───────┤
│Продувка паровых котлов │ │ │ │ │ │
│паропроизводительностью, │ │ │ │ │ │
│т/ч: │ │ │ │ │ │
│до 10 │0,13 │- │- │0,13 │0,13 │
│более 10 │0,06 │0,06 │0,06 │0,06 │0,06 │
│Растопка │0,06 │0,06 │0,06 │0,06 │0,06 │
│Обдувка │- │0,30 │0,30 │0,36 │0,32 │
│Дутье под решетку │- │- │- │2,50 │- │
│Мазутное хозяйство │- │- │- │- │1,60 │
│Паровой распыл мазута │- │- │- │- │4,50 │
│Эжектор дробеочистки │- │- │0,11 │- │0,17 │
│Подогрев воздуха в │- │- │1,30 │- │1,20 │
│калориферах │ │ │ │ │ │
│Технологические нужды ХВО, │2,20 │2,00 │1,80 │2,00 │1,70 │
│деаэрации, отопление и │ │ │ │ │ │
│хозяйственные нужды котель-│ │ │ │ │ │
│ной, потери с излучением │ │ │ │ │ │
│теплоты паропроводов, насо-│ │ │ │ │ │
│сов, баков и т.п.; утечки, │ │ │ │ │ │
│испарения при опробовании и│ │ │ │ │ │
│выявлении неисправностей в │ │ │ │ │ │
│оборудовании и неучтенные │ │ │ │ │ │
│потери │ │ │ │ │ │
├───────────────────────────┼──────┼──────┼──────┼───────┼───────┤
│Нормативная доля расхода │2,32 -│2,42 │2,33 -│2,65 - │3,51 - │
│тепловой энергии на собст- │2,39 │ │3,63 │4,92 │9,68 │
│венные нужды котельной d │ │ │ │ │ │
│ сн │ │ │ │ │ │
└───────────────────────────┴──────┴──────┴──────┴───────┴───────┘
Примечание. Обдувка поверхностей теплообмена учтена для котлов, работающих на всех видах топлива, кроме газообразного.
При отклонении фактических условий эксплуатации от приведенных в
таблице 3 значение

определяется по составляющим элементам в соответствии с методикой тепловых расчетов.
2.13. Для текущего и перспективного планирования средневзвешенная норма расхода топлива на выработку тепловой энергии

, кг у.т./Гкал, для котельных и предприятий может рассчитываться по индивидуальным нормам, номинальной производительности и продолжительности функционирования котлов каждого типа на соответствующем виде топлива по формуле:

, (8)
где:

- индивидуальная норма расхода топлива котлом i по расчетному виду топлива j, кг у.т./Гкал;

- номинальная производительность котла типа i, Гкал/ч;

- продолжительность функционирования в планируемом периоде всех котлов типа i на расчетном топливе вида j, ч;
n - количество типов котлов;
m - количество видов топлива;

- количество котлов типа i, работающих на топливе вида j.
Значение

в этом случае определяется на основе анализа отчетных данных с учетом планируемых организационно-технических мероприятий по экономии тепловой энергии на собственные нужды котельной.
Нормативная доля расхода тепловой энергии на собственные нужды котельной определяется по предыдущему году:

, (9)
где:

- количество тепловой энергии (нетто), выработанной котельной, тыс. Гкал;

- количество тепловой энергии (брутто), произведенной котельной, тыс. Гкал.
2.14. Интегральный нормативный коэффициент К учитывает отклонение планируемых условий эксплуатации от условий эксплуатации, принятых при расчете индивидуальных норм: в этом случае он определяется расчетно-аналитическим и расчетно-статистическим методами на основе информации о фактических расходах топлива и выработанной тепловой энергии за ряд лет.
Фактическое значение этого коэффициента на планируемый период определяется по уравнению:

, (10)
где:

- фактический расход топлива за отчетный год, тыс. кг у.т.;

- средневзвешенная норма расхода топлива, кг у.т./Гкал, полученная по
формуле (8); при этом для расчета принимается фактическая продолжительность функционирования котлов каждого типа на каждом расчетном виде топлива;

- количество выработанной тепловой энергии за отчетный год, тыс. Гкал.
| | ИС МЕГАНОРМ: примечание. Нумерация пунктов дана в соответствии с официальным текстом документа. | |
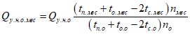
2.16. Общая потребность в топливе, т у.т., определяется умножением общего количества тепловой энергии, подлежащей выработке, на удельную норму затрат условного топлива:

, (11)
где:

- количество тепловой энергии, необходимой для покрытия тепловой нагрузки на планируемый период, Гкал;
b - удельные затраты условного топлива, кг у.т./Гкал.
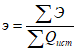
2.17. Пересчет количества условного топлива

в количество натурального топлива

производится в соответствии с характеристиками этого топлива и значением калорийного эквивалента по формуле:

, (12)
где Э - калорийный эквивалент, определяемый по формуле:

, (13)
где

,

- низшая теплота сгорания натурального и условного топлива, ккал/кг (м3).
Средние значения калорийных эквивалентов для перевода натурального топлива в условное приведены в
Приложении 8.
При прогнозировании и планировании потребности в топливе в конкретных условиях значения калорийных эквивалентов следует принимать по сертификатам на поставляемое топливо или по договорам с поставщиками.
2.18. Нормы потерь топлива при транспортировании, разгрузке, хранении и других топливно-транспортных операциях даны в таблицах 4 и
5.
Таблица 4
Нормы потерь твердого топлива, %
┌────────────────┬───────────────────────────────────────────────┐
│ Вид топлива │ Наименование операций │
│ ├─────────┬───────┬─────────┬─────────┬─────────┤
│ │жел./дор.│раз- │складские│хранение │подача со│
│ │перевозки│грузка │перемеще-│на складе│склада в │
│ │ │вагонов│ния │в течение│котельную│
│ │ │ │ │ года │ │
├────────────────┼─────────┼───────┼─────────┼─────────┼─────────┤
│Каменный уголь │0,8 │0,1 │0,2 │0,2 │- │
│Угольная мелочь │1,0 │0,2 │0,3 │0,3 │0,1 │
│Бурый уголь │0,8 │0,2 │0,3 │0,5 │0,2 │
│Кусковой торф │0,6 │0,15 │0,15 │2,0 │0,1 │
│Фрезерный торф │1,25 │0,5 │0,5 │3,0 │0,3 │
└────────────────┴─────────┴───────┴─────────┴─────────┴─────────┘
Таблица 5
Нормы потерь жидкого топлива
┌─────────────────────────────────────────┬──────────────────────┐
│ Наименование операции │ Потери, % │
├─────────────────────────────────────────┼──────────────────────┤
│Перевозка в железнодорожных цистернах │0,4 │
├─────────────────────────────────────────┼──────────────────────┤
│Прием из железнодорожных цистерн и авто- │0,021 │
│цистерн в заглубленные железобетонные и │ │
│наземные металлические резервуары │ │
├─────────────────────────────────────────┼──────────────────────┤
│Хранение в резервуарных емкостях (1 кг на│ │
│1 м2 поверхности испарения в месяц): │ │
│- резервуары заглубленные железобетонные │0,003 │
│- резервуары наземные металлические │0,006 │
└─────────────────────────────────────────┴──────────────────────┘
2.19. Количество тепловой энергии, подлежащей выработке источниками теплоснабжения на планируемый период, включает:
- количество тепловой энергии, необходимой на покрытие теплового потребления;
- количество тепловой энергии, необходимой на покрытие тепловых потерь в тепловых сетях.
3. ОПРЕДЕЛЕНИЕ КОЛИЧЕСТВА ТЕПЛОВОЙ ЭНЕРГИИ,
НЕОБХОДИМОЙ НА ПЛАНИРУЕМЫЙ ПЕРИОД
3.1. Суммарное тепловое потребление
3.1.1. Количество тепловой энергии, необходимое для теплоснабжения потребителей на планируемый период, Гкал, определяется из выражения:

, (14)
где:

- количество тепловой энергии, необходимое отдельному потребителю на планируемый период, Гкал;
m - количество потребителей.
3.1.2. Количество тепловой энергии, необходимое отдельному потребителю на планируемый период, Гкал, складывается из количеств тепловой энергии на отопление, приточную вентиляцию и горячее водоснабжение:

. (15)
3.1.3. При подаче воды на горячее водоснабжение не полные сутки или в течение неполной недели норма потребления горячей воды снижается введением соответствующих коэффициентов, приведенных в таблице
Приложения 2.
3.2. Количество тепловой энергии на отопление
3.2.1. Количество тепловой энергии, Гкал, необходимой для отопления зданий на планируемый период (отопительный период в целом, квартал, месяц, сутки), определяется по формуле:

, (16)
где:

- расчетное значение часовой тепловой нагрузки отопления, Гкал/ч, принимается по проекту зданий; при отсутствии проектных данных - по укрупненным показателям с учетом удельной отопительной характеристики;

- усредненное расчетное значение температуры воздуха внутри отапливаемых зданий, °С;

- расчетное значение температуры наружного воздуха для проектирования отопления в конкретной местности, °С;

- среднее значение температуры наружного воздуха за планируемый период, °С;
n - продолжительность функционирования систем отопления в планируемый период, сут.
Количество тепловой энергии, Гкал, подаваемой на отопление зданий при значениях температуры наружного воздуха выше значения, соответствующего точке излома температурного графика регулирования отпуска тепловой энергии, определяется по
формуле (16) с введением коэффициента, значение которого следует принимать из выражения:

, (17)
где:

и

- значения температуры теплоносителя в подающем и обратном трубопроводах тепловой сети по температурному графику регулирования отопления в диапазоне его спрямления, °С;

и

- значения температуры теплоносителя в подающем и обратном трубопроводах тепловой сети, измененные в связи со спрямлением температурного графика, °С.
3.2.2. Расчетное значение температуры наружного воздуха для проектирования отопления для конкретного населенного пункта, а также среднее значение температуры наружного воздуха на планируемый период следует принимать по
СНиП 23-01-99 [1], а при отсутствии в
[1] необходимой информации - по сведениям местной метеостанции за предыдущие 5 лет.
3.2.3. Методика определения расчетных часовых тепловых нагрузок отопления зданий приведена в
Приложении 3.
3.2.4. Потребность в тепловой энергии на технологические цели присоединенных сельскохозяйственных, коммунально-бытовых и других организаций определяется по проектным данным и результатам испытаний, зафиксированным в энергетических паспортах, оформленным в установленном порядке.
3.3. Количество тепловой энергии на приточную вентиляцию и воздушно-тепловые завесы
3.3.1. Потребность в тепловой энергии на вентиляцию и воздушно-тепловые завесы определяется для соответствующих систем, имеющихся в теплоснабжаемых зданиях.
3.3.2. Продолжительность функционирования систем приточной вентиляции в течение суток и длительность планируемого периода принимаются в зависимости от назначения и режима работы организаций, расположенных в теплоснабжаемых зданиях. При отсутствии средств автоматического регулирования продолжительность функционирования калориферов систем приточной вентиляции - 24 ч/сут.
3.3.3. Количество тепловой энергии, Гкал, необходимое для приточной вентиляции на планируемый период, определяется формулой:

, (18)
где:

- расчетное значение часовой тепловой нагрузки приточной вентиляции, Гкал/ч, принимается по проекту зданий; при отсутствии проектных данных - по укрупненным показателям с учетом удельной вентиляционной характеристики;

- расчетное значение температуры наружного воздуха для проектирования отопления, °С;
n - продолжительность функционирования систем приточной вентиляции в планируемый период, ч.
3.3.4. Расчетное значение температуры наружного воздуха для проектирования вентиляции для конкретного населенного пункта, а также среднее значение температуры наружного воздуха на планируемый период следует принимать по
СНиП 23-01-99 [1], а при отсутствии в
[1] необходимой информации - по сведениям местной метеостанции за предыдущие 5 лет.
3.3.5. Расчетные значения часовой тепловой нагрузки приточной вентиляции и воздушно-тепловых завес в жилых зданиях, зданиях социально-бытового и административного назначения, обслуживаемых теплоснабжающей организацией, определяются по проектам, энергетическим паспортам указанных зданий, по результатам приборных измерений, с коррекцией на условия планируемого периода, а также по нормам затрат тепловой энергии в этих зданиях, представленным абонентами и утвержденным в установленном порядке.
3.3.6. Необходимое количество тепловой энергии для функционирования систем приточной вентиляции и воздушно-тепловых завес в планируемый период, Гкал, при отсутствии информации, упомянутой в
п. 3.3.5, определяется по указаниям
Приложения 3. При определении расчетных нагрузок вентиляции следует использовать информацию, содержащуюся в
Приложениях 8 и
9.
3.4. Количество тепловой энергии на горячее водоснабжение
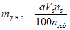
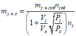
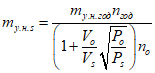
3.4.1. Необходимое количество тепловой энергии на горячее водоснабжение на планируемый период, Гкал, определяется по формуле:

, (19)
где:

- среднее значение часовой тепловой нагрузки горячего водоснабжения в отопительный период, Гкал/ч;

- среднее значение часовой тепловой нагрузки горячего водоснабжения в неотопительный период, Гкал/ч;

- продолжительность функционирования систем горячего водоснабжения в отопительном периоде, ч;

- продолжительность функционирования систем горячего водоснабжения в неотопительном периоде, ч.
Общая продолжительность функционирования систем горячего водоснабжения, сут., определяется органом местного самоуправления в установленном порядке; если длительность не установлена, она принимается по
СНиП 2.04.07-86* [2] в размере 350 сут.
3.4.2. Средние значения часовой тепловой нагрузки горячего водоснабжения в отопительном и неотопительном периодах для жилых зданий, зданий социально-бытового и административного назначения определяются на основе проектных данных, результатов испытаний, зафиксированных в энергетических паспортах, оформленных в установленном порядке, а также согласно нормам затрат тепловой энергии для соответствующих зданий, представляемым потребителями и утвержденным в установленном порядке.
3.4.3. Для определения нагрузки горячего водоснабжения используются показатели учета средствами измерений за предыдущий отчетный период с соответствующей коррекцией по условиям планируемого периода.
При отсутствии приборного учета определение средних значений часовой тепловой нагрузки горячего водоснабжения производится по нормам водопотребления, утвержденным органами местного самоуправления в установленном порядке. При отсутствии утвержденных норм используется информация, приведенная в
СНиП 2.04.01-85* [3].
3.4.4. Методика определения средних значений часовой тепловой нагрузки горячего водоснабжения приведена в
Приложении 3.
4. ОПРЕДЕЛЕНИЕ КОЛИЧЕСТВА ТЕПЛОВОЙ
ЭНЕРГИИ, НЕОБХОДИМОЙ НА ПОКРЫТИЕ ТЕПЛОВЫХ ПОТЕРЬ
В ТЕПЛОВЫХ СЕТЯХ НА ПЛАНИРУЕМЫЙ ПЕРИОД
4.1. Эксплуатационные потери и затраты теплоносителя в водяных тепловых сетях
4.1.1. К потерям и затратам теплоносителя в процессе передачи, распределения и потребления тепловой энергии и теплоносителя относятся технологические затраты, обусловленные используемыми технологическими решениями и техническим уровнем оборудования системы теплоснабжения, а также утечки теплоносителя, обусловленные эксплуатационным состоянием тепловой сети и систем теплопотребления.
4.1.2. К технологическим затратам теплоносителя относятся:
- затраты теплоносителя на заполнение трубопроводов тепловых сетей и систем теплопотребления перед пуском после плановых ремонтов, а также при подключении новых участков тепловых сетей и систем теплопотребления;
- технологические сливы теплоносителя средствами автоматического регулирования тепловой нагрузки и защиты;
- технически обусловленные затраты теплоносителя на плановые эксплуатационные испытания.
4.1.3. К утечке теплоносителя относятся его потери в трубопроводах тепловых сетей и систем теплопотребления, технически неизбежные в процессе передачи и распределения тепловой энергии, в пределах, регламентированных
Правилами [4].
4.1.4. Потери теплоносителя при авариях и других нарушениях нормального режима эксплуатации, а также превышающие нормативные значения показателей, упомянутых выше, в утечку не включаются и являются непроизводительными потерями.
4.1.5. Технологические затраты теплоносителя, связанные с вводом в эксплуатацию трубопроводов тепловых сетей и систем теплопотребления, как новых, так и после планового ремонта или реконструкции, принимаются условно в размере 1,5-кратной емкости присоединяемых элементов системы теплоснабжения.
4.1.6. Технологические затраты теплоносителя, обусловленные его сливом приборами автоматики и защиты тепловых сетей и систем теплопотребления, определены конструкцией и технологией обеспечения нормального функционирования этих приборов.
Размеры затрат устанавливаются на основе паспортной информации или технических условий на указанные приборы и уточняются в результате их регулирования.
Значения потерь теплоносителя в результате слива из этих приборов, м3, на планируемый период определяются:

, (20)
где:
m - технически обоснованный расход теплоносителя, сливаемого каждым из установленных средств автоматики или защиты, м3/ч;
N - количество функционирующих средств автоматики и защиты одного типа;
n - продолжительность функционирования однотипных средств автоматики и защиты в планируемый период, ч.
4.1.7. Технологические затраты теплоносителя при плановых эксплуатационных испытаниях и промывке тепловых сетей и систем теплопотребления включают потери теплоносителя при выполнении подготовительных работ, отключении участков трубопроводов, их опорожнении и последующем заполнении. Нормирование этих затрат теплоносителя производится с учетом регламентируемой нормативными документами периодичности проведения упомянутых работ, а также эксплуатационных норм затрат, утвержденных администрацией предприятия для каждого вида работ в тепловых сетях и системах теплопотребления, находящихся на балансе теплоснабжающей организации.
Для трубопроводов тепловых сетей и систем теплопотребления, находящихся на балансе иных организаций, нормируемые затраты теплоносителя на проведение указанных работ планируются в соответствии с договорами о теплоснабжении, на основе технически обоснованных сведений.
4.1.8. Нормативные значения годовых потерь теплоносителя, обусловленных утечкой теплоносителя, м3, определяются по формуле:

, (21)
где:
а - норма среднегодовой утечки теплоносителя, установленная
Правилами [4] в пределах 0,25% среднегодовой емкости трубопроводов тепловой сети и подключенных к ней систем теплопотребления, м3/(ч м3);

- среднегодовая емкость тепловой сети и систем теплопотребления, м3;

- продолжительность функционирования тепловой сети и систем теплопотребления в течение года, ч;

- среднечасовая за год норма потерь теплоносителя, обусловленных его утечкой, м3/ч.
Значение среднегодовой емкости тепловых сетей и присоединенных к ним систем теплопотребления, м3, определяется формулой:

, (22)
где:

и

- емкость трубопроводов тепловой сети и систем теплопотребления в отопительном и неотопительном периодах, м3;

и

- продолжительность функционирования тепловой сети в отопительном и неотопительном периодах, ч.
4.1.9. Емкость трубопроводов тепловых сетей определяется в зависимости от их удельного объема и длины:

, (23)
где:

- удельный объем i-го участка трубопроводов определенного диаметра, м3/км; принимается по таблице 6;

- длина i-го участка трубопроводов, км.
Таблица 6
Удельный объем трубопроводов тепловой сети
Диаметр труб, мм | Удельный объем, м3/км | Диаметр труб, мм | Удельный объем, м3/км | Диаметр труб, мм | Удельный объем, м3/км | Диаметр труб, мм | Удельный объем, м3/км |
25 | 0,6 | 125 | 12,0 | 350 | 101,0 | 800 | 508,0 |
40 | 1,3 | 150 | 18,0 | 400 | 135,0 | 900 | 640,0 |
50 | 1,4 | 175 | 27,0 | 450 | 170,0 | 1000 | 785,0 |
70 | 3,9 | 200 | 34,0 | 500 | 210,0 | 1200 | 1230,0 |
80 | 5,3 | 250 | 53,0 | 600 | 300,0 | 1400 | 5200,0 |
100 | 8,0 | 300 | 75,0 | 700 | 390,0 | | |
4.1.10. Емкость систем теплопотребления зависит от их вида и определяется по формуле:

, (24)
где:
v - удельный объем системы теплопотребления, м3 ч/Гкал; принимается по таблице 7 в зависимости от вида нагревательных приборов, которыми оснащена система, и температурного графика регулирования отпуска тепловой энергии, принятого в системе теплоснабжения;
n - количество систем теплопотребления, оснащенных одним видом нагревательных приборов.
Таблица 7
Удельный объем систем теплопотребления
Нагревательные приборы | Удельная емкость систем теплопотребле- ния, м3 ч/Гкал, при расчетной разности температуры в тепловой сети, °С |
25 | 40 | 60 | 70 | 80 |
Радиаторы высотой 500 мм | 19,5 | 17,6 | 15,1 | 14,6 | 13,3 |
То же, высотой 1000 мм | 31,0 | 28,2 | 24,2 | 23,2 | 21,6 |
Ребристые трубы | 14,2 | 12,5 | 10,8 | 10,4 | 9,2 |
Конвекторы плинтусные, нагревательные панели | 5,6 | 5,0 | 4,3 | 4,1 | 3,7 |
Регистры гладких труб | 37,0 | 32,0 | 27,0 | 26,0 | 24,0 |
Калориферы | 8,5 | 7,5 | 6,5 | 6,0 | 5,5 |
При отсутствии информации о типе нагревательных приборов, которыми оснащены системы теплопотребления (отопления, приточной вентиляции), допустимо принимать значение удельного объема для систем в размере 30 м3 ч/Гкал.
Емкость местных систем горячего водоснабжения в открытых системах теплоснабжения можно определять при v = 6 м3 ч/Гкал средней часовой тепловой нагрузки.
Определяя емкость систем теплопотребления, следует учитывать каждую из систем, покрывающих различные виды тепловой нагрузки, независимо от схемы их присоединения к тепловым сетям, за исключением систем горячего водоснабжения, подключенных к тепловым сетям с помощью водо-водяных теплообменников.
Для определения емкости систем теплопотребления производственных зданий следует использовать исполнительную техническую документацию.
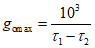
4.1.11. Сезонные нормы утечки теплоносителя, м3/ч (для отопительного и неотопительного периодов функционирования системы теплоснабжения) определяются:

, (25)

. (26)
4.1.12. Сезонные нормы утечки теплоносителя, м3/ч, могут быть уточнены корректировкой по рабочему давлению теплоносителя в трубопроводах тепловых сетей по формулам:
- отопительный период:

, (25а)
- неотопительный период:

, (26а)
где

и

- средние значения рабочего давления в тепловой сети в отопительный и неотопительный периоды, кгс/см2.
При этом должно быть соблюдено равенство:

. (27)
Средние значения рабочего давления в тепловой сети в отопительный и неотопительный периоды определяются как среднеарифметические из средних значений давления теплоносителя в подающих и обратных коллекторах источника теплоснабжения.
4.1.13. Нормируемые потери теплоносителя по сезонам (отопительный, неотопительный) и месяцам функционирования определяются суммированием составляющих потерь.
4.1.14. Определение нормативных значений эксплуатационных потерь теплоносителя следует производить по элементам системы теплоснабжения сообразно их балансовой принадлежности, учитывая оснащенность приборами учета тепловой энергии и теплоносителя, а также место их установки относительно границ балансовой принадлежности, по указаниям Методики
[5]:
- коммуникации и оборудование источника (источников) теплоснабжения на балансе теплоснабжающей организации;
- трубопроводы и оборудование тепловых сетей на балансе теплоснабжающей организации;
- трубопроводы и оборудование тепловых сетей других организаций, являющихся оптовыми покупателями, не оснащенные приборами учета количеств тепловой энергии и теплоносителя на границах балансовой принадлежности;
- системы теплопотребления абонентов, не оснащенные приборами учета;
- трубопроводы тепловых сетей и системы теплопотребления, оснащенные приборами учета на границах балансовой принадлежности;
- трубопроводы тепловых сетей абонентов, расположенные между границей балансовой принадлежности и местом установки приборов учета.
4.2. Тепловые потери, обусловленные потерями теплоносителя
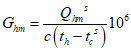
4.2.1. Нормативные значения годовых эксплуатационных тепловых потерь, обусловленных утечкой теплоносителя, Гкал, определяются по формуле:

, (28)
где:

- среднегодовая плотность теплоносителя при среднем значении температуры теплоносителя в подающем и обратном трубопроводах тепловой сети, кг/м3;

,

- среднегодовые значения температуры теплоносителя в подающем и обратном трубопроводах тепловой сети, °С;

- среднегодовое значение температуры холодной воды, подаваемой на источник теплоснабжения и используемой для подпитки тепловой сети, °С;
с - удельная теплоемкость теплоносителя (сетевой воды), ккал/кг °С;
а - доля массового расхода теплоносителя, теряемого подающим трубопроводом (при отсутствии данных принимается а = 0,75).
4.2.2. Среднегодовые значения температуры теплоносителя в подающем и обратном трубопроводах тепловой сети определяются как средние из ожидаемых среднемесячных значений температуры теплоносителя по применяемому в системе теплоснабжения графику регулирования тепловой нагрузки, соответствующих ожидаемым среднемесячным значениям температуры наружного воздуха на всем протяжении функционирования тепловой сети в течение года.
Ожидаемые среднемесячные значения температуры наружного воздуха определяются как средние из соответствующих статистических значений по информации метеорологической станции за последние 5 лет (при отсутствии таковой - по климатологическому справочнику или
СНиП [1]).
4.2.3. Среднегодовое значение температуры холодной воды, подаваемой на источник теплоснабжения для подпитки тепловой сети, °С, определяется по формуле:

, (29)
где

и

- значения температуры холодной воды, поступающей на источник теплоснабжения в отопительном и неотопительном периодах, °С; при отсутствии достоверной информации

= 5 °С,

= 15 °С.
4.2.4. Нормативные значения эксплуатационных тепловых потерь, обусловленных утечкой теплоносителя, по периодам функционирования тепловой сети, Гкал, определяются по следующим формулам:

, (30)

. (30а)
4.2.5. Нормативные значения эксплуатационных тепловых потерь, обусловленных утечкой теплоносителя, по месяцам в отопительном и неотопительном периодах, Гкал, определяются по формулам:

, (31)

, (31а)
где:

и

- среднемесячные значения температуры теплоносителя в подающем и обратном трубопроводах тепловой сети, °С;

и

- средние значения температуры теплоносителя в подающем и обратном трубопроводах тепловой сети в отопительный период, °С; определяются как средние из среднемесячных значений температуры теплоносителя в этот период;

- среднемесячное значение температуры холодной воды, °С.
4.2.6. Определение нормативных значений эксплуатационных тепловых потерь, связанных с утечкой теплоносителя, производится для системы теплоснабжения, а также для отдельных ее элементов по их балансовой принадлежности по
формулам (28) - (31а).
4.2.7. Кроме тепловых потерь, связанных с нормативной утечкой теплоносителя из эксплуатируемых трубопроводов тепловой сети и других элементов системы теплоснабжения, планируются тепловые потери, обусловленные технологическими потерями теплоносителя, необходимыми для обеспечения эксплуатационных режимов функционирования системы теплоснабжения, и проведением работ по поддержанию оборудования и элементов системы теплоснабжения в технически исправном состоянии. К таковым относятся сброс теплоносителя для проведения плановых ремонтов, производство промывок, различного рода испытаний. Базой для планирования являются эксплуатационные нормы потерь теплоносителя, разработанные предприятием, эксплуатирующим тепловую сеть, и утвержденные в установленном порядке.
Определение тепловых потерь, связанных с технологическими потерями теплоносителя, производится в соответствии с периодами функционирования тепловой сети, с распределением технологических потерь по указаниям раздела 7 Методики
[5].
4.3. Тепловые потери через изоляционные конструкции трубопроводов
4.3.1. Тепловые потери трубопроводами тепловых сетей теплопередачей через изоляционные конструкции зависят от следующих факторов:
- вид теплоизоляционной конструкции и примененные теплоизоляционные материалы;
- тип прокладки - надземная, подземная в каналах, бесканальная, их соотношение по длине для конкретной тепловой сети;
- температурные режимы и продолжительность функционирования тепловой сети в течение года;
- параметры окружающей среды - значения температуры наружного воздуха, грунта (для подземной прокладки) и характер их изменения в течение года, скорость ветра (для надземной прокладки);
- продолжительность и условия эксплуатации тепловой сети.
4.3.2. Эксплуатационные тепловые потери через теплоизоляционные конструкции трубопроводов тепловых сетей для средних за год условий функционирования нормируются на год, следующий после проведения тепловых испытаний, и являются нормативной базой для планирования тепловых потерь согласно указаниям
[6].
4.3.3. Планирование эксплуатационных тепловых потерь через изоляционные конструкции на планируемый период производится исходя из значений часовых тепловых потерь при среднегодовых условиях функционирования тепловой сети.
4.3.4. Планирование эксплуатационных часовых тепловых потерь производится в следующем порядке:
- для всех участков тепловой сети - на основе сведений о конструктивных особенностях тепловой сети на участках (типы прокладки, виды тепловой изоляции, диаметр трубопроводов, длина участков), на основе норм тепловых потерь
[7], если изоляция трубопроводов соответствует этим нормам, или
[8], если изоляция соответствует
СНиП 2.04.14-88, определяются значения часовых тепловых потерь через изоляционные конструкции, пересчетом табличных значений на среднегодовые условия функционирования;
- для участков тепловой сети, характерных для нее по типам прокладки и видам теплоизоляционных конструкций и подвергавшихся тепловым испытаниям согласно указаниям
[4] и
[6], в качестве нормативных принимаются полученные в результате испытаний значения действительных (фактических) часовых тепловых потерь, пересчитанные на среднегодовые условия функционирования тепловой сети;
- для участков тепловой сети, аналогичных подвергавшимся тепловым испытаниям по типам прокладки, видам теплоизоляционных конструкций и условиям эксплуатации, в качестве нормативных принимаются значения часовых тепловых потерь, определенные по нормам
[7] или
[8], с введением поправочных коэффициентов, определенных по результатам тепловых испытаний;
- для участков тепловой сети, не имеющих аналогов среди участков, подвергавшихся тепловым испытаниям по указаниям
[4] и
[6], в качестве нормативных принимаются значения часовых тепловых потерь, определенные теплотехническим расчетом для среднегодовых условий функционирования тепловой сети с учетом технического состояния (методика теплотехнического расчета приведена в
Приложении 4);
- для участков тепловой сети, вводимых в эксплуатацию после монтажа, реконструкции или капитального ремонта, с изменением типа или конструкции прокладки и теплоизоляционного слоя, в качестве нормативных принимаются значения часовых тепловых потерь при среднегодовых условиях функционирования тепловой сети, определенные теплотехническим расчетом (Приложение 4) на основе исполнительной технической документации.
4.3.5. Значения часовых тепловых потерь тепловой сетью в целом при среднегодовых условиях функционирования определяются суммированием значений часовых тепловых потерь трубопроводами на отдельных ее участках.
4.3.6. Определение нормативных значений часовых тепловых потерь для среднегодовых условий функционирования тепловой сети, сооруженной в соответствии с
[7], Гкал/ч, производится по соответствующим нормам тепловых потерь по формулам:
- для теплопроводов подземной прокладки, по подающим и обратным трубопроводам вместе:

, (32)
- для теплопроводов надземной прокладки по подающим и обратным трубопроводам раздельно:

, (33)

, (33а)
где:

,

и

- удельные часовые тепловые потери трубопроводов каждого диаметра, определенные пересчетом табличных значений норм удельных часовых тепловых потерь на среднегодовые условия функционирования тепловой сети, подающих и обратных трубопроводов подземной прокладки - вместе, надземной - раздельно, ккал/м ч;
L - длина трубопроводов участка тепловой сети подземной прокладки в двухтрубном исчислении, надземной - в однотрубном, м;

- коэффициент местных тепловых потерь, учитывающий потери запорной арматурой, компенсаторами, опорами.
Коэффициент

принимается равным 1,2 для прокладки в каналах при диаметре трубопроводов до 150 мм, 1,15 - при диаметре 150 мм и более, а также при всех диаметрах трубопроводов бесканальной прокладки; при надземной прокладке

= 1,25.
4.3.7. Значения нормативных удельных часовых тепловых потерь при среднегодовых значениях разности температуры теплоносителя и окружающей среды (грунта или воздуха), отличающихся от значений, приведенных в таблицах норм
[7], ккал/м ч, определяются линейной интерполяцией или экстраполяцией по формулам:
- для теплопроводов подземной прокладки, подающих и обратных трубопроводов вместе:

, (34)
где:

и

- удельные часовые тепловые потери подающих и обратных трубопроводов каждого диаметра при 2-х смежных табличных значениях (меньшем и большем, чем для конкретной тепловой сети) среднегодовой разности температуры теплоносителя и грунта, ккал/чм;

- среднегодовая разность температуры теплоносителя и грунта для рассматриваемой тепловой сети, °С;

и

- смежные, меньшее и большее, чем для конкретной тепловой сети, табличные значения среднегодовой разности температуры теплоносителя и грунта, °С.
Среднегодовая разность температуры теплоносителя и грунта, °С, определяется:

, (35)
где:

и

- значения среднегодовой температуры теплоносителя в подающем и обратном трубопроводах рассматриваемой тепловой сети, °С;

- среднегодовая температура грунта на глубине заложения трубопроводов тепловой сети, °С;
- для теплопроводов надземной прокладки, по подающим и обратным трубопроводам раздельно:

; (36)

, (36а)
где:

и

- удельные часовые тепловые потери подающих трубопроводов конкретного диаметра при двух смежных (меньшем и большем табличных значениях) среднегодовой разности значений температуры теплоносителя и наружного воздуха, ккал/чм;

и

- то же, для обратных трубопроводов, ккал/чм;

и

- среднегодовая разность температуры теплоносителя в подающем и обратном трубопроводах тепловой сети и наружного воздуха, °С;

и

- смежные табличные значения (меньшее и большее) среднегодовой разности температуры теплоносителя в подающем трубопроводе тепловой сети и наружного воздуха, °С;

и

- то же, для обратных трубопроводов, °С.
Значения среднегодовой разности температуры

и

для подающих и обратных трубопроводов определяются как разность соответствующих значений среднегодовой температуры теплоносителя

и

и среднегодовой температуры наружного воздуха

.
4.3.8. Среднегодовые значения температуры теплоносителя в подающем и обратном трубопроводах тепловой сети

и

определяются как средние из ожидаемых среднемесячных значений температуры теплоносителя по действующему в системе теплоснабжения температурному графику регулирования тепловой нагрузки, соответствующих ожидаемым значениям температуры наружного воздуха.
4.3.9. Ожидаемые среднемесячные значения температуры наружного воздуха и грунта определяются как средние по информации местной гидрометеорологической станции о статистических климатологических значениях температуры наружного воздуха и грунта на глубине заложения трубопроводов тепловых сетей за последние 5 лет.
4.3.10. Определение значений нормативных часовых тепловых потерь трубопроводами тепловых сетей, изоляционные конструкции которых соответствуют нормам
СНиП 2.04.14-88 [8], производится аналогично
п. 4.3.4 с учетом следующего:
- нормы приведены применительно к тепловым сетям с различной продолжительностью функционирования в год - до 5000 ч включительно, а также более 5000 ч;
- нормы касаются не разности среднегодовых значений температуры теплоносителя и окружающей среды, а абсолютных среднегодовых значений температуры теплоносителя в подающем и обратном трубопроводах тепловых сетей;
- нормы при подземной прокладке тепловых сетей приведены раздельно для канальной и бесканальной прокладки;
- удельные часовые тепловые потери при подземной прокладке трубопроводов тепловых сетей в каналах и бесканально по каждому из диаметров труб определяются суммированием тепловых потерь раздельно для подающих и обратных трубопроводов;
- удельные часовые тепловые потери при надземной прокладке трубопроводов тепловых сетей (при расположении на открытом воздухе) определяются для подающих и обратных трубопроводов вместе, при средней температуре теплоносителя в них.
4.3.11. Значения нормативных часовых тепловых потерь участков тепловой сети, аналогичных участкам, подвергавшимся тепловым испытаниям по типам прокладки, видам изоляционных конструкций и условиям эксплуатации, Гкал/ч, определяются для трубопроводов подземной и надземной прокладки отдельно, по формулам:
- для теплопроводов подземной прокладки, по подающим и обратным трубопроводам вместе:

; (37)
- для теплопроводов надземной прокладки по подающим и обратным трубопроводам раздельно:

; (38)

, (38а)
где

,

и

- поправочные коэффициенты для определения нормативных часовых тепловых потерь, полученные по результатам тепловых испытаний.
4.3.12. Поправочные коэффициенты для участков тепловой сети, аналогичных подвергавшимся тепловым испытаниям по типам прокладки, видам теплоизоляционных конструкций и условиям эксплуатации, определяются:
- подземная прокладка, подающие и обратные трубопроводы вместе:

, (39)
где

и

- тепловые потери, определенные тепловыми испытаниями, пересчитанные на среднегодовые условия функционирования каждого испытанного участка тепловой сети, и потери, определенные по нормам
[7] или
[8] для тех же участков, ккал/ч;
- надземная прокладка, подающие и обратные трубопроводы раздельно:

; (40)

, (40а)
где:

и

- тепловые потери, определенные тепловыми испытаниями и пересчитанные на среднегодовые условия функционирования каждого испытанного участка тепловой сети, для подающих и обратных трубопроводов, ккал/ч;

и

- тепловые потери, определенные по нормам
[7] или
[8] для тех же участков, ккал/ч.
Максимальные значения поправочных коэффициентов не должны быть больше значений, приведенных в таблице
Приложения 5.
4.3.13. При выявлении тепловых потерь через изоляционные конструкции трубопроводов теплотехническим расчетом следует учитывать:
- теплотехнические характеристики, приводимые в справочных пособиях, должны быть скорректированы введением поправок на основании оценки технического состояния трубопроводов тепловой сети;
- определение значений тепловых потерь должно быть проведено для среднегодовых условий эксплуатации тепловых сетей (среднегодовые значения температуры теплоносителя и окружающей среды - наружного воздуха для надземной прокладки трубопроводов, грунта - для трубопроводов подземной прокладки);
- значения теплотехнических характеристик, входящие в формулы для определения тепловых потерь через изоляционные конструкции трубопроводов, зависящие от конструкции и материала теплоизоляционного слоя, могут быть приняты согласно исполнительной технической документации и должны быть скорректированы по результатам специальных обследований;
- расчеты следует проводить в соответствии с методикой, изложенной в
Приложении 4.
4.3.14. В каждый последующий год между плановыми тепловыми испытаниями к значениям тепловых потерь вводятся поправки.
Поправки представляют собой коэффициенты к значениям часовых тепловых потерь через теплоизоляционные конструкции трубопроводов, определяемые в зависимости от соотношения значений материальной характеристики трубопроводов подземной и надземной прокладки тепловой сети в целом, а также соотношения тепловых потерь на участках тепловой сети, полученных в результате тепловых испытаний и расчетов, и нормативных тепловых потерь, полученных на базе норм
[7] или
[8] (таблица
Приложения 5).
4.3.15. Наибольшие значения поправочных коэффициентов для каждого соотношения видов прокладки и уровня тепловых потерь не должны быть больше значений, указанных в таблице Приложения 5. В исключительных случаях, на срок проведения ремонтных работ для восстановления разрушенной тепло- и гидроизоляции, но не дольше 1 года, могут быть приняты поправочные коэффициенты, значения которых превышают приведенные в таблице; конкретный устанавливается руководством предприятия при планировании энергосберегающих мероприятий.
4.3.16. К значениям часовых тепловых потерь трубопроводов, проложенных в проходных и полупроходных каналах, определенным в результате тепловых испытаний или теплотехническим расчетом, поправки не вводятся. Однако при изменении условий эксплуатации или технического состояния теплоизоляционного слоя указанных трубопроводов значения тепловых потерь должны быть уточнены.
4.3.17. Значения тепловых потерь трубопроводами тепловой сети за месяц определяются на основании значений часовых тепловых потерь при среднегодовых условиях функционирования пересчетом на средние температурные условия каждого месяца с учетом продолжительности функционирования тепловой сети в этом месяце.
4.3.18. Планируемые значения эксплуатационных тепловых потерь через изоляционные конструкции трубопроводов тепловой сети за соответствующий месяц, Гкал, определяются по выражению:

, (41)
где:

,

и

- нормативные значения эксплуатационных часовых тепловых потерь тепловых сетей подземной прокладки, подающим и обратным трубопроводами вместе, надземной - раздельно, Гкал/ч;
n - продолжительность функционирования тепловой сети в рассматриваемом месяце, ч.
4.3.19. Планируемые значения эксплуатационных тепловых потерь при среднемесячных условиях функционирования тепловой сети, Гкал, определяются:
- для теплопроводов подземной прокладки, подающими и обратными трубопроводами вместе:

; (42)
- для теплопроводов надземной прокладки, подающими и обратными трубопроводами раздельно:

; (43)

, (43а)
где:

и

- ожидаемые среднемесячные значения температуры теплоносителя в подающем и обратном трубопроводах конкретной тепловой сети по температурному графику регулирования тепловой нагрузки при ожидаемых значениях температуры наружного воздуха, °С;

и

- ожидаемые среднемесячные значения температуры грунта на глубине заложения трубопроводов и наружного воздуха, °С.
4.3.20. Планируемые значения эксплуатационных тепловых потерь через изоляционную конструкцию трубопроводов участков тепловой сети, не характерных по типу прокладки и конструкции теплоизоляционного слоя для рассматриваемой тепловой сети, удельные тепловые потери которых определялись расчетным путем, Гкал, выявляются:
- для подземной прокладки, подающих и обратных трубопроводов вместе:

, (44)
- для надземной прокладки, подающих и обратных трубопроводов раздельно:

; (45)

, (45а)
где

,

и

- удельные часовые тепловые потери, определенные теплотехническим расчетом для трубопроводов каждого диаметра при среднегодовых условиях функционирования тепловой сети, для подающих и обратных трубопроводов подземной прокладки вместе, надземной - раздельно, ккал/м ч.
4.3.21. Планируемые значения эксплуатационных тепловых потерь через изоляционные конструкции трубопроводов, Гкал, участков тепловой сети, введенных в эксплуатацию после строительства, капитального ремонта или реконструкции, определяются по
формулам (44) - (45а) с использованием значений удельных тепловых потерь, найденных в результате теплотехнических расчетов для соответствующих участков.
4.3.22. Планируемые значения эксплуатационных тепловых потерь через изоляционные конструкции трубопроводов тепловой сети по периодам функционирования (отопительный и неотопительный) и за год в целом определяются как суммы планируемых значений эксплуатационных тепловых потерь за соответствующие месяцы.
4.3.23. При выявлении эксплуатационных тепловых потерь через теплоизоляционные конструкции трубопроводов тепловых сетей по периодам функционирования тепловые потери в переходные месяцы распределяются пропорционально количеству часов функционирования тепловой сети в эти месяцы. В случае, если происходит изменение коммутационной схемы тепловой сети, тепловые потери определяются с учетом этого изменения.
5. ОПРЕДЕЛЕНИЕ ПЛАНИРУЕМЫХ ЗНАЧЕНИЙ РАСХОДА
ТЕПЛОНОСИТЕЛЯ В ВОДЯНЫХ ТЕПЛОВЫХ СЕТЯХ
5.1. Планируемые значения расхода теплоносителя в подающих и обратных трубопроводах тепловой сети, т/ч, определяются суммированием значений расхода теплоносителя по видам теплового потребления (отопление, приточная вентиляция, горячее водоснабжение) в подающих и обратных трубопроводах тепловых пунктов потребителей для каждого из характерных значений температуры наружного воздуха:
- значение температуры наружного воздуха, соответствующее началу и окончанию отопительного периода,

= +8 °С;
- значение температуры наружного воздуха

, соответствующее излому графика температуры теплоносителя;
- среднее значение температуры наружного воздуха отопительного периода

;
- значение температуры наружного воздуха

, расчетное для проектирования отопления.
5.2. Определение планируемых значений расхода теплоносителя производится с учетом типа системы теплоснабжения (открытая, закрытая), схем присоединения систем теплопотребления к тепловым сетям, а также степени автоматизации тепловых пунктов этих систем.
5.3. Планируемые значения расхода теплоносителя в подающих и обратных трубопроводах тепловых пунктов потребителей тепловой энергии определяются на основе расчетных значений расхода теплоносителя по видам теплового потребления.
Определение расчетных значений расхода теплоносителя по видам теплового потребления производится по указаниям
Приложения 3 в зависимости от типа системы теплоснабжения, схем присоединения систем теплопотребления, а также степени автоматизации тепловых пунктов.
5.4. В системах теплоснабжения без нагрузки горячего водоснабжения планируемые значения расхода теплоносителя для всех характерных значений температуры наружного воздуха постоянны и равны расчетным значениям расхода теплоносителя на отопление и приточную вентиляцию.
5.5. В закрытых системах теплоснабжения, при отсутствии автоматических регуляторов поддержания постоянного расхода теплоносителя в системах отопления и приточной вентиляции, а также постоянной температуры воды, подаваемой на горячее водоснабжение, на всех тепловых пунктах потребителей тепловой энергии планируемые значения расхода теплоносителя для всех характерных значений температуры наружного воздуха постоянны и равны сумме расчетных значений соответствующего расхода теплоносителя.
5.6. В закрытых системах теплоснабжения при оснащении всех тепловых пунктов потребителей тепловой энергии автоматическими регуляторами поддержания постоянного расхода теплоносителя на отопление и приточную вентиляцию, а также температуры воды, подаваемой на горячее водоснабжение, составляющие планируемого значения расхода теплоносителя по видам теплового потребления для характерных значений температуры наружного воздуха определяются:
- отопление и приточная вентиляция - равным расчетным значениям расхода теплоносителя на отопление и приточную вентиляцию для всех значений температуры наружного воздуха;
- горячее водоснабжение - равным расчетным значениям расхода теплоносителя на горячее водоснабжение для значения температуры наружного воздуха, соответствующего точке излома температурного графика регулирования тепловой нагрузки; для остальных характерных значений температуры наружного воздуха - равным значениям расхода теплоносителя на горячее водоснабжение, определяемым тепловым расчетом тепловых пунктов. Исключение составляют тепловые пункты с теплообменниками горячего водоснабжения, подключенными к тепловой сети по параллельной схеме, для которых при значении температуры наружного воздуха, соответствующем началу и окончанию отопительного периода (+8 °С), значение расхода теплоносителя на горячее водоснабжение равно расчетному.
5.7. В закрытых системах теплоснабжения, при различной степени автоматизации систем теплопотребления, составляющие планируемого значения расхода теплоносителя по видам теплового потребления для характерных значений температуры наружного воздуха определяются:
а) для полностью автоматизированных тепловых пунктов (наличие регуляторов постоянного расхода теплоносителя на отопление и приточную вентиляцию, а также температуры воды, подаваемой на горячее водоснабжение) - по указаниям
п. 5.6;
б) для тепловых пунктов без регуляторов постоянного расхода теплоносителя на отопление и приточную вентиляцию, а также температуры воды, подаваемой на горячее водоснабжение, - для значения температуры наружного воздуха, соответствующего точке излома температурного графика регулирования тепловой нагрузки, равными сумме расчетных значений расхода теплоносителя на отопление, приточную вентиляцию и горячее водоснабжение; для остальных характерных значений температуры наружного воздуха нормативные значения расхода теплоносителя на отопление, приточную вентиляцию и горячее водоснабжение определяются по результатам гидравлического расчета тепловой сети на основе значений гидравлического сопротивления систем отопления, приточной вентиляции и теплообменников горячего водоснабжения; при независимом присоединении систем отопления и приточной вентиляции для гидравлического расчета применяются вместо гидравлического сопротивления этих систем значения гидравлического сопротивления соответствующих теплообменников;
в) для тепловых пунктов, оборудованных только регуляторами температуры воды, подаваемой на горячее водоснабжение:
- горячее водоснабжение - по указаниям
п. 5.6;
- отопление и приточная вентиляция - для значения температуры наружного воздуха, соответствующего точке излома температурного графика регулирования тепловой нагрузки, равными сумме расчетных значений расхода теплоносителя на отопление и приточную вентиляцию; для остальных характерных значений температуры наружного воздуха нормативные значения расхода теплоносителя на отопление и приточную вентиляцию определяются по результатам гидравлического расчета тепловой сети на основе значений гидравлического сопротивления систем отопления (при зависимом присоединении) и теплообменников отопления (при независимом присоединении).
5.8. В открытых системах теплоснабжения, при различной степени автоматизации систем теплопотребления, составляющие планируемого значения расхода теплоносителя по видам теплового потребления в подающих и обратных трубопроводах на тепловых пунктах для характерных значений температуры наружного воздуха определяются:
а) при полной автоматизации тепловых пунктов (наличие регуляторов постоянного расхода теплоносителя на отопление и приточную вентиляцию, а также постоянной температуры воды, поступающей на горячее водоснабжение):
- отопление и приточная вентиляция - расчетное значение расхода теплоносителя на отопление и приточную вентиляцию для всех характерных значений температуры наружного воздуха;
- горячее водоснабжение - расчетное значение расхода теплоносителя на горячее водоснабжение для значения температуры наружного воздуха, соответствующего точке излома температурного графика регулирования тепловой нагрузки, а также началу и окончанию отопительного периода; для остальных характерных значений температуры наружного воздуха - в зависимости от температуры теплоносителя в подающем трубопроводе тепловой сети и, соответственно, доли водоразбора из него;
б) при установке на тепловых пунктах только регуляторов температуры воды, поступающей на горячее водоснабжение:
- отопление и приточная вентиляция - расчетный расход теплоносителя на отопление и приточную вентиляцию для значения температуры наружного воздуха, соответствующего точке излома температурного графика регулирования тепловой нагрузки; для остальных характерных значений температуры наружного воздуха - по результатам гидравлического расчета тепловой сети на основе значений гидравлического сопротивления систем отопления;
в) при полном отсутствии на тепловых пунктах регуляторов постоянного расхода теплоносителя на отопление и приточную вентиляцию, а также постоянной температуры воды, поступающей на горячее водоснабжение:
- горячее водоснабжение - расчетное значение расхода теплоносителя для значения температуры наружного воздуха, соответствующего точке излома температурного графика регулирования тепловой нагрузки, а также началу и окончанию отопительного периода; для остальных характерных значений температуры наружного воздуха - по тепловому расчету, в зависимости от температуры теплоносителя в подающем (водоразбор из подающего трубопровода) и обратном трубопроводах (водоразбор из обратного трубопровода); для значения температуры наружного воздуха, соответствующего переводу водоразбора с подающего трубопровода на обратный, производится определение значений отбора теплоносителя на горячее водоснабжение как из подающего, так и обратного трубопроводов;
- отопление и приточная вентиляция - расчетное значение расхода теплоносителя на отопление и приточную вентиляцию для значения температуры наружного воздуха, соответствующего точке излома температурного графика регулирования тепловой нагрузки; для остальных характерных значений температуры наружного воздуха - по результатам гидравлического расчета тепловой сети на основе значений гидравлического сопротивления систем отопления.
5.9. В открытых системах теплоснабжения планируемые значения расхода теплоносителя в обратных трубопроводах при каждом из характерных значений температуры наружного воздуха следует принимать как разность значений расхода теплоносителя в подающем трубопроводе и водоразбора, среднечасового за неделю.
5.10. При определении планируемых значений расхода теплоносителя в подающем и обратном трубопроводах тепловой сети должна быть учтена циркуляция воды в местных системах горячего водоснабжения.
5.11. В автоматизированных системах горячего водоснабжения при водоразборе непосредственно из трубопроводов тепловой сети значение расхода теплоносителя на циркуляцию определяется расчетом для каждого характерного значения температуры наружного воздуха. Для значения температуры наружного воздуха, соответствующего излому температурного графика регулирования тепловой нагрузки, эта часть планируемого расхода равна ее расчетному значению; для значений температуры наружного воздуха, когда водоразбор полностью производится из обратного трубопровода, значение расхода теплоносителя на циркуляцию равно нулю.
5.12. Значение расхода теплоносителя в подающих и обратных трубопроводах тепловой сети, приходящееся на циркуляцию воды в неавтоматизированных системах горячего водоснабжения при водоразборе непосредственно из трубопроводов тепловой сети, определяется как расчетное при значении температуры наружного воздуха, соответствующем точке излома температурного графика регулирования тепловой нагрузки.
Для остальных характерных значений температуры наружного воздуха и водоразборе из подающего трубопровода тепловой сети эта часть планируемого значения расхода теплоносителя уточняется по результатам гидравлического расчета тепловой сети на основе значений гидравлического сопротивления систем отопления и циркуляционных линий местных систем горячего водоснабжения. При водоразборе из обратного трубопровода значение расхода теплоносителя на циркуляцию равно нулю.
5.13. В закрытых системах теплоснабжения, определяя планируемые значения расхода теплоносителя на горячее водоснабжение, при любых схемах подключения нагревателей необходимо учитывать тепловые потери в местных системах горячего водоснабжения.
5.14. В закрытых системах теплоснабжения планируемые значения расхода теплоносителя в обратных трубопроводах тепловых пунктов следует принимать равными планируемым значениям расхода теплоносителя в подающих трубопроводах.
5.15. Планируемые значения расхода теплоносителя в подающем трубопроводе тепловой сети (в подающих коллекторах источников теплоснабжения) для каждого из характерных значений температуры наружного воздуха на протяжении расчетного периода превышают планируемые значения суммарного расхода теплоносителя в подающих трубопроводах тепловых пунктов потребителей тепловой энергии на нормативное значение потерь теплоносителя из подающих трубопроводов тепловой сети.
Планируемые значения расхода теплоносителя в обратном трубопроводе тепловой сети (в обратных коллекторах источников теплоснабжения) для каждого из характерных значений температуры наружного воздуха на протяжении расчетного периода меньше планируемого значения суммарного расхода теплоносителя в обратных трубопроводах тепловой сети на тепловых пунктах потребителей тепловой энергии на планируемое значение потерь теплоносителя из обратных трубопроводов тепловой сети.
Определение нормативных значений потерь теплоносителя производится по указаниям
раздела 4.1.
5.16. В силу того, что нормативные значения потерь теплоносителя малы по сравнению с планируемыми значениями расхода теплоносителя в подающих и обратных трубопроводах тепловой сети, нормативными потерями теплоносителя при практических расчетах можно пренебречь и принимать планируемые значения расхода теплоносителя в подающем и обратном трубопроводах тепловой сети равными планируемым значениям суммарного расхода теплоносителя в соответствующих трубопроводах на тепловых пунктах потребителей.
5.17. Выполнение гидравлических расчетов тепловых сетей для определения планируемых значений расхода теплоносителя для различных характерных значений температуры наружного воздуха
(п. п. 5.7, 5.8 и
5.12) производится с помощью электронной вычислительной машины (ЭВМ) с применением специально разработанной программы гидравлического расчета, позволяющей производить многовариантные расчеты гидравлических режимов функционирования тепловых сетей.
5.18. Основной (базовый) вариант гидравлического расчета тепловой сети целесообразно производить для подающего и обратного трубопроводов отдельно, при значении расхода теплоносителя в каждой из систем теплопотребления, определенном при значении температуры наружного воздуха, соответствующем точке излома температурного графика регулирования тепловой нагрузки. Это значение температуры наружного воздуха является расчетным для тепловой сети, т.к. при этой температуре расход теплоносителя в подающем трубопроводе тепловой сети является максимальным.
Расчетные значения располагаемого напора на тепловых пунктах неавтоматизированных систем теплопотребления, а также значения их гидравлического сопротивления, м/(м3/ч)2, определяются по результатам базового варианта гидравлического расчета тепловой сети и построения расчетного варианта гидравлического режима ее функционирования. Эти значения являются исходными для проведения гидравлических расчетов для других характерных значений температуры наружного воздуха. Расчеты производятся, принимая значения гидравлического сопротивления неавтоматизированных систем теплопотребления, которые были определены в результате базового гидравлического расчета тепловой сети, и значения расхода теплоносителя автоматизированных систем теплопотребления для соответствующих характерных значений температуры наружного воздуха.
5.19. Значение эквивалентной шероховатости трубопроводов для проведения гидравлического расчета тепловых сетей принимается по результатам их специальных испытаний или в результате анализа эксплуатационной информации.
5.20. Для определения планируемых значений расхода теплоносителя в трубопроводах тепловой сети на тепловых пунктах систем теплопотребления для характерных значений температуры наружного воздуха, кроме расчетного, при некоторых принципиальных схемах присоединения местных систем горячего водоснабжения приходится применять метод последовательных приближений.
При расчетном для тепловой сети значении температуры наружного воздуха, соответствующем точке излома графика регулирования тепловой нагрузки, значения расхода теплоносителя для неавтоматизированных систем отопления и приточной вентиляции являются расчетными и значение температуры теплоносителя в обратных трубопроводах тепловой сети на тепловых пунктах этих систем равно значению температуры теплоносителя по температурному графику регулирования тепловой нагрузки в этой точке графика. Но при остальных значениях температуры наружного воздуха значения температуры теплоносителя в обратных трубопроводах неавтоматизированных систем отопления и приточной вентиляции отличаются от значения температуры теплоносителя по температурному графику, что изменяет расход теплоносителя на горячее водоснабжение при 2-ступенчатых схемах присоединения теплообменников горячего водоснабжения, а также при непосредственном отборе теплоносителя на горячее водоснабжение.
При определении значений расхода теплоносителя для систем горячего водоснабжения необходим учет этих обстоятельств (методом последовательных приближений).
В частности, при 2-ступенчатой смешанной схеме присоединения теплообменников горячего водоснабжения, оснащенных регуляторами температуры воды, подаваемой на горячее водоснабжение, но без поддержания постоянного расхода теплоносителя на отопление и приточную вентиляцию, для гидравлического расчета тепловых сетей следует принимать в качестве расчетных значения расхода теплоносителя на отопление и горячее водоснабжение, расчетные для этих систем (при температуре наружного воздуха, соответствующей точке излома температурного графика регулирования тепловой нагрузки).
При остальных значениях температуры наружного воздуха значения расхода теплоносителя для неавтоматизированных систем отопления и приточной вентиляции становятся больше расчетного значения, и поэтому температура теплоносителя в обратных трубопроводах этих систем будет выше, чем это предусмотрено температурным графиком.
Указанное выше приводит к увеличенной тепловой производительности I ступени теплообменников горячего водоснабжения и снижению расхода теплоносителя в их II ступени. Вследствие этого необходимо проведение повторного теплового расчета таких тепловых пунктов при увеличенном значении расхода теплоносителя в системах отопления и приточной вентиляции и выявление на его основе сниженных значений расхода теплоносителя на горячее водоснабжение.
Полученные значения расхода теплоносителя должны быть положены в основу повторного гидравлического расчета тепловой сети, который и определит планируемые значения расхода теплоносителя для неавтоматизированных систем теплопотребления.
5.21. При параллельной схеме присоединения теплообменников горячего водоснабжения их режим функционирования не зависит от температуры теплоносителя в обратных трубопроводах систем отопления и приточной вентиляции, а зависит только от температуры теплоносителя в подающем трубопроводе тепловой сети.
Поэтому в повторных тепловых расчетах указанных тепловых пунктов необходимости нет.
6. ОПРЕДЕЛЕНИЕ КОЛИЧЕСТВА ЭЛЕКТРИЧЕСКОЙ ЭНЕРГИИ,
НЕОБХОДИМОЙ НА ПЛАНИРУЕМЫЙ ПЕРИОД, ДЛЯ ПРОИЗВОДСТВА
И ПЕРЕДАЧИ ТЕПЛОВОЙ ЭНЕРГИИ
6.1. Определение количества электрической энергии, необходимой для производства тепловой энергии
6.1.1. Затраты электроэнергии на производство тепловой энергии включают:
- затраты электроэнергии на привод тягодутьевых устройств (дымососы, вентиляторы);
- затраты электроэнергии на привод питательных, циркуляционных насосов, насосов установки химводоподготовки, мазутного хозяйства, вакуумных насосов;
- затраты электроэнергии на привод механизмов транспортировки топлива, топливоподготовки, топливоподачи, шлакозолоудаления (транспортеры, дробилки, углезабрасыватели, скреперные лебедки);
- затраты электроэнергии на вентиляцию здания источника теплоснабжения, освещение.
6.1.2. Затраты электроэнергии на привод технологического оборудования, кВт ч, определяются по формуле:

, (46)
где:

- номинальная мощность i-го электродвигателя, кВт;

- период функционирования i-го электродвигателя, ч;

- коэффициент использования мощности электродвигателей;

- КПД i-го электродвигателя;
n - количество функционирующего оборудования.
6.1.3. Мощность электродвигателей, кВт, привода механизмов транспортеров определяются по формулам:
- горизонтальный ленточный транспортер без промежуточных сбрасывателей:

, (47)
где:

- производительность транспортера, т/ч;

- рабочая длина транспортера, м;

- КПД передачи.
КПД передачи

для ременной передачи можно принимать равным 0,85 - 0,9, для клиноременной передачи - 0,97 - 0,98, для зубчатой передачи - 0,98, непосредственной передачи, при помощи муфты - 1,0;
- скребковый транспортер и шнеки:

, (48)
где:
R - коэффициент, учитывающий рост сопротивления материала при пуске транспортера;

- коэффициент сопротивления материала;

- длина перемещения топлива, м;
h - высота подъема топлива, м.
Значение коэффициента R, учитывающего рост сопротивления материала при пуске транспортера, может быть принято R = 1,2 - 1,5.
Значение коэффициента

может быть принято равным для угля 4,2 - 4,6, для золы - 4,0;
- ковшовый элеватор:

, (49)
где

- производительность ковшового элеватора, т/ч.
6.1.4. Коэффициент использования мощности электродвигателей механизмов транспортеров определяется как отношение активной мощности отдельного электродвигателя или группы электродвигателей к номинальной мощности:

, (50)
где

и

- активная и номинальная мощность электродвигателя, кВт.
6.1.5. Для группы электродвигателей с различными режимами функционирования целесообразно определять средний коэффициент использования мощности по выражению:

, (51)
где:

- планируемый период времени, к которому отнесена средняя мощность электродвигателей, ч;

- время функционирования каждого электродвигателя за планируемый период, ч.
6.1.6. При отсутствии информации для расчета количество электроэнергии, необходимое на планируемый период для топливоприготовления, топливоподачи и шлакозолоудаления, кВт ч, выявляется по формуле:

, (51)
где:

- удельные затраты электроэнергии на топливоприготовление, топливоподачу и шлакозолоудаление, кВт ч/Гкал; можно принимать по
таблице 8;

- тепловая производительность источника теплоснабжения, Гкал/ч;
Z - продолжительность функционирования оборудования в планируемом периоде, ч.
Таблица 8
Удельные затраты электроэнергии на топливоприготовление
Тепловая производительность источника теплоснабжения, Гкал/ч | Удельные затраты электроэнергии на топливоприготовление, топливоподачу и шлакозолоудаление, кВт ч/Гкал |
жидкое топливо | твердое топливо |
до 5 | 1,1 | 7,0 |
5 - 10 | 1,06 - 1,1 | 6,8 - 7,0 |
10 - 20 | 1,0 - 1,06 | 6,6 - 6,8 |
20 - 30 | 0,95 - 1,0 | 6,4 - 6,6 |
более 30 | 0,6 - 0,95 | 4,0 - 6,4 |
6.1.7. Электроэнергия, потребляемая электродвигателем вентилятора или дымососа, кВт ч, определяется по формуле:

, (53)
где:
L - производительность вентилятора (дымососа), м3/с;
P - полное давление, создаваемое вентилятором, мм вод. ст.;

,

- КПД вентилятора и электродвигателя.
6.1.8. При отсутствии информации для расчетов количество электроэнергии на привод тягодутьевых машин, кВт ч, можно определять:

, (54)
где:
L - удельная производительность тягодутьевых установок, м3/Гкал;

- удельные затраты электроэнергии на привод тягодутьевых машин, кВт ч/

м3.
Удельные затраты электроэнергии на привод тягодутьевых машин, кВт ч/

м3, можно принимать по таблице
Приложения 6.
6.1.9. Удельная производительность тягодутьевых машин, м3/Гкал, определяется по формулам:
- для вентиляторов:

, (55)
- для дымососов:

, (55а)
где:
В - затраты топлива, кг;

- теоретический удельный объем воздуха, необходимый для полного сгорания топлива, нм3/м3 (нм3/кг);

- теоретический удельный объем продуктов сгорания, нм3/м3 (нм3/кг);

,

- коэффициент избытка воздуха в топке и уходящих газах;

,

- температура холодного воздуха и уходящих газов, °С;

- барометрическое давление, КПа.
Теоретический удельный объем воздуха, необходимого для полного сгорания топлива, а также теоретический удельный объем продуктов сгорания, нм3/м3 (нм3/кг), можно принимать по таблице
Приложения 7.
Таблица 9
Коэффициенты избытка воздуха в топке и уходящих газах
┌────────────────────┬───────────────────────────────────────────┐
│ Вид топлива │ Коэффициент избытка воздуха │
│ ├─────────────────────┬─────────────────────┤
│ │ в топке а │в уходящих газах а │
│ │ m │ ух │
├────────────────────┼─────────────────────┼─────────────────────┤
│Мазут, природный газ│1,1 │1,4 │
├────────────────────┼─────────────────────┼─────────────────────┤
│Твердое топливо │1,2 - 1,25 │1,55 - 1,6 │
└────────────────────┴─────────────────────┴─────────────────────┘
Значение температуры холодного воздуха

можно принимать 20 °С.
6.1.10. Затраты электроэнергии на привод насоса, кВт ч, определяются по формуле:

, (56)
где:
G - расход воды, кг/ч;
Н - напор, развиваемый насосом, м;

- плотность перекачиваемой воды, кг/м3;

- КПД насоса.
6.1.11. Затраты электроэнергии на привод компрессора, кВт ч, определяются по формуле:

, (57)
где:

- производительность компрессора, м3/с;
А - удельная работа сжатия от 1 кгс/см2 до конечного давления, кВт;

- КПД компрессора.
6.1.12. Количество электроэнергии, необходимое для освещения помещений источника теплоснабжения, кВт ч, определяется по количеству, мощности установленных светильников и продолжительности их функционирования за планируемый период по формуле:

, (58)
где:

- мощность i-го светильника, кВт;
Z - продолжительность использования осветительного максимума, ч;
n - количество светильников.
При отсутствии достоверной информации для расчета можно принимать Z = 4800 ч при наличии естественного освещения и Z = 7700 ч - при его отсутствии.
6.1.13. Количество электроэнергии, необходимое для функционирования приборов автоматического регулирования, кВт ч, определяется по формуле:

, (59)
где:

- мощность i-того прибора, кВт;

- продолжительность функционирования i-того прибора, ч;
n - количество приборов авторегулирования.
Мощность отдельного прибора может быть принята 0,065 кВт.
6.2. Определение количества электрической энергии, необходимой для передачи тепловой энергии
6.2.1. Планируемое значение затрат электроэнергии на передачу тепловой энергии определяется по мощности электродвигателей насосов, необходимой для нормального функционирования тепловой сети:
- подпиточных насосов источников теплоснабжения;
- сетевых насосов источников теплоснабжения;
- подкачивающих насосов на подающем и обратном трубопроводах тепловой сети;
- подмешивающих насосов в тепловой сети;
- дренажных насосов;
- насосов отопления и горячего водоснабжения, а также подпиточных насосов тепловой сети отопления (II контур) на центральных тепловых пунктах (ЦТП).
Планируемые значения затрат электроэнергии на передачу тепловой энергии определяются для характерных значений температуры наружного воздуха на всем протяжении планируемого периода.
Основой для определения планируемых значений затрат электроэнергии являются, кроме планируемых значений расхода теплоносителя, перекачиваемого указанными насосами, значения развиваемого насосами напора, необходимого для нормального функционирования тепловой сети, а также характеристики насосов.
6.2.2. Мощность, кВт, требуемая на валу насоса для перекачки теплоносителя центробежными насосами, определяется по формуле:

, (60)
где:
G - объемный расход теплоносителя, перекачиваемого насосом, м3/ч;

- плотность теплоносителя, кг/м3;
Н - напор, развиваемый насосом при расходе G, м;

,

- КПД передачи и насоса; при расчетах можно принимать

= 0,98.
6.2.3. При определении нормативного значения мощности электродвигателей значение расхода теплоносителя, перекачиваемого насосом, принимается по результатам гидравлического расчета тепловой сети в соответствии с местом установки рассматриваемого насоса в системе теплоснабжения. Напор насоса принимается согласно разработанному гидравлическому режиму функционирования тепловой сети с превышением необходимого значения не более 10%.
Мощность электродвигателя насоса, определенная по
формуле (60), может быть увеличена не более чем на 20%.
6.2.4. При определении нормативного значения мощности электродвигателей подпиточных насосов источников теплоснабжения значение расхода теплоносителя, перекачиваемого этими насосами, должно соответствовать нормативному значению утечки теплоносителя из системы теплоснабжения
(раздел 4.1). Требуемое значение напора определяется гидравлическим режимом функционирования тепловой сети.
6.2.5. Если насосная группа состоит из насосов одного типа, расход теплоносителя, перекачиваемого одним из этих насосов, определяется делением среднего за час суммарного значения расхода теплоносителя на количество рабочих насосов.
6.2.6. Если насосная группа состоит из насосов различных типов (или диаметры рабочих колес однотипных насосов различны), для определения расхода теплоносителя, перекачиваемого каждым из установленных насосов, необходимо построить результирующую характеристику насосов, при помощи которой можно определить расход теплоносителя, перекачиваемого каждым из насосов, при известном суммарном расходе перекачиваемого теплоносителя.
6.2.7. При дросселировании напора, развиваемого насосом (в клапане, задвижке или дроссельной диафрагме), значения напора, развиваемого насосом, и его КПД при определенном значении расхода перекачиваемого теплоносителя могут быть определены по результатам испытания насоса или его паспортной характеристике.
6.2.8. В случае регулирования напора и производительности насосов путем изменения частоты вращения их рабочих колес результирующая характеристика насосов насосной группы определяется по результатам гидравлического расчета тепловой сети: определяется расход теплоносителя для насосной группы и требуемый напор насосов, измененный по сравнению с паспортной характеристикой при полученном значении расхода теплоносителя. Найденные значения расхода теплоносителя для каждого из включенных в работу насосов и развиваемого ими при этом напора позволяют определить требуемую частоту вращения рабочих колес насосов:

, (61)
где:

и

- напор, развиваемый насосом, при частоте вращения

и

, м;

и

- расход теплоносителя при частоте вращения

и

, м3/ч;
n - частота вращения рабочих колес насосов, мин-1.
6.2.9. Мощность электродвигателей, кВт, требуемая для перекачки теплоносителя центробежными насосами, с учетом измененной по сравнению с первоначальной частотой вращения их рабочих колес определяется по
формуле (60) с подстановкой соответствующих значений расхода перекачиваемого теплоносителя, напора, развиваемого насосом, и КПД преобразователя частоты (последний - в знаменатель формулы).
6.2.10. Нормативное значение суммарной мощности электродвигателей каждой насосной группы определяется суммированием значений требуемой мощности электродвигателей только рабочих насосов.
6.2.11. Нормативное значение требуемой мощности электродвигателей насосов дренажных подстанций, оборудованных на тепловых сетях, ориентировочно можно выявить по мощности электродвигателей рабочих дренажных насосов и продолжительности их функционирования в сутки. Среднее часовое за сутки нормативное значение мощности электродвигателей этих насосов может быть определено по выражению:

, кВт, (62)
где:
N - мощность электродвигателя дренажного насоса, кВт;
n - продолжительность функционирования дренажного насоса в сутки, ч.
6.2.12. Нормативное значение суммарной мощности электродвигателей насосов, требуемой для перекачки теплоносителя на ЦТП, должно быть определено для подкачивающих и циркуляционных насосов систем горячего водоснабжения, подпиточных и циркуляционных насосов систем отопления при независимом присоединении их к тепловой сети, а также иных насосов, установленных на трубопроводах тепловой сети.
6.2.13. При определении нормативного значения мощности электродвигателей значение расхода горячей воды, перекачиваемой циркуляционными насосами системы горячего водоснабжения, определяется по средней часовой за неделю тепловой нагрузке горячего водоснабжения и поэтому постоянно на протяжении сезона (отопительного или неотопительного периодов).
6.2.14. При определении нормативного значения мощности электродвигателей подпиточных и циркуляционных насосов отопительных систем, подключенных к тепловой сети через теплообменники, значения расхода теплоносителя, перекачиваемого этими насосами, определяются емкостью этих систем и их теплопотреблением для каждого из характерных значений температуры наружного воздуха.
6.2.15. При определении нормативного значения мощности электродвигателей подкачивающих и подмешивающих насосов на ЦТП значения расхода теплоносителя, перекачиваемого этими насосами, и развиваемый ими напор определяются принципиальной схемой коммутации ЦТП, а также принципами их автоматизации.
6.2.16. Планируемые значения затрат электроэнергии на передачу тепловой энергии, кВт ч, определяются как произведение значения суммарной нормативной мощности электродвигателей рабочих насосов, необходимой для нормального функционирования тепловой сети, на продолжительность их функционирования в рассматриваемом планируемом периоде с учетом коэффициентов спроса
(таблица 6.3 Приложения 6):

, (63)
где

- суммарная нормативная мощность электродвигателей рабочих насосов, необходимая для нормального функционирования тепловой сети, кВт.
6.2.17. Планируемое значение удельных затрат электроэнергии на передачу тепловой энергии, кВт ч/Гкал, для каждого из характерных значений температуры наружного воздуха определяется как отношение нормативного значения затрат электроэнергии на передачу тепловой энергии к нормативному значению отпуска тепловой энергии источниками теплоснабжения в тепловую сеть при одном и том же значении температуры наружного воздуха:

, (64)
где:

- планируемое среднесуточное значение затрат электроэнергии в тепловой сети при ее нормальном функционировании для определенного характерного значения температуры наружного воздуха, кВт ч;

- нормативное значение среднесуточного расхода теплоты, отпускаемой источниками теплоснабжения в тепловую сеть единой системы теплоснабжения при том же значении температуры наружного воздуха, Гкал (ГДж).
Значение удельных затрат электроэнергии на передачу тепловой энергии, кВт ч/Гкал, можно представить и как соотношение средней часовой мощности электродвигателей, кВт, необходимой для нормального функционирования тепловой сети, и среднего часового расхода тепловой энергии, Гкал/ч, отпускаемой источниками теплоснабжения в тепловую сеть.
7. ОПРЕДЕЛЕНИЕ КОЛИЧЕСТВА ВОДЫ, НЕОБХОДИМОЙ
ДЛЯ ПРОИЗВОДСТВА И ПЕРЕДАЧИ ТЕПЛОВОЙ ЭНЕРГИИ
НА ПЛАНИРУЕМЫЙ ПЕРИОД
7.1. Потребность в воде, м3, для производства и передачи тепловой энергии складывается из количества воды, необходимого для разового наполнения трубопроводов тепловых сетей и систем теплопотребления, затрат воды на подпитку системы теплоснабжения, а также на собственные нужды источников теплоснабжения:

, (65)
где:

- количество воды, необходимой для заполнения трубопроводов тепловой сети, м3;

- количество воды, необходимой для заполнения i-той системы теплопотребления, м3;
n - количество систем теплопотребления;

- количество воды, необходимой для подпитки тепловой сети, м3;

- количество воды, необходимой для покрытия собственных нужд источника теплоснабжения, м3.
7.2. Количество воды, необходимой для заполнения трубопроводов тепловой сети, м3, определяется по указаниям
раздела 4.1.
7.3. Количество воды, необходимой для заполнения систем теплопотребления, м3, определяется по указаниям раздела 4.1.
7.4. Количество воды, необходимой для подпитки тепловой сети, м3, определяется в зависимости от вида системы теплоснабжения - закрытая или открытая.
7.4.1. В закрытых системах теплоснабжения количество воды, необходимой для подпитки тепловых сетей, м3, обусловлено только технически неизбежными в процессе передачи и распределения тепловой энергии потерями теплоносителя через неплотности в арматуре и трубопроводах тепловых сетей, а также систем теплопотребления в регламентированных
Правилами [4] пределах, т.е. нормируемой утечкой теплоносителя. Определяется по указаниям
раздела 4.1 в зависимости от периода времени функционирования системы теплоснабжения в планируемый период.
7.4.2. В открытых системах теплоснабжения количество воды, необходимой для подпитки тепловых сетей, м3, кроме компенсации потерь теплоносителя, указанных в
п. 7.4.1, включает также и количество воды, отбираемой на водоразбор непосредственно из трубопроводов тепловых сетей. Определяется также в зависимости от периода времени функционирования системы теплоснабжения в планируемый период:
- отопительный период:

, (66)
- неотопительный период:

, (66а)
где:

,

- средняя часовая тепловая нагрузка горячего водоснабжения в отопительный и неотопительный периоды, Гкал/ч;
c - теплоемкость воды, подаваемой на горячее водоснабжение, ккал/°С м3;

- температура воды, подаваемой на горячее водоснабжение, °С;

,

- температура исходной воды, поступающей на источник теплоснабжения в отопительный и неотопительный период, °С.
7.5. Количество воды, необходимой для покрытия собственных нужд источника теплоснабжения, м3, складывается из количеств воды, требуемой для продувки паровых котлов, для функционирования установки водоподготовки, на хозяйственно-питьевые нужды и на обмывку котлов.
7.5.1. Расход воды на продувку паровых котлов, кг/ч, определяется по формуле:

, (67)
где:

- расход конденсата, возвращаемого в котельную, кг/ч;

- расход добавляемой химически очищенной воды, кг/ч;

,

- характеристика (щелочность или сухой остаток) конденсата и добавляемой химически очищенной воды, г-экв./кг или г/кг;

- характеристика установленной концентрации в котловой воде, г-экв. или г/кг.
Допускается определять расход воды на продувку по формулам:

, (68)
где D - расход пара, кг/ч (принимается по испытаниям или технической характеристике котла).

, (69)

, (70)
где:

- характеристика (щелочность или сухой остаток) пара, г-экв./кг или г/кг;
b - количество отсепарированного пара в долях расхода продуваемой воды.
Коэффициенты

,

и b определяются теплотехническими испытаниями котлоагрегата.

, (71)
где:

и

- производительность котла по перегретому и насыщенному пару, кг/ч;

,

,

- солесодержание или щелочность питательной воды, пара и котловой воды, мг-экв./л; определяется в результате химического анализа.
При отсутствии информации расход воды на продувку можно ориентировочно определить по формуле:

, (72)
где:

- коэффициент продувки, учитывающий затраты теплоты на продувку; принимается по
таблице 10;

- номинальная производительность котельной, Гкал/ч;

и

- энтальпия котловой воды при температуре насыщения и питательной воды, ккал/кг.
Таблица 10
Удельный расход воды на продувку котлов
в зависимости от их мощности
Вид топлива | Удельный расход продувочной воды, т/ч, при мощности одного котлоагрегата, Гкал/ч |
0,5 | 1,0 | 2,0 | 4,0 | 6,0 | 8,0 | 10,0 | 20,0 |
Твердое | 1,75 | 1,53 | 1,30 | 1,00 | 0,80 | 0,70 | 0,65 | 0,60 |
Газообразное и жидкое | 1,10 | 1,00 | 0,80 | 0,60 | 0,50 | 0,48 | 0,45 | 0,40 |
7.5.2. Количество воды, необходимое для продувки паровых котлов в котельной, определяется по формуле:

, (73)
где

- продолжительность продувки, ч.
7.5.3. Количество воды, необходимое для функционирования установки водоподготовки

, м3, определяется по формуле:

, (74)
где:

- количество воды, необходимое для i-го фильтра, м3;

- количество одинаковых фильтров;

- количество процессов взрыхления и регенерации i-го фильтра;

- количество воды, выпариваемой в деаэраторе (при отсутствии охладителя выпара), м3;
p - количество различных фильтров.

, (75)
где:

- производительность деаэратора, м3/ч;

- продолжительность функционирования деаэратора в планируемом периоде, ч.
При отсутствии достоверной информации суммарное количество воды для осуществления водоподготовки в котельной можно воспользоваться формулой:

, (74а)
где:

- удельный расход воды на собственные нужды химводоочистки (ХВО), м3 исходной воды на м3 химически очищенной воды; принимается в зависимости от общей жесткости исходной воды по
таблице 11;

- поправочный коэффициент, при наличии бака взрыхления принимается равным 1,0 и 1,2 - при его отсутствии;

- производительность установки ХВО, м3/ч.
Таблица 11
Удельный расход воды на собственные нужды ХВО
Схема ХВО | Ионит | Удельный расход воды на ХВО, м3, при жесткости, мг-экв./кг |
1 | 2 | 3 | 4 | 5 | 6 | 7 | 8 | 9 |
Na-катио- нирование | Сульфо- уголь | 0,031 | 0,047 | 0,063 | 0,078 | 0,094 | 0,110 | 0,125 | - | - |
Катионит КУ-2 | 0,015 | 0,023 | 0,031 | 0,039 | 0,047 | 0,055 | 0,062 | - | - |
Н-катиони- рование с "голодной" регенерацией | Сульфо- уголь | - | 0,052 | 0,075 | 0,098 | 0,122 | 0,144 | 0,167 | 0,190 | 0,214 |
7.5.4. Количество воды на хозяйственно-питьевые нужды

, м3, определяется по формуле:

, (76)
где:

- расход воды на хозяйственно-питьевые нужды, м3/ч, на источнике тепла рассчитывается по нормам водопотребления по
СНиП 2.04.01-85*;
T - продолжительность планируемого периода, сут.
7.5.5. Для шлакозолоудаления применяется вода, ранее использованная на промывку фильтров, в душевых и умывальниках, а также другая загрязненная вода. Значения удельного расхода воды для шлакозолоудаления (

) приводятся в таблице 12.
Таблица 12
Удельный расход воды для шлакозолоудаления
Способ шлакозолоудаления | Удельный расход воды, м3 на 1 т шлака и золы |
Ручной (вагонетками) | 0,1 - 0,2 |
Механизированный мокрый скрепером или скребками | 0,1 - 0,5 |
Пневматический | 0,1 - 0,2 |
Гидравлический с багерными и песковыми насосами | 10,0 - 30,0 |
Гидравлический с аппаратами Москалькова | 15,0 - 45,0 |
7.5.6. Удельный расход воды на паровой распыл мазута принимается 0,3 кг/кг мазута для напорных форсунок и 0,02 - 0,03 кг/кг мазута для паромеханических форсунок.
7.5.7. Количество воды, необходимое для обмывки котлов

, т, определяется по формуле:

, (77)
где:

- тепловая производительность каждого котла, Гкал/ч;

- продолжительность обмывки котлов в планируемом периоде, ч;

и

- температура горячей и исходной воды, °С;
n - количество обмываемых котлов.
8. ПЕРЕЧЕНЬ НОРМАТИВНО-ТЕХНИЧЕСКИХ ДОКУМЕНТОВ,
ССЫЛКИ НА КОТОРЫЕ ИМЕЮТСЯ В МЕТОДИКЕ
1.
СНиП 23-01-99. Строительная климатология. Госстрой России. М., 2000.
3.
СНиП 2.04.01-85*. Внутренний водопровод и канализация зданий. Госстрой России. М., 1999.
4.
Правила технической эксплуатации электрических станций и сетей Российской Федерации. М., Энергосервис, 2003.
5.
Методика определения количеств тепловой энергии и теплоносителя в водяных системах коммунального теплоснабжения. Госстрой России. М., 2000.
6. Методические указания по определению тепловых потерь в водяных тепловых сетях.
РД 34.09.255-97. СПО ОРГРЭС. М., 1998.
7. Нормы проектирования тепловой изоляции для трубопроводов и оборудования электростанций и тепловых сетей. М.: Госстройиздат, 1959.
8.
СНиП 2.04.14-88. Тепловая изоляция оборудования и трубопроводов. Госстрой СССР. М., 1989.
| | ИС МЕГАНОРМ: примечание. Взамен СНиП 2.08.01-85 Постановлением Госстроя СССР от 16.05.1989 N 78 с 1 января 1990 года введены в действие СНиП 2.08.01-89. | |
9. СНиП 2.08.01-85. Жилые здания. ЦИТП Госстроя СССР. М., 1986.
10. Наладка и эксплуатация водяных тепловых сетей. Справочник. М.: Стройиздат, 1988.
11.
СНиП 2.04.05-91*. Отопление, вентиляция и кондиционирование воздуха. Госстрой России. М., 1997.
12. Рекомендации по повышению эффективности работы открытых систем централизованного теплоснабжения. МЖКХ РСФСР. ПТП "Оргкоммунэнерго". М., 1976.
13. Методические
указания по определению расходов топлива, электроэнергии и воды на выработку тепла отопительными котельными коммунальных теплоэнергетических предприятий. Комитет РФ по муниципальному хозяйству. Сектор НТИ АКХ им. К.Д. Памфилова. М., 1994.
14. Инструкция по нормированию расхода котельно-печного топлива на отпуск тепловой энергии котельными системы Министерства жилищно-коммунального хозяйства РСФСР.
ИНДИВИДУАЛЬНЫЕ НОРМЫ РАСХОДА ТОПЛИВА
ДЛЯ КОТЛОАГРЕГАТОВ НА НОМИНАЛЬНОЙ
НАГРУЗКЕ

, кг у.т./Гкал
Тип котлоагрегата | Вид топлива |
газ | мазут | каменный уголь | бурый уголь |
1 | 2 | 3 | 4 | 5 |
Паровые котлоагрегаты |
К-35-40, ТП-35-У, ТП-35 | - | - | 162 | 163 |
ТП-35 | - | 155 | - | - |
Б-35-40, ТС-35-У | - | - | - | 168,7 |
ТП-30 | 153,5 | 154,8 | - | - |
ТП-20-У | - | - | 166,4 | 170 |
ТП-20 | 154,7 | - | - | - |
ТС-20 | 155 | 155,4 | - | - |
ДКВР-20-13 | 157,1 | 160,4 | 174,6 | 189 |
ДКВР-10-13 | 157,6 | 160,1 | 174,6 | 189 |
ДКВР-6,5-13 | 158,1 | 160,1 | 174,6 | 189 |
ДКВР-4-13 | 158,7 | 160,1 | 174,8 | 189 |
ДКВР-2,5-13 | 160,3 | 160,4 | 175,4 | 189,2 |
ДКВ-4-13 | 162,6 | 167,4 | 189,8 | - |
ДКВ-2-8 | 163 | 167,7 | 190 | - |
ДЕ-25-14, КЕ-25-14 | 155,9 | 158,8 | 166,2 | 167,5 |
ДЕ-16-14 | 157,5 | 162,6 | - | - |
ДЕ-10-14, КЕ-10-14 | 156,9 | 161 | 178,3 | 179,6 |
ДЕ-6,5-14, КЕ-6,5-14 | 158,9 | 163 | 178,3 | 179,6 |
ДЕ-4-14, КЕ-4-14 | 160,1 | 163,9 | 178,3 | 179,6 |
КЕ-2,5-14 | - | - | 178,3 | 179,6 |
ШБА-7 | 164,3 (167,5) | 168 (172,5) | 171,9 - | 183,5 - |
ШБА-5 | 164,5 (168,8) | 168 (174,3) | 173,6 (186) | 185,1 (192) |
ШБА-3 | 164,5 (169,5) | 168 (176) | 175,5 (190,2) | 187,2 (196) |
Е-1/9, Е-0,8/9, Е-0,4/9 | 166 | 174,1 | 199,4 | 204 |
Водогрейные котлоагрегаты |
ПТВМ-100, КВГМ-100 | 157,6 | 159,1 | - | - |
ПТВМ-50, КВГМ-50 | 160,5 | 163,9 | - | - |
ПТВМ-30М, КВГМ-30, КВТС-30, КВТСВ-30 | 156,8 | 162,7 | 177,3 | 175,3 |
КВГМ-20, КВТС-20, КВТСВ-20 | 158,4 | 164,9 | 177 | 172,8 |
КВГМ-10, КВТС-10, КВТСВ-10 | 158,4 | 164,9 | 177 | 172,8 |
КВГМ-6,5, КВТС-6,5, КВТС-4, КВГМ-4 | 157,3 | 164,8 | 174,2 | 175 |
ТВГ | 168 | 174,2 | - | - |
Секционные чугунные и стальные (HP-18, НИИСТУ-5 и др.) | 173,1 | 178,5 | 213,2 | 238 |
Примечание. В скобках приведены значения индивидуальных норм для котлов без хвостовых поверхностей теплообмена.
ПОПРАВОЧНЫЙ КОЭФФИЦИЕНТ К РАСХОДУ ТЕПЛОВОЙ ЭНЕРГИИ
НА ГОРЯЧЕЕ ВОДОСНАБЖЕНИЕ В ЗАВИСИМОСТИ ОТ ПРОДОЛЖИТЕЛЬНОСТИ
РАБОТЫ СИСТЕМЫ ГОРЯЧЕГО ВОДОСНАБЖЕНИЯ
┌──────────────────────────────┬─────────────────────────────────┐
│ Продолжительность работы │Поправочный коэффициент к расходу│
│системы горячего водоснабжения│ теплоты при продолжительности │
│ в неделю, сут. │ работы систем горячего │
│ │ водоснабжения в сутки, ч │
│ ├──────────┬───────────┬──────────┤
│ │ 6 - 10 │ 11 - 15 │ 16 - 24 │
├──────────────────────────────┼──────────┼───────────┼──────────┤
│ 1 │ 2 │ 3 │ 4 │
├──────────────────────────────┴──────────┴───────────┴──────────┤
│ ЖИЛЫЕ ДОМА КВАРТИРНОГО ТИПА │
├────────────────────────────────────────────────────────────────┤
│ с умывальниками, мойками и душами │
├──────────────────────────────┬──────────┬───────────┬──────────┤
│4 │0,65 │0,74 │0,79 │
│5 │0,69 │0,80 │0,86 │
│6 │0,72 │0,85 │0,93 │
│7 │0,76 │0,91 │1,00 │
├──────────────────────────────┴──────────┴───────────┴──────────┤
│ с сидячими ваннами и душами │
├──────────────────────────────┬──────────┬───────────┬──────────┤
│4 │0,72 │0,79 │0,83 │
│5 │0,75 │0,84 │0,89 │
│6 │0,77 │0,88 │0,94 │
│7 │0,80 │0,93 │1,00 │
├──────────────────────────────┴──────────┴───────────┴──────────┤
│ с ваннами длиной 1500 - 1700 мм и душами │
├──────────────────────────────┬──────────┬───────────┬──────────┤
│4 │0,76 │0,82 │0,85 │
│5 │0,78 │0,80 │0,90 │
│6 │0,80 │0,90 │0,95 │
│7 │0,83 │0,94 │1,00 │
├──────────────────────────────┴──────────┴───────────┴──────────┤
│ при высоте зданий более 12 этажей │
├──────────────────────────────┬──────────┬───────────┬──────────┤
│4 │0,80 │0,86 │0,89 │
│5 │0,82 │0,90 │0,95 │
│6 │0,84 │0,95 │1,00 │
│7 │0,87 │0,99 │1,00 │
├──────────────────────────────┴──────────┴───────────┴──────────┤
│ ОБЩЕЖИТИЯ │
├────────────────────────────────────────────────────────────────┤
│ с общими душевыми │
├──────────────────────────────┬──────────┬───────────┬──────────┤
│4 │0,68 │0,76 │0,81 │
│5 │0,71 │0,81 │0,87 │
│6 │0,74 │0,86 │0,94 │
│7 │0,78 │0,92 │1,00 │
├──────────────────────────────┴──────────┴───────────┴──────────┤
│ с общими душевыми, прачечными, столовыми │
├──────────────────────────────┬──────────┬───────────┬──────────┤
│4 │0,65 │0,74 │0,79 │
│5 │0,68 │0,80 │0,86 │
│6 │0,72 │0,85 │0,93 │
│7 │0,75 │0,91 │1,00 │
├──────────────────────────────┴──────────┴───────────┴──────────┤
│ МОТЕЛИ, ПАНСИОНАТЫ, ГОСТИНИЦЫ │
├────────────────────────────────────────────────────────────────┤
│ с общими ванными, душами │
├──────────────────────────────┬──────────┬───────────┬──────────┤
│4 │0,66 │0,69 │0,74 │
│5 │0,71 │0,76 │0,81 │
│6 │0,77 │0,82 │0,91 │
│7 │0,83 │0,89 │1,00 │
├──────────────────────────────┴──────────┴───────────┴──────────┤
│ с ваннами и душами во всех номерах │
├──────────────────────────────┬──────────┬───────────┬──────────┤
│4 │0,53 │0,53 │0,54 │
│5 │0,68 │0,69 │0,69 │
│6 │0,84 │0,84 │0,85 │
│7 │0,99 │1,00 │1,00 │
├──────────────────────────────┴──────────┴───────────┴──────────┤
│ с ваннами и душами до 25% количества номеров │
├──────────────────────────────┬──────────┬───────────┬──────────┤
│4 │0,63 │0,65 │0,69 │
│5 │0,70 │0,74 │0,78 │
│6 │0,79 │0,83 │0,90 │
│7 │0,87 │0,92 │1,00 │
├──────────────────────────────┴──────────┴───────────┴──────────┤
│ с ваннами и душами до 75% количества номеров │
├──────────────────────────────┬──────────┬───────────┬──────────┤
│4 │0,56 │0,57 │0,59 │
│5 │0,68 │0,71 │0,72 │
│6 │0,82 │0,84 │0,84 │
│7 │0,95 │0,97 │1,00 │
├──────────────────────────────┴──────────┴───────────┴──────────┤
│ САНАТОРИИ ОБЩЕГО ТИПА, ДОМА ОТДЫХА, БОЛЬНИЦЫ │
├────────────────────────────────────────────────────────────────┤
│ с общими ваннами и душами │
├──────────────────────────────┬──────────┬───────────┬──────────┤
│4 │0,75 │0,81 │0,84 │
│5 │0,77 │0,94 │1,00 │
├──────────────────────────────┴──────────┴───────────┴──────────┤
│ с ваннами при всех номерах │
├──────────────────────────────┬──────────┬───────────┬──────────┤
│4 │0,57 │0,63 │0,66 │
│5 │0,66 │0,73 │0,77 │
│6 │0,75 │0,84 │0,89 │
│7 │0,84 │0,94 │1,00 │
├──────────────────────────────┴──────────┴───────────┴──────────┤
│ ШКОЛЫ-ИНТЕРНАТЫ │
├──────────────────────────────┬──────────┬───────────┬──────────┤
│4 │0,65 │0,73 │0,77 │
│5 │0,69 │0,79 │0,85 │
│6 │0,74 │0,86 │0,93 │
│7 │0,79 │0,92 │1,00 │
├──────────────────────────────┴──────────┴───────────┴──────────┤
│ ДЕТСКИЕ ЯСЛИ-САДЫ │
├──────────────────────────────┬──────────┬───────────┬──────────┤
│4 │0,51 │0,62 │0,67 │
│5 │0,72 │0,90 │1,00 │
└──────────────────────────────┴──────────┴───────────┴──────────┘
Примечание. При продолжительности работы систем горячего водоснабжения менее 4 суток в неделю следует принимать минимальное значение поправочного коэффициента для соответствующего потребителя.
ОПРЕДЕЛЕНИЕ РАСЧЕТНЫХ ЧАСОВЫХ НАГРУЗОК ОТОПЛЕНИЯ,
ПРИТОЧНОЙ ВЕНТИЛЯЦИИ И ГОРЯЧЕГО ВОДОСНАБЖЕНИЯ
РАСЧЕТНЫЕ ТЕПЛОВЫЕ НАГРУЗКИ
1. Отопление
1.1. Расчетную часовую тепловую нагрузку отопления следует принимать по типовым или индивидуальным проектам зданий.
В случае отличия принятого в проекте значения расчетной температуры наружного воздуха для проектирования отопления от действующего нормативного значения для конкретной местности необходимо произвести пересчет приведенной в проекте расчетной часовой тепловой нагрузки отапливаемого здания по формуле:

, (3.1)
где:

- расчетная часовая тепловая нагрузка отопления здания, Гкал/ч;

- то же, по типовому или индивидуальному проекту, Гкал/ч;

- расчетная температура воздуха в отапливаемом здании, °С; принимается в соответствии с
таблицей 1;

- расчетная температура наружного воздуха для проектирования отопления в местности, где расположено здание, согласно
СНиП 23-01-99 [1], °С;

- то же, по типовому или индивидуальному проекту, °С.
Таблица 1
Расчетная температура воздуха в отапливаемых зданиях
┌────────────────────────────────────────┬───────────────────────┐
│ Наименование здания │ Расчетная температура │
│ │воздуха в здании t , °С│
│ │ j │
├────────────────────────────────────────┼───────────────────────┤
│Жилое здание │18 │
├────────────────────────────────────────┼───────────────────────┤
│Гостиница, общежитие, административное │18 - 20 │
│здание │ │
├────────────────────────────────────────┼───────────────────────┤
│Детский сад, ясли, поликлиника, │20 │
│амбулатория, диспансер, больница │ │
├────────────────────────────────────────┼───────────────────────┤
│Высшее, среднее специальное учебное │16 │
│заведение, школа, школа-интернат, │ │
│предприятие общественного питания, клуб │ │
├────────────────────────────────────────┼───────────────────────┤
│Театр, магазин, пожарное депо │15 │
├────────────────────────────────────────┼───────────────────────┤
│Кинотеатр │14 │
├────────────────────────────────────────┼───────────────────────┤
│Гараж │10 │
├────────────────────────────────────────┼───────────────────────┤
│Баня │25 │
└────────────────────────────────────────┴───────────────────────┘
| | ИС МЕГАНОРМ: примечание. Взамен СНиП 2.08.01-85 Постановлением Госстроя СССР от 16.05.1989 N 78 с 1 января 1990 года введены в действие СНиП 2.08.01-89. | |
В местностях с расчетной температурой наружного воздуха для проектирования отопления -31 °С и ниже значение расчетной температуры воздуха внутри отапливаемых жилых зданий следует принимать в соответствии с главой СНиП 2.08.01-85
[9] равным 20 °С.
1.2. При отсутствии проектной информации расчетную часовую тепловую нагрузку отопления отдельного здания можно определить по укрупненным показателям:

, (3.2)
где:

- поправочный коэффициент, учитывающий отличие расчетной температуры наружного воздуха для проектирования отопления

от

= -30 °С, при которой определено соответствующее значение

; принимается по
таблице 2;
V - объем здания по наружному обмеру, м3;

- удельная отопительная характеристика здания при

= -30 °С, ккал/м3 ч °С; принимается по
таблицам 3 и
4;

- расчетный коэффициент инфильтрации, обусловленной тепловым и ветровым напором, т.е. соотношение тепловых потерь зданием с инфильтрацией и теплопередачей через наружные ограждения при температуре наружного воздуха, расчетной для проектирования отопления.
Таблица 2
Поправочный коэффициент

для жилых зданий
┌──────────────┬─────┬────┬────┬────┬────┬────┬────┬────┬───┬────┬────┬───┐
│Расчетная │+/- 0│-5 │-10 │-15 │-20 │-25 │-30 │-35 │-40│-45 │-50 │-55│
│температура │ │ │ │ │ │ │ │ │ │ │ │ │
│наружного │ │ │ │ │ │ │ │ │ │ │ │ │
│воздуха t , °С│ │ │ │ │ │ │ │ │ │ │ │ │
│ o │ │ │ │ │ │ │ │ │ │ │ │ │
├──────────────┼─────┼────┼────┼────┼────┼────┼────┼────┼───┼────┼────┼───┤
│альфа │2,05 │1,67│1,45│1,29│1,17│1,08│1,00│0,95│0,9│0,85│0,82│0,8│
└──────────────┴─────┴────┴────┴────┴────┴────┴────┴────┴───┴────┴────┴───┘
Таблица 3
Удельная отопительная характеристика жилых зданий
┌─────────┬─────────────────────┬──────────┬─────────────────────┐
│Наружный │Удельная отопительная│Наружный │Удельная отопительная│
│строи- │ характеристика q , │строитель-│ характеристика q , │
│тельный │ о │ный объем │ o │
│объем V, │ ккал/м3 ч °С │ V, м3 │ ккал/м3 ч °С │
│м3 ├──────────┬──────────┤ ├──────────┬──────────┤
│ │постройка │постройка │ │постройка │постройка │
│ │ до │ после │ │ до │ после │
│ │ 1958 г. │ 1958 г. │ │ 1958 г. │ 1958 г. │
├─────────┼──────────┼──────────┼──────────┼──────────┼──────────┤
│ 1 │ 2 │ 3 │ 4 │ 5 │ 6 │
├─────────┼──────────┼──────────┼──────────┼──────────┼──────────┤
│100 │0,74 │0,92 │4000 │0,40 │0,47 │
├─────────┼──────────┼──────────┼──────────┼──────────┼──────────┤
│200 │0,66 │0,82 │4500 │0,39 │0,46 │
├─────────┼──────────┼──────────┼──────────┼──────────┼──────────┤
│300 │0,62 │0,78 │5000 │0,38 │0,45 │
├─────────┼──────────┼──────────┼──────────┼──────────┼──────────┤
│400 │0,60 │0,74 │6000 │0,37 │0,43 │
├─────────┼──────────┼──────────┼──────────┼──────────┼──────────┤
│500 │0,58 │0,71 │7000 │0,36 │0,42 │
├─────────┼──────────┼──────────┼──────────┼──────────┼──────────┤
│600 │0,56 │0,69 │8000 │0,35 │0,41 │
├─────────┼──────────┼──────────┼──────────┼──────────┼──────────┤
│700 │0,54 │0,68 │9000 │0,34 │0,40 │
├─────────┼──────────┼──────────┼──────────┼──────────┼──────────┤
│800 │0,53 │0,67 │10000 │0,33 │0,39 │
├─────────┼──────────┼──────────┼──────────┼──────────┼──────────┤
│900 │0,52 │0,66 │11000 │0,32 │0,38 │
├─────────┼──────────┼──────────┼──────────┼──────────┼──────────┤
│1000 │0,51 │0,65 │12000 │0,31 │0,38 │
├─────────┼──────────┼──────────┼──────────┼──────────┼──────────┤
│1100 │0,50 │0,62 │13000 │0,30 │0,37 │
├─────────┼──────────┼──────────┼──────────┼──────────┼──────────┤
│1200 │0,49 │0,60 │14000 │0,30 │0,37 │
├─────────┼──────────┼──────────┼──────────┼──────────┼──────────┤
│1300 │0,48 │0,59 │15000 │0,29 │0,37 │
├─────────┼──────────┼──────────┼──────────┼──────────┼──────────┤
│1400 │0,47 │0,58 │20000 │0,28 │0,37 │
├─────────┼──────────┼──────────┼──────────┼──────────┼──────────┤
│1500 │0,47 │0,57 │25000 │0,28 │0,37 │
├─────────┼──────────┼──────────┼──────────┼──────────┼──────────┤
│1700 │0,46 │0,55 │30000 │0,28 │0,36 │
├─────────┼──────────┼──────────┼──────────┼──────────┼──────────┤
│2000 │0,45 │0,53 │35000 │0,28 │0,35 │
├─────────┼──────────┼──────────┼──────────┼──────────┼──────────┤
│2500 │0,44 │0,52 │40000 │0,27 │0,35 │
├─────────┼──────────┼──────────┼──────────┼──────────┼──────────┤
│3000 │0,43 │0,50 │45000 │0,27 │0,34 │
├─────────┼──────────┼──────────┼──────────┼──────────┼──────────┤
│3500 │0,42 │0,48 │50000 │0,26 │0,34 │
└─────────┴──────────┴──────────┴──────────┴──────────┴──────────┘
Таблица 3а
Удельная отопительная характеристика зданий,
построенных до 1930 г.
┌─────────────┬──────────────────────────────────────────────────┐
│Объем здания │ Удельная отопительная характеристика здания, │
│по наружному │ ккал/м3 ч °С, для районов с расчетной │
│ обмеру, м3 │температурой наружного воздуха для проектирования │
│ │ отопления t , °C │
│ │ o │
│ ├─────────────┬──────────────────────┬─────────────┤
│ │ t < -30 °С │-20 °С > t >= -30 °С │ t > -20 °С │
│ │ о │ о │ o │
├─────────────┼─────────────┼──────────────────────┼─────────────┤
│ 1 │ 2 │ 3 │ 4 │
├─────────────┼─────────────┼──────────────────────┼─────────────┤
│500 - 2000 │0,37 │0,41 │0,45 │
├─────────────┼─────────────┼──────────────────────┼─────────────┤
│2001 - 5000 │0,28 │0,30 │0,38 │
├─────────────┼─────────────┼──────────────────────┼─────────────┤
│5001 - 10000 │0,24 │0,27 │0,29 │
├─────────────┼─────────────┼──────────────────────┼─────────────┤
│10000 - 15000│0,21 │0,23 │0,25 │
├─────────────┼─────────────┼──────────────────────┼─────────────┤
│15001 - 25000│0,20 │0,21 │0,23 │
├─────────────┼─────────────┼──────────────────────┼─────────────┤
│> 25000 │0,19 │0,20 │0,22 │
└─────────────┴─────────────┴──────────────────────┴─────────────┘
Таблица 4
Удельная тепловая характеристика административных, лечебных
и культурно-просветительных зданий, детских учреждений
┌───────────────────────┬───────────┬────────────────────────────┐
│ Наименование зданий │ Объем │ Удельные тепловые │
│ │ зданий V, │ характеристики │
│ │ м3 ├─────────────┬──────────────┤
│ │ │для отопления│для вентиляции│
│ │ │ q , ккал/ │ q , ккал/ │
│ │ │ о │ v │
│ │ │ м3 ч °С │ м3 ч °С) │
├───────────────────────┼───────────┼─────────────┼──────────────┤
│ 1 │ 2 │ 3 │ 4 │
├───────────────────────┼───────────┼─────────────┼──────────────┤
│Административные │до 5000 │0,43 │0,09 │
│здания, конторы │до 10000 │0,38 │0,08 │
│ │до 15000 │0,35 │0,07 │
│ │более 15000│0,32 │0,18 │
├───────────────────────┼───────────┼─────────────┼──────────────┤
│Клубы │до 5000 │0,37 │0,25 │
│ │до 10000 │0,33 │0,23 │
│ │более 10000│0,30 │0,20 │
├───────────────────────┼───────────┼─────────────┼──────────────┤
│Кинотеатры │до 5000 │0,36 │0,43 │
│ │до 10000 │0,32 │0,39 │
│ │более 10000│0,30 │0,38 │
├───────────────────────┼───────────┼─────────────┼──────────────┤
│Театры │до 10000 │0,29 │0,41 │
│ │до 15000 │0,27 │0,40 │
│ │до 20000 │0,22 │0,38 │
│ │до 30000 │0,20 │0,36 │
│ │более 30000│0,18 │0,31 │
├───────────────────────┼───────────┼─────────────┼──────────────┤
│Магазины │до 5000 │0,38 │- │
│ │до 10000 │0,33 │0,08 │
│ │более 10000│0,31 │0,27 │
├───────────────────────┼───────────┼─────────────┼──────────────┤
│Детские сады и ясли │до 5000 │0,38 │0,11 │
│ │более 5000 │0,34 │0,10 │
├───────────────────────┼───────────┼─────────────┼──────────────┤
│Школы и высшие учебные │до 5000 │0,39 │0,09 │
│заведения │до 10000 │0,35 │0,08 │
│ │более 10000│0,33 │0,07 │
├───────────────────────┼───────────┼─────────────┼──────────────┤
│Больницы │до 5000 │0,40 │0,29 │
│ │до 10000 │0,36 │0,28 │
│ │до 15000 │0,32 │0,26 │
│ │более 15000│0,30 │0,25 │
├───────────────────────┼───────────┼─────────────┼──────────────┤
│Бани │до 5000 │0,28 │1,00 │
│ │до 10000 │0,25 │0,95 │
│ │более 10000│0,23 │0,90 │
├───────────────────────┼───────────┼─────────────┼──────────────┤
│Прачечные │до 5000 │0,38 │0,80 │
│ │до 10000 │0,33 │0,78 │
│ │более 10000│0,31 │0,75 │
├───────────────────────┼───────────┼─────────────┼──────────────┤
│Предприятия обществен- │до 5000 │0,35 │0,70 │
│ного питания, столовые,│до 10000 │0,33 │0,65 │
│фабрики-кухни │более 10000│0,30 │0,60 │
├───────────────────────┼───────────┼─────────────┼──────────────┤
│Лаборатории │до 5000 │0,37 │1,00 │
│ │до 10000 │0,35 │0,95 │
│ │более 10000│0,33 │0,90 │
├───────────────────────┼───────────┼─────────────┼──────────────┤
│Пожарные депо │до 2000 │0,48 │0,14 │
│ │до 5000 │0,46 │0,09 │
│ │более 5000 │0,45 │0,09 │
├───────────────────────┼───────────┼─────────────┼──────────────┤
│Гаражи │до 2000 │0,70 │- │
│ │до 3000 │0,60 │- │
│ │до 5000 │0,55 │0,70 │
│ │более 5000 │0,50 │0,65 │
└───────────────────────┴───────────┴─────────────┴──────────────┘
Значение V, м3, следует принимать по информации типового или индивидуального проектов здания или бюро технической инвентаризации (БТИ).
Если здание имеет чердачное перекрытие, значение V, м3, определяется как произведение площади горизонтального сечения здания на уровне его 1 этажа (над цокольным этажом) на свободную высоту здания - от уровня чистого пола 1 этажа до верхней плоскости теплоизоляционного слоя чердачного перекрытия, при крышах, совмещенных с чердачными перекрытиями, - до средней отметки верха крыши. Выступающие за поверхности стен архитектурные детали и ниши в стенах здания, а также неотапливаемые лоджии при определении расчетной часовой тепловой нагрузки отопления не учитываются.
При наличии в здании отапливаемого подвала к полученному объему отапливаемого здания необходимо добавить 40% объема этого подвала. Строительный объем подземной части здания (подвал, цокольный этаж) определяется как произведение площади горизонтального сечения здания на уровне его I этажа на высоту подвала (цокольного этажа).
Расчетный коэффициент инфильтрации

определяется по формуле:

, (3.3)
где:

- ускорение свободного падения, м/с2;
L - свободная высота здания, м;

- расчетная для данной местности скорость ветра в отопительный период, м/с; принимается по
СНиП 23-01-99 [1].
Вводить в расчет расчетной часовой тепловой нагрузки отопления здания так называемую поправку на воздействие ветра не требуется, т.к. эта величина уже учтена в
формуле (3.3).
В местностях, где расчетное значение температуры наружного воздуха для проектирования отопления

°С, для зданий с неотапливаемыми подвалами следует учитывать добавочные тепловые потери через необогреваемые полы первого этажа в размере 5%
[11].
Для зданий, законченных строительством, расчетную часовую тепловую нагрузку отопления следует увеличивать на первый отопительный период для каменных зданий, построенных:
- в мае-июне - на 12%;
- в июле-августе - на 20%;
- в сентябре - на 25%;
- в отопительном периоде - на 30%.
1.3. Удельную отопительную характеристику здания

, ккал/м3 ч °С, при отсутствии в
табл. 3 и
4 соответствующего его строительному объему значения

, можно определить по формуле:

, (3.4)
где: а = 1,6 ккал/м2,83 ч °С); n = 6 - для зданий строительства до 1958 г.;
а = 1,3 ккал/м2,875 ч °С); n = 8 - для зданий строительства после 1958 г.
1.4. В случае, если часть жилого здания занята общественным учреждением (контора, магазин, аптека, приемный пункт прачечной и т.д.), расчетная часовая тепловая нагрузка отопления должна быть определена по проекту. Если расчетная часовая тепловая нагрузка в проекте указана только в целом по зданию или определена по укрупненным показателям, тепловую нагрузку отдельных помещений можно определить по площади поверхности теплообмена установленных нагревательных приборов, используя общее уравнение, описывающее их теплоотдачу:

, (3.5)
где:
k - коэффициент теплопередачи нагревательного прибора, ккал/м2 ч °С);
F - площадь поверхности теплообмена нагревательного прибора, м2;

- температурный напор нагревательного прибора, °С, определяемый как разность средней температуры нагревательного прибора конвективно-излучающего действия и температуры воздуха в отапливаемом здании.
Методика определения расчетной часовой тепловой нагрузки отопления по поверхности установленных нагревательных приборов систем отопления приведена в
[10].
1.5. При подключении полотенцесушителей к системе отопления расчетную часовую тепловую нагрузку этих отопительных приборов можно определить как теплоотдачу неизолированных труб в помещении с расчетной температурой воздуха

= 25 °С по методике, приведенной в [10].
1.6. При отсутствии проектных данных и определении расчетной часовой тепловой нагрузки отопления производственных, общественных, сельскохозяйственных и других нетиповых зданий (гаражей, подземных отапливаемых переходов, бассейнов, магазинов, киосков, аптек и т.д.) по укрупненным показателям уточнение значений этой нагрузки следует производить по площади поверхности теплообмена установленных нагревательных приборов систем отопления в соответствии с методикой, приведенной в
[10]. Исходная информация для расчетов выявляется представителем теплоснабжающей организации в присутствии представителя абонента с составлением соответствующего акта.
1.7. Расход тепловой энергии на технологические нужды теплиц и оранжерей, Гкал/ч, определяется из выражения:

, (3.6)
где:

- расход тепловой энергии на i-е технологические операции, Гкал/ч;
n - количество технологических операций.
В свою очередь:

, (3.7)
где:

и

- тепловые потери через ограждающие конструкции и при воздухообмене, Гкал/ч;

- расход тепловой энергии на нагрев поливочной воды и пропарку почвы, Гкал/ч;
1,05 - коэффициент, учитывающий расход тепловой энергии на отопление бытовых помещений.
1.7.1. Потери теплоты через ограждающие конструкции, Гкал/ч, можно определить по формуле:

, (3.8)
где:
F - площадь поверхности ограждающей конструкции, м2;
K - коэффициент теплопередачи ограждающей конструкции, ккал/м2 ч °С); для одинарного остекления можно принимать K = 5,5, однослойного пленочного ограждения K = 7,0 ккал/м2 ч °С);

и

- технологическая температура в помещении и расчетная наружного воздуха для проектирования соответствующего сельскохозяйственного объекта, °С.
1.7.2. Тепловые потери при воздухообмене для оранжерей со стеклянными покрытиями, Гкал/ч, определяются по формуле:

, (3.9)
где:

- инвентарная площадь оранжереи, м2;
S - коэффициент объема, представляющий собой соотношение объема оранжереи и ее инвентарной площади, м; может быть принят в пределах от 0,24 до 0,5 для малых оранжерей и 3 и более м - для ангарных.
Тепловые потери при воздухообмене для оранжерей с пленочным покрытием, Гкал/ч, определяются по формуле:

. (3.9а)
1.7.3. Расход тепловой энергии на нагрев поливочной воды, Гкал/ч, определяется из выражения:

, (3.10)
где:

- полезная площадь оранжереи, м2;
n - продолжительность полива, ч.
1.7.4. Расход тепловой энергии на пропарку почвы, Гкал/ч, определяется из выражения:

. (3.11)
2. Приточная вентиляция
2.1. При наличии типового или индивидуального проектов здания и соответствии установленного оборудования системы приточной вентиляции проекту расчетную часовую тепловую нагрузку вентиляции можно принять по проекту с учетом различия значений расчетной температуры наружного воздуха для проектирования вентиляции, принятого в проекте, и действующим нормативным значениям для местности, где расположено рассматриваемое здание.

, (3.1а)
где:

- расчетная часовая нагрузка приточной вентиляции, Гкал/ч;

- то же, по проекту, Гкал/ч;

- расчетная температура наружного воздуха, при которой определена тепловая нагрузка приточной вентиляции в проекте, °С;

- расчетная температура наружного воздуха для проектирования приточной вентиляции в местности, где расположено здание, °С; принимается по указаниям
СНиП 23-01-99 [1].
2.2. При отсутствии проектов или несоответствии установленного оборудования проекту расчетная часовая тепловая нагрузка приточной вентиляции должна быть определена по характеристикам оборудования, установленного в действительности, в соответствии с общей формулой, описывающей теплоотдачу калориферных установок:

, (3.12)
где:
L - объемный расход нагреваемого воздуха, м3/ч;

- плотность нагреваемого воздуха, кг/м3;
с - теплоемкость нагреваемого воздуха, ккал/кг;

и

- расчетные значения температуры воздуха на входе и выходе калориферной установки, °С.
Методика определения расчетной часовой тепловой нагрузки приточных калориферных установок изложена в
[10].
Допустимо определять расчетную часовую тепловую нагрузку приточной вентиляции общественных зданий по укрупненным показателям согласно формуле:

, (3.2а)
где

- удельная тепловая вентиляционная характеристика здания, зависящая от назначения и строительного объема вентилируемого здания, ккал/м3 ч °С); можно принимать по
таблице 4.
3. Горячее водоснабжение
3.1. Средняя часовая тепловая нагрузка горячего водоснабжения потребителя тепловой энергии

, Гкал/ч, в отопительный период определяется по формуле:

, (3.13)
где:
а - норма затрат воды на горячее водоснабжение абонента, л/ед. измерения в сутки; должна быть утверждена местным органом самоуправления; при отсутствии утвержденных норм принимается по
таблице приложения 3 (обязательного) СНиП 2.04.01-85
[3];
N - количество единиц измерения, отнесенное к суткам, - количество жителей, учащихся в учебных заведениях и т.д.;

- температура водопроводной воды в отопительный период, °С; при отсутствии достоверной информации принимается

= 5 °С;
Т - продолжительность функционирования системы горячего водоснабжения абонента в сутки, ч;

- тепловые потери в местной системе горячего водоснабжения, в подающем и циркуляционном трубопроводах наружной сети горячего водоснабжения, Гкал/ч.
3.2. Среднюю часовую тепловую нагрузку горячего водоснабжения в неотопительный период, Гкал, можно определить из выражения:

, (3.13а)
где:

- средняя часовая тепловая нагрузка горячего водоснабжения в отопительный период, Гкал/ч;

- коэффициент, учитывающий снижение средней часовой нагрузки горячего водоснабжения в неотопительный период по сравнению с нагрузкой в отопительный период; если значение

не утверждено органом местного самоуправления,

принимается равным 0,8 для жилищно-коммунального сектора городов средней полосы России, 1,2 - 1,5 - для курортных, южных городов и населенных пунктов, для предприятий - 1,0;

,

- температура горячей воды в неотопительный и отопительный период, °С;

,

- температура водопроводной воды в неотопительный и отопительный период, °С; при отсутствии достоверных сведений принимается

= 15 °С,

= 5 °С.
3.3. Тепловые потери трубопроводами системы горячего водоснабжения могут быть определены по формуле:

, (3.14)
где:

- коэффициент теплопередачи участка неизолированного трубопровода, ккал/м2 ч °С); можно принимать

= 10 ккал/м2 ч °С);

и

- диаметр трубопровода на участке и его длина, м;

и

- температура горячей воды в начале и конце расчетного участка трубопровода, °С;

- температура окружающей среды, °С; принимать по виду прокладки трубопроводов:
- в бороздах, вертикальных каналах, коммуникационных шахтах сантехкабин

= 23 °С;
- в ванных комнатах

= 25 °С;
- в кухнях и туалетах

= 21 °С;
- на лестничных клетках

= 16 °С;
- в каналах подземной прокладки наружной сети горячего водоснабжения

=

;
- в тоннелях

= 40 °С;
- в неотапливаемых подвалах

= 5 °С;
- на чердаках

= -9 °С (при средней температуре наружного воздуха самого холодного месяца отопительного периода

= -11...-20 °С);

- коэффициент полезного действия тепловой изоляции трубопроводов; принимается для трубопроводов диаметром до 32 мм

= 0,6; 40 - 70 мм

= 0,74; 80 - 200 мм

= 0,81.
Таблица 5
Удельные тепловые потери трубопроводов систем горячего
водоснабжения (по месту и способу прокладки)
┌──────────────────────┬─────────────────────────────────────────┐
│ Место и способ │ Тепловые потери трубопровода, ккал/ч м, │
│ прокладки │ при условном диаметре, мм │
│ ├─────┬─────┬─────┬─────┬─────┬─────┬─────┤
│ │ 15 │ 20 │ 25 │ 32 │ 40 │ 50 │ 70 │
├──────────────────────┼─────┼─────┼─────┼─────┼─────┼─────┼─────┤
│ 1 │ 2 │ 3 │ 4 │ 5 │ 6 │ 7 │ 8 │
├──────────────────────┼─────┼─────┼─────┼─────┼─────┼─────┼─────┤
│Главный подающий стояк│- │- │- │- │17,0 │19,1 │23,4 │
│в штрабе или коммуни- │ │ │ │ │---- │---- │---- │
│кационной шахте, │ │ │ │ │21,8 │24,5 │30,0 │
│изолирован │ │ │ │ │ │ │ │
├──────────────────────┼─────┼─────┼─────┼─────┼─────┼─────┼─────┤
│Стояк без полотенце- │9,70 │10,8 │11,9 │13,5 │- │- │- │
│сушителей, изолирован-│---- │---- │---- │---- │ │ │ │
│ный, в шахте сантех- │12,8 │14,2 │15,7 │17,8 │ │ │ │
│кабины, борозде или │ │ │ │ │ │ │ │
│коммуникационной шахте│ │ │ │ │ │ │ │
├──────────────────────┼─────┼─────┼─────┼─────┼─────┼─────┼─────┤
│То же, с полотенце- │- │17,8 │20,7 │25,3 │- │- │- │
│сушителями │ │---- │---- │---- │ │ │ │
│ │ │23,4 │27,3 │33,3 │ │ │ │
├──────────────────────┼─────┼─────┼─────┼─────┼─────┼─────┼─────┤
│Стояк неизолированный │20,7 │25,5 │30,2 │37,8 │- │- │- │
│в шахте сантехкабины, │---- │---- │---- │---- │ │ │ │
│борозде или коммуника-│27,3 │35,6 │39,8 │49,8 │ │ │ │
│ционной шахте или от- │ │ │ │ │ │ │ │
│крыто в ванной, кухне │ │ │ │ │ │ │ │
├──────────────────────┼─────┼─────┼─────┼─────┼─────┼─────┼─────┤
│Распределительные │ │ │ │ │ │ │ │
│изолированные трубо- │ │ │ │ │ │ │ │
│проводы (подающие): │ │ │ │ │ │ │ │
│в подвале, на │13,5 │15,0 │16,5 │18,8 │20,8 │23,4 │26,8 │
│лестничной клетке │---- │---- │---- │---- │---- │---- │---- │
│ │16,6 │13,4 │20,3 │23,1 │25,6 │26,8 │36,2 │
│на холодном чердаке │16,6 │18,5 │20,3 │23,2 │25,6 │28,8 │35,2 │
│ │---- │---- │---- │---- │---- │---- │---- │
│ │19,7 │21,9 │24,1 │27,5 │30,4 │34,2 │41,8 │
│на теплом чердаке │11,6 │13,0 │14,3 │16,3 │17,9 │20,2 │24,6 │
│ │---- │---- │---- │---- │---- │---- │---- │
│ │14,7 │16,5 │18,1 │20,6 │22,7 │25,6 │31,2 │
├──────────────────────┼─────┼─────┼─────┼─────┼─────┼─────┼─────┤
│Циркуляционные трубо- │ │ │ │ │ │ │ │
│проводы изолированные:│ │ │ │ │ │ │ │
│в подвале │10,9 │12,1 │13,3 │15,1 │16,7 │18,8 │23,0 │
│ │---- │---- │---- │---- │---- │---- │---- │
│ │14,0 │15,6 │17,1 │19,4 │21,5 │24,2 │29,6 │
│на теплом чердаке │9,0 │10,0 │11,0 │12,6 │13,8 │15,6 │19,1 │
│ │---- │---- │---- │---- │---- │---- │---- │
│ │12,0 │13,4 │14,8 │16,9 │18,6 │21,0 │25,7 │
│на холодном чердаке │14,0 │15,6 │17,1 │19,4 │21,5 │24,2 │29,6 │
│ │---- │---- │---- │---- │---- │---- │---- │
│ │17,1 │19,1 │20,9 │23,7 │23,7 │29,6 │36,2 │
├──────────────────────┼─────┼─────┼─────┼─────┼─────┼─────┼─────┤
│Циркуляционные трубо- │ │ │ │ │ │ │ │
│проводы неизолирован- │ │ │ │ │ │ │ │
│ные: │ │ │ │ │ │ │ │
│в квартирах │20,0 │24,6 │29,2 │36,6 │43,0 │52,0 │72,0 │
│ │---- │---- │---- │---- │---- │---- │---- │
│ │26,9 │33,1 │39,3 │49,2 │57,8 │69,9 │96,8 │
│на лестничной клетке │23,5 │28,9 │34,2 │42,8 │50,3 │60,8 │84,5 │
│ │---- │---- │---- │---- │---- │---- │-----│
│ │30,4 │37,4 │44,2 │55,4 │65,1 │78,7 │109,4│
├──────────────────────┼─────┼─────┼─────┼─────┼─────┼─────┼─────┤
│Циркуляционные стояки │ │ │ │ │ │ │ │
│в штрабе сантехничес- │ │ │ │ │ │ │ │
│кой кабины или ванной:│ │ │ │ │ │ │ │
│изолированные │ │9,4 │10,3 │11,7 │12,9 │14,6 │17,8 │
│ │ │---- │---- │---- │---- │---- │---- │
│ │ │12,9 │14,1 │16,0 │17,7 │20,0 │24,4 │
│неизолированные │ │23,0 │27,1 │34,0 │40,0 │48,3 │67,2 │
│ │ │---- │---- │---- │---- │---- │---- │
│ │ │31,5 │31,5 │46,6 │54,8 │66,2 │92,1 │
└──────────────────────┴─────┴─────┴─────┴─────┴─────┴─────┴─────┘
Примечание. В числителе - удельные тепловые потери трубопроводов систем горячего водоснабжения без непосредственного водоразбора в системах теплоснабжения, в знаменателе - с непосредственным водоразбором.
Таблица 6
Удельные тепловые потери трубопроводов систем горячего
водоснабжения (по перепаду температуры)
Перепад темпера- туры, °С | Тепловые потери трубопровода, ккал/ч м, при условном диаметре, мм |
15 | 20 | 25 | 32 | 40 | 50 | 70 | 80 | 100 | 125 | 150 | 200 |
1 | 2 | 3 | 4 | 5 | 6 | 7 | 8 | 9 | 10 | 11 | 12 | 13 |
30 | 22,0 | 28,0 | 35,0 | 44,0 | 48,0 | 54,0 | 68,0 | 80,0 | 97,0 | 119,0 | 143,0 | 173,0 |
32 | 23,0 | 30,0 | 37,0 | 47,0 | 50,0 | 58,0 | 73,0 | 85,0 | 103,0 | 127,0 | 152,0 | 185,0 |
34 | 25,0 | 32,0 | 39,0 | 50,0 | 53,0 | 61,0 | 77,0 | 91,0 | 110,0 | 135,0 | 162,0 | 196,0 |
36 | 26,0 | 33,0 | 42,0 | 53,0 | 56,0 | 65,0 | 82,0 | 95,0 | 116,0 | 143,0 | 171,0 | 208,0 |
38 | 28,0 | 35,0 | 44,0 | 56,0 | 60,0 | 68,0 | 86,0 | 102,0 | 123,0 | 151,0 | 181,0 | 219,0 |
40 | 29,0 | 37,0 | 46,0 | 59,0 | 63,0 | 72,0 | 91,0 | 107,0 | 129,0 | 159,0 | 190,0 | 231,0 |
42 | 31,0 | 39,0 | 49,0 | 63,0 | 67,0 | 76,0 | 97,0 | 114,0 | 137,0 | 169,0 | 202,0 | 242,0 |
44 | 33,0 | 42,0 | 52,0 | 66,0 | 71,0 | 81,0 | 103,0 | 121,0 | 145,0 | 179,0 | 214,0 | 254,0 |
46 | 34,0 | 44,0 | 54,0 | 70,0 | 75,0 | 85,0 | 108,0 | 127,0 | 154,0 | 189,0 | 226,0 | 265,0 |
48 | 36,0 | 46,0 | 57,0 | 73,0 | 79,0 | 90,0 | 114,0 | 134,0 | 162,0 | 199,0 | 238,0 | 277,0 |
50 | 38,0 | 48,0 | 60,0 | 77,0 | 83,0 | 94,0 | 120,0 | 140,0 | 170,0 | 209,0 | 250,0 | 288,0 |
52 | 40,0 | 51,0 | 63,0 | 81,0 | 87,0 | 99,0 | 126,0 | 147,0 | 179,0 | 220,0 | 263,0 | 300,0 |
54 | 42,0 | 53,0 | 66,0 | 85,0 | 91,0 | 104,0 | 132,0 | 155,0 | 188,0 | 230,0 | 276,0 | 312,0 |
56 | 44,0 | 56,0 | 70,0 | 88,0 | 95,0 | 108,0 | 139,0 | 162,0 | 197,0 | 241,0 | 289,0 | 323,0 |
58 | 46,0 | 58,0 | 73,0 | 92,0 | 99,0 | 113,0 | 145,0 | 170,0 | 206,0 | 252,0 | 302,0 | 335,0 |
60 | 48,0 | 61,0 | 76,0 | 96,0 | 104,0 | 113,0 | 151,0 | 177,0 | 215,0 | 263,0 | 315,0 | 347,0 |
Примечание. При перепаде температуры горячей воды, отличном от приведенных его значений, удельные тепловые потери следует определять интерполяцией.
3.4. При отсутствии исходной информации, необходимой для расчета тепловых потерь трубопроводами горячего водоснабжения, тепловые потери, Гкал/ч, можно определять, применяя специальный коэффициент

, учитывающий тепловые потери этих трубопроводов, по выражению:

. (3.15)
Тепловой поток на горячее водоснабжение с учетом тепловых потерь можно определить из выражения:

. (3.16)
Для определения значений коэффициента

можно пользоваться таблицей 7.
Таблица 7
Коэффициент, учитывающий тепловые потери трубопроводами
систем горячего водоснабжения
Система горячего водоснабжения | Коэффициент, учитывающий тепловые потери трубопроводами систем горячего водоснабжения |
с наружной сетью го- рячего водоснабжения | без наружной сети го- рячего водоснабжения |
с изолированными стояками |
с полотенцесушителями | 0,25 | 0,2 |
без полотенцесушителей | 0,15 | 0,1 |
с неизолированными стояками |
с полотенцесушителями | 0,35 | 0,3 |
без полотенцесушителей | 0,25 | 0,2 |
РАСЧЕТНЫЕ ВЕСОВЫЕ НАГРУЗКИ (РАСХОД ТЕПЛОНОСИТЕЛЯ)
4. Отопление
4.1. Расчетный расход теплоносителя (сетевой воды), т/ч, определяется по формуле:

, (3.17)
где:

- расчетный удельный расход теплоносителя на отопление, т/Гкал;

- расчетный тепловой поток на отопление, Гкал/ч.
В свою очередь, расчетный удельный расход теплоносителя на отопление определяется в зависимости от расчетного перепада (разности) температуры в подающем и обратном трубопроводах тепловой сети на тепловом пункте потребителя тепловой энергии по формуле:

, (3.18)
где

и

- значения температуры теплоносителя в подающем и обратном трубопроводах тепловой сети при расчетной температуре наружного воздуха для проектирования отопления, °С.
4.2. Значения расчетного удельного расхода теплоносителя на отопление при подсоединении системы отопления к трубопроводам тепловой сети по зависимой схеме можно принимать по таблице:
┌───────────┬─────────┬──────────┬──────────┬──────────┬──────────┐
│Расчетная │95 - 70 =│105 - 70 =│120 - 70 =│130 - 70 =│150 - 70 =│
│разность │25 │35 │50 │60 │80 │
│температуры│ │ │ │ │ │
│теплоноси- │ │ │ │ │ │
│теля, °С, │ │ │ │ │ │
│t - t =│ │ │ │ │ │
│ 1p 2р │ │ │ │ │ │
│Дельта t │ │ │ │ │ │
│ р │ │ │ │ │ │
├───────────┼─────────┼──────────┼──────────┼──────────┼──────────┤
│Удельный │40,0 │28,57 │20,0 │16,67 │12,5 │
│расход теп-│(9,55) │(6,82) │(4,78) │(3,98) │(2,99) │
│лоносителя,│ │ │ │ │ │
│т/Гкал, │ │ │ │ │ │
│g │ │ │ │ │ │
│ от.р │ │ │ │ │ │
└───────────┴─────────┴──────────┴──────────┴──────────┴──────────┘
4.3. При подсоединении систем отопления к тепловой сети по независимой схеме (при помощи теплообменника) расчетную температуру теплоносителя в обратном трубопроводе теплообменника (I контур) следует принимать на 5 - 10 °С выше расчетной температуры теплоносителя в обратном трубопроводе отопительных систем, присоединенных к тепловой сети по зависимой схеме, т.е. в этих случаях расчетный удельный расход теплоносителя соответственно увеличится: при расчетной разности

= 150 - 80 = 70 °С;

= 14,29 т/Гкал.
5. Приточная вентиляция
5.1. Расчетный расход теплоносителя на приточную вентиляцию можно с достаточной точностью определять по формуле:

, (3.18а)
где:

- расчетная тепловая нагрузка приточной вентиляции, Гкал/ч;

и

- значения температуры теплоносителя в подающем и обратном трубопроводах тепловой сети по температурному графику регулирования тепловой нагрузки, принятому в системе теплоснабжения, при расчетной температуре наружного воздуха для проектирования вентиляции, °С.
6. Горячее водоснабжение
6.1. Системы теплопотребления с непосредственным водоразбором на горячее водоснабжение.
6.1.1. Расчетный расход теплоносителя (сетевой воды) на горячее водоснабжение, т/ч, для отопительного периода определяется по формуле:

, (3.18б)
где:

и

- температура горячей воды, поступающей на горячее водоснабжение, и холодной, °С; значение

принимается равным 60 °С, значение

принимается для отопительного периода 5 °С, для неотопительного - равным 15 °С (при отсутствии достоверных сведений).
6.1.2. Расчетный расход теплоносителя на горячее водоснабжение, т/ч, для неотопительного периода определяется по
формуле (3.18б) с введением коэффициента
(п. 3.2).
6.2. Системы теплопотребления без непосредственного водоразбора на горячее водоснабжение
6.2.1. Параллельная схема подключения теплообменников горячего водоснабжения.
Расчетный расход теплоносителя (сетевой воды) на горячее водоснабжение, т/ч, для отопительного периода определяется по формуле:

, (3.19)
где

и

- температура теплоносителя в подающем трубопроводе тепловой сети и в обратном трубопроводе теплообменника в точке излома температурного графика регулирования тепловой нагрузки, °С; при отсутствии проекта допускается принимать

равной 30 °С.
6.2.2. Двухступенчатая схема подключения теплообменников горячего водоснабжения.
Расчетный расход теплоносителя на горячее водоснабжение, т/ч, для отопительного периода определяется по формуле:

, (3.20)
где:

- температура теплоносителя в обратном трубопроводе системы отопления в точке излома температурного графика регулирования тепловой нагрузки, °С;

- недогрев водопроводной воды в I ступени водонагревательной установки до температуры теплоносителя в обратном трубопроводе системы отопления в точке излома температурного графика регулирования тепловой нагрузки, °С; можно принимать

= 10 °C - для полностью автоматизированного теплового пункта и

= 5 °С - для тепловых пунктов без регуляторов постоянства расхода теплоносителя на отопление.
РАСЧЕТА УДЕЛЬНЫХ ЧАСОВЫХ ТЕПЛОВЫХ ПОТЕРЬ ДЛЯ СРЕДНЕГОДОВЫХ
УСЛОВИЙ ФУНКЦИОНИРОВАНИЯ ТЕПЛОВЫХ СЕТЕЙ
1. Подземная прокладка в непроходных каналах
1.1. Средние за год значения удельных часовых тепловых потерь подающими и обратными трубопроводами, проложенными в непроходном канале, ккал/ч м, определяются по формуле:

, (4.1)
где:

и

- среднегодовая температура воздуха в канале и грунта, °С;

и

- термическое сопротивление теплоотдаче поверхности изоляционной конструкции трубопровода воздуху в канале и грунта, м °С ч/ккал.
1.2. Температура воздуха в канале, °С, определяется по формуле:

, (4.2)
где:

и

- температура теплоносителя в подающем и обратном трубопроводах тепловой сети, среднегодовая, °С;

,

- термическое сопротивление изоляционной конструкции подающего и обратного трубопроводов, м °С ч/ккал;

,

- термическое сопротивление теплоотдаче поверхности изоляционной конструкции подающего и обратного трубопроводов воздуху в канале, м °С ч/ккал.
1.3. Термическое сопротивление грунта, м °С ч/ккал, определяется по формуле:

, (4.3)
где:
Н - глубина заложения оси трубопроводов, м;

- коэффициент теплопроводности грунта, ккал/м °С ч; значения

приведены в
таблице 4.3.
1.4. Термическое сопротивление теплоотдаче от воздуха в канале к грунту, в котором проложен канал, м °С ч/ккал, определяется по формуле:

, (4.4)
где:

- коэффициент теплопередачи от воздуха в канале к грунту, ккал/м2 ч °С;

- эквивалентный диаметр сечения канала в свету, м.
Эквивалентный диаметр сечения канала в свету, м, определяется из выражения:

, (4.5)
где b и h - ширина и высота канала, м.
1.5. Термическое сопротивление теплоотдаче поверхности изоляционной конструкции трубопровода воздуху в канале, м °С ч/ккал, определяется по формуле:

, (4.6)
где:

- коэффициент теплоотдачи поверхности изоляционной конструкции трубопровода воздуху в канале, ккал/м2 ч °С;

- наружный диаметр трубопровода, м;

- толщина изоляционной конструкции трубопровода, м.
Значения

определяются как для подающего, так и для обратного трубопроводов (

и

).
1.6. Термическое сопротивление изоляционной конструкции трубопровода, м °С ч/ккал, определяется по формуле:

, (4.7)
где

- коэффициент теплопроводности изоляционной конструкции трубопровода, ккал/м °С ч; значения

приведены в
таблице 4.1. Поправки к значениям

приведены в таблице
4.2.
Значения

определяются для подающего и обратного трубопроводов (

и

).
2. Подземная бесканальная прокладка
2.1. Средние за год значения нормируемых удельных часовых тепловых потерь трубопроводами тепловой сети бесканальной прокладки, ккал/м ч, определяются по формуле:

, (4.8)
где

и

- среднегодовые значения удельных часовых тепловых потерь подающим и обратным трубопроводами тепловой сети бесканальной прокладки.
2.2. Значения

и

, ккал/м ч, определяются по формулам:

; (4.9)

, (4.10)
где:

и

- термическое сопротивление изоляционной конструкции подающего и обратного трубопроводов, м °С ч/ккал;

- термическое сопротивление, учитывающее взаимное влияние подающего и обратного трубопроводов, м °С ч/ккал.
Значение

, м °С ч/ккал, определяется по формуле:

, (4.11)
где s - расстояние между осями трубопроводов, м.
2.3. Термическое сопротивление грунта, м °С ч/ккал, определяется по формуле:

. (4.12)
3. Надземная прокладка
3.1. Средние за год удельные часовые тепловые потери каждого из трубопроводов, проложенных надземным способом, ккал/м ч, определяются по формуле:

. (4.13)
Для каждого из трубопроводов, проложенных надземным способом, по формуле 4.13 следует определять средние нормативные удельные часовые тепловые потери, исходя из проектных показателей изоляционной конструкции трубопровода и нормируемой температуры на поверхности изоляции, и средние фактические удельные толщины изоляции и температуры наружного воздуха раздельно за отопительный и межотопительный периоды, где:
t - средняя за соответствующий период температура теплоносителя в трубопроводе, °С.
Коэффициенты теплопроводности теплоизоляционных изделий приведены в таблице 4.1.
┌──────────────────────────────────┬─────────────────────────────┐
│ Теплоизоляционные изделия │Коэффициент теплопроводности │
│ │ лямбда , ккал/ч м °С │
│ │ из │
├──────────────────────────────────┼─────────────────────────────┤
│Асбестовый матрац, заполненный │0,0748 + 0,0001t │
│совелитом │ из │
├──────────────────────────────────┼─────────────────────────────┤
│То же, стекловолокном │0,0499 + 0,0002t │
│ │ из │
├──────────────────────────────────┼─────────────────────────────┤
│Асботкань, несколько слоев │0,1118 + 0,0002t │
│ │ из │
├──────────────────────────────────┼─────────────────────────────┤
│Асбестовый шнур │0,1032 + 0,00027t │
│ │ из │
├──────────────────────────────────┼─────────────────────────────┤
│То же, ШАОН │0,1118 + 0,0002t │
│ │ из │
├──────────────────────────────────┼─────────────────────────────┤
│Асбопухшнур │0,08 + 0,00017t │
│ │ из │
├──────────────────────────────────┼─────────────────────────────┤
│Асбовермикулитовые изделия марки │0,0697 + 0,0002t │
│250 │ из │
├──────────────────────────────────┼─────────────────────────────┤
│То же, марки 300 │0,0748 + 0,0002t │
│ │ из │
├──────────────────────────────────┼─────────────────────────────┤
│Битумоперлит │0,1032 + 0,0002t │
│ │ из │
├──────────────────────────────────┼─────────────────────────────┤
│Битумовермикулит │0,1118 + 0,0002t │
│ │ из │
├──────────────────────────────────┼─────────────────────────────┤
│Битумокерамзит │0,1118 + 0,0002t │
│ │ из │
├──────────────────────────────────┼─────────────────────────────┤
│Вулканитовые плиты марки 300 │0,06364 + 0,00013t │
│ │ из │
├──────────────────────────────────┼─────────────────────────────┤
│Диатомовые изделия марки 500 │0,09976 + 0,0002t │
│ │ из │
├──────────────────────────────────┼─────────────────────────────┤
│То же, марки 600 │0,1204 + 0,0002t │
│ │ из │
├──────────────────────────────────┼─────────────────────────────┤
│Известково-кремнеземистые изделия │0,05934 + 0,00013t │
│марки 200 │ из │
├──────────────────────────────────┼─────────────────────────────┤
│Маты минераловатные прошивные │0,0387 + 0,00017t │
│марки 100 │ из │
├──────────────────────────────────┼─────────────────────────────┤
│То же, марки 125 │0,04214 + 0,00017t │
│ │ из │
├──────────────────────────────────┼─────────────────────────────┤
│Маты и плиты из минеральной ваты │0,037 + 0,00019t │
│марки 75 │ из │
├──────────────────────────────────┼─────────────────────────────┤
│То же, стекловатные марки 50 │0,036 + 0,000241t │
│ │ из │
├──────────────────────────────────┼─────────────────────────────┤
│Маты и полосы из непрерывного │0,0344 + 0,00022t │
│стекловолокна │ из │
├──────────────────────────────────┼─────────────────────────────┤
│Пенобетонные изделия │0,0946 + 0,000t │
│ │ из │
├──────────────────────────────────┼─────────────────────────────┤
│Пенопласт ФРП-1 и резопен группы │0,037 + 0,00016t │
│100 │ из │
├──────────────────────────────────┼─────────────────────────────┤
│Пенополимербетон │0,06 │
├──────────────────────────────────┼─────────────────────────────┤
│Пенополиуретан │0,043 │
├──────────────────────────────────┼─────────────────────────────┤
│Перлитоцементные изделия марки 300│0,0654 + 0,00016t │
│ │ из │
├──────────────────────────────────┼─────────────────────────────┤
│То же, марки 350 │0,0697 + 0,00016t │
│ │ из │
├──────────────────────────────────┼─────────────────────────────┤
│Плиты минераловатные полужесткие │0,03784 + 0,00018t │
│марки 100 │ из │
├──────────────────────────────────┼─────────────────────────────┤
│То же, марки 125 │0,0404 + 0,00016t │
│ │ из │
├──────────────────────────────────┼─────────────────────────────┤
│Плиты и цилиндры минераловатные │0,0482 + 0,00016t │
│марки 250 │ из │
├──────────────────────────────────┼─────────────────────────────┤
│Плиты стекловатные полужесткие │0,03784 + 0,0002t │
│марки 75 │ из │
├──────────────────────────────────┼─────────────────────────────┤
│Полуцилиндры и цилиндры │0,04214 + 0,00017t │
│минераловатные марки 150 │ из │
├──────────────────────────────────┼─────────────────────────────┤
│То же, марки 200 │0,04472 + 0,00016t │
│ │ из │
├──────────────────────────────────┼─────────────────────────────┤
│Скорлупы минераловатные │0,05934 + 0,00016t │
│оштукатуренные │ из │
├──────────────────────────────────┼─────────────────────────────┤
│Совелитовые изделия марки 350 │0,06536 + 0,00016t │
│ │ из │
├──────────────────────────────────┼─────────────────────────────┤
│То же, марки 400 │0,0671 + 0,00016t │
│ │ из │
├──────────────────────────────────┼─────────────────────────────┤
│Фенольный поропласт ФЛ монолит │0,043 │
├──────────────────────────────────┼─────────────────────────────┤
│Шнур минераловатный марки 200 │0,04816 + 0,00016t │
│ │ из │
├──────────────────────────────────┼─────────────────────────────┤
│То же, марки 250 │0,0499 + 0,00016t │
│ │ из │
├──────────────────────────────────┼─────────────────────────────┤
│То же, марки 300 │0,05246 + 0,00016t │
│ │ из │
└──────────────────────────────────┴─────────────────────────────┘
Примечание. Коэффициент теплопроводности, ккал/ч м °С, определяется по формуле:

,
где:

- коэффициент теплопроводности материала, ккал/ч м °С;

и t - средняя температура теплоизоляционного слоя и теплоносителя, °С.
Таблица 4.2
Поправки к коэффициентам теплопроводности
теплоизоляционных материалов в зависимости от технического
состояния изоляционных конструкций
Техническое состояние изоляционной конструкции | Поправка |
Незначительные разрушения покровного и теплоизоляцион- ного слоев | 1,3 - 1,5 |
Частичное разрушение конструкции, уплотнение основного слоя на 30 - 50% | 1,7 - 2,1 |
Уплотнение изоляционного слоя сверху и обвисание его снизу | 1,6 - 1,8 |
Уплотнение основного слоя конструкции на 75% | 3,5 |
Периодическое затопление канала | 3 - 5 |
Незначительное увлажнение основного слоя конструкции (на 10 - 15%) | 1,4 - 1,6 |
Увлажнение основного слоя конструкции (на 20 - 30%) | 1,9 - 2,6 |
Значительное увлажнение основного слоя конструкции (на 40 - 60%) | 3 - 4,5 |
Таблица 4.3
Коэффициенты теплопроводности грунтов
в зависимости от увлажнения
Вид грунта | Коэффициент теплопроводности, ккал/ч м °С |
сухой | влажный | водонасыщенный |
Песок, супесь | 0,95 | 1,65 | 2,1 |
Глина, суглинок | 1,5 | 2,2 | 2,3 |
Гравий, щебень | 1,75 | 2,35 | 2,9 |
ПОПРАВКИ К НОРМИРУЕМЫМ ПОТЕРЯМ
ТЕПЛОВОЙ ЭНЕРГИИ ТРУБОПРОВОДАМИ ВОДЯНЫХ ТЕПЛОВЫХ СЕТЕЙ
ЧЕРЕЗ ИЗОЛЯЦИОННЫЕ КОНСТРУКЦИИ
Вид про- клад- ки | Соот- ноше- ние мате- риа- льной ха- рак- тери- стики | Среднегодовая поправка Дельта К <*> к эксплуатационным тепловым потерям и предельное значение поправочного коэффициента К <**> + Дельта К для различных соотношений среднечасовых эксплуатационных тепловых потерь и тепловых потерь, определенных по Нормам |
0,6 - 0,8 | 0,8 - 0,9 | 0,9 - 1,0 | 1,0 - 1,1 | 1,1 - 1,2 | 1,2 - 1,3 | 1,3 - 1,4 |
Дель- та К | К + Дель- та К | Дель- та К | К + Дель- та К | Дель- та К | К + Дель- та К | Дель- та К | К + Дель- та К | Дель- та К | К + Дель- та К | Дель- та К | К + Дель- та К | Дель- та К | К + Дель- та К |
Под- зем- ная | 0,9 | 0,08 | 1,0 | 0,06 | 1,1 | 0,04 | 1,1 | 0,02 | 1,15 | 0,01 | 1,2 | - | 1,2 | - | 1,2 |
Над- зем- ная | 0,1 | - | - | 0,16 | 1,3 | 0,14 | 1,4 | 0,12 | 1,5 | 0,11 | 1,6 | 0,1 | 1,7 | 0,08 | 1,7 |
Под- зем- ная | 0,8 | 0,1 | 1,0 | 0,07 | 1,1 | 0,05 | 1,2 | 0,03 | 1,2 | 0,02 | 1,25 | 0,01 | 1,3 | - | 1,3 |
Над- зем- ная | 0,2 | - | - | 0,15 | 1,3 | 0,13 | 1,3 | 0,12 | 1,4 | 0,1 | 1,5 | 0,1 | 1,6 | 0,07 | 1,7 |
Под- зем- ная | 0,6 | 0,12 | 1,0 | 0,1 | 1,1 | 0,08 | 1,2 | 0,05 | 1,25 | 0,03 | 1,3 | 0,02 | 1,35 | - | 1,35 |
Над- зем- ная | 0,4 | - | - | 0,12 | 1,2 | 0,11 | 1,3 | 0,1 | 1,4 | 0,08 | 1,4 | 0,05 | 1,5 | 0,04 | 1,6 |
Под- зем- ная | 0,4 | 0,14 | 1,1 | 0,12 | 1,2 | 0,1 | 1,3 | 0,08 | 1,3 | 0,06 | 1,35 | 0,04 | 1,4 | - | 1,4 |
Над- зем- ная | 0,6 | - | - | 0,1 | 1,15 | 0,08 | 1,2 | 0,06 | 1,3 | 0,05 | 1,3 | 0,03 | 1,4 | 0,02 | 1,5 |
Под- зем- ная | 0,3 | 0,15 | 1,1 | 0,13 | 1,2 | 0,11 | 1,3 | 0,09 | 1,3 | 0,08 | 1,4 | 0,05 | 1,4 | 0,04 | 1,4 |
Над- зем- ная | 0,7 | - | - | 0,09 | 1,15 | 0,07 | 1,2 | 0,05 | 1,3 | 0,03 | 1,3 | 0,02 | 1,4 | 0,01 | 1,4 |
Под- зем- ная | 0,2 | 0,16 | 1,2 | 0,14 | 1,2 | 0,12 | 1,4 | 0,11 | 1,4 | 0,09 | 1,4 | 0,06 | 1,4 | 0,05 | 1,4 |
Над- зем- ная | 0,8 | - | - | 0,08 | 1,15 | 0,05 | 1,2 | 0,03 | 1,3 | 0,02 | 1,3 | 0,01 | 1,4 | 0,01 | 1,4 |
------------------------------------
Удельные затраты электроэнергии на привод
тягодутьевых машин
┌────────┬─────────┬────────────┬─────────┬─────────┬────────────┐
│Тип │ Частота │ Удельные │Тип │ Частота │ Удельные │
│вентиля-│вращения,│затраты эл. │вентиля- │вращения,│затраты эл. │
│тора, │ -1 │энергии на │тора, │ -1 │ энергии на │
│дымососа│ мин │перемещение │дымососа │ мин │перемещение │
│ │ │воздуха или │ │ │воздуха или │
│ │ │ уходящих │ │ │ уходящих │
│ │ │ газов, │ │ │газов, │
│ │ │ 3 3│ │ │ 3 3│
│ │ │кВт ч/м 10 │ │ │кВт ч/м 10 │
├────────┼─────────┼────────────┼─────────┼─────────┼────────────┤
│ 1 │ 2 │ 3 │ 4 │ 5 │ 6 │
├────────┼─────────┼────────────┼─────────┼─────────┼────────────┤
│ВД 2,6 │1000 │0,75 │Ц9-57 N 4│1450 │0,50 │
├────────┼─────────┼────────────┼─────────┼─────────┼────────────┤
│ВД 6 │970 │0,45 │Ц9-57 N 5│1450 │0,83 │
│ ├─────────┼────────────┼─────────┼─────────┼────────────┤
│ │1450 │1,02 │Ц9-57 N 6│1450 │0,90 │
├────────┼─────────┼────────────┼─────────┼─────────┼────────────┤
│ВДВ │730 │0,44 │Ц14-46 │1450 │0,85 │
│ │ │ │N 4 │ │ │
│ ├─────────┼────────────┼─────────┼─────────┼────────────┤
│ │970 │0,78 │Ц14-46 │970 │0,47 │
│ │ │ │N 5 │ │ │
├────────┼─────────┼────────────┼─────────┼─────────┼────────────┤
│ВД 10 │485 │0,30 │ЭВР 4 │1450 │0,60 │
│ ├─────────┼────────────┼─────────┼─────────┼────────────┤
│ │730 │0,65 │ЭВР 6 │960 │0,61 │
│ ├─────────┼────────────┼─────────┼─────────┼────────────┤
│ │970 │1,24 │Д 3,5 │1500 │0,33 │
├────────┼─────────┼────────────┼─────────┼─────────┼────────────┤
│ВДН 8 │1000 │0,43 │Д 5,7 │1450 │0,57 │
│ ├─────────┼────────────┼─────────┼─────────┼────────────┤
│ │1500 │1,34 │Д 8 │730 │0,28 │
├────────┼─────────┼────────────┤ ├─────────┼────────────┤
│ВДН 9 │1000 │0,68 │ │970 │0,49 │
│ ├─────────┼────────────┼─────────┼─────────┼────────────┤
│ │1500 │2,20 │Д 10 │485 │0,19 │
├────────┼─────────┼────────────┤ ├─────────┼────────────┤
│ВДН 10 │1000 │0,49 │ │730 │0,51 │
│ ├─────────┼────────────┤ ├─────────┼────────────┤
│ │1500 │1,53 │ │970 │0,72 │
├────────┼─────────┼────────────┼─────────┼─────────┼────────────┤
│ВДН 11,2│1000 │1,23 │Д 12 │485 │0,28 │
│ ├─────────┼────────────┤ ├─────────┼────────────┤
│ │1500 │3,85 │ │730 │0,63 │
├────────┼─────────┼────────────┤ ├─────────┼────────────┤
│ВД 12 │485 │0,42 │ │970 │1,03 │
│ ├─────────┼────────────┼─────────┼─────────┼────────────┤
│ │730 │0,96 │Д 11,2 │1000 │0,32 │
│ ├─────────┼────────────┤ ├─────────┼────────────┤
│ │970 │1,70 │ │1500 │1,03 │
├────────┼─────────┼────────────┼─────────┼─────────┼────────────┤
│ВД 13,5 │485 │0,53 │Д 12,5 │1000 │0,39 │
│ ├─────────┼────────────┤ ├─────────┼────────────┤
│ │730 │1,16 │ │1500 │1,22 │
│ ├─────────┼────────────┼─────────┼─────────┼────────────┤
│ │970 │2,14 │Д 13,5 │485 │0,33 │
├────────┼─────────┼────────────┤ ├─────────┼────────────┤
│ВД 15,5 │585 │1,01 │ │730 │0,71 │
│ ├─────────┼────────────┤ ├─────────┼────────────┤
│ │730 │1,54 │ │970 │1,30 │
│ ├─────────┼────────────┼─────────┼─────────┼────────────┤
│ │970 │2,70 │Д 15,5 │585 │0,74 │
├────────┼─────────┼────────────┤ ├─────────┼────────────┤
│Ц13-50 │1450 │0,63 │ │730 │1,68 │
│N 4 │ │ │ │ │ │
└────────┴─────────┴────────────┴─────────┴─────────┴────────────┘
Максимальные значения удельной электрической мощности
районных котельных, кВт/(Гкал/ч)
Расчетная тепловая нагрузка, Гкал/ч | Максимальные значения удельной электрической мощности, кВт/(Гкал/ч), без учета мощности электродвигателей сетевых насосов |
закрытая система теплоснабжения | открытая система теплоснабжения |
каменный и бурый угли | мазут | газ | каменный и бурый угли | мазут | газ |
1 | 2 | 3 | 4 | 5 | 6 | 7 |
300 | - | 5,7 | 4,5 | - | 8,2 | 7,2 |
280 | - | 5,8 | 4,5 | - | 8,3 | 7,3 |
260 | - | 5,9 | 4,6 | - | 8,4 | 7,4 |
240 | - | 6,0 | 4,6 | - | 8,4 | 7,5 |
220 | - | 6,2 | 4,6 | - | 8,5 | 7,6 |
200 | - | 6,2 | 4,7 | - | 8,6 | 7,7 |
180 | - | 6,2 | 4,7 | - | 8,7 | 7,8 |
160 | - | 6,3 | 4,8 | - | 8,8 | 7,8 |
140 | - | 6,4 | 4,8 | - | 9,0 | 7,9 |
120 | - | 6,5 | 4,9 | - | 9,4 | 8,2 |
100 | 7,2 | 6,6 | 5,3 | 10,6 | 9,7 | 8,5 |
80 | 7,7 | 6,8 | 5,7 | 11,5 | 10,3 | 9,0 |
60 | 8,6 | 7,4 | 6,1 | 12,6 | 10,7 | 9,6 |
50 и менее | 9,3 | 7,7 | 6,4 | 13,5 | 11,0 | 10,0 |
Оборудование | Коэффициент спроса |
трансформаторы | 0,5 - 0,8 |
вентиляторы, дымососы | 0,95 |
питатели | 0,65 - 0,7 |
шнеки, механические топки, элеваторы | 0,75 - 0,8 |
вакуум-насосы | 0,7 - 0,9 |
насосы сетевые, питательные | 0,8 |
компрессоры | 0,5 - 0,8 |
кранбалки, тельферы, тали, лифты | 0,2 - 0,5 |
сварочные трансформаторы | 0,3 - 0,35 |
сантехнические вентиляторы | 0,65 - 0,75 |
насосы в тепловых пунктах | 0,8 |
конвейеры легкие (до 10 кВт) | 0,65 - 0,7 |
скреперные лебедки | 0,35 - 0,5 |
скиповые подъемники | 0,3 |
дробилки молотковые | 0,7 - 0,9 |
Примечание. Меньшие значения коэффициента спроса соответствуют большим значениям мощности электродвигателей.
ТЕОРЕТИЧЕСКИЕ УДЕЛЬНЫЕ ОБЪЕМ ВОЗДУХА ДЛЯ ПОЛНОГО СГОРАНИЯ
ТОПЛИВА И ОБЪЕМ ПРОДУКТОВ СГОРАНИЯ, нм3/кг
Характеристика и наименование топлива | Марка топ- лива | Низшая теплота сгорания, ккал/кг (ккал/нм3) | Теоретический объем, нм3/кг |
воздух | продукты сгорания |
1 | 2 | 3 | 4 | 5 |
ТВЕРДОЕ ТОПЛИВО (уголь) |
донецкий | Д | 4680 | 5,16 | 5,67 |
Г | 5260 | 5,83 | 6,28 |
А | 5390 | 6,04 | 6,32 |
кузнецкий | Д | 5450 | 6,02 | 6,58 |
Г | 6240 | 6,88 | 7,42 |
подмосковный | Б 2 | 2490 | 2,94 | 3,57 |
карагандинский | Д | 5090 | 5,60 | 6,02 |
львовско-волынский | Г | 5250 | 5,75 | 6,23 |
челябинский | Д | 5140 | 5,67 | 6,47 |
ЖИДКОЕ ТОПЛИВО (мазут) |
малосернистый | | 9620 | 10,62 | 11,48 |
сернистый | | 9490 | 10,45 | 11,28 |
высокосернистый | | 9260 | 10,00 | 10,99 |
ГАЗООБРАЗНОЕ ТОПЛИВО |
Ставрополь - Москва | | 8730 | 9,68 | 10,86 |
Ставрополь - Невинномысск - Грозный | | 8510 | 9,47 | 10,63 |
Шебелинка - Брянск - Москва | | 9045 | 9,98 | 11,19 |
СРЕДНИЕ ЗНАЧЕНИЯ КАЛОРИЙНЫХ ЭКВИВАЛЕНТОВ ДЛЯ ПЕРЕВОДА
НАТУРАЛЬНОГО ТОПЛИВА В УСЛОВНОЕ
N | Вид топлива | Калорийный коэффициент |
| Угли (без брикетов) | |
1 | Донецкий | 0,876 |
2 | Подмосковный | 0,335 |
3 | Кузнецкий | 0,867 |
4 | Воркутинский | 0,822 |
5 | Свердловский | 0,585 |
6 | Нерюнгринский | 0,987 |
7 | Канско-Ачинский | 0,516 |
8 | Карагандинский | 0,726 |
9 | Экибастузский | 0,628 |
10 | Силезский | 0,800 |
| Торф топливный - на 1 т | |
11 | - фрезерный (при условной влажности 40%) | 0,340 |
12 | - кусковой (при условной влажности 33%) | 0,41 |
13 | Торфяные брикеты (при условной влажности 16%) | 0,600 |
14 | Торфяные полубрикеты (при условной влажности 28%) | 0,450 |
15 | Дрова - на 1 плотный м3 | 0,266 |
16 | Газ природный (включая попутный - на 1 тыс. м3) | 1,150 |
17 | Мазут топочный - на 1 т | 1,370 |
18 | Мазут флотский - на 1 т | 1,430 |
19 | Древесные обрезки, стружка и опилки - на 1 т | 0,360 |
20 | Сучья, хвоя, щепа - на складской м3 | 0,050 |
(справочное)
ХАРАКТЕРИСТИКИ НЕКОТОРЫХ НАГРЕВАТЕЛЬНЫХ ПРИБОРОВ
А. Радиаторы отечественного производства
┌────────────────────────────────┬───────────────────────────────┐
│ Радиаторы стальные │ Радиаторы чугунные секционные │
├────────────┬────────┬──────────┼───────────┬────────┬──────────┤
│ тип │водяной │мощность, │ тип │водяной │мощность, │
│ │объем, л│ Вт │ │объем, л│ Вт │
├────────────┼────────┼──────────┼───────────┼────────┼──────────┤
│РС-500-3-10 │2,8 │750 │2к-60 │1,0 │120 │
│РС-500-3-16 │4,5 │1200 │Б3-140-300 │0,9 │140 │
│РС-500-3-24 │6,7 │1800 │МС-140 │1,45 │140 │
│РС-300-3-10 │1,8 │580 │ │ │ │
│РС-300-3-16 │2,9 │928 │ │ │ │
│РС-300-3-24 │4,2 │1392 │ │ │ │
└────────────┴────────┴──────────┴───────────┴────────┴──────────┘
Б. Радиаторы зарубежного производства
┌──────────────────────────────┬─────────────────────────────────┐
│ Радиаторы стальные трубчатые │ Радиаторы стальные панельные │
├──────┬─────────────┬─────────┼──────┬────────────────┬─────────┤
│ тип │водяной объем│мощность,│ тип │водяной объем, л│мощность,│
│ │ элемента, л │ Вт │ │ │ Вт │
├──────┴─────────────┴─────────┼──────┴────────────────┴─────────┤
│ Фирма "BRANDONI" │ Фирма "KERMI" │
├──────┬─────────────┬─────────┼──────┬────────────────┬─────────┤
│2060 │0,61 │74 │11 │1,62 │746 │
│3060 │0,89 │99 │ │1,89 │874 │
│4030 │0,71 │71 │12 │2,70 │775 │
│4035 │0,77 │77 │ │3,15 │903 │
│4060 │1,17 │127 │22 │2,52 │981 │
│ │ │ │ │2,88 │1119 │
│ │ │ │ │3,15 │1055 │
└──────┴─────────────┴─────────┴──────┴────────────────┴─────────┘
┌────────────────────────────────────────────────────────────────┐
│ Радиаторы алюминиевые │
├───────┬────────────┬───────────┬───────┬────────────┬──────────┤
│ тип │ водяной │ мощность, │ тип │ водяной │мощность, │
│ │ объем, л │ Вт │ │ объем, л │ Вт │
├───────┴────────────┴───────────┼───────┴────────────┴──────────┤
│ Фирма "VARIO СОМ" │ Фирма "SAHARA" │
├───────┬────────────┬───────────┼───────┬────────────┬──────────┤
│300 │0,19 │120 │350 │0,3 │152 │
│500 │0,27 │172 │500 │0,4 │201 │
│600 │0,31 │197 │ │ │ │
├───────┴────────────┴───────────┼───────┴────────────┴──────────┤
│ Фирма "ELEGANCE" │ Фирма "ERATO" │
├───────┬────────────┬───────────┼───────┬────────────┬──────────┤
│EL 300 │3,24 │1524 │Н 350 │1,17 │444 │
│EL 400 │3,96 │1896 │ │2,34 │888 │
│EL 500 │4,32 │1956 │ │3,12 │1184 │
│EL 600 │4,80 │2616 │ │3,90 │1480 │
│ │ │ │L 500 │1,72 │768 │
│ │ │ │ │2,58 │1152 │
│ │ │ │ │3,44 │1536 │
│ │ │ │ │4,30 │1920 │
└───────┴────────────┴───────────┴───────┴────────────┴──────────┘
┌───────────────────────────────┬────────────────────────────────┐
│ Радиаторы алюминиевые │ Радиаторы биметаллические │
├──────────┬─────────┬──────────┼─────────┬──────────┬───────────┤
│ тип │ водяной │мощность, │ тип │ водяной │ мощность, │
│ │объем, л │ Вт │ │ объем, л │ Вт │
├──────────┴─────────┴──────────┼─────────┴──────────┴───────────┤
│ Фирма "ROVALL" │ Фирма "BIMEX" │
├──────────┬─────────┬──────────┼─────────┬──────────┬───────────┤
│OPERA-500 │1,02 │760 │500 x 4 │0,48 │804 │
│ │2,03 │1520 │500 x 6 │0,48 │1206 │
│ │3,05 │2280 │500 x 8 │0,48 │1608 │
│ │4,06 │3040 │500 x 10 │0,48 │2010 │
│OPERA-350 │0,83 │600 │500 x 12 │0,48 │2412 │
│ │1,66 │1200 │500 х 14 │0,48 │2814 │
│ │2,48 │1800 │500 х 16 │0,48 │3216 │
│ │3,31 │2400 │ │ │ │
└──────────┴─────────┴──────────┴─────────┴──────────┴───────────┘
(справочное)
ОБЩИЕ СВЕДЕНИЯ О ЕДИНИЦАХ ИЗМЕРЕНИЯ ФИЗИЧЕСКИХ ВЕЛИЧИН,
ПРИМЕНЕННЫХ В МЕТОДИКЕ
Соотношения между единицами физических величин
в различных системах измерения
┌───────────────────────────────────────────────────────────────────────────────────┐
│ МОЩНОСТЬ │
├──────┬────────────┬────────────┬────────────┬───────────┬────────────┬────────────┤
│Едини-│ 1 кВт │ 1 МВт │ 1 ккал/ч │ 1 Гкал/ч │ │ │
│ца │ │ │ │ │ │ │
├──────┼────────────┼────────────┼────────────┼───────────┼────────────┼────────────┤
│ │ │ -3 │ │ -3│ │ │
│1 кВт │1 │10 │860 │0,86 x 10 │ │ │
├──────┼────────────┼────────────┼────────────┼───────────┼────────────┼────────────┤
│ │ 3 │ │ 3 │ │ │ │
│1 МВт │10 │1 │860 х 10 │0,86 │ │ │
├──────┼────────────┼────────────┼────────────┼───────────┼────────────┼────────────┤
│ │ -3│ -6│ │ -6 │ │ │
│1 │1,163 x 10 │1,163 x 10 │1 │10 │ │ │
│ккал/ч│ │ │ │ │ │ │
├──────┼────────────┼────────────┼────────────┼───────────┼────────────┼────────────┤
│ │ 3 │ │ 6 │ │ │ │
│1 │1,163 x 10 │1,163 │10 │1 │ │ │
│Гкал/ч│ │ │ │ │ │ │
├──────┴────────────┴────────────┴────────────┴───────────┴────────────┴────────────┤
│ ДАВЛЕНИЕ │
├──────┬────────────┬────────────┬────────────┬───────────┬────────────┬────────────┤
│Едини-│1 кгс/м2 │1 кгс/см2 │ 1 ат │ 1 Па │ 1 бар │ │
│ца │ │ │ │ │ │ │
├──────┼────────────┼────────────┼────────────┼───────────┼────────────┼────────────┤
│ │ │ -4 │ -4 │ │ -5 │ │
│1 кгс/│1 │10 │1,02 x 10 │9,81 │9,81 х 10 │ │
│м2 │ │ │ │ │ │ │
├──────┼────────────┼────────────┼────────────┼───────────┼────────────┼────────────┤
│ │ 4 │ │ │ │ │ │
│1 кгс/│10 │1 │1 │0,981 │0,968 │ │
│см2 │ │ │ │ │ │ │
├──────┼────────────┼────────────┼────────────┼───────────┼────────────┼────────────┤
│ │ 4 │ │ │ -5│ │ │
│1 ат │10 │1 │1 │1,01 х 10 │1,01 │ │
├──────┼────────────┼────────────┼────────────┼───────────┼────────────┼────────────┤
│ │ │ 4 │ -6 │ │ -5 │ │
│1 Па │0,802 │9,81 х 10 │9,87 х 10 │1 │10 │ │
├──────┼────────────┼────────────┼────────────┼───────────┼────────────┼────────────┤
│ │ 4 │ │ │ 5 │ │ │
│1 бар │1,02 x 10 │1,02 │0,987 │10 │1 │ │
├──────┴────────────┴────────────┴────────────┴───────────┴────────────┴────────────┤
│ КОЛИЧЕСТВО ТЕПЛОТЫ │
├──────┬────────────┬────────────┬────────────┬───────────┬────────────┬────────────┤
│Едини-│ 1 кал │ 1 ккал │ 1 Гкал │ 1 Дж │ 1 кДж │ 1 ГДж │
│ца │ │ │ │ │ │ │
├──────┼────────────┼────────────┼────────────┼───────────┼────────────┼────────────┤
│ │ │ 3 │ -9 │ │ -3│ -9│
│1 кал │1 │10 │10 │4,187 │4,187 x 10 │4,187 x 10 │
├──────┼────────────┼────────────┼────────────┼───────────┼────────────┼────────────┤
│ │ 3 │ │ -6 │ 3│ │ -6│
│1 ккал│10 │1 │10 │4,187 х 10 │4,187 │4,187 х 10 │
├──────┼────────────┼────────────┼────────────┼───────────┼────────────┼────────────┤
│ │ 9 │ 6 │ │ 9│ -6│ │
│1 Гкал│10 │10 │1 │4,187 х 10 │4,187 x 10 │4,187 │
├──────┼────────────┼────────────┼────────────┼───────────┼────────────┼────────────┤
│ │ │ -3│ -9│ │ -3 │ -9 │
│1 Дж │0,239 │0,239 x 10 │0,239 х 10 │1 │10 │10 │
├──────┼────────────┼────────────┼────────────┼───────────┼────────────┼────────────┤
│ │ -3│ │ -6│ 3 │ │ -6 │
│1 кДж │0,239 x 10 │0,239 │0,239 x 10 │10 │1 │10 │
├──────┼────────────┼────────────┼────────────┼───────────┼────────────┼────────────┤
│ │ -9│ -6│ │ 9 │ │ │
│1 ГДж │0,239 х 10 │0,239 x 10 │0,239 │10 │10 │1 │
└──────┴────────────┴────────────┴────────────┴───────────┴────────────┴────────────┘
ПРИМЕРЫ РАСЧЕТОВ
1. Рассчитать групповые нормы расхода топлива на выработку тепловой энергии по кварталам и на год для районной котельной, топливом для которой служат газ и мазут.
В районной котельной установлены 3 водогрейных котла ТВГМ-30 (N 1, N 2, N 3) и 2 паровых котла ДКВР-10-13 (N 4, N 5).
Показатели работы котлов в I - IV кварталах приведены в таблице 1.
Таблица 1
Показатели работы котлов
┌────────────┬───────────────────────────────────────────────────┐
│ Тип котла │ Нагрузка котла │
│ ├───────────────────────┬───────────────────────────┤
│ │ % │ Гкал/ч │
│ ├───────────────────────┴───────────────────────────┤
│ │ квартал │
│ ├────┬─────┬─────┬──────┬──────┬──────┬──────┬──────┤
│ │ I │ II │ III │ IV │ I │ II │ III │ IV │
├────────────┼────┼─────┼─────┼──────┼──────┼──────┼──────┼──────┤
│ 1 │ 2 │ 3 │ 4 │ 5 │ 6 │ 7 │ 8 │ 9 │
├────────────┴────┴─────┴─────┴──────┴──────┴──────┴──────┴──────┤
│ Топливо - газ │
├────────────┬────┬─────┬─────┬──────┬──────┬──────┬──────┬──────┤
│ТВГМ-30: │ │ │ │ │ │ │ │ │
│N 1 │70 │60 │- │60 │21 │15 │- │18 │
│N 2 │70 │60 │- │60 │21 │15 │- │18 │
│N 3 │70 │60 │- │60 │21 │15 │- │18 │
├────────────┼────┼─────┼─────┼──────┼──────┼──────┼──────┼──────┤
│ДКВР-10-13: │ │ │ │ │ │ │ │ │
│N 4 │70 │60 │50 │- │- │3,9 │3,3 │- │
│N 5 │70 │60 │50 │- │- │3,9 │3,3 │- │
├────────────┴────┴─────┴─────┴──────┴──────┴──────┴──────┴──────┤
│ Топливо - мазут │
├────────────┬────┬─────┬─────┬──────┬──────┬──────┬──────┬──────┤
│ТВГМ-30: │ │ │ │ │ │ │ │ │
│N 1 │- │- │- │- │- │- │- │- │
│N 2 │- │- │- │- │- │- │- │- │
│N 3 │- │- │- │- │- │- │- │- │
├────────────┼────┼─────┼─────┼──────┼──────┼──────┼──────┼──────┤
│ДКВР-10-13: │ │ │ │ │ │ │ │ │
│N 4 │80 │60 │- │70 │5,2 │3,9 │- │4,6 │
│N 5 │80 │60 │- │70 │5,2 │3,9 │- │4,6 │
└────────────┴────┴─────┴─────┴──────┴──────┴──────┴──────┴──────┘
Продолжение таблицы 1
┌───────────────────────────────┬────────────────────────────────┐
│ Время работы котла на данной │ Индивидуальная норма расхода │
│ нагрузке, ч │условного топлива, кг у.т./Гкал │
├───────────────────────────────┴────────────────────────────────┤
│ квартал │
├───────┬────────┬───────┬──────┬───────┬────────┬───────┬───────┤
│ I │ II │ III │ IV │ I │ II │ III │ IV │
├───────┼────────┼───────┼──────┼───────┼────────┼───────┼───────┤
│ 10 │ 11 │ 12 │ 13 │ 14 │ 15 │ 16 │ 17 │
├───────┴────────┴───────┴──────┴───────┴────────┴───────┴───────┤
│ Топливо - газ │
├───────┬────────┬───────┬──────┬───────┬────────┬───────┬───────┤
│2160 │720 │- │2208 │154,6 │153,9 │- │154,2 │
│2160 │720 │- │2208 │154,6 │153,9 │- │154,2 │
│2160 │720 │- │1488 │154,6 │153,9 │- │154,2 │
│- │1464 │720 │- │- │162,4 │162,4 │- │
│- │720 │1488 │- │- │162,4 │162,4 │- │
├───────┴────────┴───────┴──────┴───────┴────────┴───────┴───────┤
│ Топливо - мазут │
├───────┬────────┬───────┬──────┬───────┬────────┬───────┬───────┤
│- │- │- │- │- │- │- │- │
│- │- │- │- │- │- │- │- │
│- │- │- │- │- │- │- │- │
│2160 │- │- │744 │160,8 │160,6 │- │160,6 │
│2160 │- │- │1488 │160,8 │160,6 │- │160,6 │
└───────┴────────┴───────┴──────┴───────┴────────┴───────┴───────┘
Определяется групповая норма расхода топлива на производство тепловой энергии котельной в I квартале.
Водогрейные котлы ТВГМ-30 N 1, N 2, N 3 работали по 2160 ч на газе с нагрузкой 70% номинальной; котлы ДКВР-10-13 N 4 и 5 - также по 2160 ч на мазуте с нагрузкой 80%.
По нормативным характеристикам каждого котла с учетом фактической нагрузки определяются индивидуальные нормы расхода условного топлива данного котлоагрегата на 1 Гкал произведенной тепловой энергии

в рассматриваемый период.
При прогнозировании и планировании потребности в топливе значения удельных расходов топлива на выработку тепла по данным завода-изготовителя при номинальной загрузке корректируются в соответствии с режимной картой конкретного котла, учитывающей техническое состояние, срок ввода в эксплуатацию и величину его фактической загрузки.
Для котлов ТВГМ-30 при производительности

Гкал/ч по нормативной характеристике (рис. 1) <*> определяется индивидуальная норма расхода топлива:

кг у.т./Гкал.
------------------------------------
<*> График не приводится.
НОРМАТИВНАЯ ХАРАКТЕРИСТИКА КОТЛА ТВГИ-30
(ТОПЛИВО - ПРИРОДНЫЙ ГАЗ)
┌───────────────────────┬────────────────────────────────────────┐
│ Нагрузка котла │ Индивидуальная норма расхода условного │
├───────────┬───────────┤ топлива, кг у.т./Гкал │
│ % │ Гкал/ч │ │
├───────────┼───────────┼────────────────────────────────────────┤
│ 100 │ 30 │ 156,6 │
│ 70 │ 21 │ 154,6 │
└───────────┴───────────┴────────────────────────────────────────┘
Для котлов ДКВР-10-13 при производительности котла

Гкал/ч индивидуальная норма расхода топлива (мазут) определяется по рис. 2 <*>:

кг у.т./Гкал.
------------------------------------
<*> График не приводится.
НОРМАТИВНАЯ ХАРАКТЕРИСТИКА КОТЛА ДКВР-10-13:
ГАЗ (А), МАЗУТ (Б)
А
┌───────────────────────┬────────────────────────────────────────┐
│ Нагрузка котла │ Индивидуальная норма расхода условного │
├───────────┬───────────┤ топлива, кг у.т./Гкал │
│ % │ Гкал/ч │ │
├───────────┼───────────┼────────────────────────────────────────┤
│ 100 │ 6,5 │ 165,5 │
│ 70 │ 4,6 │ 162,7 │
└───────────┴───────────┴────────────────────────────────────────┘
Б
┌───────────────────────┬────────────────────────────────────────┐
│ Нагрузка котла │ Индивидуальная норма расхода условного │
├───────────┬───────────┤ топлива, кг у.т./Гкал │
│ % │ Гкал/ч │ │
├───────────┼───────────┼────────────────────────────────────────┤
│ 100 │ 6,5 │ 162 │
│ 80 │ 5,2 │ 160,8 │
└───────────┴───────────┴────────────────────────────────────────┘
Средневзвешенная норма расхода условного топлива на производство тепловой энергии котельной в I квартале определяется по
формуле (7):
Расход теплоты на собственные нужды котельной принимаем 4%.
Групповая норма расхода топлива на выработку тепловой энергии в I квартале определяется по формуле:

кг у.т./Гкал.
Аналогично определяются групповые нормы для II, III, IV кварталов на выработку тепловой энергии с учетом количества работающих котлов и часов их работы на соответствующих видах топлива. При этом следует учитывать, что доля расхода тепловой энергии на собственные нужды может изменяться по кварталам в зависимости от используемого топлива и номенклатуры затрат тепловой энергии на собственные нужды. Результаты расчетов сведены в таблицу 2.
Таблица 2
Результаты расчета годовой групповой нормы
расхода топлива (по кварталам)
┌────────────────────────────────┬───────────────────────────────┐
│ Показатели │ Квартал │
│ ├───────┬───────┬──────┬────────┤
│ │ I │ II │ III │ IV │
├────────────────────────────────┼───────┼───────┼──────┼────────┤
│Средневзвешенная норма расхода │155,5 │155,7 │162,4 │154,8 │
│топлива на выработку тепловой │ │ │ │ │
│ бр │ │ │ │ │
│энергии Н , кг у.т./Гкал │ │ │ │ │
├────────────────────────────────┼───────┼───────┼──────┼────────┤
│Групповая норма расхода топлива │162 │161,9 │168,5 │161,3 │
│на отпуск тепловой энергии Н, │ │ │ │ │
│кг у.т./Гкал │ │ │ │ │
├────────────────────────────────┼───────┼───────┼──────┼────────┤
│Теплоэнергия, выработанная ко- │158,544│40917,6│7286 │116539,2│
│ бр │ │ │ │ │
│тельной по кварталам, Q , Гкал │ │ │ │ │
└────────────────────────────────┴───────┴───────┴──────┴────────┘
Годовая групповая норма расхода топлива на отпуск тепловой энергии котельной определяется как средневзвешенная квартальных норм:

кг у.т./Гкал.
2. Рассчитать групповые нормы расхода топлива на планируемый год областного государственного унитарного предприятия с использованием плановых и отчетных данных о работе теплоэнергетического оборудования.
Исходные (справочные) данные и расчеты приведены в
формах 1 и
2.
Определяется средневзвешенная норма расхода в отчетном году по
формуле (8) и форме 1 на 2001 г.:

кг у.т./Гкал.
Определяется суммарный нормативный коэффициент в отчетном году по
формуле (10):

.
Определяется средневзвешенная норма расхода топлива на производство тепловой энергии в планируемом году
(форма 1 на 2003 г.) исходя из индивидуальных норм, номинальной производительности и планируемого числа часов работы всех котлов каждого типа:

кг у.т./Гкал.
Принимается суммарный нормативный коэффициент в планируемом году, равный фактическому в отчетном году, К = 1,1.
Норматив расхода на собственные нужды с учетом мероприятий по экономии топлива принимается 3%.
По формуле (13) рассчитывается групповая норма расхода топлива на выработку тепловой энергии на планируемый год:

кг у.т./Гкал.
По формуле (14) определяется нормируемый расход топлива на планируемый период:

кг у.т.
Форма 1 <*>
средневзвешенной нормы расхода топлива на производство
тепловой энергии по предприятию на 2003 год
------------------------------------
<*> Форма 1 заполняется для отчетного, текущего и планируемого годов.
┌──────┬─────────────────┬─────────────────────────────────────────────────────────────┐
│ Тип │Справочные данные│ 2001 г. (отчетный) │
│котла ├─────┬─────┬─────┼───────────────────┬────────────────────┬────────────────────┤
│ │номи-│инди-│уста-│ время работы всех │выработка тепловой │ расход топлива │
│ │наль-│виду-│нов- │ котлоагрегатов, ч │энергии по номиналь-│ по индивидуальным │
│ │ная │аль- │лен- │ │ной производитель- │нормам, тыс. т у.т. │
│ │про- │ная │ное │ │ности, тыс. Гкал │ │
│ │из- │норма│коли-├──────┬─────┬──────┼──────┬──────┬──────┼──────┬──────┬──────┤
│ │води-│рас- │чест-│ на │на │на │ на │на │на │ на │на │на │
│ │тель-│хода │во │ газе │жид- │твер- │ газе │жидком│твер- │ газе │жидком│твер- │
│ │ность│топ- │кот- │ │ком │дом │(гр. 2│топли-│дом │(гр. 3│топли-│дом │
│ │кот- │лива,│лоаг-│ │топ- │топли-│х гр. │ве │топли-│х гр. │ве │топли-│
│ │ла, │кг │рега-│ │ливе │ве │ 5) │(гр. 2│ве │ 8) │(гр. 3│ве │
│ │Гкал/│у.т./│тов, │ │ │ │ │х гр. │(гр. 2│ │х гр. │(гр. 3│
│ │ч │Гкал │шт. │ │ │ │ │6) │х гр. │ │9) │х гр. │
│ │ │ │ │ │ │ │ │ │7) │ │ │10) │
├──────┼─────┼─────┼─────┼──────┼─────┼──────┼──────┼──────┼──────┼──────┼──────┼──────┤
│ 1 │ 2 │ 3 │ 4 │ 5 │ 6 │ 7 │ 8 │ 9 │ 10 │ 11 │ 12 │ 13 │
├──────┼─────┼─────┼─────┼──────┼─────┼──────┼──────┼──────┼──────┼──────┼──────┼──────┤
│ДКВР- │6,5 │157,6│40 │150000│ │ │975 │ │ │153,7 │ │ │
│10-13 │ │газ │ │ │ │ │ │ │ │ │ │ │
│ │ │160,1│ │ │80000│ │ │520 │ │ │83,2 │ │
│ │ │мазут│ │ │ │ │ │ │ │ │ │ │
├──────┼─────┼─────┼─────┼──────┼─────┼──────┼──────┼──────┼──────┼──────┼──────┼──────┤
│ДКВР- │4,1 │158,1│60 │300000│ │ │1230 │ │ │194,5 │ │ │
│6,5-13│ │газ │ │ │ │ │ │ │ │ │ │ │
├──────┼─────┼─────┼─────┼──────┼─────┼──────┼──────┼──────┼──────┼──────┼──────┼──────┤
│ГМ-50-│31,8 │156,6│2 │10000 │ │ │318 │ │ │49,8 │ │ │
│1 │ │газ │ │ │ │ │ │ │ │ │ │ │
├──────┼─────┼─────┼─────┼──────┼─────┼──────┼──────┼──────┼──────┼──────┼──────┼──────┤
│ПТВМ- │50 │160,5│9 │50000 │ │ │2500 │ │ │401,3 │ │ │
│50 │ │газ │ │ │ │ │ │ │ │ │ │ │
├──────┼─────┼─────┼─────┼──────┼─────┼──────┼──────┼──────┼──────┼──────┼──────┼──────┤
│КВГМ- │30 │156,8│20 │110000│ │ │3300 │ │ │517,4 │ │ │
│30 │ │газ │ │ │ │ │ │ │ │ │ │ │
├──────┼─────┼─────┼─────┼──────┼─────┼──────┼──────┼──────┼──────┼──────┼──────┼──────┤
│ТВГ-8 │8 │168 │30 │150000│ │ │1200 │ │ │201,6 │ │ │
│ │ │газ │ │ │ │ │ │ │ │ │ │ │
├──────┼─────┼─────┼─────┼──────┼─────┼──────┼──────┼──────┼──────┼──────┼──────┼──────┤
│Прочие│0,6 │210 │200 │ │ │700000│ │ │420 │ │ │88,2 │
│ │ │твер-│ │ │ │ │ │ │ │ │ │ │
│ │ │дое │ │ │ │ │ │ │ │ │ │ │
│ │ │топ- │ │ │ │ │ │ │ │ │ │ │
│ │ │ливо │ │ │ │ │ │ │ │ │ │ │
├──────┴─────┴─────┴─────┴──────┴─────┴──────┼──────┼──────┼──────┼──────┼──────┼──────┤
│Итого: │9523 │520 │420 │1518,3│83,2 │88,2 │
└────────────────────────────────────────────┴──────┴──────┴──────┴──────┴──────┴──────┘
Средневзвешенная норма расхода топлива на производство тепловой энергии:

кг у.т./Гкал.
Продолжение формы 1
┌──────┬─────────────────┬───────────────────────────────────────────────────────────────┐
│ Тип │Справочные данные│ 2002 г. (текущий) │
│котла ├─────┬─────┬─────┼────────────────────┬─────────────────────┬────────────────────┤
│ │номи-│инди-│уста-│ время работы всех │выработка тепловой │ расход топлива │
│ │наль-│виду-│нов- │ котлоагрегатов, ч │энергии по номиналь- │ по индивидуальным │
│ │ная │аль- │лен- │ │ной производительнос-│нормам, тыс. т у.т. │
│ │про- │ная │ное │ │ти, тыс. Гкал │ │
│ │из- │норма│коли-├──────┬──────┬──────┼───────┬──────┬──────┼──────┬──────┬──────┤
│ │води-│рас- │чест-│ на │на │на │ на │на │на │ на │на │на │
│ │тель-│хода │во │ газе │жидком│твер- │ газе │жидком│твер- │ газе │жидком│твер- │
│ │ность│топ- │кот- │ │топли-│дом │(гр. 2 │топли-│дом │(гр. 3│топли-│дом │
│ │кот- │лива,│лоаг-│ │ве │топли-│ х гр. │ве │топли-│х гр. │ве │топли-│
│ │ла, │кг │рега-│ │ │ве │ 5) │(гр. 2│ве │ 8) │(гр. 3│ве │
│ │Гкал/│у.т./│тов, │ │ │ │ │х гр. │(гр. 2│ │х гр. │(гр. 3│
│ │ч │Гкал │шт. │ │ │ │ │6) │х гр. │ │9) │х гр. │
│ │ │ │ │ │ │ │ │ │7) │ │ │10) │
├──────┼─────┼─────┼─────┼──────┼──────┼──────┼───────┼──────┼──────┼──────┼──────┼──────┤
│ 1 │ 2 │ 3 │ 4 │ 5 │ 6 │ 7 │ 8 │ 9 │ 10 │ 11 │ 12 │ 13 │
├──────┼─────┼─────┼─────┼──────┼──────┼──────┼───────┼──────┼──────┼──────┼──────┼──────┤
│ДКВР- │6,5 │157,6│50 │187500│ │ │1218,8 │ │ │192,1 │ │ │
│10-13 │ │газ │ │ │ │ │ │ │ │ │ │ │
│ │ │160,1│ │ │100000│ │ │650 │ │ │104,1 │ │
│ │ │мазут│ │ │ │ │ │ │ │ │ │ │
├──────┼─────┼─────┼─────┼──────┼──────┼──────┼───────┼──────┼──────┼──────┼──────┼──────┤
│ДКВР- │4,1 │158,1│60 │300000│ │ │1230 │ │ │194,5 │ │ │
│6,5-13│ │газ │ │ │ │ │ │ │ │ │ │ │
├──────┼─────┼─────┼─────┼──────┼──────┼──────┼───────┼──────┼──────┼──────┼──────┼──────┤
│ГМ-50-│31,8 │156,6│2 │10000 │ │ │318 │ │ │49,8 │ │ │
│1 │ │газ │ │ │ │ │ │ │ │ │ │ │
├──────┼─────┼─────┼─────┼──────┼──────┼──────┼───────┼──────┼──────┼──────┼──────┼──────┤
│ПТВМ- │50 │160,5│9 │50000 │ │ │2500 │ │ │401,3 │ │ │
│50 │ │газ │ │ │ │ │ │ │ │ │ │ │
├──────┼─────┼─────┼─────┼──────┼──────┼──────┼───────┼──────┼──────┼──────┼──────┼──────┤
│КВГМ- │50 │160,5│3 │18000 │ │ │900 │ │ │144,5 │ │ │
│50 │ │газ │ │ │ │ │ │ │ │ │ │ │
├──────┼─────┼─────┼─────┼──────┼──────┼──────┼───────┼──────┼──────┼──────┼──────┼──────┤
│КВГМ- │30 │156,8│20 │110000│ │ │3300 │ │ │517,4 │ │ │
│30 │ │газ │ │ │ │ │ │ │ │ │ │ │
├──────┼─────┼─────┼─────┼──────┼──────┼──────┼───────┼──────┼──────┼──────┼──────┼──────┤
│ТВГ-8 │8 │168 │30 │150000│ │ │1200 │ │ │201,6 │ │ │
│ │ │газ │ │ │ │ │ │ │ │ │ │ │
├──────┼─────┼─────┼─────┼──────┼──────┼──────┼───────┼──────┼──────┼──────┼──────┼──────┤
│Прочие│0,6 │205 │155 │ │ │542500│ │ │325,5 │ │ │66,7 │
│ │ │твер-│ │ │ │ │ │ │ │ │ │ │
│ │ │дое │ │ │ │ │ │ │ │ │ │ │
│ │ │топ- │ │ │ │ │ │ │ │ │ │ │
│ │ │ливо │ │ │ │ │ │ │ │ │ │ │
├──────┴─────┴─────┴─────┴──────┴──────┴──────┼───────┼──────┼──────┼──────┼──────┼──────┤
│Итого: │10666,8│650 │325,5 │1700,8│104,1 │66,7 │
└─────────────────────────────────────────────┴───────┴──────┴──────┴──────┴──────┴──────┘
Средневзвешенная норма расхода топлива на производство тепловой энергии:

кг у.т./Гкал.
Продолжение формы 1
┌──────┬─────────────────┬───────────────────────────────────────────────────────────────┐
│ Тип │Справочные данные│ 2003 г. (планируемый) │
│котла ├─────┬─────┬─────┼────────────────────┬─────────────────────┬────────────────────┤
│ │номи-│инди-│уста-│ время работы всех │выработка тепловой │ расход топлива │
│ │наль-│виду-│нов- │ котлоагрегатов, ч │энергии по номиналь- │ по индивидуальным │
│ │ная │аль- │лен- │ │ной производительнос-│нормам, тыс. т у.т. │
│ │про- │ная │ное │ │ти, тыс. Гкал │ │
│ │из- │норма│коли-├──────┬──────┬──────┼───────┬──────┬──────┼──────┬──────┬──────┤
│ │води-│рас- │чест-│ на │на │на │ на │на │на │ на │на │на │
│ │тель-│хода │во │ газе │жидком│твер- │ газе │жидком│твер- │ газе │жидком│твер- │
│ │ность│топ- │кот- │ │топли-│дом │(гр. 2 │топли-│дом │(гр. 3│топли-│дом │
│ │кот- │лива,│лоаг-│ │ве │топли-│ х гр. │ве │топли-│х гр. │ве │топли-│
│ │ла, │кг │рега-│ │ │ве │ 5) │(гр. 2│ве │ 8) │(гр. 3│ве │
│ │Гкал/│у.т./│тов, │ │ │ │ │х гр. │(гр. 2│ │х гр. │(гр. 3│
│ │ч │Гкал │шт. │ │ │ │ │6) │х гр. │ │9) │х гр. │
│ │ │ │ │ │ │ │ │ │7) │ │ │10) │
├──────┼─────┼─────┼─────┼──────┼──────┼──────┼───────┼──────┼──────┼──────┼──────┼──────┤
│ 1 │ 2 │ 3 │ 4 │ 5 │ 6 │ 7 │ 8 │ 9 │ 10 │ 11 │ 12 │ 13 │
├──────┼─────┼─────┼─────┼──────┼──────┼──────┼───────┼──────┼──────┼──────┼──────┼──────┤
│ДКВР- │6,5 │157,6│50 │187500│ │ │1218,8 │ │ │192,1 │ │ │
│10-13 │ │газ │ │ │ │ │ │ │ │ │ │ │
│ │ │160,1│ │ │100000│ │ │650 │ │ │104,1 │ │
│ │ │мазут│ │ │ │ │ │ │ │ │ │ │
├──────┼─────┼─────┼─────┼──────┼──────┼──────┼───────┼──────┼──────┼──────┼──────┼──────┤
│ДКВР- │4,1 │158,1│60 │300000│ │ │1230 │ │ │194,5 │ │ │
│6,5-13│ │газ │ │ │ │ │ │ │ │ │ │ │
├──────┼─────┼─────┼─────┼──────┼──────┼──────┼───────┼──────┼──────┼──────┼──────┼──────┤
│ГМ-50-│31,8 │156,6│2 │10000 │ │ │318 │ │ │49,8 │ │ │
│1 │ │газ │ │ │ │ │ │ │ │ │ │ │
├──────┼─────┼─────┼─────┼──────┼──────┼──────┼───────┼──────┼──────┼──────┼──────┼──────┤
│ПТВМ- │50 │160,5│9 │50000 │ │ │2500 │ │ │401,3 │ │ │
│50 │ │газ │ │ │ │ │ │ │ │ │ │ │
├──────┼─────┼─────┼─────┼──────┼──────┼──────┼───────┼──────┼──────┼──────┼──────┼──────┤
│КВГМ- │50 │160,5│3 │18000 │ │ │900 │ │ │144,5 │ │ │
│50 │ │газ │ │ │ │ │ │ │ │ │ │ │
├──────┼─────┼─────┼─────┼──────┼──────┼──────┼───────┼──────┼──────┼──────┼──────┼──────┤
│КВГМ- │30 │156,8│23 │126000│ │ │3795 │ │ │595,1 │ │ │
│30 │ │газ │ │ │ │ │ │ │ │ │ │ │
├──────┼─────┼─────┼─────┼──────┼──────┼──────┼───────┼──────┼──────┼──────┼──────┼──────┤
│ТВГ-8 │8 │168 │30 │150000│ │ │1200 │ │ │201,6 │ │ │
│ │ │газ │ │ │ │ │ │ │ │ │ │ │
├──────┼─────┼─────┼─────┼──────┼──────┼──────┼───────┼──────┼──────┼──────┼──────┼──────┤
│Прочие│0,6 │205 │145 │ │ │542500│ │ │304,5 │ │ │62,4 │
│ │ │твер-│ │ │ │ │ │ │ │ │ │ │
│ │ │дое │ │ │ │ │ │ │ │ │ │ │
│ │ │топ- │ │ │ │ │ │ │ │ │ │ │
│ │ │ливо │ │ │ │ │ │ │ │ │ │ │
├──────┴─────┴─────┴─────┴──────┴──────┴──────┼───────┼──────┼──────┼──────┼──────┼──────┤
│Итого: │11161,8│650 │304,5 │1778,5│104,1 │62,4 │
└─────────────────────────────────────────────┴───────┴──────┴──────┴──────┴──────┴──────┘
Средневзвешенная норма расхода топлива на производство тепловой энергии:

кг у.т./Гкал.
Форма 2
Результаты расчета групповой нормы расхода
топлива на выработку тепловой энергии по государственному
унитарному предприятию на 2003 год
┌────────────────────────────────┬───────────────────────────────┐
│ Показатели │ Год │
│ ├───────────┬───────┬───────────┤
│ │ отчетный │текущий│планируемый│
│ │ 2001 г. │2002 г.│ 2003 г. │
├────────────────────────────────┼───────────┼───────┼───────────┤
│ н │ │ │ │
│Выработка тепловой энергии Q , │8605 │10500 │12000 │
│тыс. Гкал │ │ │ │
├────────────────────────────────┼───────────┼───────┼───────────┤
│Производство тепловой энергии │8950 │10825 │12371 │
│ н │ │ │ │
│Q , тыс. Гкал │ │ │ │
├────────────────────────────────┼───────────┼───────┼───────────┤
│Средневзвешенная норма на │161,5 │160,8 │160,5 │
│производство тепловой энергии │ │ │ │
│ бр │ │ │ │
│Н , кг у.т./Гкал │ │ │ │
├────────────────────────────────┼───────────┼───────┼───────────┤
│Интегральный нормативный │1,1 │1,1 │1,1 │
│коэффициент К │ │ │ │
├────────────────────────────────┼───────────┼───────┼───────────┤
│Норматив расхода тепловой энер- │4 │3 │3 │
│гии на собственные нужды d , %│ │ │ │
│ с.н │ │ │ │
├────────────────────────────────┼───────────┼───────┼───────────┤
│Групповая норма Н, кг у.т./Гкал │185,1 <*> │182,4 │182 │
├────────────────────────────────┼───────────┼───────┼───────────┤
│Расход топлива В, тыс. т у.т. │1592,8 <**>│1915,2 │2184 │
└────────────────────────────────┴───────────┴───────┴───────────┘
------------------------------------
<*> Фактический удельный расход.
<**> Фактический расход.
3. Определить потребность в тепловой энергии на отопление жилого здания постройки после 1958 г. с наружным строительным объемом

= 24951 м3, расположенного в г. Череповце Вологодской обл. Расчетное значение температуры наружного воздуха для проектирования отопления

= -31 °C, среднее значение температуры наружного воздуха за отопительный период

= -4,3 °С, продолжительность отопительного периода

= 225 сут., среднее значение скорости ветра в отопительном периоде w = 5,3 м/с.
Определяем значение удельной отопительной характеристики здания по
таблице 3 Приложения 3:

= 0,37 ккал/м3 ч °С.
По
таблице 2 Приложения 3 определяем значение поправочного коэффициента

: при помощи интерполяции получаем

= 0,99.
Определяем по
формуле (3.3) Приложения 3 расчетное значение коэффициента инфильтрации

:

.
По
формуле (3.2) Приложения 3 определяем расчетное значение тепловой нагрузки отопления упомянутого здания:

Гкал/ч.
По
формуле (16) раздела 3.2 Методики определяем потребность в тепловой энергии на отопление здания в течение отопительного периода:

Гкал.
4. Определить потребность в тепловой энергии на отопление помещения магазина, расположенного на первом этаже жилого здания в г. Череповце Вологодской обл. (климатические условия приведены в
примере 3). Помещение магазина оборудовано системой центрального отопления, подключенной к трубопроводам тепловой сети параллельно с системой отопления жилой части здания. Система отопления магазина оснащена 10 конвекторами "Прогресс" типа 20К2-1,1. Расчетные значения температурных параметров системы отопления 105/70 °С.
Расчет ведем по Методике, изложенной в Справочнике
[10].
Расчетную теплоотдачу конвекторов "Прогресс" типа 20К2-1,1 определяем с учетом значения температурного напора и длины греющего элемента по графику на рис. 4.6 Справочника [10]. Температурный напор

определяется как разность средней температуры отопительного прибора и расчетной температуры воздуха в отапливаемом помещении:

°С.
Расчетная теплоотдача

такого конвектора при указанных условиях составила 1300 ккал/ч. Таким образом, расчетная тепловая нагрузка отопления помещения магазина

= 1300 x 10 = 13000 ккал/ч, или 0,013 Гкал/ч (без учета теплоотдачи неизолированных стояков и подводок к конвекторам).
Потребность в тепловой энергии на отопление помещения магазина определяем по
формуле (16) раздела 3.2 Методики:

Гкал.
5. Определить потребность в тепловой энергии на приточную вентиляцию в кинотеатре, расположенном в отдельно стоящем здании в г. Череповце Вологодской обл. (климатические условия приведены в
примере 3). Продолжительность функционирования системы приточной вентиляции - 16 ч/сут., строительный объем здания кинотеатра составляет 50000 м3.
Определяем значение удельной вентиляционной характеристики здания кинотеатра -
таблица 4 Приложения 3:

= 0,38 ккал/м3 ч °С.
По
таблице 1 Приложения 3 определяем расчетное значение температуры воздуха в кинотеатре

= 14 °С.
По
формуле (3.2а) Приложения 3 определяем расчетное значение тепловой нагрузки приточной вентиляции:

Гкал/ч.
Потребность в тепловой энергии на приточную вентиляцию в кинотеатре в течение отопительного периода при продолжительности функционирования системы приточной вентиляции 16 ч/сут. по формуле
(18) раздела 3.3 Методики составляет:

Гкал.
6. Определить потребность в тепловой энергии на горячее водоснабжение больницы на 450 мест. Больница расположена в г. Череповце Вологодской обл. (продолжительность отопительного периода - 225 сут.). Больница оборудована общими ваннами и душевыми. Подача горячей воды осуществляется круглосуточно. В системе горячего водоснабжения стояки не изолированы. Продолжительность функционирования системы горячего водоснабжения - 350 суток за год. Температура нагреваемой водопроводной воды 5 °С - в отопительном периоде, 15 °С - в неотопительном периоде.
Норму расхода горячей воды принимаем по
таблице приложения 3 СНиП 2.04.01-85*
[3] в размере 75 л/койка.
Средняя часовая тепловая нагрузка горячего водоснабжения (без учета тепловых потерь в местной системе) по
формуле (3.13) Приложения 3 в отопительный период составляет:

Гкал/ч.
В неотопительный период средняя часовая тепловая нагрузка горячего водоснабжения (без учета тепловых потерь в местной системе) по
формуле (3.13а) Приложения 3 составляет:

Гкал/ч.
Потребность в тепловой энергии на горячее водоснабжение больницы в отопительном и неотопительном периодах с учетом тепловых потерь (значение коэффициента

, учитывающего тепловые потери в системе горячего водоснабжения, в связи с отсутствием полотенцесушителей принимаем равным 0,2) по
формуле (19) раздела 3.4 Методики составляет:

Гкал.
7. Определить нормативные тепловые потери через изоляционные конструкции трубопроводов тепловой сети протяженностью 10,8 км за отопительный период. В том числе: трубопроводы, проложенные в непроходных каналах, наружным диаметром 377 мм - 0,5 км; 273 мм - 1 км; 219 мм - 2 км; 159 мм - 2,5 км; 108 мм - 3 км; 76 мм - 1,1 км; трубопроводы, проложенные бесканально, диаметром 219 мм - 1 км; трубопроводы, проложенные надземно на низких опорах, диаметром 377 мм - 0,5 км. Тепловая сеть сооружена в соответствии с Нормами проектирования тепловой изоляции для трубопроводов и оборудования электростанций и тепловых сетей (1959 г.) и испытаниям для определения теплотехнических характеристик не подвергалась.
Система теплоснабжения расположена в г. Твери. Среднее за год значение температуры грунта 6,8 °С, 4,8 °С - за отопительный период; -3,7 °С - среднее значение температуры наружного воздуха за отопительный период; 5,7 °С - за год; продолжительность отопительного периода 219 суток. Среднее значение температуры теплоносителя в подающем трубопроводе в отопительном периоде 89,2 °С, 48,6 °С - в обратном. Среднее за год значение температуры теплоносителя в подающем трубопроводе 83,3 °С, 47,1 °С - в обратном.
Определяем значения удельных часовых тепловых потерь трубопроводами тепловой сети пересчетом табличных значений норм удельных часовых тепловых потерь трубопроводами на среднегодовые условия функционирования тепловой сети, подающими и обратными трубопроводами подземной прокладки - вместе, надземной - раздельно. Расчеты проводим по
формулам (34), (36) и
(36а) раздела 4.3 Методики.
Предварительно по
формуле (35) раздела 4.3 Методики определим среднегодовую разность значений температуры теплоносителя и грунта:

°С.
А. Прокладка в непроходных каналах:
- трубопроводы наружного диаметра 377 мм:

ккал/м ч;
- трубопроводы наружного диаметра 273 мм:

ккал/м ч;
- трубопроводы наружного диаметра 219 мм:

ккал/м ч;
- трубопроводы наружного диаметра 159 мм:

ккал/м ч;
- трубопроводы наружного диаметра 108 мм:

ккал/м ч;
- трубопроводы наружного диаметра 76 мм:

ккал/м ч.
Б. Бесканальная прокладка:
- трубопроводы наружного диаметра 219 мм:

ккал/м ч.
В. Надземная прокладка.
Среднегодовая разность значений температуры теплоносителя и наружного воздуха определится по формулам, аналогичным формуле
(35) раздела 4.3 Методики:

°C;

°С;
- трубопроводы наружного диаметра 377 мм:

ккал/м ч;

ккал/м ч.
Определяем нормативные значения часовых тепловых потерь через изоляционные конструкции участков трубопроводов тепловой сети по полученным нормам удельных тепловых потерь при среднегодовых условиях функционирования тепловой сети для подающих и обратных трубопроводов подземной прокладки вместе, для трубопроводов надземной прокладки раздельно.
Значения коэффициента местных тепловых потерь

, учитывающего тепловые потери запорной арматурой, компенсаторами и опорами, принимаем: 1,2 - для прокладки в каналах при диаметре трубопроводов до 150 мм, 1,15 - для прокладки в каналах при диаметре трубопроводов 150 мм и более, а также для всех диаметров трубопроводов бесканальной прокладки, 1,25 - для трубопроводов надземной прокладки.
А. Подземная прокладка в непроходных каналах:
- трубопроводы наружного диаметра 377 мм:

Гкал;
- трубопроводы наружного диаметра 273 мм:

Гкал;
- трубопроводы наружного диаметра 219 мм:

Гкал;
- трубопроводы наружного диаметра 159 мм:

Гкал;
- трубопроводы наружного диаметра 108 мм:

Гкал;
- трубопроводы наружного диаметра 76 мм:

Гкал.
Б. Бесканальная прокладка:
- трубопроводы наружного диаметра 219 мм:

Гкал.
Всего по трубопроводам подземной прокладки:

= 1,351 Гкал.
В. Надземная прокладка:
- трубопроводы наружного диаметра 377 мм:

Гкал;

Гкал.
Значения часовых тепловых потерь трубопроводами тепловой сети при условиях функционирования, средних за отопительный период, определятся по
формулам (42) - (43а) раздела 4.3 Методики.
А. Подземная прокладка:

Гкал.
Б. Надземная прокладка:

Гкал;

Гкал.
Суммарные нормативные тепловые потери трубопроводами тепловой сети в отопительном периоде составят:

Гкал.
8. Определить нормативные тепловые потери, обусловленные утечкой теплоносителя, в тепловой сети (предыдущий пример) за отопительный период.
По
формуле (23) раздела 4.1 Методики, с помощью
таблицы 6 этого раздела, определяем емкость трубопроводов тепловой сети:
-

377 - V = 101,0 (0,5 + 0,5) 2 = 202,0 м3;
-

273 - V = 53,0 x 1,0 x 2 = 106,0 м3;
-

219 - V = 34,0 (2,0 + 1,0) 2 = 204,0 м3;
-

159 - V = 18,0 x 2,5 x 2 = 90,0 м3;
-

108 - V = 8,0 х 3,0 х 2 = 48,0 м3;
-

76 - V = 3,9 х 1,1 х 2 = 8,58 м3.
Всего по тепловой сети:

= 658,58 м3.
Определяем сезонную норму утечки теплоносителя (для отопительного периода) по
формуле (25) раздела 4.1 Методики:

м3/ч.
Определяем количество теряемого теплоносителя за отопительный период:

м3.
Среднегодовое значение температуры холодной воды, подаваемой на источник теплоснабжения для подпитки тепловой сети, определим по
формуле (29) раздела 4.2 Методики:

°С.
Определяем нормативное значение годовых тепловых потерь, обусловленных утечкой теплоносителя, по
формуле (28) раздела 4.2 Методики:

Гкал.
Нормативное значение тепловых потерь с утечкой теплоносителя из трубопроводов тепловой сети на отопительный период определим по
формуле (30) раздела 4.2 Методики:

Гкал.
9. Определить мощность на валу сетевого насоса типа СЭ800-100 и количество электроэнергии за отопительный период на привод этого насоса, если расход перекачиваемого теплоносителя составляет

= 700 м3/ч. Продолжительность отопительного периода составляет n = 205 суток.
По характеристике насоса определяем развиваемый при указанном расходе напор

= 106 м, коэффициент полезного действия насоса

= 0,82.
По
формуле (60) раздела 6.2 Методики мощность на валу сетевого насоса составляет:

кВт.
В соответствии с
формулой (63) раздела 6.2 Методики с учетом коэффициента спроса, значение которого представлено в
таблице 6.3 Приложения 6, получим:

кВт ч.
10. Определить нормативное количество воды для наполнения и подпитки тепловой сети и присоединенных к ней систем теплопотребления зданий, теплоснабжаемых котельной, функционирующей по температурному графику регулирования отпуска тепловой энергии с параметрами 150/70 °С.
Система теплоснабжения расположена в г. Череповце Вологодской области. Климатические условия - в
примере 3. Протяженность тепловой сети - в
примере 7. Суммарная часовая тепловая нагрузка отопления зданий 40 Гкал/ч, системы отопления оснащены чугунными радиаторами типа М-140.
Определяем количество воды, необходимое для разового заполнения тепловой сети. Для этого по
формуле (23) раздела 4.1 Методики, с помощью
таблицы 6 этого раздела, определяем емкость трубопроводов тепловой сети (аналогично решению примера 7):
-

377 - V = 101,0 (0,5 + 0,5) 2 = 202,0 м3;
-

273 - V = 53,0 x 1,0 x 2 = 106,0 м3;
-

219 - V = 34,0 (2,0 + 1,0) 2 = 204,0 м3;
-

159 - V = 18,0 x 2,5 x 2 = 90,0 м3;
-

108 - V = 8,0 х 3,0 х 2 = 48,0 м3;
-

76 - V = 3,9 х 1,1 х 2 = 8,58 м3.
Всего по тепловой сети:

м3.
Определяем количество воды, необходимое для разового заполнения систем отопления. Для этого по
формуле (24) того же раздела Методики, с помощью
таблицы 7 этого раздела, определяем емкость систем отопления:

м3.
Определяем количество подпиточной воды согласно норме подпитки по
формуле (21) того же раздела Методики:

м3.
Определяем общее количество воды для разового заполнения и подпитки тепловой сети и присоединенных к ней систем отопления в течение отопительного периода:

м3.