Главная // Актуальные документы // ОДМ (Отраслевой дорожный методический документ)СПРАВКА
Источник публикации
М., 2024
Примечание к документу
Текст документа приведен в соответствии с публикацией на сайте https://rosavtodor.gov.ru/ по состоянию на 24.06.2024.
Документ рекомендован к применению с 20.06.2024
Распоряжением Росавтодора от 20.06.2024 N 1564-р.
Название документа
"ОДМ 218.3.2.002-2024. Отраслевой дорожный методический документ. Элементы мостовых сооружений. Рекомендации по проектированию подферменников"
(издан на основании Распоряжения Росавтодора от 20.06.2024 N 1564-р)
"ОДМ 218.3.2.002-2024. Отраслевой дорожный методический документ. Элементы мостовых сооружений. Рекомендации по проектированию подферменников"
(издан на основании Распоряжения Росавтодора от 20.06.2024 N 1564-р)
Распоряжения Федерального
дорожного агентства
от 20 июня 2024 г. N 1564-р
ОТРАСЛЕВОЙ ДОРОЖНЫЙ МЕТОДИЧЕСКИЙ ДОКУМЕНТ
ЭЛЕМЕНТЫ МОСТОВЫХ СООРУЖЕНИЙ.
РЕКОМЕНДАЦИИ ПО ПРОЕКТИРОВАНИЮ ПОДФЕРМЕННИКОВ
ОДМ 218.3.2.002-2024
1. РАЗРАБОТАН обществом с ограниченной ответственностью "Мастерская Мостов" (ООО "Мастерская Мостов").
Коллектив авторов: инж. Н.Ю. Новак, канд. техн. наук Н.В. Илюшин, инж. В.В. Одинцов.
2. ВНЕСЕН Управлением научно-технических исследований, информационных технологий и хозяйственного обеспечения.
3. ИЗДАН на основании
распоряжения Федерального дорожного агентства от 20.06.2024 N 1564-р.
4. ИМЕЕТ РЕКОМЕНДАТЕЛЬНЫЙ ХАРАКТЕР.
5. ВВЕДЕН ВПЕРВЫЕ.
1.1. Настоящий отраслевой дорожный методический документ (далее - методический документ) содержит рекомендации по расчету и конструированию подферменников мостовых сооружений на автомобильных дорогах общего пользования.
1.2. Для мостовых сооружений, расположенных на дорогах иной подчиненности, этот методический документ может использоваться по решению соответствующих органов управления.
1.3. Положения настоящего методического документа предназначены для расчетно-теоретического и методического обеспечения дорожного хозяйства при проектировании, строительстве, реконструкции, капитальном ремонте и ремонте подферменников мостовых сооружений на автомобильных дорогах общего пользования.
В настоящем методическом документе использованы нормативные ссылки на следующие документы:
ГОСТ 5781-82 Межгосударственный стандарт. Сталь горячекатаная для армирования железобетонных конструкций. Технические условия
ГОСТ 14098-2014 Межгосударственный стандарт. Соединения сварные арматуры и закладных изделий железобетонных конструкций. Типы, конструкции и размеры
ГОСТ 26633-2015 Межгосударственный стандарт. Бетоны тяжелые и мелкозернистые. Технические условия
ГОСТ 27751-2014 Межгосударственный стандарт. Надежность строительных конструкций и оснований. Основные положения
ГОСТ 32960-2014 Межгосударственный стандарт. Дороги автомобильные общего пользования. Нормативные нагрузки, расчетные схемы нагружения
ГОСТ 33384-2015 Межгосударственный стандарт. Дороги автомобильные общего пользования. Проектирование мостовых сооружений. Общие требования
ГОСТ 33390-2015 Межгосударственный стандарт. Дороги автомобильные общего пользования. Мосты. Нагрузки и воздействия
ГОСТ 34028-2016 Межгосударственный стандарт. Прокат арматурный для железобетонных конструкций. Технические условия
ГОСТ Р 27.102-2021 Национальный стандарт Российской Федерации. Надежность в технике. Надежность объекта. Термины и определения
ГОСТ Р 59622-2021 Национальный стандарт Российской Федерации. Дороги автомобильные общего пользования. Мостовые сооружения. Проектирование железобетонных элементов
СП 35.13330.2011 Свод правил. Мосты и трубы. Актуализированная редакция СНиП 2.05.03-84*
СП 46.13330.2012 Свод правил. Мосты и трубы. Актуализированная редакция СНиП 3.06.04-91
В настоящем методическом документе применены термины по рекомендациям
[1] и
[2], а также следующие термины с соответствующими определениями:
3.1.
временная вертикальная нагрузка: транспортное средство (средства), расположенные в пределах ездового полотна мостового сооружения, или пешеходы, расположенные в пределах прохожей части мостового сооружения. [адаптировано из ОДМ 218.4.025-2016, пункт 3.1] |
3.2.
воздействие от нагрузки: Усилия, напряжения, деформации, перемещения в конструкции (элементе конструкции), возникающие от действия внешних нагрузок (постоянных, временных, температурных и пр.). |
3.3.
мостовое сооружение: Инженерное сооружение, состоящее из опор и пролетных строений, предназначенное для пропуска через препятствие разных видов транспортных средств, пешеходов, водотоков, селей и коммуникаций различного назначения (мосты, путепроводы, пешеходные мосты, виадуки, эстакады, акведуки, селедуки); часто подменяется термином "мост". |
3.4.
надежность строительного объекта: Способность строительного объекта выполнять требуемые функции в течение расчетного срока эксплуатации. |
3.5.
несущая способность: Максимальный эффект воздействия, реализуемый в строительном объекте без превышения предельных состояний. |
3.6.
подферменник: Железобетонный выступ на оголовке опоры, предназначенный для установки опорной части пролетного строения |
3.7.
предельное состояние: Состояние объекта, при котором его дальнейшая эксплуатация недопустима или нецелесообразна либо восстановление его работоспособного состояния невозможно или нецелесообразно. |
4.1. Подферменник предназначен для установки опорных частей и служит для передачи усилий с пролетного строения на тело опоры.
4.2. Подферменники мостовых сооружений должны удовлетворять требованиям, представленным в
ГОСТ 33384,
статье 3 ТР ТС 014/2011
[3].
4.3. Проектные решения должны обеспечивать требования надежности по
ГОСТ 27751.
4.4. Проектирование подферменников мостовых сооружений следует осуществлять согласно требований
ГОСТ Р 59622,
СП 35.13330.
4.5. Правила производства и приемки работ по возведению подферменников мостовых сооружений представлены в
СП 46.13330.
5. Нагрузки и воздействия
5.1. Общие положения
5.1.1. Постоянные и временные нагрузки и воздействия следует принимать в соответствии с действующими нормативными документами.
5.1.2. Коэффициенты сочетаний нагрузок, а также таблицу сочетаний нагрузок следует принимать по
ГОСТ 33390, если не указано иное.
5.2. Постоянные нагрузки
5.2.1. Постоянные нагрузки следует принимать в соответствии с
ГОСТ 33390.
5.2.2. Коэффициенты надежности по нагрузке следует принимать в соответствии с
ГОСТ 33390, если не указано иное.
5.3. Временные подвижные нагрузки
5.3.1. Временные вертикальные нагрузки от транспортных средств и пешеходов применяются в соответствии с
ГОСТ 33390,
ГОСТ 32960.
5.3.2. Динамические коэффициенты и коэффициенты надежности к временным вертикальным нагрузкам следует принимать по
ГОСТ 32960.
5.3.3. При расчете подферменников класс временной нагрузки К по схеме АК и НК устанавливается в задании на проектирование.
5.4. Иные нагрузки и воздействия
5.4.1. Иные временные нагрузки и воздействия следует применять в соответствии с
ГОСТ 33390.
5.4.2. В случае отсутствия необходимых данных по иным временным нагрузкам следует руководствоваться положениями СП 35.13330.2011
(раздел 6).
6.1. Материалы для проектирования подферменников опор следует принимать согласно
ГОСТ Р 59622.
6.2. Рекомендуется принимать класс по прочности бетона подферменников не менее B30 по
ГОСТ 26633.
Рекомендуется принимать класс по морозостойкости не ниже F2300 согласно ГОСТ Р 59622-2021
(таблица 5) или СП 35.13330.2011
(таблица 7.5), как для условий эксплуатации с "применением антигололедных солей".
6.3. В качестве рабочей арматуры в подферменниках следует принимать арматуру класса:
6.4. Допускается применение преднапрягаемой арматуры. Необходимость использования преднапряжения должна быть обоснована в проекте.
6.5. Допускается применение фибробетонов и сверхвысокопрочных фибробетонов, соответствующих требованиям нормативно-технических документов на данный класс материалов для сокращения сроков выполнения работ. Армирование в случае применения сверхвысокопрочных фибробетонов допускается не устраивать при условии непревышения растягивающих напряжений в подферменнике значения расчетного сопротивления материала.
7. Конструктивные требования
7.2. Наименьший диаметр рабочей ненапрягаемой арматуры в подферменниках следует принимать равным 6 мм.
7.3. Плоские сетки допускается выполнять вязанными или сварными. Арматурные стержни рекомендуется сваривать в шахматном порядке швами К1-Кт, К3-Рп, К3-Мп по
ГОСТ 14098.
Допускается применение сварных крестообразных соединений, не обеспечивающих равнопрочность стыка согласно ГОСТ 14098-2014
(приложение А).
7.4. Стыковые сварные соединения в плоских сетках не допускаются.
7.5. Рекомендуемый шаг арматурных стержней в плоских сетках составляет не менее 8d, где d - диаметр арматурного стержня.
7.6. Рекомендуемый шаг плоских сеток по высоте подферменника составляет не менее 100 мм.
7.7. Рекомендуется использование замкнутых кольцевых хомутов и П-образных хомутов, выпуски из тела опоры также рекомендуется выполнять П-образной формы.
7.8. Рекомендуемое количество выпусков из тела опоры в подферменник должно быть достаточно для фиксации сеток (хомутов), доходить до верхней сетки (хомута), а также составлять не менее одного выпуска на 0,02 м2 площади подферменника.
7.10. В общем случае укладка бетона в тело подферменника выполняется только в один этап. Необходимость в этапности бетонирования должна быть обоснована в проекте.
7.11. При конструировании подферменников рекомендуется учитывать необходимости закрепления опорной части с помощью анкерных колодцев, закладных деталей или химических анкеров, если это предусматривается производителем используемых опорных частей.
8. Рекомендации по выполнению расчетов
8.1 Расчеты подферменников мостовых сооружений рекомендуется проводить по методике предельных состояний в соответствии с
ГОСТ 33384, ГОСТ 27751-2014
(раздел 5).
8.3. Проверка конструкции подферменника осуществляется выполнением следующих основных расчетов:
- на местное сжатие;
- на растяжение по боковой поверхности;
- по раскрытию трещин.
8.4. Расчет на местное сжатие подферменника рекомендуется проводить согласно ГОСТ Р 59622-2021 (
пункты 7.11.1,
7.11.2) или СП 35.13330.2011 (
пункты 7.89,
7.90) с учетом расчетной схемы на
рисунке 1. Расчетная площадь (A
d) также ограничена размерами подферменника в плане.
8.5. Распределение давления в теле подферменника от опорной части (Aloc) принимается под углом 45°.
H - высота подферменника, a и a' - размеры зоны смятия
(Aloc), d и d' - размеры расчетной зоны (Ad)
Рисунок 1 - Расчетная схема при расчете на местное сжатие
8.6. Расчет на растягивающие напряжения в арматуре рекомендуется проводить в двух поперечных направлениях.
8.7. Растягивающая сила по боковой грани подферменника при "частичной неоднородности" (
b <=
H) определяется с учетом расчетной схемы, указанной на
рисунке 2а), по формуле:

, (1)
где N - расчетная вертикальная нагрузка на подферменник;
F - расчетная горизонтальная нагрузка на подферменник.
Растягивающая сила по боковой грани подферменника при "полной неоднородности" (
b >
H) определяется с учетом расчетной схемы, указанной на
рисунке 2б), по формуле:

(2)
В случае, когда a > h, растяжение по боковой поверхности не возникает и армирование подферменника выполняется конструктивно.
| |
при b <= H | при b > H |
| |
bef = b | bef = H + 0,65a (< 2,3H) a <= h |
Рисунок 2 - Расчетные схемы
для определения растягивающей силы
8.8. Проверка на растягивающие напряжения в арматуре должна быть основана на учете максимального давления, передаваемого от опорной части на подферменник. Если давление на
Aloc передается неравномерно, то расчетную вертикальную сжимающую силу
N следует увеличивать, чтобы

соответствовало уровню максимального давления.
8.9. Согласно ГОСТ Р 59622-2021
(пункт 8.3.7) и СП 35.13330.2011
(пункт 7.111) все растягивающее усилие воспринимается арматурой в предположении образования трещин в рассматриваемом участке (бетоне).
8.10. Расчетная зона растяжения (рисунок 3) ограничена линиями очерчивающими bef с боков и горизонтальными линиями на уровне 0,2h и h, откладываемых от верхней грани подферменника. Расчетная зона растяжения может быть уточнена расчетом по методу конечных элементов.
Рисунок 3 - Расчетная зона растяжения
(условно показана эпюра поперечных напряжений)
В расчете подферменников рассматриваются только арматурные стержни, попадающие в эту зону. Расчет выполняется по формуле:
T <= As·Rs, (3)
где As - площадь сечения арматурных стержней, перпендикулярных рассматриваемому сечению;
Rs - расчетное сопротивление арматурной стали растяжению.
Армирование вне зоны растяжения допускается выполнять аналогично расчетному или конструктивно.
8.11. Согласно ГОСТ Р 59622-2021
(пункт 5.16) и СП 35.13330.2011
(пункт 7.16) в железобетонных подферменниках объемный коэффициент поперечного армирования должен быть не менее 0,2%.
8.12. Дополнительно согласно ГОСТ Р 59622-2021
(пункт 7.4.4а) и СП 35.13330.2011
(пункт 7.72а) следует проверять, что площади поперечного сечения стержней сетки на единицу длины в одном и другом направлениях не различались более чем в 1,5 раза. При необходимости армирование в одном из направлений следует увеличивать.
8.13. Для фибробетонов и сверхвысокопрочных фибробетонов допускается воспринимать всю растягивающую силу самим материалом. Расчет выполняется по формуле:
где a' - размер загруженной площади, перпендикулярно рассматриваемому сечению;
Rbt - расчетное сопротивление фибробетона (сверхвысокопрочного фибробетона) растяжению.
В случае выполнения
условия (4) дополнительное армирование подферменника (в том числе конструктивное) не требуется.
8.14. Расчет по раскрытию трещин в подферменнике рекомендуется проводить согласно ГОСТ Р 59622-2021
(пункт 8.3.1) или СП 35.13330.2011
(пункт 7.105). Конструкция подферменника относится к категории 3в требований по трещиностойкости (или 2в в случае применения преднапряжения).
Расчет по раскрытию трещин рекомендуется проводить в двух поперечных направлениях.
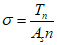
Растягивающее напряжение при этом следует принимать:

, (5)
где
Tn - растягивающая напряжения в бетоне по
(1) или
(2), но рассчитываемые от нормативных нагрузок;
n - количество арматурных стержней, попадающих в расчетную зону растяжений.
Примечание - Для преднапряженной арматуры растягивающие напряжения согласно ГОСТ Р 59622-2021
(пункт 8.3.1) или СП 35.13330.2011
(пункт 7.105) следует принимать как приращение напряжений

после погашения обжатия бетона, также с учетом расчетной зоны растяжений.
8.15 Дополнительно проверку подферменника на сдвиг рекомендуется проводить согласно ГОСТ Р 59622-2021
(пункт 7.10) или СП 35.13330.2011
(пункт 7.86), принимая коэффициент условий работы m
sh = 1, а
Na равным минимальной расчетной вертикальной нагрузке на подферменник.
8.16. Пример расчета подферменника представлен в
приложении А.
8.17. Допускается расчеты подферменника проводить по методу конечных элементов в сертифицированных и верифицированных программных комплексах. При расчетах по методу конечных элементов рекомендуется учитывать положения, приведенные в
приложении Б.
8.18. Расчеты подферменников, работающих на растяжение, рекомендуется проводить по методу конечных элементов в сертифицированных и верифицированных программных комплексах в нелинейной постановке.
ПРИМЕР РАСЧЕТА ПОДФЕРМЕННИКА
А.1 По конструктивным соображениям (размеры и угол поворота опорной части, необходимые отступы) назначаются изначальные размеры подферменника.
Исходные данные:
Резиновая опорная часть (РОЧ), размеры 300 (вдоль) x 400 (поперек) x 78.
Nmax = 1800 кН = 183,5 тс (max допустимая нагрузка на опорную часть (ОП).
Пролетное строение, балочное, разрезное L = 33 м.
Nр = 1079 кН = 110 тс (вертикальная расчетная нагрузка на ОЧ, полученная в ходе расчета пролетного строения).
Nр,min = 373 кН = 38 тс (минимальная вертикальная расчетная нагрузка на ОЧ, полученная в ходе расчета пролетного строения).
Nн = 892 кН = 90,9 тс (вертикальная нормативная нагрузка на ОЧ, полученная в ходе расчета пролетного строения).
Fр = 78 кН = 8 тс (горизонтальная расчетная нагрузка на ОЧ, полученная в ходе расчета пролетного строения).
Fн = 69 кН = 7 тс (горизонтальная нормативная нагрузка на ОЧ, полученная в ходе расчета пролетного строения).
Размеры подферменника: 700 (вдоль) x 740 (поперек) x 400 (высота).
Бетон B30;

;

.
Арматура А400 (А-III)

;

.
А.2 Принимаем армирование подферменника сетками.
Шаг арматуры: вдоль п.с. - 100 мм (семь стержней), поперек п.с. - 150 мм (пять стержней), шаг сеток по высоте 100 мм. По высоте размещены три сетки.
А.3 Расчет на местное смятие.
Передача усилия производится нижним опорным листом опорной части a на a'. Площадь смятия:
Aloc = a·a' = 0,3·0,4 = 0,12 м2.
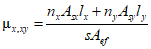
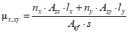
Объемный коэффициент поперечного армирования:

,
где nx и ny - количество стержней арматуры в сетке по ортогональным осям OX и OY;
lx, ly - длины стержней по ортогональным осям OX и OY (в пределах Aef);
Aef - площадь сечения бетона, заключенного внутри контура сеток (считая по осям крайних стержней);
s - расстояние между сетками, если одна сетка, то величина s принимается равной 7 см.
Площадь сечения одного стержня арматуры для

составляет:

;
lx = 0,6 м;
ly = 0,6 м;
Aef = lx·ly = 0,6·0,6 = 0,36 м2;

;

.
Примечание - Условие по коэффициенту коэффициент поперечного армирования выполнено (1,0% > 0,2%).
А.4 Проверяем условие, что площади поперечного сечения стержней сетки на единицу длины в одном и другом направлениях должны различаться не более чем в 1,5 раза.

;

;

.
Примечание - Условие выполнено.
А.5 При расчете на местное сжатие (смятие) элементов с косвенным армированием в виде сварных поперечных сеток должно удовлетворяться условие
Nр <= Rb,redAloc,
где Aloc - площадь смятия;
Rb,red - приведенная прочность бетона осевому сжатию, определяемая по формуле
где Rb, Rs - в МПа;

;

- коэффициент эффективности косвенного армирования;

- коэффициент эффективности косвенного армирования согласно
пункта 7.72 а) СП 35.13330.2011.

;
при

;
где Rb, Rs - в МПа;

;
Aef - площадь бетона, заключенного внутри контура сеток косвенного армирования, считая по их крайним стержням, при этом должно удовлетворяться условие Aloc < Aef < Ad;
Ad - расчетная площадь, симметричная по отношению к площади смятия
Aloc и принимаемая не более указанной на
рисунке 1.
Aloc = 0,3·0,4 = 0,12 м2;
Aef = 0,6·0,6 = 0,36 м2;
Ad = 0,7·0,74 = 0,518 м2;
Aloc < Aef < Ad;
0,12 < 0,36 < 0,518.
Примечание - Условие выполнено.

;

;
Примечание - Условие выполнено.

;

;

;

;

;

;

;
Rb,red = 15,5·1,628 + 31,529·0,01005·350·3,333 = 394,87 МПа;
N <= Rb,red·Aloc;
Nр <= 394,87·0,12 = 47,38 МН = 4830,3 тс;
Проверка:
Nmax = 1800 кН = 183,5 тс (max допустимая нагрузка на ОПЧ);
Nр = 1079 кН = 110 тс (нагрузка на ОПЧ из расчета);
110 тс < 183,5 тс < 4830,3 тс.
Примечание - Условие выполнено.
А.6 Определение растягивающей силы по боковой грани подферменника в двух направлениях.
Поскольку
b >
H и
a <=
h рассматриваем случай на
рисунке 2б) настоящего методического документа.
Растягивающая сила по боковой грани подферменника составляет
- вдоль пролетного строения:

;

;
- поперек пролетного строения:

;

.
А.7 В расчетную зону растяжения попадают все три сетки, расположенные в подферменнике. При расчете на растягивающие напряжения в арматуре должно удовлетворяться условие:
Tр <= As·Rs,
где As - площадь сечения арматурных стержней, перпендикулярных рассматриваемому сечению;
Rs - расчетное сопротивление арматурной стали растяжению.
- вдоль пролетного строения:
bef = 400 + 0,65·300 = 595 мм.
Примечание - В зону растяжения попадает 6 стержней из 7.
As = 3·6·5,024·10-5 = 9,043·10-3 м2;
Tр <= 9,043·10-3·350 = 0,3165 МН = 32,26 тс.
Проверка:
Tр = 147,2 кН = 15,0 тс (растягивающая сила);
15,0 тс < 32,26 тс.
Примечание - Условие выполнено.
- поперек пролетного строения:
bef = 400 + 0,65·400 = 660 мм.
Примечание - В зону растяжения попадает 5 стержней из 5.
As = 3·5·5,024·10-5 = 7,536·10-4 м2;
Tр <= 7,536·10-4·350 = 0,2638 МН = 26,89 тс.
Проверка:
Tр = 80,93 кН = 8,25 тс (растягивающая сила);
8,25 тс < 26,89 тс.
Примечание - Условие выполнено.
А.8 Проверка ширины раскрытия трещин по
пункту 7.105 СП 35.13330.2011. Напряжение

в арматурных стержнях, включенных в работу, считаем с учетом равномерного распределения усилий в арматуре расчетной зоны растяжения.
- вдоль пролетного строения:

;

;

,
где Ar - площадь зоны взаимодействия для нормального сечения, принимаемая ограниченной наружным контуром сечения и радиусом взаимодействия;

- коэффициент, учитывающий степень сцепления арматурных элементов с бетоном;
n - число арматурных элементов с одинаковым номинальным диаметром d;
d - диаметр одного стержня.
Примечание - Так как зоны взаимодействия стержней не пересекаются, расчет выполняем для одного стержня.

.
Для вычисления принимаются только стержни в сетках, попавших в расчетную зону растяжения. Напряжение в крайних арматурных стержнях А400 (А-III)

:

;

;

;

.
Примечание - Условие выполнено
- поперек пролетного строения:

;

;

.
Примечание - Так как зоны взаимодействия стержней не пересекаются, расчет выполняем для одного стержня.

.
Для вычисления принимаются только стержни в сетках, попавших в расчетную зону растяжения. Напряжение в крайних арматурных стержнях А400 (А-III)

:

;

;

;

.
Примечание - Условие выполнено.
А.9 Проверка подферменника на сдвиг по
пункту 7.86 СП 35.13330.2011:
Q <= 0,45mshNa = 0,45·1·38 = 17,1 тс.
Проверка:
Q = Fр = 78 кН = 8 тс;
8,0 тс < 17,1 тс.
Примечание - Условие выполнено.
РЕКОМЕНДАЦИИ ПО СОСТАВЛЕНИЮ
КОНЕЧНО-ЭЛЕМЕНТНЫХ РАСЧЕТНЫХ МОДЕЛЕЙ
Б.1 Численное моделирование подферменников мостовых сооружений целесообразно выполнять объемными изопараметрическими конечными элементами. Такой тип конечного элемента обеспечивает наиболее точное воспроизведение реальной работы подферменника.
Б.2 Рекомендуется в конечно-элементной модели учитывать основное рабочее армирование. Выпуски допускается не учитывать.
Б.3 Требуется учитывать совместную пространственную работу подферменника с ригелем (насадкой).
Б.4 Рекомендуется учитывать в расчете особенности работы опорной части (тип, материал, жесткостные параметры, размеры опорной плиты и т.д.).
Б.5 Для железобетонных подферменников допустимо ориентироваться на непревышение при расчетном воздействии невыгодного сочетания нагрузок максимальных напряжений растяжения в бетоне 1,4R
bt по ГОСТ Р 59622-2021
(таблица 6), максимальных напряжений сжатия в бетоне R
b по ГОСТ Р 59622-2021
(таблица 6), а также максимальных напряжений растяжения в арматуре R
s по ГОСТ Р 59622-2021
(таблица 16).
Б.6 Для подферменников из неармированного фибробетона и сверхпрочного фибробетона допустимо ориентироваться на непревышение при расчетном воздействии невыгодного сочетания нагрузок максимальных напряжений растяжения в фибробетоне 0,4Rbt,ser, максимальных напряжений сжатия в фибробетоне Rb.
Б.7 При расчете рекомендуется использовать расчетные программные комплексы, реализующие подбор невыгодного размещения подвижной временной нагрузки на вышележащее пролетное строение и возможность оперирования сочетаниями нагрузок для получения максимальных значений действующих усилий на подферменник.
| | ИС МЕГАНОРМ: примечание. В официальном тексте документа, видимо, допущена опечатка: ОДМ 218.1.001-2020 имеет название "Рекомендации по применению документов технического регулирования и стандартизации в сфере дорожного хозяйства". | |
|
| | Рекомендации по разработке и применению документов технического регулирования в сфере дорожного хозяйства |
| | ИС МЕГАНОРМ: примечание. В официальном тексте документа, видимо, допущена опечатка: ОДМ 218.4.025-2016 имеет название "Методические рекомендации по определению грузоподъемности эксплуатируемых мостовых сооружений на автомобильных дорогах общего пользования. Общая часть". | |
|
| | Рекомендации по определению грузоподъемности эксплуатируемых мостовых сооружений на автомобильных дорогах общего пользования. Общая часть |
| | Технический регламент Таможенного союза "Безопасность автомобильных дорог" |
|
Ключевые слова: мостовое сооружение, подферменник, ремонт, реконструкция, капитальный ремонт, проектирование, расчет, конструирование |
Руководитель
организации-разработчика
Общество с ограниченной
ответственностью
"Мастерская Мостов"
(ООО "Мастерская Мостов")
Генеральный директор
А.Н.ЩЕРБАКОВ
Руководитель разработки
Зам. генерального директора
Н.Ю.НОВАК
Исполнители:
Зам. генерального директора,
канд. техн. наук
Н.В.ИЛЮШИН
Начальник отдела
В.В.ОДИНЦОВ