Главная // Актуальные документы // НормыСПРАВКА
Источник публикации
В данном виде документ опубликован не был.
Первоначальный текст документа опубликован в издании
М.: ГУГПС МВД РФ, ВНИИПО МВД РФ, 1998.
Примечание к документу
Документ утратил силу с 1 октября 2001 года в связи с введением в действие
НПБ 165-2001, утв. Приказом ГУГПС МВД России от 07.09.2001 N 65.
Название документа
"НПБ 165-97. Техника пожарная. Дыхательные аппараты со сжатым воздухом для пожарных. Общие технические требования и методы испытаний"
(введены в действие Приказом ГУГПС МВД РФ от 30.12.1997 N 83)
(ред. от 21.12.1999)
"НПБ 165-97. Техника пожарная. Дыхательные аппараты со сжатым воздухом для пожарных. Общие технические требования и методы испытаний"
(введены в действие Приказом ГУГПС МВД РФ от 30.12.1997 N 83)
(ред. от 21.12.1999)
Приказом ГУГПС МВД РФ
от 30 декабря 1997 г. N 83
НОРМЫ ПОЖАРНОЙ БЕЗОПАСНОСТИ
ТЕХНИКА ПОЖАРНАЯ.
ДЫХАТЕЛЬНЫЕ АППАРАТЫ СО СЖАТЫМ ВОЗДУХОМ ДЛЯ ПОЖАРНЫХ.
ОБЩИЕ ТЕХНИЧЕСКИЕ ТРЕБОВАНИЯ И МЕТОДЫ ИСПЫТАНИЙ
FIRE EQUIPMENT. BREATHING APPARATUSES
WITH COMPRESSED AIR FOR FIREMAN.
GENERAL TECHICAL REQUIREMENTS.
TEST METHODS
НПБ 165-97
| | Список изменяющих документов утв. Приказом ГУГПС МВД РФ от 21.12.1999 N 99) | |
Разработаны Главным управлением Государственной противопожарной службы (ГУГПС) и Всероссийским научно-исследовательским институтом противопожарной обороны (ВНИИПО) МВД России.
Внесены и подготовлены к утверждению нормативно-техническим отделом ГУГПС МВД России.
Утверждены главным государственным инспектором Российской Федерации по пожарному надзору.
Дата введения в действие 1 февраля 1998 г.
Настоящие нормы распространяются на дыхательные аппараты со сжатым воздухом для защиты органов дыхания и зрения пожарных (далее - дыхательные аппараты) от вредного воздействия непригодной для дыхания токсичной и задымленной газовой среды при тушении пожаров в зданиях, сооружениях и на производственных объектах различного назначения.
Настоящие нормы устанавливают общие технические требования и методы испытаний дыхательных аппаратов.
Настоящие нормы применяются на всех стадиях разработки, изготовления и испытания дыхательных аппаратов и могут использоваться при сертификации в Системе сертификации пожарной безопасности.
В настоящих нормах использованы ссылки на следующие нормативные документы:
ГОСТ 12.4.005-85 ССБТ. Средства индивидуальной защиты органов дыхания. Метод определения величины сопротивления дыханию.
ГОСТ 12.4.008-84 ССБТ. Средства индивидуальной защиты. Метод определения поля зрения.
ГОСТ 12.4.061-88 ССБТ. Метод определения работоспособности человека в средствах индивидуальной защиты.
ГОСТ 12.4.157-75 ССБТ. Противогазы и респираторы промышленные фильтрующие. Нефелометрические методы определения коэффициента подсоса масляного тумана под лицевую часть.
ГОСТ 15150-69 Машины, приборы и другие технические изделия. Исполнения для различных климатических районов. Категории, условия эксплуатации, хранения и транспортирования в части воздействия климатических факторов внешней среды.
ГОСТ 16504-81 СГИ. Испытания и контроль качества продукции. Основные термины и определения.
Физиолого-гигиенические требования к изолирующим средствам индивидуальной защиты.
Правила устройства и безопасной эксплуатации сосудов, работающих под давлением
(ПБ 10-115-96).
Наставление по газодымозащитной службе Государственной противопожарной службы МВД России (Приказ МВД России от 30.04.96 г. N 234).
В настоящих НПБ применяют следующие термины с соответствующими определениями.
Дыхательный аппарат со сжатым воздухом - изолирующий резервуарный аппарат, в котором весь запас воздуха хранится в баллонах в сжатом состоянии. Вдох осуществляется из баллонов, а выдох - в атмосферу.
Внешнее дыхание или легочное дыхание - совокупность процессов, при которых осуществляется обмен воздуха между внешней средой и легкими и обмен газов между поступившим в легкие воздухом и кровью, т.е. процессы, происходящие непосредственно в органах дыхания человека.
Условное время защитного действия дыхательного аппарата - период, в течение которого сохраняется защитная способность дыхательного аппарата при испытании на стенде-имитаторе внешнего дыхания человека
(Приложение 1) в режиме выполнения работы средней тяжести (легочная вентиляция 30 дм3/мин), при температуре окружающей среды 25 +/- 1 °С.
Фактическое время защитного действия дыхательного аппарата - период, в течение которого сохраняется защитная способность дыхательного аппарата при испытании на стенде-имитаторе внешнего дыхания человека, в режиме от относительного покоя до очень тяжелой работы, при температуре окружающей среды от минус 40 до 60 °С.
Фактическое сопротивление дыханию на выдохе - разница между сопротивлением дыханию на выдохе, зарегистрированным прибором, и средним значением избыточного давления в подмасочном пространстве лицевой части при нулевом расходе воздуха.
Дыхательный режим - совокупность взаимосвязанных значений следующих параметров: потребления кислорода в единицу времени при относительном объеме, выделения двуокиси углерода, дыхательного коэффициента, легочной вентиляции, частоты дыхания и дыхательного объема.
Легочная вентиляция - объем воздуха, прошедшего при дыхании через легкие человека за одну минуту.
Дыхательный объем - величина, равная отношению объема воздуха, прошедшего через легкие человека за одну минуту, к частоте его дыхания.
Дыхательный коэффициент - величина, равная отношению объема выделенной двуокиси углерода к объему потребленного человеком кислорода.
Сагиттальная плоскость - условная линия, делящая симметрично тело человека продольно на правую и левую половину.
Сигнальное устройство - приспособление, предназначенное для подачи звукового сигнала работающему о том, что основной запас воздуха в дыхательном аппарате израсходован и остался только резервный запас.
Стандартные условия (СУ), нормальные условия (НУ), легочные условия (ЛУ) - физические условия состояния объемов газов.
4. ОБЩИЕ ТЕХНИЧЕСКИЕ ТРЕБОВАНИЯ
4.1. Дыхательный аппарат должен быть работоспособным в режимах дыхания, характеризующихся выполнением нагрузок: от относительного покоя (легочная вентиляция 12,5 дм3/мин) до очень тяжелой работы (легочная вентиляция 85 дм3/мин), при температуре окружающей среды от минус 40 до 60 °С.
4.1.1. Дыхательный аппарат должен быть работоспособен после пребывания в среде с температурой 200 °С в течение 60 с.
4.2. Требования к составу изделия
4.2.1. В состав дыхательного аппарата должны входить:
- баллон (баллоны) с вентилем (вентилями);
- редуктор с предохранительным клапаном;
- легочный автомат;
- шланг воздуховодной системы;
- сигнальное устройство;
- манометр со шлангом высокого давления;
- лицевая часть с переговорным устройством;
- клапан выдоха;
- подвесная и амортизирующая системы (рама, поясной и плечевые ремни);
- сумка (футляр) для основной лицевой части.
Примечание. В состав дыхательного аппарата рекомендуется включать следующие устройства:
- устройство дополнительной подачи воздуха (байпас);
- перекрывное устройство магистрали манометра;
- спасательное устройство, подключаемое к дыхательному аппарату;
- штуцер (типа "евромуфты") для подключения легочного автомата дыхательного аппарата или спасательного устройства или устройства искусственной вентиляции легких.
4.3. Требования к показателям назначения
4.3.1. Условное время защитного действия (далее - ВЗД) дыхательного аппарата должно составлять не менее 60 мин.
При определении условного ВЗД должны быть соблюдены требования по составу вдыхаемой газовой смеси и условиям дыхания в соответствии с
п. 4.4.3.1 и
табл. 7.2.
4.3.2. Фактическое ВЗД дыхательного аппарата, в зависимости от температуры окружающей среды и степени тяжести выполняемой работы, должно соответствовать значениям, указанным в табл. 4.1.
Таблица 4.1
Фактическое время защитного действия
дыхательного аппарата
┌──────────────────┬─────────┬───────────────────────────────────┐
│ Наименование │При отно-│ При работе │
│ показателя │сительном├───────────┬───────────┬───────────┤
│ │покое │ средней │ тяжелой │ очень │
│ │ │ тяжести │ │ тяжелой │
│ ├─────────┴───────────┴───────────┴───────────┤
│ │ Легочная вентиляция, дм3/мин │
│ ├─────────┬───────────┬───────────┬───────────┤
│ │ 12,5 │ 30 │ 60 │ 85 │
├──────────────────┼─────────┼───────────┼───────────┼───────────┤
│Фактическое ВЗД по│ │ │ │ │
│отношению к услов-│ │ │ │ │
│ному ВЗД при соот-│ │ │ │ │
│ветствующей темпе-│ │ │ │ │
│ратуре окружающей │ │ │ │ │
│среды, %, не │ │ │ │ │
│менее: │ │ │ │ │
│ минус 40 +/- 2 °С│ - │ 75 │ 35 │ - │
│ 25 +/- 1 °С│ 200 │ 100 │ 50 │ 30 │
│ 40 +/- 1 °С│ - │ 100 │ 50 │ - │
│ 60 +/- 2 °С│ - │ 100 │ - │ - │
└──────────────────┴─────────┴───────────┴───────────┴───────────┘
4.4. Эргономические требования
4.4.1. Требования к конструкции
4.4.1.1. Дыхательный аппарат в рабочем положении должен располагаться на спине человека.
Форма и габаритные размеры дыхательного аппарата должны соответствовать строению человека, сочетаться с защитной одеждой, каской и снаряжением пожарного, и обеспечивать удобство при выполнении всех видов работ на пожаре (в том числе - при передвижении через узкие люки и лазы диаметром не менее 800 мм, передвижении ползком, на четвереньках и т.д.).
4.4.1.2. Масса снаряженного дыхательного аппарата без вспомогательных устройств, применяющихся эпизодически (спасательное устройство и др.), должна быть не более 16,0 кг.
4.4.1.3. Приведенный центр массы дыхательного аппарата должен находиться не далее чем в 30 мм от сагиттальной плоскости человека.
4.4.2. Требования к органам управления
4.4.2.1. Все органы управления дыхательного аппарата (вентили, рычаги, кнопки и др.) должны быть легкодоступны, удобны для приведения их в действие и надежно защищены от механических повреждений и случайного срабатывания.
4.4.2.2. Органы управления должны срабатывать при усилии не более 80 Н.
4.4.3. Требования к условиям дыхания
4.4.3.1. Объемная доля двуокиси углерода во вдыхаемой газовой смеси должна быть не более 1,5% .
4.4.3.2. В дыхательном аппарате должна быть применена система воздухоснабжения человека, при которой в подмасочном пространстве лицевой части поддерживается избыточное давление при нулевом расходе воздуха и в процессе дыхания, при легочной вентиляции до 85 дм3/мин, а также в диапазоне температур окружающей среды от минус 40 до 60 °С.
4.4.3.3. Избыточное давление в подмасочном пространстве лицевой части, при нулевом расходе воздуха, не должно превышать 500 Па.
4.4.3.4. Фактическое сопротивление дыханию на выдохе в дыхательном аппарате в течение всего времени защитного действия должно быть не более значений, указанных в табл. 4.2.
Таблица 4.2
┌─────────────────────────┬──────────────────────────────────────┐
│ Легочная вентиляция, │ Фактическое сопротивление дыханию │
│ дм3/мин │ на выдохе, Па, не более │
├─────────────────────────┼──────────────────────────────────────┤
│ 12,5 │ 300 │
│ 85 │ 450 │
└─────────────────────────┴──────────────────────────────────────┘
--------------------------------
<*> При температуре окружающей среды минус 40 +/- 2 °С.
4.5. Требования к составным частям
4.5.1. Требования к баллонам
4.5.1.1. Баллоны, используемые в дыхательных аппаратах, должны соответствовать нормативным документам по сосудам высокого давления и иметь сертификат (или разрешение) Госгортехнадзора России.
4.5.1.2. Окраска баллона и надписи на нем должны быть выполнены в соответствии с "
Правилами устройства и безопасной эксплуатации сосудов, работающих под давлением".
4.5.1.3. Номинальное рабочее давление должно составлять не более 31,0 МПа.
4.5.1.4. Количество нагружений (заправок) между нулевым и рабочим давлением баллона, устанавливаемое изготовителем и указываемое в технической документации на баллон, должно составлять не менее 5000 циклов.
4.5.1.5. Срок переосвидетельствования баллонов, входящих в комплект дыхательного аппарата, должен составлять:
- для стальных баллонов - не более одного раза в 5 лет;
- для композитных баллонов - не более одного раза в 3 года.
4.5.1.6. Срок службы баллонов, устанавливаемый изготовителем, должен быть не менее 10 лет.
4.5.2. Требования к вентилю баллона
4.5.2.1. Вентиль баллона должен быть выполнен таким образом, чтобы нельзя было полностью вывернуть его шпиндель во время эксплуатации.
4.5.2.2. Конструкция вентиля должна быть такой, чтобы во время работы пожарного исключалась возможность случайного закрытия вентиля из положения "Открыто".
4.5.2.3. Вентиль баллона должен сохранять герметичность в положениях "Открыто" и "Закрыто".
4.5.2.4. Вентиль баллона должен выдерживать не менее чем 3000 циклов открываний и закрываний.
4.5.2.5. В штуцере вентиля для присоединения к редуктору должна применяться внутренняя резьба диаметром 5/8" (при использовании другого типа резьбы в комплект дыхательного аппарата должно входить переходное устройство для зарядки баллонов от компрессора с зарядным штуцером с резьбой 5/8").
4.5.3. Требования к манометру
4.5.3.1. Манометр должен быть влагонепроницаемым.
4.5.3.2. Конструкция стекла манометра должна предотвращать возможность его разрушения во время работы дыхательного аппарата.
4.5.3.3. Шкала манометра должна начинаться от 0 МПа (бар), а ее верхний предел должен превышать величину рабочего давления в баллоне не менее чем на 5,0 МПа (бар).
4.5.3.4. Класс точности манометра должен быть не ниже 2,5.
4.5.3.5. Конструкция манометра должна позволять видеть его показания в лицевой части аппарата при проведении потребителем периодического контроля значений давления воздуха в аппарате.
4.5.3.6. Манометр должен иметь защитный кожух из эластичного материала для защиты его от возможных ударов.
4.5.3.7. Конструкция манометра должна позволять контролировать его значения при слабом освещении и в темноте.
4.5.4. Требования к сигнальному устройству
4.5.4.1. Сигнальное устройство должно автоматически срабатывать при снижении запаса воздуха в баллоне в пределах от 20 до 25% от общего запаса воздуха.
4.5.4.2. Сигнальное устройство после срабатывания не должно оказывать влияния на дыхание человека.
4.5.4.3. Сигнальное устройство (за исключением расположения его в легочном автомате) должно обеспечивать подачу сигнала с уровнем звукового давления не менее 90 дБА в диапазоне частот от 800 до 4000 Гц.
Сигнальное устройство (при расположении его в легочном автомате) должно обеспечивать подачу сигнала с уровнем звукового давления в диапазоне от 40 до 90 дБА в диапазоне частот от 800 до 4000 Гц.
4.5.4.4. Продолжительность работы сигнала, с постоянным или прерывистым уровнем, должна быть не менее 60 с.
4.5.4.5. Утечка воздуха в окружающую среду при работе сигнального устройства не должна превышать 5 дм3/мин.
4.5.5. Требования к подвесной и амортизирующей системам
4.5.5.1. Подвесная и амортизирующая системы должны быть выполнены таким образом, чтобы дыхательный аппарат удобно располагался на спине, прочно фиксировался, не вызывая потертостей и ушибов при работе. Эти системы должны обеспечивать возможность циркуляции воздуха между дыхательным аппаратом и одеждой пожарного и предотвращать воздействие на его тело нагретой или охлажденной поверхности баллона.
4.5.5.2. Подвесная система должна позволять пожарному быстро, просто и без посторонней помощи надеть дыхательный аппарат и отрегулировать его крепление. Прицепная и амортизирующая системы ремней дыхательного аппарата должны быть снабжены устройствами для регулировки их длины и степени натяжения. Все приспособления для регулировки положения дыхательного аппарата (пряжки, карабины, застежки и др.) должны быть выполнены таким образом, чтобы ремни после регулировки прочно фиксировались. Регулировка ремней подвесной системы не должна нарушаться в течение всей работы.
4.5.5.3. Устройство прицепной системы должно позволять надевать дыхательный аппарат после включения в него, а также снимать и перемещать перед собой дыхательный аппарат без выключения из него при передвижении по тесным помещениям.
4.5.6. Требования к лицевой части
4.5.6.1. Лицевая часть дыхательного аппарата должна надежно защищать глаза, нос, рот и подбородок человека.
Коэффициент подсоса масляного тумана в подмасочное пространство лицевой части при испытании в комплекте с дыхательным аппаратом должен быть не более 0,001%.
4.5.6.2. Лицевая часть должна быть удобной и комфортной для ношения ее в течение всего времени работы в дыхательном аппарате, не вызывать болевых ощущений, наминов третьей степени (в соответствии с "Физиолого-гигиеническими требованиями к изолирующим средствам индивидуальной защиты") в мягких тканях лица и головы человека.
4.5.6.3. Масса лицевой части должна быть не более 0,7 кг.
4.5.6.4. Лицевая часть должна быть снабжена переговорным устройством.
4.5.6.5. Конструкция лицевой части должна обеспечивать применение пожарной каски.
4.5.6.6. Очковый узел в основной лицевой части дыхательного аппарата должен обеспечивать общее поле зрения не менее 70% от поля зрения человека без лицевой части.
4.5.6.7. Стекло лицевой части не должно запотевать и замерзать в течение всего времени работы в дыхательном аппарате.
4.5.6.8. Стекло должно выдерживать удар стального шара массой 150 +/- 2 г с высоты 1,5 +/- 0,01 м.
4.5.6.9. Стекло не должно терять прозрачности в течение всего срока эксплуатации.
4.5.7. Требования к воздуховодной системе дыхательного аппарата
4.5.7.1. В состав воздуховодной системы дыхательного аппарата должны входить: баллон, редуктор, легочный автомат, лицевая часть, манометр со шлангом высокого давления, сигнальное устройство и шланги редуцированного давления.
4.5.7.2. Соединения для подключения легочного автомата основной лицевой части и спасательного устройства должны быть быстроразъемными (типа "евромуфты"). Соединения должны быть легкодоступны и не мешать работе. Самопроизвольное отключение легочного автомата и спасательного устройства должно быть исключено. Соединения должны иметь предохранительные колпачки, которыми должны закрываться свободные разъемные части соединения в период, когда они не используются.
4.5.7.3. Расход воздуха при работе устройства дополнительной подачи воздуха (байпаса) (при его наличии) должен составлять не менее 70 дм3/мин, в диапазоне давлений в баллоне от номинального рабочего до 2,0 МПа.
4.5.7.4. Герметичность систем высокого и редуцированного давления дыхательного аппарата, находящегося под рабочим давлением, должна быть такой, чтобы после закрытия вентиля баллона изменение давления не превышало 2,0 МПа в минуту.
4.5.8. Требования к редуктору
4.5.8.1. Отрегулированный изготовителем редуктор должен быть опломбирован для предотвращения несанкционированного доступа.
Величина редуцированного давления должна сохраняться не менее трех лет с момента регулировки и проверки.
4.5.8.2. Предохранительный клапан должен исключать поступление воздуха с высоким давлением к деталям, работающим при редуцированном давлении, при неисправности редуктора.
4.5.9. Требования к спасательному устройству (при его наличии)
4.5.9.1. Спасательное устройство может быть выполнено как с избыточным давлением воздуха под лицевой частью, так и без него.
4.5.9.2. В состав спасательного устройства дыхательного аппарата должны входить: шланг со штуцером (для подключения к "евромуфте" воздуховодной системы дыхательного аппарата), легочный автомат, лицевая часть и сумка (футляр).
4.5.9.3. Требования к спасательному устройству с избыточным давлением под лицевой частью
4.5.9.4. Требования к спасательному устройству без избыточного давления под лицевой частью
4.5.9.4.1. Сопротивление дыханию на вдохе и выдохе спасательного устройства дыхательного аппарата без избыточного давления под лицевой частью, при выполнении нагрузки с легочной вентиляцией 30 дм3/мин, должно быть не более 350 Па.
4.5.9.4.2. Клапан легочного автомата спасательного устройства должен открываться при значениях вакуумметрического давления от 50 до 350 Па, при расходе воздуха 10 дм3/мин.
4.5.9.4.3. Герметичность воздуховодной системы дыхательного аппарата со спасательным устройством должна быть такой, чтобы при создании вакуумметрического и избыточного давления 800 +/- 20 Па изменение давления в ней не превышало 50 Па в минуту.
4.5.9.4.4. Герметичность магистралей высокого и редуцированного давления дыхательного аппарата с подключенным спасательным устройством должна быть такой, чтобы после закрытия вентиля баллона при номинальном рабочем давлении в нем изменение давления в воздуховодной системе не превышало 1,0 МПа в минуту.
4.6. Требования по устойчивости к внешним воздействиям
4.6.1. Дыхательный аппарат по виду климатического исполнения должен относиться к исполнению У категории размещения 1 по
ГОСТ 15150, но быть рассчитан на применение при температуре окружающей среды от минус 40 до 60 °С, относительной влажности до 100%.
4.6.2. Требования по устойчивости к механическим воздействиям
4.6.2.1. Дыхательный аппарат должен сохранять работоспособность после транспортной тряски с перегрузкой 3 g (где g - ускорение свободного падения) при частоте от 2 до 3 Гц:
- при имитации транспортирования к потребителю в транспортной упаковке;
- при имитации транспортирования к месту применения.
4.6.2.2. Дыхательный аппарат должен сохранять работоспособность после воздействия вибронагрузки с частотой от 50 до 60 Гц и амплитудой 0,4 мм.
4.6.2.3. Дыхательный аппарат должен сохранять работоспособность после воздействия 1000 ударов с частотой
-1
50 мин , длительностью ударного импульса 5 мс и максимальным ускорением 100 м/с2.
4.6.2.4. Дыхательный аппарат должен сохранять работоспособность после нахождения в условиях климатических факторов, воздействующих на дыхательный аппарат при транспортировании и хранении:
- температуры 50 +/- 3 °С в течение 4 ч;
- температуры минус 60 +/- 3 °С в течение 4 ч;
- температуры 40 +/- 2 °С в течение 10 суток;
- температуры 35 +/- 2 °С при относительной влажности 90 +/- 3% в течение 24 ч.
4.6.3. Требования по устойчивости к воздействию воды
Дыхательный аппарат должен сохранять работоспособность и обеспечивать безопасность дыхания при погружении в воду на время не менее чем 15 с.
4.6.4. Требования по устойчивости к дезинфицирующим растворам и растворам ПАВ
4.6.4.1. Лицевая часть, легочный автомат и спасательное устройство должны быть устойчивыми к следующим дезинфицирующим растворам:
- этиловому спирту ректификованному;
- водным растворам: 6% перекиси водорода, 1% хлорамина, 8% борной кислоты, 0,5% марганцовокислого калия.
4.6.4.2. Дыхательный аппарат должен быть устойчивым к воздействию растворов поверхностно-активных веществ (ПАВ).
4.7. Требования надежности
4.7.1. Вероятность сохранения исправности дыхательного аппарата за время нахождения его в состоянии ожидания применения в течение 720 ч (30 суток),

(720 ч) не менее 0,98.
4.7.2. Вероятность безотказной работы за время защитного действия

не менее 0,999.
4.7.3. Средний срок службы

, не менее 10 лет.
Комплект дыхательного аппарата должен состоять из:
- дыхательного аппарата - 1;
- сумки или футляра для лицевой части - 1;
- комплекта ЗИП - 1;
- руководства по эксплуатации дыхательного аппарата - 1;
- паспорта на дыхательный аппарат - 1;
- паспорта на баллон - 1.
Примечание. Все документы должны быть выполнены на русском языке.
4.9. Требования к содержанию эксплуатационной документации
на дыхательный аппарат
4.9.1. Требования к содержанию руководства по эксплуатации дыхательного аппарата
В руководстве по эксплуатации должны содержаться следующие сведения:
- назначение дыхательного аппарата;
- условия эксплуатации;
- климатическое исполнение;
- основные технические характеристики дыхательного аппарата;
- состав дыхательного аппарата;
- время защитного действия;
- давление под лицевой частью в процессе дыхания;
- масса снаряженного дыхательного аппарата;
- средний срок службы дыхательного аппарата
(п. 4.7.3);
- устройство и принцип действия составных частей;
- проверка и регулировка дыхательного аппарата;
- требования безопасности;
- правила пользования дыхательным аппаратом;
- возможные неисправности дыхательного аппарата и методы их устранения.
4.9.2. Требования к содержанию паспорта на дыхательный аппарат
В паспорте на дыхательный аппарат должны содержаться следующие сведения:
- данные об изготовителе;
- основные технические характеристики дыхательного аппарата;
- комплектность;
- отметка о приемке;
- гарантии изготовителя.
4.9.3. Требования к содержанию паспорта на баллон
В паспорте на баллон должны содержаться следующие сведения:
- данные об изготовителе;
- номер сертификата (разрешения) Госгортехнадзора России на эксплуатацию баллона;
- условия эксплуатации;
- рабочее давление в баллоне;
- вместимость;
- масса;
- габаритные размеры;
- размер резьбы;
- допустимое количество циклов наполнения баллона;
- назначенный срок эксплуатации баллона;
- критерии отбраковки (для композитных баллонов);
- правила и порядок технического освидетельствования баллона;
- отметка о приемке изделия;
- гарантии изготовителя;
- требования безопасности.
Примечание. Вышеуказанные сведения допускается оформлять в виде раздела в руководстве по эксплуатации дыхательного аппарата.
4.10.1. Каждый дыхательный аппарат должен иметь табличку со следующими данными:
- условным обозначением дыхательного аппарата;
- номером технических условий и (или) номером стандарта;
- наименованием предприятия-изготовителя или его товарным знаком;
- порядковым номером изделия;
- годом и месяцем изготовления.
Сведения о продукции, отражаемые на изделии и поясняющие порядок его применения, правила безопасности и назначение функциональных деталей должны быть исполнены на русском языке.
4.10.2. Табличка с маркировкой должна быть прикреплена к раме дыхательного аппарата в месте, защищенном от механических повреждений.
5. ТРЕБОВАНИЯ БЕЗОПАСНОСТИ
5.1. Требования безопасности к дыхательному аппарату должны быть изложены в соответствующих разделах руководства по эксплуатации дыхательного аппарата и паспорта на баллон.
5.2. Эксплуатация дыхательных аппаратов в подразделениях ГПС МВД России должна проводиться в соответствии с положениями "Наставления по газодымозащитной службе Государственной противопожарной службы МВД России" и "
Правил устройства и безопасной эксплуатации сосудов, работающих под давлением".
5.3. Сжатый воздух, предназначенный для заполнения баллонов дыхательного аппарата, должен удовлетворять требованиям, приведенным в табл. 5.1.
Таблица 5.1
Требования к сжатому воздуху
для зарядки дыхательного аппарата
Наименование показателя | Значение |
Содержание окиси углерода, мг/дм3, не более Содержание окиси азота, мг/дм3, не более Содержание углеводородов (суммарно), мг/дм3, не более Содержание двуокиси углерода, %, не более Содержание кислорода, %, не менее Влажность, мг/м3, не более | 0,03 0,0016 0,1 0,06 21,0 35 |
6. ПОРЯДОК КОНТРОЛЯ ДЫХАТЕЛЬНЫХ АППАРАТОВ
6.1. Для осуществления контроля качества дыхательных аппаратов проводятся следующие контрольные испытания по
ГОСТ 16504:
- приемочные;
- квалификационные;
- приемосдаточные;
- периодические;
- сертификационные.
Другие виды контрольных испытаний дыхательных аппаратов по
ГОСТ 16504 проводятся предприятием-изготовителем по программам испытаний, согласованным с заказчиком.
6.2. Контроль качества дыхательных аппаратов осуществляют последовательно по следующим этапам:
- анализ нормативно-технической документации, проверка внешнего вида, комплектации, маркировки;
- испытания с использованием приборов;
- испытания на устойчивость к внешним воздействиям;
- испытания на стенде-имитаторе внешнего дыхания человека;
- лабораторные испытания на людях;
- полигонные испытания;
- испытания на надежность.
Объем проверок дыхательного аппарата, осуществляемых на различных стадиях контрольных испытаний, приведен в табл. 6.1.
Пункты НПБ | Виды контрольных испытаний |
требований | методов испы- таний | приемоч- ные | квалифи- кацион- ные | приемо- сдаточные | периоди- ческие | сертифи- кацион- ные |
Анализ нормативно-технической документации, проверка внешнего вида, комплектации, маркировки |
| | + | + | + | + | + |
| | + | + | + | + | + |
| | + | + | + | + | + |
| | + | + | + | + | + |
| | + | + | + | + | + |
| | + | + | + | + | + |
| | + | + | + | + | + |
| | + | + | + | + | + |
| | + | - | - | + | + |
| | + | - | - | + | + |
| | + | - | - | + | + |
| | + | - | - | - | + |
| | + | + | + | + | + |
| | + | + | + | + | + |
| | + | + | + | + | + |
| | + | + | + | + | + |
| | + | + | - | - | + |
| | + | - | - | - | + |
| | + | + | + | + | + |
| | + | + | - | + | + |
| | + | + | - | + | + |
| | + | + | - | + | + |
| | + | + | + | + | + |
| | + | + | + | + | + |
Испытания с использованием приборов |
| | + | + | + | + | + |
| | + | - | - | + | + |
| | + | + | - | + | + |
| | + | + | + | + | + |
| | + | + | + | + | + |
| | + | - | + | + | + |
| | + | - | - | + | + |
| | + | + | + | + | + |
| | + | + | - | + | + |
| | + | + | - | + | + |
| | + | + | + | + | + |
| | + | - | - | + | + |
| | + | + | + | + | + |
| | + | + | + | + | + |
| | + | + | + | + | + |
| | + | + | + | + | + |
| | + | + | + | + | + |
| | + | + | + | + | + |
Испытания на устойчивость к внешним воздействиям |
| | + | - | - | + | + |
| | + | - | - | - | + |
| | + | - | - | - | + |
| | + | - | - | - | + |
| | + | - | - | + | + |
| | + | + | - | + | + |
| | + | - | - | + | + |
Испытания на стенде-имитаторе внешнего дыхания человека |
| | + | + | - | + | + |
| | + | - | - | + | + |
| | + | - | + | + | + |
| | + | - | - | + | + |
| | + | + | + | + | + |
| | + | + | - | + | + |
| | + | - | - | - | + |
| | + | + | + | + | + |
| | + | + | - | + | + |
| | + | - | - | - | + |
| | + | + | - | - | + |
| | + | - | - | - | + |
Лабораторные испытания на людях |
| | + | - | - | - | + |
| | + | - | - | - | + |
| | + | - | - | - | + |
| | + | - | - | - | + |
| | + | - | - | - | + |
| | + | - | - | - | + |
| | + | - | - | - | + |
| | + | - | - | - | + |
| | + | - | - | - | + |
| | + | - | - | - | + |
| | + | - | - | - | + |
| | + | - | - | - | + |
| | + | - | - | - | + |
| | + | - | - | - | + |
| | + | - | - | - | + |
| | + | - | - | - | - |
| | + | - | - | - | + |
| | + | - | - | - | + |
| | + | - | - | - | - |
| | + | - | - | - | + |
| | + | - | - | - | + |
Полигонные испытания |
| | + | - | - | - | - |
| | + | - | - | - | - |
| | + | - | - | - | - |
| | + | - | - | - | - |
| | + | - | - | - | - |
| | + | - | - | - | - |
| | + | - | - | - | - |
| | + | - | - | - | - |
| | + | - | - | - | - |
| | + | - | - | - | - |
| | + | - | - | - | - |
| | + | - | - | - | - |
| | + | - | - | - | - |
| | + | - | - | - | - |
Испытания на надежность |
| | + | - | - | - | - |
| | + | - | - | - | - |
| | + | - | - | - | + |
| | + | - | - | - | - |
6.3. Дыхательные аппараты представляются на испытания партиями не менее трех комплектов каждого наименования.
На этапы испытаний дыхательный аппарат представляется в следующих количествах:
- для анализа нормативно-технической документации, проверки внешнего вида, комплектации, маркировки - 3 шт.;
- для испытаний с использованием приборов - 3 шт.;
- для испытаний на устойчивость к внешним воздействиям - 1 шт.;
- для испытаний на стенде-имитаторе внешнего дыхания человека - 1 шт.;
- для лабораторных испытаний на людях - 1 шт.;
- для полигонных испытаний - 3 шт.;
- для испытаний на надежность - 3 шт.
6.4. На испытания представляется следующая нормативно-техническая документация на изделие:
- сертификат (разрешение) Госгортехнадзора России на баллон;
- техническая документация на русском языке (технические условия, руководство по эксплуатации и паспорт на дыхательный аппарат, паспорт на баллон).
Примечание. Техническая документация на отечественные изделия должна быть согласована с ГУГПС МВД России в установленном порядке.
6.5. К лабораторным испытаниям на людях допускаются только те дыхательные аппараты, которые прошли испытания с использованием приборов и испытания на стенде-имитаторе внешнего дыхания человека, а по результатам испытаний рекомендованы для участия в испытаниях на людях.
6.6. Продукция, изготавливаемая отечественными предприятиями, допускается к проведению сертификационных испытаний в области пожарной безопасности, если она в установленном порядке прошла все стадии и этапы разработки, предусмотренные
ГОСТ 15.001,
ГОСТ 2.103, все виды испытаний (включая межведомственные приемочные), имеет полный комплект конструкторской документации на серийное производство с присвоенной в установленном порядке литерой "А", согласованной с государственным заказчиком пожарно-технической продукции.
| | ИС МЕГАНОРМ: примечание. Приказом Ростехрегулирования от 22.06.2006 N 118-ст введен в действие с 1 сентября 2006 года ГОСТ 2.601-2006. | |
Продукция, импортируемая российским потребителям, допускается к проведению сертификационных испытаний в области пожарной безопасности, если она сопровождается эксплуатационной документацией, которая должна быть оформлена на русском языке по ГОСТ 2.601 и одобрена государственным заказчиком пожарно-технической продукции.
Экспертиза конструкторской документации является обязательной при организации и проведении сертификационных испытаний в области пожарной безопасности.
6.7. Критерием отрицательного результата сертификационных испытаний по проверке выполнения требований к показателям, которые определяются в соответствии с
табл. 6.1 различными методами, является отрицательный результат, полученный любым из этих методов.
7.1. Анализ нормативно-технической документации,
проверка внешнего вида, комплектации, маркировки
7.1.2. Проверки внешнего вида
(пп. 4.5.1.2, 4.5.2.5, 4.5.3.3, 4.5.3.4, 4.5.3.6, 4.5.8.1, 4.5.9.1), комплектации
(пп. 4.2.1, 4.5.6.4, 4.5.7.1, 4.5.9.2, 4.8) и маркировки дыхательного аппарата
(пп. 4.10.1, 4.10.2) производят визуально.
7.2. Испытания с использованием приборов
7.2.1.1. Средства измерения
Весы с диапазоном измерений до 20 кг и с ценой деления 50 г и весы с диапазоном измерений до 3 кг с ценой деления 5 г.
7.2.1.2. Проведение испытаний
Определяется масса полностью укомплектованного и снаряженного в соответствии с инструкцией по эксплуатации дыхательного аппарата и масса лицевой части с точностью до 0,1 кг.
Испытания проводят на полностью снаряженном дыхательном аппарате в соответствии с инструкцией по эксплуатации и дыхательном аппарате, у которого давление воздуха 1,0 МПа (имитация состояния дыхательного аппарата в конце работы).
7.2.2.1. Оборудование
Стенд (рис. 7.1).
Рис. 7.1. Принципиальная схема стенда для определения
смещения центра массы:
1 - щит; 2 - штырь; 3 - приспособление;
4 - дыхательный аппарат
7.2.2.2. Описание устройства стенда
Стенд состоит из щита, закрепленного на стене испытательной лаборатории. В щите закреплен штырь, на который с помощью приспособления подвешивается дыхательный аппарат. Вертикально через ось штыря нанесена краской линия длиной 1000 +/- 5 мм и шириной 1 +/- 0,2 мм.
7.2.2.3. Подготовка к проведению испытаний
На подвесной системе и баллоне дыхательного аппарата прочерчивают мелом линию, соответствующую оси симметрии дыхательного аппарата. В верхней части рамы дыхательного аппарата устанавливают приспособление, необходимое для подвешивания дыхательного аппарата на штырь щита.
7.2.2.4. Проведение испытания
Дыхательный аппарат с помощью приспособления подвешивают на штырь щита таким образом, чтобы линии, нанесенные на дыхательном аппарате и щите, пересеклись в нижней точке дыхательного аппарата.
Результат испытания считается положительным, если величина смещения точки подвеса дыхательного аппарата относительно нанесенной на щите линии, измеренная с точностью до 1 мм, составляет не более 30 мм.
7.2.3. Определение усилия срабатывания органов ручного управления
(п. 4.4.2.2)
При испытании органов ручного управления дыхательного аппарата (кнопки, рычаги, маховики и др.) определяют усилие, которое необходимо приложить к ним для включения (выключения) соответствующих устройств.
7.2.3.1. Оборудование
Усилие создают и измеряют оборудованием с погрешностью не более 5%.
7.2.3.2. Проведение испытаний
Усилие для вентилей прикладывают в точке, лежащей на маховике вентиля и максимально удаленной от оси маховика вентиля.
Результат испытания считается положительным, если значение усилия, необходимого для включения (выключения) органов ручного управления дыхательного аппарата, не превышает 80 Н.
7.2.4. Определение величины избыточного давления в подмасочном пространстве лицевой части при нулевом расходе воздуха
(пп. 4.4.3.2, 4.4.3.3)
Испытания проводятся при нулевом расходе воздуха и нормальной температуре окружающего воздуха. Регистрируются величины избыточного давления в подмасочном пространстве лицевой части при различных значениях давления в баллоне дыхательного аппарата (от номинального рабочего до 1,0 МПа, с интервалом 2,0 МПа).
7.2.4.1. Оборудование
Муляж головы человека.
Мановакуумметр с диапазоном измерений от 0 до 1000 Па с погрешностью не более 20 Па.
7.2.4.2. Проведение испытаний
Муляж головы человека подключают к мановакуумметру, надевают на муляж лицевую часть дыхательного аппарата, открывают вентиль баллона дыхательного аппарата, наполненного до номинального рабочего давления, переключают легочный автомат на работу в режим с избыточным давлением и по мановакуумметру определяют избыточное давление в подмасочном пространстве лицевой части.
Результат испытания считается положительным, если во всем диапазоне давлений в баллоне в подмасочном пространстве лицевой части поддерживается избыточное давление, наибольшее значение которого не превышает 500 Па.
Испытания проводят на одном баллоне дыхательного аппарата.
7.2.5.1. Оборудование
Емкость вместимостью не менее 0,25 м3 для погружения вентиля баллона, заполненная водой.
7.2.5.2. Проведение испытаний
Проверка герметичности вентиля баллона в положениях "Открыто" (с установленной в штуцере вентиля заглушкой) и "Закрыто" проводят при номинальном рабочем давлении и давлении 2,0 МПа. Проверка проводится методом опускания вентиля баллона в воду.
Результат испытания считается положительным, если при погружении вентиля баллона в воду не наблюдается выделения пузырьков воздуха из вентиля.
Испытание вентиля баллона (заполненного воздухом до номинального рабочего давления) на работоспособность проводится методом открывания-закрывания вентиля из крайнего положения вентиля "Открыто" в крайнее положение "Закрыто" и обратно. После каждых 500 циклов наработки проверяют герметичность вентиля в положениях "Открыто" и "Закрыто" методом опускания вентиля баллона в воду.
Наработку вентиля прекращают в случаях: негерметичности вентиля (определяется при проверках после каждых 500 циклов), достижения 3000 циклов наработки вентиля или поломки вентиля.
Результат испытания считается положительным, если после 3000 циклов открываний-закрываний вентиля отсутствуют поломки вентиля, а при погружении вентиля баллона в воду не наблюдается выделения пузырьков воздуха из вентиля.
7.2.6. Определение запаса воздуха, при котором срабатывает сигнальное устройство
(п. 4.5.4.1), и уровня звукового давления, создаваемого сигнальным устройством
(п. 4.5.4.3)
7.2.6.1. Аппаратура
Шумомер с диапазоном уровня звукового давления от 30 до 130 дБА и погрешностью не более 2 дБА.
7.2.6.2. Подготовка к испытанию
Устанавливают диапазон частотной характеристики шумомера от 800 до 4000 Гц. Микрофон шумомера устанавливают на расстоянии от 5 до 10 мм от сигнального устройства.
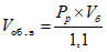
Вычисляют общий запас воздуха в баллоне (баллонах)

(дм3) по формуле

, (7.1)
где

- рабочее давление в баллоне (баллонах), кгс/см2;

- водяная вместимость баллона (баллонов), дм3;
1,1 - коэффициент сжимаемости воздуха при давлении 300 кгс/см2.
7.2.6.3. Проведение испытания
Открывают вентиль баллона дыхательного аппарата и, убедившись, что давление в баллоне не менее 75% от рабочего, закрывают вентиль. Байпасом понижают давление в системе дыхательного аппарата и по манометру дыхательного аппарата определяют давление, при котором срабатывает сигнальное устройство, а (при срабатывании сигнального устройства) по шумомеру определяют уровень звукового давления, создаваемого сигнальным устройством.
Вычисляют запас воздуха

, при котором срабатывает сигнальное устройство, по формуле

, (7.2)
где

- давление, при котором срабатывает сигнальное устройство, кгс/см2;

- водяная вместимость баллона (баллонов), дм3;

- атмосферное давление в нормальных условиях, кгс/см2.
Используя полученный результат, вычисляют отношение

к общему запасу воздуха в баллоне (баллонах)

, выраженное в процентах.
Результат испытания считается положительным, если выполняются требования
пп. 4.5.4.1 и
4.5.4.3.
7.2.7. Определение величины утечки воздуха при срабатывании сигнального устройства
(п. 4.5.4.5)
7.2.7.1. Аппаратура
Газовый счетчик с диапазоном измерений от 0 до 1000 дм3 и погрешностью не более 0,02 дм3.
Гибкая трубка для подключения газового счетчика к выходу сигнального устройства.
7.2.7.2. Проведение испытания
Выходной патрубок сигнального устройства соединяют с газовым счетчиком при помощи гибкой трубки.
Берется дыхательный аппарат с давлением в баллоне, при котором срабатывает сигнальное устройство. Открывают вентиль баллона и по газовому счетчику определяют утечку воздуха за 1 мин.
Результат испытания считается положительным, если выполняются требования
п. 4.5.4.5.
Для испытания используется одна лицевая часть дыхательного аппарата.
7.2.8.1. Оборудование
Муляж головы человека.
Шар из стали массой 150 г.
7.2.8.2. Проведение испытаний
Лицевая часть надевается на муляж головы человека, который укладывается горизонтально на ровную поверхность.
Стальной шар сбрасывают на центр стекла с высоты 1,5 +/- 0,01 м, обеспечивая его свободное падение (начальная скорость равна 0, без отклонений от вертикали).
Результат испытания считается положительным, если на поверхности стекла после трех последовательных соударений его с шаром не образуется видимых трещин.
7.2.9. Определение расхода воздуха, при работе устройства дополнительной подачи воздуха (байпаса)
(п. 4.5.7.3)
7.2.9.1. Оборудование
Ротаметр газовый с пределом измерения от 0 до 150 дм3/мин по воздуху с погрешностью не более 2,5%.
7.2.9.2. Проведение испытаний
Испытания дыхательного аппарата проводят при номинальном рабочем давлении в баллоне и при давлении 2,0 МПа.
Дыхательный аппарат присоединяют к ротаметру, открывают вентиль баллона, нажимают на байпас и по шкале ротаметра определяют расход воздуха за 1 мин.
Результат испытания считается положительным, если выполняются требования
п. 4.5.7.3.
7.2.10. Определение герметичности систем высокого и редуцированного давления
(п. 4.5.7.4)
7.2.10.1. Оборудование и средства измерения
Муляж головы человека.
Секундомер с погрешностью не более 0,1 с.
7.2.10.2. Проведение испытаний
Лицевую часть дыхательного аппарата надевают на муляж головы человека, открывают вентиль баллона, наполненного до номинального рабочего давления, переключают (в соответствии с инструкцией по эксплуатации на конкретное изделие) легочный автомат на работу в режим с избыточным давлением и закрывают вентиль баллона. По манометру дыхательного аппарата регистрируют изменение давления в воздуховодной системе за 1 мин.
Результат испытания считается положительным, если выполняются требования
п. 4.5.7.4.
7.2.11. Испытания спасательного устройства с избыточным давлением под лицевой частью
(п. 4.5.9.3)
7.2.12. Определение давления открытия клапана легочного автомата спасательного устройства без избыточного давления под лицевой частью
(п. 4.5.9.4.2)
Испытания проводят при номинальном рабочем давлении в баллоне и при давлении, равном 2,0 МПа.
7.2.12.1. Оборудование
Насос производительностью до 100 дм3/мин по воздуху с погрешностью не более 5%.
Ротаметр с диапазоном измерений от 0 до 150 дм3/мин и погрешностью не более 2,5%.
Мановакуумметр с диапазоном измерений от минус 1000 до 1000 Па с погрешностью не более 20 Па.
Муляж головы человека.
7.2.12.2. Подготовка к испытаниям
На муляж головы человека надевается лицевая часть спасательного устройства дыхательного аппарата. К муляжу подсоединяется мановакуумметр, а также последовательно подсоединяются ротаметр и насос (рис. 7.2).
Рис. 7.2. Принципиальная схема соединения оборудования
для определения давления открытия клапана легочного
автомата спасательного устройства без избыточного давления
под лицевой частью:
1 - дыхательный аппарат; 2 - легочный автомат спасательного
устройства; 3 - лицевая часть; 4 - муляж;
5 - мановакуумметр; 6 - ротаметр; 7 - насос
7.2.12.3. Проведение испытаний
Открывают вентиль баллона и с помощью насоса в воздуховодной системе дыхательного аппарата создают расход воздуха 10 дм3/мин (контролируется по ротаметру). По мановакуумметру определяют вакуумметрическое давление, при котором начинает работать легочный автомат.
Результат испытания считается положительным, если при номинальном рабочем давлении в баллоне и при давлении, равном 2,0 МПа, выполняются требования
п. 4.5.9.4.2.
7.2.13. Определение герметичности воздуховодной системы дыхательного аппарата со спасательным устройством без избыточного давления под лицевой частью
(п. 4.5.9.4.3)
7.2.13.1. Оборудование
Мановакуумметр с диапазоном измерений от минус 1000 до 1000 Па с погрешностью не более 20 Па.
Муляж головы человека.
Секундомер с погрешностью не более 0,1 с.
7.2.13.2. Проведение испытаний
Лицевую часть спасательного устройства надевают на муляж головы человека. Легочный автомат спасательного устройства присоединяют к мановакуумметру со встроенным насосом, создают им в воздуховодной системе вакуумметрическое давление 900 Па и делают выдержку 2,5 +/- 0,5 мин для стабилизации системы. Затем устанавливают вакуумметрическое давление 800 +/- 20 Па, включают секундомер и через 2 мин регистрируют изменение давления в воздуховодной системе.
По той же схеме проверки, заглушив клапан выдоха в лицевой части, создают в воздуховодной системе избыточное давление 900 Па и делают выдержку 2,5 +/- 0,5 мин. Затем устанавливают избыточное давление 800 +/- 20 Па, включают секундомер и через 2 мин регистрируют изменение давления в воздуховодной системе.
Результат испытания считается положительным, если выполняются требования
п. 4.5.9.4.3.
7.2.14. Определение герметичности магистралей высокого и редуцированного давления дыхательного аппарата со спасательным устройством без избыточного давления под лицевой частью
(п. 4.5.9.4.4)
7.2.14.1. Средства измерения
Секундомер с погрешностью не более 0,1 с.
7.2.14.2. Проведение испытаний
Берется дыхательный аппарат (с номинальным рабочим давлением воздуха в баллоне) и подключенным к нему спасательным устройством без избыточного давления под лицевой частью. Открывают вентиль баллона и закрывают его. Включают секундомер и по манометру дыхательного аппарата регистрируют изменение давления в воздуховодной системе за 1 мин.
Результат испытания считается положительным, если выполняются требования
п. 4.5.9.4.4.
7.3. Испытания на устойчивость к внешним воздействиям
Испытание заключается в том, что дыхательный аппарат подвергается внешним воздействиям с параметрами, изложенными в
пп. 7.3.1, 7.3.2.1 -
7.3.2.3, 7.3.3, и после каждого воздействия проводится проверка выполнения дыхательным аппаратом требований, изложенных в
пп. 4.4.3.2 (при нулевом расходе воздуха и нормальной температуре окружающего воздуха),
4.4.3.3, 4.5.4.1, 4.5.7.4.
Испытания проводят последовательно на одном дыхательном аппарате.
7.3.1. Определение работоспособности дыхательного аппарата после пребывания в среде с температурой 200 °С
(п. 4.1.1)
7.3.1.1. Оборудование
Камера тепла вместимостью не менее 0,4 м3, обеспечивающая поддержание температуры в диапазоне от 20 до 220 °С с погрешностью не более 5 °С.
Мановакуумметр с диапазоном измерений от 0 до 1000 Па с погрешностью не более 20 Па.
7.3.1.2. Проведение испытания
В камере тепла создается температура от 200 до 230 °С, после чего в нее помещается дыхательный аппарат. После установки дыхательного аппарата в камеру температура в ней должна поддерживаться в диапазоне от 200 до 205 °С. Дыхательный аппарат выдерживается в камере в течение 60 с. После этого дыхательный аппарат извлекается из камеры и проводится проверка его на соответствие требованиям, перечисленным в
п. 7.3.
Результат испытания считается положительным, если после окончания испытания выполняются требования, перечисленные в
п. 7.3.
7.3.2. Испытания на устойчивость к механическим воздействиям
Испытания должны проводиться при нормальных климатических условиях по
ГОСТ 15150.
Испытания включают проверку сохранения работоспособности дыхательного аппарата после транспортной тряски, воздействия вибронагрузки и ударов.
7.3.2.1. Определение сохранения работоспособности дыхательного аппарата после транспортной тряски
(п. 4.6.2.1)
7.3.2.1.1. Оборудование
Стенд-имитатор транспортной тряски, обеспечивающий имитацию транспортирования дыхательного аппарата, с диапазоном частот от 2 до 3 Гц с погрешностью не более 2% и ускорением до 3 g с погрешностью не более 2%.
Контейнер, имитирующий ячейку для хранения дыхательного аппарата в отсеке пожарного автомобиля.
Мановакуумметр с диапазоном измерений от 0 до 1000 Па с погрешностью не более 20 Па.
7.3.2.1.2. Проведение испытания
Для проверки работоспособности дыхательного аппарата после транспортной тряски (при имитации транспортирования к потребителю в транспортной упаковке) дыхательный аппарат с давлением в баллоне (баллонах) от 1 до 3 МПа в транспортной упаковке жестко крепят в центре платформы стенда в положении, определяемом надписью или условным знаком на упаковке "Верх". Испытания проводят с перегрузкой 3 g при частоте от 2 до 3 Гц. Продолжительность воздействия 1 ч.
Результат испытания считается положительным, если после его окончания отсутствуют механические повреждения дыхательного аппарата и выполняются требования, перечисленные в
п. 7.3.
Для проверки работоспособности дыхательного аппарата после транспортной тряски (при имитации транспортирования к месту применения) дыхательный аппарат в положении вентилем вниз (в снаряженном состоянии) закрепляют в контейнере, имитирующем ячейку для хранения дыхательного аппарата в отсеке пожарного автомобиля. Контейнер в вертикальном положении жестко закрепляют в центре платформы стенда. Испытание проводят с перегрузкой 3 g при частоте от 2 до 3 Гц. Продолжительность воздействия 0,5 ч.
Результаты испытания считаются положительными, если после его окончания отсутствуют механические повреждения дыхательного аппарата и выполняются требования, перечисленные в
п. 7.3.
7.3.2.2. Определение сохранения работоспособности дыхательного аппарата после воздействия вибронагрузки
(п. 4.6.2.2)
7.3.2.2.1. Оборудование
Вибростенд, обеспечивающий создание нагрузки в диапазоне частот от 50 до 60 Гц с погрешностью не более 8% и амплитудой 0,4 мм с погрешностью не более 10%.
Контейнер, имитирующий ячейку для хранения дыхательного аппарата в отсеке пожарного автомобиля.
Мановакуумметр с диапазоном измерений от 0 до 1000 Па с погрешностью не более 20 Па.
7.3.2.2.2. Проведение испытания
Дыхательный аппарат в положении вентилем вниз (в снаряженном состоянии) закрепляют в контейнере, имитирующем ячейку в отсеке пожарного автомобиля. Контейнер в вертикальном положении жестко крепят к столу вибростенда. Испытания проводят в течение 60 мин в направлении "вверх-вниз", с частотой от 50 до 60 Гц и амплитудой 0,4 мм.
Результат испытания считается положительным, если после его окончания выполняются требования, перечисленные в
п. 7.3.
7.3.2.3. Определение сохранения работоспособности дыхательного аппарата после воздействия ударов
(п. 4.6.2.3)
7.3.2.3.1. Оборудование
Установка ударная, обеспечивающая ударный импульс 5 +/- 1 мс с погрешностью не более 20% и максимальное ускорение 100 +/- 5 м/с2 с погрешностью не более 20%.
Мановакуумметр с диапазоном измерений от 0 до 1000 Па с погрешностью не более 20 Па.
7.3.2.3.2. Проведение испытания
Дыхательный аппарат в снаряженном состоянии жестко крепят к столу ударной установки в горизонтальном положении наружной стороной вниз. Производят воздействия 1000 ударов на дыхательный аппарат с частотой 50

, длительностью ударного импульса 5 +/- 1 мс и максимальным ускорением 100 +/- 5 м/с2.
Результат испытания считается положительным, если после его окончания выполняются требования, перечисленные в
п. 7.3.
7.3.3.1. Оборудование и средства измерения
Климатическая камера вместимостью не менее 0,4 м3, обеспечивающая поддержание температуры в диапазоне от минус 60 до 100 °С с погрешностью не более +/- 2 °С.
Камера тепла и влаги вместимостью не менее 0,4 м3, обеспечивающая поддержание температуры в диапазоне от 20 до 100 °С с погрешностью не более 2 °С и влажность от 45 до 95% с погрешностью не более 3%.
Мановакуумметр с диапазоном измерений от 0 до 1000 Па с погрешностью не более 20 Па.
7.3.3.2. Определение сохранения работоспособности дыхательного аппарата после воздействия температуры 50 °С
(п. 4.6.2.4)
7.3.3.2.1. Проведение испытания
Дыхательный аппарат без упаковки выдерживают в климатической камере при температуре 50 +/- 3 °С в течение 4 ч. После этого дыхательный аппарат выдерживают при нормальной температуре окружающего воздуха в течение 4 ч.
Результат испытания считается положительным, если после его окончания выполняются требования, перечисленные в
п. 7.3.
7.3.3.3. Определение сохранения работоспособности дыхательного аппарата после воздействия температуры минус 60 °С
(п. 4.6.2.4)
7.3.3.3.1. Проведение испытания
Дыхательный аппарат без упаковки выдерживают в климатической камере при температуре минус 60 +/- 3 °С в течение 4 ч. После этого дыхательный аппарат выдерживают при нормальной температуре окружающего воздуха в течение 4 ч.
Результат испытания считается положительным, если после его окончания выполняются требования, перечисленные в
п. 7.3.
7.3.3.4. Определение сохранения работоспособности дыхательного аппарата после воздействия температуры 40 °С в течение 10 суток
(п. 4.6.2.4)
7.3.3.4.1. Проведение испытания
Дыхательный аппарат без упаковки выдерживают в климатической камере при температуре 40 +/- 2 °С в течение 10 суток. После этого дыхательный аппарат выдерживают при нормальной температуре окружающего воздуха в течение 24 ч.
Результат испытания считается положительным, если после его окончания выполняются требования, перечисленные в
п. 7.3.
7.3.3.5. Определение сохранения работоспособности дыхательного аппарата после воздействия температуры 35 °С при относительной влажности 90%
(п. 4.6.2.4)
7.3.3.5.1. Проведение испытания
Дыхательный аппарат без упаковки выдерживают в камере тепла и влаги при температуре 35 +/- 2 °С, относительной влажности 90 +/- 3% в течение 24 ч. После этого дыхательный аппарат выдерживают при нормальных климатических условиях в течение 24 ч.
Результат испытания считается положительным, если после его окончания выполняются требования, перечисленные в
п. 7.3.
7.3.4. Определение устойчивости дыхательного аппарата к дезинфицирующим растворам
(п. 4.6.4.1)
Марлевые салфетки размером 100 х 100 мм.
Водный раствор (6 +/- 1%) перекиси водорода.
Водный раствор (1 +/- 0,2%) хлорамина.
Водный раствор (8 +/- 1%) борной кислоты.
Водный раствор (0,5 +/- 0,1%) марганцовокислого калия.
Спирт этиловый ректификованный.
7.3.4.2. Проведение испытаний
Проверка проводится поочередно и отдельно каждым из перечисленных
(п. 7.3.4.1) водных растворов, а также спиртом.
Намочить в выбранном растворе (спирте) марлевую салфетку, отжать ее и пятикратно обтереть поверхности: лицевой части, легочного автомата и спасательного устройства дыхательного аппарата с интервалом между протирками 15 мин.
Перед каждой протиркой марлевая салфетка должна быть смочена заново. Объем каждого раствора должен быть не менее 50 г.
Результат испытания считается положительным, если после протирок всеми перечисленными в
п. 7.3.4.1 водными растворами, а также спиртом отсутствуют визуально наблюдаемые изменения поверхностных слоев обработанных составных частей дыхательного аппарата.
7.3.5. Определение устойчивости дыхательного аппарата к воздействию растворов ПАВ
(п. 4.6.4.2)
7.3.5.1. Материалы
Пена средней кратности (например, получаемая в соответствии с ГОСТ 50588,
п. 5.2) в количестве не менее 50 дм3.
7.3.5.2. Проведение испытаний
Проверка проводится погружением дыхательного аппарата в пену на 10 мин, после чего дыхательный аппарат обмывают чистой водой и просушивают.
Результат испытания считается положительным, если после его окончания не наблюдается изменений поверхностей дыхательного аппарата.
7.4. Испытания на стенде-имитаторе
внешнего дыхания человека
7.4.1.1. Оборудование
Стенд-имитатор внешнего дыхания человека, описание которого дано в
Приложении 1.
7.4.1.2. Подготовка к испытаниям
При подготовке дыхательного аппарата к испытанию допускается лишь минимальное вмешательство в его конструкцию, необходимое для определения некоторых параметров, но при условии, что это не нарушит нормальной работы дыхательного аппарата. Допускается присоединение к лицевой части приспособления для отбора проб газовоздушной смеси и контроля температуры газовоздушной смеси под лицевой частью.
Дыхательный аппарат снаряжают и проверяют в соответствии с инструкцией по эксплуатации. Вносят в протокол испытания
(Приложение 2) параметры дыхательного аппарата по
пп. 2.1 -
2.3 (до испытания) и заданные значения показателей работы стенда по
пп. 3.1 -
3.9.
Стенд настраивают на дыхательный режим, соответствующий условиям конкретного испытания, и фиксируют в
разд. 3 протокола испытаний
(Приложение 2) полученные фактические значения.
Рассчитывают заданную объемную долю двуокиси углерода в выдыхаемом воздухе
(п. 3.6 Приложения 2), при легочных условиях по
табл. 7.1, по формуле 7.3

, (7.3)
где С - объемная доля двуокиси углерода (заданное значение) в выдыхаемом воздухе при (ЛУ), % (табл. 7.1); V - выделение двуокиси углерода при (СУ), дм3/мин
(табл. 7.2); W - легочная вентиляция при (ЛУ), дм3/мин
(табл. 7.2); 
= 101,3 кПа - нормальное давление;

- атмосферное давление, кПа.
Таблица 7.1
Физические условия испытаний
Наименование | Условное обозначение | Температура, °С | Относительная влажность, % |
Стандартные условия | СУ | 0 | 0 |
Нормальные условия | НУ | 20 | 0 |
Легочные условия | ЛУ | 37 | 100 |
┌──────────────────────┬────────┬────────────────────────────────┐
│ Наименование │Относи- │ Работа │
│ показателя │тельный ├──────────┬──────────┬──────────┤
│ │покой │ средней │ тяжелая │ очень │
│ │ │ тяжести │ │ тяжелая │
├──────────────────────┼────────┼──────────┼──────────┼──────────┤
│Выделение двуокиси уг-│ 0,4 │ 1,0 │ 2,0 │ 3,0 │
│лерода (СУ), дм3/мин │ │ │ │ │
├──────────────────────┼────────┼──────────┼──────────┼──────────┤
│Потребление кислорода │ 0,47 │ 1,14 │ 2,22 │ 3,16 │
│(СУ), дм3/мин │ │ │ │ │
├──────────────────────┼────────┼──────────┼──────────┼──────────┤
│Дыхательный │ 0,85 │ 0,88 │ 0,90 │ 0,95 │
│коэффициент │ │ │ │ │
├──────────────────────┼────────┼──────────┼──────────┼──────────┤
│Легочная вентиляция │ 12,5 │ 30 │ 60 │ 85 │
│(ЛУ), дм3/мин │ │ │ │ │
├──────────────────────┼────────┼──────────┼──────────┼──────────┤
│Дыхательный объем │ 0,83 │ 1,5 │ 2,4 │ 2,83 │
│(ЛУ), дм3 │ │ │ │ │
├──────────────────────┼────────┼──────────┼──────────┼──────────┤
│ -1│ │ │ │ │
│Частота дыхания, мин │ 15 │ 20 │ 25 │ 30 │
└──────────────────────┴────────┴──────────┴──────────┴──────────┘
Дыхательный аппарат помещают в климатическую камеру в вертикальном положении, лицевую часть надевают на муляж головы человека, подключенный к стенду и закрывают камеру.
7.4.1.3. Проведение испытаний
Испытания проводят при различных условиях дыхания и значениях температуры воздуха в климатической камере.
Испытания дыхательного аппарата проводят при каждом из четырех дыхательных режимов, характеризующихся совокупностью показателей, приведенных в
табл. 7.2. Значения показателей режимов работы стенда во время испытаний должны соответствовать значениям, приведенным в
табл. 7.2, с учетом допусков, приведенных в
Приложении 1.
Количество испытаний для каждого режима, определяемого совокупностью дыхательного режима и значения температуры, приведено в табл. 7.3.
Таблица 7.3
Объем испытаний дыхательного аппарата
на стенде-имитаторе внешнего дыхания человека
Температура в климатической камере, °С | Легочная вентиляция, дм3/мин |
12,5 | 30 | 60 | 85 |
25 +/- 1 | 1 | 1 | 1 | 1 |
40 +/- 1 | - | 1 | 1 | - |
60 +/- 2 | - | 1 | - | - |
минус 40 +/- 2 | - | 1 | 1 | - |
Перед испытанием дыхательный аппарат выдерживают в климатической камере при соответствующей температуре в течение 30 мин. При испытании дыхательного аппарата при температуре минус 40 °С его выдерживают без лицевой части, которую подключают к дыхательному аппарату непосредственно перед включением стенда.
После выдержки дыхательного аппарата включают стенд, открывают вентиль (вентили) баллона (баллонов) дыхательного аппарата, подключают лицевую часть к дыхательному аппарату (если выдержка проводилась при температуре минус 40 °С), а затем через равные промежутки времени, но не реже чем через 10 мин, регистрируют в протоколе
(Приложение 2) следующие параметры работы испытываемого дыхательного аппарата:
- давление воздуха в баллоне;
- давление воздуха в подмасочном пространстве лицевой части на вдохе
(п. 4.4.3.2);
- объемную долю двуокиси углерода во вдыхаемом воздухе
(п. 4.4.3.1);
- давление воздуха, при котором срабатывает сигнальное устройство.
По окончании испытания в протоколе регистрируется:
- работоспособность дыхательного аппарата
(п. 4.1);
- запас воздуха, при котором срабатывает сигнальное устройство
(п. 4.5.4.1), продолжительность работы сигнального устройства (при легочной вентиляции 30 дм3/мин и температуре в климатической камере 25 °С)
(п. 4.5.4.4);
Испытания проводятся до исчерпания защитной способности дыхательного аппарата, которая определяется наступлением одного из нижеперечисленных событий:
- уменьшения давления воздуха в баллоне до 1,0 МПа;
- снижения давления воздуха в подмасочном пространстве лицевой части до 0 Па;
- превышения значений фактического сопротивления дыханию на выдохе, указанных в
п. 4.4.3.4;
- увеличения объемной доли двуокиси углерода во вдыхаемой смеси свыше 1,5%.
7.4.1.4. Обработка результатов
Определяют и фиксируют в протоколе испытаний
(Приложение 2) максимальные и минимальные значения показателей: давления воздуха в подмасочном пространстве лицевой части на вдохе, сопротивления дыханию на выдохе, объемной доли двуокиси углерода на вдохе.
Рассчитывают среднеарифметическое значение вышеуказанных показателей и фиксируют их в протоколе
(Приложение 2).
Рассчитывается и фиксируется в протоколе
(Приложение 2) фактическое сопротивление дыханию на выдохе, получаемое как разность между сопротивлением дыханию на выдохе, зарегистрированным прибором, и средним значением избыточного давления в подмасочном пространстве лицевой части при нулевом расходе воздуха.
Результат проверки работоспособности дыхательного аппарата
(п. 4.1) считается положительным, если во всех определениях (при различных значениях легочной вентиляции и температуры окружающего воздуха) выполняются следующие требования:
- давление воздуха в подмасочном пространстве лицевой части более 0 МПа;
- значения фактического сопротивления дыханию на выдохе не превышают значений, указанных в
п. 4.4.3.4;
- объемная доля двуокиси углерода во вдыхаемой смеси не выше 1,5%.
Результаты проверок (при соответствующих значениях легочной вентиляции и температуры окружающего воздуха): условного времени защитного действия
(п. 4.3.1), фактического времени защитного действия
(п. 4.3.2), объемной доли двуокиси углерода во вдыхаемой смеси
(п. 4.4.3.1), фактического сопротивления дыханию на выдохе
(п. 4.4.3.4), запаса воздуха, при котором срабатывает сигнальное устройство
(п. 4.5.4.1), продолжительности работы сигнального устройства
(п. 4.5.4.4), - считаются положительными, если во всех определениях выполняются требования
пп. 4.3.1, 4.3.2, 4.4.3.1, 4.4.3.4, 4.5.4.1, 4.5.4.4.
Результат проверки исполнения системы воздухоснабжения
(п. 4.4.3.2) считается положительным, если во всех определениях давление в подмасочном пространстве лицевой части (при различных значениях легочной вентиляции и температуры окружающего воздуха) более 0.
Результат проверки работоспособности стекла лицевой части
(п. 4.5.6.7) считается положительным, если во всех определениях (при различных значениях легочной вентиляции и температуры окружающего воздуха) отсутствуют визуально наблюдаемые замерзание и запотевание стекла лицевой части.
7.4.2. Определение работоспособности дыхательного аппарата при погружении в воду
(п. 4.6.3) и влагонепроницаемости манометра
(п. 4.5.3.1)
7.4.2.1. Оборудование
Стенд-имитатор дыхания СИД, описание которого дано в
Приложении 1.
Емкость вместимостью не менее 1 м3, заполненная водой и предназначенная для погружения дыхательного аппарата.
Секундомер с погрешностью не более 0,1 с.
7.4.2.2. Проведение испытания
Лицевая часть снаряженного дыхательного аппарата надевается на муляж головы человека, подключенного к стенду-имитатору дыхания.
Открывается вентиль (вентили) баллона (баллонов) и включается стенд-имитатор на дыхательный режим 30/25 (работа средней тяжести, легочная вентиляция 30 дм3/мин, при температуре 25 °С).
Фиксируется сопротивление дыханию по дифманометру стенда, после чего работающий дыхательный аппарат в горизонтальном положении погружается в воду на 15 с. Вода должна полностью покрывать дыхательный аппарат. После этого дыхательный аппарат извлекают из воды (без изменения режима работы), устанавливают в вертикальное положение и выдерживают в течение 10 ... 15 мин.
Результат испытания считается положительным, если в процессе испытаний и по его окончании выполняются требования
п. 4.4.3.2 (при нулевом расходе воздуха и нормальной температуре окружающего воздуха) и
п. 4.4.3.4, а также визуально устанавливается отсутствие влаги под стеклом манометра.
7.4.3. Определение сопротивления дыханию спасательного устройства дыхательного аппарата без избыточного давления под лицевой частью
(п. 4.5.9.4.1)
Испытания проводятся при легочной вентиляции 30 дм3/мин и нормальной температуре окружающего воздуха.
7.4.3.1. Оборудование
Стенд-имитатор внешнего дыхания человека СИД, описание которого дано в
Приложении 1.
7.4.3.2. Подготовка к испытаниям
Подготовка к испытаниям дыхательного аппарата со спасательным устройством, а также настройка стенда-имитатора проводится в соответствии с
п. 7.4.1.2.
Лицевую часть спасательного устройства надевают на муляж головы человека, который подключается к стенду.
7.4.3.3. Проведение испытаний
Включают стенд, открывают вентиль (вентили) баллона (баллонов) дыхательного аппарата, а затем, через 5 мин с момента начала испытания, определяется сопротивление дыханию спасательного устройства при легочной вентиляции 30 дм3/мин.
Результат испытания считается положительным, если в процессе испытаний выполняются требования
п. 4.5.9.4.1.
7.5. Лабораторные испытания на людях
Испытания дыхательного аппарата на людях дополняют основную оценку дыхательного аппарата, полученную при испытаниях на приборах и на стенде-имитаторе дыхания.
Испытания проводят с целью определения:
- защитных свойств дыхательного аппарата;
- условий дыхания в дыхательном аппарате;
- физиологических реакций человека на работу в дыхательном аппарате;
- особенностей работы составных частей и систем дыхательного аппарата;
- удобства пользования дыхательным аппаратом.
Испытания должны проводиться под руководством начальника специализированного испытательного подразделения, который назначает ответственного за испытания. Ответственный за испытания дыхательных аппаратов на людях привлекает для участия в опытах: испытателей, ответственного за подготовку дыхательных аппаратов, врача и физиолога.
В качестве испытателей привлекаются лица, регулярно использующие дыхательные аппараты и обладающие соответствующими медицинскими показателями. Допуск к испытаниям осуществляет врач. Испытатели не должны в течение 24 ч перед испытанием выполнять тяжелую физическую работу и принимать алкоголь. Испытатели должны получить полную информацию о характере и объеме опытов.
Перед началом каждого испытания должна быть проведена проверка дыхательных аппаратов в объеме проверки N 2 по Приказу МВД России N 234 от 30.04.96 г. ("Наставление по газодымозащитной службе Государственной противопожарной службы МВД России") в соответствии с инструкцией по эксплуатации. Результаты проверки заносятся в протокол
(Приложение 3). Допуск дыхательных аппаратов к испытаниям осуществляет лицо, назначенное ответственным за испытания.
Испытания проводят в эргометрическом зале, камерах тепла и холода, камере масляного тумана.
7.5.1. Испытания в эргометрическом зале, камерах тепла и холода
(пп. 4.1, 4.4.1.1, 4.4.2.1, 4.4.3.2, 4.4.3.4, 4.5.2.1, 4.5.2.2, 4.5.3.2, 4.5.3.5, 4.5.3.7, 4.5.4.1, 4.5.4.2, 4.5.5.1 -
4.5.5.3, 4.5.6.2, 4,5.6.5, 4.5.6.7, 4.5.7.2)
7.5.1.1. Оборудование и средства измерения
7.5.1.1.1. Оборудование для создания физических нагрузок
Эргометрический зал площадью 20 +/- 1 м2 и высотой 2,7 +/- 0,2 м.
Стенд - движущаяся дорожка со скоростью движения ленты, изменяющейся от 30 до 100 м/мин, с погрешностью не более 10%, с установленным на ней имитатором носилок, массой 40 +/- 0,5 кг.
Вертикальный эргометр с грузами 10 +/- 0,25 кг и 20 +/- 0,25 кг и высотой подъема 1,2 +/- 0,05 м.
Стенд - бесконечная лестница с изменяющейся скоростью движения перекладин в диапазоне от 4 до 20 м/мин с погрешностью не более 10% и изменяющимся углом наклона от 65 до 90° с погрешностью не более 5%.
Помост площадью 9,0 +/- 1,5 дм2 и высотой 3,0 +/- 0,1 дм.
Груз (ящик с ручками для переноски или гиря) массой 20 +/- 0,1 кг.
7.5.1.1.2. Оборудование для создания тепла и холода
Камеры тепла и холода с диапазоном температур от минус 50 до 50 °С с погрешностью не более 3 °С, объемом не менее 12 м3.
7.5.1.1.3. Средства измерения
Мановакуумметр с диапазоном измерений от 0 до 1000 Па с погрешностью не более 20 Па.
Термометры для измерения температуры воздуха с диапазоном измерений от 0 до 100 °С и от минус 50 до 0 °С с погрешностью измерений не более 1 °С.
Термометр для измерения температуры тела с погрешностью не более 0,1 °С.
Тонометр медицинский манометрический с погрешностью не более 1 мм рт. ст.
Секундомер с погрешностью не более 0,1 с.
7.5.1.2. Подготовка к испытаниям
Лицевую часть дыхательного аппарата оборудуют штуцером для подключения мановакуумметра в соответствии с
ГОСТ 12.4.005.
7.5.1.3. Условия проведения испытаний
В испытаниях должны участвовать три испытателя.
Испытания проводят путем выполнения испытателями дозированной физической работы, имитирующей реальную нагрузку при выполнении газодымозащитниками работ по тушению пожаров и проведении аварийно-спасательных работ.
Дозированная физическая нагрузка осуществляется путем выполнения комплекса упражнений на оборудовании по
п. 7.5.1.1.1 в лабораторных условиях.
Лабораторные испытания дыхательного аппарата на людях проводят при следующих условиях окружающей среды:
- при температуре окружающей среды 25 +/- 2 °С, относительной влажности 40 - 80%;
- при температуре окружающей среды 40 +/- 2 °С, относительной влажности 15 - 60%;
- при температуре окружающей среды минус 40 +/- 2 °С.
Испытатели должны быть одеты в штатную боевую одежду, сапоги, каску, а при работе в камерах тепла и холода, кроме того, должны быть надеты рукавицы и шерстяной подшлемник.
7.5.1.4. Проведение испытаний
Перед началом испытаний и после их завершения у испытателя измеряют и фиксируют в протоколе
(Приложение 3) массу тела, рост, частоту дыхания, частоту пульса, артериальное давление, температуру тела (подмышечную).
При выполнении испытателем комплекса упражнений в лабораторных условиях контролируются параметры дыхательного аппарата по
пп. 4.4.3.2, 4.5.4.1.
После завершения испытаний рассчитывается фактическое сопротивление дыханию на выдохе
(п. 4.4.3.4) как разность между сопротивлением дыханию на выдохе, зарегистрированным прибором, и средним значением избыточного давления в подмасочном пространстве лицевой части при нулевом расходе воздуха. Результаты записываются в
разд. 4 протокола (Приложение 3).
Продолжительность и последовательность выполнения упражнений представлена в табл. 7.4.
Таблица 7.4
Перечень упражнений, порядок и продолжительность их
выполнения при проведении испытаний дыхательного
аппарата в эргометрическом зале,
в камерах тепла и холода
Наименование упражнений | Температура окружающей среды, °С |
минус 40 | 25 | 40 |
1. Ходьба по горизонтальной движу- щейся дорожке со скоростью 80 м/мин | - | 10/3 | 5/3 |
2. Ползание на четвереньках по полу со скоростью 10 м/мин | - | 5/3 | - |
3. Работа на вертикальном эрго- метре, груз 20 кг, высота подъема 1,2 м, темп 20 раз в минуту | - | 5/3 | - |
4. Подъем по лестнице (угол наклона 75°), скорость 10 м/мин | - | 5/3 | - |
5. Переноска носилок массой 40 кг со скоростью 60 м/мин на движущейся дорожке | - | 5/3 | - |
6. Работа на вертикальном эрго- метре, груз 10 кг, высота подъема 1,2 м, темп 20 раз в минуту | - | - | 10/3 |
7. Подъем на помост высотой 3,0 дм и спуск с него в темпе 20 раз в минуту | 5/2 | - | 5/3 |
8. Переноска груза массой 20 кг на расстояние 5 м | 10/3 | - | 10/3 |
9. Подъем груза массой 20 кг до высоты 1,2 м с интенсивностью 10 раз в минуту (фиксируется по уровню рук испытателя) | 10/3 | - | 10/3 |
10. Ходьба по горизонтальной движу- щейся дорожке со скоростью 80 м/мин | - | 15 | 5 <**> |
--------------------------------
<*> В числителе указана продолжительность выполнения упражнения, а в знаменателе - отдыха после выполнения упражнения.
<**> Во время испытания дыхательного аппарата при температуре 40 °С вводная и заключительная ходьба проводится при температуре окружающей среды 25 °С.
Перед испытанием при температуре 25 и 40 °С дыхательный аппарат выдерживают при заданной температуре 30 мин.
При температуре минус 40 °С включение испытателя в дыхательный аппарат проводится в следующем порядке.
Испытатель берет дыхательный аппарат, находящийся при нормальной температуре окружающего воздуха, и входит с ним в камеру холода. В камере испытатель надевает дыхательный аппарат и открывает вентиль (вентили) баллона (баллонов). Испытатель находится в камере в течение 15 мин, затем выходит из камеры холода и в помещении лаборатории надевает лицевую часть и включается в дыхательный аппарат. После этого он входит в камеру холода для выполнения комплекса упражнений.
Все упражнения выполняются каждым испытателем последовательно, без выключения из дыхательного аппарата как во время работы, так и во время отдыха.
При испытании дыхательного аппарата со спасательным устройством заключительная ходьба проводится с имитацией вывода пострадавшего, т.е. к дыхательному аппарату подключены два человека.
Если давление воздуха в баллоне дыхательного аппарата по завершении комплекса упражнений больше 1,0 МПа, то упражнения повторяются до исчерпания запаса воздуха.
Во время испытаний по окончании каждого упражнения фиксируют в протоколе
(Приложение 3) следующие физиологические показатели испытателей:
- частоту пульса;
- частоту дыхания.
По окончании каждого опыта испытатель сообщает о самочувствии, степени усталости и дает субъективную оценку испытуемого дыхательного аппарата. Результаты заносятся в протокол
(Приложение 3).
Испытания дыхательного аппарата проводят до наступления одного из событий:
- уменьшения давления воздуха в баллоне до 1,0 МПа;
- достижения частоты пульса 170

;
- невозможности испытателем продолжать дальнейшую работу.
После испытаний, на основании мнения испытателя, в протокол
(Приложение 3) заносят данные о его состоянии, удобстве пользования дыхательным аппаратом и условиях дыхания по следующим пунктам требований:
пп. 4.4.1.1, 4.4.2.1, 4.5.2.1, 4.5.2.2, 4.5.3.2, 4.5.3.5, 4.5.3.7, 4.5.4.2, 4.5.5.1 -
4.5.5.3, 4.5.6.2, 4.5.6.5, 4.5.6.7, 4.5.7.2.
Результат проверки работоспособности дыхательного аппарата
(п. 4.1) считается положительным, если во всех определениях (при различных температурах окружающего воздуха) выполняются следующие требования:
- давление воздуха в подмасочном пространстве лицевой части более 0;
- значения фактического сопротивления дыханию на выдохе не превышают значений, указанных в
п. 4.4.3.4.
Результаты проверок (при различных температурах окружающего воздуха) фактического сопротивления дыханию на выдохе
(п. 4.4.3.4) и запаса воздуха, при котором срабатывает сигнальное устройство
(п. 4.5.4.1), считаются положительными, если во всех определениях выполняются требования
пп. 4.4.3.4, 4.5.4.1.
Результат проверки исполнения системы воздухоснабжения
(п. 4.4.3.2) считается положительным, если во всех определениях давление в подмасочном пространстве лицевой части (при различных температурах окружающего воздуха) более 0.
Результаты испытаний считаются положительными, если выполняются требования
пп. 4.4.1.1, 4.4.2.1, 4.5.2.1, 4.5.2.2, 4.5.3.2, 4.5.3.5, 4.5.3.7, 4.5.4.2, 4.5.5.1 -
4.5.5.3, 4.5.6.2, 4.5.6.5, 4.5.6.7, 4.5.7.2.
7.5.2. Определение коэффициента подсоса масляного тумана в подмасочное пространство лицевой части дыхательного аппарата
(п. 4.5.6.1)
7.5.2.1. Аппаратура и материалы
Комплект аппаратуры и материалов в соответствии с ГОСТ 12.4.157 (п. 2.1).
7.5.2.2. Проведение испытания
Испытания проводятся в соответствии с ГОСТ 12.4.157, разд. 2 и 3.
В испытаниях должно участвовать не менее 10 человек с различными антропометрическими размерами головы (по вертикальному обхвату - длины круговой линии, проходящей по подбородку и щекам через высшую точку головы (макушки) - от 610 до 720 мм и морфологической высоты лица - расстояния от наиболее углубленной точки спинки носа (переносицы) до наиболее выступающей точки подбородка - от 110 до 140 мм).
Результаты испытаний считаются положительными, если во всех определениях выполняются требования
п. 4.5.6.1.
7.5.3. Определение общего поля зрения очкового узла лицевой части
(п. 4.5.6.6)
7.5.3.1. Аппаратура
Комплект аппаратуры по ГОСТ 12.4.008 (
п. 1.1).
7.5.3.2. Проведение испытания
Испытания проводятся по
ГОСТ 12.4.008. В испытаниях должно участвовать не менее 5 человек с различными антропометрическими размерами головы, указанными в
п. 7.5.2.2.
Результат испытания считается положительным, если среднеарифметическое значение угла зрения, определенное в соответствии с
ГОСТ 12.4.008, не менее 70% от поля зрения человека без лицевой части.
7.6. Полигонные испытания дыхательного аппарата
Испытания проводятся на открытом воздухе и в теплодымокамерах.
Два звена газодымозащитников в составе не менее чем из трех человек каждое, в боевой одежде со снаряжением выполняют комплекс упражнений.
При испытании определяют показатели по
пп. 4.4.1.1, 4.4.2.1, 4.5.2.1, 4.5.2.2, 4.5.3.2, 4.5.3.5, 4.5.3.7, 4.5.4.2, 4.5.5.1 -
4.5.5.3, 4.5.6.2, 4.5.6.5, 4.5.6.7, 4.5.7.2.
Испытания включают следующие этапы:
- изучение конструкции дыхательного аппарата;
- изучение правил пользования и подготовку дыхательного аппарата к работе;
- снаряжение и проверку дыхательного аппарата;
- работу в дыхательном аппарате.
7.6.1. Проведение испытаний
Перед началом испытаний и после их завершения у испытателя измеряют массу тела, рост, частоту дыхания, частоту пульса, артериальное давление, температуру тела (подмышечную). Результаты фиксируются в протоколе в произвольной форме.
Перечень упражнений, выполняемых при полигонных испытаниях, и их длительность приведены в табл. 7.5. Детальное содержание каждого вида упражнения определяется лицом, ответственным за проведение испытаний. Порядок и продолжительность выполнения упражнений может корректироваться в зависимости от дыхательного аппарата, срока его защитного действия и местных условий.
Таблица 7.5
Перечень упражнений,
проводимых при полигонных испытаниях
Наименование упражнений | Продолжительность упражнений, мин |
на свежем воздухе | в дымо- камере | в тепло- камере |
1. Медленная и быстрая ходьба по горизонтальной поверхности (скорость 50 - 80 м/мин) | 5/- | - | - |
2. Работа с ручным немеханизи- рованным пожарным инструментом (лом, топор, лопата и др.) | | - | - |
3. Подъем и спуск по лестнице (маршевой вертикальной, штурмовой) | 5/2 | - | - |
4. Проведение разведки с отысканием человека (чучела) и вынос его на свежий воздух | - | 10/3 | - |
5. Разгрузка помещений от иму- щества (вынос ящиков 30 - 40 кг) | - | 10/3 | - |
6. Проведение разведки с отысканием человека, включение его в спасательное устройство и вывод на свежий воздух | - | 10/3 | - |
7. Переноска груза массой 10 кг | - | - | 8/3 |
8. Работа на вертикальном эргометре | - | - | 5 |
--------------------------------
<*> В числителе указана продолжительность выполнения упражнения, а в знаменателе - отдыха после выполнения упражнения.
В течение испытаний дыхательного аппарата после каждого вида работы (упражнения) регистрируют следующие параметры:
- продолжительность упражнения (работа и отдых);
- показания манометра;
- частоту пульса.
Испытания дыхательного аппарата проводят до наступления одного из событий:
- уменьшения давления воздуха в баллоне до 1,0 МПа;
- увеличения частоты пульса испытателя свыше 150

, если она не уменьшается в течение 5 мин отдыха;
- появления субъективных ощущений, препятствующих продолжению испытаний (высокое сопротивление дыханию, ухудшение самочувствия и др.);
- нарушения нормальной работы дыхательного аппарата (неисправность какого-либо устройства, утечка воздуха и др.).
После окончания каждого испытания проводят опрос газодымозащитников о самочувствии, условиях дыхания в дыхательном аппарате и удобстве пользования им при выполнении различных работ. Результаты опроса фиксируют в протоколе.
Результаты испытаний считаются положительными, если выполняются требования
пп. 4.4.1.1, 4.4.2.1, 4.5.2.1, 4.5.2.2, 4.5.3.2, 4.5.3.5, 4.5.3.7, 4.5.4.2, 4.5.5.1 -
4.5.5.3, 4.5.6.2, 4.5.6.5, 4.5.6.7, 4.5.7.2.
7.7. Испытания на надежность
Испытания по определению соответствия дыхательного аппарата требованиям
пп. 4.5.6.9, 4.5.8.2 проводятся разработчиком по методикам, подготовленным в инициативном порядке.
Испытания по подтверждению вероятности сохранения исправности дыхательного аппарата

(720 ч), вероятности безотказной работы дыхательного аппарата

должны проводиться на протяжении всего комплекса испытаний.
7.7.1. Испытания по подтверждению вероятности сохранения исправности дыхательного аппарата

(720 ч)
(п. 4.7.1)
Для контроля показателя надежности

(720 ч) на испытание представляются 3 дыхательных аппарата, проверенных и снаряженных в соответствии с инструкцией по эксплуатации. Дыхательные аппараты должны находиться в состоянии ожидания применения в течение одного месяца.
После постановки дыхательных аппаратов на испытание фиксируют дату начала испытания. По истечении одного месяца каждый дыхательный аппарат подвергают проверке в объеме проверки N 2 "Наставления по газодымозащитной службе Государственной противопожарной службы" (Приказ МВД России от 30.04.96 г. N 234). При этом фиксируют обнаруженные отказы.
Результат испытания считается положительным, если при проведении проверки N 2 дыхательных аппаратов не обнаружено ни одного отказа.
7.7.2. Испытания по подтверждению вероятности безотказной работы дыхательного аппарата
(п. 4.7.2)
Для контроля показателя надежности

на испытание следует поставить 34 дыхательных аппарата, в каждом из которых следует отработать не менее 10 аппаратосмен. Если на испытаниях находится меньшее число дыхательных аппаратов, то в каждом из них следует отработать большее число аппаратосмен с тем, чтобы в сумме получилось 340 аппаратосмен.
Данные испытания проводят на стадии предварительных испытаний.
Отказы, обнаруженные при испытаниях, фиксируют. При контроле показателя надежности

учитывают отказы, которые ведут к нарушению нормальной работы дыхательного аппарата.
К отказам при проведении испытания дыхательного аппарата на стендовом оборудовании относятся:
- уменьшение давления воздуха в баллоне до 1,0 МПа;
- снижение давления воздуха в подмасочном пространстве лицевой части до 0 МПа;
- превышение значений сопротивления дыханию на выдохе, указанных в
п. 4.4.3.4;
- увеличение объемной доли двуокиси углерода во вдыхаемой смеси свыше 1,5%.
Отказы при проведении испытаний дыхательного аппарата при лабораторных и полигонных испытаниях на людях определяет работающий в дыхательном аппарате по результатам субъективной "боевой" проверки перед началом работы и в течение всей аппаратосмены. К ним относятся, например, значительное, но все же переносимое, повышенное сопротивление дыханию, возникшее вследствие нарушения нормальной работы дыхательного клапана или легочного автомата. К отказам относятся также возникновение обязательной необходимости переключения человека в запасной дыхательный аппарат или самоспасатель и существенные поломки подвесной системы дыхательного аппарата, затрудняющие удержание его в рабочем положении. При испытании учитывают лишь отказы, зависящие от внутренних причин, т.е. от конструкции дыхательного аппарата, и не учитывают отказы, вызванные внешними случайными воздействиями.
Общим признаком отказов испытаний на людях является потеря способности дыхательного аппарата защищать органы дыхания и зрения человека и необходимости переключения в резервный дыхательный аппарат или самоспасатель.
Результат испытания считается положительным, если при проведении 340 аппаратосмен дыхательных аппаратов не обнаружено ни одного отказа.
(обязательное)
СТЕНД-ИМИТАТОР ВНЕШНЕГО ДЫХАНИЯ ЧЕЛОВЕКА
Стенд-имитатор внешнего дыхания человека предназначен для объективной оценки дыхательного аппарата при работе с различной дыхательной нагрузкой и в различных внешних микроклиматических условиях. Принципиальная схема стенда показана на рис. 1.1.
Рис. 1.1. Принципиальная схема стенда-имитатора
дыхания человека:
1 - привод искусственных легких; 2 - горелка;
3 - дозатор метилового спирта; 4 - дозатор кислорода;
5 - водяной холодильник; 6, 7 - газоанализаторы;
8 - электроконтактные термометры; 9 - мановакуумметр;
10 - клапан вдоха; 11 - клапан выдоха; 12, 13 - трехходовые
краны; 14, 17 - сухие и влажные датчики; 15 - клапан вдоха;
16 - клапан выдоха; 18 - климатическая камера;
19 - дыхательный аппарат; 20 - муляж головы человека с
лицевой частью; 21 - теплообменник; 22 - термостат;
23 - термостатическая ванна; 24 - камера газообмена;
25 - корпус
При испытании дыхательного аппарата на стенде определяют время защитного действия, условия дыхания, параметры основных систем и устройств.
Стенд имитирует вентиляционную функцию легких и легочный газообмен. Потребление кислорода и выделение двуокиси углерода имитируется при реакции горения метанола. Для имитации вентиляционной функции легких стенд создает пульсирующий поток газа с изменением объемного расхода, близким к синусоидальному, и равной продолжительностью фаз вдоха и выдоха.
Стенд имитирует температурно-влажностный режим выдоха путем нагревания и увлажнения выдыхаемой газовоздушной смеси.
Стенд-имитатор должен обеспечивать значения:
- выделения двуокиси углерода при СУ;
- потребления кислорода при СУ;
- дыхательный коэффициент;
- легочную вентиляцию при ЛУ;
- дыхательный объем при ЛУ.
Мгновенные значения объемного расхода не должны отличаться от синусоидальных более чем на +/- 4%.
Объем дыхательного цикла должен быть от 0,9 до 2,9 дм3, частота дыхания должна быть от 15 до 30 1/мин.
В имитаторе дыхания и в месте присоединения стенда к лицевой части дыхательного аппарата выдыхаемая газовоздушная смесь должна иметь температуру 36,5 +/- 0,5 °С и относительную влажность 95 +/- 3%.
В состав стенда должна входить климатическая камера, где поддерживается температура в пределах от минус 40 до 60 °С с отклонением от заданной величины не более 2 °С со скоростью воздушного потока в пределах от 0,3 до 0,5 м/с.
Стенд должен быть укомплектован контрольно-измерительными приборами и устройствами, позволяющими устанавливать и контролировать параметры дыхательной нагрузки и регистрировать следующие параметры дыхательного аппарата:
- сопротивление дыханию в диапазоне от 0 до 1000 Па с погрешностью не более 20 Па;
- объемную долю двуокиси углерода во вдыхаемой смеси в диапазоне от 0 до 5% с погрешностью не более 0,1%.
Определение усредненного для каждого цикла дыхания содержания двуокиси углерода во вдыхаемой газовоздушной смеси проводится параллельно с регистрацией остальных измеряемых параметров.
Отобранная для анализа смесь должна после его окончания возвращаться в систему стенда.
При включении стенда на холостой ход трехходовые краны устанавливают в положение, при котором имитатор дыхания соединяется по воздуховодной системе стенда с окружающей средой. В этом положении испытуемый дыхательный аппарат отключен от имитатора дыхания.
(обязательное)
ИСПЫТАНИЯ ДЫХАТЕЛЬНОГО АППАРАТА СО СЖАТЫМ
ВОЗДУХОМ НА СТЕНДЕ-ИМИТАТОРЕ ВНЕШНЕГО ДЫХАНИЯ
ЧЕЛОВЕКА
Испытания проведены ______________________________________________
(наименование организации, подразделения,
город, дата)
1. ОБЩИЕ СВЕДЕНИЯ О ДЫХАТЕЛЬНОМ АППАРАТЕ
1.1. Полное наименование дыхательного аппарата и его
обозначение ______________________________________________________
1.2. Изготовитель ____________________________________________
1.3. Обозначение нормативного документа, в соответствии с
которым изготовлен дыхательный аппарат ___________________________
1.4. Номер аппарата __________________________________________
1.5. Дата изготовления _______________________________________
1.6. Рабочее давление в баллоне, МПа _________________________
1.7. Вместимость баллона, дм3 ________________________________
1.8. Лицевая часть ___________________________________________
2. ПАРАМЕТРЫ ДЫХАТЕЛЬНОГО АППАРАТА ДО ИСПЫТАНИЯ
Наименование параметра | Значение параметра |
2.1. Герметичность магистралей высокого и редуцированного давления (падение давления за 1 мин), МПа | |
2.2. Избыточное давление под лицевой частью при нулевом расходе, Па | |
2.3. Давление воздуха, при котором срабаты- вает сигнальное устройство, МПа | |
┌────────────────────────────────────────┬──────────┬────────────┐
│ Наименование показателя │ Заданное │Фактическое │
│ │ значение │ значение │
├────────────────────────────────────────┼──────────┼────────────┤
│3.1. Температура воздуха в камере, °С │ │ │
├────────────────────────────────────────┼──────────┼────────────┤
│3.2. Легочная вентиляция, дм3/мин │ │ │
├────────────────────────────────────────┼──────────┼────────────┤
│ -1 │ │ │
│3.3. Частота дыхания, мин │ │ │
├────────────────────────────────────────┼──────────┼────────────┤
│3.4. Дыхательный объем (ЛУ), л │ │ │
├────────────────────────────────────────┼──────────┼────────────┤
│3.5. Выделение СO (СУ), дм3/мин │ │ │
│ 2 │ │ │
├────────────────────────────────────────┼──────────┼────────────┤
│3.6. Объемная доля СO на выдохе, % │ │ │
│ 2 │ │ │
├────────────────────────────────────────┼──────────┼────────────┤
│3.7. Потребление O (СУ), л/мин │ │ │
│ 2 │ │ │
├────────────────────────────────────────┼──────────┼────────────┤
│3.8. Температура выдыхаемого воздуха, °С│ │ │
├────────────────────────────────────────┼──────────┼────────────┤
│3.9. Влажность выдыхаемого воздуха, % │ │ │
└────────────────────────────────────────┴──────────┴────────────┘
4. ЗАПИСЬ НАБЛЮДЕНИЙ В ПРОЦЕССЕ ИСПЫТАНИЯ
┌─────────┬─────────┬───────────┬─────────┬──────────┬───────────┐
│Время │Давление │ Давление │Сопротив-│Фактичес- │ Объемная │
│от нача- │воздуха в│воздуха под│ление │кое сопро-│ доля СO │
│ла опыта,│ баллоне,│ лицевой │дыханию │тивление │ 2 │
│мин │ МПа │ частью на │на выдо- │дыханию на│ на вдохе, │
│ │ │ вдохе, Па │хе, Па │выдохе, Па│ % │
├─────────┼─────────┼───────────┼─────────┼──────────┼───────────┤
│ │ │ │ │ │ │
├─────────┼─────────┼───────────┼─────────┼──────────┼───────────┤
│ │ │ │ │ │ │
├─────────┼─────────┼───────────┼─────────┼──────────┼───────────┤
│ │ │ │ │ │ │
├─────────┼─────────┼───────────┼─────────┼──────────┼───────────┤
│ │ │ │ │ │ │
├─────────┴─────────┼───────────┼─────────┼──────────┼───────────┤
│ min │ │ │ │ │
├───────────────────┼───────────┼─────────┼──────────┼───────────┤
│ среднее │ │ │ │ │
├───────────────────┼───────────┼─────────┼──────────┼───────────┤
│ max │ │ │ │ │
└───────────────────┴───────────┴─────────┴──────────┴───────────┘
Давление воздуха в баллоне, при котором срабатывает сигнальное
устройство, МПа __________________________________________________
Дополнительные данные ________________________________________
Условное время защитного действия дыхательного аппарата,
мин ________________________
Фактическое время защитного действия дыхательного аппарата,
мин ________________________
5. ЗАМЕЧАНИЯ
__________________________________________________________________
__________________________________________________________________
Ответственный за испытание ______________ ___________________
(подпись) (Ф.И.О.)
(обязательное)
ЛАБОРАТОРНЫЕ ИСПЫТАНИЯ ДЫХАТЕЛЬНОГО АППАРАТА
СО СЖАТЫМ ВОЗДУХОМ НА ЧЕЛОВЕКЕ
Испытания проведены _________________________________________
(наименование организации, подразделения,
город, дата)
1. ОБЩИЕ СВЕДЕНИЯ О ДЫХАТЕЛЬНОМ АППАРАТЕ
1.1. Полное наименование дыхательного аппарата и его
обозначение ______________________________________________________
1.2. Изготовитель ____________________________________________
1.3. Обозначение нормативного документа, в соответствии с
которым изготовлен дыхательный аппарат ___________________________
1.4. Номер аппарата __________________________________________
1.5. Дата изготовления _______________________________________
1.6. Рабочее давление в баллоне, МПа _________________________
1.7. Вместимость баллона, дм3 ________________________________
1.8. Лицевая часть ___________________________________________
2. УСЛОВИЯ ИСПЫТАНИЙ
2.1. Температура окружающей среды, °С ________________________
2.2. Относительная влажность, % ______________________________
2.3. Барометрическое давление, мм рт. ст. ____________________
3. ДАННЫЕ ОБ ИСПЫТАТЕЛЕ-ДОБРОВОЛЬЦЕ
3.1. Фамилия, имя, отчество __________________________________
3.2. Возраст, лет ____________________________________________
3.3. Рост _________________
3.4. Стаж работы в СИЗОД, лет __________
До │ После
испытания │ испытания
─────────────────────────────────────────────────────┼────────────
3.5. Масса, кг │
─────────────────────────────────────────────────────┼────────────
3.6. Температура тела, °С │
─────────────────────────────────────────────────────┼────────────
-1 │
3.7. Частота пульса, мин │
─────────────────────────────────────────────────────┼────────────
-1 │
3.8. Частота дыхания, мин │
─────────────────────────────────────────────────────┼────────────
3.9. Жизненная емкость легких, л │
─────────────────────────────────────────────────────┼────────────
3.10. Артериальное давление, мм рт. ст. │
─────────────────────────────────────────────────────┼────────────
3.11. Потоотделение, г │
─────────────────────────────────────────────────────┴────────────
4. ЗАПИСЬ НАБЛЮДЕНИЙ В ПРОЦЕССЕ ИСПЫТАНИЯ
┌──────┬──────┬────────┬────────┬──────────┬───────┬─────┬───────┐
│Время │Вид │ Режим │Давле- │Сопротив- │Факти- │Час- │Частота│
│от на-│упраж-│ работы,│ние воз-│ление ды- │ческое │тота │пульса,│
│чала │нения │ мин │духа в │ханию, Па │сопро- │дыха-│ -1 │
│опыта,│ ├────┬───┤баллоне,├─────┬────┤тивле- │ния, │ мин │
│мин │ │ра- │от-│МПа │на │на │ние на │ -1│ │
│ │ │бо- │дых│ │вдо- │вы- │выдохе,│мин │ │
│ │ │та │ │ │хе │дохе│Па │ │ │
├──────┼──────┼────┼───┼────────┼─────┼────┼───────┼─────┼───────┤
│ │ │ │ │ │ │ │ │ │ │
├──────┼──────┼────┼───┼────────┼─────┼────┼───────┼─────┼───────┤
│ │ │ │ │ │ │ │ │ │ │
├──────┼──────┼────┼───┼────────┼─────┼────┼───────┼─────┼───────┤
│ │ │ │ │ │ │ │ │ │ │
├──────┼──────┼────┼───┼────────┼─────┼────┼───────┼─────┼───────┤
│ │ │ │ │ │ │ │ │ │ │
├──────┼──────┼────┼───┼────────┼─────┼────┼───────┼─────┼───────┤
│ │ │ │ │ │ │ │ │ │ │
├──────┼──────┼────┼───┼────────┼─────┼────┼───────┼─────┼───────┤
│ │ │ │ │ │ │ │ │ │ │
├──────┼──────┼────┼───┼────────┼─────┼────┼───────┼─────┼───────┤
│ │ │ │ │ │ │ │ │ │ │
├──────┼──────┼────┼───┼────────┼─────┼────┼───────┼─────┼───────┤
│ │ │ │ │ │ │ │ │ │ │
├──────┼──────┼────┼───┼────────┼─────┼────┼───────┼─────┼───────┤
│ │ │ │ │ │ │ │ │ │ │
├──────┼──────┼────┼───┼────────┼─────┼────┼───────┼─────┼───────┤
│ │ │ │ │ │ │ │ │ │ │
├──────┼──────┼────┼───┼────────┼─────┼────┼───────┼─────┼───────┤
│ │ │ │ │ │ │ │ │ │ │
├──────┼──────┼────┼───┼────────┼─────┼────┼───────┼─────┼───────┤
│ │ │ │ │ │ │ │ │ │ │
├──────┼──────┼────┼───┼────────┼─────┼────┼───────┼─────┼───────┤
│ │ │ │ │ │ │ │ │ │ │
├──────┼──────┼────┼───┼────────┼─────┼────┼───────┼─────┼───────┤
│ │ │ │ │ │ │ │ │ │ │
└──────┴──────┴────┴───┴────────┴─────┴────┴───────┴─────┴───────┘
Давление воздуха в баллоне, при котором срабатывает сигнальное
устройство, МПа _______________________
Замечания испытателя:
__________________________________________________________________
__________________________________________________________________
__________________________________________________________________
__________________________________________________________________
__________________________________________________________________
Замечания ведущего испытания:
__________________________________________________________________
__________________________________________________________________
5. ПАРАМЕТРЫ ДЫХАТЕЛЬНОГО АППАРАТА ДО ИСПЫТАНИЯ
Наименование параметра | Значение параметра |
5.1. Герметичность магистралей высокого и редуцированного давления (падение давления за 1 мин), МПа | |
5.2. Избыточное давление воздуха под лицевой частью при нулевом расходе, Па | |
5.3. Давление воздуха, при котором срабатывает сигнальное устройство, МПа | |
Испытатель _____________ ___________________
(подпись) (Ф.И.О.)
Ответственный за испытание _____________ ___________________
(подпись) (Ф.И.О.)
Физиолог _____________ ___________________
(подпись) (Ф.И.О.)