
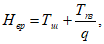
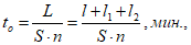
(1.1)
(1.3)
(1.4)
(1.5)
Коэффициент занятости Kз <*>, до | Форма организации труда | Количество станков, обслуживаемых одним рабочим, оператором | ||||||
2 | 3 | 4 | 5 | 6 | 7 | 8 | ||
Коэффициент изменения штучного времени Kш | ||||||||
0,25 | Индивидуальная | 0,56 | 0,39 | 0,33 | 0,30 | 0,27 | 0,26 | 0,25 |
0,35 | 0,65 | 0,48 | 0,39 | 0,35 | - | - | - | |
0,45 | 0,75 | 0,55 | 0,47 | - | - | - | - | |
0,25 | Бригадная | 0,53 | 0,37 | 0,30 | 0,27 | 0,25 | - | - |
0,35 | 0,60 | 0,44 | 0,37 | 0,34 | - | - | - | |
0,45 | 0,67 | 0,51 | 0,45 | - | - | - | - | |
Наименование станков | Время, % от оперативного | |
на обслуживание рабочего места | на отдых и личные потребности | |
Токарно-револьверные станки с горизонтальной осью вращения головки | 4,5 | 4 |
Токарно-револьверные станки с вертикальной осью вращения головки | 5,5 | 4 |

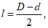
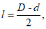
Номер операции | Наименование операции | D, мм | l, h, мм | t, мм | B, мм | S, мм/об. | n, об./мин. | Режущий инструмент | Норма времени, мин. | Карта (позиция, индекс) | ||
tву | Tпз | tнш | ||||||||||
05 | Токарно-револьверная | - | 33 | - | ||||||||
1. Подать пруток до упора, закрепить | 40 | 58 | - | - | - | - | - | 0,21 | - | - | ||
2. Подрезать торец 5 | 40 | 20 | 4 | - | 0,33 | 800 | Резец с пластинкой Т15К6 | - | - | 0,50 | ||
3. Центровать торец 5 до | 10 | - | - | - | - | - | Сверло центровочное | - | - | (0,18) | ||
Точить поверхность 3 до | 40 | 40 | 4 | - | 0,40 | 750 | Резец с пластинкой Т15К6 | - | - | 0,28 | ||
4. Сверлить отверстие 7, выдерживая | 16,5 | 40 | - | - | 0,20 | 475 | Сверло спиральное из стали Р6М5 | - | - | 0,66 x 1,1 = 0,73 | ||
5. Точить поверхность 3 до | 32 | 40 | 2,57 | - | 0,40 | 800 | Резец с пластинкой Т15К6 | - | - | 0,26 | ||
Сверлить отверстие 8 до | 9 | 10 | - | - | - | - | Сверло спиральное из стали Р6М5 | - | - | (0,21 x 1,1 = 0,23) | ||
6. Зенковать фаску 6 в размер 1,5 x 45° | 19,5 | - | - | - | - | - | Зенковка Р6М5 | - | - | 0,12 | ||
7. Точить поверхность 1 до | 40 | 14 | 2,5 | - | 0,40 | 750 | Резец с пластинкой Т15К6 | - | - | 0,20 | ||
8. Точить канавку 2, B = 4 | 26,86 | 1,93 | - | 4 | 0,12 | 800 | Резец с пластинкой Т15К6 | - | - | 0,18 | ||
9. Нарезать резьбу 7, М18 x 1,5 - 6Н, выдерживая размер 24 | 18 | 24 | - | - | 1,5 | 100 | Метчик машинный из стали Р6М5 | - | - | 0,57 | ||
10. Точить фаску 4 в размер 1,5 x 45° | 26,86 | - | - | - | - | - | Резец из стали Р6М5 | - | - | 0,14 | ||
11. Нарезать резьбу 3, М27 x 1,5 - 6 q на l = 36 | 27 | 36 | - | - | 1,5 | 96,5 | Плашки круглые из стали Р6М5 | - | - | 0,83 | ||
12. Отрезать деталь, выдерживая размер 50 | 35 | 13,0 | - | 4 | 0,17 | 450 | Резец из стали Р6М5 | - | - | 0,45 | ||

Модель станка | Ось револьверной головки | Наибольший диаметр обрабатываемого прутка, мм | Наибольший диаметр изделия, мм, устанавливаемого | Расстояние от торца шпинделя до грани револьверной головки, мм | Наибольшая длина подачи прутка, мм | Частота вращения шпинделя, об./мин. | Величины подач револьверного суппорта, мм/об. | Наибольшее перемещение револьверного суппорта, мм | Величины подач поперечного суппорта, мм/об. | Наибольшее перемещение поперечного суппорта, мм | Диаметр отверстия в шпинделе, мм | ||||||
над станиной | над суппортом | наименьшее | наибольшее | прутковое исполнение | патронное исполнение | продольных | поперечных | продольных | поперечных | продольное | поперечное | ||||||
1Е340П | Вертикальная | 40 | 400 | 220 | 215 | 630 | 150 | 45 - 2000 | 36 - 1600 | 0,05 - 1,6 | - | 415 | 0,05 - 1,6 | 0,025 - 0,8 | 340 | 260 | 63 |
1Е316 | 18 | 80 | - | - | 350 | 50 | 3200 | 200 - 4000 | 0,04 - 0,4 | 0,04 - 0,4 | 100 | ручная | ручная | 120 | 120 | 31 | |
1Н318 | 18 | 250 | 130 | - | 250 | 100 | 100 - 4000 | 100 - 4000 | - | - | - | - | - | 80 | 80 | 31 | |
1Е365П | - | 500 | 280 | 270 | 1000 | - | 24 - 1500 | - | 0,05 - 3,2 | - | 730 | 0,05 - 3,2 | 0,025 - 1,6 | 730 | 310 | - | |
1М365 | 65 | 500 | 320 | 275 | 1000 | - | 34 - 1500 | 34 - 1500 | 0,09 - 2,7 | 0,09 - 2,7 | - | 0,045 - 1,35 | 0,045 - 1,35 | - | - | - | |
1Е316П | 18 | 250 | 130 | 90 | 350 | - | 100 - 4000 | 100 - 4000 | 0,03 - 0,3 | - | 100 | - | - | - | 120 | 31 | |
1Е371Б | 100 | 630 | - | 300 | 1000 | - | 18 - 900 | 18 - 900 | 0,05 - 3,2 | 0,05 - 3,2 | 730 | 0,05 - 3,2 | 0,025 - 1,6 | 730 | 310 | - | |
1Д340П | Горизонтальная | 40 | 400 | - | - | 630 | - | 45 - 2000 | 36 - 1600 | 0,05 - 1,6 | 0,02 - 0,64 | - | - | - | - | - | 63 |
1Д325П | 25 | 320 | - | 70 | 500 | 80 | 80 - 3150 | 80 - 3150 | 0,04 - 0,5 | 0,028 - 0,315 | 430 | - | - | - | - | 40 | |
1Г325 | 25 | 320 | - | 70 | 400 | 140 | 80 - 3150 | 80 - 3150 | - | - | 325 | - | - | - | - | 40 | |
1Д365П | 65 | 500 | - | 275 | 1000 | - | 34 - 2100 | 34 - 2100 | 0,05 - 3,2 | 0,05 - 3,2 | 730 | - | - | - | - | - | |

Токарно-револьверные станки с горизонтальной и вертикальной осями вращения головки | ||||||||
Карта 1 | ||||||||
I. На наладку станка, инструмента и приспособлений | ||||||||
N позиции | Способ установки детали | Количество режущих инструментов в наладке, шт. | Наибольший диаметр обрабатываемого прутка, мм, до | |||||
10...25 | 40 | 80 | 125 | |||||
Время, мин. | ||||||||
1 | В универсальном или специальном приспособлении (патрон, концевая оправка) | 2 | 11 | - | - | - | ||
2 | 4 | 12 | 17 | 21 | 23 | |||
3 | 8 | 15 | 24 | 30 | 34 | |||
4 | 12 | 20 | 42 | 49 | ||||
5 | 16 | 25 | 42 | 54 | 64 | |||
6 | В универсальном или специальном приспособлении при групповой обработке деталей (с частичной наладкой станка без смены зажимного приспособления) | 4 | - | 11 | 13 | 14 | ||
7 | 8 | - | 15 | 19 | 22 | |||
8 | 12 | - | 22 | 26 | 32 | |||
9 | 16 | - | 28 | 31 | 39 | |||
Индекс | а | б | в | г | ||||
II. На получение инструмента и приспособлений до начала и сдачу их после окончания обработки | ||||||||
10 | Получение инструмента и приспособлений исполнителем работы до начала и сдача их после окончания обработки партии деталей | 7...10 | ||||||
III. Добавлять к времени на наладку станка | ||||||||
11 | Установить и снять люнет с регулировкой роликов | - | 2 | 2 | 2,5 | |||
12 | Настроить резьбовое накидное приспособление | - | 9 | 9 | 10 | |||
13 | Расточить кулачки патрона | сырые | - | 5 | 5 | - | ||
14 | закаленные | - | 7 | 7 | 8 | |||
Индекс | а | б | в | г | ||||
IV. На пробную обработку деталей | ||||||||
Количество резцов, устанавливаемых на размер для обработки с допуском <= 0,1 мм | Неполное штучное время, мин., до | |||||||
1 | 2 | 3 | 5 | 10 | 15 | Свыше 15 | ||
Время, мин. | ||||||||
15 | 1 | 2 | 3 | - | - | - | - | - |
16 | 2 | 3 | 4 | 6 | 8 | 12 | 14 | 17 |
17 | 5 | - | - | 9 | 11 | 15 | 17 | 20 |
Индекс | а | б | в | г | д | е | ж | |
Токарно-револьверные станки с горизонтальной и вертикальной осями вращения головки | ||||||
Карта 2 | ||||||
N позиции | Способ установки и крепления прутка | Диаметр прутка, мм, до | Длина выдвижения прутка, мм, до | |||
50 | 100 | 200 | ||||
Время на одну деталь, мин. | ||||||
1 | В самоцентрирующем патроне | ключом | 20 | 0,19 | 0,22 | 0,25 |
2 | 30 | 0,22 | 0,25 | 0,28 | ||
3 | 40 | 0,24 | 0,27 | 0,31 | ||
4 | В цанговом патроне | рукояткой рычага | 20 | 0,13 | 0,16 | 0,20 |
5 | 30 | 0,16 | 0,18 | 0,23 | ||
6 | 40 | 0,19 | 0,27 | |||
7 | 50 | 0,22 | 0,25 | 0,29 | ||
8 | Свыше 50 | 0,29 | 0,33 | 0,37 | ||
9 | пневматическим или гидравлическим зажимом | 20 | 0,10 | 0,13 | 0,16 | |
10 | 30 | 0,11 | 0,15 | 0,18 | ||
11 | 40 | 0,13 | 0,18 | 0,21 | ||
12 | 50 | 0,17 | 0,19 | 0,25 | ||
13 | Свыше 50 | 0,23 | 0,25 | 0,33 | ||
Индекс | а | б | в | |||
Токарно-револьверные станки с вертикальной осью вращения головки | |||||||||||||
Карта 3 | |||||||||||||
N позиции | Способ установки детали | Вид зажима | Диаметр патрона, мм | Масса детали, кг, до | |||||||||
0,1 | 0,25 | 0,5 | 1 | 3 | 5 | 8 | 12 | 16 | 20 | ||||
Время, мин. | |||||||||||||
1 | В самоцентрирующем патроне | Ключом | До 250 | 0,19 | 0,21 | 0,23 | 0,24 | 0,26 | 0,29 | 0,31 | 0,35 | 0,41 | 0,50 |
2 | Свыше 250 | - | - | - | 0,30 | 0,36 | 0,40 | 0,46 | 0,51 | 0,60 | 0,70 | ||
3 | Пневматикой или рычагом | 0,10 | 0,11 | 0,13 | 0,15 | 0,18 | 0,20 | 0,23 | 0,25 | 0,29 | 0,35 | ||
4 | В патроне с разрезной втулкой в кулачках | Ключом | 0,26 | 0,29 | 0,31 | 0,35 | 0,39 | 0,46 | - | - | - | - | |
5 | В цанговом патроне | Рукояткой рычага или пневматики | 0,08 | 0,09 | 0,10 | 0,13 | 0,16 | 0,18 | 0,20 | 0,24 | - | - | |
6 | Ключом или маховичком через шпиндель | 0,11 | 0,14 | 0,15 | 0,18 | 0,21 | 0,24 | 0,25 | 0,29 | - | - | ||
7 | В четырехкулачковом патроне | Ключом | - | - | - | - | 0,34 | 0,60 | 0,65 | 0,70 | 0,75 | 0,80 | |
8 | В приспособлении по цилиндрической поверхности | Рукояткой пневматики или эксцентрика | 0,14 | 0,15 | 0,16 | 0,18 | 0,20 | 0,23 | 0,25 | 0,28 | 0,31 | 0,35 | |
9 | Гайкой или винтом с помощью ключа | 0,25 | 0,30 | 0,34 | 0,38 | 0,46 | 0,51 | 0,56 | 0,60 | 0,69 | 0,75 | ||
10 | Накидной крышкой и гайкой с помощью ключа | 0,30 | 0,35 | 0,38 | 0,44 | 0,51 | 0,56 | 0,61 | 0,65 | 0,70 | 0,78 | ||
Индекс | а | б | в | г | д | е | ж | з | и | к | |||
Токарно-револьверные станки с вертикальной осью вращения головки | ||||||
Карта 4 | ||||||
N позиции | Способ установки и крепления детали | Масса детали, кг, до | ||||
30 | 50 | 80 | 200 | |||
Время, мин. | ||||||
1 | В самоцентрирующем патроне | ключом | 2,42 | 2,64 | 2,86 | 3,52 |
2 | пневматическим зажимом | 1,87 | 2,20 | 2,42 | 2,86 | |
3 | Переустановить в самоцентрирующем патроне | ключом | 1,94 | 2,10 | 2,29 | 2,82 |
4 | пневматическим зажимом | 1,5 | 1,76 | 1,94 | 2,29 | |
Индекс | а | б | в | г | ||
Токарно-револьверные станки | ||||||||
Карта 5 | Лист 1 | |||||||
I. В зависимости от обрабатываемого материала и его твердости | ||||||||
Сталь | Медные сплавы | Алюминиевые сплавы | ||||||
HB <= 1,37 ГПа | HB > 1,37 ГПа | Силумин и литейные сплавы, Дюралюмин, HB >= 0,98 (закаленный) | Силумин и литейные сплавы, Дюралюмин HB < 0,98 ГПа | Дюралюмин | ||||
Коэффициент на неполное штучное время Kм | ||||||||
0,9 | 1,1 | 0,8 | 0,9 | 0,75 | 0,65 | 0,55 | ||
Чугун | ||||||||
HB < 1,76 ГПа | HB 1,76...2,15 ГПа | HB > 2,15 ГПа | ||||||
Коэффициент на неполное штучное время Kм | ||||||||
0,9 | 1,11 | |||||||
II. В зависимости от состояния поверхности | ||||||||
Без корки | По корке | |||||||
Коэффициент на неполное штучное время Kм | ||||||||
0,85 | ||||||||
ПОПРАВОЧНЫЕ КОЭФФИЦИЕНТЫ НА НЕПОЛНОЕ ШТУЧНОЕ И ШТУЧНОЕ ВРЕМЯ | Токарно-револьверные станки | ||||||||||||||
Карта 5 | Лист 2 | ||||||||||||||
III. В зависимости от размера партии обрабатываемых деталей | |||||||||||||||
N позиции | Штучное время, мин., до | Тип производства | |||||||||||||
Мелкосерийный | Среднесерийный | ||||||||||||||
Количество деталей в партии q, до | |||||||||||||||
6 | 10 | 16 | 25 | 40 | 63 | 100 | 160 | 250 | 400 | 630 | 1000 | 1600 | Свыше 1600 | ||
Коэффициент на штучное время K | |||||||||||||||
1 | 4 | 1,52 | 1,4 | 1,32 | 1,23 | 1,15 | 1,07 | 0,93 | 0,87 | 0,81 | 0,76 | 0,70 | 0,65 | 0,60 | |
2 | 8 | 1,4 | 1,32 | 1,23 | 1,15 | 1,07 | 0,93 | 0,87 | 0,81 | 0,76 | 0,70 | 0,65 | 0,60 | - | |
3 | 30 и более | 1,32 | 1,23 | 1,15 | 1,07 | 0,93 | 0,87 | 0,81 | 0,76 | 0,70 | 0,65 | 0,60 | - | - | |
ЦЕНТРОВАНИЕ ОТВЕРСТИЙ Сталь углеродистая конструкционная, | Токарно-револьверные станки с горизонтальной и вертикальной осями вращения головки | |||
Сверла центровочные | ||||
Карта 6 | ||||
I. Центрование с ручной подачей под последующее сверление | ||||
N позиции | d, мм, до | Время на зацентровку, мин. | Режимы резания | |
n, об./мин. | v, м/мин. | |||
1 | 1,6 | 0,11 | 1180 | 6 |
2 | 2,5 | 0,12 | 9 | |
3 | 3,0 | 0,13 | 11 | |
4 | 5,0 | 0,14 | 800 | 13 |
5 | 6,0 | 0,15 | 15 | |
6 | 8,0 | 0,17 | 20 | |
7 | 10,0 | 25 | ||
8 | 12,0 | 0,20 | 475 | 18 |
9 | 16,0 | 0,24 | 24 | |
II. Центрование центровым комбинированным сверлом с ручной подачей | ||||
10 | 1,6 | 0,16 | 1180 | 6 |
11 | 2,0 | 0,18 | 7 | |
12 | 2,5 | 0,20 | 9 | |
13 | 3,0 | 0,23 | 11 | |
14 | 4,0 | 0,27 | 800 | 10 |
15 | 5,0 | 0,35 | 13 | |
16 | 6,0 | 0,40 | 15 | |
Индекс | а | |||
ЗАЧИСТКА ПОВЕРХНОСТЕЙ ШЛИФОВАЛЬНОЙ ШКУРКОЙ Сталь и чугун | Токарно-револьверные станки с горизонтальной и вертикальной осями вращения головки | |||||||||
Карта 7 | ||||||||||
I. Зачистка цилиндрических поверхностей | ||||||||||
N позиции | D, мм, до | l, мм, до | ||||||||
20 | 50 | 75 | 100 | 150 | 200 | 300 | 400 | |||
Время на поверхность, мин. | ||||||||||
1 | 20 | 0,15 | 0,20 | 0,25 | 0,30 | 0,40 | 0,60 | - | - | |
2 | 50 | 0,20 | 0,25 | 0,40 | 0,50 | 0,60 | 0,80 | 1,1 | 1,3 | |
3 | 80 | 0,25 | 0,30 | 0,50 | 0,60 | 0,70 | 1,0 | 1,3 | 1,5 | |
4 | 100 | 0,30 | 0,40 | 0,60 | 0,70 | 0,90 | 1,2 | 1,5 | 1,8 | |
5 | 150 | 0,35 | 0,50 | 0,70 | 0,80 | 1,1 | 1,4 | 1,8 | 2,2 | |
6 | 200 | 0,40 | 0,60 | 0,80 | 1,0 | 1,3 | 1,7 | 2,3 | 2,8 | |
7 | 250 | - | 0,70 | 0,90 | 1,2 | 1,6 | 2,0 | 2,6 | 3,3 | |
8 | 300 | - | - | 1,0 | 1,4 | 1,8 | 2,2 | 2,9 | 3,5 | |
II. Зачистка торцовых поверхностей, острых кромок и фасок | ||||||||||
N позиции | Вид обработки | D, мм, до | ||||||||
20 | 50 | 80 | 100 | 150 | 200 | 250 | 300 | |||
Время на поверхность, мин. | ||||||||||
9 | Зачистка торцовых поверхностей на длине | R <= | 0,15 | 0,20 | 0,25 | 0,40 | 0,60 | 0,70 | 0,80 | 1,0 |
10 | 0,5 R <= | 0,20 | 0,25 | 0,40 | 0,50 | 0,80 | 1,0 | 1,2 | 1,5 | |
11 | Зачистка острых кромок и фасок | 0,10 | 0,12 | 0,15 | 0,20 | 0,25 | 0,30 | 0,35 | 0,40 | |
Индекс | а | б | в | г | д | е | ж | з | ||
ОПИЛИВАНИЕ ЦИЛИНДРИЧЕСКИХ ПОВЕРХНОСТЕЙ НАПИЛЬНИКОМ Сталь и чугун | Токарно-револьверные станки с горизонтальной и вертикальной осями вращения головки | ||||||||||
Карта 8 | |||||||||||
N позиции | D, мм, до | l, мм, до | |||||||||
10 | 20 | 30 | 40 | 50 | 75 | 100 | 150 | 200 | 300 | ||
Время на поверхность, мин. | |||||||||||
1 | 20 | 0,15 | 0,20 | 0,25 | 0,30 | 0,35 | 0,45 | 0,60 | - | - | - |
2 | 50 | 0,30 | 0,40 | 0,45 | 0,50 | 0,60 | 0,70 | 0,80 | 0,90 | 1,2 | 1,5 |
3 | 80 | 0,50 | 0,60 | 0,70 | 0,75 | 0,80 | 0,90 | 1,1 | 1,3 | 1,6 | 2,1 |
4 | 100 | 0,60 | 0,70 | 0,80 | 0,90 | 1,0 | 1,2 | 1,4 | 1,6 | 1,9 | 2,6 |
5 | 150 | 0,80 | 0,90 | 1,0 | 1,1 | 1,2 | 1,4 | 1,6 | 1,9 | 2,4 | 3,9 |
6 | 200 | 0,90 | 1,0 | 1,1 | 1,3 | 1,4 | 1,6 | 1,8 | 2,2 | 2,8 | 4,0 |
7 | 300 | 1,1 | 1,3 | 1,4 | 1,5 | 1,6 | 1,8 | 2,1 | 2,6 | 3,2 | 4,5 |
Индекс | а | б | в | г | д | е | ж | з | и | к | |
ТОЧЕНИЕ НАРУЖНЫХ ПОВЕРХНОСТЕЙ, Rz80...Rz40, IT14...IT12 Сталь углеродистая конструкционная, | Токарно-револьверные станки с горизонтальной осью вращения головки | ||||||||||||||
Резцы с пластинками Т15К6 | |||||||||||||||
Карта 9 | Лист 1 | ||||||||||||||
N позиции | D, мм, до | t, мм, до | l, мм, до | Режимы резания | |||||||||||
5 | 10 | 15 | 20 | 30 | 40 | 50 | 60 | 70 | 80 | S, мм/об. | n, об./мин. | v, м/мин. | |||
Время на рабочий ход, мин | |||||||||||||||
1 | 4 | 03 | 0,13 | 0,15 | 0,17 | 0,19 | - | - | - | - | - | - | 0,12 - 0,20 | 1800 | 23 |
2 | 1,0 | 0,15 | 0,17 | 0,19 | 0,21 | - | - | - | - | - | - | 0,1 - 0,20 | 1800 | 23 | |
3 | 6 | 0,5 | 0,14 | 0,15 | 0,17 | 0,19 | 0,23 | 0,32 | - | - | - | - | 0,16 - 0,20 | 1600 | 30 |
4 | 1,0 | 0,15 | 0,16 | 0,17 | 0,19 | 0,28 | 0,37 | - | - | - | - | 0,14 - 0,20 | 1600 | 30 | |
5 | 13 | 0,16 | 0,17 | 0,18 | 0,19 | 0,31 | 0,41 | - | - | - | - | 0,12 - 0,20 | 1600 | 30 | |
6 | 8 | 1,0 | 0,15 | 0,16 | 0,17 | 0,19 | 0,25 | 0,34 | 0,46 | 0,33 | 039 | 0,66 | 0,17-0,20 | 1400 | 35 |
7 | 13 | 0,15 | 0,16 | 0,18 | 0,20 | 0,28 | 0,38 | 033 | 0,60 | 0,68 | 0,76 | 0,15 - 0,20 | 1400 | 35 | |
8 | 2,0 | 0,16 | 0,17 | 0,18 | 0,20 | 0,31 | 0,43 | 0,61 | 0,70 | 0,78 | 0,87 | 0,13 - 0,20 | 1400 | 35 | |
Индекс | а | б | в | г | д | е | ж | з | и | к | |||||
НЕПОЛНОЕ ШТУЧНОЕ ВРЕМЯ ТОЧЕНИЕ НАРУЖНЫХ ПОВЕРХНОСТЕЙ, Rz80...Rz40, IT14...IT12 Сталь углеродистая конструкционная, | Токарно-револьверные станки с горизонтальной осью вращения головки | |||||||||||||||||
Резцы с пластинками Т15К6 | ||||||||||||||||||
Карта 9 | Лист 2 | |||||||||||||||||
N позиции | D, мм, до | t, мм, до | l, мм, до | Режимы резания | ||||||||||||||
5 | 10 | 15 | 20 | 30 | 40 | 50 | 60 | 70 | 80 | 90 | 100 | 110 | S, мм/об. | n, об./мин. | v, м/мин. | |||
Время на рабочий ход, мин. | ||||||||||||||||||
9 | 10 | 1,5 | 0,16 | 0,17 | 0,18 | 0,19 | 0,26 | 0,34 | 0,45 | 0,53 | 0,60 | 0,67 | - | - | - | 0,18 - 0,25 | 1200 | 38 |
10 | 2,0 | 0,16 | 0,17 | 0,18 | 0,19 | 0,29 | 0,38 | 0,48 | 0,60 | 0,68 | 0,76 | - | - | - | 0,16 - 0,25 | 1200 | 38 | |
11 | 3,0 | 0,15 | 0,18 | 0,20 | 0,22 | 0,33 | 0,43 | 0,63 | 0,72 | 0,80 | 0,89 | - | - | - | 0,14 - 0,25 | 1200 | 38 | |
12 | 12 | 1,5 | 0,15 | 0,15 | 0,17 | 0,19 | 0,23 | 0,30 | 0,39 | 0,48 | 0,54 | 0,60 | - | - | - | 0,20 - 0,25 | 1200 | 45 |
13 | 2,0 | 0,15 | 0,15 | 0,17 | 0,19 | 0,25 | 0,34 | 0,45 | 0,53 | 0,60 | 0,67 | - | - | - | 0,18 - 0,25 | 1200 | 45 | |
14 | 3,0 | 0,15 | 0,16 | 0,17 | 0,22 | 0,31 | 0,39 | 0,54 | 0,62 | 0,70 | 0,77 | - | - | - | 0,16 - 0,25 | 1200 | 45 | |
15 | 14 | 1,5 | 0,15 | 0,16 | 0,17 | 0,19 | 0,22 | 0,27 | 0,34 | 0,46 | 0,51 | 0,54 | - | - | - | 0,22 - 0,30 | 1200 | 53 |
16 | 2,0 | 0,15 | 0,16 | 0,17 | 0,19 | 0,24 | 0,29 | 0,38 | 0,50 | 0,54 | 0,60 | - | - | - | 0,20 - 0,30 | 1200 | 53 | |
17 | 3,0 | 0,15 | 0,16 | 0,17 | 0,20 | 0,26 | 0,36 | 0,45 | 0,55 | 0,61 | 0,68 | - | - | - | 0,18 - 0,30 | 1200 | 53 | |
18 | 16 | 1,5 | 0,15 | 0,16 | 0,17 | 0,19 | 0,21 | 0,26 | 0,32 | 0,38 | 0,47 | 0,50 | 0,70 | 0,79 | 0,85 | 0,25 - 0,30 | 1100 | 55 |
19 | 2,0 | 0,15 | 0,16 | 0,17 | 0,19 | 0,22 | 0,28 | 0,35 | 0,42 | 0,51 | 0,58 | 0,79 | 0,90 | 0,97 | 0,22 - 0,30 | 1100 | 55 | |
20 | 3,0 | 0,16 | 0,17 | 0,17 | 0,19 | 0,24 | 0,32 | 0,45 | 0,51 | 0,56 | 0,63 | 0,91 | 1,08 | 1,14 | 0,20 - 0,30 | 1100 | 55 | |
21 | 4,0 | 0,17 | 0,18 | 0,18 | 0,19 | 0,26 | 0,46 | 0,50 | 0,59 | 0,66 | 0,73 | 1,09 | 1,32 | 1,43 | 0,18 - 0,30 | 1100 | 55 | |
Индекс | а | б | в | г | д | е | ж | з | и | к | л | м | н | |||||
НЕПОЛНОЕ ШТУЧНОЕ ВРЕМЯ ТОЧЕНИЕ НАРУЖНЫХ ПОВЕРХНОСТЕЙ, Rz80...Rz40, IT14...IT12 Сталь углеродистая конструкционная, | Токарно-револьверные станки с горизонтальной осью вращения головки | |||||||||||||||||||
Резцы с пластинками Т15К6 | ||||||||||||||||||||
Карта 9 | Лист 3 | |||||||||||||||||||
N позиции | D, мм, до | t, мм, до | l, мм, до | Режимы резания | ||||||||||||||||
5 | 10 | 15 | 20 | 30 | 40 | 50 | 60 | 70 | 80 | 90 | 100 | 110 | 120 | 130 | S, мм/об. | n, об./мин. | v, м/мин. | |||
Время на рабочий ход, мин. | ||||||||||||||||||||
22 | 18 | 1,5 | 0,15 | 0,16 | 0,17 | 0,19 | 0,21 | 0,25 | 0,29 | 0,33 | 0,39 | 0,44 | 0,55 | 0,66 | 0,77 | - | - | 0,26-0,30 | 1100 | 62 |
23 | 2,0 | 0,15 | 0,16 | 0,17 | 0,19 | 0,21 | 0,27 | 0,33 | 0,38 | 0,45 | 0,57 | 0,74 | 0,82 | 0,89 | - | - | 0,23 - 0,30 | 1100 | 62 | |
24 | 3,0 | 0,16 | 0,16 | 0,17 | 0,19 | 0,22 | 0,29 | 0,39 | 0,44 | 0,50 | 0,62 | 0,87 | 0,97 | 1,07 | - | - | 0,21 - 0,30 | 1100 | 62 | |
25 | 4,0 | 0,16 | 0,17 | 0,17 | 0,20 | 0,24 | 0,35 | 0,44 | 0,48 | 0,54 | 0,69 | 0,97 | 1,24 | 1,34 | - | - | 0,19 - 0,30 | 1100 | 62 | |
26 | 20 | 1,5 | 0,15 | 0,16 | 0,17 | 0,18 | 0,20 | 0,25 | 0,27 | 0,29 | 0,35 | 0,39 | 0,47 | 0,55 | 0,63 | 0,97 | - | 0,27 - 0,30 | 1000 | 63 |
27 | 2,0 | 0,15 | 0,16 | 0,17 | 0,18 | 0,20 | 0,25 | 0,30 | 0,31 | 0,40 | 0,48 | 0,60 | 0,71 | 0,79 | 1,00 | - | 0,24 - 0,30 | 1000 | 63 | |
28 | 3,0 | 0,16 | 0,17 | 0,17 | 0,18 | 0,20 | 0,27 | 0,36 | 0,40 | 0,47 | 0,56 | 0,69 | 0,79 | 0,91 | 1,36 | - | 0,22 - 0,30 | 1000 | 63 | |
29 | 4,0 | 0,16 | 0,17 | 0,18 | 0,19 | 0,22 | 0,31 | 0,40 | 0,44 | 0,51 | 0,61 | 0,79 | 0,98 | 1,16 | 1,36 | - | 0,20 - 0,30 | 1000 | 63 | |
30 | 22 | 1,5 | 0,15 | 0,16 | 0,17 | 0,18 | 0,22 | 0,25 | 0,25 | 0,27 | 0,34 | 0,37 | 0,45 | 0,54 | 0,60 | 0,78 | 0,95 | 0,30 - 0,35 | 1000 | 69 |
31 | 2,0 | 0,15 | 0,16 | 0,17 | 0,18 | 0,22 | 0,25 | 0,27 | 0,29 | 0,38 | 0,44 | 0,58 | 0,70 | 0,77 | 0,97 | 1,11 | 0,28 - 0,35 | 1000 | 69 | |
32 | 3,0 | 0,16 | 0,17 | 0,18 | 0,19 | 0,22 | 0,25 | 0,29 | 0,32 | 0,43 | 0,51 | 0,71 | 0,86 | 0,97 | 1,16 | 1,47 | 0,26 - 0,35 | 1000 | 69 | |
33 | 4,0 | 0,16 | 0,17 | 0,18 | 0,19 | 0,25 | 0,27 | 0,38 | 0,42 | 0,47 | 0,56 | 0,77 | 0,92 | 1,16 | 1,39 | 1,65 | 0,24 - 0,35 | 1000 | 69 | |
Индекс | а | б | в | г | д | е | ж | з | и | к | л | м | н | о | п | |||||
НЕПОЛНОЕ ШТУЧНОЕ ВРЕМЯ ТОЧЕНИЕ НАРУЖНЫХ ПОВЕРХНОСТЕЙ, Rz80...Rz40, IT14...IT12 Сталь углеродистая конструкционная, | Токарно-револьверные станки с горизонтальной осью вращения головки | ||||||||||||||||||||
Резцы с пластинками Т15К6 | |||||||||||||||||||||
Карта 9 | Лист 4 | ||||||||||||||||||||
N позиции | D, мм, до | l, мм, до | l, мм, до | Режимы резания | |||||||||||||||||
10 | 15 | 20 | 30 | 40 | 50 | 60 | 70 | 80 | 90 | 100 | 110 | 120 | 130 | 140 | 150 | S, мм/об. | n, об./мин. | v, м/мин. | |||
Время на рабочий ход, мин. | |||||||||||||||||||||
34 | 24 | 13 | 0,17 | 0,19 | 0,22 | 0,25 | 0,27 | 0,31 | 0,38 | 0,41 | 0,45 | 0,53 | 0,60 | 0,76 | 0,83 | 1,01 | 1,18 | 1,40 | 0,30 - 0,35 | 900 | 68 |
35 | 2,0 | 0,17 | 0,19 | 0,22 | 0,25 | 0,27 | 0,31 | 0,40 | 0,44 | 0,49 | 0,66 | 0,79 | 0,89 | 1,03 | 1,13 | 1,31 | 1,37 | 0,28 - 0,35 | 900 | 68 | |
36 | 3,0 | 0,18 | 0,20 | 0,23 | 0,25 | 0,29 | 0,33 | 0,42 | 0,47 | 0,67 | 0,78 | 0,94 | 1,16 | 1,32 | 1,44 | 1,49 | 1,83 | 0,26 - 0,35 | 900 | 68 | |
37 | 4,0 | 0,21 | 0,23 | 0,28 | 0,32 | 0,35 | 0,40 | 0,53 | 0,59 | 0,70 | 0,89 | 1,08 | 1,23 | 1,52 | 1,59 | 1,74 | 2,19 | 0,24 - 0,35 | 900 | 68 | |
38 | 28 | 13 | 0,16 | 0,17 | 0,19 | 0,22 | 0,25 | 0,27 | 0,31 | 0,35 | 0,38 | 0,42 | 0,49 | 0,56 | 0,74 | 0,89 | 1,08 | 1,25 | 0,31 - 0,35 | 900 | 79 |
39 | 2,0 | 0,16 | 0,17 | 0,21 | 0,22 | 0,25 | 0,29 | 0,33 | 0,37 | 0,44 | 031 | 0,60 | 0,77 | 0,93 | 1,04 | 1,19 | 1,40 | 0,29 - 0,35 | 900 | 79 | |
40 | 3,0 | 0,17 | 0,19 | 0,22 | 0,25 | 0,27 | 0,31 | 0,35 | 0,45 | 0,53 | 0,66 | 0,73 | 0,87 | 1,08 | 1,25 | 1,33 | 1,59 | 0,27 - 035 | 900 | 79 | |
41 | 4,0 | 0,20 | 0,22 | 0,24 | 0,27 | 0,30 | 0,34 | 0,45 | 0,57 | 0,66 | 0,76 | 0,83 | 1,01 | 1,27 | 1,42 | 1,50 | 1,84 | 0,25 - 0,35 | 900 | 79 | |
42 | 32 | 2,0 | 0,16 | 0,17 | 0,20 | 0,22 | 0,24 | 0,27 | 0,31 | 0,35 | 0,38 | 0,48 | 0,37 | 0,72 | 0,85 | 0,89 | 1,08 | 1,25 | 0,32 - 0,40 | 800 | 80 |
43 | 3,0 | 0,18 | 0,21 | 0,22 | 0,24 | 0,29 | 0,33 | 0,39 | 0,47 | 0,58 | 0,65 | 0,79 | 0,96 | 1,03 | 1,23 | 1,41 | 0,30 - 0,40 | 800 | 80 | ||
44 | 4,0 | 0,19 | 0,22 | 0,24 | 0,26 | 0,29 | 0,31 | 0,39 | 0,31 | 0,60 | 0,68 | 0,74 | 0,88 | 1,00 | 1,14 | 1,32 | 1,60 | 0,28 - 0,40 | 800 | 80 | |
Индекс | а | б | в | г | д | е | ж | з | и | к | л | м | н | о | п | р | |||||
НЕПОЛНОЕ ШТУЧНОЕ ВРЕМЯ ТОЧЕНИЕ НАРУЖНЫХ ПОВЕРХНОСТЕЙ, Rz80...Rz40, IT14...IT12 Сталь углеродистая конструкционная, | Токарно-револьверные станки с горизонтальной осью вращения головки | ||||||||||||||||||||
Резцы с пластинками Т15К6 | |||||||||||||||||||||
Карта 9 | Лист 5 | ||||||||||||||||||||
N позиции | D, мм, до | l, мм, до | l, мм, до | Режимы резания | |||||||||||||||||
10 | 15 | 20 | 30 | 40 | 50 | 60 | 70 | 80 | 90 | 100 | 110 | 120 | 130 | 140 | 150 | S, мм/об. | n, об./мин. | v, м/мин. | |||
Время на рабочий ход, мин. | |||||||||||||||||||||
45 | 36 | 2,0 | 0,16 | 0,17 | 0,20 | 0,21 | 0,23 | 0,25 | 0,29 | 0,33 | 0,37 | 0,45 | 0,47 | 0,54 | 0,74 | 0,83 | 0,95 | 1,14 | 0,33 - 0,40 | 800 | 90 |
46 | 3,0 | 0,18 | 0,21 | 0,22 | 0,23 | 0,25 | 0,27 | 0,31 | 0,37 | 0,43 | 0,48 | 0,57 | 0,64 | 0,78 | 0,91 | 1,09 | 1,27 | 0,31 - 0,40 | 800 | 90 | |
47 | 4,0 | 0,19 | 0,21 | 0,23 | 0,25 | 0,27 | 0,29 | 0,37 | 0,48 | 0,54 | 0,60 | 0,65 | 0,75 | 0,96 | 1,03 | 1,20 | 1,42 | 0,29 - 0,40 | 800 | 90 | |
48 | 40 | 2,0 | 0,16 | 0,17 | 0,20 | 0,21 | 0,23 | 0,25 | 0,29 | 0,33 | 0,37 | 0,40 | 0,47 | 0,54 | 0,67 | 0,72 | 0,79 | 0,89 | 0,34 - 0,40 | 750 | 94 |
49 | 3,0 | 0,18 | 0,21 | 0,23 | 0,25 | 0,27 | 0,31 | 0,35 | 0,41 | 0,47 | 0,53 | 0,60 | 0,78 | 0,84 | 0,87 | 0,91 | 0,32 - 0,40 | 750 | 94 | ||
50 | 4,0 | 0,19 | 031 | 0,23 | 0,25 | 0,29 | 0,35 | 0,41 | 0,46 | 0,51 | 0,58 | 0,68 | 0,83 | 0,91 | 0,95 | 0,99 | 0,30 - 0,40 | 750 | 94 | ||
51 | 5,0 | 0,20 | 0,22 | 0,26 | 0,29 | 0,31 | 0,36 | 0,46 | 0,48 | 0,54 | 0,63 | 0,68 | 0,78 | 0,89 | 0,97 | 1,02 | 1,07 | 0,28 - 0,40 | 750 | 94 | |
Индекс | а | б | в | г | д | е | ж | з | и | к | л | м | н | о | п | р | |||||
ТОЧЕНИЕ НАРУЖНЫХ ПОВЕРХНОСТЕЙ, Rz20, IT11 Сталь углеродистая конструкционная, | Токарно-револьверные станки с горизонтальной осью вращения головки | |||||||||||||||||||||
Резцы с пластинками Т15К6 | ||||||||||||||||||||||
Карта 10 | ||||||||||||||||||||||
N позиции | D, мм, до | l, мм, до | l, мм, до | Режимы резания | ||||||||||||||||||
5 | 10 | 15 | 20 | 30 | 40 | 50 | 60 | 70 | 80 | 90 | 100 | 110 | 120 | 130 | 140 | 150 | S, мм/об. | n, об./мин. | v, м/мин. | |||
Время на рабочий ход, мин. | ||||||||||||||||||||||
1 | 4 | 1 | 0,16 | 0,18 | 0,20 | 0,32 | - | - | - | - | - | - | - | - | - | - | - | - | - | 0,08 - 0,20 | 1250 | 16 |
2 | 6 | 1 | 0,16 | 0,19 | 0,24 | 0,33 | 0,42 | 0,51 | - | - | - | - | - | - | - | - | - | - | - | 0,10 - 0,20 | 1180 | 22 |
3 | 8 | 1 | 0,18 | 0,21 | 0,23 | 0,27 | 0,34 | 0,41 | 0,51 | - | - | - | - | - | - | - | - | - | - | 0,12 - 0,20 | 1180 | 30 |
4 | 10 | 1 | 0,17 | 0,19 | 0,22 | 0,26 | 0,32 | 0,38 | 0,79 | 0,60 | - | - | - | - | - | - | - | - | - | 0,12 - 0,22 | 1180 | 37 |
5 | 12 | 1 | 0,16 | 0,18 | 0,21 | 0,25 | 0,30 | 0,35 | 0,41 | 0,55 | 0,63 | - | - | - | - | - | - | - | - | 0,14 - 0,24 | 1180 | 44 |
6 | 16 | 1 | 0,15 | 0,17 | 0,20 | 0,24 | 0,29 | 0,34 | 0,37 | 0,40 | 0,44 | 0,50 | 0,68 | - | - | - | - | - | - | 0,15 - 0,28 | 1180 | 59 |
7 | 20 | 1 | 0,15 | 0,17 | 0,19 | 0,22 | 0,28 | 0,32 | 0,35 | 0,38 | 0,41 | 0,47 | 0,50 | 0,59 | 0,68 | - | - | - | - | 0,20 - 0,33 | 1180 | 74 |
8 | 24 | 1 | 0,15 | 0,16 | 0,18 | 0,24 | 0,27 | 0,30 | 0,33 | 0,36 | 0,39 | 0,42 | 0,44 | 0,47 | 0,51 | 0,65 | 0,80 | - | - | 0,22 - 0,33 | 800 | 60 |
9 | 32 | 1 | 0,16 | 0,17 | 0,21 | 0,27 | 0,31 | 0,35 | 0,39 | 0,43 | 0,47 | 0,48 | 0,53 | 0,54 | 0,60 | 0,62 | 0,76 | 0,91 | 1,07 | 0,24 - 0,35 | 800 | 80 |
10 | 40 | 1 | 0,16 | 0,18 | 0,22 | 0,28 | 0,32 | 0,37 | 0,41 | 0,45 | 0,48 | 0,51 | 0,54 | 0,59 | 0,63 | 0,68 | 0,81 | 0,95 | 1,11 | 0,25 - 0,35 | 800 | 100 |
Индекс | а | б | в | г | д | е | ж | з | и | к | л | м | н | о | п | р | с | |||||
ТОЧЕНИЕ НАРУЖНЫХ ПОВЕРХНОСТЕЙ, Rz2,5, IT9...IT8 Сталь углеродистая конструкционная, | Токарно-револьверные станки с горизонтальной осью вращения головки | |||||||||||||||||||||
Резцы с пластинками Т15К6 | ||||||||||||||||||||||
Карта 11 | ||||||||||||||||||||||
N позиции | D, мм, до | l, мм, до | l, мм, до | Режимы резания | ||||||||||||||||||
5 | 10 | 15 | 20 | 30 | 40 | 50 | 60 | 70 | 80 | 90 | 100 | 110 | 120 | 130 | 140 | 150 | S, мм/об. | n, об./мин. | v, м/мин. | |||
Время на рабочий ход, мин. | ||||||||||||||||||||||
1 | 4 | 1 | 0,21 | 0,26 | 0,30 | 0,34 | - | - | - | - | - | - | - | - | - | - | - | - | - | 0,03 - 0,10 | 1250 | 16 |
2 | 6 | 1 | 0,21 | 0,25 | 0,34 | 0,39 | 0,50 | 0,62 | - | - | - | - | - | - | - | - | - | - | - | 0,06 - 0,10 | 1180 | 22 |
3 | 8 | 1 | 0,21 | 0,26 | 0,32 | 0,37 | 0,47 | 0,56 | 0,93 | - | - | - | - | - | - | - | - | - | - | 0,08 - 0,10 | 1180 | 30 |
4 | 10 | 1 | 0,19 | 0,20 | 0,30 | 0,34 | 0,43 | 0,51 | 0,66 | 0,76 | - | - | - | - | - | - | - | - | - | 0,09 - 0,12 | 1180 | 37 |
5 | 12 | 1 | 0,19 | 0,23 | 0,28 | 0,33 | 0,40 | 0,48 | 0,61 | 0,71 | 0,78 | - | - | - | - | - | - | - | - | 0,09 - 0,12 | 1180 | 44 |
6 | 16 | 1 | 0,19 | 0,22 | 0,26 | 0,29 | 0,36 | 0,43 | 0,49 | 0,56 | 0,63 | 0,72 | 0,86 | - | - | - | - | - | - | 0,11 - 0,14 | 1180 | 59 |
7 | 20 | 1 | 0,18 | 0,21 | 0,24 | 0,27 | 0,34 | 0,39 | 0,46 | 0,51 | 0,56 | 0,63 | 0,68 | 0,75 | 0,81 | 0,86 | - | - | - | 0,12 - 0,16 | 1180 | 74 |
8 | 24 | 1 | 0,18 | 0,21 | 0,22 | 0,26 | 0,33 | 0,38 | 0,44 | 0,49 | 0,54 | 0,61 | 0,66 | 0,72 | 0,78 | 0,82 | 0,89 | - | - | 0,12 - 0,16 | 1180 | 89 |
9 | 32 | 1 | 0,18 | 0,21 | 0,24 | 0,27 | 0,34 | 0,40 | 0,45 | 0,51 | 0,58 | 0,64 | 0,69 | 0,76 | 0,82 | 0,88 | 1,04 | 1,29 | 1,47 | 0,13 - 0,16 | 1000 | 100 |
10 | 40 | 1 | 0,21 | 0,24 | 0,30 | 0,36 | 0,45 | 0,54 | 0,63 | 0,73 | 0,79 | 0,91 | 1,01 | 1,11 | 1,19 | 1,26 | 1,39 | 1,57 | 1,80 | 0,13 - 0,16 | 800 | 100 |
Индекс | а | б | в | г | д | е | ж | з | и | к | л | м | н | о | п | р | с | |||||
ПОДРЕЗКА ТОРЦОВ СПЛОШНОГО СЕЧЕНИЯ, ДЕТАЛЕЙ С ОТВЕРСТИЕМ И ТРУБ, Rz40...Ra25, IT12...IT8 Сталь углеродистая конструкционная, | Токарно-револьверные станки с горизонтальной осью вращения головки | ||||||||||||||||||
Резцы с пластинками Т15К6 | |||||||||||||||||||
Карта 12 | |||||||||||||||||||
N позиции | Подрезка сплошная | Подрезка деталей с отверстием и труб | |||||||||||||||||
D, мм, до | l, мм, до | Режимы резания | Время на рабочий ход, мин. | D, мм, до | l, мм, до | Длина обрабатываемой поверхности мм, до | Режимы резания | ||||||||||||
S, мм/об. | n, об./мин. | v, м/мин. | 2 | 4 | 6 | 8 | 10 | 12 | 14 | 20 | S, мм/об. | n, об./мин. | v, м/мин. | ||||||
Время на рабочий ход, мин. | |||||||||||||||||||
1 | 6 | 1 | 0,20 | 1180 | 22 | 0,23 | 6 | 1 | 0,22 | - | - | - | - | - | - | - | 0,17 | 1180 | 22 |
2 | 12 | 2 | 0,24 | 1180 | 44 | 0,26 | 12 | 2 | 0,24 | 0,25 | - | - | - | - | - | - | 0,17 | 850 | 32 |
3 | 18 | 3 | 0,28 | 1180 | 67 | 0,29 | 18 | 3 | 0,25 | 0,27 | - | - | - | - | - | - | 0,17 | 800 | 45 |
4 | 22 | 4 | 0,33 | 1180 | 81 | 0,32 | 22 | 4 | 0,26 | 0,28 | 0,30 | - | - | - | - | - | 0,17 | 750 | 52 |
5 | 28 | 4 | 0,33 | 800 | 70 | 0,40 | 28 | 4 | 0,27 | 0,29 | 0,31 | 0,32 | 0,33 | - | - | - | 0,17 | 700 | 61 |
6 | 32 | 4 | 0,33 | 800 | 80 | 0,43 | 32 | 4 | 0,28 | 0,30 | 0,32 | 0,33 | 0,34 | 0,36 | - | - | 0,17 | 700 | 70 |
7 | 36 | 4 | 0,33 | 800 | 90 | 0,46 | 36 | 4 | - | 0,31 | 0,33 | 0,34 | 0,35 | 0,37 | 0,39 | - | 0,17 | 600 | 70 |
8 | 40 | 4 | 0,33 | 800 | 100 | 40 | 4 | - | - | 0,35 | 0,36 | 0,37 | 0,39 | 0,41 | 0,47 | 0,20 | 500 | 94 | |
Индекс | а | б | в | г | д | е | ж | з | и | ||||||||||
РАСТАЧИВАНИЕ ОТВЕРСТИЙ, Rz80...Rz40, IT4...IT2 Сталь углеродистая конструкционная, | Токарно-револьверные станки с горизонтальной осью вращения головки | ||||||||||
Резцы с пластинками Т15К6 | |||||||||||
Карта 13 | |||||||||||
N позиции | d, мм, до | l, мм, до | l, мм, до | Режимы резания | |||||||
5 | 10 | 15 | 20 | 25 | 30 | S, мм/об. | n, об./мин. | v, м/мин. | |||
Время на рабочий ход, мин. | |||||||||||
1 | 10 | 1,0 | 0,21 | 0,26 | - | - | - | - | 0,10 | 850 | 27 |
2 | 2,0 | 0,23 | 0,30 | - | - | - | - | 0,08 | |||
3 | 15 | 1,0 | 0,19 | 0,25 | 0,28 | 0,33 | 0,37 | 0,42 | 0,11 | 850 | 40 |
4 | 2,0 | 0,32 | 0,28 | 0,32 | 0,38 | 0,44 | 0,48 | 0,10 | |||
5 | 20 | 2,0 | 0,24 | 0,31 | 0,38 | 0,44 | 0,49 | 0,56 | 0,12 | 580 | 36 |
6 | 3,0 | 0,30 | 0,39 | 0,47 | 0,55 | 0,61 | 0,70 | 0,11 | |||
7 | 22 | 2,0 | 0,25 | 0,33 | 0,41 | 0,47 | 0,34 | 0,61 | 0,14 | 500 | 35 |
8 | 3,0 | 0,32 | 0,42 | 0,50 | 0,60 | 0,67 | 0,76 | 0,12 | |||
9 | 24 | 2,0 | 0,32 | 0,43 | 0,54 | 0,65 | 0,77 | 0,85 | 0,15 | 375 | 28 |
10 | 3,0 | 0,42 | 0,35 | 0,70 | 0,83 | 0,97 | 1,08 | 0,13 | |||
11 | 30 | 2,0 | 0,35 | 0,48 | 0,61 | 0,75 | 0,93 | 1,01 | 0,17 | 300 | 28 |
12 | 3,0 | 0,47 | 0,63 | 0,79 | 0,96 | 1,13 | 1,29 | 0,15 | |||
Индекс | а | б | в | г | д | е | |||||
РАСТАЧИВАНИЕ ОТВЕРСТИЙ, Rz20, IT11 Сталь углеродистая конструкционная, | Токарно-револьверные станки с горизонтальной осью вращения головки | ||||||||||
Резцы с пластинками Т15К6 | |||||||||||
Карта 14 | |||||||||||
N позиции | d, мм, до | l, мм, до | l, мм, до | Режимы резания | |||||||
5 | 10 | 15 | 20 | 25 | 30 | S, мм/об. | n, об./мин. | v, м/мин. | |||
Время на рабочий ход, мин. | |||||||||||
1 | 10 | 1,0 | 0,23 | 0,28 | - | - | - | - | 0,07 | 1100 | 36 |
2 | 15 | 1,0 | 0,24 | 0,30 | 0,36 | 0,42 | 0,47 | 0,53 | 0,08 | 950 | 45 |
3 | 20 | 1,0 | 0,25 | 0,31 | 0,38 | 0,45 | 0,51 | 0,58 | 0,09 | 850 | 53 |
4 | 22 | 1,0 | 0,50 | 0,40 | 0,49 | 0,58 | 0,69 | 0,79 | 0,10 | 580 | 40 |
5 | 24 | 1,0 | 0,31 | 0,43 | 0,53 | 0,64 | 0,76 | 0,86 | 0,11 | 530 | 40 |
6 | 30 | 2,0 | 0,39 | 0,56 | 0,73 | 0,89 | 1,06 | 1,22 | 0,12 | 330 | 31 |
Индекс | а | б | в | г | д | е | |||||
СВЕРЛЕНИЕ СКВОЗНЫХ ОТВЕРСТИЙ, Rz80, IT14...IT12 Сталь углеродистая конструкционная, | Токарно-револьверные станки с горизонтальной осью вращения головки | ||||||||||||||||||||
Сверла спиральные из стали Р6М5 | |||||||||||||||||||||
Карта 15 | |||||||||||||||||||||
N позиции | d, мм, до | l, мм, до | Режимы резания | ||||||||||||||||||
5 | 10 | 15 | 20 | 30 | 40 | 50 | 60 | 70 | 80 | 90 | 100 | 110 | 120 | 130 | 140 | 150 | S, мм/об. | n, об./мин. | v, м/мин. | ||
Время на рабочий ход, мин. | |||||||||||||||||||||
1 | 2 | 0,19 | 0,29 | 0,37 | - | - | - | - | - | - | - | - | - | - | - | - | - | - | 0,06 | 1180 | 7 |
2 | 2,5 | 0,17 | 0,25 | 0,29 | - | - | - | - | - | - | - | - | - | - | - | - | - | - | 0,08 | 1180 | 9 |
3 | 4 | 0,16 | 0,19 | 0,23 | 0,31 | 0,38 | - | - | - | - | - | - | - | - | - | - | - | - | 0,10 | 1180 | 15 |
4 | 6 | 0,15 | 0,17 | 0,20 | 0,22 | 0,30 | 0,35 | - | - | - | - | - | - | - | - | - | - | - | 0,16 - 0,09 | 1180 | 22 |
5 | 8 | 0,17 | 0,19 | 0,22 | 0,26 | 0,34 | 0,39 | 0,52 | 0,63 | - | - | - | - | - | - | - | - | - | 0,17 - 0,10 | 800 | 20 |
6 | 10 | 0,18 | 0,24 | 0,29 | 0,36 | 0,43 | 0,57 | 0,68 | 0,83 | 0,98 | - | - | - | - | - | - | - | 0,18 - 0,11 | 800 | 25 | |
7 | 12 | 0,20 | 0,23 | 0,29 | 0,33 | 0,39 | 0,47 | 0,64 | 0,72 | 0,89 | 1,02 | 1,10 | - | - | - | - | - | - | 0,19 - 0,12 | 630 | 24 |
8 | 14 | 0,21 | 0,26 | 0,31 | 0,35 | 0,42 | 0,51 | 0,68 | 0,78 | 0,95 | 1,08 | 1,15 | 1,25 | - | - | - | - | - | 0,20 - 0,13 | 560 | 25 |
9 | 16 | 0,22 | 0,30 | 0,35 | 0,37 | 0,48 | 0,58 | 0,72 | 0,83 | 0,99 | 1,11 | 1,19 | 1,29 | 1,40 | 1,50 | - | - | - | 0,21 - 0,14 | 560 | 28 |
10 | 18 | 0,25 | 0,33 | 0,38 | 0,40 | 0,55 | 0,77 | 0,86 | 1,06 | 1,17 | 1,28 | 1,40 | 1,45 | 1,55 | 1,65 | - | - | 0,22 - 0,15 | 475 | 27 | |
11 | 20 | 0,28 | 0,35 | 0,39 | 0,41 | 0,57 | 0,68 | 0,78 | 0,96 | 1,09 | 1,21 | 1,32 | 1,42 | 1,51 | 1,73 | 2,41 | - | - | 0,23 - 0,16 | 475 | 30 |
12 | 24 | 0,27 | 0,37 | 0,41 | 0,44 | 0,63 | 0,73 | 0,82 | 0,99 | 1,16 | 1,28 | 1,38 | 1,47 | 1,57 | 1,67 | 1,77 | 2,46 | 2,60 | 0,24 - 0,17 | 475 | 36 |
13 | 30 | 0,37 | 0,47 | 0,52 | 0,60 | 0,74 | 0,87 | 1,01 | 1,14 | 1,28 | 1,41 | 1,55 | 1,76 | 1,90 | 2,04 | 2,17 | 2,83 | 3,00 | 0,25 - 0,18 | 315 | 30 |
Индекс | а | б | в | г | д | е | ж | з | и | к | л | м | н | о | п | р | с | ||||
РАССВЕРЛИВАНИЕ СКВОЗНЫХ ОТВЕРСТИЙ, Rz80, IT14...IT12 Сталь углеродистая конструкционная, | Токарно-револьверные станки с горизонтальной осью вращения головки | ||||||||||||||||||
Сверла спиральные из стали Р6М5 | |||||||||||||||||||
Карта 16 | |||||||||||||||||||
N позиции | d, мм, до | l, мм, до | l, мм, до | Режимы резания | |||||||||||||||
10 | 15 | 20 | 30 | 40 | 50 | 60 | 70 | 80 | 90 | 100 | 110 | 120 | 130 | S, мм/об. | n, об./мин. | v, м/мин. | |||
Время на рабочий ход, мин. | |||||||||||||||||||
1 | 15 | 8 | 0,17 | 0,19 | 0,22 | 0,27 | 0,31 | 0,36 | 0,41 | - | - | - | - | - | - | - | 0,25 | 900 | 42 |
2 | 10 | 0,15 | 0,16 | 0,18 | 0,22 | 0,25 | 0,28 | 0,31 | - | - | - | - | - | - | - | 0,35 | |||
3 | 20 | 10 | 0,24 | 0,27 | 0,30 | 0,36 | 0,41 | 0,47 | 0,52 | 0,58 | 0,63 | 0,69 | 0,75 | - | - | - | 0,25 | 800 | 50 |
4 | 15 | 0,20 | 0,22 | 0,24 | 0,28 | 0,32 | 0,36 | 0,40 | 0,43 | 0,47 | 0,30 | 0,34 | - | - | - | 0,35 | |||
5 | 25 | 10 | 0,30 | 0,35 | 0,40 | 0,48 | 0,57 | 0,66 | 0,75 | 0,83 | 0,92 | 1,02 | 1,11 | 1,19 | 1,28 | 1,37 | 0,25 | 475 | 37 |
6 | 15 | 0,28 | 0,31 | 0,34 | 0,41 | 0,47 | 0,52 | 0,59 | 0,66 | 0,72 | 0,78 | 0,85 | 0,91 | 0,97 | 1,04 | 0,35 | |||
7 | 30 | 10 | 0,40 | 0,47 | 0,52 | 0,67 | 0,81 | 0,94 | 1,08 | 1,21 | 1,35 | 1,47 | 1,62 | 1,75 | 1,89 | 2,03 | 0,25 | 315 | 30 |
8 | 15 | 0,36 | 0,41 | 0,46 | 0,55 | 0,65 | 0,75 | 0,84 | 0,94 | 1,04 | 1,13 | 1,23 | 1,33 | 1,42 | 1,51 | 0,35 | |||
9 | 20 | 0,34 | 0,39 | 0,43 | 0,51 | 0,58 | 0,68 | 0,77 | 0,85 | 0,93 | 1,02 | 1,10 | 1,29 | 1,37 | 1,43 | 0,40 | |||
10 | 40 | 20 | 0,41 | 0,48 | 0,55 | 0,71 | 0,85 | 1,01 | 1,15 | 1,31 | 1,45 | 1,61 | 1,74 | 1,91 | 2,05 | 2,21 | 0,35 | 200 | 25 |
11 | 30 | 0,38 | 0,45 | 0,51 | 0,65 | 0,78 | 0,91 | 1,04 | 1,17 | 1,30 | 1,43 | 1,55 | 1,70 | 1,82 | 1,96 | 0,40 | |||
Индекс | а | б | в | г | д | е | ж | з | и | к | л | м | н | о | |||||
ЗЕНКЕРОВАНИЕ ЦИЛИНДРИЧЕСКИХ ОТВЕРСТИЙ, Rz40...Rz20, IT14...IT11 Сталь углеродистая конструкционная, | Токарно-револьверные станки с горизонтальной осью вращения головки | ||||||||||||||||||
Зенкеры с пластинками Т15К6 | |||||||||||||||||||
Карта 17 | |||||||||||||||||||
N позиции | d, мм, до | l, мм, до | l, мм, до | Режимы резания | |||||||||||||||
10 | 15 | 20 | 30 | 40 | 50 | 60 | 70 | 80 | 90 | 100 | 110 | 120 | 130 | S, мм/об. | n, об./мин. | v, м/мин. | |||
Время на рабочий ход, мин. | |||||||||||||||||||
1 | 10 | 0,30 | 0,30 | 0,11 | 0,12 | 0,14 | 0,19 | 0,21 | 0,23 | 0,30 | - | - | - | - | - | - | 0,35 | 1000 | 32 |
2 | 15 | 0,50 | 0,13 | 0,14 | 0,16 | 0,21 | 0,22 | 0,27 | 0,30 | 0,34 | 0,37 | - | - | - | - | - | 0,35 | 900 | 43 |
3 | 18 | 0,50 | 0,14 | 0,15 | 0,17 | 0,22 | 0,24 | 0,29 | 0,32 | 0,36 | 0,39 | 0,43 | - | - | - | - | 0,35 | 850 | 48 |
4 | 20 | 0,50 | 0,15 | 0,16 | 0,18 | 0,23 | 0,26 | 0,31 | 0,34 | 0,38 | 0,42 | 0,46 | 0,49 | - | - | - | 0,40 | 700 | 44 |
5 | 22 | 0,50 | 0,16 | 0,17 | 0,19 | 0,25 | 0,28 | 0,33 | 0,36 | 0,41 | 0,45 | 0,48 | 0,53 | 0,56 | - | - | 0,40 | 650 | 45 |
6 | 25 | 0,75 | 0,17 | 0,19 | 0,21 | 0,27 | 0,30 | 0,36 | 0,39 | 0,45 | 0,48 | 0,52 | 0,58 | 0,61 | 0,66 | - | 0,40 | 600 | 47 |
7 | 28 | 0,75 | 0,19 | 0,21 | 0,23 | 0,29 | 0,33 | 0,39 | 0,43 | 0,48 | 0,52 | 0,57 | 0,63 | 0,72 | 0,76 | - | 0,40 | 550 | 48 |
8 | 30 | 0,75 | 0,22 | 0,25 | 0,27 | 0,34 | 0,39 | 0,45 | 0,49 | 0,56 | 0,61 | 0,66 | 0,73 | 0,78 | 0,83 | 0,88 | 0,40 | 475 | 45 |
Индекс | а | б | в | г | д | е | ж | з | и | к | л | м | н | о | |||||
ЗЕНКЕРОВАНИЕ ЦИЛИНДРИЧЕСКИХ ОТВЕРСТИЙ, Rz40...Rz20, IT14...IT11 Сталь углеродистая конструкционная, | Токарно-револьверные станки с горизонтальной осью вращения головки | ||||||||||||||||||
Зенкеры из стали Р6М5 | |||||||||||||||||||
Карта 18 | |||||||||||||||||||
N позиции | d, мм, до | l, мм, до | l, мм, до | Режимы резания | |||||||||||||||
10 | 15 | 20 | 30 | 40 | 50 | 60 | 70 | 80 | 90 | 100 | 110 | 120 | 130 | S, мм/об. | n, об./мин. | v, м/мин. | |||
Время на рабочий ход, мин. | |||||||||||||||||||
1 | 12 | 0,50 | 0,19 | 0,23 | 0,24 | 0,31 | 0,39 | 0,44 | 0,51 | - | - | - | - | - | - | - | 0,35 | 460 | 17 |
2 | 16 | 0,50 | 0,21 | 0,25 | 0,27 | 0,35 | 0,43 | 0,48 | 0,57 | 0,65 | 0,72 | - | - | - | - | - | 0,40 | 360 | 18 |
3 | 18 | 0,50 | 0,22 | 0,26 | 0,28 | 0,37 | 0,45 | 0,51 | 0,60 | 0,68 | 0,76 | 0,88 | - | - | - | - | 0,40 | 340 | 19 |
4 | 20 | 0,50 | 0,23 | 0,27 | 0,39 | 0,47 | 0,54 | 0,63 | 0,71 | 0,79 | 0,87 | 0,95 | - | - | - | - | 050 | 260 | 16 |
5 | 22 | 0,50 | 0,24 | 0,28 | 0,31 | 0,41 | 0,49 | 057 | 0,66 | 0,75 | 0,83 | 0,92 | 1,01 | 1,09 | - | - | 056 | 220 | 15 |
6 | 24 | 0,75 | 0,26 | 0,31 | 0,34 | 0,45 | 0,54 | 0,63 | 0,73 | 0,82 | 0,91 | 1,01 | 1,10 | 1,19 | 1,29 | - | 056 | 200 | 15 |
7 | 28 | 0,75 | 0,28 | 0,34 | 0,39 | 0,48 | 0,59 | 0,69 | 0,79 | 0,90 | 1,00 | 1,10 | 1,20 | 1,31 | 1,41 | 151 | 0,60 | 170 | 15 |
8 | 30 | 0,75 | 0,32 | 0,38 | 0,44 | 0,54 | 0,67 | 0,78 | 0,90 | 1,02 | 1,13 | 1,25 | 1,37 | 1,47 | 1,61 | 1,71 | 0,60 | 150 | 14 |
Индекс | а | б | в | г | д | е | ж | з | и | к | л | м | н | о | |||||
ЗЕНКЕРОВАНИЕ КОНИЧЕСКИХ ОТВЕРСТИЙ, Rz40...Rz20, IT14...IT11 Сталь углеродистая конструкционная, | Токарно-револьверные станки с горизонтальной осью вращения головки | |||||||||
Зенкеры из стали Р6М5 | ||||||||||
Карта 19 | ||||||||||
N позиции | d, мм, до | Черновое зенкерование, Rz40 | Чистовое зенкерование, Rz20 | |||||||
Время на рабочий ход, мин. | Режимы резания | Время на рабочий ход, мин. | Режимы резания | |||||||
S, мм/об. | n, об./мин. | v, м/мин. | S, мм/об. | n, об./мин. | v, м/мин. | |||||
1 | 8 | 0,41 | 0,12 | 375 | 10 | 0,61 | 0,10 | 315 | 8 | |
2 | 11 | 0,59 | 0,14 | 230 | 8 | 0,81 | 0,12 | 140 | 5 | |
3 | 14 | 0,80 | 0,17 | 130 | 6 | 1,01 | 0,14 | 115 | 5 | |
4 | 19 | 1,02 | 0,22 | 100 | 6 | 1,21 | 0,16 | 80 | 5 | |
Индекс | а | б | ||||||||
РАЗВЕРТЫВАНИЕ ОТВЕРСТИЙ, Rz20...Ra2,5, IT11...IT9 Сталь углеродистая конструкционная, | Токарно-револьверные станки с горизонтальной осью вращения головки | ||||||||||||||||||||
Развертки с пластинками Т15К6 | |||||||||||||||||||||
Карта 20 | |||||||||||||||||||||
N позиции | d, мм, до | l, мм, до | l, мм, до | Режимы резания | |||||||||||||||||
10 | 15 | 20 | 30 | 40 | 50 | 60 | 70 | 80 | 90 | 100 | 110 | 120 | 130 | 140 | 150 | S, мм/об. | n, об./мин. | v, м/мин. | |||
Время на рабочий ход, мин. | |||||||||||||||||||||
1 | 10 | 0,07 | 0,17 | 0,19 | 0,21 | 0,23 | 0,26 | 0,31 | 0,34 | 0,41 | - | - | - | - | - | - | - | - | 0,80 | 450 | 14 |
2 | 14 | 0,07 | 0,19 | 0,21 | 0,23 | 0,25 | 0,28 | 0,34 | 0,36 | 0,43 | 0,47 | - | - | - | - | - | - | - | 0,80 | 420 | 18 |
3 | 16 | 0,07 | 0,21 | 0,23 | 0,25 | 0,27 | 0,31 | 0,37 | 0,40 | 0,47 | 0,31 | 0,38 | - | - | - | - | - | - | 0,80 | 375 | 19 |
4 | 20 | 0,07 | 0,22 | 0,26 | 0,29 | 0,33 | 0,38 | 0,45 | 0,49 | 0,56 | 0,61 | 0,67 | 0,74 | 0,81 | 0,88 | 0,94 | - | - | 0,80 | 330 | 21 |
5 | 22 | 0,07 | 0,26 | 031 | 0,35 | 0,39 | 0,44 | 0,47 | 0,53 | 0,61 | 0,68 | 0,74 | 0,81 | 0,88 | 0,94 | 1,01 | 1,07 | 1,18 | 0,80 | 300 | 21 |
6 | 25 | 0,07 | 0,29 | 0,35 | 0,39 | 0,43 | 0,47 | 0,52 | 0,58 | 0,68 | 0,76 | 0,82 | 0,91 | 0,97 | 1,06 | 1,16 | 1,36 | 1,36 | 0,90 | 250 | 19 |
7 | 28 | 0,07 | 0,30 | 0,37 | 0,41 | 0,45 | 0,50 | 0,54 | 0,60 | 0,71 | 0,79 | 0,86 | 0,95 | 1,02 | 1,10 | 1,22 | 1,33 | 1,41 | 1,00 | 205 | 18 |
8 | 30 | 0,07 | 0,31 | 0,38 | 0,42 | 0,46 | 0,51 | 0,56 | 0,62 | 0,73 | 0,81 | 0,88 | 0,97 | 1,05 | 1,13 | 1,25 | 1,36 | 1,45 | 1,00 | 180 | 19 |
Индекс | а | б | в | г | д | е | ж | з | и | к | л | м | н | о | п | р | |||||
РАЗВЕРТЫВАНИЕ ОТВЕРСТИЙ, Ra1,25...Ra0,63, IT9...IT7 Сталь углеродистая конструкционная, | Токарно-револьверные станки с горизонтальной осью вращения головки | ||||||||||||||||||
Развертки с пластинками Т15К6 | |||||||||||||||||||
Карта 21 | |||||||||||||||||||
N позиции | d, мм, до | l, мм, до | l, мм, до | Режимы резания | |||||||||||||||
10 | 15 | 20 | 30 | 40 | 50 | 60 | 70 | 80 | 90 | 100 | 110 | 120 | 130 | S, мм/об. | n, об./мин. | v, м/мин. | |||
Время на рабочий ход, мин. | |||||||||||||||||||
1 | 10 | 0,02 | 0,21 | 0,26 | 0,30 | 0,34 | 0,43 | 0,50 | 0,58 | 0,65 | - | - | - | - | - | - | 0,60 | 350 | 11 |
2 | 14 | 0,02 | 0,24 | 0,29 | 0,33 | 0,37 | 0,46 | 0,53 | 0,62 | 0,69 | 0,79 | - | - | - | - | - | 0,60 | 320 | 14 |
3 | 16 | 0,02 | 0,26 | 0,31 | 0,35 | 0,40 | 0,48 | 0,57 | 0,66 | 0,74 | 0,84 | 0,92 | - | - | - | - | 0,60 | 300 | 15 |
4 | 20 | 0,02 | 0,29 | 0,34 | 0,39 | 0,44 | 0,54 | 0,64 | 0,74 | 0,82 | 0,94 | 1,02 | 1,12 | 1,23 | 1,32 | 1,40 | 0,60 | 270 | 17 |
5 | 22 | 0,03 | 0,31 | 0,37 | 0,42 | 0,47 | 0,59 | 0,69 | 0,79 | 0,89 | 1,02 | 1,10 | 1,21 | 1,31 | 1,40 | 1,50 | 0,60 | 250 | 17 |
6 | 25 | 0,03 | 0,33 | 0,40 | 0,45 | 0,51 | 0,63 | 0,74 | 0,85 | 0,96 | 1,09 | 1,18 | 1,30 | 1,41 | 1,49 | 1,61 | 0,70 | 200 | 15 |
7 | 28 | 0,03 | 0,34 | 0,41 | 0,47 | 0,53 | 0,65 | 0,76 | 0,88 | 0,99 | 1,11 | 1,22 | 1,34 | 1,50 | 1,60 | 1,68 | 0,80 | 170 | 15 |
8 | 30 | 0,03 | 0,39 | 0,47 | 0,53 | 0,61 | 0,74 | 0,86 | 1,00 | 1,12 | 1,26 | 1,39 | 1,52 | 1,64 | 1,77 | 1,91 | 0,80 | 150 | 14 |
Индекс | а | б | в | г | д | е | ж | з | и | к | л | м | н | о | |||||
РАЗВЕРТЫВАНИЕ ОТВЕРСТИЙ, Rz20...Ra2,5, IT11...IT9 Сталь углеродистая конструкционная, | Токарно-револьверные станки с горизонтальной осью вращения головки | ||||||||||||||||||||
Развертки из стали Р6М5 | |||||||||||||||||||||
Карта 22 | |||||||||||||||||||||
N позиции | d, мм, до | t, мм, до | l, мм, до | Режимы резания | |||||||||||||||||
10 | 15 | 20 | 30 | 40 | 50 | 60 | 70 | 80 | 90 | 100 | 110 | 120 | 130 | 140 | 150 | S, мм/об. | n, об./мин. | v, м/мин. | |||
Время на рабочий ход, мин. | |||||||||||||||||||||
1 | 6 | 0,055 | 0,16 | 0,17 | 0,19 | 0,22 | - | - | - | - | - | - | - | - | - | - | - | - | 0,8 | 500 | 9 |
2 | 8 | 0,055 | 0,17 | 0,18 | 0,20 | 0,23 | - | - | - | - | - | - | - | - | - | - | - | - | 0,8 | 475 | 12 |
3 | 10 | 0,055 | 0,24 | 0,27 | 0,29 | 0,35 | 0,40 | 0,45 | - | - | - | - | - | - | - | - | - | - | 0,8 | 250 | 8 |
4 | 14 | 0,055 | 0,27 | 0,33 | 0,36 | 0,40 | 0,45 | 0,50 | 0,56 | 0,62 | 0,68 | - | - | - | - | - | - | - | 0,9 | 200 | 9 |
5 | 16 | 0,070 | 0,33 | 0,37 | 0,41 | 0,48 | 0,54 | 0,61 | 0,69 | 0,76 | 0,82 | 0,89 | - | - | - | - | - | - | 1,0 | 150 | 7 |
6 | 20 | 0,070 | 0,37 | 0,42 | 0,45 | 0,51 | 0,59 | 0,66 | 0,73 | 0,79 | 0,86 | 0,94 | 1,01 | 1,08 | 1,15 | 1,22 | - | - | 1,2 | 125 | 9 |
7 | 22 | 0,075 | 0,41 | 0,45 | 0,47 | 0,55 | 0,64 | 0,71 | 0,88 | 0,86 | 0,94 | 1,02 | 1,10 | 1,16 | 1,24 | 1,32 | 1,41 | 1,47 | 1,2 | 115 | 8 |
8 | 25 | 0,075 | 0,45 | 0,49 | 0,53 | 0,62 | 0,71 | 0,79 | 0,88 | 0,97 | 1,06 | 1,14 | 1,23 | 1,32 | 1,41 | 1,50 | 1,59 | 1,68 | 1,2 | 100 | 7 |
9 | 28 | 0,075 | 0,48 | 0,54 | 0,59 | 0,69 | 0,79 | 0,89 | 0,99 | 1,11 | 1,19 | 1,29 | 1,39 | 1,49 | 1,60 | 1,70 | 1,79 | 1,90 | 1,2 | 90 | 8 |
10 | 30 | 0,075 | 0,53 | 0,59 | 0,64 | 0,75 | 0,86 | 0,97 | 1,08 | 1,19 | 1,30 | 1,40 | 1,62 | 1,63 | 1,73 | 1,84 | 1,95 | 2,06 | 1,2 | 80 | 7 |
Индекс | а | б | в | г | д | е | ж | з | и | к | л | м | н | о | п | р | |||||
РАЗВЕРТЫВАНИЕ ОТВЕРСТИЙ, Ra1,25...Ra0,63, IT9...IT7 Сталь углеродистая конструкционная, | Токарно-револьверные станки с горизонтальной осью вращения головки | ||||||||||||||||||
Развертки из стали Р6М5 | |||||||||||||||||||
Карта 23 | |||||||||||||||||||
N позиции | d, мм, до | t, мм, до | l, мм, до | Режимы резания | |||||||||||||||
10 | 15 | 20 | 30 | 40 | 50 | 60 | 70 | 80 | 90 | 100 | 110 | 120 | 130 | S, мм/об. | n, об./мин. | v, м/мин. | |||
Время на рабочий ход, мин. | |||||||||||||||||||
1 | 6 | 0,020 | 0,25 | 0,30 | 0,34 | 0,39 | - | - | - | - | - | - | - | - | - | - | 0,6 | 335 | 5 |
2 | 8 | 0,020 | 0,27 | 0,32 | 0,37 | 0,45 | - | - | - | - | - | - | - | - | - | - | 0,6 | 315 | 5 |
3 | 10 | 0,020 | 0,29 | 0,34 | 0,39 | 0,48 | 0,58 | 0,65 | - | - | - | - | - | - | - | - | 0,6 | 300 | 5 |
4 | 14 | 0,020 | 0,32 | 0,37 | 0,42 | 0,50 | 0,61 | 0,68 | 0,74 | 0,79 | 0,85 | - | - | - | - | - | 0,8 | 215 | 5 |
5 | 16 | 0,030 | 0,35 | 0,41 | 0,45 | 0,53 | 0,64 | 0,70 | 0,78 | 0,83 | 0,90 | 0,97 | - | - | - | - | 0,8 | 200 | 5 |
6 | 20 | 0,030 | 0,38 | 0,52 | 0,56 | 0,62 | 0,68 | 0,78 | 0,84 | 0,92 | 1,00 | 1,09 | 1,16 | 1,26 | 1,38 | 1,49 | 0,8 | 175 | 5 |
7 | 22 | 0,030 | 0,45 | 0,55 | 0,61 | 0,66 | 0,73 | 0,82 | 0,92 | 0,99 | 1,10 | 1,21 | 1,33 | 1,44 | 1,56 | 1,68 | 1,0 | 120 | 5 |
8 | 25 | 0,035 | 0,52 | 0,62 | 0,68 | 0,73 | 0,78 | 0,94 | 1,09 | 1,23 | 1,37 | 1,51 | 1,66 | 1,81 | 1,96 | 2,10 | 1,0 | 90 | 5 |
9 | 28 | 0,035 | 0,55 | 0,65 | 0,71 | 0,76 | 0,87 | 1,05 | 1,21 | 1,35 | 1,39 | 1,72 | 1,87 | 2,10 | 2,21 | 2,39 | 1,0 | 80 | 5 |
10 | 30 | 0,035 | 0,58 | 0,68 | 0,74 | 0,80 | 0,95 | 1,13 | 1,32 | 1,50 | 1,68 | 1,86 | 2,04 | 2,23 | 2,40 | 2,59 | 1,0 | 70 | 5 |
Индекс | а | б | в | г | д | е | ж | з | и | к | л | м | н | о | |||||
НАРЕЗАНИЕ НАРУЖНОЙ МЕТРИЧЕСКОЙ РЕЗЬБЫ Сталь углеродистая конструкционная, | Токарно-револьверные станки с горизонтальной осью вращения головки | ||||||||||
Плашки круглые из стали Р6М5 | |||||||||||
Карта 24 | Лист 1 | ||||||||||
N позиции | D, мм, до | P, мм | l, мм, до | Режимы резания | |||||||
10 | 15 | 20 | 25 | 30 | 40 | 50 | n, об./мин. | v, м/мин. | |||
Время на поверхность, мин. | |||||||||||
1 | 4 | 0,50 | 0,33 | 0,40 | - | - | - | - | - | 375 | 5 |
2 | 0,70 | 0,35 | 0,41 | - | - | - | - | - | 265 | 3 | |
3 | 6 | 0,50 | 0,40 | 0,48 | 0,55 | 0,66 | 0,74 | - | - | 265 | 5 |
4 | 0,75 | 0,34 | 0,40 | 0,45 | 0,51 | 0,57 | - | - | 265 | 5 | |
5 | 1,00 | 0,42 | 0,50 | 0,58 | 0,67 | 0,75 | - | - | 130 | 3 | |
6 | 8 | 0,50 | 0,39 | 0,47 | 0,56 | 0,65 | 0,73 | 0,90 | 1,07 | 265 | 7 |
7 | 0,75 | 0,34 | 0,39 | 0,44 | 0,50 | 0,56 | 0,68 | 0,82 | 265 | 7 | |
8 | 1,00 | 0,38 | 0,42 | 0,51 | 0,58 | 0,65 | 0,79 | 0,92 | 160 | 4 | |
9 | 1,25 | 0,39 | 0,45 | 0,51 | 0,58 | 0,64 | 0,77 | 0,90 | 130 | 3 | |
10 | 10 | 0,50 | 0,45 | 0,56 | 0,67 | 0,78 | 0,88 | 1,00 | 1,27 | 200 | 6 |
11 | 0,75 | 0,37 | 0,45 | 0,51 | 0,59 | 0,66 | 0,82 | 0,94 | 200 | 6 | |
12 | 1,00 | 0,34 | 0,40 | 0,45 | 0,50 | 0,56 | 0,67 | 0,78 | 200 | 6 | |
13 | 1,25 | 0,37 | 0,42 | 0,46 | 0,52 | 0,58 | 0,69 | 0,80 | 150 | 5 | |
14 | 1,50 | 0,39 | 0,45 | 0,52 | 0,60 | 0,67 | 0,86 | 0,95 | 100 | 3 | |
Индекс | а | б | в | г | д | е | ж | ||||
НЕПОЛНОЕ ШТУЧНОЕ ВРЕМЯ НАРЕЗАНИЕ НАРУЖНОЙ МЕТРИЧЕСКОЙ РЕЗЬБЫ Сталь углеродистая конструкционная, 0,59...0,74 ГПа | Токарно-револьверные станки с горизонтальной осью вращения головки | |||||||||||||
Плашки круглые из стали Р6М5 | ||||||||||||||
Карта 24 | Лист 2 | |||||||||||||
N позиции | D, мм, до | P, мм | l, мм, до | Режимы резания | ||||||||||
10 | 13 | 20 | 25 | 30 | 40 | 50 | 60 | 70 | 80 | n, об./мин. | v, м/мин. | |||
Время на поверхность, мин. | ||||||||||||||
15 | 12 | 0,50 | 0,39 | 0,45 | 0,66 | 0,77 | - | - | - | - | - | - | 200 | 7 |
16 | 0,75 | 0,41 | 0,46 | 0,51 | 0,59 | 0,66 | - | - | - | - | - | |||
17 | 1,00 | 0,30 | 0,35 | 0,40 | 0,45 | 0,50 | 0,58 | 0,68 | 0,76 | - | - | |||
18 | 1,25 | 0,32 | 0,36 | 0,46 | 0,51 | 0,57 | 0,61 | 0,69 | 0,78 | - | - | 180 | 7 | |
19 | 1,50 | 0,30 | 0,33 | 0,44 | 0,48 | 0,53 | 0,62 | 0,72 | 0,89 | - | - | 150 | 6 | |
20 | 1,75 | 0,35 | 0,40 | 0,52 | 0,58 | 0,64 | 0,76 | 0,88 | 0,96 | - | - | 100 | 4 | |
21 | 16 | 0,50 | 0,57 | 0,74 | 0,90 | 1,08 | 1,25 | 1,59 | 1,92 | 2,27 | 2,60 | 2,94 | 150 | 7 |
22 | 0,75 | 0,46 | 0,64 | 0,68 | 0,79 | 0,95 | 1,11 | 1,44 | 1,59 | 1,81 | 2,07 | |||
23 | 1,00 | 0,41 | 0,53 | 0,58 | 0,65 | 0,74 | 0,90 | 1,08 | 1,24 | 1,42 | 2,07 | |||
24 | 1,50 | 0,31 | 0,50 | 0,56 | 0,61 | 0,70 | 0,74 | 0,78 | 0,86 | 1,05 | 1,09 | |||
25 | 2,00 | 0,29 | 0,35 | 0,39 | 0,44 | 0,48 | 0,57 | 0,65 | 0,75 | 0,82 | 0,91 | |||
26 | 20 | 0,50 | 0,66 | 0,82 | 0,95 | 1,15 | 1,33 | 1,68 | 2,02 | 2,38 | 2,71 | 3,07 | 130 | 8 |
27 | 0,75 | 0,50 | 0,63 | 0,75 | 0,86 | 0,96 | 1,21 | 1,44 | 1,69 | 1,90 | 2,14 | |||
28 | 1,00 | 0,42 | 0,55 | 0,63 | 0,72 | 0,80 | 0,97 | 1,15 | 1,33 | 1,49 | 1,65 | |||
29 | 1,50 | 0,34 | 0,52 | 0,58 | 0,63 | 0,72 | 0,78 | 0,86 | 0,96 | 1,09 | 1,20 | |||
30 | 2,00 | 0,38 | 0,55 | 0,63 | 0,71 | 0,87 | 0,95 | 0,99 | 1,12 | 1,26 | 1,39 | 80 | 5 | |
31 | 2,50 | 0,34 | 0,47 | 0,53 | 0,60 | 0,66 | 0,75 | 0,85 | 0,96 | 1,07 | 1,18 | |||
Индекс | а | б | в | г | д | е | ж | з | и | к | ||||
НЕПОЛНОЕ ШТУЧНОЕ ВРЕМЯ НАРЕЗАНИЕ НАРУЖНОЙ МЕТРИЧЕСКОЙ РЕЗЬБЫ Сталь углеродистая конструкционная, | Токарно-револьверные станки с горизонтальной осью вращения головки | ||||||||||||||
Плашки круглые из стали Р6М5 | |||||||||||||||
Карта 24 | Лист 3 | ||||||||||||||
N позиции | D, мм, до | P, мм | l, мм, до | Режимы резания | |||||||||||
10 | 15 | 20 | 25 | 30 | 40 | 50 | 60 | 70 | 80 | 90 | n, об./мин. | v, м/мин. | |||
Время на поверхность, мин. | |||||||||||||||
32 | 24 | 0,75 | 0,59 | 0,74 | 0,88 | 1,02 | 1,15 | 1,39 | 1,72 | 2,00 | 2,28 | 2,56 | 2,84 | 100 | 7 |
33 | 1,00 | 0,49 | 0,60 | 0,71 | 0,80 | 0,91 | 1,12 | 1,34 | 1,44 | 1,75 | 1,97 | 2,17 | 100 | 7 | |
34 | 1,50 | 0,39 | 0,45 | 0,53 | 0,60 | 0,67 | 0,80 | 0,93 | 1,03 | 1,23 | 1,37 | 1,51 | 100 | 7 | |
35 | 2,00 | 0,38 | 0,45 | 0,50 | 0,57 | 0,63 | 0,74 | 0,85 | 0,96 | 1,08 | 1,19 | 1,29 | 100 | 7 | |
36 | 3,00 | 0,45 | 0,51 | 0,57 | 0,62 | 0,68 | 0,78 | 0,90 | 1,02 | 1,12 | 1,25 | 1,35 | 60 | 4 | |
37 | 30 | 0,75 | 0,61 | 0,76 | 0,90 | 1,05 | 1,19 | 1,48 | 1,77 | 2,07 | 2,36 | 2,65 | 2,94 | 96,5 | 9 |
38 | 1,0 | 0,50 | 0,61 | 0,73 | 0,83 | 0,94 | 1,16 | 1,38 | 1,59 | 1,81 | 2,03 | 2,25 | 96,5 | 9 | |
39 | 1,50 | 0,40 | 0,46 | 0,54 | 0,61 | 0,69 | 0,98 | 1,12 | 1,27 | 1,42 | 1,56 | 96,5 | 9 | ||
40 | 2,00 | 0,38 | 0,44 | 0,49 | 045 | 049 | 0,70 | 0,80 | 0,89 | 1,00 | 1,08 | 1,16 | 96,5 | 9 | |
41 | 3,00 | 0,46 | 0,51 | 0,57 | 0,62 | 0,68 | 0,78 | 0,90 | 1,02 | 1,12 | 1,25 | 1,35 | 60 | 6 | |
42 | 3,50 | 0,44 | 0,48 | 0,53 | 0,58 | 0,61 | 0,73 | 0,82 | 0,91 | 1,01 | 1,10 | 1,20 | 60 | 6 | |
Индекс | а | б | в | г | д | е | ж | з | и | к | л | ||||
НАРЕЗАНИЕ НАРУЖНОЙ МЕТРИЧЕСКОЙ РЕЗЬБЫ Сталь углеродистая конструкционная, | Токарно-револьверные станки с горизонтальной осью вращения головки | ||||||||||
Плашки круглые из стали 9ХС | |||||||||||
Карта 25 | Лист 1 | ||||||||||
N. позиции | D, мм, до | P, мм | l, мм, до | Режимы резания | |||||||
10 | 15 | 20 | 25 | 30 | 40 | 50 | n, об./мин. | v, м/мин. | |||
Время на поверхность, мин. | |||||||||||
1 | 4 | 0,50 | 0,42 | 0,49 | - | - | - | - | - | 265 | 3 |
2 | 0,70 | 0,41 | 0,47 | - | - | - | - | - | 200 | 2 | |
3 | 6 | 0,50 | 0,49 | 0,61 | 0,73 | 0,83 | 0,95 | - | - | 200 | 4 |
4 | 0,75 | 0,42 | 0,50 | 0,57 | 0,65 | 0,77 | - | - | 180 | 3 | |
5 | 1,00 | 0,48 | 0,57 | 0,63 | 0,75 | 0,83 | - | - | 120 | 2 | |
6 | 8 | 0,50 | 0,49 | 0,60 | 0,72 | 0,82 | 0,93 | 1,15 | - | 200 | 5 |
7 | 0,75 | 0,42 | 0,49 | 0,57 | 0,64 | 0,72 | 0,86 | - | 180 | 4 | |
8 | 1,00 | 0,39 | 0,45 | 0,53 | 0,60 | 0,67 | 0,80 | 0,95 | 150 | 4 | |
9 | 1,25 | 0,43 | 0,51 | 0,60 | 0,69 | 0,77 | 0,93 | 1,10 | 100 | 2 | |
10 | 10 | 0,50 | 0,51 | 0,62 | 0,74 | 0,84 | 0,95 | 1,17 | 1,40 | 190 | 6 |
11 | 0,75 | 0,43 | 0,63 | 0,75 | 0,83 | 0,96 | 1,18 | 1,41 | 170 | 5 | |
12 | 1,00 | 0,35 | 0,43 | 0,48 | 0,55 | 0,61 | 0,74 | 0,86 | 170 | 5 | |
13 | 1,25 | 0,39 | 0,45 | 0,53 | 0,60 | 0,67 | 0,81 | 0,95 | 120 | 4 | |
14 | 1,50 | 0,45 | 0,53 | 0,62 | 0,72 | 0,80 | 0,97 | 1,14 | 80 | 2 | |
Индекс | а | б | в | г | д | е | ж | ||||
НЕПОЛНОЕ ШТУЧНОЕ ВРЕМЯ НАРЕЗАНИЕ НАРУЖНОЙ МЕТРИЧЕСКОЙ РЕЗЬБЫ Сталь углеродистая конструкционная, | Токарно-револьверные станки с горизонтальной осью вращения головки | |||||||||||||
Плашки круглые из стали 9ХС | ||||||||||||||
Карта 25 | Лист 2 | |||||||||||||
N позиции | D, мм, до | P, мм | l, мм, до | Режимы резания | ||||||||||
10 | 13 | 20 | 25 | 30 | 40 | 50 | 60 | 70 | 80 | n, об./мин. | v, м/мин. | |||
Время на поверхность, мин. | ||||||||||||||
15 | 12 | 0,50 | 0,51 | 0,62 | 0,73 | 0,84 | 0,95 | 1,17 | 1,40 | - | - | - | 150,0 | 6 |
16 | 0,75 | 0,45 | 0,55 | 0,65 | 0,76 | 0,83 | 1,02 | 1,21 | - | - | - | 150,0 | 6 | |
17 | 1,00 | 0,39 | 0,45 | 0,49 | 0,55 | 0,60 | 0,72 | 0,82 | 0,93 | - | - | 150,0 | 6 | |
18 | 1,25 | 0,35 | 0,41 | 0,45 | 0,48 | 0,57 | 0,69 | 0,79 | 0,90 | - | - | 150,0 | 6 | |
19 | 1,50 | 0,40 | 0,48 | 0,57 | 0,63 | 0,69 | 0,83 | 0,98 | 1,12 | - | - | 96,5 | 4 | |
20 | 1,75 | 0,42 | 0,49 | 0,60 | 0,65 | 0,74 | 0,89 | 1,05 | 1,20 | - | - | 76 | 3 | |
21 | 16 | 0,50 | 0,67 | 0,85 | 1,03 | 1,21 | 1,39 | 1,75 | 2,10 | 2,47 | 2,83 | 3,19 | 96,5 | 5 |
22 | 0,75 | 0,55 | 0,67 | 0,79 | 0,91 | 1,03 | 1,27 | 1,51 | 1,75 | 2,00 | 2,23 | 96,5 | 5 | |
23 | 1,00 | 0,49 | 0,58 | 0,67 | 0,76 | 0,84 | 1,03 | 1,21 | 1,39 | 1,57 | 1,75 | 96,5 | 5 | |
24 | 1,50 | 0,40 | 0,49 | 0,35 | 0,61 | 0,67 | 0,79 | 0,91 | 1,03 | 1,15 | 1,27 | 96,5 | 5 | |
25 | 2,00 | 0,44 | 0,33 | 0,62 | 0,71 | 0,82 | 0,97 | 1,14 | 1,32 | 1,49 | 1,67 | 60,0 | 3 | |
26 | 20 | 0,50 | 0,74 | 0,96 | 1,17 | 1,38 | 1,59 | 2,01 | 2,43 | 2,85 | 3,28 | 3,69 | 100,0 | 6 |
27 | 0,75 | 0,61 | 0,75 | 0,89 | 1,03 | 1,17 | 1,44 | 1,73 | 2,01 | 2,30 | 2,57 | 100,0 | 6 | |
28 | 1,00 | 0,53 | 0,64 | 0,75 | 0,85 | 0,96 | 1,16 | 1,38 | 1,59 | 1,76 | 2,01 | 100,0 | 6 | |
29 | 1,50 | 0,46 | 0,53 | 0,61 | 0,68 | 0,75 | 0,88 | 1,03 | 1,17 | 1,31 | 1,44 | 100,0 | 6 | |
30 | 2,00 | 0,44 | 0,53 | 0,62 | 0,71 | 0,82 | 0,97 | 1,14 | 132 | 1,49 | 1,67 | 60,0 | 4 | |
31 | 2,50 | 0,39 | 0,45 | 0,51 | 0,58 | 0,67 | 0,81 | 0,95 | 1,09 | 1,23 | 1,37 | 60,0 | 4 | |
Индекс | а | б | в | г | д | е | ж | з | и | к | ||||
НЕПОЛНОЕ ШТУЧНОЕ ВРЕМЯ НАРЕЗАНИЕ НАРУЖНОЙ МЕТРИЧЕСКОЙ РЕЗЬБЫ Сталь углеродистая конструкционная, | Токарно-револьверные станки с горизонтальной осью вращения головки | ||||||||||||||
Плашки круглые из стали 9ХС | |||||||||||||||
Карта 25 | Лист 3 | ||||||||||||||
N позиции | D, мм, до | P, мм | l, мм, до | Режимы резания | |||||||||||
10 | 15 | 20 | 25 | 30 | 40 | 50 | 60 | 70 | 80 | 90 | n, об./мин. | v, м/мин. | |||
Время на поверхность, мин. | |||||||||||||||
32 | 24 | 0,75 | 0,71 | 0,90 | 1,09 | 1,27 | 1,44 | 1,75 | 2,10 | 2,45 | 2,81 | 3,16 | 3,51 | 80 | 6 |
33 | 1,00 | 0,37 | 0,71 | 0,83 | 0,97 | 1,07 | 1,37 | 1,63 | 1,89 | 2,15 | 2,41 | 2,00 | 80 | 6 | |
34 | 1,30 | 0,44 | 0,32 | 0,62 | 0,71 | 0,79 | 0,97 | 1,14 | 1,32 | 1,49 | 1,67 | 1,84 | 80 | 6 | |
35 | 2,00 | 0,49 | 0,36 | 0,63 | 0,70 | 0,77 | 0,90 | 1,04 | 1,18 | 1,32 | 1,45 | 1,39 | 50 | 4 | |
36 | 3,00 | 0,31 | 0,37 | 0,63 | 0,69 | 0,75 | 0,86 | 0,98 | 1,10 | 1,21 | 1,33 | 1,44 | 50 | 4 | |
37 | 30 | 0,75 | 0,91 | 1,10 | 1,33 | 1,37 | 1,80 | 2,27 | 2,32 | 3,21 | 3,67 | 4,13 | 4,61 | 60 | 6 |
38 | 1,00 | 0,75 | 0,92 | 1,10 | 1,27 | 1,44 | 1,80 | 2,15 | 2,50 | 2,85 | 3,20 | 3,56 | 60 | 6 | |
39 | 1,30 | 0,63 | 0,75 | 0,86 | 0,98 | 1,10 | 1,33 | 1,37 | 1,80 | 2,04 | 2,27 | 2,30 | 60 | 6 | |
40 | 2,00 | 037 | 0,66 | 0,75 | 0,83 | 0,92 | 1,10 | 1,27 | 1,44 | 1,62 | 1,80 | 1,98 | 60 | 6 | |
41 | 3,00 | 0,38 | 0,66 | 0,74 | 0,80 | 0,89 | 1,02 | 1,17 | 1,32 | 1,46 | 1,61 | 1,65 | 45 | 4 | |
42 | 3,50 | 036 | 0,63 | 0,69 | 0,76 | 0,81 | 0,95 | 1,07 | 1,19 | 132 | 1,44 | 1,57 | 45 | 4 | |
Индекс | а | б | в | г | д | е | ж | з | и | к | л | ||||
НАРЕЗАНИЕ НАРУЖНОЙ ТРУБНОЙ РЕЗЬБЫ Сталь углеродистая конструкционная, | Токарно-револьверные станки с горизонтальной осью вращения головки | |||||||||||||
Плашки круглые из стали 9ХС | ||||||||||||||
Карта 26 | ||||||||||||||
N позиции | Размер резьбы | P, мм | l, мм, до | Режимы резания | ||||||||||
10 | 15 | 20 | 25 | 30 | 40 | 50 | 60 | 70 | 80 | n, об./мин. | v, м/мин. | |||
Время на поверхность, мин. | ||||||||||||||
1 | Труб. 1/8" | 0,907 | 0,40 | 0,45 | 0,51 | 0,58 | 0,64 | 0,76 | 0,88 | 1,00 | - | - | 160 | 5 |
2 | Труб. 1/4" | 1,337 | 0,45 | 0,51 | 0,58 | 0,65 | 0,72 | 0,85 | 0,99 | 1,11 | - | - | 120 | 5 |
3 | Труб. 3/8" | 1,337 | 0,52 | 0,60 | 0,67 | 0,74 | 0,78 | 0,96 | 1,11 | 1,27 | - | - | 90 | 5 |
4 | Труб. 1/2" | 1,814 | 0,54 | 0,62 | 0,69 | 0,76 | 0,80 | 0,96 | 1,11 | 1,17 | 1,27 | 1,42 | 80 | 5 |
5 | Труб. 3/4" | 1,814 | 0,64 | 0,74 | 0,78 | 0,88 | 0,98 | 1,17 | 1,37 | 1,46 | 1,63 | 1,82 | 60 | 5 |
6 | Труб. 1" | 2,209 | 0,42 | 0,49 | 0,58 | 0,66 | 0,74 | 0,89 | 1,05 | 1,21 | 1,37 | 143 | 60 | 6 |
Индекс | а | б | в | г | д | е | ж | з | и | к | ||||
НАРЕЗАНИЕ ВНУТРЕННЕЙ МЕТРИЧЕСКОЙ РЕЗЬБЫ Сталь углеродистая конструкционная, | Токарно-револьверные станки с горизонтальной осью вращения головки | |||||||||
Метчики машинные из стали Р6М5 | ||||||||||
Карта 27 | Лист 1 | |||||||||
N позиции | d, мм, до | P, мм, до | l, мм, до | Режимы резания | ||||||
5 | 10 | 15 | 20 | 25 | 30 | n, об./мин. | v, м/мин. | |||
Время на поверхность, мин. | ||||||||||
1 | 4 | 0,50 | 0,36 | 0,45 | - | - | - | - | 200 | 2 |
2 | 0,70 | 0,35 | 0,39 | - | - | - | - | 275 | 3 | |
3 | 6 | 0,50 | 0,42 | 0,56 | 0,70 | 0,92 | - | - | 160 | 3 |
4 | 0,75 | 0,37 | 0,45 | 0,55 | 0,65 | - | - | 180 | 3 | |
5 | 1,00 | 0,31 | 0,35 | 0,39 | 0,45 | - | - | 200 | 4 | |
6 | 8 | 0,50 | 0,46 | 0,61 | 0,78 | 0,93 | 1,10 | 1,26 | 140 | 3 |
7 | 0,75 | 0,38 | 0,46 | 0,58 | 0,65 | 0,74 | 0,83 | 160 | 4 | |
8 | 1,00 | 0,31 | 0,35 | 0,39 | 0,46 | 0,53 | 0,60 | 180 | 4 | |
9 | 1,25 | 0,29 | 0,34 | 0,39 | 0,44 | 0,48 | 0,53 | 180 | 4 | |
10 | 10 | 0,50 | 0,46 | 0,61 | 0,78 | 0,83 | 1,10 | 1,39 | 100 | 3 |
11 | 0,75 | 0,40 | 0,50 | 0,61 | 0,72 | 0,82 | 0,93 | 125 | 4 | |
12 | 1,00 | 0,35 | 0,42 | 0,50 | 0,59 | 0,67 | 0,78 | 140 | 4 | |
13 | 1,25 | 0,34 | 0,40 | 0,45 | 0,50 | 0,56 | 0,63 | 140 | 4 | |
14 | 1,50 | 0,33 | 0,37 | 0,42 | 0,46 | 0,50 | 0,55 | 160 | 5 | |
15 | 12 | 0,50 | 0,54 | 0,77 | 0,98 | 1,20 | 1,42 | 1,53 | 100 | 4 |
16 | 0,75 | 0,41 | 0,51 | 0,67 | 0,73 | 0,83 | 0,94 | 120 | 4 | |
17 | 1,00 | 0,38 | 0,46 | 0,53 | 0,62 | 0,70 | 0,78 | 133 | 5 | |
18 | 1,25 | 0,36 | 0,42 | 0,48 | 0,54 | 0,61 | 0,68 | 133 | 5 | |
19 | 1,50 | 0,34 | 0,39 | 0,44 | 0,48 | 0,52 | 0,58 | 140 | 5 | |
20 | 1,75 | 0,33 | 0,38 | 0,42 | 0,46 | 0,50 | 0,53 | 140 | 5 | |
Индекс | а | б | в | г | д | е | ||||
НЕПОЛНОЕ ШТУЧНОЕ ВРЕМЯ НАРЕЗАНИЕ ВНУТРЕННЕЙ МЕТРИЧЕСКОЙ РЕЗЬБЫ Сталь углеродистая конструкционная, | Токарно-револьверные станки с горизонтальной осью вращения головки | |||||||||||
Метчики машинные из стали Р6М5 | ||||||||||||
Карта 27 | Лист 2 | |||||||||||
N позиции | d, мм, до | Р, мм, до | l, мм, до | Режимы резания | ||||||||
5 | 10 | 15 | 20 | 25 | 30 | 40 | 50 | n, об./мин. | v, м/мин. | |||
Время на поверхность, мин. | ||||||||||||
21 | 14 | 0,50 | 0,39 | 0,49 | 0,61 | 0,73 | 0,84 | 0,95 | 1,17 | 1,32 | 90 | 4 |
22 | 0,75 | 0,35 | 0,43 | 0,49 | 0,57 | 0,64 | 0,72 | 0,86 | 1,01 | 100 | 4 | |
23 | 1,00 | 0,34 | 0,39 | 0,45 | 0,49 | 0,55 | 0,60 | 0,69 | 0,82 | 100 | 4 | |
24 | 1,25 | 0,32 | 0,36 | 0,42 | 0,45 | 0,49 | 0,54 | 0,63 | 0,72 | 100 | 4 | |
25 | 1,50 | 0,29 | 0,31 | 0,34 | 0,37 | 0,40 | 0,42 | 0,47 | 0,52 | 125 | 5 | |
26 | 2,00 | 0,28 | 0,30 | 0,32 | 0,34 | 0,36 | 0,38 | 0,42 | 0,46 | 125 | 5 | |
27 | 16 | 0,50 | 0,39 | 0,49 | 0,60 | 0,74 | 0,82 | 0,94 | 1,15 | 1,38 | 80 | 4 |
28 | 0,75 | 0,35 | 0,44 | 0,50 | 0,57 | 0,65 | 0,72 | 0,87 | 1,03 | 90 | 4 | |
29 | 1,00 | 0,34 | 0,39 | 0,45 | 0,49 | 0,55 | 0,61 | 0,72 | 0,82 | 100 | 5 | |
30 | 1,50 | 0,32 | 0,35 | 0,39 | 0,42 | 0,46 | 0,49 | 0,57 | 0,64 | 100 | 5 | |
31 | 2,00 | 0,31 | 0,33 | 0,37 | 0,39 | 0,42 | 0,45 | 0,49 | 0,55 | 100 | 5 | |
32 | 18 | 0,50 | 0,55 | 0,78 | 0,99 | 1,21 | 1,42 | 1,65 | 2,09 | 2,53 | 80 | 4 |
33 | 0,75 | 0,48 | 0,63 | 0,78 | 0,93 | 1,09 | 1,23 | 1,52 | 1,83 | 80 | 4 | |
34 | 1,00 | 0,47 | 0,55 | 0,66 | 0,77 | 0,88 | 0,99 | 1,21 | 1,43 | 90 | 5 | |
35 | 1,50 | 0,36 | 0,41 | 0,46 | 0,51 | 0,62 | 0,73 | 0,83 | 100 | 6 | ||
36 | 2,00 | 0,34 | 0,38 | 0,42 | 0,46 | 0,49 | 0,54 | 0,62 | 0,70 | 100 | 6 | |
37 | 2,50 | 0,33 | 0,37 | 0,40 | 0,43 | 0,45 | 0,49 | 0,55 | 0,62 | 100 | 6 | |
Индекс | а | б | в | г | д | е | ж | з | ||||
НЕПОЛНОЕ ШТУЧНОЕ ВРЕМЯ НАРЕЗАНИЕ ВНУТРЕННЕЙ МЕТРИЧЕСКОЙ РЕЗЬБЫ Сталь углеродистая конструкционная, | Токарно-револьверные станки с горизонтальной осью вращения головки | |||||||||||
Метчики машинные из стали Р6М5 | ||||||||||||
Карта 27 | Лист 3 | |||||||||||
N позиции | d, мм, до | P, мм, до | l, мм, до | Режимы резания | ||||||||
5 | 10 | 15 | 20 | 25 | 30 | 40 | 50 | n, об./мин. | v, м/мин. | |||
Время на поверхность, мин. | ||||||||||||
38 | 20 | 0,50 | 0,55 | 0,79 | 0,99 | 1,21 | 1,45 | 1,65 | 2,09 | 2,52 | 75 | 5 |
39 | 0,75 | 0,47 | 0,62 | 0,77 | 0,92 | 1,07 | 1,21 | 1,28 | 1,58 | 80 | 5 | |
40 | 1,00 | 0,45 | 0,55 | 0,67 | 0,78 | 0,89 | 1,01 | 1,23 | 1,45 | 80 | 5 | |
41 | 1,50 | 0,41 | 0,47 | 0,55 | 0,62 | 0,70 | 0,77 | 0,91 | 1,07 | 100 | 6 | |
42 | 2,00 | 0,39 | 0,44 | 0,49 | 0,55 | 0,60 | 0,66 | 0,77 | 0,88 | 100 | 6 | |
43 | 2,50 | 0,38 | 0,42 | 0,46 | 0,50 | 0,55 | 0,59 | 0,69 | 0,77 | 100 | 6 | |
44 | 24 | 0,75 | 0,63 | 0,86 | 1,10 | 1,34 | 1,57 | 1,80 | 2,27 | 2,73 | 60 | 4 |
45 | 1,00 | 0,45 | 0,55 | 0,66 | 0,77 | 0,88 | 0,99 | 1,21 | 1,43 | 75 | 6 | |
46 | 1,50 | 0,41 | 0,48 | 0,56 | 0,63 | 0,71 | 0,78 | 0,93 | 1,09 | 80 | 6 | |
47 | 2,00 | 0,39 | 0,45 | 0,50 | 0,56 | 0,61 | 0,67 | 0,78 | 0,89 | 80 | 6 | |
48 | 3,00 | 0,37 | 0,41 | 0,45 | 0,47 | 0,51 | 0,55 | 0,62 | 0,70 | 80 | 6 | |
49 | 30 | 0,75 | 0,64 | 0,88 | 1,12 | 1,36 | 1,60 | 1,84 | 2,32 | 2,80 | 50 | 5 |
50 | 1,00 | 0,57 | 0,75 | 0,93 | 1,10 | 1,27 | 1,45 | 1,80 | 2,15 | 60 | 6 | |
51 | 1,50 | 041 | 0,63 | 0,75 | 0,86 | 0,98 | 1,10 | 1,34 | 1,57 | 60 | 6 | |
52 | 2,00 | 0,48 | 0,57 | 0,66 | 0,75 | 0,83 | 0,93 | 1,10 | 1,27 | 60 | 6 | |
53 | 3,50 | 0,45 | 0,50 | 0,54 | 0,60 | 0,65 | 0,70 | 0,80 | 0,90 | 60 | 6 | |
Индекс | а | б | в | г | д | е | ж | з | ||||
НАРЕЗАНИЕ ВНУТРЕННЕЙ ТРУБНОЙ РЕЗЬБЫ Сталь углеродистая конструкционная, | Токарно-револьверные станки с горизонтальной осью вращения головки | |||||||||||
Метчики машинные из стали Р6М5 | ||||||||||||
Карта 28 | ||||||||||||
N позиции | Размер резьбы | P, мм | l, мм, до | Режимы резания | ||||||||
5 | 10 | 15 | 20 | 25 | 30 | 40 | 50 | n, об./мин. | v, м/мин. | |||
Время на поверхность, мин. | ||||||||||||
1 | Труб. 1/8" | 0,907 | 0,29 | 0,33 | 0,37 | 0,41 | 0,45 | 0,48 | 0,56 | 0,63 | 375 | 12 |
2 | Труб. 1/4" | 1,337 | 0,32 | 0,35 | 0,38 | 0,41 | 0,44 | 0,47 | 0,52 | 0,59 | 250 | 11 |
3 | Труб. 3/8" | 1,337 | 0,41 | 0,49 | 0,58 | 0,66 | 0,74 | 0,82 | 0,99 | 1,15 | 100 | 5 |
4 | Труб. 1/2" | 1,814 | 0,38 | 0,45 | 0,51 | 0,58 | 0,64 | 0,71 | 0,83 | 0,95 | 90 | 6 |
5 | Труб. 3/4" | 1,814 | 0,40 | 0,46 | 0,54 | 0,61 | 0,69 | 0,76 | 0,90 | 1,05 | 80 | 7 |
Индекс | а | б | в | г | д | е | ж | з | ||||
НАРЕЗАНИЕ НАРУЖНОЙ МЕТРИЧЕСКОЙ РЕЗЬБЫ Сталь углеродистая конструкционная, | Токарно-револьверные станки с горизонтальной осью вращения головки | |||||||||||
Головки резьбонарезные из стали Р6М5 | ||||||||||||
Карта 29 | Лист 1 | |||||||||||
N позиции | D, мм, до | P, мм | l, мм, до | Режимы резания | ||||||||
10 | 15 | 20 | 25 | 30 | 40 | 50 | 60 | n, об./мин. | v, м/мин. | |||
Время на поверхность, мин. | ||||||||||||
1 | 4 | 0,50 | 0,17 | 0,19 | 0,21 | - | - | - | - | - | 630 | 8 |
2 | 0,70 | 0,17 | 0,19 | 0,20 | - | - | - | - | - | 500 | 6 | |
3 | 6 | 0,50 | 0,19 | 0,20 | 0,22 | 0,24 | 0,26 | - | - | - | 530 | 10 |
4 | 0,75 | 0,17 | 0,18 | 0,19 | 0,21 | 0,23 | - | - | - | 500 | 9 | |
5 | 1,00 | 0,18 | 0,19 | 0,21 | 0,23 | 0,25 | - | - | - | 315 | 6 | |
6 | 8 | 0,50 | 0,21 | 0,24 | 0,27 | 0,30 | 0,33 | 0,39 | 0,45 | - | 355 | 9 |
7 | 0,75 | 0,19 | 0,21 | 0,23 | 0,25 | 0,27 | 0,31 | 0,35 | - | 355 | 9 | |
8 | 1,00 | 0,18 | 0,19 | 0,21 | 0,22 | 0,24 | 0,27 | 0,30 | - | 355 | 9 | |
9 | 1,25 | 0,19 | 0,20 | 0,22 | 0,23 | 0,25 | 0,28 | 0,31 | - | 265 | 7 | |
10 | 10 | 0,50 | 0,20 | 0,24 | 0,27 | 0,31 | 0,34 | 0,40 | 0,45 | 0,48 | 375 | 12 |
11 | 0,75 | 0,18 | 0,20 | 0,22 | 0,24 | 0,26 | 0,30 | 0,34 | 0,37 | 375 | 12 | |
12 | 1,00 | 0,17 | 0,19 | 0,20 | 0,22 | 0,23 | 0,26 | 0,29 | 0,32 | 375 | 12 | |
13 | 1,25 | 0,18 | 0,19 | 0,21 | 0,22 | 0,24 | 0,27 | 0,29 | 0,32 | 300 | 9 | |
14 | 1,50 | 0,18 | 0,20 | 0,21 | 0,23 | 0,24 | 0,27 | 0,30 | 0,33 | 250 | 8 | |
Индекс | а | б | в | г | д | е | ж | з | ||||
НЕПОЛНОЕ ШТУЧНОЕ ВРЕМЯ НАРЕЗАНИЕ НАРУЖНОЙ МЕТРИЧЕСКОЙ РЕЗЬБЫ Сталь углеродистая конструкционная, | Токарно-револьверные станки с горизонтальной осью вращения головки | ||||||||||||||||
Головки резьбонарезные из стали Р6М5 | |||||||||||||||||
Карта 29 | Лист 2 | ||||||||||||||||
N позиции | D, мм, до | P, мм | l, мм, до | Режимы резания | |||||||||||||
10 | 15 | 20 | 25 | 30 | 40 | 50 | 60 | 70 | 80 | 90 | 100 | 110 | n, об./мин. | v, м/мин. | |||
Время на поверхность, мин. | |||||||||||||||||
15 | 12 | 0,50 | 0,20 | 0,22 | 0,25 | 0,28 | 0,32 | 0,36 | 0,40 | 0,46 | 0,51 | 0,57 | - | - | - | 400 | 15 |
16 | 0,75 | 0,18 | 0,20 | 0,22 | 0,23 | 0,25 | 0,29 | 0,32 | 0,36 | 0,40 | 0,43 | - | - | - | |||
17 | 1,00 | 0,17 | 0,18 | 0,20 | 0,21 | 0,23 | 0,25 | 0,28 | 0,31 | 0,33 | 0,36 | - | - | - | |||
18 | 1,25 | 0,18 | 0,19 | 0,20 | 0,21 | 0,23 | 0,36 | 0,28 | 0,31 | 0,33 | 0,37 | - | - | - | 315 | 12 | |
19 | 1,50 | 0,18 | 0,19 | 0,21 | 0,21 | 0,23 | 0,26 | 0,28 | 0,31 | 0,34 | 0,37 | - | - | - | 265 | 10 | |
20 | 1,75 | 0,18 | 0,20 | 0,21 | 0,33 | 0,24 | 0,27 | 0,29 | 0,33 | 0,36 | 0,39 | - | - | - | 212 | 8 | |
21 | 16 | 0,50 | 0,19 | 0,22 | 0,25 | 0,27 | 0,30 | 0,35 | 0,40 | 0,45 | 0,49 | 0,54 | 0,59 | - | - | 425 | 21 |
22 | 0,75 | 0,18 | 0,20 | 0,21 | 0,23 | 0,35 | 0,28 | 0,31 | 0,35 | 0,38 | 0,42 | 0,45 | - | - | |||
23 | 1,00 | 0,17 | 0,18 | 0,19 | 0,20 | 0,21 | 0,24 | 0,26 | 0,28 | 0,31 | 0,33 | 0,35 | - | - | |||
24 | 150 | 0,18 | 0,19 | 0,20 | 0,22 | 0,23 | 0,26 | 0,28 | 0,31 | 0,33 | 0,36 | 0,39 | - | - | 275 | 14 | |
25 | 2,00 | 0,19 | 0,21 | 0,22 | 0,24 | 0,25 | 0,38 | 0,31 | 0,34 | 0,37 | 0,40 | 0,43 | - | - | 180 | 9 | |
26 | 20 | 0,50 | 0,19 | 0,22 | 0,24 | 0,27 | 0,29 | 0,34 | 0,38 | 0,43 | 0,48 | 0,52 | 0,57 | 0,62 | 0,66 | 450 | 28 |
27 | 0,75 | 0,17 | 0,19 | 0,21 | 0,33 | 0,24 | 0,27 | 0,30 | 0,34 | 0,37 | 0,40 | 0,43 | 0,47 | 0,49 | |||
28 | 1,00 | 0,17 | 0,18 | 0,19 | 0,30 | 0,21 | 0,24 | 0,26 | 0,29 | 0,31 | 0,34 | 0,36 | 0,39 | 0,41 | |||
29 | 1,50 | 0,18 | 0,19 | 0,20 | 0,32 | 0,23 | 0,26 | 0,28 | 0,31 | 0,33 | 0,36 | 0,39 | 0,41 | 0,44 | 275 | 17 | |
30 | 2,00 | 0,18 | 0,19 | 0,21 | 0,22 | 0,24 | 0,36 | 0,39 | 0,32 | 0,34 | 0,37 | 0,40 | 0,43 | 0,46 | 200 | 12 | |
31 | 250 | 0,20 | 0,21 | 0,23 | 0,34 | 0,25 | 0,28 | 0,31 | 0,34 | 0,37 | 0,40 | 0,42 | 0,45 | 0,48 | 150 | 9 | |
Индекс | а | б | в | г | д | е | ж | з | и | к | л | м | н | ||||
НЕПОЛНОЕ ШТУЧНОЕ ВРЕМЯ НАРЕЗАНИЕ НАРУЖНОЙ МЕТРИЧЕСКОЙ РЕЗЬБЫ Сталь углеродистая конструкционная, | Токарно-револьверные станки с горизонтальной осью вращения головки | |||||||||||||||||
Головки резьбонарезные из стали Р6М5 | ||||||||||||||||||
Карта 29 | Лист 3 | |||||||||||||||||
N позиции | D, мм, до | P, мм | l, мм, до | Режимы резания | ||||||||||||||
10 | 15 | 20 | 25 | 30 | 40 | 50 | 60 | 70 | 80 | 90 | 100 | 110 | 120 | n, об./мин. | v, м/мин. | |||
Время на поверхность, мин. | ||||||||||||||||||
32 | 24 | 0,75 | 0,17 | 0,19 | 0,20 | 0,22 | 0,23 | 0,26 | 0,29 | 0,32 | 0,35 | 0,39 | 0,42 | 0,45 | 0,47 | 0,30 | 475 | 36 |
33 | 1,00 | 0,17 | 0,18 | 0,19 | 0,20 | 0,21 | 0,24 | 0,26 | 0,28 | 0,30 | 0,33 | 0,35 | 0,37 | 0,39 | 0,42 | 475 | 36 | |
34 | 1,05 | 0,17 | 0,18 | 0,19 | 0,21 | 0,22 | 0,24 | 0,26 | 0,29 | 0,31 | 0,33 | 0,35 | 0,37 | 0,39 | 0,42 | 315 | 24 | |
35 | 2,00 | 0,18 | 0,20 | 0,21 | 0,22 | 0,23 | 0,26 | 0,29 | 0,31 | 0,34 | 0,36 | 0,39 | 0,41 | 0,44 | 0,45 | 212 | 16 | |
36 | 3,00 | 0,20 | 0,22 | 0,23 | 0,25 | 0,26 | 0,29 | 0,32 | 0,35 | 0,38 | 0,41 | 0,44 | 0,45 | 0,48 | 0,31 | 125 | 9 | |
37 | 30 | 0,75 | 0,17 | 0,19 | 0,20 | 0,22 | 0,23 | 0,26 | 0,29 | 0,32 | 0,35 | 0,37 | 0,40 | 0,43 | 0,45 | 0,48 | 500 | 47 |
38 | 1,00 | 0,16 | 0,17 | 0,19 | 0,20 | 0,21 | 0,23 | 0,25 | 0,27 | 0,29 | 0,32 | 0,34 | 0,36 | 0,38 | 0,40 | 500 | 47 | |
39 | 1,05 | 0,17 | 0,18 | 0,19 | 0,20 | 0,21 | 0,23 | 0,25 | 0,27 | 0,29 | 0,31 | 0,33 | 0,35 | 0,37 | 0,39 | 355 | 33 | |
40 | 2,00 | 0,17 | 0,18 | 0,19 | 0,20 | 0,21 | 0,23 | 0,25 | 0,27 | 0,30 | 0,31 | 0,34 | 0,36 | 0,38 | 0,40 | 265 | 25 | |
41 | 3,00 | 0,19 | 0,20 | 0,22 | 0,23 | 0,24 | 0,26 | 0,29 | 0,31 | 0,34 | 0,36 | 0,38 | 0,41 | 0,43 | 0,45 | 150 | 14 | |
42 | 3,50 | 0,24 | 0,26 | 0,28 | 0,30 | 0,32 | 0,35 | 0,39 | 0,43 | 0,46 | 0,50 | 0,54 | 0,38 | 0,62 | 0,65 | 80 | 7 | |
Индекс | а | б | в | г | д | е | ж | з | и | к | л | м | н | о | ||||
ЗЕНКЕРОВАНИЕ КОНИЧЕСКИХ ОТВЕРСТИЙ, Rz40...Rz20, IT14...IT11 НАРЕЗАНИЕ КОНИЧЕСКОЙ РЕЗЬБЫ Сталь углеродистая конструкционная, | Токарно-револьверные станки с горизонтальной осью вращения головки | ||||||||||||
Зенкеры и метчики из стали Р6М5. Плашки из стали 9ХС | |||||||||||||
Карта 30 | |||||||||||||
N позиции | Размер резьбы | Зенкерование конических отверстий | Нарезание конической резьбы | ||||||||||
Время на рабочий ход, мин. | Режимы резания | P, мм | Метчики | Плашки | |||||||||
Время на поверхность, мин. | Режимы резания | Время на поверхность, мин. | Режимы резания | ||||||||||
S, мм/об. | n, об./мин. | v, м/мин. | n, об./мин. | v, м/мин. | n, об./мин. | v, м/мин. | |||||||
1 | 1/8" | 0,54 | 0,10 | 375 | 12 | 0,907 | 0,48 | 375 | 12 | 0,58 | 160 | 5 | |
2 | 1/4" | 0,77 | 0,12 | 275 | 12 | 1,337 | 0,49 | 315 | 13 | 0,62 | 120 | 5 | |
3 | 3/8" | 0,83 | 0,15 | 180 | 10 | 1,337 | 0,51 | 250 | 13 | 0,67 | 90 | 5 | |
4 | 1/2" | 0,97 | 0,20 | 140 | 9 | 1,814 | 0,52 | 200 | 13 | 0,75 | 80 | 5 | |
5 | 3/4" | 1,23 | 0,23 | 95 | 8 | 1,814 | 0,53 | 180 | 15 | 0,85 | 60 | 5 | |
Индекс | а | б | в | ||||||||||
ТОЧЕНИЕ НАРУЖНЫХ КАНАВОК, Rz80, IT14...IT12 Сталь углеродистая конструкционная, | Токарно-револьверные станки с горизонтальной осью вращения головки | ||||||||||||||
Резцы с пластинками Т15К6 | |||||||||||||||
Карта 31 | Лист 1 | ||||||||||||||
N позиции | D, мм, до | B, мм, до | h, мм, до | Режимы резания | |||||||||||
0,5 | 1,0 | 1,5 | 2,0 | 2,5 | 3,0 | 3,5 | 4,0 | 4,5 | 5,0 | S, мм/об. | n, об./мин. | v, м/мин. | |||
Время на поверхность, мин. | |||||||||||||||
1 | 12 | 1,0 | 0,14 | 0,15 | - | - | - | - | - | - | - | - | 0,06 | 1600 | 60 |
2 | 2,0 | 0,14 | 0,15 | 0,16 | 0,17 | 0,18 | 0,19 | - | - | - | - | 0,08 | 1600 | 60 | |
3 | 20 | 2,0 | 0,15 | 0,17 | 0,18 | 0,19 | - | - | - | - | - | - | 0,08 | 1180 | 74 |
4 | 3,0 | 0,15 | 0,16 | 0,17 | 0,18 | 0,19 | 0,19 | - | - | - | - | 0,10 | 1180 | 74 | |
5 | 4,0 | 0,14 | 0,15 | 0,16 | 0,16 | 0,17 | 0,18 | - | - | - | - | 0,12 | 1180 | 74 | |
6 | 25 | 2,0 | 0,15 | 0,17 | 0,18 | 0,18 | 0,19 | 0,21 | 0,22 | - | - | - | 0,08 | 1180 | 93 |
7 | 3,0 | 0,15 | 0,16 | 0,17 | 0,17 | 0,18 | 0,19 | 0,20 | - | - | - | 0,10 | 1180 | 93 | |
8 | 4,0 | 0,14 | 0,15 | 0,16 | 0,16 | 0,17 | 0,18 | 0,19 | - | - | - | 0,12 | 1180 | 93 | |
9 | 5,0 | 0,14 | 0,14 | 0,15 | 0,15 | 0,16 | 0,17 | 0,18 | - | - | - | 0,14 | 1180 | 93 | |
10 | 30 | 2,0 | 0,15 | 0,16 | 0,18 | 0,19 | 0,20 | 0,21 | 0,23 | 0,24 | 0,26 | 0,27 | 0,10 | 800 | 76 |
11 | 3,0 | 0,15 | 0,16 | 0,18 | 0,19 | 0,20 | 0,21 | 0,23 | 0,24 | 0,26 | 0,27 | 0,10 | 800 | 76 | |
12 | 4,0 | 0,15 | 0,15 | 0,17 | 0,19 | 0,20 | 0,21 | 0,22 | 0,24 | 0,24 | 0,12 | 800 | 76 | ||
13 | 5,0 | 0,15 | 0,15 | 0,16 | 0,17 | 0,18 | 0,19 | 0,20 | 0,21 | 0,23 | 0,23 | 0,14 | 800 | 76 | |
14 | 6,0 | 0,14 | 0,15 | 0,16 | 0,16 | 0,18 | 0,18 | 0,19 | 0,19 | 0,22 | 0,22 | 0,16 | 800 | 76 | |
Индекс | а | б | в | г | д | е | ж | з | и | к | |||||
НЕПОЛНОЕ ШТУЧНОЕ ВРЕМЯ ТОЧЕНИЕ НАРУЖНЫХ КАНАВОК, Rz80, IT14...IT12 Сталь углеродистая конструкционная, | Токарно-револьверные станки с горизонтальной осью вращения головки | ||||||||||||||||||
Резцы с пластинками Т15К6 | |||||||||||||||||||
Карта 31 | Лист 2 | ||||||||||||||||||
N позиции | D, мм, до | B, мм, до | h, мм, до | Режимы резания | |||||||||||||||
0,5 | 1,0 | 1,5 | 2,0 | 2,5 | 3,0 | 3,5 | 4,0 | 4,5 | 5,0 | 5,5 | 6,0 | 8,0 | 10,0 | S, мм/об. | n, об./мин. | v, м/мин. | |||
Время на поверхность, мин. | |||||||||||||||||||
15 | 36 | 2,0 | 0,21 | 0,23 | 0,25 | 0,26 | 0,27 | 0,27 | 0,28 | 0,28 | 0,29 | 0,30 | 0,30 | 0,31 | 0,33 | - | 0,10 | 630 | 72 |
16 | 3,0 | 0,20 | 0,22 | 0,23 | 0,23 | 0,24 | 0,24 | 0,25 | 0,25 | 0,26 | 0,27 | 0,27 | 0,28 | 0,30 | - | 0,12 | |||
17 | 4,0 | 0,19 | 0,21 | 0,22 | 0,23 | 0,24 | 0,24 | 0,25 | 0,25 | 0,26 | 0,26 | 0,27 | 0,37 | 0,29 | - | 0,14 | |||
18 | 5,0 | 0,19 | 0,21 | 0,21 | 0,22 | 0,22 | 0,23 | 0,23 | 0,24 | 0,24 | 0,25 | 0,25 | 0,25 | 0,27 | - | 0,16 | |||
19 | 6,0 | 0,23 | 0,23 | 0,24 | 0,25 | 0,26 | 0,26 | 0,27 | 0,28 | 0,28 | 0,29 | 0,30 | 0,31 | 0,33 | - | 0,16 | 475 | 54 | |
20 | 8,0 | 0,21 | 0,22 | 0,23 | 0,23 | 0,24 | 0,24 | 0,25 | 0,25 | 0,26 | 0,27 | 0,27 | 0,38 | 0,30 | - | 0,20 | |||
21 | 10,0 | 0,21 | 0,21 | 0,22 | 0,22 | 0,22 | 0,23 | 0,23 | 0,24 | 0,24 | 0,25 | 0,25 | 0,36 | 0,27 | - | 0,24 | |||
22 | 40 | 2,0 | 0,23 | 0,24 | 0,24 | 0,25 | 0,26 | 0,26 | 0,27 | 0,28 | 0,29 | 0,29 | 0,30 | 0,31 | 0,34 | 0,36 | 0,10 | 630 | 79 |
23 | 3,0 | 0,22 | 0,22 | 0,23 | 0,24 | 0,24 | 0,25 | 0,25 | 0,26 | 0,27 | 0,27 | 0,28 | 0,28 | 0,31 | 0,33 | 0,12 | |||
24 | 4,0 | 0,24 | 0,25 | 0,26 | 0,27 | 0,27 | 0,28 | 0,29 | 0,29 | 0,30 | 0,31 | 0,32 | 0,33 | 0,36 | 0,39 | 0,14 | 475 | 60 | |
25 | 5,0 | 0,23 | 0,23 | 0,24 | 0,25 | 0,26 | 0,26 | 0,27 | 0,28 | 0,28 | 0,29 | 0,30 | 0,30 | 0,33 | 0,36 | 0,16 | |||
26 | 6,0 | 0,26 | 0,27 | 0,28 | 0,30 | 0,31 | 0,32 | 0,33 | 0,34 | 0,35 | 0,36 | 0,37 | 0,38 | 0,43 | 0,46 | 0,16 | 315 | 40 | |
27 | 8,0 | 0,24 | 0,25 | 0,26 | 0,27 | 0,28 | 0,29 | 0,30 | 0,31 | 0,32 | 0,33 | 0,34 | 0,35 | 0,37 | 0,41 | 0,20 | |||
28 | 10,0 | 0,23 | 0,24 | 0,25 | 0,26 | 0,27 | 0,28 | 0,29 | 0,30 | 0,31 | 0,32 | 0,33 | 0,34 | 0,35 | 0,38 | 0,24 | 265 | 33 | |
Индекс | а | б | в | г | д | е | ж | з | и | к | л | м | н | о | |||||
ТОЧЕНИЕ НАРУЖНЫХ КАНАВОК, Rz80, IT14...IT12 Сталь углеродистая конструкционная, | Токарно-револьверные станки с горизонтальной осью вращения головки | ||||||||||||||
Резцы из стали Р6М5 | |||||||||||||||
Карта 32 | Лист 1 | ||||||||||||||
N позиции | D, мм, до | B, мм, до | h, мм, до | Режимы резания | |||||||||||
0,5 | 1,0 | 1,5 | 2,0 | 2,5 | 3,0 | 3,5 | 4,0 | 4,5 | 5,0 | S, мм/об. | n, об./мин. | v, м/мин. | |||
Время на поверхность, мин. | |||||||||||||||
1 | 12 | 1,0 | 0,15 | 0,16 | - | - | - | - | - | - | - | - | 0,06 | 1180 | 44 |
2 | 2,0 | 0,15 | 0,15 | 0,17 | 0,18 | 0,19 | 0,20 | - | - | - | - | 0,08 | |||
3 | 20 | 2,0 | 0,16 | 0,16 | 0,19 | 0,20 | 0,32 | 0,33 | - | - | - | - | 0,08 | 800 | 50 |
4 | 3,0 | 0,16 | 0,17 | 0,18 | 0,19 | 0,31 | 0,24 | - | - | - | - | 0,10 | |||
5 | 4,0 | 0,15 | 0,16 | 0,17 | 0,18 | 0,19 | 0,23 | - | - | - | - | 0,12 | |||
6 | 25 | 2,0 | 0,16 | 0,16 | 0,19 | 0,20 | 0,22 | 0,23 | 0,26 | - | - | - | 0,08 | 800 | 63 |
7 | 3,0 | 0,16 | 0,17 | 0,18 | 0,19 | 0,21 | 0,21 | 0,23 | - | - | - | 0,10 | |||
8 | 4,0 | 0,15 | 0,16 | 0,17 | 0,18 | 0,19 | 0,30 | 0,21 | - | - | - | 0,20 | |||
9 | 5,0 | 0,16 | 0,17 | 0,19 | 0,20 | 0,22 | 0,23 | 0,25 | - | - | - | 0,14 | 475 | 38 | |
10 | 30 | 2,0 | 0,16 | 0,18 | 0,19 | 0,20 | 0,23 | 0,23 | 0,26 | 0,37 | 0,39 | 0,30 | 0,10 | 630 | 59 |
11 | 3,0 | 0,18 | 0,19 | 0,21 | 0,22 | 0,26 | 0,27 | 0,30 | 0,31 | 0,35 | 0,36 | 0,10 | 475 | 44 | |
12 | 4,0 | 0,16 | 0,17 | 0,30 | 0,21 | 0,34 | 0,25 | 0,27 | 0,38 | 0,31 | 0,32 | 0,12 | |||
13 | 5,0 | 0,15 | 0,16 | 0,19 | 0,20 | 0,22 | 0,23 | 0,25 | 0,36 | 0,39 | 0,30 | 0,14 | |||
14 | 6,0 | 0,16 | 0,18 | 0,21 | 0,22 | 0,25 | 0,37 | 0,30 | 0,31 | 0,35 | 0,36 | 0,16 | 315 | 30 | |
Индекс | а | б | в | г | д | е | ж | з | и | к | |||||
НЕПОЛНОЕ ШТУЧНОЕ ВРЕМЯ ТОЧЕНИЕ НАРУЖНЫХ КАНАВОК, Rz80, IT14...IT12 Сталь углеродистая конструкционная, | Токарно-револьверные станки с горизонтальной осью вращения головки | ||||||||||||||||||
Резцы из стали Р6М5 | |||||||||||||||||||
Карта 32 | Лист 2 | ||||||||||||||||||
N позиции | D, мм, до | B, мм, до | h, мм, до | Режимы резания | |||||||||||||||
0,5 | 1,0 | 1,5 | 2,0 | 2,5 | 3,0 | 3,0 | 3,5 | 4,0 | 5,0 | 5,5 | 6,0 | 8,0 | 10,0 | S, мм/об. | n, об./мин. | v, м/мин. | |||
Время на поверхность, мин. | |||||||||||||||||||
15 | 36 | 2,0 | 0,23 | 0,24 | 0,25 | 0,25 | 0,26 | 0,27 | 0,29 | 0,30 | 0,30 | 0,31 | 0,32 | 0,33 | 0,37 | - | 0,10 | 475 | 54 |
16 | 3,0 | 0,25 | 0,26 | 0,27 | 0,29 | 0,30 | 0,31 | 0,32 | 0,34 | 0,35 | 0,36 | 0,37 | 0,39 | 0,43 | - | 0,12 | 315 | 37 | |
17 | 4,0 | 0,24 | 0,25 | 0,26 | 0,27 | 0,29 | 0,30 | 0,31 | 0,32 | 0,33 | 0,35 | 0,36 | 0,38 | 0,42 | - | 0,14 | 265 | 30 | |
18 | 5,0 | 0,23 | 0,24 | 0,25 | 0,26 | 0,27 | 0,28 | 0,29 | 0,30 | 0,31 | 0,32 | 0,33 | 0,34 | 0,38 | - | 0,16 | |||
19 | 6,0 | 0,24 | 0,25 | 0,26 | 0,27 | 0,28 | 0,29 | 0,30 | 0,31 | 0,32 | 0,34 | 0,35 | 0,36 | 0,40 | - | 0,16 | |||
20 | 8,0 | 0,22 | 0,23 | 0,24 | 0,25 | 0,26 | 0,27 | 0,28 | 0,29 | 0,30 | 0,31 | 0,32 | 0,30 | 0,35 | - | 0,20 | |||
21 | 10,0 | 0,23 | 0,24 | 0,25 | 0,26 | 0,27 | 0,28 | 0,29 | 0,30 | 0,31 | 0,32 | 0,33 | 0,34 | 0,38 | - | 0,24 | 180 | 21 | |
22 | 40 | 2,0 | 0,27 | 0,29 | 0,30 | 0,31 | 0,33 | 0,35 | 0,36 | 0,37 | 0,39 | 0,41 | 0,42 | 0,43 | 0,48 | 0,34 | 0,10 | 315 | 39 |
23 | 3,0 | 0,25 | 0,27 | 0,28 | 0,30 | 0,31 | 0,32 | 0,34 | 0,35 | 0,36 | 0,37 | 0,39 | 0,40 | 0,45 | 0,30 | 0,12 | 265 | 33 | |
24 | 4,0 | 0,25 | 0,26 | 0,28 | 0,29 | 0,30 | 0,31 | 0,32 | 0,34 | 0,35 | 0,36 | 0,37 | 0,39 | 0,43 | 0,45 | 0,14 | |||
25 | 5,0 | 0,27 | 0,29 | 0,30 | 0,32 | 0,33 | 0,35 | 0,36 | 0,38 | 0,39 | 0,41 | 0,42 | 0,44 | 0,49 | 0,35 | 0,16 | 180 | 23 | |
26 | 6,0 | 0,28 | 0,29 | 0,30 | 0,32 | 0,34 | 0,36 | 0,38 | 0,40 | 0,42 | 0,43 | 0,45 | 0,30 | 0,36 | 0,62 | 0,16 | |||
27 | 8,0 | 0,25 | 0,26 | 0,27 | 0,39 | 0,30 | 0,31 | 0,32 | 0,33 | 0,35 | 0,35 | 0,37 | 0,43 | 0,45 | 0,47 | 0,30 | |||
28 | 10,0 | 0,26 | 0,27 | 0,28 | 0,30 | 0,31 | 0,32 | 0,33 | 0,34 | 0,36 | 0,37 | 0,38 | 0,40 | 0,44 | 0,48 | 0,24 | 150 | 19 | |
Индекс | а | б | в | г | д | е | ж | з | и | к | л | м | н | о | |||||
ТОЧЕНИЕ КАНАВОК В ОТВЕРСТИЯХ, Rz80, IT14...IT12 Сталь углеродистая конструкционная, | Токарно-револьверные станки с горизонтальной осью вращения головки | ||||||||||||
Резцы с пластинками Т15К6 | |||||||||||||
Карта 33 | |||||||||||||
N позиции | d, мм, до | B, мм, до | h, мм, до | Режимы резании | |||||||||
0,5 | 1,0 | 1,5 | 2,0 | 3,0 | 4,0 | 5,0 | 6,0 | S, мм/об. | n, об./мин. | v, м/мин. | |||
Время на поверхность, мин. | |||||||||||||
1 | 16 | 2 | 0,17 | 0,18 | 0,21 | 0,22 | 0,24 | 0,26 | 0,28 | 0,30 | 0,08 | 800 | 40 |
2 | 3 | 0,17 | 0,18 | 0,21 | 0,22 | 0,24 | 0,26 | 0,28 | 0,30 | 0,10 | 630 | 32 | |
3 | 20 | 2 | 0,18 | 0,19 | 0,22 | 0,23 | 0,25 | 0,27 | 0,29 | 0,30 | 0,10 | 560 | 35 |
4 | 3 | 0,18 | 0,19 | 0,22 | 0,23 | 0,26 | 0,28 | 0,30 | 0,32 | 0,12 | 475 | 30 | |
5 | 24 | 2 | 0,19 | 0,20 | 0,23 | 0,25 | 0,27 | 0,29 | 0,31 | 0,33 | 0,10 | 475 | 36 |
6 | 3 | 0,20 | 0,21 | 0,25 | 0,26 | 0,28 | 0,30 | 0,32 | 0,34 | 0,12 | 355 | 27 | |
7 | 36 | 2 | 0,21 | 0,22 | 0,27 | 0,28 | - | - | - | - | 0,10 | 355 | 40 |
8 | 3 | 0,22 | 0,23 | 0,29 | 0,30 | - | - | - | - | 0,12 | 265 | 30 | |
Индекс | а | б | в | г | д | е | ж | з | |||||
ОТРЕЗКА ДЕТАЛЕЙ СПЛОШНОГО СЕЧЕНИЯ, ДЕТАЛЕЙ С ОТВЕРСТИЕМ И ТРУБ Сталь углеродистая конструкционная, | Токарно-револьверные станки с горизонтальной осью вращения головки | ||||||||||||||||||
Резцы из стали Р6М5 | |||||||||||||||||||
Карта 34 | |||||||||||||||||||
N позиции | Отрезка сплошная | Отрезка деталей с отверстием и труб | |||||||||||||||||
D, мм, до | b, мм, до | Режимы резания | Время на рабочий ход, мин. | D, мм, до | b, мм, до | Длина обрабатываемой поверхности мм до | Режимы резания | ||||||||||||
S, мм/об. | n, об./мин. | v, м/мин. | 2 | 4 | 6 | 8 | 10 | 12 | 14 | 20 | S, мм/об. | n, об./мин. | v, м/мин. | ||||||
Время на рабочий ход, мин. | |||||||||||||||||||
1 | 6 | 2 | 0,10 | 1180 | 22 | 0,25 | 6 | 2 | 0,23 | - | - | - | - | - | - | - | 0,11 | 1180 | 22 |
2 | 12 | 2 | 0,10 | 900 | 34 | 0,29 | 12 | 2 | 0,27 | 0,29 | - | - | - | - | - | - | 0,12 | 900 | 34 |
3 | 18 | 2 | 0,10 | 900 | 51 | 0,33 | 18 | 3 | 0,29 | 0,31 | - | - | - | - | - | - | 0,13 | 900 | 51 |
4 | 22 | 3 | 0,12 | 700 | 48 | 0,37 | 22 | 3 | 0,31 | 0,33 | 0,35 | - | - | - | - | - | 0,14 | 700 | 48 |
5 | 28 | 3 | 0,12 | 600 | 53 | 0,43 | 28 | 3 | 0,33 | 0,35 | 0,37 | 0,38 | 0,40 | - | - | - | 0,15 | 600 | 53 |
6 | 32 | 4 | 0,13 | 500 | 50 | 0,46 | 32 | 4 | 0,34 | 0,36 | 0,38 | 0,39 | 0,42 | 0,43 | - | 0,16 | 500 | 50 | |
7 | 36 | 4 | 0,13 | 450 | 51 | 0,50 | 36 | 4 | 0,36 | 0,37 | 0,39 | 0,41 | 0,43 | 0,44 | - | 0,17 | 450 | 51 | |
8 | 40 | 4 | 0,13 | 400 | 50 | 0,60 | 40 | 4 | 0,38 | 0,40 | 0,42 | 0,44 | 0,46 | 0,48 | 0,50 | 0,52 | 0,18 | 400 | 50 |
Индекс | а | б | в | г | д | е | ж | з | и | ||||||||||
ТОЧЕНИЕ ГАЛТЕЛЕЙ Сталь углеродистая конструкционная, | Токарно-револьверные станки с горизонтальной осью вращения головки | |||||||
Резцы из стали Р6М5 | ||||||||
Карта 35 | ||||||||
N позиции | D, мм, до | Радиус галтелей, мм, до | ||||||
0,5 | 1 | 2 | 4 | 6 | 8 | 10 | ||
Время на поверхность, мин. | ||||||||
1 | 25 | 0,13 | 0,14 | 0,16 | 0,20 | 0,24 | 0,27 | 0,29 |
2 | 30 | 0,19 | 0,20 | 0,22 | 0,28 | 0,33 | 0,40 | 0,45 |
Индекс | а | б | в | г | д | е | ж | |
ТОЧЕНИЕ И ЗЕНКОВАНИЕ ФАСОК, Rz80...Rz20, IT14...IT11 Сталь углеродистая конструкционная, | Токарно-револьверные станки с горизонтальной осью вращения головки | |||||
Резцы и зенковки Т15К6 и Р6М5 | ||||||
Карта 36 | ||||||
I. Точение фасок резцами | ||||||
N позиции | D (d), мм, до | Размер фаски, мм, до | ||||
0,5 | 1,0 | 2,0 | 3,0 | 5,0 | ||
Время на поверхность, мин. | ||||||
1 | 20 | 0,09 | 0,10 | 0,11 | 0,12 | 0,15 |
2 | 40 | 0,11 | 0,12 | 0,17 | 0,19 | |
II. Зенкование фасок | ||||||
N позиции | d, мм, до | Размер фаски, мм, до | ||||
0,5 | 1,0 | 2,0 | 3,0 | 5,0 | ||
Время на поверхность, мин. | ||||||
3 | 20 | 0,09 | 0,10 | 0,13 | 0,15 | |
4 | 40 | 0,11 | 0,12 | 0,14 | 0,19 | 0,22 |
Индекс | а | б | в | г | д | |
НАКАТЫВАНИЕ РИФЛЕНИЙ СЕТЧАТОЕ И ПРЯМОЕ (РАДИАЛЬНАЯ ПОДАЧА) Сталь углеродистая конструкционная, | Токарно-револьверные станки с горизонтальной осью вращения головки | |||||||||
Ролики накатные из стали Р6М5 | ||||||||||
Карта 37 | ||||||||||
N позиции | D, мм, до | P, мм | l, мм, до | Режимы резания | ||||||
5 | 8 | 10 | 13 | 16 | 20 | n, об./мин. | v, м/мин. | |||
Время на поверхность, мин. | ||||||||||
1 | 6 | 0,6 | 0,36 | 0,40 | - | - | - | - | 800 | 15 |
2 | 8 | 0,8 | 0,32 | 0,34 | 0,41 | - | - | - | 800 | 20 |
3 | 10 | 0,8 | 0,36 | 0,41 | 0,49 | 0,55 | - | - | 475 | 15 |
4 | 12 | 0,8 | 0,34 | 0,37 | 0,41 | 0,49 | 0,55 | - | 475 | 18 |
5 | 14 | 0,8 | 0,27 | 0,33 | 0,37 | 0,41 | 0,49 | 0,55 | 475 | 21 |
6 | 16 | 0,8 - 1,0 | 0,35 | 0,43 | 0,43 | 0,50 | 0,69 | 0,78 | 315 | 16 |
7 | 18 | 0,8 - 1,0 | 0,33 | 0,35 | 0,45 | 0,49 | 0,57 | 0,83 | 285 | 16 |
8 | 20 | 0,8 - 1,0 | 0,35 | 0,37 | 0,46 | 0,53 | 0,62 | 0,89 | 285 | 18 |
9 | 22 | 0,8 - 1,0 | 0,37 | 0,38 | 0,44 | 0,44 | 0,67 | 0,79 | 185 | 13 |
10 | 24 | 0,8 - 1,0 | 0,37 | 0,38 | 0,45 | 0,45 | 0,68 | 0,81 | 185 | 14 |
11 | 28 | 0,8 - 1,0 | 0,43 | 0,43 | 0,52 | 0,52 | 0,72 | 0,97 | 150 | 13 |
12 | 32 | 0,8 - 1,0 | 0,41 | 0,41 | 0,49 | 0,56 | 0,63 | 0,99 | 120 | 12 |
13 | 36 | 0,8 - 1,0 | 0,42 | 0,52 | 0,52 | 0,58 | 0,64 | 1,01 | 115 | 13 |
14 | 40 | 0,8 - 1,0 | 0,46 | 0,57 | 0,57' | 0,65 | 0,72 | 1,16 | 100 | 12 |
Индекс | а | б | в | г | д | е | ||||
НАКАТЫВАНИЕ РИФЛЕНИЙ СЕТЧАТОЕ И ПРЯМОЕ (ПРОДОЛЬНАЯ ПОДАЧА) Сталь углеродистая конструкционная, | Токарно-револьверные станки с горизонтальной осью вращения головки | |||||||||||||||
Ролики накатные из стали Р6М5 | ||||||||||||||||
Карта 38 | ||||||||||||||||
N позиции | D, мм, до | P, мм | l, мм, до | Режимы резания | ||||||||||||
10 | 15 | 20 | 30 | 40 | 50 | 60 | 70 | 80 | 90 | 100 | S, мм/об. | n, об./мин. | v, м/мин. | |||
Время на поверхность, мин. | ||||||||||||||||
1 | 10 | 0,8 | 0,33 | 0,41 | 0,48 | 0,66 | - | - | - | - | - | - | - | 0,15 | 475 | 15 |
2 | 15 | 0,8 | 0,45 | 0,55 | 0,66 | 0,82 | 1,03 | - | - | - | - | - | - | 0,15 | 315 | 15 |
3 | 20 | 0,8 - 1,0 | 0,48 | 0,62 | 0,75 | 1,01 | 1,26 | 1,52 | 1,77 | 2,04 | 2,29 | 2,54 | 2,82 | 0,15 | 265 | 17 |
4 | 25 | 0,8 - 1,0 | 0,76 | 0,94 | 1,10 | 1,45 | 1,84 | 2,23 | 2,62 | 3,01 | 3,40 | 3,78 | 4,17 | 0,15 | 160 | 12 |
5 | 30 | 0,8 - 1,0 | 0,79 | 0,99 | 1,17 | 1,56 | 1,98 | 2,40 | 2,83 | 3,24 | 3,67 | 4,08 | 4,50 | 0,2 | 125 | 12 |
6 | 40 | 1,0 - 1,2 | 0,99 | 1,24 | 1,46 | 1,90 | 2,47 | 2,95 | 3,48 | 4,01 | 4,53 | 5,05 | 5,59 | 0,25 | 80 | 10 |
Индекс | а | б | в | г | д | е | ж | з | и | к | л | |||||
ТОЧЕНИЕ НАРУЖНЫХ ПОВЕРХНОСТЕЙ, Rz80...Rz40, IT14...IT12 Чугун серый, HB 1,76...2,15 ГПа | Токарно-револьверные станки с вертикальной осью вращения головки | ||||||||||||||||||
Резцы с пластинками ВК6 | |||||||||||||||||||
Карта 39 | Лист 1 | ||||||||||||||||||
N позиции | D, мм, до | t, мм | l, мм, до | Режимы резания | |||||||||||||||
10 | 20 | 30 | 40 | 50 | 75 | 100 | 125 | 150 | 200 | 250 | 300 | 350 | 400 | S, мм/об. | n, об./мин. | v, м/мин. | |||
Время на рабочий ход, мин. | |||||||||||||||||||
1 | 20 | 3,0 | 0,22 | 0,23 | 0,24 | 0,25 | 0,27 | 0,29 | 0,33 | - | - | - | - | - | - | - | 0,5 | 1080 | 68 |
2 | 40 | 3,0 | 0,23 | 0,24 | 0,26 | 0,27 | 0,29 | 0,33 | 0,39 | 0,45 | 0,52 | 0,62 | - | - | - | - | 0,6 | 777 | 97 |
3 | 5,0 | 0,24 | 0,27 | 0,30 | 0,33 | 0,36 | 0,43 | 0,51 | 0,58 | 0,64 | 0,77 | - | - | - | - | 0,7 | 530 | 66 | |
4 | 60 | 3,0 | 0,25 | 0,28 | 0,32 | 0,34 | 0,36 | 0,45 | 0,52 | 0,62 | 0,65 | 0,81 | 0,98 | 1,18 | - | - | 0,7 | 530 | 100 |
5 | 5,0 | 0,26 | 0,30 | 0,34 | 0,37 | 0,40 | 0,50 | 0,60 | 0,69 | 0,81 | 0,98 | 1,05 | 1,21 | - | - | 0,7 | 460 | 87 | |
6 | 80 | 5,0 | 0,29 | 0,33 | 0,40 | 0,44 | 0,48 | 0,58 | 0,68 | 0,78 | 0,90 | 1,13 | 1,38 | 1,63 | 1,88 | 2,14 | 0,7 | 385 | 97 |
7 | 8,0 | 0,30 | 0,35 | 0,40 | 0,48 | 0,54 | 0,68 | 0,82 | 0,97 | 1,10 | 1,32 | 1,68 | 1,93 | 2,29 | 2,56 | 0,5 | 385 | 97 | |
8 | 100 | 5,0 | 0,32 | 0,38 | 0,44 | 0,50 | 0,56 | 0,68 | 0,81 | 0,94 | 1,07 | 1,36 | 1,66 | 1,96 | 2,28 | 2,59 | 0,7 | 317 | 99 |
9 | 8,0 | 0,34 | 0,40 | 0,45 | 0,52 | 0,60 | 0,77 | 0,96 | 1,13 | 1,30 | 1,64 | 1,98 | 2,32 | 2,66 | 3,00 | 0,5 | 317 | 99 | |
10 | 125 | 5,0 | 0,34 | 0,40 | 0,45 | 0,52 | 0,60 | 0,78 | 0,93 | 1,08 | 1,23 | 1,53 | 1,84 | 2,15 | 2,46 | 2,77 | 0,7 | 274 | 107 |
11 | 8,0 | 0,36 | 0,41 | 0,47 | 0,54 | 0,61 | 0,83 | 1,07 | 1,23 | 1,43 | 1,81 | 2,20 | 2,56 | 2,90 | 3,42 | 0,6 | 226 | 89 | |
12 | 150 | 5,0 | 0,37 | 0,43 | 0,50 | 0,57 | 0,64 | 0,87 | 1,09 | 1,28 | 1,48 | 1,87 | 2,29 | 2,70 | 3,04 | 3,40 | 0,7 | 226 | 106 |
13 | 10,0 | 0,39 | 0,50 | 0,60 | 0,66 | 0,73 | 0,97 | 1,28 | 1,52 | 1,78 | 2,31 | 2,82 | 3,38 | 3,85 | 4,38 | 0,6 | 188 | 88 | |
Индекс | а | б | в | г | д | е | ж | з | и | к | л | м | н | о | |||||
НЕПОЛНОЕ ШТУЧНОЕ ВРЕМЯ ТОЧЕНИЕ НАРУЖНЫХ ПОВЕРХНОСТЕЙ, Rz80...Rz40, IT14...IT12 Чугун серый, HB 1,76...2,15 ГПа | Токарно-револьверные станки с вертикальной осью вращения головки | |||||||||||||||
Резцы с пластинками ВК6 | ||||||||||||||||
Карта 39 | Лист 2 | |||||||||||||||
N позиции | D, мм, до | t, мм | l, мм, до | Режимы резания | ||||||||||||
50 | 75 | 100 | 125 | 150 | 200 | 250 | 300 | 350 | 400 | S, мм/об. | n, об./мин. | v, м/мин. | ||||
Время на рабочий ход, мин. | ||||||||||||||||
14 | 200 | 5 | 0,65 | 0,86 | 1,12 | 1,33 | 1,52 | 1,92 | 2,30 | 2,68 | 3,07 | 3,47 | 0,7 | 188 | 118 | |
15 | 10 | 1,12 | 1,46 | 1,83 | 2,24 | 2,57 | 3,37 | 4,09 | 4,83 | 5,57 | 6,30 | 0,6 | 136 | 85 | ||
16 | 250 | 5 | 0,88 | 1,11 | 1,30 | 1,50 | 1,72 | 2,18 | 2,64 | 3,18 | 3,64 | 4,12 | 0,7 | 167 | 131 | |
17 | 10 | 1,22 | 1,61 | 2,00 | 2,40 | 2,78 | 3,54 | 4,32 | 5,12 | 5,98 | 6,88 | 0,6 | 117 | 92 | ||
18 | 300 | 5 | 0,96 | 1,20 | 1,44 | 1,71 | 1,95 | 2,53 | 3,06 | 3,67 | 4,30 | 4,90 | 0,7 | 136 | 128 | |
19 | 10 | 1,49 | 2,00 | 2,59 | 3,03 | 3,93 | 4,56 | 5,63 | 6,67 | 7,70 | 8,69 | 0,6 | 96 | 90 | ||
20 | 400 | 5 | 1,07 | 1,44 | 1,77 | 2,16 | 2,53 | 3,27 | 3,97 | 4,77 | 5,47 | 6,20 | 0,7 | 106 | 133 | |
21 | 10 | 1,71 | 2,16 | 2,78 | 3,36 | 4,14 | 5,39 | 6,60 | 7,87 | 8,15 | 10,1 | 0,7 | 66 | 83 | ||
22 | 500 | 5 | 1,44 | 1,90 | 2,41 | 2,97 | 3,46 | 4,46 | 5,52 | 6,54 | 7,60 | 8,62 | 0,7 | 83 | 130 | |
23 | 10 | 2,00 | 2,23 | 2,82 | 3,42 | 4,93 | 6,41 | 7,95 | 9,45 | 10,8 | 12,2 | 0,7 | 55 | 86 | ||
24 | 600 | 5 | 1,66 | 2,18 | 2,77 | 3,37 | 4,12 | 5,36 | 6,63 | 7,88 | 9,00 | 10,1 | 0,7 | 66 | 124 | |
25 | 10 | 2,70 | 3,80 | 4,89 | 5,90 | 6,90 | 8,95 | 11,3 | 13,1 | 14,9 | 16,9 | 0,6 | 48 | 90 | ||
Индекс | а | б | в | г | д | е | ж | з | и | к | ||||||
ТОЧЕНИЕ НАРУЖНЫХ ПОВЕРХНОСТЕЙ, Rz20, IT11 Чугун серый, HB 1,76...2,15 ГПа | Токарно-револьверные станки с вертикальной осью вращения головки | ||||||||||||||||||
Резцы с пластинками ВК6 | |||||||||||||||||||
Карта 40 | |||||||||||||||||||
N позиции | D, мм, до | t, мм | l, мм, до | Режимы резания | |||||||||||||||
10 | 20 | 30 | 40 | 50 | 75 | 100 | 125 | 150 | 200 | 250 | 300 | 350 | 400 | S, мм/об. | n, об./мин. | v, м/мин. | |||
Время на рабочий ход, мин. | |||||||||||||||||||
1 | 20 | 1,0 | 0,22 | 0,24 | 0,26 | 0,28 | 0,32 | 0,36 | 0,40 | - | - | - | - | - | - | - | 0,35 | 1380 | 86 |
2 | 40 | 1,0 | 0,24 | 0,28 | 0,31 | 0,34 | 0,38 | 0,47 | 0,56 | 0,64 | 0,75 | 0,94 | - | - | - | - | 0,35 | 800 | 100 |
3 | 60 | 1,0 | 0,26 | 0,31 | 0,36 | 0,41 | 0,47 | 0,59 | 0,72 | 0,85 | 0,97 | 1,23 | 1,21 | 1,77 | - | - | 0,35 | 650 | 122 |
4 | 80 | 1,0 | 0,28 | 0,35 | 0,42 | 0,50 | 0,57 | 0,74 | 0,90 | 1,02 | 1,28 | 1,62 | 2,00 | 2,35 | 2,85 | 3,22 | 0,35 | 450 | 113 |
5 | 100 | 1,0 | 0,31 | 0,41 | 0,1 | 0,61 | 0,71 | 0,95 | 1,21 | 1,45 | 1,69 | 2,19 | 2,70 | 3,20 | 3,90 | 4,43 | 0,35 | 330 | 104 |
6 | 125 | 1,0 | 0,34 | 0,45 | 0,58 | 0,70 | 0,83 | 1,13 | 1,44 | 1,73 | 2,02 | 2,64 | 3,28 | 3,88 | 4,73 | 5,36 | 0,35 | 260 | 102 |
7 | 150 | 1,0 | 0,43 | 0,54 | 0,67 | 0,80 | 0,94 | 1,30 | 1,66 | 2,02 | 2,36 | 3,10 | 3,84 | 4,25 | 5,26 | 6,30 | 0,35 | 220 | 104 |
8 | 200 | 1,0 | 0,50 | 0,70 | 0,87 | 1,05 | 1,23 | 1,74 | 2,22 | 2,73 | 3,23 | 4,22 | 5,25 | 6,25 | 7,28 | 8,61 | 0,35 | 160 | 100 |
9 | 250 | 2,0 | 0,72 | 0,90 | 1,08 | 1,26 | 1,48 | 2,07 | 2,66 | 3,26 | 3,86 | 5,05 | 6,29 | 7,21 | 9,09 | 10,3 | 0,35 | 140 | 110 |
10 | 300 | 2,0 | 0,90 | 1,08 | 1,21 | 1,44 | 1,69 | 2,39 | 3,10 | 3,80 | 4,50 | 5,89 | 7,34 | 8,76 | 10,6 | 12,0 | 0,35 | 115 | 108 |
11 | 400 | 2,0 | 1,08 | 1,26 | 1,39 | 1,71 | 2,03 | 2,91 | 3,78 | 4,63 | 5,49 | 7,21 | 8,96 | 10,7 | 13,0 | 14,7 | 0,35 | 90 | 113 |
12 | 500 | 2,0 | 1,26 | 1,44 | 1,62 | 1,98 | 2,38 | 3,42 | 4,46 | 5,48 | 6,50 | 8,53 | 10,6 | 12,6 | 15,3 | 17,2 | 0,35 | 75 | 118 |
13 | 600 | 2,0 | 1,53 | 1,80 | 2,16 | 2,70 | 3,21 | 4,62 | 6,02 | 7,44 | 8,86 | 11,7 | 14,6 | 17,2 | 21,0 | 23,9 | 0,35 | 55 | 104 |
Индекс | а | б | в | г | д | е | ж | з | и | к | л | м | н | о | |||||
ТОЧЕНИЕ НАРУЖНЫХ ПОВЕРХНОСТЕЙ, Ra25, IT9...IT18 Чугун серый, HB 1,76...2,15 ГПа | Токарно-револьверные станки с вертикальной осью вращения головки | ||||||||||||||||||
Резцы с пластинками ВК6 | |||||||||||||||||||
Карта 41 | |||||||||||||||||||
N позиции | D, мм, до | P, мм | l, мм, до | Режимы резания | |||||||||||||||
10 | 20 | 30 | 40 | 50 | 75 | 100 | 125 | 150 | 200 | 250 | 300 | 350 | 400 | S, мм/об. | n, об./мин. | v, м/мин. | |||
Время на рабочий ход, мин. | |||||||||||||||||||
1 | 20 | 1,0 | 0,25 | 0,28 | 0,33 | 0,37 | 0,40 | 0,50 | 0,60 | - | - | - | - | - | - | - | 0,30 | 1380 | 87 |
2 | 40 | 1,0 | 0,27 | 0,32 | 0,37 | 0,41 | 0,47 | 0,60 | 0,77 | 0,90 | 1,03 | 1,31 | - | - | - | - | 0,25 | 800 | 100 |
3 | 60 | 1,0 | 0,29 | 0,34 | 0,40 | 0,46 | 0,53 | 0,67 | 0,88 | 1,04 | 1,19 | 153 | 1,83 | 2,21 | - | - | 0,25 | 650 | 122 |
4 | 80 | 1,0 | 0,35 | 0,40 | 0,44 | 0,50 | 0,71 | 0,76 | 0,98 | 1,15 | 1,32 | 1,76 | 2,10 | 2,57 | 2,92 | 3,30 | 0,25 | 575 | 144 |
5 | 100 | 1,0 | 0,38 | 0,48 | 0,58 | 0,68 | 0,77 | 1,02 | 1,32 | 1,57 | 1,81 | 2,40 | 2,91 | 3,50 | 4,00 | 4,59 | 0,35 | 430 | 135 |
6 | 125 | 1,0 | 0,45 | 0,57 | 0,70 | 0,84 | 0,97 | 1,31 | 1,70 | 2,04 | 2,38 | 3,16 | 3,83 | 4,61 | 5,39 | 6,07 | 0,25 | 300 | 118 |
7 | 150 | 1,0 | 0,54 | 0,65 | 0,83 | 0,97 | 1,14 | 1,56 | 2,02 | 2,44 | 2,85 | 3,78 | 4,61 | 5,53 | 6,36 | 7,74 | 0,25 | 250 | 118 |
8 | 200 | 1,0 | 0,68 | 0,86 | 1,08 | 1,30 | 1,53 | 2,12 | 2,75 | 3,35 | 3,94 | 5,21 | 6,40 | 7,68 | 8,86 | 10,1 | 0,25 | 180 | 113 |
9 | 250 | 1,0 | 0,90 | 1,12 | 1,30 | 1,5 3 | 1,80 | 2,47 | 3,22 | 3,92 | 4,62 | 6,13 | 753 | 9,00 | 10,4 | 12,0 | 0,25 | 150 | 118 |
10 | 300 | 2,0 | 1,12 | 1,30 | 1,48 | 1,71 | 2,02 | 2,89 | 3,77 | 4,57 | 5,44 | 7,28 | 8,82 | 10,6 | 12,3 | 14,0 | 0,25 | 130 | 122 |
11 | 400 | 2,0 | 1,35 | 1,53 | 1,71 | 1,98 | 2,34 | 3,36 | 4,37 | 5,36 | 6,34 | 8,38 | 10,4 | 12,4 | 14,3 | 16,4 | 0,25 | 110 | 138 |
12 | 500 | 2,0 | 1,58 | 1,80 | 2,09 | 2,45 | 2,90 | 3,82 | 4,75 | 6,12 | 7,24 | 9,63 | 11,9 | 14,1 | 16,5 | 18,8 | 0,25 | 100 | 157 |
13 | 600 | 2,0 | 1,80 | 2,12 | 2,43 | 3,06 | 3,89 | 5,36 | 7,02 | 8,62 | 10,2 | 13,4 | 16,7 | 20,1 | 24,2 | 26,6 | 0,25 | 70 | 132 |
Индекс | а | б | в | г | д | е | ж | з | и | к | л | м | н | о | |||||
ТОЧЕНИЕ ФАСОННЫХ ПОВЕРХНОСТЕЙ (ВЫПУКЛЫХ И ВОГНУТЫХ) Чугун серый, HB 1,76...2,15 ГПа | Токарно-револьверные станки с вертикальной осью вращения головки | |||||||||||||||||
Резцы фасонные из стали Р6М5 | ||||||||||||||||||
Карта 42 | ||||||||||||||||||
N позиции | D, мм, до | Ширина резца, мм, до | Простой профиль | Сложный профиль | ||||||||||||||
Длина (радиус) обработки, мм, до | Режимы резания | Длина (радиус) обработки, мм, до | Режимы резания | |||||||||||||||
10 | 15 | 20 | 25 | 30 | S, мм/об. | n, об./мин. | v, м/мин. | 10 | 15 | 20 | 25 | 30 | S, мм/об. | n, об./мин. | v, м/мин. | |||
Время на поверхность, мин. | Время на поверхность, мин. | |||||||||||||||||
1 | 25 | 20 | 1,4 | - | - | - | - | 0,05 | 400 | 31 | 1,7 | - | - | - | - | 0,03 | 400 | 31 |
2 | 60 и свыше | 2,3 | 2,8 | 3,5 | 4,0 | - | 0,07 | 125 | 23 | 3,4 | 4,2 | 5,4 | 6,3 | - | 0,04 | 125 | 23 | |
3 | 40 | 30 | 1,8 | 2,0 | 2,4 | - | - | 0,06 | 250 | 31 | 2,1 | 2,4 | 3,0 | - | - | 0,035 | 250 | 31 |
4 | 60 и свыше | 2,6 | 3,1 | 3,9 | 4,5 | 5,4 | 0,06 | 125 | 23 | 3,8 | 4,5 | 5,8 | 7,2 | 8,1 | 0,035 | 125 | 23 | |
5 | 40 | 40 | 2,0 | 2,2 | 2,8 | - | - | 0,06 | 250 | 31 | 2,2 | 2,6 | 3,2 | - | - | 0,03 | 250 | 31 |
6 | 60 и свыше | 2,9 | 3,4 | 4,3 | 4,9 | 5,8 | 0,06 | 125 | 23 | 4,3 | 5,4 | 6,7 | 8,1 | 9,4 | 0,03 | 125 | 23 | |
7 | 60 и свыше | 50 | 3,4 | 4,1 | 5,4 | 6,3 | 7,2 | 0,05 | 125 | 23 | 4,9 | 6,3 | 8,1 | 9,4 | 11,2 | 0,025 | 125 | 23 |
Индекс | а | б | в | г | д | е | ж | з | и | к | ||||||||
ПОДРЕЗКА ТОРЦОВ СПЛОШНОГО СЕЧЕНИЯ, Rz80...Rz40, IT14...IT12 Чугун серый, HB 1,76...2,15 ГПа | Токарно-револьверные станки с вертикальной осью вращения головки | |||||
Резцы с пластинками ВК6 | ||||||
Карта 43 | ||||||
N позиции | D, мм, до | t, мм, до | Время на рабочий ход, мин. | Режимы резания | ||
S, мм/об. | n, об./мин. | v, м/мин. | ||||
1 | 20 | 3,0 | 0,28 | 0,5 | 850 | 53 |
2 | 40 | 3,0 | 0,30 | 0,7 | 600 | 75 |
3 | 5,0 | 0,32 | 0,5 | 500 | 63 | |
4 | 60 | 3,0 | 0,34 | 0,8 | 430 | 81 |
5 | 5,0 | 0,38 | 0,7 | 320 | 60 | |
6 | 80 | 5,0 | 0,44 | 0,8 | 300 | 75 |
7 | 8,0 | 0,49 | 0,7 | 250 | 63 | |
8 | 100 | 5,0 | 0,49 | 0,9 | 300 | 94 |
9 | 8,0 | 0,58 | 0,7 | 225 | 71 | |
10 | 125 | 5,0 | 0,66 | 0,9 | 230 | 90 |
11 | 8,0 | 0,75 | 0,7 | 195 | 76 | |
12 | 150 | 5,0 | 0,85 | 0,9 | 195 | 92 |
13 | 8,0 | 1,10 | 0,7 | 136 | 64 | |
14 | 200 | 5,0 | 1,11 | 0,9 | 188 | 118 |
15 | 10,0 | 1,80 | 0,7 | 105 | 66 | |
16 | 250 | 5,0 | 1,30 | 1,0 | 180 | 141 |
17 | 10,0 | 2,50 | 0,8 | 90 | 70 | |
18 | 300 | 5,0 | 1,98 | 1,0 | 136 | 128 |
19 | 10,0 | 3,51 | 0,8 | 75 | 71 | |
20 | 400 | 5,0 | 3,32 | 1,0 | 105 | 132 |
21 | 10,0 | 6,40 | 0,8 | 55 | 69 | |
22 | 500 | 5,0 | 4,10 | 1,0 | 103 | 162 |
23 | 10,0 | 8,06 | 0,8 | 50 | 78 | |
24 | 600 | 5,0 | 6,56 | 1,0 | 75 | 141 |
25 | 10,0 | 12,9 | 0,8 | 38 | 72 | |
Индекс | а | |||||
ПОДРЕЗКА ТОРЦОВ СПЛОШНОГО СЕЧЕНИЯ, Rz20, IT11 Чугун серый, HB 1,76...2,15 ГПа | Токарно-револьверные станки с вертикальной осью вращения головки | |||||
Резцы с пластинками ВК6 | ||||||
Карта 44 | ||||||
N позиции | D, мм, до | t, мм, до | Время на рабочий ход, мин. | Режимы резания | ||
S, мм/об. | n, об./мин. | v, м/мин. | ||||
1 | 20 | 1,0 | 0,27 | 0,35 | 1500 | 94 |
2 | 40 | 1,0 | 0,33 | 0,35 | 777 | 97 |
3 | 60 | 1,0 | 0,40 | 0,35 | 530 | 100 |
4 | 80 | 1,0 | 0,54 | 0,35 | 385 | 97 |
5 | 100 | 1,0 | 0,76 | 0,35 | 274 | 86 |
6 | 125 | 1,0 | 0,95 | 0,35 | 274 | 107 |
7 | 150 | 1,0 | 1,40 | 0,35 | 188 | 88 |
8 | 200 | 1,0 | 2,44 | 0,35 | 136 | 85 |
9 | 250 | 2,0 | 3,63 | 0,35 | 117 | 92 |
10 | 300 | 2,0 | 4,92 | 0,35 | 96 | 90 |
11 | 400 | 2,0 | 9,17 | 0,35 | 66 | 83 |
12 | 500 | 2,0 | 11,4 | 0,35 | 66 | 104 |
13 | 600 | 2,0 | 18,4 | 0,35 | 48 | 90 |
Индекс | а | |||||
ПОДРЕЗКА ТОРЦОВ НЕСПЛОШНОГО СЕЧЕНИЯ, Rz80...Rz40, IT14...IT12 Чугун серый, HB 1,76...2,15 ГПа | Токарно-револьверные станки с вертикальной осью вращения головки | ||||||||||||||||
Резцы с пластинками ВК6 | |||||||||||||||||
Карта 45 | Лист 1 | ||||||||||||||||
N позиции | D, мм, до | t, мм, до | Длина обрабатываемой поверхности мм, до | Режимы резания | |||||||||||||
10 | 20 | 30 | 40 | 50 | 60 | 70 | 80 | 90 | 100 | 150 | 200 | S, мм/об. | n, об./мин. | v, м/мин. | |||
Время на рабочий ход, мин. | |||||||||||||||||
1 | 40 | 3 | 0,27 | - | - | - | - | - | - | - | - | - | - | - | 0,7 | 777 | 98 |
2 | 5 | 0,32 | - | - | - | - | - | - | - | - | - | - | - | 0,5 | 530 | 67 | |
3 | 60 | 3 | 0,29 | 0,32 | - | - | - | - | - | - | - | - | - | - | 0,7 | 530 | 100 |
4 | 5 | 0,34 | 0,36 | - | - | - | - | - | - | - | - | - | - | 0,7 | 442 | 83 | |
5 | 80 | 5 | 0,36 | 0,38 | 0,40 | - | - | - | - | - | - | - | - | - | 0,8 | 300 | 97 |
6 | 8 | 0,35 | 0,40 | 0,44 | - | - | - | - | - | - | - | - | - | 0,7 | 270 | 68 | |
7 | 100 | 5 | 0,38 | 0,40 | 0,43 | 0,49 | - | - | - | - | - | - | - | - | 0,9 | 300 | 94 |
8 | 8 | 0,37 | 0,43 | 0,48 | 0,55 | - | - | - | - | - | - | - | - | 0,7 | 250 | 79 | |
9 | 125 | 5 | 0,40 | 0,44 | 0,47 | 0,54 | 0,61 | - | - | - | - | - | - | - | 0,9 | 220 | 86 |
10 | 8 | 0,42 | 0,49 | 0,52 | 0,58 | 0,68 | - | - | - | - | - | - | 0,7 | 200 | 79 | ||
11 | 150 | 5 | 0,42 | 0,50 | 0,57 | 0,63 | 0,67 | 0,73 | - | - | - | - | - | - | 0,9 | 180 | 85 |
12 | 8 | 0,45 | 0,53 | 0,63 | 0,70 | 0,74 | 0,85 | - | - | - | - | - | - | 0,7 | 150 | 71 | |
Индекс | а | б | в | г | д | е | ж | з | и | к | л | м | |||||
НЕПОЛНОЕ ШТУЧНОЕ ВРЕМЯ ПОДРЕЗКА ТОРЦОВ НЕСПЛОШНОГО СЕЧЕНИЯ, Rz80...Rz40, IT14...IT12 Чугун серый, HB 1,76...2,15 ГПа | Токарно-револьверные станки с вертикальной осью вращения головки | ||||||||||||||||
Резцы с пластинками ВК6 | |||||||||||||||||
Карта 45 Лист 2 | |||||||||||||||||
N позиции | D, мм, до | t, мм, до | Длина обрабатываемой поверхности мм, до | Режимы резания | |||||||||||||
10 | 20 | 30 | 40 | 50 | 60 | 70 | 80 | 90 | 100 | 150 | 200 | S, мм/об. | n, об./мин. | v, м/мин. | |||
Время на рабочий ход, мин. | |||||||||||||||||
13 | 200 | 5 | - | 0,55 | 0,60 | 0,66 | 0,71 | 0,77 | 0,84 | - | - | - | - | - | 0,9 | 180 | 113 |
14 | 10 | - | 0,66 | 0,76 | 0,86 | 0,96 | 1,11 | 1,22 | - | - | - | - | - | 0,7 | 100 | 63 | |
15 | 250 | 5 | - | 0,63 | 0,70 | 0,77 | 0,86 | 0,95 | 1,05 | 1,12 | - | - | - | - | 1,0 | 150 | 118 |
16 | 10 | - | 0,80 | 0,96 | 1,14 | 1,36 | 1,36 | 1,76 | 1,90 | - | - | - | - | 0,8 | 90 | 71 | |
17 | 300 | 5 | - | 0,78 | 0,86 | 0,94 | 1,03 | 1,15 | 1,27 | 1,39 | 1,50 | - | - | - | 1,0 | 136 | 128 |
18 | 10 | - | 1,18 | 1,25 | 1,32 | 1,40 | 1,50 | 1,66 | 1,83 | 2,04 | - | - | - | 0,8 | 96 | 90 | |
19 | 400 | 5 | - | - | - | - | 1,32 | 1,50 | 1,66 | 1,76 | 1,86 | 1,98 | 2,66 | - | 1,0 | 100 | 126 |
20 | 10 | - | - | - | - | 2,00 | 2,15 | 2,31 | 2,45 | 2,60 | 2,75 | 3,90 | - | 0,8 | 55 | 69 | |
21 | 500 | 5 | - | - | - | - | 1,44 | 1,57 | 1,70 | 1,83 | 1,96 | 2,10 | 2,76 | 3,42 | 1,0 | 96 | 151 |
22 | 10 | - | - | - | - | 2,34 | 2,65 | 3,00 | 3,30 | 3,60 | 3,90 | 5,36 | 6,72 | 0,8 | 50 | 79 | |
23 | 600 | 5 | - | - | - | - | - | - | - | - | 2,82 | 3,75 | 4,69 | 1,0 | 75 | 141 | |
24 | 10 | - | - | - | - | - | - | - | - | - | 3,86 | 5,53 | 7,10 | 0,7 | 37 | 70 | |
Индекс | а | б | в | г | д | с | ж | з | и | к | л | м | |||||
ПОДРЕЗКА ТОРЦОВ НЕСПЛОШНОГО СЕЧЕНИЯ, Rz20, IT11 Чугун серый, HB 1,76...2,15 ГПа | Токарно-револьверные станки с вертикальной осью вращения головки | ||||||||||||||||
Резцы с пластинками ВК6 | |||||||||||||||||
Карта 46 | |||||||||||||||||
N позиции | D, мм, до | t, мм, до | Длина обрабатываемой поверхности мм, до | Режимы резания | |||||||||||||
10 | 20 | 30 | 40 | 50 | 60 | 70 | 80 | 90 | 100 | 150 | 200 | S, мм/об. | n, об./мин. | v, м/мин. | |||
Время на рабочий ход, мин. | |||||||||||||||||
1 | 40 | 1,0 | 0,31 | - | - | - | - | - | - | - | - | - | - | - | 0,35 | 777 | 98 |
2 | 60 | 1,0 | 0,33 | 0,37 | - | - | - | - | - | - | - | - | - | - | 0,35 | 530 | 100 |
3 | 80 | 1,0 | 0,36 | 0,43 | 0,42 | - | - | - | - | - | - | - | - | - | 0,35 | 385 | 97 |
4 | 100 | 1,0 | 0,40 | 0,51 | 0,62 | 0,72 | - | - | - | - | - | - | - | - | 0,35 | 274 | 86 |
5 | 125 | 1,0 | 0,45 | 0,56 | 0,67 | 0,78 | 0,88 | - | - | - | - | - | - | - | 0,35 | 274 | 107 |
6 | 150 | 1,0 | 0,50 | 0,69 | 0,85 | 1,00 | 1,09 | 1,29 | - | - | - | - | - | - | 0,35 | 188 | 88 |
7 | 200 | 1,0 | - | 0,86 | 1,00 | 1,18 | 1,40 | 1,66 | 1,88 | - | - | - | - | - | 0,35 | 136 | 85 |
8 | 250 | 2,0 | - | 1,40 | 143 | 1,65 | 1,77 | 2,04 | 2,45 | 2,75 | - | - | - | - | 0,35 | 117 | 92 |
9 | 300 | 2,0 | - | 145 | 1,67 | 1,80 | 1,93 | 2,30 | 2,73 | 3,15 | 3,47 | - | - | - | 0,35 | 96 | 90 |
10 | 400 | 2,0 | - | - | - | - | 2,73 | 3,30 | 3,92 | 4,30 | 4,70 | 5,10 | 7,47 | - | 0,35 | 66 | 83 |
11 | 500 | 2,0 | - | - | - | - | 3,22 | 3,77 | 4,32 | 4,87 | 5,42 | 6,00 | 8,80 | 11,7 | 0,35 | 56 | 88 |
12 | 600 | 2,0 | - | - | - | - | - | - | - | - | - | 6,93 | 10,2 | 13,4 | 0,35 | 48 | 90 |
Индекс | а | б | в | г | д | е | ж | з | и | к | л | м | |||||
ПОДРЕЗКА ТОРЦОВ НЕСПЛОШНОГО СЕЧЕНИЯ, Ra2,5, IT9...IT8 Чугун серый, HB 1,76...2,15 ГПа | Токарно-револьверные станки с вертикальной осью вращения головки | ||||||||||||||||
Резцы с пластинками ВК6 | |||||||||||||||||
Карта 47 | |||||||||||||||||
N позиции | D, мм, до | t, мм, до | Длина обрабатываемой поверхности мм, до | Режимы резания | |||||||||||||
10 | 20 | 30 | 40 | 50 | 60 | 70 | 80 | 90 | 100 | 150 | 200 | S, мм/об. | n, об./мин. | v, м/мин. | |||
Время на рабочий ход, мин. | |||||||||||||||||
1 | 40 | 1,0 | 0,34 | - | - | - | - | - | - | - | - | - | - | - | 0,21 | 777 | 98 |
2 | 60 | 1,0 | 0,37 | 0,49 | - | - | - | - | - | - | - | - | - | - | 0,21 | 530 | 100 |
3 | 80 | 1,0 | 0,42 | 0,53 | 0,60 | - | - | - | - | - | - | - | - | - | 0,21 | 385 | 97 |
4 | 100 | 1,0 | 0,44 | 0,57 | 0,70 | 0,85 | - | - | - | - | - | - | - | - | 0,21 | 274 | 86 |
5 | 125 | 1,0 | 0,47 | 0,66 | 0,80 | 0,95 | 1,10 | - | - | - | - | - | - | - | 0,21 | 220 | 86 |
6 | 150 | 1,0 | 0,53 | 0,82 | 1,00 | 1,20 | 1,36 | 1,60 | - | - | - | - | - | - | 0,21 | 188 | 87 |
7 | 200 | 1,0 | - | 1,08 | 1,34 | 1,60 | 1,86 | 2,20 | 2,50 | - | - | - | - | - | 0,21 | 136 | 85 |
8 | 250 | 1,0 | - | 1,48 | 1,80 | 2,10 | 2,45 | 3,00 | 3,50 | 3,90 | - | - | - | - | 0,21 | 117 | 92 |
9 | 300 | 2,0 | - | 2,43 | 2,70 | 2,95 | 3,28 | 4,00 | 4,69 | 5,30 | 5,70 | - | - | - | 0,21 | 96 | 90 |
10 | 400 | 2,0 | - | - | - | - | 3,90 | 4,80 | 5,65 | 6,40 | 6,90 | 7,50 | 11,0 | - | 0,21 | 66 | 83 |
11 | 500 | 2,0 | - | - | - | - | 4,85 | 5,60 | 6,40 | 7,25 | 8,00 | 8,80 | 13,4 | 17,4 | 0,21 | 56 | 88 |
12 | 600 | 2,0 | - | - | - | - | - | - | - | - | - | 13,1 | 18,8 | 23,3 | 0,21 | 48 | 90 |
Индекс | а | б | в | г | д | е | ж | з | и | к | л | м | |||||
РАСТАЧИВАНИЕ ОТВЕРСТИЙ, Rz80...Rz40, IT14...IT12 Чугун серый, HB 1,76...2,15 ГПа | Токарно-револьверные станки с вертикальной осью вращения головки | |||||||||||||||
Резцы с пластинками ВК6 | ||||||||||||||||
Карта 48 | Лист 1 | |||||||||||||||
N позиции | d, мм, до | t, мм, до | l, мм, до | Режимы резания | ||||||||||||
10 | 20 | 30 | 40 | 50 | 75 | 100 | 125 | 150 | 175 | 200 | S, мм/об. | n, об./мин. | v, м/мин. | |||
Время на рабочий ход, мин. | ||||||||||||||||
1 | 20 | 2 | 0,37 | 0,40 | 0,43 | 0,47 | 0,49 | 0,48 | - | - | - | - | - | 0,4 | 560 | 35 |
2 | 3 | 0,39 | 0,43 | 0,48 | 0,53 | 0,48 | 0,79 | - | - | - | - | - | 0,4 | 385 | 24 | |
3 | 40 | 3 | 0,39 | 0,43 | 0,48 | 0,43 | 0,48 | 0,78 | 0,90 | 1,06 | - | - | - | 0,7 | 280 | 35 |
4 | 5 | 0,41 | 0,49 | 0,55 | 0,61 | 0,68 | 0,94 | 1,11 | 1,31 | - | - | - | 0,4 | |||
5 | 60 | 3 | 0,40 | 0,46 | 0,51 | 0,48 | 0,64 | 0,86 | 1,00 | 1,19 | 143 | 147 | 1,71 | 0,7 | 230 | 43 |
6 | 5 | 0,41 | 0,48 | 0,54 | 0,60 | 0,67 | 0,93 | 1,10 | 1,30 | 1,47 | 1,72 | 1,89 | 0,7 | 200 | 38 | |
7 | 80 | 3 | 0,41 | 0,48 | 0,54 | 0,60 | 0,67 | 0,93 | 1,10 | 1,30 | 1,47 | 1,72 | 1,89 | 0,7 | 200 | 50 |
8 | 5 | 0,43 | 0,51 | 0,59 | 0,68 | 0,76 | 1,04 | 1,24 | 1,48 | 1,68 | 1,97 | 2,17 | 0,7 | 170 | 43 | |
9 | 100 | 3 | 0,52 | 0,60 | 0,68 | 0,76 | 0,85 | 1,13 | 1,33 | 1,62 | 1,74 | 2,11 | 2,30 | 0,7 | 170 | 53 |
10 | 5 | 0,56 | 0,65 | 0,74 | 0,84 | 0,93 | 1,26 | 140 | 1,83 | 2,07 | 249 | 2,64 | 0,7 | 140 | 44 | |
11 | 125 | 3 | 0,60 | 0,67 | 0,74 | 0,84 | 0,93 | 1,26 | 140 | 1,83 | 2,07 | 249 | 2,64 | 0,7 | 140 | 55 |
12 | 5 | 0,63 | 0,73 | 0,81 | 0,93 | 1,04 | 1,42 | 1,71 | 2,09 | 2,38 | 2,74 | 3,03 | 0,7 | 120 | 47 | |
Индекс | а | б | в | г | д | е | ж | з | и | к | л | |||||
НЕПОЛНОЕ ШТУЧНОЕ ВРЕМЯ РАСТАЧИВАНИЕ ОТВЕРСТИЙ, Rz80...Rz40, IT14...IT12 Чугун серый, HB 1,76...2,15 ГПа | Токарно-револьверные станки с вертикальной осью вращения головки | |||||||||||||
Резцы с пластинками ВК6 | ||||||||||||||
Карта 48 | Лист 2 | |||||||||||||
N позиции | d, мм, до | t, мм, до | l, мм, до | Режимы резания | ||||||||||
30 | 40 | 50 | 75 | 100 | 125 | 150 | 175 | 200 | S, мм/об. | n, об./мин. | v, м/мин. | |||
Время на рабочий ход, мин. | ||||||||||||||
13 | 150 | 3 | 0,81 | 0,93 | 1,04 | 1,41 | 1,71 | 2,09 | 2,38 | 2,75 | 3,04 | 0,7 | 110 | 52 |
14 | 5 | 0,86 | 1,00 | 1,13 | 1,56 | 1,79 | 2,30 | 2,64 | 3,06 | 3,38 | 0,7 | 109 | 47 | |
15 | 200 | 3 | 1,00 | 1,33 | 1,27 | 1,69 | 2,02 | 2,44 | 2,77 | 3,19 | 3,52 | 0,7 | 100 | 63 |
16 | 5 | 1,08 | 1,24 | 1,40 | 1,87 | 2,56 | 2,74 | 3,12 | 3,60 | 3,99 | 0,7 | 85 | 53 | |
17 | 250 | 3 | 1,08 | 1,24 | 1,40 | 1,87 | 2,26 | 2,74 | 3,12 | 3,60 | 3,99 | 0,7 | 85 | 67 |
18 | 5 | 1,20 | 1,39 | 1,58 | 2,13 | 2,60 | 3,16 | 3,63 | 4,18 | 4,65 | 0,7 | 70 | 55 | |
19 | 300 | 3 | 1,38 | 1,56 | 1,76 | 2,31 | 2,78 | 3,34 | 3,81 | 4,46 | 4,92 | 0,7 | 70 | 66 |
20 | 5 | 1,49 | 1,71 | 1,93 | 2,56 | 3,11 | 3,75 | 4,30 | 5,03 | 5,58 | 0,7 | 63 | 59 | |
21 | 400 | 3 | 1,67 | 1,89 | 2,11 | 2,74 | 3,29 | 3,93 | 4,48 | 5,21 | 5,76 | 0,7 | 63 | 79 |
22 | 5 | 1,80 | 2,02 | 2,28 | 2,99 | 3,62 | 4,33 | 4,96 | 5,76 | 6,38 | 0,7 | 55 | 69 | |
23 | 500 | 3 | 1,80 | 2,02 | 2,28 | 2,99 | 3,62 | 4,33 | 4,96 | 5,76 | 6,38 | 0,7 | 55 | 86 |
24 | 5 | 1,90 | 2,12 | 2,40 | 3,17 | 3,85 | 4,63 | 5,31 | 6,16 | 6,67 | 0,7 | 50 | 79 | |
Индекс | а | б | в | г | д | е | ж | з | и | |||||
РАСТАЧИВАНИЕ ОТВЕРСТИЙ Rz20, IT11 Чугун серый, HB 1,76...2,15 ГПа | Токарно-револьверные станки с вертикальной осью вращения головки | |||||||||||||||
Резцы с пластинками ВК6 | ||||||||||||||||
Карта 49 | ||||||||||||||||
N позиции | d, мм, до | t, мм, до | l, мм, до | Режимы резания | ||||||||||||
10 | 20 | 30 | 40 | 50 | 75 | 100 | 125 | 150 | 175 | 200 | S, мм/об. | n, об./мин. | v, м/мин. | |||
Время на рабочий ход, мин. | ||||||||||||||||
1 | 20 | 1,0 | 0,51 | 0,58 | 0,66 | 0,72 | 0,79 | 0,97 | - | - | - | - | - | 0,25 | 637 | 40 |
2 | 40 | 1,0 | 0,56 | 0,67 | 0,77 | 0,85 | 0,93 | 1,10 | 1,39 | 1,58 | - | - | - | 0,25 | 530 | 66 |
3 | 60 | 1,0 | 0,63 | 0,76 | 0,90 | 1,03 | 1,17 | 1,5 6 | 1,94 | 2,34 | 2,68 | 3,12 | 3,46 | 0,25 | 274 | 52 |
4 | 80 | 1,0 | 0,70 | 0,86 | 1,03 | 1,20 | 1,37 | 1,78 | 2,28 | 2,70 | 3,11 | 3,56 | 4,10 | 0,25 | 230 | 58 |
5 | 100 | 1,0 | 0,74 | 0,90 | 1,11 | 1,32 | 1,56 | 2,00 | 259 | 3,09 | 3,58 | 4,07 | 4,60 | 0,25 | 205 | 64 |
6 | 125 | 1,0 | 1,03 | 1,15 | 1,28 | 1,5 1 | 1,75 | 2,33 | 3,00 | 3,60 | 4,19 | 4,77 | 5,48 | 0,25 | 180 | 71 |
7 | 150 | 1,0 | 1,07 | 1,53 | 1,43 | 1,72 | 2,00 | 2,73 | 3,54 | 4,25 | 4,96 | 5,65 | 6,43 | 0,25 | 150 | 71 |
8 | 200 | 2,0 | 1,5 2 | 1,56 | 1,82 | 2,21 | 2,61 | 3,60 | 4,68 | 5,62 | 6,59 | 7,59 | 8,69 | 0,25 | 110 | 69 |
9 | 250 | 2,0 | 1,47 | 1,75 | 2,02 | 2,47 | 2,93 | 4,05 | 5,56 | 6,39 | 7,51 | 8,64 | 9,90 | 0,25 | 95 | 75 |
10 | 300 | 2,0 | 1,80 | 2,10 | 2,42 | 2,98 | 354 | 5,04 | 6,53 | 7,95 | 9,63 | 11,5 | 12,2 | 0,25 | 75 | 71 |
11 | 400 | 2,0 | 2,02 | 2,5 | 3,0 | 3,34 | 3,98 | 559 | 7,43 | 9,00 | 10,9 | 12,8 | 14,8 | 0,25 | 62 | 78 |
12 | 500 | 2,0 | 2,70 | 3,20 | 3,70 | 4,25 | 5,08 | 7,16 | 954 | 11,5 | 13,8 | 15,8 | 182 | 0,25 | 50 | 78 |
Индекс | а | б | в | г | д | е | ж | з | и | к | л | |||||
РАСТАЧИВАНИЕ ОТВЕРСТИЙ, Ra25, IT9...IT8 Чугун серый, HB 1,76...2,15 ГПа | Токарно-револьверные станки с вертикальной осью вращения головки | |||||||||||||||
Резцы с пластинками ВК6 | ||||||||||||||||
Карта 50 | ||||||||||||||||
N позиции | d, мм, до | t, мм, до | l, мм, до | Режимы резания | ||||||||||||
10 | 20 | 30 | 40 | 50 | 75 | 100 | 125 | 150 | 175 | 200 | S, мм/об. | n, об./мин. | v, м/мин. | |||
Время на рабочий ход, мин. | ||||||||||||||||
1 | 20 | 0,5 | 0,50 | 0,57 | 0,65 | 0,72 | 0,80 | 0,97 | - | - | - | - | - | 0,25 | 777 | 49 |
2 | 40 | 0,5 | 0,54 | 0,65 | 0,75 | 0,86 | 0,90 | 1,24 | 1,50 | 1,80 | - | - | - | 0,25 | 530 | 66 |
3 | 60 | 0,5 | 0,61 | 0,76 | 0,92 | 1,06 | 1,23 | 1,62 | 2,00 | 2,40 | 2,80 | 3,20 | 3,60 | 0,25 | 300 | 57 |
4 | 80 | 0,5 | 0,68 | 0,83 | 1,02 | 1,20 | 1,40 | 1,85 | 2,30 | 2,80 | 3,24 | 3,71 | 4,22 | 0,25 | 250 | 63 |
5 | 100 | 0,5 | 0,75 | 0,90 | 1,11 | 1,32 | 1,54 | 2,07 | 2,61 | 3,17 | 3,70 | 4,53 | 4,82 | 0,25 | 200 | 63 |
6 | 125 | 0,5 | 0,84 | 1,00 | 1,25 | 1,51 | 1,75 | 2,40 | 3,05 | 3,73 | 4,36 | 5,00 | 5,65 | 0,25 | 170 | 67 |
7 | 150 | 0,5 | 0,96 | 1,12 | 1,40 | 1,70 | 2,00 | 2,74 | 3,50 | 4,30 | 5,02 | 5,76 | 6,50 | 0,25 | 150 | 71 |
8 | 200 | 1,0 | 1,19 | 1,45 | 1,85 | 2,32 | 2,70 | 3,80 | 4,95 | 6,00 | 7,10 | 8,24 | 9,30 | 0,25 | 100 | 63 |
9 | 250 | 1,0 | 1,40 | 1,67 | 2,15 | 2,65 | 3,15 | 4,47 | 5,76 | 7,10 | 8,41 | 9,72 | 11,0 | 0,25 | 85 | 67 |
10 | 300 | 1,0 | 1,5 8 | 1,80 | 2,38 | 3,05 | 3,60 | 5,13 | 6,62 | 8,20 | 9,72 | 11,2 | 12,7 | 0,25 | 73 | 69 |
11 | 400 | 1,0 | 2,07 | 2,43 | 3,26 | 4,05 | 4,95 | 7,02 | 9,20 | 11,3 | 13,5 | 15,6 | 17,8 | 0,55 | 52 | 65 |
12 | 500 | 1,0 | 2,97 | 3,70 | 4,70 | 5,76 | 7,00 | 10,2 | 13,2 | 16,4 | 19,5 | 22,5 | 25,8 | 0,55 | 36 | 56 |
Индекс | а | б | в | г | д | е | ж | з | и | к | л | |||||
СВЕРЛЕНИЕ СКВОЗНЫХ ОТВЕРСТИЙ, Rz80, IT14...IT12 Чугун серый, HB 1,76...2,15 ГПа | Токарно-револьверные станки с вертикальной осью вращения головки | ||||||||||||||
Сверла спиральные из стали Р6М5 | |||||||||||||||
Карта 51 | |||||||||||||||
N позиции | d, мм, до | l, мм, до | Режимы резания | ||||||||||||
10 | 20 | 30 | 40 | 50 | 75 | 100 | 125 | 150 | 175 | 200 | S, мм/об. | n, об./мин. | v, м/мин. | ||
Время на рабочий ход, мин. | |||||||||||||||
1 | 6 | 0,32 | 0,39 | 0,45 | 0,50 | 0,56 | - | - | - | - | - | - | 0,25 | 880 | 2017 |
2 | 8 | 0,34 | 0,40 | 0,48 | 0,52 | 0,62 | 0,77 | - | - | - | - | - | 0,25 | 700 | 2718 |
3 | 10 | 0,36 | 0,42 | 0,50 | 0,56 | 0,68 | 0,81 | 0,99 | - | - | - | - | 0,35 | 500 | 2416 |
4 | 12 | 0,39 | 0,45 | 0,52 | 0,60 | 0,73 | 0,86 | 1,08 | 1,30 | - | - | - | 0,35 | 400 | 2015 |
5 | 16 | 0,41 | 0,49 | 0,57 | 0,65 | 0,72 | 0,90 | 1,23 | 7,44 | - | - | - | 0,40 | 300 | 1915 |
6 | 20 | 0,45 | 0,54 | 0,61 | 0,72 | 0,78 | 0,99 | 1,30 | 1,52 | 1,80 | - | - | 0,40 | 270 | 2417 |
7 | 25 | 0,50 | 0,59 | 0,68 | 0,78 | 0,87 | 1,13 | 1,47 | 1,71 | 2,05 | 2,30 | - | 0,40 | 240 | 2119 |
8 | 30 | 0,58 | 0,68 | 0,77 | 0,87 | 0,99 | 1,26 | 1,58 | 1,84 | 2,16 | 2,52 | 2,88 | 0,50 | 200 | 1819 |
9 | 40 | 0,64 | 0,79 | 0,94 | 1,08 | 1,35 | 1,71 | 2,07 | 2,43 | 2,83 | 3,20 | 3,60 | 0,50 | 150 | 2219 |
10 | 50 | 0,76 | 1,08 | 1,30 | 1,48 | 1,71 | 2,25 | 2,79 | 3,33 | 3,82 | 4,41 | 4,95 | 0,50 | 100 | 2116 |
11 | 60 | 1,17 | 1,49 | 1,80 | 2,07 | 2,38 | 3,10 | 3,92 | 4,64 | 5,40 | 6,16 | 6,93 | 0,50 | 70 | 1813 |
Индекс | а | б | в | г | д | е | ж | з | и | к | л | ||||
РАССВЕРЛИВАНИЕ СКВОЗНЫХ ОТВЕРСТИЙ, Rz80, IT14...IT12 Чугун серый, HB 1,76...2,15 ГПа | Токарно-револьверные станки с вертикальной осью вращения головки | |||||||||||||
Сверла спиральные из стали Р6М5 | ||||||||||||||
Карта 52 | ||||||||||||||
N позиции | d, мм, до | t, мм, до | l, мм, до | Режимы резания | ||||||||||
30 | 40 | 50 | 75 | 100 | 125 | 150 | 175 | 200 | S, мм/об. | n, об./мин. | v, м/мин. | |||
Время на рабочий ход, мин. | ||||||||||||||
1 | 30 | 20 | 0,43 | 0,47 | 0,50 | 0,61 | 0,71 | 0,81 | 0,91 | - | - | 1,80 | 150 | 26 |
2 | 40 | 20 | 0,52 | 0,57 | 0,62 | 0,78 | 0,92 | 1,06 | 1,20 | - | - | 1,80 | 105 | 24 |
3 | 30 | 0,50 | 0,35 | 0,61 | 0,76 | 0,90 | 1,05 | 1,19 | 1,34 | 130 | 1,80 | |||
4 | 50 | 30 | 0,66 | 0,76 | 0,35 | 1,12 | 1,37 | 1,62 | 1,89 | 2,13 | 2,39 | 1,80 | 85 | 16 |
5 | 40 | 0,57 | 0,66 | 0,76 | 0,96 | 1,17 | 1,38 | 1,60 | 1,81 | 2,00 | 1,80 | 75 | 15 | |
6 | 60 | 30 | 0,72 | 0,81 | 0,90 | 1,16 | 1,42 | 1,67 | 1,93 | 2,18 | 2,45 | 1,80 | 70 | 19 |
7 | 40 | 0,58 | 0,68 | 0,78 | 1,00 | 1,20 | 1,41 | 1,62 | 1,83 | 2,05 | 2,00 | 65 | 18 | |
8 | 80 | 40 | 0,90 | 1,03 | 1,23 | 1,60 | 1,97 | 2,34 | 2,72 | 3,10 | 3,47 | 2,00 | 40 | 18 |
Индекс | а | б | в | г | д | е | ж | з | и | |||||
ЗЕНКЕРОВАНИЕ ЦИЛИНДРИЧЕСКИХ ОТВЕРСТИЙ, Rz40...Rz20, IT14...IT11 Чугун серый, HB 1,76...2,15 ГПа | Токарно-револьверные станки с вертикальной осью вращения головки | ||||||||||||||
Зенкеры с пластинками ВК8 | |||||||||||||||
Карта 53 | |||||||||||||||
N позиции | d, мм, до | t, мм, до | l, мм, до | Режимы резания | |||||||||||
20 | 30 | 40 | 50 | 75 | 100 | 125 | 150 | 175 | 200 | S, мм/об. | n, об./мин. | v, м/мин. | |||
Время на рабочий ход, мин. | |||||||||||||||
1 | 15 | 0,5 | 0,32 | 0,34 | 0,35 | 0,36 | 0,41 | 0,46 | 0,51 | - | - | - | 0,5 | 1500 | 71 |
2 | 20 | 0,5 | 0,31 | 0,32 | 0,33 | 0,34 | 0,37 | 0,39 | 0,42 | 0,46 | - | - | 0,7 | 1500 | 94 |
3 | 30 | 0,75 | 0,33 | 0,34 | 0,35 | 0,36 | 0,41 | 0,44 | 0,47 | 0,50 | 0,55 | 0,60 | 0,7 | 1080 | 102 |
4 | 40 | 1,0 | 0,34 | 0,36 | 0,38 | 0,40 | 0,46 | 0,50 | 0,56 | 0,60 | 0,67 | 0,75 | 1,0 | 580 | 73 |
5 | 50 | 1,25 | 0,36 | 0,39 | 0,42 | 0,45 | 0,52 | 0,60 | 0,66 | 0,73 | 0,80 | 0,88 | 1,0 | 385 | 60 |
6 | 60 | 1,5 | 0,39 | 0,43 | 0,47 | 0,51 | 0,60 | 0,70 | 0,80 | 0,90 | 1,00 | 1,10 | 1,2 | 233 | 44 |
7 | 80 | 1,5 | 0,42 | 0,47 | 0,52 | 0,57 | 0,70 | 0,82 | 0,92 | 1,07 | 1,20 | 1,32 | 1,4 | 157 | 39 |
Индекс | а | б | в | г | д | е | ж | з | и | к | |||||
ЗЕНКЕРОВАНИЕ ЦИЛИНДРИЧЕСКИХ ОТВЕРСТИЙ, Rz40...Rz20, IT14...IT11 Чугун серый, HB 1,76...2,15 ГПа | Токарно-револьверные станки с вертикальной осью вращения головки | ||||||||||||||
Зенкеры из стали Р6М5 | |||||||||||||||
Карта 54 | |||||||||||||||
N позиции | d, мм, до | t, мм, до | l, мм, до | Режимы резания | |||||||||||
20 | 30 | 40 | 50 | 75 | 100 | 125 | 150 | 175 | 200 | S, мм/об. | n, об./мин. | v, м/мин. | |||
Время на рабочий ход, мин. | |||||||||||||||
1 | 10 | 0,5 | 0,33 | 0,35 | 0,37 | 0,39 | 0,44 | 0,49 | - | - | - | - | 0,7 | 777 | 24 |
2 | 15 | 0,5 | 0,36 | 0,38 | 0,41 | 0,44 | 0,52 | 0,59 | 0,67 | - | - | - | 0,7 | 530 | 25 |
3 | 20 | 0,5 | 0,37 | 0,40 | 0,43 | 0,47 | 0,56 | 0,64 | 0,72 | 0,80 | - | - | 1,0 | 317 | 20 |
4 | 30 | 0,75 | 0,39 | 0,43 | 0,46 | 0,50 | 0,60 | 0,70 | 0,80 | 0,90 | 1,00 | 1,10 | 1,0 | 274 | 26 |
5 | 40 | 1,0 | 0,41 | 0,44 | 0,48 | 0,53 | 0,64 | 0,74 | 0,85 | 0,96 | 1,06 | 1,17 | 1,35 | 188 | 24 |
6 | 50 | 1,25 | 0,43 | 0,49 | 0,55 | 0,60 | 0,74 | 0,90 | 1,04 | 1,18 | 1,33 | 1,47 | 1,40 | 136 | 21 |
7 | 60 | 1,5 | 0,47 | 0,53 | 0,60 | 0,68 | 0,87 | 1,00 | 1,15 | 1,30 | 1,50 | 1,70 | 2,00 | 83 | 16 |
8 | 80 | 2,0 | 0,51 | 0,60 | 0,68 | 0,77 | 0,97 | 1,18 | 1,38 | 1,60 | 1,80 | 2,00 | 2,0 | 66 | 16 |
Индекс | а | б | в | г | д | е | ж | з | и | к | |||||
РАЗВЕРТЫВАНИЕ ОТВЕРСТИЙ, Rz20...Ra2,5, IT11...IT9 Чугун серый, HB 1,76...2,15 ГПа | Токарно-револьверные станки с вертикальной осью вращения головки | ||||||||||||||
Развертки с пластинками ВК8 | |||||||||||||||
Карта 55 | |||||||||||||||
N позиции | d, мм, до | t, мм, до | l, мм, до | Режимы резания | |||||||||||
20 | 30 | 40 | 50 | 75 | 100 | 125 | 150 | 175 | 200 | S, мм/об. | n, об./мин. | v, м/мин. | |||
Время на рабочий ход, мин. | |||||||||||||||
1 | 15 | 0,06 | 0,25 | 0,27 | 0,28 | 0,30 | 0,33 | - | - | - | - | - | 1,4 | 530 | 25 |
2 | 20 | 0,07 | 0,28 | 0,30 | 0,32 | 0,34 | 0,40 | 0,45 | 0,50 | - | - | - | 1,4 | 385 | 24 |
3 | 30 | 0,07 | 0,34 | 0,37 | 0,40 | 0,43 | 0,50 | 0,57 | 0,64 | 0,72 | 0,80 | 0,90 | 2,0 | 188 | 18 |
4 | 40 | 0,09 | 0,46 | 0,50 | 0,54 | 0,58 | 0,68 | 0,78 | 0,88 | 0,98 | 1,08 | 1,18 | 2,0 | 136 | 17 |
5 | 50 | 0,09 | 0,56 | 0,61 | 0,67 | 0,73 | 0,87 | 1,00 | 1,15 | 1,29 | 1,43 | 1,58 | 2,0 | 96 | 15 |
6 | 60 | 0,10 | 0,61 | 0,68 | 0,74 | 0,81 | 0,97 | 1,13 | 1,30 | 1,46 | 1,62 | 1,75 | 1,0 | 83 | 16 |
7 | 80 | 0,10 | - | 0,84 | 0,93 | 1,01 | 1,21 | 1,42 | 1,63 | 1,83 | 2,04 | 2,24 | 2,0 | 66 | 16 |
Индекс | а | б | в | г | д | е | ж | з | и | к | |||||
РАЗВЕРТЫВАНИЕ ОТВЕРСТИЙ, Ra1,25...Ra0,63, IT9...IT7 Чугун серый, HB 1,76...2,15 ГПа | Токарно-револьверные станки с вертикальной осью вращения головки | ||||||||||||||
Развертки из стали ВК6 | |||||||||||||||
Карта 56 | |||||||||||||||
N позиции | d, мм, до | t, мм, до | l, мм, до | Режимы резания | |||||||||||
20 | 30 | 40 | 50 | 75 | 100 | 125 | 150 | 175 | 200 | S, мм/об. | n, об./мин. | v, м/мин. | |||
Время на рабочий ход, мин. | |||||||||||||||
1 | 15 | 0,02 | 0,37 | 0,38 | 0,40 | 0,43 | 0,50 | 0,57 | - | - | - | - | 1,1 | 680 | 32 |
2 | 20 | 0,03 | 0,39 | 0,41 | 0,45 | 0,47 | 0,55 | 0,60 | 0,72 | - | - | - | 1,2 | 460 | 29 |
3 | 30 | 0,03 | 0,46 | 0,49 | 0,53 | 0,55 | 0,65 | 0,73 | 0,86 | 0,93 | 1,00 | 1,10 | 1,4 | 255 | 24 |
4 | 40 | 0,035 | 0,60 | 0,66 | 0,73 | 0,78 | 0,93 | 1,05 | 1,26 | 1,35 | 1,45 | 1,55 | 1,6 | 168 | 21 |
5 | 50 | 0,035 | 0,75 | 0,80 | 0,86 | 0,90 | 1,14 | 1,30 | 1,50 | 1,70 | 1,85 | 2,00 | 1,7 | 121 | 19 |
6 | 60 | 0,05 | 0,84 | 0,93 | 1,00 | 1,08 | 1,31 | 1,50 | 1,77 | 1,96 | 2,15 | 2,30 | 2,0 | 91 | 17 |
7 | 80 | 0,05 | 0,90 | 1,05 | 1,15 | 1,32 | 1,60 | 1,82 | 2,13 | 2,35 | 2,60 | 2,85 | 2,2 | 77 | 17 |
Индекс | а | б | в | г | д | е | ж | з | и | к | |||||
РАЗВЕРТЫВАНИЕ ОТВЕРСТИЙ, Rz20...Ra2,5, IT11...IT9 Чугун серый, HB 1,76...2,15 ГПа | Токарно-револьверные станки с вертикальной осью вращения головки | ||||||||||||||
Развертки из стали Р6М5 | |||||||||||||||
Карта 57 | |||||||||||||||
N позиции | d, мм, до | t, мм, до | l, мм, до | Режимы резания | |||||||||||
20 | 30 | 40 | 50 | 75 | 100 | 125 | 150 | 175 | 200 | S, мм/об. | n, об./мин. | v, м/мин. | |||
Время на рабочий ход, мин. | |||||||||||||||
1 | 15 | 0,06 | 0,36 | 0,40 | 0,44 | 0,48 | 0,58 | - | - | - | - | - | 1,4 | 188 | 9 |
2 | 20 | 0,07 | 0,44 | 0,50 | 0,55 | 0,60 | 0,75 | 0,90 | 1,05 | - | - | - | 1,4 | 136 | 8 |
3 | 30 | 0,07 | 0,55 | 0,64 | 0,71 | 0,80 | 1,00 | 1,20 | 1,46 | 1,60 | 1,82 | 2,05 | 1,4 | 96 | 9 |
4 | 40 | 0,09 | 0,63 | 0,75 | 0,89 | 1,00 | 1,29 | 1,58 | 1,86 | 2,15 | 2,42 | 2,73 | 2,0 | 48 | 6 |
5 | 50 | 0,09 | 0,70 | 0,82 | 1,00 | 1,15 | 1,45 | 1,80 | 2,15 | 2,50 | 2,80 | 3,15 | 2,0 | 41 | 6 |
6 | 60 | 0,10 | 0,78 | 0,90 | 1,10 | 1,25 | 1,55 | 1,90 | 2,25 | 2,65 | 2,95 | 3,30 | 2,7 | 29 | 5 |
7 | 80 | 0,10 | 0,90 | 1,05 | 1,25 | 1,45 | 1,90 | 2,40 | 2,90 | 3,40 | 3,90 | 4,30 | 2,7 | 20 | 5 |
Индекс | а | б | в | г | д | е | ж | з | и | к | |||||
РАЗВЕРТЫВАНИЕ ОТВЕРСТИЙ, Ra1,25...Ra0,63, IT9...IT7 Чугун серый, HB 1,76...2,15 ГПа | Токарно-револьверные станки с вертикальной осью вращения головки | ||||||||||||||
Развертки из стали Р6М5 | |||||||||||||||
Карта 58 | |||||||||||||||
N позиции | d, мм, до | t, мм, до | l, мм, до | Режимы резания | |||||||||||
20 | 30 | 40 | 50 | 75 | 100 | 125 | 150 | 175 | 200 | S, мм/об. | n, об./мин. | v, м/мин. | |||
Время на рабочий ход, мин. | |||||||||||||||
1 | 15 | 0,02 | 0,44 | 0,47 | 0,51 | 0,54 | 0,67 | - | - | - | - | - | 1,0 | 317 | 15 |
2 | 20 | 0,03 | 0,54 | 0,60 | 0,65 | 0,70 | 0,85 | 1,06 | 1,20 | - | - | - | 1,0 | 188 | 12 |
3 | 30 | 0,03 | 0,72 | 0,80 | 0,90 | 1,00 | 1,20 | 1,40 | 1,62 | 1,82 | 2,03 | 2,25 | 1,35 | 96 | 9 |
4 | 40 | 0,035 | 0,81 | 0,93 | 1,05 | 1,20 | 1,58 | 1,95 | 2,30 | 2,60 | 2,90 | 3,20 | 1,4 | 66 | 8 |
5 | 50 | 0,045 | 0,95 | 1,05 | 1,15 | 1,30 | 1,70 | 2,05 | 2,40 | 2,80 | 3,10 | 3,40 | 1,68 | 55 | 9 |
6 | 60 | 0,05 | 0,94 | 1,08 | 1,21 | 1,41 | 1,90 | 2,20 | 2,60 | 3,00 | 3,40 | 3,80 | 2,0 | 41 | 8 |
7 | 80 | 0,05 | 1,13 | 1,35 | 1,60 | 1,80 | 2,26 | 2,70 | 3,10 | 3,60 | 4,00 | 4,50 | 2,0 | 34 | 8 |
Индекс | а | б | в | г | д | е | ж | з | и | к | |||||
НАРЕЗАНИЕ НАРУЖНОЙ МЕТРИЧЕСКОЙ РЕЗЬБЫ Чугун серый, HB 1,76...2,15 ГПа | Токарно-револьверные станки с вертикальной осью вращения головки | |||||||||
Плашки круглые из стали 9ХС | ||||||||||
Карта 59 | Лист 1 | |||||||||
N позиции | D, мм, до | P, мм, до | l, мм, до | Режимы резания | ||||||
10 | 20 | 30 | 40 | 50 | 75 | n, об./мин. | v, м/мин. | |||
Время на поверхность, мин. | ||||||||||
1 | 6 | 0,50 | 0,49 | 0,61 | 0,72 | - | - | - | 385 | 7 |
2 | 0,75 | 0,46 | 0,54 | 0,61 | - | - | - | |||
3 | 1,00 | 0,44 | 0,49 | 0,56 | - | - | - | |||
4 | 8 | 0,50 | 0,49 | 0,61 | 0,72 | 0,84 | - | - | 385 | 10 |
5 | 0,75 | 0,46 | 0,54 | 0,61 | 0,69 | - | - | |||
6 | 1,00 | 0,44 | 0,49 | 0,56 | 0,61 | 0,67 | - | |||
7 | 1,25 | 0,43 | 0,47 | 0,52 | 0,57 | 0,62 | - | |||
8 | 10 | 0,50 | 0,55 | 0,71 | 0,87 | 1,03 | 1,18 | - | 274 | 9 |
9 | 0,75 | 0,49 | 0,60 | 0,71 | 0,81 | 0,92 | - | |||
10 | 1,00 | 0,47 | 0,55 | 0,67 | 0,71 | 0,79 | - | |||
11 | 1,25 | 0,45 | 0,52 | 0,61 | 0,65 | 0,71 | - | |||
12 | 1,50 | 0,44 | 0,49 | 0,54 | 0,60 | 0,66 | - | |||
13 | 12 | 0,50 | 0,55 | 0,71 | 0,87 | 1,03 | 1,18 | - | 274 | 10 |
14 | 0,75 | 0,49 | 0,60 | 0,71 | 0,81 | 0,92 | - | |||
15 | 1,00 | 0,47 | 0,55 | 0,62 | 0,71 | 0,79 | - | |||
16 | 1,25 | 0,45 | 0,52 | 0,58 | 0,65 | 0,71 | - | |||
17 | 1,50 | 0,44 | 0,49 | 0,55 | 0,60 | 0,66 | - | |||
18 | 1,75 | 0,43 | 0,48 | 0,53 | 0,57 | 0,61 | - | |||
19 | 16 | 0,50 | 0,62 | 0,87 | 1,10 | 1,32 | 1,55 | 2,15 | 198 | 9 |
20 | 0,75 | 0,55 | 0,71 | 0,87 | 1,02 | 1,17 | 1,55 | |||
21 | 1,00 | 0,52 | 0,62 | 0,74 | 0,87 | 0,97 | 1,27 | |||
22 | 1,50 | 0,47 | 0,55 | 0,62 | 0,70 | 0,79 | 0,97 | |||
23 | 2,00 | 0,45 | 0,52 | 0,57 | 0,62 | 0,69 | 0,83 | |||
Индекс | а | б | в | г | д | е | ||||
НЕПОЛНОЕ ШТУЧНОЕ ВРЕМЯ НАРЕЗАНИЕ НАРУЖНОЙ МЕТРИЧЕСКОЙ РЕЗЬБЫ Чугун серый, HB 1,76...2,15 ГПа | Токарно-револьверные станки с вертикальной осью вращения головки | |||||||||
Плашки круглые из стали 9ХС | ||||||||||
Карта 59 | Лист 2 | |||||||||
N позиции | D, мм, до | P, мм, до | l, мм, до | Режимы резания | ||||||
10 | 20 | 30 | 40 | 50 | 75 | n, об./мин. | v, м/мин. | |||
Время на поверхность, мин. | ||||||||||
24 | 20 | 0,50 | 0,72 | 1,05 | 1,37 | 1,70 | 2,02 | 2,73 | 136 | 8 |
25 | 0,75 | 0,62 | 0,83 | 1,05 | 1,26 | 1,47 | 2,02 | |||
26 | 1,00 | 0,57 | 0,72 | 0,89 | 1,05 | 1,22 | 1,61 | |||
27 | 1,50 | 0,52 | 0,61 | 0,72 | 0,83 | 0,94 | 1,20 | |||
28 | 2,00 | 0,48 | 0,57 | 0,65 | 0,72 | 0,81 | 1,06 | |||
29 | 2,50 | 0,47 | 0,54 | 0,60 | 0,66 | 0,72 | 0,89 | |||
30 | 24 | 0,75 | 0,62 | 0,83 | 1,05 | 1,26 | 1,47 | 2,02 | 136 | 10 |
31 | 1,00 | 0,57 | 0,72 | 0,89 | 1,05 | 1,22 | 1,61 | |||
32 | 1,50 | 0,52 | 0,61 | 0,72 | 0,83 | 0,94 | 1,20 | |||
33 | 2,00 | 0,48 | 0,57 | 0,65 | 0,72 | 0,81 | 1,00 | |||
34 | 3,00 | 0,46 | 0,52 | 0,57 | 0,61 | 0,67 | 0,81 | |||
35 | 30 | 0,75 | 0,72 | 1,02 | 1,32 | 1,62 | 1,93 | 2,69 | 96 | 9 |
36 | 1,00 | 0,65 | 0,88 | 1,10 | 1,32 | 1,55 | 2,12 | |||
37 | 1,50 | 0,57 | 0,72 | 0,88 | 1,02 | 1,17 | 1,55 | |||
38 | 2,00 | 0,53 | 0,65 | 0,75 | 0,88 | 0,99 | 1,27 | |||
39 | 3,00 | 0,49 | 0,57 | 0,65 | 0,72 | 0,86 | 0,99 | |||
40 | 3,50 | 0,48 | 0,55 | 0,61 | 0,68 | 0,75 | 0,90 | |||
41 | 36 | 1,00 | 0,65 | 0,88 | 1,10 | 1,32 | 1,55 | 2,12 | 96 | 11 |
42 | 1,50 | 0,57 | 0,72 | 0,88 | 1,02 | 1,17 | 1,55 | |||
43 | 2,00 | 0,53 | 0,65 | 0,75 | 0,88 | 1,00 | 1,27 | |||
44 | 3,00 | 0,49 | 0,57 | 0,65 | 0,72 | 0,80 | 1,00 | |||
45 | 4,00 | 0,47 | 0,53 | 0,60 | 0,65 | 0,70 | 0,84 | |||
Индекс | а | б | в | г | д | е | ||||
НАРЕЗАНИЕ ВНУТРЕННЕЙ МЕТРИЧЕСКОЙ РЕЗЬБЫ Чугун серый, HB 1,76...2,15 ГПа | Токарно-револьверные станки с вертикальной осью вращения головки | ||||||||
Метчики машинные из стали Р6М5 | |||||||||
Карта 60 | Лист 1 | ||||||||
N позиции | d, мм, до | P, мм, до | l, мм, до | Режимы резания | |||||
10 | 20 | 30 | 40 | 50 | n, об./мин. | v, м/мин. | |||
Время на поверхность, мин. | |||||||||
1 | 6 | 0,50 | 0,66 | 0,81 | - | - | - | 274 | 5 |
2 | 0,75 | 0,59 | 0,70 | - | - | - | |||
3 | 1,00 | 0,57 | 0,66 | - | - | - | |||
4 | 8 | 0,50 | 0,72 | 0,96 | 1,18 | - | - | 198 | 5 |
5 | 0,75 | 0,55 | 0,81 | 0,96 | - | - | |||
6 | 1,00 | 0,62 | 0,72 | 0,85 | - | - | |||
7 | 1,25 | 0,59 | 0,68 | 0,77 | - | - | |||
8 | 10 | 0,50 | 0,85 | 1,18 | 1,49 | - | - | 136 | 4 |
9 | 0,75 | 0,74 | 0,96 | 1,18 | - | - | |||
10 | 1,00 | 0,70 | 0,85 | 1,00 | - | - | |||
11 | 1,25 | 0,66 | 0,79 | 0,92 | - | - | |||
12 | 1,50 | 0,64 | 0,74 | 0,85 | - | - | |||
13 | 12 | 0,50 | 0,96 | 1,18 | 1,49 | 1,82 | - | 136 | 5 |
14 | 0,75 | 0,74 | 0,96 | 1,18 | 1,38 | - | |||
15 | 1,00 | 0,70 | 0,85 | 1,00 | 1,18 | - | |||
16 | 1,25 | 0,66 | 0,80 | 0,92 | 1,05 | - | |||
17 | 1,50 | 0,64 | 0,74 | 0,85 | 0,96 | - | |||
18 | 1,75 | 0,62 | 0,72 | 0,81 | 0,90 | - | |||
19 | 16 | 0,50 | 1,0 | 1,51 | 1,97 | 2,43 | 2,92 | 96 | 5 |
20 | 0,75 | 0,90 | 1,20 | 1,51 | 1,82 | 2,13 | |||
21 | 1,00 | 0,81 | 1,05 | 1,27 | 1,51 | 1,75 | |||
22 | 1,50 | 0,72 | 0,88 | 1,05 | 1,20 | 1,36 | |||
23 | 2,00 | 0,76 | 0,81 | 0,92 | 1,05 | 1,16 | |||
Индекс | а | б | в | г | д | ||||
НЕПОЛНОЕ ШТУЧНОЕ ВРЕМЯ НАРЕЗАНИЕ ВНУТРЕННЕЙ МЕТРИЧЕСКОЙ РЕЗЬБЫ Чугун серый, HB 1,76...2,15 ГПа | Токарно-револьверные станки с вертикальной осью вращения головки | |||||||||
Метчики машинные из стали Р6М5 | ||||||||||
Карта 60 | Лист 2 | |||||||||
N позиции | d, мм, до | P, мм, до | l, мм, до | Режимы резания | ||||||
10 | 20 | 30 | 40 | 50 | 75 | n, об./мин. | v, м/мин. | |||
Время на поверхность, мин. | ||||||||||
24 | 20 | 0,50 | 1,18 | 1,61 | 2,03 | 2,50 | 3,12 | - | 96 | 6 |
25 | 0,75 | 1,08 | 1,28 | 1,66 | 1,92 | 2,43 | - | |||
26 | 1,00 | 0,95 | 1,12 | 1,36 | 1,61 | 1,96 | - | |||
27 | 1,50 | 0,82 | 0,90 | 1,15 | 1,28 | 1,48 | - | |||
28 | 2,00 | 0,78 | 0,82 | 0,98 | 1,09 | 1,20 | - | |||
29 | 2,50 | 0,38 | 0,77 | 0,85 | 0,94 | 1,05 | - | |||
30 | 24 | 0,75 | 1,44 | 2,06 | 2,67 | 3,30 | 3,90 | 5,48 | 96 | 7 |
31 | 1,00 | 1,27 | 1,75 | 2,19 | 2,67 | 3,16 | 4,30 | |||
32 | 1,50 | 1,10 | 1,40 | 1,75 | 2,06 | 2,37 | 3,16 | |||
33 | 2,00 | 1,05 | 1,27 | 1,49 | 1,75 | 1,97 | 2,54 | |||
34 | 3,00 | 0,96 | 1,10 | 1,27 | 1,44 | 1,60 | 1,95 | |||
35 | 30 | 0,75 | 1,75 | 2,63 | 3,50 | 4,35 | 5,22 | 7,36 | 66 | 6 |
36 | 1,00 | 1,55 | 2,20 | 2,85 | 3,45 | 4,14 | 5,20 | |||
37 | 1,50 | 1,34 | 1,77 | 2,20 | 2,63 | 3,06 | 4,14 | |||
38 | 2,00 | 1,23 | 1,53 | 1,89 | 2,20 | 2,54 | 3,33 | |||
39 | 3,50 | 1,10 | 1,27 | 1,45 | 1,67 | 1,84 | 2,28 | |||
40 | 36 | 1,00 | 1,55 | 2,20 | 2,85 | 3,50 | 4,10 | 5,20 | 66 | 7 |
41 | 1,50 | 1,34 | 1,75 | 2,20 | 2,60 | 3,05 | 4,10 | |||
42 | 2,00 | 1,23 | 13 | 1,89 | 2,20 | 2,54 | 3,33 | |||
43 | 3,00 | 1,14 | 1,35 | 1,53 | 1,75 | 1,95 | 2,54 | |||
44 | 4,00 | 1,05 | 1,23 | 1,40 | 1,53 | 1,70 | 2,10 | |||
Индекс | а | б | в | г | д | е | ||||
ТОЧЕНИЕ НАРУЖНЫХ КАНАВОК, Rz80, IT14...IT12 Чугун серый, HB 1,76...2,15 ГПа | Токарно-револьверные станки с вертикальной осью вращения головки | |||||||||
Резцы с пластинками ВК6 | ||||||||||
Карта 61 | ||||||||||
N позиции | D, мм, до | B, мм, до | h, мм, до | Режимы резания | ||||||
2 | 5 | 10 | 15 | 20 | Число рабочих ходов i | n, об./мин. | v, м/мин. | |||
Время на поверхность, мин. | ||||||||||
1 | 20 | 10 | 0,21 | 0,23 | - | - | - | 1 | 1080 | 68 |
2 | 60 | 10 | 0,24 | 0,27 | 0,33 | - | - | 1 | 500 | 94 |
3 | 80 | 10 | 0,26 | 0,31 | 0,40 | 0,46 | 0,56 | 1 | 370 | 93 |
4 | 100 | 10 | 0,28 | 0,34 | 0,48 | 0,54 | 0,71 | 1 | 300 | 94 |
5 | 20 | 0,43 | 0,54 | 0,81 | 1,03 | 1,26 | 2 | |||
6 | 150 | 10 | 0,33 | 0,42 | 0,61 | 0,75 | 0,94 | 1 | 188 | 88 |
7 | 20 | 0,51 | 0,69 | 1,06 | 1,36 | 1,74 | 2 | |||
8 | 200 | 10 | 0,37 | 0,50 | 0,75 | 0,97 | 1,23 | 1 | 136 | 85 |
9 | 20 | 0,59 | 0,84 | 1,36 | 1,80 | 2,32 | 2 | |||
10 | 400 | 10 | 0,48 | 0,68 | 1,06 | 1,39 | 1,78 | 1 | 68 | 85 |
11 | 20 | 0,80 | 1,19 | 1,95 | 2,62 | 3,41 | 2 | |||
12 | 600 | 10 | 0,59 | 0,87 | 1,41 | 1,87 | 2,43 | 1 | 44 | 83 |
13 | 20 | 1,02 | 1,57 | 2,66 | 3,60 | 4,70 | 2 | |||
Индекс | а | б | в | г | д | |||||
ТОЧЕНИЕ КАНАВОК В ОТВЕРСТИЯХ Rz80, IT14...IT12 Чугун серый, HB 1,76...2,15 ГПа | Токарно-револьверные станки с вертикальной осью вращения головки | |||||||
Резцы с пластинками ВК6 | ||||||||
Карта 62 | Лист 1 | |||||||
N позиции | d, мм, до | B, мм, до | Вылет резца l, мм, до | h, мм, до | Режимы резания | |||
2 | 5 | 10 | n, об./мин. | v, м/мин. | ||||
Время на поверхность, мин. | ||||||||
1 | 20 | 3 | 75 | 0,43 | 0,45 | - | 1080 | 68 |
2 | 5 | 75 | 0,44 | 0,46 | - | 1080 | 68 | |
3 | 40 | 3 | 75 | 0,42 | 0,44 | 0,47 | 442 | 56 |
4 | 5 | 125 | 0,43 | 0,45 | 0,49 | 530 | 66 | |
5 | 10 | 75 | 0,50 | 0,53 | 0,58 | 442 | 55 | |
6 | 125 | 0,52 | 0,55 | 0,64 | 530 | 66 | ||
7 | 60 | 5 | 125 | 0,43 | 0,45 | 0,48 | 274 | 52 |
8 | 200 | 0,44 | 0,46 | 0,51 | 385 | 72 | ||
9 | 10 | 125 | 0,51 | 0,54 | 0,61 | 274 | 52 | |
10 | 200 | 0,53 | 0,58 | 0,68 | 385 | 72 | ||
11 | 80 | 5 | 125 | 0,44 | 0,46 | 0,52 | 226 | 57 |
12 | 200 | 0,45 | 0,49 | 0,56 | 274 | 69 | ||
13 | 10 | 125 | 0,53 | 0,58 | 0,68 | 226 | 57 | |
14 | 200 | 0,55 | 0,62 | 0,77 | 274 | 69 | ||
15 | 100 | 5 | 125 | 0,45 | 0,48 | 0,54 | 176 | 55 |
16 | 200 | 0,46 | 0,50 | 0,60 | 226 | 71 | ||
17 | 10 | 125 | 0,54 | 0,60 | 0,72 | 176 | 55 | |
18 | 200 | 0,57 | 0,66 | 0,83 | 223 | 70 | ||
19 | 125 | 5 | 125 | 0,46 | 0,51 | 0,60 | 136 | 53 |
20 | 200 | 0,48 | 0,55 | 0,67 | 157 | 62 | ||
21 | 10 | 125 | 0,58 | 0,67 | 0,85 | 136 | 53 | |
22 | 200 | 0,61 | 0,74 | 0,99 | 157 | 62 | ||
Индекс | а | б | в | |||||
НЕПОЛНОЕ ШТУЧНОЕ ВРЕМЯ ТОЧЕНИЕ КАНАВОК В ОТВЕРСТИЯХ, Rz80, IT14...IT12 Чугун серый, HB 1,76...2,15 ГПа | Токарно-револьверные станки с вертикальной осью вращения головки | |||||||
Резцы с пластинками ВК6 | ||||||||
Карта 62 | Лист 2 | |||||||
N позиции | d, мм, до | B, мм, до | Вылет резца l, мм, до | h, мм, до | Режимы резания | |||
2 | 5 | 10 | n, об./мин. | v, м/мин. | ||||
Время на поверхность, мин. | ||||||||
23 | 150 | 5 | 125 | 0,46 | 0,51 | 0,59 | 117 | 55 |
24 | 200 | 0,49 | 0,55 | 0,78 | 136 | 64 | ||
25 | 10 | 125 | 0,57 | 0,66 | 0,83 | 117 | 55 | |
26 | 200 | 0,62 | 0,74 | 1,00 | 136 | 64 | ||
27 | 200 | 5 | 125 | 0,49 | 0,55 | 0,67 | 83 | 52 |
28 | 200 | 0,52 | 0,60 | 0,78 | 96 | 60 | ||
29 | 10 | 125 | 0,62 | 0,74 | 1,00 | 83 | 52 | |
30 | 200 | 0,68 | 0,85 | 1,20 | 96 | 60 | ||
31 | 300 | 5 | 125 | 0,53 | 0,61 | 0,78 | 58 | 55 |
32 | 200 | 0,57 | 0,69 | 0,93 | 72 | 68 | ||
33 | 10 | 125 | 0,70 | 0,88 | 1,20 | 58 | 55 | |
34 | 200 | 0,79 | 1,03 | 1,50 | 72 | 78 | ||
35 | 400 | 5 | 125 | 0,57 | 0,70 | 0,94 | 48 | 60 |
36 | 200 | 0,64 | 0,81 | 1,16 | 58 | 73 | ||
37 | 10 | 125 | 0,80 | 1,03 | 1,53 | 48 | 60 | |
38 | 200 | 0,92 | 1,27 | 1,97 | 58 | 73 | ||
39 | 500 | 5 | 125 | 0,60 | 0,74 | 1,04 | 34 | 53 |
40 | 200 | 0,68 | 0,90 | 1,31 | 41 | 64 | ||
41 | 10 | 125 | 0,85 | 1,14 | 1,73 | 34 | 53 | |
42 | 200 | 1,00 | 1,45 | 2,28 | 41 | 64 | ||
Индекс | а | б | в | |||||
ТОЧЕНИЕ НАРУЖНЫХ ПОВЕРХНОСТЕЙ, Rz80...Rz40, IT14...IT12 Сталь углеродистая конструкционная, | Токарно-револьверные станки с вертикальной осью вращения головки | ||||||||||||||||||
Резцы с пластинками Т15К6 | |||||||||||||||||||
Карта 63 | Лист 1 | ||||||||||||||||||
N позиции | D, мм, до | t, мм, до | l, мм, до | Режимы резания | |||||||||||||||
10 | 20 | 30 | 40 | 50 | 75 | 100 | 125 | 150 | 200 | 250 | 300 | 350 | 400 | S, мм/об. | n, об./мин. | v, м/мин. | |||
Время на рабочий ход, мин. | |||||||||||||||||||
1 | 20 | 3 | 0,28 | 0,31 | 0,34 | 0,38 | 0,42 | 0,48 | 0,57 | 0,64 | 0,71 | 0,78 | - | - | - | - | 0,35 | 1080 | 68 |
2 | 40 | 3 | 0,25 | 0,26 | 0,28 | 0,29 | 0,31 | 0,36 | 0,42 | 0,48 | 0,56 | 0,71 | 0,86 | 1,02 | 1,17 | 1,33 | 0,5 | 893 | 112 |
3 | 5 | 0,26 | 0,29 | 0,32 | 0,36 | 0,39 | 0,47 | 0,55 | 0,62 | 0,69 | 0,83 | 1,01 | 1,18 | 1,36 | 1,55 | 0,5 | 777 | 97 | |
4 | 60 | 3 | 0,27 | 0,30 | 0,35 | 0,38 | 0,41 | 0,48 | 0,57 | 0,67 | 0,76 | 0,93 | 1,11 | 1,30 | 1,50 | 1,70 | 0,5 | 637 | 120 |
5 | 5 | 0,28 | 0,32 | 0,36 | 0,40 | 0,44 | 0,54 | 0,65 | 0,77 | 0,88 | 1,10 | 1,31 | 1,53 | 1,75 | 1,94 | 0,5 | 530 | 100 | |
6 | 80 | 3 | 0,29 | 0,34 | 0,39 | 0,43 | 0,47 | 0,57 | 0,68 | 0,78 | 0,90 | 1,14 | 1,40 | 1,69 | 1,92 | 2,15 | 0,5 | 530 | 133 |
7 | 5 | 0,31 | 0,36 | 0,43 | 0,49 | 0,55 | 0,67 | 0,79 | 0,92 | 1,06 | 1,33 | 1,64 | 1,94 | 2,26 | 2,60 | 0,5 | 442 | 111 | |
8 | 8 | 0,32 | 0,38 | 0,44 | 0,51 | 0,58 | 0,73 | 0,88 | 1,05 | 1,21 | 1,63 | 1,97 | 2,30 | 2,63 | 2,96 | 0,5 | 385 | 97 | |
9 | 100 | 3 | 0,33 | 0,39 | 0,45 | 0,51 | 0,57 | 0,70 | 0,85 | 0,98 | 1,11 | 1,39 | 1,70 | 2,01 | 2,33 | 2,67 | 0,5 | 442 | 139 |
10 | 5 | 0,34 | 0,41 | 0,47 | 0,54 | 0,62 | 0,78 | 0,94 | 1,10 | 1,27 | 1,65 | 2,03 | 2,37 | 2,70 | 3,03 | 0,5 | 385 | 121 | |
11 | 8 | 0,37 | 0,43 | 0,48 | 0,55 | 0,64 | 0,82 | 1,03 | 1,21 | 1,41 | 1,76 | 2,13 | 2,50 | 2,88 | 3,22 | 0,5 | 317 | 99 | |
12 | 125 | 3 | 0,35 | 0,41 | 0,47 | 0,52 | 0,59 | 0,77 | 1,00 | 1,16 | 1,33 | 1,70 | 2,08 | 2,43 | 2,77 | 3,11 | 0,5 | 385 | 151 |
13 | 5 | 0,37 | 0,43 | 0,48 | 0,56 | 0,64 | 0,84 | 1,09 | 1,27 | 1,45 | 1,80 | 2,18 | 2,57 | 2,94 | 3,30 | 0,5 | 317 | 124 | |
14 | 8 | 0,39 | 0,45 | 0,50 | 0,58 | 0,66 | 0,89 | 1,13 | 1,34 | 1,54 | 1,95 | 2,36 | 2,77 | 3,18 | 3,58 | 0,5 | 274 | 107 | |
15 | 150 | 3 | 0,37 | 0,43 | 0,48 | 0,58 | 0,66 | 0,89 | 1,13 | 1,32 | 1,50 | 1,86 | 2,25 | 2,64 | 3,01 | 3,37 | 0,5 | 317 | 149 |
16 | 5 | 0,40 | 0,46 | 0,53 | 0,61 | 0,69 | 0,93 | 1,18 | 1,39 | 1,59 | 2,01 | 2,41 | 2,83 | 3,24 | 3,66 | 0,5 | 274 | 129 | |
17 | 8 | 0,44 | 0,53 | 0,61 | 0,68 | 0,75 | 0,99 | 1,30 | 1,55 | 1,81 | 2,36 | 2,88 | 3,40 | 3,93 | 4,45 | 0,5 | 226 | 106 | |
Индекс | а | б | в | г | д | е | ж | з | и | к | л | м | н | о | |||||
НЕПОЛНОЕ ШТУЧНОЕ ВРЕМЯ ТОЧЕНИЕ НАРУЖНЫХ ПОВЕРХНОСТЕЙ, Rz80...Rz40, IT14...IT12 Сталь углеродистая конструкционная, | Токарно-револьверные станки с вертикальной осью вращения головки | ||||||||||||||
Резцы с пластинками Т15К6 | |||||||||||||||
Карта 63 | Лист 2 | ||||||||||||||
N позиции | D, мм, до | t, мм, до | l, мм, до | Режимы резания | |||||||||||
50 | 75 | 100 | 125 | 150 | 200 | 250 | 300 | 350 | 400 | S, мм/об. | n, об./мин. | v, м/мин. | |||
Время на рабочий ход, мин. | |||||||||||||||
18 | 200 | 5 | 0,70 | 0,95 | 1,21 | 1,43 | 1,64 | 2,07 | 2,47 | 2,89 | 3,31 | 3,73 | 0,5 | 274 | 172 |
19 | 8 | 0,93 | 1,20 | 1,45 | 1,73 | 1,99 | 2,58 | 3,18 | 3,82 | 4,46 | 5,12 | 0,5 | 188 | 118 | |
20 | 10 | 1,18 | 1,57 | 1,97 | 2,37 | 2,76 | 3,56 | 4,36 | 5,17 | 5,98 | 6,79 | 0,5 | 136 | 85 | |
21 | 250 | 5 | 0,94 | 1,16 | 1,39 | 1,62 | 1,86 | 2,35 | 2,85 | 3,37 | 3,92 | 4,46 | 0,5 | 226 | 177 |
22 | 8 | 1,02 | 1,33 | 1,64 | 1,96 | 2,29 | 2,95 | 3,65 | 4,35 | 5,05 | 5,78 | 0,5 | 157 | 123 | |
23 | 10 | 1,32 | 1,71 | 2,15 | 2,57 | 2,99 | 3,82 | 4,67 | 5,55 | 6,44 | 7,35 | 0,5 | 117 | 92 | |
24 | 300 | 5 | 1,03 | 1,29 | 1,55 | 1,82 | 2,09 | 2,69 | 3,30 | 3,94 | 4,60 | 5,27 | 0,5 | 188 | 177 |
25 | 8 | 1,18 | 1,56 | 1,94 | 2,34 | 2,75 | 3,54 | 4,33 | 5,11 | 5,95 | 6,72 | 0,5 | 136 | 128 | |
26 | 10 | 1,60 | 2,15 | 2,71 | 3,26 | 3,81 | 4,91 | 6,04 | 7,15 | 8,29 | 9,40 | 0,5 | 96 | 90 | |
27 | 400 | 5 | 1,13 | 1,52 | 1,91 | 2,30 | 2,69 | 3,47 | 4,28 | 5,06 | 5,90 | 6,68 | 0,5 | 136 | 171 |
28 | 8 | 1,65 | 2,13 | 2,67 | 3,21 | 3,76 | 4,85 | 6,00 | 7,09 | 8,25 | 9,36 | 0,5 | 96 | 121 | |
29 | 10 | 1,84 | 2,33 | 2,97 | 3,61 | 4,42 | 5,74 | 7,10 | 8,48 | 8,79 | 10,9 | 0,5 | 83 | 104 | |
30 | 500 | 5 | 1,55 | 2,04 | 2,60 | 3,15 | 3,69 | 4,80 | 5,94 | 7,03 | 8,19 | 9,28 | 0,5 | 96 | 151 |
31 | 8 | 1,84 | 2,40 | 3,04 | 3,69 | 4,50 | 5,82 | 7,18 | 8,55 | 9,80 | 11,0 | 0,5 | 83 | 130 | |
32 | 10 | 2,13 | 2,91 | 3,69 | 4,50 | 5,31 | 6,92 | 8,56 | 10,2 | 11,6 | 13,2 | 0,5 | 66 | 104 | |
33 | 600 | 5 | 1,76 | 2,35 | 2,99 | 3,63 | 4,44 | 5,78 | 7,12 | 8,52 | 9,70 | 10,9 | 0,5 | 83 | 156 |
34 | 8 | 2,04 | 2,81 | 3,62 | 4,42 | 5,24 | 6,84 | 8,49 | 10,1 | 11,5 | 13,1 | 0,5 | 66 | 124 | |
35 | 10 | 2,91 | 4,07 | 5,23 | 6,34 | 7,43 | 9,64 | 11,9 | 14,1 | 16,1 | 18,1 | 0,5 | 48 | 90 | |
Индекс | а | б | в | г | д | е | ж | з | и | к | |||||
ТОЧЕНИЕ НАРУЖНЫХ ПОВЕРХНОСТЕЙ, Rz20, IT11 Сталь углеродистая конструкционная, | Токарно-револьверные станки с вертикальной осью вращения головки | ||||||||||||||||||
Резцы с пластинками Т15К6 | |||||||||||||||||||
Карта 64 | |||||||||||||||||||
N позиции | D, мм, до | t, мм, до | l, мм, до | Режимы резания | |||||||||||||||
10 | 20 | 30 | 40 | 50 | 75 | 100 | 125 | 150 | 200 | 250 | 300 | 350 | 400 | S, мм/об. | n, об./мин. | v, м/мин. | |||
Время на рабочий ход, мин. | |||||||||||||||||||
1 | 20 | 1,0 | 0,24 | 0,26 | 0,30 | 0,33 | 0,37 | 0,46 | 0,53 | 0,63 | 0,72 | 0,91 | - | - | - | - | 0,20 | 1380 | 86 |
2 | 40 | 1,0 | 0,26 | 0,30 | 0,34 | 0,37 | 0,41 | 0,50 | 0,60 | 0,69 | 0,78 | 0,97 | 1,17 | 1,38 | 1,69 | 1,88 | 0,25 | 1080 | 136 |
3 | 60 | 1,0 | 0,28 | 0,34 | 0,39 | 0,45 | 0,50 | 0,64 | 0,77 | 0,91 | 1,05 | 1,33 | 1,63 | 1,91 | 2,33 | 2,60 | 0,25 | 777 | 146 |
4 | 80 | 1,0 | 0,30 | 0,38 | 0,46 | 0,54 | 0,61 | 0,79 | 0,97 | 1,17 | 1,37 | 1,75 | 2,15 | 2,53 | 3,07 | 3,47 | 0,25 | 530 | 133 |
5 | 100 | 1,0 | 0,34 | 0,45 | 0,55 | 0,66 | 0,77 | 1,03 | 1,30 | 1,56 | 1,82 | 2,36 | 2,91 | 3,45 | 4,20 | 4,77 | 0,25 | 385 | 121 |
6 | 125 | 1,0 | 0,37 | 0,48 | 0,62 | 0,76 | 0,89 | 1,22 | 1,55 | 1,86 | 2,18 | 2,84 | 3,53 | 4,18 | 5,10 | 5,78 | 0,25 | 317 | 124 |
7 | 150 | 1,0 | 0,47 | 0,58 | 0,72 | 0,86 | 1,02 | 1,41 | 1,79 | 2,17 | 2,54 | 3,33 | 4,14 | 4,91 | 5,99 | 6,79 | 0,25 | 274 | 129 |
8 | 200 | 1,0 | 0,55 | 0,75 | 0,94 | 1,13 | 133 | 1,87 | 2,39 | 2,94 | 3,48 | 4,55 | 5,65 | 6,73 | 8,17 | 9,28 | 0,25 | 188 | 118 |
9 | 250 | 2,0 | 0,78 | 0,97 | 1,16 | 1,36 | 1,59 | 2,23 | 2,87 | 3,51 | 4,16 | 5,44 | 6,78 | 8,09 | 9,80 | 11,0 | 0,25 | 157 | 123 |
10 | 300 | 2,0 | 0,97 | 1,16 | 1,31 | 1,55 | 1,82 | 2,58 | 3,34 | 4,09 | 4,85 | 6,34 | 7,90 | 9,44 | 11,4 | 12,9 | 0,25 | 136 | 128 |
11 | 400 | 2,0 | 1,16 | 1,36 | 1,50 | 1,84 | 2,19 | 3,13 | 4,07 | 4,99 | 5,93 | 7,77 | 9,65 | 11,5 | 14,0 | 15,8 | 0,25 | 117 | 147 |
12 | 500 | 2,0 | 1,36 | 1,55 | 1,73 | 2,07 | 2,38 | 3,73 | 4,74 | 5,89 | 6,81 | 8,50 | 10,2 | 13,1 | 16,6 | 19,9 | 0,25 | 96 | 151 |
13 | 600 | 2,0 | 1,65 | 1,93 | 2,33 | 2,91 | 3,46 | 4,98 | 6,49 | 8,02 | 9,55 | 12,6 | 15,7 | 18,6 | 22,5 | 25,8 | 0,25 | 66 | 124 |
Индекс | а | б | в | г | д | е | ж | з | и | к | л | м | н | о | |||||
ТОЧЕНИЕ НАРУЖНЫХ ПОВЕРХНОСТЕЙ, Ra2,5, IT9...IT8 Сталь углеродистая конструкционная, | Токарно-револьверные станки с вертикальной осью вращения головки | ||||||||||||||||||
Резцы с пластинками Т15К6 | |||||||||||||||||||
Карта 65 | |||||||||||||||||||
N позиции | D, мм, до | t, мм, до | l, мм, до | Режимы резания | |||||||||||||||
10 | 20 | 30 | 40 | 50 | 75 | 100 | 125 | 150 | 200 | 250 | 300 | 350 | 400 | S, мм/об. | n, об./мин. | v, м/мин. | |||
Время на рабочий ход, мин. | |||||||||||||||||||
1 | 20 | 1,0 | 0,27 | 0,31 | 0,36 | 0,40 | 0,44 | 0,54 | 0,65 | 0,76 | 0,86 | 1,07 | - | - | - | - | 0,17 | 1480 | 93 |
2 | 40 | 1,0 | 0,29 | 0,34 | 0,40 | 0,45 | 0,50 | 0,65 | 0,83 | 0,98 | 1,10 | 1,42 | 1,68 | 2,05 | 2,30 | 2,52 | 0,17 | 1080 | 136 |
3 | 60 | 1,0 | 0,31 | 0,37 | 0,44 | 0,49 | 0,57 | 0,73 | 0,95 | 1,12 | 1,28 | 1,65 | 1,97 | 2,39 | 2,71 | 3,16 | 0,17 | 850 | 160 |
4 | 80 | 1,0 | 0,32 | 0,40 | 0,47 | 0,54 | 0,62 | 0,82 | 1,06 | 1,24 | 1,42 | 1,89 | 2,26 | 2,77 | 3,14 | 3,56 | 0,17 | 750 | 188 |
5 | 100 | 1,0 | 0,41 | 0,51 | 0,62 | 0,73 | 0,83 | 1,10 | 1,42 | 1,69 | 1,95 | 2,59 | 3,13 | 3,77 | 4,31 | 4,95 | 0,17 | 540 | 169 |
6 | 125 | 1,0 | 0,48 | 0,61 | 0,76 | 0,90 | 1,05 | 1,42 | 1,83 | 2,20 | 2,57 | 3,40 | 4,13 | 4,97 | 5,70 | 6,54 | 0,17 | 400 | 157 |
7 | 150 | 1,0 | 0,58 | 0,70 | 0,89 | 1,05 | 1,23 | 1,68 | 2,17 | 2,63 | 3,07 | 4,07 | 4,97 | 5,96 | 6,86 | 8,34 | 0,17 | 320 | 149 |
8 | 200 | 2,0 | 0,73 | 0,92 | 1,16 | 1,41 | 1,65 | 2,28 | 2,97 | 3,61 | 4,25 | 5,62 | 6,90 | 8,27 | 9,54 | 10,9 | 0,17 | 240 | 151 |
9 | 250 | 2,0 | 0,97 | 1,21 | 1,41 | 1,65 | 1,94 | 2,67 | 3,47 | 4,23 | 4,98 | 6,60 | 8,12 | 9,70 | 11,2 | 12,9 | 0,17 | 200 | 157 |
10 | 300 | 2,0 | 1,21 | 1,41 | 1,60 | 1,84 | 2,18 | 3,11 | 4,06 | 4,93 | 5,86 | 7,85 | 9,51 | 11,4 | 13,2 | 15,1 | 0,17 | 170 | 160 |
11 | 400 | 2,0 | 1,45 | 1,65 | 1,84 | 2,13 | 2,52 | 3,62 | 4,71 | 5,77 | 6,83 | 9,03 | 11,1 | 13,4 | 15,4 | 17,6 | 0,17 | 145 | 182 |
12 | 500 | 2,0 | 1,70 | 1,97 | 2,25 | 2,64 | 3,12 | 4,12 | 5,12 | 6,60 | 7,81 | 10,4 | 12,8 | 15,2 | 17,7 | 20,3 | 0,17 | 130 | 204 |
13 | 600 | 2,0 | 1,94 | 2,28 | 2,62 | 3,30 | 3,98 | 5,77 | 7,57 | 9,29 | 11,0 | 14,4 | 18,0 | 21,6 | 26,1 | 28,6 | 0,17 | 90 | 169 |
Индекс | а | б | в | г | д | е | ж | з | и | к | л | м | н | о | |||||
ТОЧЕНИЕ ФАСОННЫХ ПОВЕРХНОСТЕЙ (ВЫПУКЛЫХ И ВОГНУТЫХ) Сталь углеродистая конструкционная, | Токарно-револьверные станки с вертикальной осью вращения головки | |||||||||||||||||
Резцы фасонные из стали Р6М5 и с пластинками Т15К6 | ||||||||||||||||||
Карта 66 | ||||||||||||||||||
N позиции | D, мм, до | Ширина резца b, мм, до | Простой профиль | Сложный профиль | ||||||||||||||
Длина (радиус) обработки l, мм, до | Режимы резания | Длина (радиус) обработки l, мм, до | Режимы резания | |||||||||||||||
10 | 15 | 20 | 25 | 30 | S, мм/об. | n, об./мин. | v, м/мин. | 10 | 15 | 20 | 25 | 30 | S, мм/об. | n, об./мин. | v, м/мин. | |||
Время на поверхность, мин. | Время на поверхность, мин. | |||||||||||||||||
1 | 25 | 20 | 1,6 | - | - | - | - | 0,05 | 500 | 39 | 1,9 | - | - | - | - | 0,03 | 500 | 39 |
2 | 60 и свыше | 2,6 | 3,1 | 3,9 | 4,5 | - | 0,07 | 154 | 29 | 3,8 | 4,7 | 6,0 | 7,0 | - | 0,04 | 154 | 29 | |
3 | 40 | 30 | 2,0 | 2,3 | 2,7 | - | - | 0,06 | 310 | 39 | 2,3 | 2,7 | 3,3 | - | - | 0,035 | 310 | 39 |
4 | 60 и свыше | 2,9 | 3,5 | 4,3 | 5,0 | 6,0 | 0,06 | 154 | 29 | 4,2 | 5,0 | 6,5 | 8,0 | 9,0 | 0,035 | 154 | 29 | |
5 | 40 | 40 | 2,2 | 2,5 | 3,1 | - | - | 0,06 | 310 | 39 | 2,5 | 2,9 | 3,6 | - | - | 0,03 | 310 | 39 |
6 | 60 и свыше | 3,2 | 3,8 | 4,8 | 5,5 | 6,5 | 0,06 | 154 | 29 | 4,8 | 6,0 | 7,5 | 9,0 | 10,5 | 0,03 | 154 | 29 | |
7 | 60 и свыше | 50 | 3,8 | 4,6 | 6,0 | 7,0 | 8,0 | 0,05 | 154 | 29 | 5,5 | 7,0 | 9,0 | 10,5 | 12,5 | 0,025 | 154 | 29 |
Индекс | а | б | в | г | д | и | к | л | м | н | ||||||||
ПОДРЕЗКА ТОРЦОВ СПЛОШНОГО СЕЧЕНИЯ, Rz80...Rz40, IT14...IT12 Сталь углеродистая конструкционная, | Токарно-револьверные станки с вертикальной осью вращения головки | |||||
Резцы с пластинками Т15К6 | ||||||
Карта 67 | ||||||
N позиции | D, мм, до | t, мм, до | Время на рабочий ход, мин. | Режимы резания | ||
S, мм/об. | n, об./мин. | v, м/мин. | ||||
1 | 20 | 3 | 0,30 | 0,35 | 1000 | 63 |
2 | 40 | 3 | 0,32 | 0,5 | 800 | 100 |
3 | 5 | 0,37 | 0,35 | 600 | 75 | |
4 | 60 | 3 | 0,37 | 0,6 | 500 | 94 |
5 | 5 | 0,41 | 0,5 | 400 | 75 | |
6 | 80 | 3 | 0,43 | 0,6 | 415 | 104 |
7 | 5 | 0,47 | 0,5 | 380 | 95 | |
8 | 8 | 0,52 | 0,5 | 300 | 75 | |
9 | 100 | 3 | 0,47 | 0,7 | 320 | 100 |
10 | 5 | 0,52 | 0,6 | 385 | 121 | |
11 | 8 | 0,63 | 0,5 | 270 | 85 | |
12 | 125 | 3 | 0,61 | 0,7 | 270 | 106 |
13 | 5 | 0,71 | 0,6 | 270 | 106 | |
14 | 8 | 0,80 | 0,5 | 240 | 94 | |
15 | 150 | 3 | 0,78 | 0,7 | 240 | 113 |
16 | 5 | 0,91 | 0,6 | 240 | 113 | |
17 | 8 | 1,18 | 0,5 | 170 | 80 | |
18 | 200 | 5 | 1,31 | 0,7 | 170 | 106 |
19 | 8 | 1,49 | 0,6 | 170 | 107 | |
20 | 10 | 1,94 | 0,5 | 130 | 82 | |
21 | 250 | 5 | 1,40 | 0,7 | 160 | 125 |
22 | 8 | 2,00 | 0,6 | 150 | 118 | |
23 | 10 | 2,70 | 0,5 | 110 | 86 | |
24 | 300 | 5 | 2,13 | 0,7 | 120 | 113 |
25 | 8 | 2,79 | 0,6 | 120 | 113 | |
26 | 10 | 3,78 | 0,5 | 96 | 90 | |
27 | 400 | 5 | 3,58 | 0,7 | 96 | 120 |
28 | 8 | 4,88 | 0,6 | 96 | 120 | |
29 | 10 | 6,90 | 0,5 | 66 | 83 | |
30 | 500 | 5 | 4,40 | 0,7 | 90 | 141 |
31 | 8 | 6,07 | 0,6 | 90 | 141 | |
32 | 10 | 8,68 | 0,5 | 66 | 103 | |
33 | 600 | 5 | 7,07 | 0,7 | 66 | 124 |
34 | 8 | 10,2 | 0,6 | 66 | 124 | |
35 | 10 | 13,9 | 0,5 | 48 | 90 | |
Индекс | а | |||||
ПОДРЕЗКА ТОРЦОВ СПЛОШНОГО СЕЧЕНИЯ, Rz20, IT11 Сталь углеродистая конструкционная, | Токарно-револьверные станки с вертикальной осью вращения головки | |||||
Резцы с пластинками Т15К6 | ||||||
Карта 68 | ||||||
N позиции | D, мм, до | t, мм, до | Время на рабочий ход, мин. | Режимы резания | ||
S, мм/об. | n, об./мин. | v, м/мин. | ||||
1 | 20 | 1,0 | 0,29 | 0,25 | 1500 | 94 |
2 | 40 | 1,0 | 0,34 | 0,25 | 777 | 97 |
3 | 60 | 1,0 | 0,47 | 0,25 | 530 | 100 |
4 | 80 | 1,0 | 0,69 | 0,25 | 385 | 97 |
5 | 100 | 1,0 | 0,89 | 0,25 | 385 | 121 |
6 | 125 | 1,0 | 1,23 | 0,25 | 274 | 108 |
7 | 150 | 1,0 | 1,42 | 0,25 | 274 | 129 |
8 | 200 | 1,0 | 2,45 | 0,25 | 195 | 122 |
9 | 250 | 2,0 | 4,09 | 0,25 | 140 | 110 |
10 | 300 | 2,0 | 6,71 | 0,25 | 100 | 94 |
11 | 400 | 2,0 | 12,9 | 0,25 | 68 | 85 |
12 | 500 | 2,0 | 16,0 | 0,25 | 68 | 107 |
13 | 600 | 2,0 | 26,0 | 0,25 | 50 | 94 |
Индекс | а | |||||
ПОДРЕЗКА ТОРЦОВ СПЛОШНОГО СЕЧЕНИЯ, Ra2,5, IT9...IT8 Сталь углеродистая конструкционная, | Токарно-револьверные станки с вертикальной осью вращения головки | |||||
Резцы с пластинками Т15К6 | ||||||
Карта 69 | ||||||
N позиции | D, мм, до | t, мм, до | Время на рабочий ход, мин. | Режимы резания | ||
S, мм/об. | n, об./мин. | v, м/мин. | ||||
1 | 20 | 1,0 | 0,33 | 0,17 | 1500 | 94 |
2 | 40 | 1,0 | 0,44 | 0,17 | 777 | 97 |
3 | 60 | 1,0 | 0,66 | 0,17 | 530 | 100 |
4 | 80 | 1,0 | 0,92 | 0,17 | 385 | 97 |
5 | 100 | 1,0 | 1,08 | 0,17 | 385 | 121 |
6 | 125 | 1,0 | 1,75 | 0,17 | 274 | 108 |
7 | 150 | 1,0 | 1,99 | 0,17 | 274 | 129 |
8 | 200 | 1,0 | 3,56 | 0,17 | 195 | 122 |
9 | 250 | 2,0 | 5,95 | 0,17 | 140 | 110 |
10 | 300 | 2,0 | 9,89 | 0,17 | 100 | 94 |
11 | 400 | 2,0 | 18,9 | 0,17 | 68 | 85 |
12 | 500 | 2,0 | 23,5 | 0,17 | 68 | 107 |
13 | 600 | 2,0 | 38,1 | 0,17 | 50 | 94 |
Индекс | а | |||||
ПОДРЕЗКА ТОРЦОВ НЕСПЛОШНОГО СЕЧЕНИЯ, Rz80...Rz40, IT14...IT12 Сталь углеродистая конструкционная, | Токарно-револьверные станки с вертикальной осью вращения головки | ||||||||||||||||
Резцы с пластинками Т15К6 | |||||||||||||||||
Карта 70 | Лист 1 | ||||||||||||||||
N позиции | D, мм, до | t, мм, до | Длина обрабатываемой поверхности мм, до | Режимы резания | |||||||||||||
10 | 20 | 30 | 40 | 50 | 60 | 70 | 80 | 90 | 100 | 150 | 200 | S, мм/об. | n, об./мин. | v, м/мин. | |||
Время на рабочий ход, мин. | |||||||||||||||||
1 | 40 | 3 | 0,29 | - | - | - | - | - | - | - | - | - | - | - | 0,5 | 893 | 112 |
2 | 60 | 3 | 0,31 | 0,34 | - | - | - | - | - | - | - | - | - | - | 0,6 | 637 | 120 |
3 | 80 | 3 | 0,32 | 0,36 | 0,39 | - | - | - | - | - | - | - | - | - | 0,6 | 500 | 125 |
4 | 5 | 0,35 | 0,39 | 0,44 | - | - | - | - | - | - | - | - | - | 0,5 | 442 | 111 | |
5 | 8 | 0,38 | 0,43 | 0,47 | - | - | - | - | - | - | - | - | - | 0,5 | 385 | 97 | |
6 | 100 | 3 | 0,33 | 0,37 | 0,42 | 0,46 | - | - | - | - | - | - | - | - | 0,7 | 385 | 121 |
7 | 5 | 0,36 | 0,41 | 0,46 | 0,52 | - | - | - | - | - | - | - | - | 0,6 | 385 | 121 | |
8 | 8 | 0,39 | 0,45 | 0,51 | 0,59 | - | - | - | - | - | - | - | - | 0,5 | 317 | 99 | |
9 | 125 | 3 | 0,37 | 0,42 | 0,46 | 0,51 | 0,55 | - | - | - | - | - | - | - | 0,7 | 317 | 124 |
10 | 5 | 0,42 | 0,47 | 0,50 | 0,58 | 0,66 | - | - | - | - | - | - | - | 0,6 | 317 | 124 | |
11 | 8 | 0,45 | 0,52 | 0,56 | 0,63 | 0,73 | - | - | - | - | - | - | - | 0,5 | 274 | 107 | |
12 | 150 | 3 | 0,44 | 0,48 | 0,54 | 0,60 | 0,63 | 0,70 | - | - | - | - | - | - | 0,7 | 317 | 149 |
13 | 5 | 0,45 | 0,54 | 0,61 | 0,68 | 0,72 | 0,78 | - | - | - | - | - | - | 0,6 | 274 | 129 | |
14 | 8 | 0,55 | 0,66 | 0,76 | 0,87 | 0,92 | 1,03 | - | - | - | - | - | - | 0,5 | 188 | 88 | |
15 | 200 | 5 | - | 0,59 | 0,68 | 0,77 | 0,83 | 0,90 | 0,98 | - | - | - | - | - | 0,7 | 200 | 125 |
16 | 8 | - | 0,72 | 0,84 | 0,97 | 1,08 | 1,18 | 1,29 | - | - | - | - | - | 0,6 | 188 | 118 | |
17 | 10 | - | 0,96 | 1,10 | 1,23 | 1,37 | 1,50 | 1,65 | - | - | - | - | - | 0,5 | 136 | 85 | |
Индекс | а | б | в | г | д | е | ж | з | и | к | л | м | |||||
НЕПОЛНОЕ ШТУЧНОЕ ВРЕМЯ ПОДРЕЗКА ТОРЦОВ НЕСПЛОШНОГО СЕЧЕНИЯ, Rz80...Rz40, IT14...IT12 Сталь углеродистая конструкционная, | Токарно-револьверные станки с вертикальной осью вращения головки | ||||||||||||||||
Резцы с пластинками Т15К6 | |||||||||||||||||
Карта 70 | Лист 2 | ||||||||||||||||
N позиции | D, мм, до | t, мм, до | Длина обрабатываемой поверхности мм, до | Режимы резания | |||||||||||||
10 | 20 | 30 | 40 | 50 | 60 | 70 | 80 | 90 | 100 | 150 | 200 | S, мм/об. | n, об./мин. | v, м/мин. | |||
Время на рабочий ход, мин. | |||||||||||||||||
18 | 250 | 5 | - | 0,71 | 0,78 | 0,85 | 0,92 | 1,02 | 1,13 | 1,21 | - | - | - | - | 0,7 | 157 | 123 |
19 | 8 | - | 0,83 | 0,94 | 1,05 | 1,16 | 1,32 | 1,47 | 1,60 | - | - | - | - | 0,6 | 157 | 123 | |
20 | 10 | - | 1,04 | 1,18 | 1,32 | 1,47 | 1,68 | 1,89 | 2,05 | - | - | - | - | 0,5 | 117 | 92 | |
21 | 300 | 5 | - | 0,84 | 0,92 | 1,00 | 1,10 | 1,23 | 1,37 | 1,49 | 1,62 | - | - | - | 0,7 | 136 | 128 |
22 | 8 | - | 0,97 | 1,10 | 1,23 | 1,37 | 1,55 | 1,73 | 1,94 | 2,07 | - | - | - | 0,6 | 136 | 128 | |
23 | 10 | - | 1,26 | 1,43 | 1,60 | 1,77 | 2,00 | 2,28 | 2,53 | 2,78 | - | - | - | 0,5 | 96 | 90 | |
24 | 400 | 5 | - | - | - | - | 1,42 | 1,60 | 1,78 | 1,95 | 2,13 | 2,28 | 2,87 | - | 0,7 | 96 | 120 |
25 | 8 | - | - | - | - | 1,84 | 2,10 | 2,36 | 2,60 | 2,86 | 3,06 | 3,87 | - | 0,6 | 96 | 120 | |
26 | 10 | - | - | - | - | 2,49 | 2,85 | 3,23 | 3,60 | 3,97 | 4,30 | 5,43 | - | 0,5 | 66 | 83 | |
27 | 500 | 5 | - | - | - | - | 1,55 | 1,70 | 1,90 | 2,10 | 2,26 | 2,38 | 2,98 | 3,69 | 0,7 | 96 | 151 |
28 | 8 | - | - | - | - | 2,04 | 2,30 | 2,55 | 2,80 | 3,04 | 3,30 | 4,05 | 5,06 | 0,6 | 96 | 151 | |
29 | 10 | - | - | - | - | 2,84 | 3,20 | 3,57 | 3,90 | 4,31 | 4,60 | 5,78 | 7,24 | 0,5 | 66 | 104 | |
30 | 600 | 5 | - | - | - | - | - | - | - | - | - | 3,04 | 4,04 | 5,05 | 0,7 | 66 | 124 |
31 | 8 | - | - | - | - | - | - | - | - | - | 4,34 | 5,82 | 7,29 | 0,6 | 66 | 124 | |
32 | 10 | - | - | - | - | - | - | - | - | - | 5,89 | 7,89 | 9,89 | 0,5 | 48 | 90 | |
Индекс | а | б | в | г | д | е | ж | з | и | к | л | м | |||||
ПОДРЕЗКА ТОРЦОВ НЕСПЛОШНОГО СЕЧЕНИЯ, Rz20, IT11 Сталь углеродистая конструкционная, | Токарно-револьверные станки с вертикальной осью вращения головки | ||||||||||||||||
Резцы с пластинками Т15К6 | |||||||||||||||||
Карта 71 | |||||||||||||||||
N позиции | D, мм, до | t, мм, до | Длина обрабатываемой поверхности мм, до | Режимы резания | |||||||||||||
10 | 20 | 30 | 40 | 50 | 60 | 70 | 80 | 90 | 100 | 150 | 200 | S, мм/об. | n, об./мин. | v, м/мин. | |||
Время на рабочий ход, мин. | |||||||||||||||||
1 | 40 | 1,0 | 0,34 | - | - | - | - | - | - | - | - | - | - | - | 0,25 | 777 | 97 |
2 | 60 | 1,0 | 0,37 | 0,45 | - | - | - | - | - | - | - | - | - | - | 0,25 | 530 | 100 |
3 | 80 | 1,0 | 0,39 | 0,48 | 0,57 | - | - | - | - | - | - | - | - | - | 0,25 | 455 | 114 |
4 | 100 | 1,0 | 0,42 | 032 | 0,64 | 0,75 | - | - | - | - | - | - | - | - | 0,25 | 385 | 121 |
5 | 125 | 1,0 | 0,45 | 0,59 | 0,72 | 0,84 | 0,94 | - | - | - | - | - | - | - | 0,25 | 330 | 129 |
6 | 150 | 1,0 | 0,48 | 0,65 | 0,80 | 0,95 | 1,02 | 1,18 | - | - | - | - | - | - | 0,25 | 274 | 129 |
7 | 200 | 1,0 | - | 0,91 | 1,10 | 1,28 | 1,47 | 1,71 | 1,94 | - | - | - | - | - | 0,25 | 188 | 118 |
8 | 250 | 2,0 | - | 1,09 | 1,35 | 1,63 | 1,87 | 2,25 | 2,65 | 2,95 | - | - | - | - | 0,25 | 136 | 107 |
9 | 300 | 2,0 | - | 1,35 | 1,80 | 2,15 | 2,56 | 3,05 | 3,67 | 4,22 | 4,77 | - | - | - | 0,25 | 96 | 90 |
10 | 400 | 2,0 | - | - | - | - | 3,04 | 3,70 | 4,36 | 4,80 | 5,24 | 5,68 | 8,34 | - | 0,25 | 80 | 100 |
11 | 500 | 2,0 | - | - | - | - | 3,71 | 4,30 | 4,90 | 5,50 | 6,10 | 6,89 | 10,2 | 13,4 | 0,25 | 66 | 104 |
12 | 600 | 2,0 | - | - | - | - | - | - | - | - | - | 9,49 | 13,9 | 18,3 | 0,25 | 48 | 90 |
Индекс | а | б | в | г | д | е | ж | з | и | к | л | м | |||||
ПОДРЕЗКА ТОРЦОВ НЕСПЛОШНОГО СЕЧЕНИЯ, Ra2,5, IT9...IT8 Сталь углеродистая конструкционная, | Токарно-револьверные станки с вертикальной осью вращения головки | ||||||||||||||||
Резцы с пластинками Т15К6 | |||||||||||||||||
Карта 72 | |||||||||||||||||
N позиции | D, мм, до | t, мм, до | Длина обрабатываемой поверхности мм, до | Режимы резания | |||||||||||||
10 | 20 | 30 | 40 | 50 | 60 | 70 | 80 | 90 | 100 | 150 | 200 | S, мм/об. | n, об./мин. | v, м/мин. | |||
Время на рабочий ход, мин. | |||||||||||||||||
1 | 40 | 1,0 | 0,37 | - | - | - | - | - | - | - | - | - | - | - | 0,17 | 777 | 97 |
2 | 60 | 1,0 | 0,42 | 0,53 | - | - | - | - | - | - | - | - | - | - | 0,17 | 530 | 100 |
3 | 80 | 1,0 | 0,44 | 0,57 | 0,67 | - | - | - | - | - | - | - | - | - | 0,17 | 455 | 114 |
4 | 100 | 1,0 | 0,46 | 0,62 | 0,79 | 0,95 | - | - | - | - | - | - | - | - | 0,17 | 385 | 121 |
5 | 125 | 1,0 | 0,50 | 0,70 | 0,87 | 1,08 | 1,21 | - | - | - | - | - | - | - | 0,17 | 330 | 129 |
6 | 150 | 1,0 | 0,55 | 0,89 | 1,11 | 1,34 | 1,46 | 1,74 | - | - | - | - | - | - | 0,17 | 274 | 129 |
7 | 200 | 1,0 | - | 1,16 | 1,40 | 1,70 | 2,00 | 2,38 | 2,70 | - | - | - | - | - | 0,17 | 188 | 118 |
8 | 250 | 2,0 | - | 1,65 | 2,00 | 2,35 | 2,72 | 3,30 | 3,88 | 4,36 | - | - | - | - | 0,17 | 136 | 107 |
9 | 300 | 2,0 | - | 2,62 | 3,00 | 3,37 | 3,73 | 4,56 | 5,30 | 6,05 | 7,00 | - | - | - | 0,17 | 96 | 90 |
10 | 400 | 2,0 | - | - | - | - | 4,36 | 5,32 | 6,30 | 7,00 | 7,65 | 8,34 | 12,2 | - | 0,17 | 80 | 100 |
11 | 500 | 2,0 | - | - | - | - | 5,32 | 6,20 | 7,10 | 8,00 | 9,00 | 10,1 | 14,4 | 19,4 | 0,17 | 66 | 104 |
12 | 600 | 2,0 | - | - | - | - | - | - | - | - | - | 14,1 | 20,2 | 26,7 | 0,17 | 48 | 90 |
Индекс | а | б | в | г | д | е | ж | з | и | к | л | м | |||||
РАСТАЧИВАНИЕ ОТВЕРСТИЙ, Rz80...Rz40, IT14...IT12 Сталь углеродистая конструкционная, | Токарно-револьверные станки с вертикальной осью вращения головки | |||||||||||||||
Резцы с пластинками Т15К6 | ||||||||||||||||
Карта 73 | Лист 1 | |||||||||||||||
N позиции | d, мм, до | t, мм, до | l, мм, до | Режимы резания | ||||||||||||
10 | 20 | 30 | 40 | 50 | 75 | 100 | 125 | 150 | 175 | 200 | S, мм/об. | n, об./мин. | v, м/мин. | |||
Время на рабочий ход, мин. | ||||||||||||||||
1 | 20 | 2 | 0,40 | 0,43 | 0,46 | 0,50 | 0,52 | 0,62 | - | - | - | - | - | 0,35 | 777 | 49 |
2 | 3 | 0,42 | 0,46 | 0,51 | 0,57 | 0,63 | 0,85 | - | - | - | - | - | 0,35 | 530 | 33 | |
3 | 40 | 3 | 0,42 | 0,46 | 0,51 | 0,57 | 0,62 | 0,84 | 0,97 | 1,14 | - | - | - | 0,50 | 385 | 48 |
4 | 5 | 0,45 | 0,52 | 0,59 | 0,66 | 0,77 | 1,00 | 1,19 | 1,42 | - | - | - | 0,35 | |||
5 | 60 | 3 | 0,43 | 0,49 | 0,55 | 0,62 | 0,69 | 0,93 | 1,08 | 1,28 | 1,43 | 1,69 | 1,84 | 0,50 | 317 | 60 |
6 | 5 | 0,45 | 0,51 | 0,58 | 0,65 | 0,72 | 1,00 | 1,18 | 1,41 | 1,58 | 1,85 | 2,04 | 0,50 | 274 | 52 | |
7' | 80 | 3 | 0,45 | 0,51 | 0,58 | 0,65 | 0,72 | 1,00 | 1,18 | 1,41 | 1,58 | 1,85 | 2,04 | 0,50 | 274 | 69 |
8 | 5 | 0,46 | 0,55 | 0,64 | 0,73 | 0,81 | 1,12 | 1,34 | 1,60 | 1,81 | 2,12 | 2,34 | 0,50 | 226 | 57 | |
9 | 100 | 3 | 0,56 | 0,65 | 0,74 | 0,82 | 0,91 | 1,22 | 1,43 | 1,75 | 1,87 | 2,27 | 2,48 | 0,50 | 226 | 71 |
10 | 5 | 0,60 | 0,70 | 0,79 | 0,90 | 1,00 | 1,36 | 1,62 | 1,97 | 2,23 | 2,58 | 2,84 | 0,50 | 188 | 59 | |
11 | 125 | 3 | 0,64 | 0,72 | 0,79 | 0,90 | 1,00 | 1,36 | 1,62 | 1,97 | 2,23 | 2,58 | 2,84 | 0,50 | 188 | 74 |
12 | 5 | 0,68 | 0,78 | 0,87 | 1,00 | 1,12 | 1,53 | 1,84 | 2,25 | 2,56 | 2,96 | 3,27 | 0,50 | 157 | 62 | |
Индекс | а | б | в | г | д | е | ж | з | и | к | л | |||||
НЕПОЛНОЕ ШТУЧНОЕ ВРЕМЯ РАСТАЧИВАНИЕ ОТВЕРСТИЙ, Rz80...Rz40, IT14...IT12 Сталь углеродистая конструкционная, | Токарно-револьверные станки с вертикальной осью вращения колонки | |||||||||||||
Резцы с пластинками Т15К6 | ||||||||||||||
Карта 73 | Лист 2 | |||||||||||||
N позиции | d, мм, до | t, мм, до | l, мм, до | Режимы резания | ||||||||||
30 | 40 | 50 | 75 | 100 | 125 | 150 | 175 | 200 | S, мм/об. | n, об./мин. | v, м/мин. | |||
Время на рабочий ход, мин. | ||||||||||||||
13 | 150 | 3 | 0,87 | 1,00 | 1,12 | 1,52 | 1,84 | 2,25 | 2,56 | 2,97 | 3,28 | 0,5 | 157 | 74 |
14 | 5 | 0,93 | 1,08 | 1,22 | 1,68 | 1,93 | 2,48 | 2,84 | 3,30 | 3,65 | 0,5 | 136 | 64 | |
15 | 200 | 3 | 1,08 | 1,22 | 1,37 | 1,82 | 2,17 | 2,63 | 2,99 | 3,43 | 3,79 | 0,5 | 136 | 85 |
16 | 5 | 1,16 | 1,34 | 1,50 | 2,02 | 2,43 | 2,95 | 3,36 | 3,88 | 4,30 | 0,5 | 117 | 73 | |
17 | 250 | 3 | 1,16 | 1,34 | 1,50 | 2,02 | 2,43 | 2,95 | 3,36 | 3,88 | 4,30 | 0,5 | 117 | 92 |
18 | 5 | 1,29 | 1,49 | 1,70 | 2,30 | 2,80 | 3,40 | 3,91 | 4,51 | 5,01 | 0,5 | 96 | 75 | |
19 | 300 | 3 | 1,48 | 1,69 | 1,89 | 2,49 | 3,00 | 3,60 | 4,10 | 4,80 | 5,30 | 4,5 | 96 | 90 |
20 | 5 | 1,61 | 1,84 | 2,07 | 2,76 | 3,36 | 4,04 | 4,64 | 5,42 | 6,01 | 0,5 | 83 | 78 | |
21 | 400 | 3 | 1,78 | 2,04 | 2,27 | 2,96 | 3,55 | 4,24 | 4,83 | 5,62 | 6,21 | 0,5 | 83 | 104 |
22 | 5 | 1,92 | 2,18 | 2,45 | 3,22 | 3,90 | 4,66 | 5,34 | 6,21 | 6,88 | 0,5 | 72 | 90 | |
23 | 500 | 3 | 1,92 | 2,18 | 2,46 | 3,22 | 3,90 | 4,66 | 5,34 | 6,21 | 6,88 | 0,5 | 72 | 119 |
24 | 5 | 2,04 | 2,29 | 2,59 | 3,41 | 4,15 | 4,98 | 5,72 | 6,64 | 7,19 | 0,5 | 66 | 104 | |
Индекс | а | б | в | г | д | е | ж | з | и | |||||
РАСТАЧИВАНИЕ ОТВЕРСТИЙ, Rz20, IT11 Сталь углеродистая конструкционная, | Токарно-револьверные станки с вертикальной осью вращения головки | |||||||||||||||
Резцы с пластинками Т15К6 | ||||||||||||||||
Карта 74 | ||||||||||||||||
N позиции | d, мм, до | t, мм, до | l, мм, до | Режимы резания | ||||||||||||
10 | 20 | 30 | 40 | 50 | 75 | 100 | 125 | 150 | 175 | 200 | S, мм/об. | n, об./мин. | v, м/мин. | |||
Время на рабочий ход, мин. | ||||||||||||||||
1 | 20 | 1,0 | 0,55 | 0,63 | 0,70 | 0,78 | 0,85 | 1,05 | - | - | - | - | - | 0,17 | 777 | 49 |
2 | 40 | 1,0 | 0,60 | 0,72 | 0,82 | 0,93 | 1,04 | 1,35 | 1,72 | 1,94 | - | - | - | 0,17 | 630 | 79 |
3 | 60 | 1,0 | 0,68 | 0,82 | 0,97 | 1,11 | 1,26 | 1,68 | 2,09 | 2,52 | 2,89 | 3,36 | 3,73 | 0,17 | 385 | 72 |
4 | 80 | 1,0 | 0,75 | 0,93 | 1,11 | 1,30 | 1,48 | 1,92 | 2,46 | 2,91 | 3,36 | 3,80 | 4,41 | 0,17 | 317 | 80 |
5 | 100 | 1,0 | 0,79 | 0,97 | 1,20 | 1,42 | 1,63 | 2,16 | 2,79 | 3,33 | 3,86 | 4,38 | 4,96 | 0,17 | 274 | 86 |
6 | 125 | 1,0 | 1,11 | 1,24 | 1,38 | 1,63 | 1,88 | 2,51 | 3,24 | 3,88 | 4,51 | 5,14 | 5,91 | 0,17 | 226 | 89 |
7 | 150 | 1,0 | - | - | 1,54 | 1,85 | 2,16 | 2,94 | 3,81 | 4,58 | 5,33 | 6,09 | 6,93 | 0,17 | 190 | 89 |
8 | 200 | 2,0 | - | - | 1,96 | 2,39 | 2,81 | 3,88 | 5,04 | 6,06 | 7,10 | 8,18 | 9,37 | 0,17 | 140 | 88 |
9 | 250 | 2,0 | - | - | 2,18 | 2,67 | 3,15 | 4,36 | 5,67 | 6,89 | 8,10 | 9,31 | 10,7 | 0,17 | 125 | 98 |
10 | 300 | 2,0 | - | - | 2,61 | 3,21 | 3,81 | 5,43 | 7,04 | 8,56 | 10,4 | 12,2 | 13,2 | 0,17 | 100 | 94 |
11 | 400 | 2,0 | - | - | 3,23 | 3,60 | 4,30 | 6,02 | 8,00 | 9,70 | 11,7 | 13,8 | 15,9 | 0,17 | 83 | 104 |
12 | 500 | 2,0 | - | - | 3,99 | 4,65 | 5,30 | 7,73 | 10,3 | 12,4 | 14,8 | 17,1 | 19,6 | 0,17 | 66 | 104 |
Индекс | а | б | в | г | д | е | ж | з | и | к | л | |||||
РАСТАЧИВАНИЕ ОТВЕРСТИЙ, Ra2,5, IT9...IT8 Сталь углеродистая конструкционная, | Токарно-револьверные станки с вертикальной осью вращения головки | |||||||||||||||
Резцы с пластинками Т15К6 | ||||||||||||||||
Карта 75 | ||||||||||||||||
N позиции | d, мм, до | t, мм, до | l, мм, до | Режимы резания | ||||||||||||
10 | 20 | 30 | 40 | 50 | 73 | 100 | 125 | 150 | 175 | 200 | S, мм/об. | n, об./мин. | v, м/мин. | |||
Время на рабочий ход, мин. | ||||||||||||||||
1 | 20 | 0,5 | 0,54 | 0,61 | 0,70 | 0,68 | 0,86 | 1,05 | - | - | - | - | - | 0,12 | 1080 | 68 |
2 | 40 | 0,5 | 0,58 | 0,70 | 0,80 | 0,92 | 1,04 | 1,33 | 1,60 | 1,92 | - | - | - | 0,12 | 777 | 97 |
3 | 60 | 0,5 | 0,65 | 0,81 | 0,99 | 1,14 | 1,32 | 1,75 | 2,15 | 2,59 | 3,01 | 3,43 | 3,88 | 0,12 | 530 | 100 |
4 | 80 | 0,5 | 0,73 | 0,89 | 1,08 | 1,29 | 1,49 | 1,99 | 2,48 | 3,01 | 3,49 | 4,00 | 4,54 | 0,12 | 442 | 111 |
5 | 100 | 0,5 | 0,80 | 0,97 | 1,19 | 1,42 | 1,66 | 2,23 | 2,81 | 3,41 | 3,98 | 4,56 | 5,19 | 0,12 | 385 | 121 |
6 | 125 | 0,5 | 0,90 | 1,07 | 1,35 | 1,63 | 1,90 | 2,59 | 3,29 | 4,01 | 4,69 | 5,38 | 6,08 | 0,12 | 317 | 124 |
7 | 150 | 0,5 | - | - | 1,50 | 1,83 | 2,13 | 2,95 | 3,76 | 4,61 | 5,40 | 6,21 | 6,98 | 0,12 | 274 | 129 |
8 | 200 | 1,0 | - | - | 1,99 | 2,45 | 2,91 | 4,09 | 5,29 | 6,46 | 7,63 | 8,87 | 9,99 | 0,12 | 188 | 118 |
9 | 250 | 1,0 | - | - | 2,28 | 2,85 | 3,39 | 4,81 | 6,21 | 7,64 | 9,06 | 10,5 | 11,8 | 0,12 | 157 | 123 |
10 | 300 | 1,0 | - | - | 2,56 | 3,24 | 3,88 | 5,53 | 7,13 | 8,83 | 10,5 | 12,0 | 13,7 | 0,12 | 136 | 128 |
11 | 400 | 1,0 | - | - | 3,49 | 4,36 | 5,29 | 7,57 | 9,89 | 12,1 | 14,5 | 16,8 | 19,1 | 0,12 | 96 | 120 |
12 | 500 | 1,0 | - | - | 5,04 | 6,21 | 7,56 | 11,0 | 14,2 | 17,6 | 20,9 | 24,2 | 27,6 | 0,12 | 66 | 104 |
Индекс | а | б | в | г | д | е | ж | з | и | к | л | |||||
СВЕРЛЕНИЕ СКВОЗНЫХ ОТВЕРСТИЙ, Rz80, IT14...IT12 Сталь углеродистая конструкционная, | Токарно-револьверные станки с вертикальной осью вращения головки | ||||||||||||||
Сверла спиральные из стали Р6М5 | |||||||||||||||
Карта 76 | |||||||||||||||
N позиции | d, мм, до | l, мм, до | Режимы резания | ||||||||||||
10 | 20 | 30 | 40 | 50 | 75 | 100 | 125 | 150 | 175 | 200 | S, мм/об. | n, об./мин. | v, м/мин. | ||
Время на рабочий ход, мин. | |||||||||||||||
1 | 6 | 0,35 | 0,42 | 0,48 | 0,53 | 0,60 | - | - | - | - | - | - | 0,17 | 1080 | 20 |
2 | 8 | 0,37 | 0,44 | 0,51 | 0,56 | 0,67 | 0,86 | - | - | - | - | - | 0,17 | 777 | 19 |
3 | 10 | 0,39 | 0,47 | 0,54 | 0,61 | 0,74 | 0,93 | 1,14 | - | - | - | - | 0,25 | 500 | 24 |
4 | 12 | 0,42 | 0,50 | 0,58 | 0,66 | 0,78 | 0,97 | 1,26 | 1,50 | - | - | - | 0,25 | 450 | 20 |
5 | 16 | 0,45 | 0,53 | 0,61 | 0,70 | 0,82 | 1,01 | 1,33 | 1,55 | - | - | - | 0,35 | 300 | 27 |
6 | 20 | 0,48 | 0,58 | 0,66 | 0,78 | 0,87 | 1,07 | 1,36 | 1,65 | 1,94 | - | - | 0,35 | 270 | 24 |
7 | 25 | 0,54 | 0,64 | 0,74 | 0,84 | 0,94 | 1,22 | 1,58 | 1,84 | 2,21 | 2,48 | - | 0,35 | 240 | 21 |
8 | 30 | 0,62 | 0,73 | 0,83 | 0,94 | 1,07 | 1,36 | 1,70 | 1,96 | 2,33 | 2,72 | 3,10 | 0,40 | 200 | 22 |
9 | 40 | 0,70 | 0,85 | 1,02 | 1,16 | 1,45 | 1,84 | 2,23 | 2,62 | 3,05 | 3,44 | 3,88 | 0,40 | 170 | 24 |
10 | 50 | 0,82 | 1,16 | 1,40 | 1,59 | 1,84 | 2,42 | 3,01 | 3,59 | 4,12 | 4,75 | 5,33 | 0,40 | 120 | 21 |
11 | 60 | 1,26 | 1,61 | 1,94 | 2,23 | 2,57 | 3,34 | 4,22 | 4,99 | 5,82 | 6,64 | 7,47 | 0,40 | 85 | 26 |
Индекс | а | б | в | г | д | е | ж | з | и | к | л | ||||
РАССВЕРЛИВАНИЕ СКВОЗНЫХ ОТВЕРСТИЙ, Rz80, IT14...IT12 Сталь углеродистая конструкционная, | Токарно-револьверные станки с вертикальной осью вращения головки | ||||||||||||||
Сверла спиральные из стали Р6М5 | |||||||||||||||
Карта 77 | |||||||||||||||
N позиции | d, мм, до | d1, мм, до | l, мм, до | Режимы резания | |||||||||||
20 | 30 | 40 | 50 | 75 | 100 | 125 | 150 | 175 | 200 | S, мм/об. | n, об./мин. | v, м/мин. | |||
Время на рабочий ход, мин. | |||||||||||||||
1 | 20 | 10 | 0,35 | 0,40 | 0,46 | 0,49 | - | - | - | - | - | - | 1,0 | 240 | 15 |
2 | 30 | 20 | 0,42 | 0,47 | 0,54 | 0,59 | 0,74 | 0,87 | 1,02 | 1,15 | - | - | 1,0 | 188 | 18 |
3 | 40 | 20 | 0,51 | 0,58 | 0,66 | 0,74 | 0,93 | 1,12 | 1,32 | 1,52 | - | - | 1,0 | 130 | 16 |
4 | 30 | 0,49 | 0,56 | 0,64 | 0,71 | 0,91 | 1,10 | 1,30 | 1,49 | 1,69 | 1,89 | 1,0 | 140 | 18 | |
5 | 50 | 30 | 0,63 | 0,72 | 0,81 | 0,92 | 1,20 | 1,47 | 1,75 | 2,04 | 2,30 | 2,66 | 1,0 | 95 | 15 |
6 | 40 | 0,60 | 0,68 | 0,78 | 0,89 | 1,16 | 1,44 | 1,72 | 1,99 | 2,27 | 2,54 | 1,0 | 100 | 16 | |
7 | 60 | 30 | 0,68 | 0,78 | 0,87 | 0,97 | 1,25 | 1,53 | 1,80 | 2,08 | 2,36 | 2,64 | 1,0 | 90 | 17 |
8 | 40 | 0,66 | 0,73 | 0,82 | 0,92 | 1,20 | 1,47 | 1,75 | 2,03 | 2,30 | 2,58 | 1,0 | 95 | 18 | |
9 | 80 | 40 | 0,87 | 0,97 | 1,11 | 1,33 | 1,73 | 2,12 | 2,53 | 2,93 | 3,34 | 3,73 | 1,0 | 66 | 17 |
Индекс | а | б | в | г | д | е | ж | з | и | к | |||||
ЗЕНКЕРОВАНИЕ ЦИЛИНДРИЧЕСКИХ ОТВЕРСТИЙ, Rz40...Rz20, IT14...IT11 Сталь углеродистая конструкционная, | Токарно-револьверные станки с вертикальной осью вращения головки | ||||||||||||||
Зенкеры с пластинками Т15К6 | |||||||||||||||
Карта 78 | |||||||||||||||
N позиции | d, мм, до | t, мм, до | l, мм, до | Режимы резания | |||||||||||
20 | 30 | 40 | 50 | 75 | 100 | 125 | 150 | 175 | 200 | S, мм/об. | n, об./мин. | v, м/мин. | |||
Время на рабочий ход, мин. | |||||||||||||||
1 | 20 | 0,50 | 0,33 | 0,35 | 0,36 | 0,38 | 0,44 | 0,47 | 0,53 | 0,58 | - | - | 0,5 | 1080 | 68 |
2 | 30 | 0,75 | 0,35 | 0,39 | 0,41 | 0,43 | 0,49 | 0,56 | 0,64 | 0,72 | 0,79 | - | 0,5 | 777 | 73 |
3 | 40 | 1,00 | 0,37 | 0,41 | 0,44 | 0,47 | 0,54 | 0,63 | 0,72 | 0,79 | 0,89 | 0,99 | 0,56 | 571 | 72 |
4 | 50 | 1,25 | 0,39 | 0,43 | 0,46 | 0,49 | 0,59 | 0,69 | 0,79 | 0,89 | 0,99 | 1,09 | 0,7 | 385 | 60 |
5 | 60 | 1,50 | 0,42 | 0,47 | 0,53 | 0,59 | 0,73 | 0,87 | 1,00 | 1,14 | 1,28 | 1,42 | 0,7 | 274 | 52 |
6 | 80 | 1,50 | 0,47 | 0,52 | 0,59 | 0,68 | 0,83 | 1,02 | 1,16 | 1,34 | 1,50 | 1,68 | 1,0 | 157 | 39 |
Индекс | а | б | в | г | д | е | ж | з | и | к | |||||
ЗЕНКЕРОВАНИЕ ЦИЛИНДРИЧЕСКИХ ОТВЕРСТИЙ, Rz40...Rz20, IT14...IT11 Сталь углеродистая конструкционная, | Токарно-револьверные станки с вертикальной осью вращения головки | ||||||||||||||
Зенкеры из стали Р6М5 | |||||||||||||||
Карта 79 | |||||||||||||||
N позиции | d, мм, до | t, мм, до | l, мм, до | Режимы резания | |||||||||||
20 | 30 | 40 | 50 | 75 | 100 | 125 | 150 | 175 | 200 | S, мм/об. | n, об./мин. | v, м/мин. | |||
Время на рабочий ход, мин. | |||||||||||||||
1 | 10 | 0,50 | 0,34 | 0,37 | 0,40 | 0,43 | - | - | - | - | - | - | 0,5 | 777 | 24 |
2 | 15 | 0,50 | 0,37 | 0,42 | 0,46 | 0,48 | 0,59 | - | - | - | - | - | 0,5 | 530 | 25 |
3 | 20 | 0,50 | 0,41 | 0,47 | 0,52 | 0,56 | 0,71 | 0,85 | 1,00 | 1,16 | - | - | 0,5 | 385 | 24 |
4 | 30 | 0,75 | 0,48 | 0,55 | 0,65 | 0,73 | 0,92 | 1,14 | 1,33 | 1,53 | 1,75 | 1,94 | 0,7 | 188 | 18 |
5 | 40 | 1,00 | 0,50 | 0,60 | 0,70 | 0,85 | 1,01 | 1,21 | 1,45 | 1,69 | 1,94 | 2,14 | 1,0 | 117 | 15 |
6 | 50 | 1,25 | 0,55 | 0,66 | 0,78 | 0,89 | 1,16 | 1,44 | 1,72 | 2,00 | 2,26 | 2,55 | 1,0 | 96 | 15 |
7 | 60 | 1,50 | 0,60 | 0,72 | 0,89 | 0,99 | 1,31 | 1,65 | 1,94 | 2,26 | 2,58 | 2,91 | 1,0 | 83 | 16 |
8 | 80 | 2,00 | 0,70 | 0,85 | 1,03 | 1,19 | 1,59 | 2,00 | 2,40 | 2,80 | 3,21 | 3,61 | 1,0 | 66 | 16 |
Индекс | а | б | в | г | д | е | ж | з | и | к | |||||
ЗЕНКЕРОВАНИЕ КОНИЧЕСКИХ ОТВЕРСТИЙ, Rz40...Rz20, IT14...IT11 Сталь углеродистая конструкционная, | Токарно-револьверные станки с вертикальной осью вращения головки | ||||||||
Зенкеры из стали Р6М5 | |||||||||
Карта 80 | |||||||||
N позиции | d, мм, до | Черновое зенкерование, Rz40 | Чистовое зенкерование, Rz20 | ||||||
Время на рабочий ход, мин. | Режимы резания | Время на рабочий ход, мин. | Режимы резания | ||||||
S, мм/об. | n, об./мин. | v, м/мин. | S, мм/об. | n, об./мин. | v, м/мин. | ||||
1 | 8 | 0,50 | 0,17 | 233 | 6 | 0,71 | 0,09 | 300 | 7,5 |
2 | 11 | 0,69 | 0,25 | 150 | 5 | 0,97 | 0,12 | 210 | 7,3 |
3 | 14 | 0,87 | 0,30 | 115 | 5 | 1,16 | 0,15 | 150 | 6,6 |
4 | 19 | 1,07 | 0,35 | 90 | 5,4 | 1,41 | 0,20 | 100 | 6 |
5 | 25 | 1,26 | 0,40 | 70 | 5,5 | 1,65 | 0,25 | 70 | 5,5 |
6 | 38 | 1,45 | 0,50 | 50 | 6 | 1,94 | 0,30 | 50 | 6 |
Индекс | а | б | |||||||
РАЗВЕРТЫВАНИЕ ОТВЕРСТИЙ, Rz20...Ra2,5, IT11...IT9 Сталь углеродистая конструкционная, | Токарно-револьверные станки с вертикальной осью вращения головки | ||||||||||||||
Развертки с пластинками Т15К6 | |||||||||||||||
Карта 81 | |||||||||||||||
N позиции | d, мм, до | t, мм, до | l, мм, до | Режимы резания | |||||||||||
20 | 30 | 40 | 50 | 75 | 100 | 125 | 150 | 175 | 200 | S, мм/об. | n, об./мин. | v, м/мин. | |||
Время на рабочий ход, мин. | |||||||||||||||
1 | 15 | 0,05 | 0,40 | 0,43 | 0,45 | 0,47 | 0,54 | - | - | - | - | - | 0,50 | 530 | 25 |
2 | 20 | 0,07 | 0,42 | 0,46 | 0,49 | 0,56 | 0,64 | 0,75 | 0,85 | 0,97 | - | - | 0,70 | 385 | 24 |
3 | 30 | 0,07 | 0,47 | 0,51 | 0,57 | 0,63 | 0,77 | 0,91 | 1,04 | 1,17 | 1,31 | 1,45 | 0,70 | 274 | 26 |
4 | 40 | 0,09 | 0,56 | 0,68 | 0,82 | 0,94 | 1,21 | 1,49 | 1,78 | 2,06 | 2,35 | 2,62 | 0,70 | 136 | 17 |
5 | 60 | 0,10 | 0,61 | 0,74 | 0,87 | 1,02 | 1,31 | 1,63 | 1,94 | 2,27 | 2,57 | 2,91 | 1,00 | 83 | 16 |
6 | 80 | 0,10 | - | 0,82 | 0,97 | 1,11 | 1,45 | 1,75 | 2,09 | 2,42 | 2,76 | 3,10 | 1,35 | 58 | 15 |
Индекс | а | б | в | г | д | е | ж | з | и | к | |||||
РАЗВЕРТЫВАНИЕ ОТВЕРСТИЙ, Ra1,25...Ra0,63, IT9...IT7 Сталь углеродистая конструкционная, | Токарно-револьверные станки с вертикальной осью вращения головки | ||||||||||||||
Развертки с пластинками Т15К6 | |||||||||||||||
Карта 82 | |||||||||||||||
N позиции | d, мм, до | t, мм, до | l, мм, до | Режимы резания | |||||||||||
20 | 30 | 40 | 50 | 75 | 100 | 125 | 150 | 175 | 200 | S, мм/об. | n, об./мин. | v, м/мин. | |||
Время на рабочий ход, мин. | |||||||||||||||
1 | 15 | 0,030 | 0,51 | 0,58 | 0,67 | 0,75 | 0,93 | 1,13 | - | - | - | - | 0,50 | 274 | 13 |
2 | 20 | 0,030 | 0,52 | 0,66 | 0,77 | 0,87 | 1,07 | 1,31 | 1,55 | 1,79 | - | - | 0,50 | 226 | 14 |
3 | 30 | 0,030 | 0,61 | 0,72 | 0,83 | 0,97 | 1,22 | 1,55 | 1,79 | 2,13 | 2,38 | 2,67 | 0,50 | 188 | 18 |
4 | 40 | 0,035 | 0,75 | 0,83 | 0,93 | 1,07 | 1,38 | 1,70 | 2,04 | 2,33 | 2,67 | 3,01 | 0,70 | 117 | 15 |
5 | 60 | 0,050 | 0,84 | 0,93 | 1,07 | 1,16 | 1,50 | 1,81 | 2,15 | 2,47 | 2,91 | 3,20 | 0,92 | 83 | 16 |
6 | 80 | 0,050 | 0,97 | 1,06 | 1,23 | 1,41 | 1,71 | 2,04 | 2,47 | 2,86 | 3,25 | 3,68 | 1,00 | 66 | 16 |
Индекс | а | б | в | г | д | е | ж | з | и | к | |||||
РАЗВЕРТЫВАНИЕ ОТВЕРСТИЙ, Rz20...Ra2,5, IT11...IT9 Сталь углеродистая конструкционная, | Токарно-револьверные станки с вертикальной осью вращения головки | ||||||||||||||
Развертки из стали Р6М5 | |||||||||||||||
Карта 83 | |||||||||||||||
N позиции | d, мм, до | t, мм, до | l, мм, до | Режимы резания | |||||||||||
20 | 30 | 40 | 50 | 75 | 100 | 125 | 150 | 175 | 200 | S, мм/об. | n, об./мин. | v, м/мин. | |||
Время на рабочий ход, мин. | |||||||||||||||
1 | 10 | 0,055 | 0,45 | 0,51 | 0,55 | 0,60 | - | - | - | - | - | - | 0,80 | 240 | 7 |
2 | 15 | 0,055 | 0,47 | 0,53 | 0,58 | 0,64 | 0,70 | - | - | - | - | - | 1,00 | 188 | 9 |
3 | 20 | 0,070 | 0,50 | 0,60 | 0,69 | 0,77 | 0,97 | 1,17 | 1,38 | 1,58 | - | - | 1,00 | 136 | 8 |
4 | 30 | 0,065 | 0,63 | 0,75 | 0,88 | 1,00 | 1,30 | 1,60 | 1,90 | 2,19 | 2,48 | 2,77 | 1,35 | 66 | 6 |
5 | 40 | 0,090 | 0,76 | 0,92 | 1,10 | 1,25 | 1,65 | 2,05 | 2,44 | 2,83 | 3,22 | 3,62 | 1,40 | 48 | 6 |
6 | 60 | 0,090 | 0,85 | 1,05 | 1,21 | 1,41 | 1,86 | 2,38 | 2,81 | 3,30 | 3,73 | 4,17 | 1,40 | 41 | 8 |
7 | 80 | 0,100 | 0,97 | 1,16 | 1,45 | 1,65 | 2,23 | 2,81 | 3,30 | 3,88 | 4,36 | 4,85 | 1,70 | 29 | 7 |
Индекс | а | б | в | г | д | е | ж | з | и | к | |||||
РАЗВЕРТЫВАНИЕ ОТВЕРСТИЙ, Ra1,25...Ra0,63, IT9...IT7 Сталь углеродистая конструкционная, | Токарно-револьверные станки с вертикальной осью вращения головки | ||||||||||||||
Развертки из стали Р6М5 | |||||||||||||||
Карта 84 | |||||||||||||||
N позиции | d, мм, до | t, мм, до | l, мм, до | Режимы резания | |||||||||||
20 | 30 | 40 | 50 | 75 | 100 | 125 | 150 | 175 | 200 | S, мм/об. | n, об./мин. | v, м/мин. | |||
Время на рабочий ход, мин. | |||||||||||||||
1 | 10 | 0,020 | 0,55 | 0,65 | 0,76 | 0,85 | 0,94 | - | - | - | - | - | 0,60 | 188,0 | 6 |
2 | 15 | 0,020 | 0,58 | 0,69 | 0,81 | 0,92 | 1,04 | - | - | - | - | - | 0,70 | 136,0 | 6 |
3 | 20 | 0,020 | 0,70 | 0,86 | 1,01 | 1,16 | 1,56 | 1,96 | 2,36 | 2,75 | - | - | 0,70 | 96,5 | 6 |
4 | 30 | 0,035 | 0,82 | 0,93 | 1,04 | 1,20 | 1,61 | 2,04 | 2,43 | 2,81 | 3,20 | 3,60 | 1,35 | 48,0 | 4 |
5 | 40 | 0,035 | 0,87 | 1,02 | 1,16 | 1,36 | 1,75 | 2,23 | 2,72 | 3,10 | 3,60 | 4,07 | 1,40 | 41,0 | 5 |
6 | 60 | 0,035 | 1,02 | 1,16 | 130 | 1,52 | 2,08 | 2,65 | 3,20 | 3,75 | 4,32 | 4,90 | 1,40 | 34,0 | 6 |
7 | 80 | 0,050 | 1,21 | 1,45 | 1,70 | 1,89 | 2,52 | 3,10 | 3,70 | 4,17 | 4,75 | 5,43 | 1,40 | 29,0 | 7 |
Индекс | а | б | в | г | д | е | ж | з | и | к | |||||
НАРЕЗАНИЕ НАРУЖНОЙ МЕТРИЧЕСКОЙ РЕЗЬБЫ Сталь углеродистая конструкционная, | Токарно-револьверные станки с вертикальной осью вращения головки | |||||||||||
Плашки круглые из стали 9ХС | ||||||||||||
Карта 85 | Лист 1 | |||||||||||
N позиции | D, мм, до | P, мм | l, мм, до | Режимы резания | ||||||||
10 | 15 | 20 | 25 | 30 | 40 | 50 | 75 | n, об./мин. | v, м/мин. | |||
Время на поверхность, мин. | ||||||||||||
1 | 6 | 0,50 | 0,60 | 0,72 | 0,84 | 0,95 | 1,07 | - | - | - | 136 - 226 | 2 - 4 |
2 | 0,75 | 0,53 | 0,61 | 0,69 | 0,77 | 0,84 | - | - | - | |||
3 | 1,00 | 0,55 | 0,62 | 0,70 | 0,78 | 0,86 | - | - | - | |||
4 | 8 | 0,50 | 0,60 | 0,72 | 0,84 | 0,95 | 1,07 | 1,28 | - | - | 96 - 188 | 2 - 5 |
5 | 0,75 | 0,53 | 0,61 | 0,69 | 0,77 | 0,84 | 0,99 | - | - | |||
6 | 1,00 | 0,55 | 0,62 | 0,70 | 0,78 | 0,86 | 1,02 | 1,17 | - | |||
7 | 1,25 | 0,58 | 0,67 | 0,76 | 0,84 | 0,93 | 1,10 | 1,28 | - | |||
8 | 10 | 0,50 | 0,70 | 0,85 | 1,02 | 1,17 | 1,32 | 1,65 | 1,94 | - | 96 - 136 | 3 - 4 |
9 | 0,75 | 0,60 | 0,71 | 0,80 | 0,91 | 1,02 | 1,22 | 1,42 | - | |||
10 | 1,00 | 0,55 | 0,62 | 0,70 | 0,78 | 0,86 | 1,02 | 1,16 | - | |||
11 | 1,25 | 0,58 | 0,67 | 0,76 | 0,84 | 0,93 | 1,10 | 1,28 | - | |||
12 | 1,50 | 0,55 | 0,62 | 0,70 | 0,78 | 0,85 | 0,99 | 1,13 | - | |||
13 | 12 | 0,50 | 0,70 | 0,86 | 1,02 | 1,17 | 1,33 | 1,65 | 1,94 | - | 66 - 136 | 2 - 5 |
14 | 0,75 | 0,60 | 0,71 | 0,80 | 0,91 | 1,02 | 1,22 | 1,42 | - | |||
15 | 1,00 | 0,55 | 0,62 | 0,70 | 0,78 | 0,86 | 1,02 | 1,16 | 1,55 | |||
16 | 1,25 | 0,58 | 0,67 | 0,76 | 0,84 | 0,93 | 1,10 | 1,28 | 1,72 | |||
17 | 1,50 | 0,64 | 0,75 | 0,85 | 0,95 | 1,07 | 1,28 | 1,49 | 2,03 | |||
18 | 1,75 | 0,60 | 0,70 | 0,79 | 0,88 | 0,97 | 1,15 | 1,35 | 1,83 | |||
19 | 16 | 0,50 | 0,85 | 1,07 | 1,28 | 1,50 | 1,72 | 2,16 | 2,59 | 3,74 | 66 - 96 | 3 - 5 |
20 | 0,75 | 0,70 | 0,84 | 0,99 | 1,13 | 1,28 | 1,58 | 1,84 | 2,62 | |||
21 | 1,00 | 0,63 | 0,74 | 0,85 | 0,97 | 1,07 | 1,28 | 1,50 | 2,06 | |||
22 | 1,50 | 0,55 | 0,62 | 0,70 | 0,78 | 0,85 | 0,97 | 1,13 | 1,50 | |||
23 | 2,00 | 0,58 | 0,67 | 0,76 | 0,83 | 0,90 | 1,08 | 1,23 | 1,65 | |||
Индекс | а | б | в | г | д | е | ж | з | ||||
НЕПОЛНОЕ ШТУЧНОЕ ВРЕМЯ НАРЕЗАНИЕ НАРУЖНОЙ МЕТРИЧЕСКОЙ РЕЗЬБЫ Сталь углеродистая конструкционная, | Токарно-револьверные станки с вертикальной осью вращения головки | |||||||||||
Плашки круглые из стали 9ХС | ||||||||||||
Карта 85 | Лист 2 | |||||||||||
N позиции | D, мм, до | P, мм | l, мм, до | Режимы резания | ||||||||
10 | 15 | 20 | 25 | 30 | 40 | 50 | 75 | n, об./мин. | v, м/мин. | |||
Время на поверхность, мин. | ||||||||||||
24 | 20 | 0,50 | 0,85 | 1,07 | 1,28 | 1,55 | 1,72 | 2,16 | 2,59 | 3,71 | 48 - 83 | 3 - 5 |
25 | 0,75 | 0,70 | 0,84 | 0,99 | 1,13 | 1,28 | 1,58 | 1,87 | 2,62 | |||
26 | 1,00 | 0,63 | 0,75 | 0,85 | 0,97 | 1,07 | 1,28 | 1,50 | 2,06 | |||
27 | 1,50 | 0,55 | 0,62 | 0,70 | 0,78 | 0,85 | 0,99 | 1,13 | 1,50 | |||
28 | 2,00 | 0,67 | 0,78 | 0,87 | 0,97 | 1,11 | 1,34 | 1,55 | 2,11 | |||
29 | 2,50 | 0,64 | 0,73 | 0,81 | 0,88 | 0,97 | 1,15 | 1,34 | 1,76 | |||
30 | 24 | 0,75 | 0,70 | 0,84 | 0,99 | 1,13 | 1,28 | 1,57 | 1,86 | 2,61 | 48 - 96 | 4 - 7 |
31 | 1,00 | 0,64 | 0,75 | 0,85 | 0,97 | 1,07 | 1,28 | 1,50 | 2,06 | |||
32 | 1,50 | 0,55 | 0,62 | 0,70 | 0,78 | 0,85 | 0,99 | 1,13 | 1,50 | |||
33 | 2,00 | 0,58 | 0,67 | 0,76 | 0,83 | 0,91 | 1,08 | 1,23 | 1,64 | |||
34 | 3,00 | 0,59 | 0,66 | 0,73 | 0,81 | 0,87 | 1,02 | 1,19 | 1,55 | |||
35 | 30 | 0,75 | 0,85 | 1,07 | 1,28 | 1,53 | 1,71 | 2,13 | 2,57 | 3,64 | 34 - 66 | 3 - 6 |
36 | 1,00 | 0,75 | 0,91 | 1,07 | 1,24 | 1,41 | 1,70 | 2,04 | 2,85 | |||
37 | 1,50 | 0,64 | 0,75 | 0,85 | 0,97 | 1,07 | 1,26 | 1,49 | 2,04 | |||
38 | 2,00 | 0,58 | 0,67 | 0,76 | 0,83 | 0,90 | 1,07 | 1,23 | 1,60 | |||
39 | 3,00 | 0,59 | 0,66 | 0,73 | 0,81 | 0,87 | 1,02 | 1,16 | 1,55 | |||
40 | 36 | 3,50 | 0,67 | 0,76 | 0,85 | 1,02 | 1,20 | 1,38 | 1,38 | 1,79 | ||
41 | 1,00 | 0,75 | 0,91 | 1,08 | 1,24 | 1,41 | 1,70 | 2,04 | 2,85 | 34 - 66 | 4 - 7 | |
42 | 1,50 | 0,64 | 0,75 | 0,85 | 0,97 | 1,07 | 1,28 | 1,49 | 2,04 | |||
43 | 2,00 | 0,58 | 0,67 | 0,76 | 0,83 | 0,91 | 1,07 | 1,23 | 1,64 | |||
44 | 3,00 | 0,59 | 0,66 | 0,73 | 0,81 | 0,87 | 1,02 | 1,16 | 1,55 | |||
45 | 4,00 | 0,64 | 0,72 | 0,79 | 0,88 | 0,97 | 1,11 | 1,26 | 1,65 | |||
Индекс | а | б | в | г | д | е | ж | з | ||||
НАРЕЗАНИЕ ВНУТРЕННЕЙ МЕТРИЧЕСКОЙ РЕЗЬБЫ Сталь углеродистая конструкционная, | Токарно-револьверные станки с вертикальной осью вращения головки | |||||||||||
Метчики машинные на стали Р6М5 | ||||||||||||
Карта 86 | Лист 1 | |||||||||||
N позиции | d, мм, до | P, мм | l, мм, до | Режимы резания | ||||||||
5 | 10 | 15 | 20 | 25 | 30 | 40 | 50 | n, об./мин. | v, м/мин. | |||
Время на поверхность, мин. | ||||||||||||
1 | 6 | 0,50 | 0,58 | 0,70 | 0,81 | 0,93 | - | - | - | - | 188 | 3 |
2 | 0,75 | 0,53 | 0,64 | 0,72 | 0,78 | - | - | - | - | |||
3 | 1,00 | 0,48 | 0,60 | 0,65 | 0,70 | - | - | - | - | |||
4 | 8 | 0,50 | 0,56 | 0,64 | 0,72 | 0,78 | 0,86 | 0,96 | - | - | 136 - 274 | 3 - 7 |
5 | 0,75 | 0,53 | 0,62 | 0,66 | 0,73 | 0,78 | 0,84 | - | - | |||
6 | 1,00 | 0,48 | 0,60 | 0,65 | 0,70 | 0,74 | 0,78 | - | - | |||
7 | 1,25 | 0,43 | 0,58 | 0,63 | 0,68 | 0,70 | 0,78 | - | - | |||
8 | 10 | 0,50 | 0,58 | 0,70 | 0,81 | 0,93 | 1,02 | 1,10 | 1,28 | 1,45 | 136 - 188 | 4 - 6 |
9 | 0,75 | 0,53 | 0,64 | 0,72 | 0,78 | 0,85 | 0,93 | 1,09 | 1,24 | |||
10 | 1,00 | 0,48 | 0,60 | 0,65 | 0,70 | 0,76 | 0,82 | 0,97 | 1,11 | |||
11 | 1,25 | 0,44 | 0,58 | 0,63 | 0,68 | 0,73 | 0,78 | 0,87 | 0,97 | |||
12 | 1,50 | 0,42 | 0,55 | 0,61 | 0,66 | 0,70 | 0,73 | 0,79 | 0,87 | |||
Индекс | а | б | в | г | д | е | ж | з | ||||
НЕПОЛНОЕ ШТУЧНОЕ ВРЕМЯ НАРЕЗАНИЕ ВНУТРЕННЕЙ МЕТРИЧЕСКОЙ РЕЗЬБЫ Сталь углеродистая конструкционная, | Токарно-револьверные станки с вертикальной осью вращения головки | |||||||||||
Метчики машинные из стали Р6М5 | ||||||||||||
Карта 86 | Лист 2 | |||||||||||
N позиции | d, мм, до | P, мм | l, мм, до | Режимы резания | ||||||||
5 | 10 | 15 | 20 | 25 | 30 | 40 | 50 | n, об./мин. | v, м/мин. | |||
Время на поверхность, мин. | ||||||||||||
13 | 12 | 0,50 | 0,58 | 0,70 | 0,81 | 0,93 | 1,02 | 1,10 | 1,38 | 1,65 | 136 - 188 | 5 - 7 |
14 | 0,75 | 0,53 | 0,64 | 0,72 | 0,78 | 0,85 | 0,93 | 1,09 | 1,26 | |||
15 | 1,00 | 0,48 | 0,61 | 0,65 | 0,70 | 0,76 | 0,83 | 0,93 | 1,07 | |||
16 | 1,25 | 0,44 | 0,58 | 0,63 | 0,68 | 0,73 | 0,78 | 0,87 | 0,97 | |||
17 | 1,50 | 0,41 | 0,56 | 0,61 | 0,66 | 0,70 | 0,73 | 0,82 | 0,92 | |||
18 | 1,75 | 0,39 | 0,54 | 059 | 0,64 | 0,66 | 0,68 | 0,78 | 0,87 | |||
19 | 16 | 0,50 | 0,68 | 0,82 | 0,99 | 1,14 | 1,30 | 1,45 | 1,75 | 2,06 | 96 - 136 | 5 - 7 |
20 | 0,75 | 0,61 | 0,72 | 0,81 | 0,93 | 1,04 | 1,14 | 1,34 | 1,55 | |||
21 | 1,00 | 0,58 | 0,68 | 0,75 | 0,82 | 0,89 | 0,97 | 1,14 | 1,30 | |||
22 | 1,50 | 0,56 | 0,62 | 0,67 | 0,72 | 0,77 | 0,82 | 0,93 | 1,04 | |||
23 | 2,00 | 0,53 | 0,60 | 0,65 | 0,70 | 0,74 | 0,78 | 0,87 | 0,97 | |||
Индекс | а | б | в | г | д | е | ж | з | ||||
НЕПОЛНОЕ ШТУЧНОЕ ВРЕМЯ НАРЕЗАНИЕ ВНУТРЕННЕЙ МЕТРИЧЕСКОЙ РЕЗЬБЫ Сталь углеродистая конструкционная, | Токарно-револьверные станки с вертикальной осью вращения головки | ||||||||||||
Метчики машинные из стали Р6М5 | |||||||||||||
Карта 86 | Лист 3 | ||||||||||||
N позиции | d, мм, до | P, мм | l, мм, до | Режимы резания | |||||||||
5 | 10 | 15 | 20 | 25 | 30 | 40 | 50 | 75 | n, об./мин. | v, м/мин. | |||
Время на поверхность, мин. | |||||||||||||
24 | 20 | 0,50 | 1,02 | 1,32 | 1,63 | 1,94 | 2,24 | 2,55 | 3,19 | 3,78 | 1,85 | 96 - 136 | 6 - 8 |
25 | 0,75 | 0,91 | 1,10 | 1,32 | 1,53 | 1,74 | 1,94 | 2,33 | 2,76 | 3,59 | |||
26 | 1,00 | 0,87 | 1,02 | 1,16 | 1,31 | 1,45 | 1,60 | 1,79 | 2,23 | 3,01 | |||
27 | 1,50 | 0,78 | 0,95 | 1,03 | 1,10 | 1,21 | 1,31 | 1,63 | 1,75 | 2,04 | |||
28 | 2,00 | 0,76 | 0,87 | 0,97 | 1,07 | 1,16 | 1,26 | 1,55 | 1,70 | 1,99 | |||
29 | 2,50 | 0,74 | 0,82 | 0,92 | 1,01 | 1,09 | 1,16 | 1,45 | 1,65 | 1,94 | |||
30 | 24 | 0,75 | 0,91 | 1,10 | 1,32 | 1,53 | 1,74 | 1,94 | 2,33 | 2,76 | 3,78 | 96 - 136 | 7 - 10 |
31 | 1,00 | 0,87 | 1,03 | 1,16 | 1,31 | 1,45 | 1,60 | 1,79 | 2,23 | 3,02 | |||
32 | 1,50 | 0,78 | 0,89 | 1,00 | 1,10 | 1,21 | 1,31 | 1,63 | 1,75 | 2,25 | |||
33 | 2,00 | 0,76 | 0,85 | 0,94 | 1,07 | 1,16 | 1,24 | 1,55 | 1,70 | 1,87 | |||
34 | 3,00 | 0,72 | 0,78 | 0,87 | 0,97 | 1,02 | 1,07 | 1,36 | 1,55 | 1,79 | |||
Индекс | а | б | в | г | д | е | ж | з | и | ||||
НЕПОЛНОЕ ШТУЧНОЕ ВРЕМЯ НАРЕЗАНИЕ ВНУТРЕННЕЙ МЕТРИЧЕСКОЙ РЕЗЬБЫ Сталь углеродистая конструкционная, | Токарно-револьверные станки с вертикальной осью вращения головки | |||||||||||||
Метчики машинные из стали Р6М5 | ||||||||||||||
Карта 86 | Лист 4 | |||||||||||||
N позиции | d, мм, до | P, мм | l, мм, до | Режимы резания | ||||||||||
5 | 10 | 15 | 20 | 25 | 30 | 40 | 50 | 75 | n, об./мин. | v, м/мин. | ||||
Время на поверхность, мин. | ||||||||||||||
35 | 30 | 0,75 | 0,91 | 1,10 | 1,32 | 1,53 | 1,74 | 1,94 | 2,33 | 2,76 | 3,78 | 66 - 136 | 6 - 13 | |
36 | 1,00 | 0,87 | 1,02 | 1,16 | 1,32 | 1,45 | 1,61 | 1,80 | 2,23 | 3,02 | ||||
37 | 1,50 | 0,78 | 0,89 | 1,03 | 1,16 | 1,24 | 1,32 | 1,63 | 1,75 | 2,25 | ||||
38 | 2,00 | 0,76 | 0,85 | 0,97 | 1,07 | 1,16 | 1,24 | 145 | 1,70 | 1,87 | ||||
39 | 2,50 | 0,74 | 0,79 | 0,93 | 0,97 | 1,02 | 1,07 | 1,45 | 1,65 | 1,73 | ||||
40 | 36 | 1,00 | 0,87 | 1,03 | 1,17 | 1,32 | 1,45 | 1,61 | 1,80 | 2,25 | 3,02 | 66 - 136 | 7 - 15 | |
41 | 1,50 | 0,78 | 0,89 | 1,05 | 1,20 | 1,26 | 1,32 | 1,63 | 1,75 | 2,25 | ||||
42 | 2,00 | 0,76 | 0,85 | 0,97 | 1,07 | 1,16 | 1,24 | 1,55 | 1,70 | 1,87 | ||||
43 | 3,00 | 0,72 | 0,78 | 0,87 | 1,02 | 1,07 | 1,11 | 1,36 | 1,55 | 1,79 | ||||
44 | 4,00 | 0,68 | 0,73 | 0,94 | 0,97 | 1,03 | 1,07 | 1,26 | 1,45 | 1,70 | ||||
Индекс | а | б | в | г | д | е | ж | з | и | |||||
ТОЧЕНИЕ НАРУЖНЫХ КАНАВОК, Rz80, IT14...IT12 Сталь углеродистая конструкционная, | Токарно-револьверные станки с вертикальной осью вращения головки | |||||||||
Резцы с пластинками Т15К6 | ||||||||||
Карта 87 | ||||||||||
N позиции | D, мм, до | B, мм, до | h, мм, до | Режимы резания | ||||||
2 | 5 | 10 | 15 | 20 | Число рабочих ходов i | n, об./мин. | v, м/мин. | |||
Время на поверхность, мин. | ||||||||||
1 | 20 | 10 | 0,23 | 0,25 | - | - | - | 1 | 945 | 59 |
2 | 60 | 10 | 0,26 | 0,29 | 0,36 | - | - | 1 | 400 | 75 |
3 | 80 | 10 | 0,28 | 0,33 | 0,43 | 0,49 | 0,60 | 1 | 330 | 83 |
4 | 100 | 10 | 0,30 | 0,37 | 0,51 | 0,63 | 0,76 | 1 | 270 | 85 |
5 | 20 | 0,46 | 0,58 | 0,86 | 1,10 | 1,35 | 2 | |||
6 | 150 | 10 | 0,35 | 0,45 | 0,65 | 0,80 | 1,01 | 1 | 170 | 70 |
7 | 20 | 0,54 | 0,74 | 1,13 | 1,45 | 1,86 | 2 | |||
8 | 200 | 10 | 0,40 | 0,53 | 0,81 | 1,04 | 1,32 | 1 | 120 | 75 |
9 | 20 | 0,63 | 0,91 | 1,45 | 1,92 | 2,47 | 2 | |||
10 | 300 | 10 | 0,47 | 0,67 | 1,05 | 1,37 | 1,75 | 1 | 86 | 81 |
11 | 20 | 0,78 | 1,18 | 1,94 | 2,57 | 3,35 | 2 | |||
12 | 400 | 10 | 0,56 | 0,82 | 1,36 | 1,80 | 2,37 | 1 | 52 | 65 |
13 | 20 | 0,97 | 1,49 | 2,56 | 3,45 | 4,51 | 2 | |||
14 | 600 | 10 | 0,71 | 1,09 | 1,83 | 2,46 | 3,21 | 1 | 34 | 64 |
15 | 20 | 1,26 | 2,01 | 3,51 | 4,77 | 6,26 | 2 | |||
Индекс | а | б | в | г | д | |||||
ТОЧЕНИЕ КАНАВОК В ОТВЕРСТИЯХ, Rz80, IT14...IT12 Сталь углеродистая конструкционная, | Токарно-револьверные станки с вертикальной осью вращения головки | |||||||
Резцы с пластинками Т15К6 | ||||||||
Карта 88 | Лист 1 | |||||||
N позиции | d, мм, до | B, мм, до | Вылет резца l, мм, до | h, мм, до | Режимы резания | |||
2 | 5 | 10 | n, об./мин. | v, м/мин. | ||||
Время на поверхность, мин. | ||||||||
1 | 20 | 3 | 75 | 0,43 | 0,45 | - | 1080 | 68 |
2 | 5 | 75 | 0,44 | 0,47 | - | 1080 | 68 | |
3 | 40 | 3 | 75 | 0,43 | 0,46 | 0,51 | 385 | 48 |
4 | 5 | 125 | 0,44 | 0,47 | 0,56 | 442 | 55 | |
5 | 10 | 75 | 0,52 | 0,57 | 0,68 | 385 | 48 | |
6 | 125 | 0,54 | 0,62 | 0,75 | 442 | 55 | ||
7 | 60 | 5 | 125 | 0,45 | 0,47 | 0,55 | 226 | 42 |
8 | 200 | 0,47 | 0,52 | 0,63 | 274 | 52 | ||
9 | 10 | 125 | 0,54 | 0,62 | 0,77 | 226 | 42 | |
10 | 200 | 0,58 | 0,70 | 0,91 | 274 | 52 | ||
11 | 80 | 5 | 50 | 0,45 | 0,48 | 0,56 | 157 | 39 |
12 | 125 | 0,47 | 0,51 | 0,62 | 176 | 44 | ||
13 | 200 | 0,49 | 0,57 | 0,73 | 226 | 57 | ||
14 | 10 | 50 | 0,55 | 0,63 | 0,78 | 157 | 39 | |
15 | 125 | 0,58 | 0,68 | 0,89 | 176 | 44 | ||
16 | 200 | 0,65 | 0,81 | 1,10 | 226 | 57 | ||
17 | 100 | 5 | 50 | 0,46 | 0,50 | 0,59 | 117 | 37 |
18 | 125 | 0,47 | 0,54 | 0,67 | 136 | 43 | ||
19 | 200 | 0,51 | 0,60 | 0,78 | 176 | 55 | ||
20 | 10 | 50 | 0,57 | 0,66 | 0,85 | 117 | 37 | |
21 | 125 | 0,62 | 0,75 | 1,00 | 136 | 43 | ||
22 | 200 | 0,68 | 0,87 | 1,23 | 176 | 55 | ||
23 | 125 | 5 | 50 | 0,68 | 0,87 | 1,23 | 176 | 69 |
24 | 125 | 0,50 | 0,58 | 0,75 | 117 | 46 | ||
25 | 200 | 0,57 | 0,71 | 0,97 | 136 | 53 | ||
26 | 10 | 50 | 0,60 | 0,73 | 0,97 | 96 | 38 | |
27 | 125 | 0,66 | 0,82 | 1,14 | 117 | 46 | ||
28 | 200 | 0,81 | 1,09 | 1,61 | 136 | 53 | ||
Индекс | а | б | в | |||||
НЕПОЛНОЕ ШТУЧНОЕ ВРЕМЯ ТОЧЕНИЕ КАНАВОК В ОТВЕРСТИЯХ, Rz80, IT14...IT12 Сталь углеродистая конструкционная, | Токарно-револьверные станки с вертикальной осью вращения головки | |||||||
Резцы с пластинками Т15К6 | ||||||||
Карта 88 | Лист 2 | |||||||
N позиции | d, мм, до | B, мм, до | Вылет резца l, мм, до | h, мм, до | Режимы резания | |||
2 | 5 | 10 | n, об./мин. | v, м/мин. | ||||
Время на поверхности, мин. | ||||||||
29 | 150 | 5 | 50 | 0,48 | 0,55 | 0,68 | 83 | 39 |
30 | 125 | 0,51 | 0,58 | 0,78 | 96 | 45 | ||
31 | 200 | 0,56 | 0,68 | 0,96 | 117 | 55 | ||
32 | 10 | 50 | 0,63 | 0,77 | 1,02 | 83 | 39 | |
33 | 125 | 0,68 | 0,85 | 1,21 | 96 | 45 | ||
34 | 200 | 0,78 | 1,03 | 1,57 | 117 | 55 | ||
35 | 200 | 5 | 50 | 0,52 | 0,62 | 0,81 | 66 | 41 |
36 | 125 | 0,56 | 0,68 | 0,94 | 66 | 41 | ||
37 | 200 | 0,64 | 0,81 | 1,18 | 83 | 52 | ||
38 | 10 | 50 | 0,70 | 0,89 | 1,27 | 66 | 41 | |
39 | 125 | 0,78 | 1,04 | 1,55 | 66 | 41 | ||
40 | 200 | 0,93 | 1,30 | 2,02 | 83 | 52 | ||
41 | 300 | 5 | 50 | 0,58 | 0,71 | 0,99 | 41 | 39 |
42 | 125 | 0,64 | 0,81 | 1,18 | 48 | 45 | ||
43 | 200 | 0,75 | 1,01 | 1,53 | 58 | 55 | ||
44 | 10 | 50 | 0,81 | 1,09 | 1,64 | 41 | 39 | |
45 | 125 | 0,93 | 1,30 | 2,02 | 48 | 45 | ||
46 | 200 | 1,14 | 1,68 | 2,72 | 58 | 55 | ||
47 | 400 | 5 | 50 | 0,65 | 0,84 | 1,22 | 29 | 36 |
48 | 125 | 0,74 | 0,99 | 1,49 | 34 | 43 | ||
49 | 200 | 0,89 | 1,26 | 2,01 | 48 | 60 | ||
50 | 10 | 50 | 0,96 | 1,34 | 2,13 | 29 | 36 | |
51 | 125 | 1,12 | 1,64 | 2,66 | 34 | 43 | ||
52 | 200 | 1,44 | 2,19 | 3,68 | 48 | 60 | ||
53 | 500 | 5 | 50 | 0,71 | 0,94 | 1,42 | 20 | 31 |
54 | 125 | 0,81 | 1,19 | 1,77 | 29 | 45 | ||
55 | 200 | 0,97 | 1,42 | 2,31 | 34 | 53 | ||
56 | 10 | 50 | 1,09 | 1,55 | 2,48 | 20 | 31 | |
57 | 125 | 1,30 | 1,94 | 3,21 | 29 | 45 | ||
58 | 200 | 1,61 | 2,50 | 4,27 | 34 | 53 | ||
Индекс | а | б | в | |||||
НАКАТЫВАНИЕ РИФЛЕНИЙ СЕТЧАТОЕ И ПРЯМОЕ (ПРОДОЛЬНАЯ ПОДАЧА) Сталь углеродистая конструкционная, | Токарно-револьверные станки с вертикальной осью вращения головки | |||||||||||||||
Ролики накатные из стали Р6М5 | ||||||||||||||||
Карта 89 | ||||||||||||||||
N позиции | D, мм, до | P, мм | l, мм, до | Режимы резания | ||||||||||||
10 | 15 | 20 | 30 | 40 | 50 | 60 | 70 | 80 | 90 | 100 | S, мм/об. | n, об./мин. | v, м/мин. | |||
Время на поверхность, мин. | ||||||||||||||||
1 | 20 | 0,8 - 1,0 | 0,37 | 0,47 | 036 | 0,76 | 0,97 | 1,13 | 1,34 | 1,55 | 1,75 | 1,94 | 2,13 | 0,20 | 274 | 17 |
2 | 30 | 0,8 - 1,0 | 0,47 | 038 | 0,69 | 0,91 | 1,14 | 1,37 | 1,60 | 1,84 | 2,05 | 2,28 | 2,49 | 0,25 | 188 | 18 |
3 | 40 | 1,0 - 1,2 | 035 | 0,68 | 0,82 | 1,07 | 1,33 | 139 | 1,85 | 2,11 | 2,37 | 2,63 | 2,91 | 0,30 | 136 | 17 |
4 | 50 | 1,0 - 1,2 | 0,68 | 0,87 | 1,07 | 1,45 | 1,79 | 2,16 | 232 | 2,91 | 3,27 | 3,64 | 4,01 | 0,30 | 96 | 15 |
5 | 60 | 1,0 - 1,2 | 0,78 | 0,98 | 1,19 | 1,62 | 2,04 | 2,47 | 2,91 | 3,33 | 3,78 | 4,17 | 4,61 | 0,30 | 83 | 16 |
6 | 75 | 1,0 - 1,6 | 0,93 | 1,20 | 1,46 | 2,00 | 2,54 | 3,07 | 3,61 | 4,15 | 4,68 | 522 | 5,76 | 0,30 | 66 | 15 |
7 | 85 | 1,0 - 1,6 | 1,03 | 133 | 1,65 | 2,24 | 2,85 | 3,47 | 4,07 | 4,68 | 5,30 | 5,92 | 632 | 0,30 | 58 | 15 |
8 | 100 | 1,0 - 1,6 | 1,19 | 135 | 1,94 | 2,67 | 3,21 | 4,14 | 4,88 | 5,63 | 6,35 | 7,08 | 7,86 | 0,30 | 48 | 15 |
Индекс | а | б | в | г | д | е | ж | з | и | к | л | |||||
ТОЧЕНИЕ ФАСОК И ГАЛТЕЛЕЙ, Rz80...Rz20, IT14...IT11 Сталь углеродистая конструкционная, Чугун серый, HB 1,76...2,15 ГПа | Токарно-револьверные станки с вертикальной осью вращения головки | ||||||||||||||||||
Резцы с пластинками Т15К6, ВК6, ВК8 | |||||||||||||||||||
Карта 90 | |||||||||||||||||||
N позиции | D, мм, до | Точение наружных фасок и галтелей | Точение внутренних фасок и галтелей | ||||||||||||||||
Сталь углеродистая конструкционная | Чугун серый | Сталь углеродистая конструкционная | Чугун серый | ||||||||||||||||
Ширина фасок или радиус галтели, мм, до | Ширина фасок или радиус галтели, мм, до | ||||||||||||||||||
1 | 2 | 3 | 5 | 1 | 2 | 3 | 5 | 1 | 3 | 5 | 8 | 10 | 1 | 3 | 5 | 8 | 10 | ||
Время на поверхность, мин. | |||||||||||||||||||
1 | 40 | 0,12 | 0,14 | 0,16 | 0,21 | 0,11 | 0,13 | 0,14 | 0,19 | 0,16 | 0,22 | 0,33 | 0,47 | 038 | 0,14 | 0,17 | 0,26 | 0,39 | 0,49 |
2 | 80 | 0,13 | 0,14 | 0,19 | 0,29 | 0,12 | 0,14 | 0,16 | 0,23 | 0,18 | 0,24 | 0,39 | 0,56 | 0,68 | 0,16 | 0,20 | 0,29 | 0,44 | 035 |
3 | 125 | 0,14 | 0,16 | 0,21 | 0,32 | 0,14 | 0,15 | 0,19 | 0,28 | 0,22 | 0,29 | 0,43 | 0,65 | 0,78 | 0,19 | 0,22 | 0,33 | 0,48 | 0,61 |
4 | 200 | - | - | 0,25 | 0,39 | 0,14 | 0,16 | 0,21 | 0,31 | - | 0,31 | 0,48 | 0,76 | 0,92 | 0,21 | 0,24 | 039 | 0,36 | 0,70 |
5 | 300 | - | - | 0,28 | 0,44 | 0,15 | 0,17 | 0,23 | 0,36 | - | 0,36 | 0,55 | 0,80 | 0,97 | 0,23 | 0,28 | 0,45 | 0,68 | 0,83 |
6 | 500 | - | - | 0,32 | 0,48 | 0,18 | 0,20 | 0,27 | 0,39 | - | 0,43 | 0,65 | 0,97 | 1,30 | 0,29 | 0,35 | 032 | 0,79 | 0,98 |
7 | 600 | - | - | 0,39 | 0,58 | 0,20 | 0,22 | 0,31 | 0,48 | - | 0,49 | 0,77 | 1,11 | 1,36 | 0,34 | 0,43 | 0,64 | 0,97 | 1,16 |
Индекс | а | б | в | г | д | е | ж | з | и | к | л | м | н | о | п | р | с | т | |
Токарно-револьверные станки с горизонтальной осью вращения головки | ||||||
Приложение 1 | Лист 1 | |||||
N позиции | Характер обработки, способ установки инструмента на стружку | Вид подачи | Наибольший диаметр обрабатываемого прутка, мм, до | |||
10...25 | 40 | 80 | ||||
Время на рабочий ход, мин. | ||||||
1 | Обработка с продольной подачей | Механическая | 0,09 | 0,11 | 0,14 | |
2 | Ручная | 0,07 | 0,09 | 0,12 | ||
3 | Обработка с продольной подачей и предварительным врезанием | Механическая | 0,13 | 0,17 | 0,21 | |
4 | Ручная | 0,11 | 0,15 | - | ||
5 | Обработка с поперечной подачей | с подводом револьверной головки | Механическая | 0,13 | 0,17 | 0,21 |
6 | Ручная | 0,11 | 0,15 | - | ||
7 | без подвода револьверной головки | Механическая | 0,07 | 0,10 | 0,12 | |
8 | Ручная | 0,05 | 0,08 | 0,10 | ||
9 | Нарезание крепежной резьбы | резьбонарезной самооткрывающейся головкой | - | 0,11 | 0,14 | 0,18 |
10 | метчиком или плашкой | - | 0,13 | 0,18 | 0,23 | |
11 | Нарезание конической резьбы резцом с копирным устройством | первый проход | - | 0,08 | 0,11 | 0,14 |
12 | каждый последующий проход | - | 0,02 | 0,03 | 0,03 | |
Индекс | а | б | в | |||
ВСПОМОГАТЕЛЬНОЕ ВРЕМЯ, СВЯЗАННОЕ С ПЕРЕХОДОМ, ПРИНЯТОЕ ПРИ РАСЧЕТЕ НЕПОЛНОГО ШТУЧНОГО ВРЕМЕНИ | Токарно-револьверные станки с вертикальной осью вращения головки | |||||||
Приложение 1 | Лист 2 | |||||||
Наибольший диаметр обрабатываемого прутка, мм, до | ||||||||
N позиции | Характер обработки, способ установки инструмента на стружку | Вид подачи | 12...25 | 40 | 80 | 125 | ||
Время на рабочий ход, мин. | ||||||||
13 | Работа револьверной головкой | Обработка с продольной подачей | Механическая | 0,09 | 0,11 | 0,14 | 0,17 | |
14 | Ручная | 0,07 | 0,09 | 0,12 | 0,14 | |||
15 | Обработка с продольной подачей и предварительным врезанием | Механическая | - | 0,18 | 0,21 | 0,26 | ||
16 | Ручная | - | 0,16 | 0,08 | - | |||
17 | Работа суппортом. Обработка с продольной или поперечной подачей | с установкой резца | по упору или без выдерживания размера | Механическая | 0,12 | 0,14 | 0,17 | 0,23 |
18 | Ручная | 0,10 | 0,12 | 0,15 | 0,20 | |||
19 | Механическая | - | 0,16 | 0,19 | 0,25 | |||
20 | по лимбу | Ручная | - | 0,14 | 0,17 | 0,22 | ||
21 | с пробной стружкой (для обработки по 9 - 11-му квалитету) при диаметре, мм | 100 - 200 | Механическая | - | - | 0,46 | 0,60 | |
22 | Свыше 200 | - | - | 0,50 | 0,65 | |||
23 | Нарезание крепежной резьбы | резьбонарезной самооткрывающейся головкой, метчиком или плашкой | - | 0,11 | 0,14 | 0,18 | 0,21 | |
24 | - | 0,13 | 0,18 | 0,23 | 0,26 | |||
Индекс | а | б | в | г | ||||
Токарно-револьверные станки с горизонтальной и вертикальной осями вращения головки | |||||||||||
Приложение 2 | |||||||||||
Резцы | Диаметр режущей части инструмента, мм | Сверла спиральные | Зенкеры | Развертки | Плашки из инструментальной стали 9ХС | Метчики машинные из быстрорежущей стали Р6М5 | |||||
из быстрорежущей стали | с пластинками из твердого сплава | из быстрорежущей стали Р6М5 | с пластинками из твердого сплава ВК8 | из быстрорежущей стали Р6М5 | с пластинками из твердого сплава ВК8 и Т15К6 | ||||||
проходные, подрезные, отрезные | фасонные и расточные | проходные, подрезные, отрезные, расточные | фасонные и прорезные | ||||||||
90 | 120 | 90 | 120 | 5 | 15 | - | - | 15 | 15 | 90 | 90 |
10 | 20 | - | 20 | 20 | |||||||
15 | 25 | 30 | 30 | 30 | |||||||
20 | 30 | 40 | 40 | ||||||||
25 | 40 | (40) | 50 | 50 | |||||||
30 | 50 | 60 | 60 | ||||||||
35 | 60 | 50 | 80 | 80 | |||||||
40 | 70 | ||||||||||
45 | 80 | 60 | 100 | 100 | |||||||
50 | 90 | ||||||||||
55 | 100 | 80 | 120 | 120 | |||||||
70 | 110 | ||||||||||
5 | 15 | - | - | 20 | 30 | - | 60 | ||||
10 | 20 | 40 | - | 30 | |||||||
15 | 40 | 50 | 30 | 45 | 45 | ||||||
20 | 60 | 70 | 60 | 60 | |||||||
25 | 70 | 40 | 75 | 75 | |||||||
30 | 80 | 80 | 90 | 90 | |||||||
35 | 100 | - | 50 | 120 | 120 | ||||||
45 | 120 | 60 | 150 | 150 | |||||||
50 | 140 | ||||||||||
55 | 150 | 80 | 180 | 180 | |||||||
70 | 170 | ||||||||||
Токарно-револьверные станки с горизонтальной и вертикальной осями вращения головки | |||||||||||||||||||||||
Приложение 3 | Лист 1 | ||||||||||||||||||||||
Тип резцов | угол резца в плане | t, мм | |||||||||||||||||||||
1 | 2 | 3 | 4 | 5 | 6 | 7 | 8 | 9 | 10 | ||||||||||||||
Врезание и перебег, мм | |||||||||||||||||||||||
Проходные, подрезные и расточные | 45 | 2 | 3 | 5 | 6 | 7 | 8 | 9 | 10 | 12 | 13 | ||||||||||||
60 | 1,6 | 2,2 | 3,7 | 4,3 | 4,9 | 5,5 | 6,0 | 7,6 | 8,2 | 8,8 | |||||||||||||
75 | 1,3 | 1,6 | 2,8 | 3,1 | 3,3 | 3,6 | 3,9 | 5,1 | 5,4 | 5,7 | |||||||||||||
90 | 3 - 5 | ||||||||||||||||||||||
Отрезные и прорезные | 2 - 5 | ||||||||||||||||||||||
Сверление | Диаметр инструмента, мм | ||||||||||||||||||||||
2 | 3 | 4 | 6 | 8 | 10 | 12 | 14 | 16 | 18 | 20 | 24 | 30 | 40 | 50 | 60 | ||||||||
Врезание и перебег, мм | |||||||||||||||||||||||
На проход с одинарной заточкой | 1,12 | 1,43 | 2,2 | 2,9 | 3,5 | 4,6 | 5,2 | 5,8 | 6,5 | 7,6 | 8,2 | 9,4 | 11,8 | 15,4 | 18,5 | 21,6 | |||||||
Рассверливание | Угол при вершине ![]() | t, мм | |||||||||||||||||||||
2 | 3 | 4 | 5 | 6 | 8 | 10 | 12 | 14 | 16 | ||||||||||||||
Врезание и перебег, мм | |||||||||||||||||||||||
2,2 | 2,8 | 3,4 | 5,1 | 5,6 | 6,9 | 8,1 | 9,3 | 11,5 | 12,7 | ||||||||||||||
![]() | t, мм | Главный угол в плане | Диаметр зенкера, мм | ||
45 | 60 | 75 | |||
Врезание и перебег, мм | |||||
1,0 | 2,5 | 2,08 | 1,77 | 12 - 16 | |
Зенкерование | 1,5 | 3,5 | 2,87 | 2,40 | 17 - 25 |
2,0 | 4,5 | 3,70 | 3,04 | 26 - 35 | |
2,5 | 5,5 | 4,40 | 3,67 | 36 - 60 | |
3,0 | 7,0 | 5,7 | 4,81 | 61 - 100 | |
4,0 | 8,0 | 6,3 | 5,10 | 61 - 100 | |
ВЕЛИЧИНА ВРЕЗАНИЯ И ПЕРЕБЕГА ИНСТРУМЕНТА | Токарно-револьверные станки с горизонтальной и вертикальной осями вращения головки | ||||||
Приложение 3 | Лист 2 | ||||||
Развертывание цилиндрических отверстий | t, мм, до | Главный угол в плане | Диаметр развертки, мм | ||||
3 | 5 | 12 | 15 | 45 | |||
Врезание и перебег, мм | |||||||
0,05 | 13,95 | 13,57 | 13,24 | 13,19 | 13,05 | - | |
0,10 | 16,90 | 16,10 | 15,47 | 15,37 | 15,10 | 7 - 10 | |
0,125 | 20,40 | 19,40 | 18,59 | 18,48 | 18,125 | 11 - 16 | |
0,15 | 24,90 | 23,70 | 22,71 | 22,56 | 22,15 | 17 - 20 | |
0,20 | 31,80 | 30,40 | 28,95 | 28,75 | 28,20 | 21 - 35 | |
0,25 | 43,80 | 41,90 | 40,20 | 39,92 | 39,25 | 36 - 60 | |
0,30 | 50,70 | 48,40 | 46,40 | 46,10 | 45,30 | 61 - 80 | |
Нарезание резьбы машинными метчиками | (3...5) Р | ||||||
Нарезание резьбы круглыми плашками | (1,5...5) Р | ||||||
Токарно-револьверные станки с горизонтальной и вертикальной осями вращения головки | |||
Приложение 4 | Лист 1 | ||
Характер обработки, способ выполнения работы | N позиции | Наименование приемов | |
А. Работа револьверной головкой | |||
1. Продольное точение, растачивание, рассверливание, зенкерование, развертывание: | |||
а) работа с механической подачей | 1 | Включить вращение шпинделя рычагом | |
2 | Повернуть револьверную головку | ||
3 | Подвести инструмент к детали перемещением револьверной головки | ||
4 | Включить подачу | ||
5 | Выключить подачу (перекрывается машинным временем) | ||
6 | Отвести инструмент от детали перемещением револьверной головки | ||
7 | Выключить вращение шпинделя | ||
б) работа с ручной подачей | 1 | Включить вращение шпинделя рычагом | |
2 | Повернуть револьверную головку | ||
3 | Подвести инструмент к детали перемещением револьверной головки | ||
4 | Отвести инструмент от детали перемещением револьверной головки | ||
5 | Выключить вращение шпинделя | ||
2. Продольное точение, растачивание с предварительным врезанием: | |||
а) работа с механической подачей | 1 | Включить вращение шпинделя рычагом | |
2 | Повернуть револьверную головку | ||
3 | Подвести инструмент к детали перемещением револьверной головки | ||
4 | Подвести инструмент к детали в поперечном направлении с помощью специальной державки | ||
5 | Включить подачу | ||
ПРИЕМЫ, ВКЛЮЧЕННЫЕ В КОМПЛЕКСЫ ВСПОМОГАТЕЛЬНОГО ВРЕМЕНИ, СВЯЗАННОГО С ПЕРЕХОДОМ ИЛИ ОБРАБАТЫВАЕМОЙ ПОВЕРХНОСТЬЮ | Токарно-револьверные станки с горизонтальной и вертикальной осями вращения головки | ||
Приложение 4 | Лист 2 | ||
Характер обработки, способ выполнения работы | N позиции | Наименование приемов | |
а) работа с механической подачей | 6 | Выключить подачу (перекрывается машинным временем) | |
7 | Отвести инструмент от детали (в поперечном направлении) | ||
8 | Отвести инструмент от детали перемещением револьверной головки | ||
9 | Выключить вращение шпинделя | ||
б) работа с ручной подачей | 1 | Включить вращение шпинделя рычагом | |
2 | Повернуть револьверную головку | ||
3 | Подвести инструмент к детали перемещением револьверной головки | ||
4 | Подвести инструмент к детали в поперечном направлении с помощью специальной державки | ||
5 | Отнести инструмент от детали в поперечном направлении | ||
6 | Отнести инструмент от детали перемещением револьверной головки | ||
7 | Выключить вращение шпинделя | ||
3. Поперечное точение, отрезка: | 1 | Включить вращение шпинделя рычагом | |
а) работа с механической подачей | 2 | Повернуть револьверную головку | |
3 | Поднести револьверную головку до упора | ||
4 | Включить подачу револьверной головки | ||
5 | Выключить подачу (перекрывается машинным временем) | ||
6 | Отвести револьверную головку в исходное положение | ||
7 | Выключить вращение шпинделя | ||
б) работа с ручной подачей | 1 | Включить вращение шпинделя рычагом | |
2 | Повернуть револьверную головку | ||
ПРИЕМЫ, ВКЛЮЧЕННЫЕ В КОМПЛЕКСЫ ВСПОМОГАТЕЛЬНОГО ВРЕМЕНИ, СВЯЗАННОГО С ПЕРЕХОДОМ ИЛИ ОБРАБАТЫВАЕМОЙ ПОВЕРХНОСТЬЮ | Токарно-револьверные станки с горизонтальной и вертикальной осями вращения головки | ||
Приложение 4 | Лист 3 | ||
Характер обработки, способ выполнения работы | N позиции | Наименование приемов | |
б) работа с ручной подачей | 3 | Подвести револьверную головку до упора | |
4 | Отвести револьверную головку в исходное положение | ||
5 | Выключить вращение шпинделя | ||
4. Центрование, зенкерование, зенкование, снятие фасок | 1 | Включить вращение шпинделя рычагом | |
2 | Повернуть револьверную головку | ||
3 | Подвести револьверную головку | ||
4 | Отвести инструмент от детали перемещением револьверной головки | ||
5 | Выключить вращение шпинделя | ||
5. Сверление | 1 | Включить вращение шпинделя рычагом | |
2 | Повернуть револьверную головку | ||
3 | Подвести сверло к детали перемещением револьверной головки | ||
4 | Включить подачу | ||
5 | Выключить подачу (перекрывается машинным временем) | ||
6 | Отвести сверло от детали перемещением револьверной головки | ||
7 | Выключить вращение шпинделя | ||
6. Нарезание резьбы: | |||
а) метчиком или плашкой | 1 | Изменить число оборотов шпинделя двумя рычагами | |
2 | Включить вращение шпинделя | ||
3 | Повернуть револьверную головку | ||
4 | Подвести инструмент к детали перемещением револьверной головки | ||
5 | Довести инструмент до врезания | ||
6 | Изменить направление вращения шпинделя | ||
7 | Свернуть метчик или плашку | ||
ПРИЕМЫ, ВКЛЮЧЕННЫЕ В КОМПЛЕКСЫ ВСПОМОГАТЕЛЬНОГО ВРЕМЕНИ, СВЯЗАННОГО С ПЕРЕХОДОМ ИЛИ ОБРАБАТЫВАЕМОЙ ПОВЕРХНОСТЬЮ | Токарно-револьверные станки с горизонтальной и вертикальной осями вращения головки | ||
Приложение 4 | Лист 4 | ||
Характер обработки, способ выполнения работы | N позиции | Наименование приемов | |
а) метчиком или плашками | 8 | Выключить вращение шпинделя | |
б) резцом | 1 | Изменить число оборотов шпинделя двумя рычагами | |
2 | Включить вращение шпинделя | ||
3 | Перевести резец в исходное положение | ||
4 | Выключить вращение шпинделя | ||
5 | Измерить | ||
Б. Работа поперечным суппортом | |||
1. Продольное и поперечное точение, растачивание: | |||
а) инструментом, установленным на размер | 1 | Включить вращение шпинделя | |
2 | Подвести инструмент к детали | ||
3 | Включить подачу | ||
4 | Выключить подачу (перекрывается машинным временем) | ||
5 | Выключить вращение шпинделя | ||
6 | Отвести инструмент от детали | ||
7 | Переместить каретку суппорта и исходное положение | ||
б) со взятием одной пробной стружки | 1 | Включить вращение шпинделя | |
2 | Подвести инструмент к детали | ||
3 | Установить инструмент на размер | ||
4 | Включить подачу | ||
5 | Выключить подачу (перекрывается машинным временем) | ||
6 | Отвести инструмент от детали | ||
7 | Выключить вращение шпинделя | ||
8 | Измерить | ||
9 | Установить инструмент на размер | ||
10 | Подвести инструмент к детали | ||
ПРИЕМЫ, ВКЛЮЧЕННЫЕ В КОМПЛЕКСЫ ВСПОМОГАТЕЛЬНОГО ВРЕМЕНИ, СВЯЗАННОГО С ПЕРЕХОДОМ ИЛИ ОБРАБАТЫВАЕМОЙ ПОВЕРХНОСТЬЮ | Токарно-револьверные станки с горизонтальной и вертикальной осями вращения головки | ||
Приложение 4 | Лист 5 | ||
Характер обработки, способ выполнения работы | N позиции | Наименование приемов | |
б) со взятием одной пробной стружки | 11 | Включить вращение шпинделя | |
12 | Включить подачу | ||
13 | Выключить подачу (перекрывается машинным временем) | ||
14 | Выключить вращение шпинделя | ||
15 | Отвести инструмент от детали | ||
16 | Переместить каретку суппорта в исходное положение | ||
17 | Измерить | ||