Главная // Актуальные документы // МетодикаСПРАВКА
Источник публикации
Документ опубликован не был
Примечание к документу
Документ утратил силу с 1 декабря 2011 года в связи с введением в действие
РД 52.24.402-2011, утв. Росгидрометом 28.10.2011.
Документ
введен в действие с 1 июля 2005 года.
Взамен РД 52.24.402-95.
Название документа
"РД 52.24.402-2005. Руководящий документ. Массовая концентрация хлоридов в водах. Методика выполнения измерений меркуриметрическим методом"
(утв. Росгидрометом 15.06.2005)
"РД 52.24.402-2005. Руководящий документ. Массовая концентрация хлоридов в водах. Методика выполнения измерений меркуриметрическим методом"
(утв. Росгидрометом 15.06.2005)
Заместителем Руководителя
Росгидромета
15 июня 2005 года
РУКОВОДЯЩИЙ ДОКУМЕНТ
МАССОВАЯ КОНЦЕНТРАЦИЯ ХЛОРИДОВ В ВОДАХ.
МЕТОДИКА ВЫПОЛНЕНИЯ ИЗМЕРЕНИЙ МЕРКУРИМЕТРИЧЕСКИМ МЕТОДОМ
РД 52.24.402-2005
Дата введения
1 июля 2005 года
1. Разработан ГУ "Гидрохимический институт".
2. Разработчики Л.В. Боева, канд. хим. наук, А.А. Назарова, канд. хим. наук.
3. Утвержден Заместителем Руководителя Росгидромета 15.06.2005.
4. Свидетельство об аттестации МВИ выдано ГУ "Гидрохимический институт" 30.12.2004 N 54.24-2004.
5. Зарегистрирован ГУ ЦКБ ГМП за номером РД 52.24.402-2005 от 30.06.2005.
6. Взамен РД 52.24.402-95 "Методические указания. Методика выполнения измерений массовой концентрации хлоридов в водах титриметрическим методом с солью ртути".
Хлориды относятся к главным ионам природных вод и присутствуют в водах любых типов. Содержание хлоридов в речных и озерных водах колеблется от долей миллиграмма до граммов в кубическом дециметре; в морских, океанских, некоторых подземных водах, водах соляных озер концентрации хлоридов выше - до перенасыщенных растворов и рассолов.
Основными источниками поступления хлоридов в водные объекты являются соленосные отложения, магматические породы, в состав которых входят хлорсодержащие минералы (хлорапатит, содамит и др.), вулканические выбросы, засоленные почвы, из которых они вымываются атмосферными осадками. Большие количества хлоридов попадают в воду с промышленными и хозбытовыми сточными водами.
Хлориды в воде не склонны к образованию ионных пар. Они обладают высокой миграционной способностью, что обусловлено хорошей растворимостью их в воде, слабо выраженной способностью к сорбции взвесями и донными отложениями и практическим отсутствием накопления водными организмами.
Внутригодовые изменения концентрации хлоридов в поверхностных водах суши связаны, в основном, с гидрологическим режимом водных объектов.
Повышенные концентрации хлоридов ухудшают вкусовые качества воды, делая ее непригодной для питьевого водоснабжения, а также уменьшают или же полностью исключают возможность использования для технических, хозяйственных целей и орошения сельскохозяйственных территорий.
Предельно допустимая концентрация хлоридов для водных объектов хозяйственно-питьевого и культурно-бытового водопользования составляет 350 мг/дм3, рыбохозяйственного назначения - 300 мг/дм3.
Настоящий руководящий документ устанавливает методику выполнения измерений (далее - методика) массовой концентрации хлоридов в пробах поверхностных вод суши и очищенных сточных вод в диапазоне от 2 до 15 мг/дм3 меркуриметрическим методом. Допускается анализ проб воды с массовой концентрацией хлоридов, превышающей 15 мг/дм3 при использовании уменьшенной аликвоты пробы.
2. Характеристики погрешности измерения
2.1. При соблюдении всех регламентируемых методикой условий проведения измерений характеристики погрешности результата измерения с вероятностью 0,95 не должны превышать значений, приведенных в таблице 1.
Таблица 1
Диапазон измерений, значения характеристик погрешности
и ее составляющих
Диапазон измерений массовой концентрации хлоридов, X, мг/дм3 | Показатель повторяемости (среднеквадратическое отклонение повторяемости)  , мг/дм3 | Показатель воспроизводимости (среднеквадратическое отклонение воспроизводимости)  , мг/дм3 | Показатель правильности (границы систематической погрешности при вероятности P - 0,95)  , мг/дм3 | Показатель точности (границы погрешности при вероятности P - 0,95)  , мг/дм3 |
От 2,0 до 15,0 включ. | 0,05X | 0,08X | 0,05X | 0,17X |
При выполнении измерений в пробах с массовой концентрацией хлоридов свыше 15 мг/дм3 при уменьшении объема анализируемой пробы погрешность измерения не превышает величины, рассчитанной по зависимости, приведенной в
таблице 1.
Предел обнаружения хлоридов меркуриметрическим методом 0,2 мг/дм3.
2.2. Значения показателя точности методики используют при:
- оформлении результатов измерений, выдаваемых лабораторией;
- оценке деятельности лабораторий на качество проведения измерений;
- оценке возможности использования результатов измерений при реализации методики в конкретной лаборатории.
3. Средства измерений, вспомогательные устройства,
реактивы, материалы
3.1. При выполнении измерений применяют следующие средства измерений и вспомогательные устройства
3.1.2. Весы технические лабораторные 4 класса точности по
ГОСТ 24104-2001 с пределом взвешивания 200 г.
3.1.3. Государственный стандартный образец состава водных растворов хлорид-ионов ГСО 7478-98.
3.1.4. Колбы мерные не ниже 2 класса точности по
ГОСТ 1770-74
вместимостью 100 см3 - 1 шт.
200 см3 - 1 шт.
500 см3 - 1 шт.
1 дм3 - 1 шт.
вместимостью 5 см3 - 2 шт.
3.1.6. Пипетки градуированные не ниже 2 класса точности по ГОСТ
2 см3 - 2 шт.
5 см3 - 1 шт.
10 см3 - 1 шт.
3.1.7. Пипетки с одной отметкой не ниже 2 класса точности по ГОСТ
10 см3 - 1 шт.
20 см3 - 1 шт.
25 см3 - 1 шт.
50 см3 - 2 шт.
100 см3 - 2 шт.
3.1.8. Цилиндры мерные по
ГОСТ 1770-74 вместимостью 50 см3 - 1 шт.
100 см3 - 2 шт.
250 см3 - 1 шт.
500 см3 - 1 шт.
3.1.9. Колбы конические по
ГОСТ 25336-82 вместимостью 250 см3 - 3 шт.
500 см3 - 3 шт.
250 см3 - 3 шт.
1 дм3 - 1 шт.
56 мм - 1 шт.
75 мм - 3 шт.
3.1.12. Стаканчики для взвешивания (бюксы) по
ГОСТ 25336-82 - 2 шт.
3.1.13. Чашки выпарительные фарфоровые по
ГОСТ 9147-80 вместимостью
100 см3 - 6 шт.
150 см3 - 6 шт.
250 см3 - 6 шт.
3.1.15. Стекло часовое диаметром 5 - 7 см - 1 шт.
3.1.16. Колонка хроматографическая диаметром 1,5 - 2,0 см и длиной 25 -
30 см
3.1.18. Палочки стеклянные - 6 шт.
3.1.19. Шпатель
3.1.20. Устройство для фильтрования проб с использованием мембранных или бумажных фильтров
3.1.21. Бани водяные
3.1.22. Шкаф сушильный общелабораторного назначения.
Допускается использование других типов средств измерений, посуды и вспомогательного оборудования, в том числе импортных, с характеристиками не хуже, чем у приведенных в
3.1.
3.2. При выполнении измерений применяют следующие реактивы и материалы
3.2.1. Натрий хлористый (хлорид натрия) по
ГОСТ 4233-77, х.ч.
3.2.2. Ртуть (II) азотнокислая 1-водная (нитрат ртути) по
ГОСТ 4520-78, ч.д.а.
3.2.3. Серебро азотнокислое (нитрат серебра) по
ГОСТ 1277-75, ч.д.а.
3.2.4. Дифенилкарбазон по ТУ 6-09-5215-85, ч.д.а.
3.2.5. Бромфеноловый синий, индикатор по ТУ 6-09-4530-77, ч.д.а.
3.2.6. Кислота азотная концентрированная по
ГОСТ 4461-77, х.ч.
3.2.7. Азотная кислота, стандарт-титр 0,1 моль/дм3 по ТУ 6-09-2540-72.
| | ИС МЕГАНОРМ: примечание. Нумерация пунктов дана в соответствии с официальным текстом документа. | |
3.2.8. Натрия гидроокись (натрия гидроксид) по
ГОСТ 4328-77, ч.д.а.
| | ИС МЕГАНОРМ: примечание. Нумерация пунктов дана в соответствии с официальным текстом документа. | |
3.2.13. Хлорид кальция безводный по ТУ 6-09-4711-81, ч. (для эксикатора).
3.2.14. Универсальная индикаторная бумага (pH 1 - 10) по ТУ 6-09-1181-76.
3.2.16. Вода бидистиллированная.
3.2.17. Фильтры мембранные "Владипор МФАС-ОС-2", 0,45 мкм, по ТУ 6-55-221-1-29-89 или другого типа, равноценные по характеристикам, или фильтры бумажные обеззоленные "синяя лента" по ТУ 6-09-1678-86.
3.2.18. Фильтры бумажные обеззоленные "белая лента" по ТУ 6-09-1678-86.
Допускается использование реактивов, изготовленных по другой нормативно-технической документации, в том числе импортных, с квалификацией не ниже указанной в 3.2.
Определение хлоридов меркуриметрическим методом основано на образовании малодиссоциированного соединения хлорида ртути (II) при прибавлении раствора нитрата ртути к анализируемой воде. Избыток ионов ртути после связывания хлоридов вступает в реакцию с дифенилкарбазоном, в результате чего образуется окрашенное в фиолетовый цвет соединение. Для количественного протекания реакции необходимо поддерживать значение pH пробы в пределах от 3 до 3,5, что достигается применением индикатора бромфенолового синего.
5. Требования безопасности, охраны окружающей среды
5.1. При выполнении измерений массовой концентрации хлоридов в пробах природных и очищенных сточных вод соблюдают требования безопасности, установленные в государственных стандартах и соответствующих нормативных документах.
5.2. По степени воздействия на организм вредные вещества, используемые при выполнении определений, относятся к 1, 2, 3, 4 классам опасности по
ГОСТ 12.1.007-76.
5.3. Содержание используемых вредных веществ в воздухе рабочей зоны не должно превышать установленных предельно допустимых концентраций в соответствии с
ГОСТ 12.1.005-88.
5.4. Сливы растворов, содержащих соли ртути, запрещается выливать в канализацию. Их собирают в специальную тару и утилизируют в соответствии с действующими правилами.
5.5. Дополнительных требований по экологической безопасности не предъявляется.
6. Требования к квалификации операторов
К выполнению измерений и обработке их результатов допускаются лица со средним профессиональным образованием, освоившие методику.
7. Условия выполнения измерений
При выполнении измерений в лаборатории должны быть соблюдены следующие условия:
- температура воздуха (22 +/- 5) °C;
- атмосферное давление от 84,0 до 106,7 кПа (от 630 до 800 мм рт. ст.);
- влажность воздуха не более 80% при 25 °C;
- напряжение в сети (220 +/- 10) В;
- частота переменного тока (50 +/- 1) Гц.
Перед определением пробу фильтруют через мембранный фильтр 0,45 мкм, очищенный кипячением в дистиллированной воде. Допустимо использование промытых дистиллированной водой бумажных фильтров "синяя лента". При фильтровании через любой фильтр первые порции фильтрата следует отбросить.
Хлориды являются одним из наиболее устойчивых компонентов, поэтому их определение можно проводить после выполнения анализа менее устойчивых соединений. Пробы не консервируют, хранят при комнатной температуре.
9. Подготовка к выполнению измерений
9.1. Приготовление растворов и реактивов
9.1.1. Раствор нитрата ртути с молярной концентрацией количества вещества эквивалента (КВЭ) 0,0050 моль/дм3
0,86 г нитрата ртути помещают в мерную колбу вместимостью 1 дм3, растворяют в 100 см3 бидистиллированной воды, содержащей 2,0 см3 концентрированной азотной кислоты, доводят бидистиллированной водой до метки и перемешивают. Хранят раствор в плотно закрытой склянке из темного стекла.
Точную концентрацию раствора определяют титрованием аттестованного раствора хлорида натрия
(9.3) не реже 1 раза в месяц.
9.1.2. Аттестованный раствор с массовой концентрацией хлорид-ионов 0,500 мг/см3 (0,01410 моль/дм3)
Аттестованный раствор готовят из стандартного образца (ГСО) с содержанием хлорид-ионов 10 мг/см3.
Вскрывают ампулу и ее содержимое переносят в сухую чистую коническую пробирку. Отбирают 5,0 см3 образца с помощью чистой сухой пипетки с одной отметкой и переносят в мерную колбу вместимостью 100 см3. Доводят объем в колбе до метки бидистиллированной водой и перемешивают.
Если концентрация хлорид-ионов в ГСО не равна точно 10,0 мг/см3, рассчитывают массовую и молярную концентрацию хлоридов в аттестованном растворе соответственно концентрации конкретного экземпляра ГСО. При хранении в плотно закрытой посуде раствор устойчив не менее 3 мес.
При отсутствии ГСО допускается использовать аттестованный раствор хлорид-ионов, приготовленный из хлорида натрия.
Методика приготовления аттестованного раствора приведена в Приложении А.
9.1.3. Раствор смешанного индикатора
0,5 г дифенилкарбазона и 0,05 г бромфенолового синего растворяют в 100 см3 этилового спирта. Нерастворившийся осадок отфильтровывают через фильтр "белая лента". Раствор хранят в темной склянке в холодильнике в течение месяца.
9.1.4. Раствор азотной кислоты 0,5 моль/дм3
При приготовлении раствора из стандарт-титра содержимое ампулы растворяют в бидистиллированной воде в мерной колбе вместимостью 200 см3, доводят объем до метки и перемешивают.
При отсутствии стандарт-титра 6,7 см3 концентрированной азотной кислоты растворяют в бидистиллированной воде в мерной колбе вместимостью 200 см3, доводят объем до метки и перемешивают. Раствор устойчив.
9.1.5. Раствор азотной кислоты 0,05 моль/дм3
50 см3 раствора азотной кислоты с молярной концентрацией 0,5 моль/дм3 разбавляют в мерной колбе до 500 см3 бидистиллированной водой. Раствор устойчив.
9.1.6. Раствор азотной кислоты 1:2
50 см3 концентрированной азотной кислоты смешивают со 100 см3 дистиллированной воды.
9.1.7. Раствор соляной кислоты 4 моль/дм3
170 см3 концентрированной соляной кислоты растворяют в 330 см3 дистиллированной воды.
9.1.8. Раствор гидроксида натрия 1 моль/дм3
20 г гидроксида натрия растворяют в 500 см3 дистиллированной воды. Хранят в полиэтиленовой посуде.
9.1.9. Раствор гидроксида натрия 0,4%
2 г гидроксида натрия растворяют в 500 см3 дистиллированной воды. Хранят в плотно закрытой полиэтиленовой посуде. Раствор устойчив.
9.1.10. Раствор нитрата серебра 10%
10 г нитрата серебра растворяют в 90 см3 дистиллированной воды и прибавляют 1 - 2 капли концентрированной азотной кислоты. При появлении мути раствор отстаивают не менее суток, затем декантируют прозрачную жидкость. Хранят в плотно закрытой склянке из темного стекла. Раствор устойчив.
9.1.11. Суспензия гидроксида алюминия
63 г алюмокалиевых квасцов

растворяют в 500 см3 дистиллированной воды в стакане вместимостью 1 дм3, нагревают раствор до 60 °C и при постоянном перемешивании медленно прибавляют 28 см3 концентрированного раствора аммиака. Дают смеси отстояться в течение 1 ч, а затем промывают несколько раз дистиллированной водой, декантируя жидкость над осадком. Последняя промывная вода не должна давать положительной реакции на хлориды (проба с 10%-ным раствором нитрата серебра).
9.1.12. Активный уголь
Подготовка к работе и регенерация активного угля описаны в
Приложении Б.
Перед использованием очищенный уголь промывают бидистиллированной водой; промывная вода не должна давать положительной реакции на хлориды (проба с 10%-ным раствором нитрата серебра).
9.1.13. Проверка чистоты бидистиллированной воды
100 см3 бидистиллированной воды помещают в чистую фарфоровую чашку вместимостью 250 см3, добавляют несколько капель раствора гидроксида натрия 1 моль/дм3 (до pH около 8 по универсальной индикаторной бумаге), упаривают на водяной бане и определяют содержание хлоридов в соответствии с
разделом 10. Если переход желтой окраски к фиолетовой происходит при прибавлении 1 - 2 капель раствора нитрата ртути, бидистиллированная вода и реактивы являются чистыми и могут использоваться для выполнения измерений. В противном случае следует провести дополнительную очистку воды. Допустимо вместо бидистиллированной воды использовать дистиллированную воду, если при выполнении аналогичной проверки будут получены такие же результаты.
9.2. Подготовка посуды
Посуду, используемую для приготовления растворов и выполнения измерений массовой концентрации хлоридов в пробах воды, промывают раствором азотной кислоты 1:2, затем отмывают водопроводной водой и ополаскивают дистиллированной и бидистиллированной водой. Раствор кислоты используют многократно.
9.3. Определение точной концентрации раствора нитрата ртути
Для определения точной концентрации раствора нитрата ртути в фарфоровую чашку вместимостью 100 см3 вносят 1 см3 аттестованного раствора хлорид-ионов с массовой концентрацией 0,500 мг/см3 (0,01410 моль/дм3), добавляют 0,5 см3 раствора азотной кислоты с концентрацией 0,05 моль/дм3, 2 см3 этилового спирта и 4 - 5 капель смешанного индикатора. Титруют пробу раствором нитрата ртути из микробюретки, тщательно перемешивая раствор стеклянной палочкой или покачивая чашку круговыми движениями, до перехода окраски из желтой в фиолетовую. Титрование повторяют и при отсутствии расхождения в объемах раствора нитрата ртути более 0,02 см3 за результат принимают среднюю величину. В противном случае повторяют титрование до получения результатов, отличающихся не более чем на 0,02 см3.
Молярную концентрацию КВЭ нитрата ртути в растворе находят по формуле

, (1)
где

- молярная концентрация аттестованного раствора хлорид-ионов, моль/дм3;

- молярная концентрация раствора нитрата ртути, моль/дм3 КВЭ;

- объем аттестованного раствора хлорид-ионов, см3;

- объем раствора нитрата ртути, пошедший на титрование аттестованного раствора хлорид-ионов, см3.
10.1. Перед выполнением измерений массовой концентрации хлоридов в пробе воды неизвестного состава следует провести ориентировочную оценку их содержания в соответствии с
Приложением В.
10.2. Выполнение измерений при отсутствии мешающих влияний
Объем анализируемой аликвоты пробы (100 - 150 см3 или меньше) выбирают таким образом, чтобы в ней содержалось не менее 0,2 мг и не более 0,8 мг хлоридов. Пробу отмеривают пипеткой (объем 150 см3 отмеривают пипетками вместимостью 50 и 100 см3) и помещают в фарфоровую чашку соответствующей вместимости. При анализе маломинерализованных проб с величиной pH ниже 7 добавляют несколько капель раствора гидроксида натрия 1 моль/дм3 до значения pH 7 - 8 по универсальной индикаторной бумаге (избытка гидроксида натрия следует избегать!). Выпаривают пробу досуха на водяной бане, периодически помешивая круговыми движениями. Снимают чашку с бани, добавляют 1 см3 раствора азотной кислоты 0,05 моль/дм3 и растворяют осадок при перемешивании стеклянной палочкой или осторожно и медленно покачивая чашку так, чтобы раствор кислоты смочил стенки чашки примерно на 1/3 высоты. После охлаждения добавляют в чашку 2 см3 этилового спирта и 4 - 5 капель смешанного индикатора.
Если после добавления индикатора раствор приобретает голубую (светло-синюю) окраску (pH > 4,4), добавляют по каплям тот же раствор азотной кислоты до перехода окраски в желтую. Если после добавления индикатора раствор приобретает темно-синюю или сине-фиолетовую окраску, строго по каплям добавляют раствор азотной кислоты с концентрацией 0,5 моль/дм3 при перемешивании после добавления каждой капли до тех пор, пока цвет раствора не станет светло-синим или голубым, после чего добавляют раствор кислоты 0,05 моль/дм3 до перехода окраски в желтую. Прибавление растворов азотной кислоты следует вести медленно, тщательно перемешивая пробу. По мере растворения отложившихся на стенках чашки карбонатов, раствор вновь будет приобретать голубую окраску или на стенках будет появляться голубой ореол. В этом случае следует по каплям добавлять еще раствор кислоты, тщательно обмывая стенки чашки палочкой или осторожно покачивая чашку круговыми движениями до прекращения появления голубой окраски. Если случайно добавлена лишняя капля раствора азотной кислоты, так что голубая окраска при перемешивании не возвращается (pH < 3,6), добавляют по каплям раствор гидроксида натрия (0,4%) до перехода окраски из желтой в голубую, а затем по каплям раствор азотной кислоты 0,05 моль/дм3 до возвращения желтой окраски.
После этого добавляют еще 0,5 см3 раствора азотной кислоты 0,05 моль/дм3 и проводят титрование пробы раствором нитрата ртути из микробюретки, тщательно перемешивая раствор стеклянной палочкой или осторожно покачивая чашку круговыми движениями так, чтобы омывать стенки чашки, до перехода окраски из желтой в фиолетовую (грязно-фиолетовую). После первого появления фиолетового оттенка титрование следует вести медленно, по каплям, омывая стенки чашки после каждой капли, до тех пор, пока фиолетовая окраска перестанет исчезать.
10.3. Устранение мешающих влияний
10.3.1. Если анализируемая проба имеет высокую цветность, мешающую выполнению титрования, окраску воды можно устранить одним из следующих способов:
а) анализируемую воду медленно пропускают через колонку с активным углем, при этом первые 50 см3 воды, прошедшие через колонку, следует отбросить;
б) 200 - 250 см3 анализируемой воды помещают в коническую колбу вместимостью 500 см3, приливают 6 - 8 см3 суспензии гидроксида алюминия и встряхивают до обесцвечивания жидкости. Дают пробе отстояться несколько минут и фильтруют через бумажный фильтр "белая лента", промытый дистиллированной водой. Первую порцию фильтрата следует отбросить.
10.3.2. Выполнению измерений массовой концентрации хлоридов мешают сульфиды, сульфиты, цианиды, тиоцианаты, в концентрациях выше 2 мг/дм3, маловероятных для природных и очищенных сточных вод. При необходимости влияние сульфидов, сульфитов, цианидов устраняют, прибавляя к отмеренной для анализа слабощелочной пробе перед упариванием 1 см3 пероксида водорода.
10.3.3. Бромиды и иодиды титруются вместе с хлоридами в эквивалентных соотношениях. При анализе природных вод, содержащих бромиды и иодиды в концентрациях намного ниже, чем концентрация хлоридов, их влиянием можно пренебречь.
10.3.4. Выполнению измерений массовой концентрации хлоридов мешают железо, медь, цинк, марганец при содержании в анализируемой аликвоте пробы более 1 мг и хром (VI) при содержании в анализируемой аликвоте пробы более 0,2 мг. При достаточно высоком содержании хлоридов для устранения влияния металлов следует уменьшить объем аликвоты так, чтобы содержание металлов стало ниже указанных значений. Присутствие высоких концентраций металлов в пробах с низкой концентрацией хлоридов маловероятно.
11. Вычисление и оформление результатов измерений
11.1. Массовую концентрацию хлоридов в анализируемой воде находят по формуле

, (2)
где X - массовая концентрация хлоридов в воде, мг/дм3;
M - молярная масса хлорид-иона, г/моль (35, 45);
V - объем раствора нитрата ртути, израсходованный на титрование анализируемой пробы, см3;
C - молярная концентрация раствора нитрата ртути, моль/дм3 КВЭ;

- объем аликвоты пробы воды, взятый для анализа, см3.
Если для устранения цветности использовали суспензию гидроксида алюминия, то в полученный результат следует ввести поправку на разбавление - умножить результат на коэффициент 1,03.
11.2 Результат измерений в документах, предусматривающих его использование, представляют в виде:

(P = 0,95), (3)
где

- границы характеристики погрешности результатов измерений для данной массовой концентрации хлоридов
(таблица 1).
Численные значения результата измерений должны оканчиваться цифрой того же разряда, что и значения характеристики погрешности, которые не должны содержать более двух значащих цифр.
11.3. Допустимо представлять результат в виде:

(P = 0,95) при условии

, (4)
где

- границы характеристик погрешности результатов измерений, установленные при реализации методики в лаборатории и обеспечиваемые контролем стабильности результатов измерений.
Примечание. Допустимо характеристику погрешности результатов измерений при внедрении методики в лаборатории устанавливать на основе выражения

с последующим уточнением по мере накопления информации в процессе контроля стабильности результатов измерений.
12. Контроль качества результатов измерений
при реализации методики в лаборатории
12.1. Контроль качества результатов измерений при реализации методики в лаборатории предусматривает:
- оперативный контроль исполнителем процедуры выполнения измерений (на основе оценки погрешности при реализации отдельно взятой контрольной процедуры);
- контроль стабильности результатов измерений (на основе контроля стабильности среднеквадратического отклонения повторяемости, среднеквадратического отклонения внутрилабораторной прецизионности, погрешности).
12.2. Алгоритм оперативного контроля процедуры выполнения измерений с использованием метода добавок
12.2.1. Контроль исполнителем процедуры выполнения измерений проводят путем сравнения результатов отдельно взятой контрольной процедуры

с нормативом контроля K.
12.2.2. Результат контрольной процедуры

, мг/дм3, рассчитывают по формуле

, (5)
где X' - результат контрольного измерения массовой концентрации хлоридов в пробе с известной добавкой, мг/дм3;
X - результат контрольного измерения массовой концентрации хлоридов в рабочей пробе, мг/дм3;
C - величина добавки, мг/дм3.
12.2.3. Норматив контроля погрешности K, мг/дм3, рассчитывают по формуле

, (6)
где

- значение характеристики погрешности методики, соответствующее массовой концентрации хлоридов в пробе с добавкой, мг/дм3;

- значение характеристики погрешности методики, соответствующее массовой концентрации хлоридов в рабочей пробе, мг/дм3.
12.2.4. Если результат контрольной процедуры удовлетворяет условию

, (7)
процедуру анализа признают удовлетворительной.
При невыполнении
условия (7) контрольную процедуру повторяют. При повторном невыполнении
условия (7), выясняют причины, приводящие к неудовлетворительным результатам, и принимают меры по их устранению.
12.3. Периодичность оперативного контроля и процедуры контроля стабильности результатов выполнения измерений регламентируют в Руководстве по качеству лаборатории.
13. Оценка приемлемости результатов, полученных
в условиях воспроизводимости
Расхождение между результатами измерений, полученными в двух лабораториях, не должно превышать предела воспроизводимости. При выполнении этого условия приемлемы оба результата измерений и в качестве окончательного может быть использовано их общее среднее значение. Значение предела воспроизводимости рассчитывают по формуле

. (7)
При превышении предела воспроизводимости могут быть использованы методы оценки приемлемости результатов измерений согласно
разделу 5 ГОСТ Р ИСО 5725-6-2002.
Примечание. Оценка приемлемости проводится при необходимости сравнения результатов измерений, полученных двумя лабораториями.
(рекомендуемое)
ПРИГОТОВЛЕНИЯ АТТЕСТОВАННЫХ РАСТВОРОВ ХЛОРИД-ИОНОВ

И

А.1. Назначение и область применения
Настоящая методика регламентирует процедуру приготовления аттестованных растворов хлорид-ионов, предназначенных для установления концентрации титрованных растворов и контроля точности результатов измерений массовой концентрации хлоридов в природных и очищенных сточных водах титриметрическим методом.
А.2. Метрологические характеристики
Метрологические характеристики аттестованных растворов приведены в таблице А1.
Таблица А1
Метрологические характеристики аттестованных
растворов хлорид-ионов
Характеристика | Единицы измерения | Шифр аттестованного раствора |
| |
Аттестованное значение концентрации хлорид-ионов | мг/см3 | 1,773 | 0,443 |
моль/дм3 | 0,0500 | 0,0125 |
Предел возможных значений погрешности установления концентрации хлорид-ионов (P = 0,95) | мг/см3 | 0,0023 | 0,0012 |
моль/дм3 | 0,000064 | 0,000035 |
А.3. Средства измерений, вспомогательные устройства, реактивы
А.3.2. Шкаф сушильный общелабораторного назначения.
А.3.3. Колбы мерные не ниже 2 класса точности по
ГОСТ 1770-74 вместимостью 200 и 500 см3.
А.3.4. Пипетка с одной отметкой не ниже 2 класса точности по
ГОСТ 29169-91 вместимостью 50 см3.
А.3.7. Шпатель.
А.3.8. Промывалка.
А.3.9. Эксикатор с безводным хлоридом кальция.
А.3.10. Натрий хлористый (хлорид натрия) по
ГОСТ 4233-77, х.ч. с содержанием основного вещества не менее 99,9 %.
А.3.12. Вода бидистиллированная.
А.4. Процедура приготовления аттестованных растворов хлорид-ионов
А.4.1. Приготовление аттестованного раствора

Для приготовления аттестованного раствора

на аналитических весах взвешивают в бюксе с точностью до четвертого знака после запятой 1,461 г хлорида натрия, предварительно высушенного в сушильном шкафу при 250 °C в течение 2 ч. Количественно переносят навеску в мерную колбу вместимостью 500 см3, растворяют в бидистиллированной воде, доводят объем раствора до метки и перемешивают. Переносят раствор в склянку с хорошо притертой стеклянной или пластиковой пробкой.
Полученному раствору приписывают массовую концентрацию хлорид-ионов 1,773 мг/см3 и молярную концентрацию 0,0500 моль/дм3.
А.4.2. Приготовление аттестованного раствора

Отбирают пипеткой с одной отметкой 50 см3 раствора

, помещают его в мерную колбу вместимостью 200 см3, доводят объем раствора до метки бидистиллированной водой и перемешивают. Переносят раствор в склянку с хорошо притертой стеклянной или пластиковой пробкой.
Полученному раствору приписывают массовую концентрацию хлорид-ионов 0,443 мг/см3 и молярную концентрацию 0,0125 моль/дм3.
А.5. Расчет метрологических характеристик аттестованных растворов
А.5.1. Расчет метрологических характеристик аттестованного раствора

Аттестованное значение молярной концентрации хлорид-ионов

, моль/дм3 рассчитывают по формуле

. (А.1)
Аттестованное значение массовой концентрации хлорид-ионов

, мг/см3 рассчитывают по формуле

, (А.2)
где m - масса навески хлорида натрия, г;
V - вместимость мерной колбы, см3;
35,45 и 58,44 - молярная масса хлорид-иона и хлорида натрия, соответственно, г/моль.
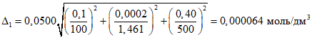
Расчет предела возможных значений погрешности приготовления аттестованного раствора

выполняют по формулам

или

, (А.3)
где

- приписанное раствору

значение массовой (молярной) концентрации хлорид-ионов, мг/см3 (моль/дм3);

- массовая доля основного вещества (NaCl) в реактиве, приписанная реактиву квалификации "х.ч.";

- предельное значение возможного отклонения массовой доли основного вещества в реактиве от приписанного значения,

;
m - масса навески хлорида натрия, г;

- предельная возможная погрешность взвешивания, г;
V - вместимость мерной колбы, см3;

- предельное значение возможного отклонения вместимости мерной колбы от номинального значения, см3.
Предел возможных значений погрешности приготовления аттестованного раствора

или

.
А.5.2. Расчет метрологических характеристик аттестованного раствора

Аттестованное значение молярной концентрации хлорид-ионов

, моль/дм3, или массовой концентрации

, мг/см3, рассчитывают по формулам

или

, (А.4)
где

- объем раствора

, отбираемый пипеткой, см3;

- вместимость мерной колбы, см3.
Расчет предела возможных значений погрешности приготовления аттестованного раствора

выполняют по формулам

или

, (А.5)
где

- приписанное раствору

значение массовой (молярной) концентрации хлорид-ионов, мг/см3 (моль/дм3);

- предел возможных значений погрешности приготовления аттестованного раствора

, мг/см3 (моль/дм3);

- объем раствора

, отбираемый пипеткой, см3;

- предельное значение возможного отклонения объема

от номинального значения, см3;

- вместимость мерной колбы, см3;

- предельное значение возможного отклонения вместимости мерной колбы от номинального значения, см3.
Предел возможных значений погрешности приготовления аттестованного раствора

или

.
А.6. Требования безопасности
Необходимо соблюдать общие требования техники безопасности при работе в химических лабораториях.
А.7. Требования к квалификации операторов
Аттестованные растворы может готовить инженер или лаборант со средним специальным образованием, прошедший специальную подготовку и имеющий стаж работы в химической лаборатории не менее 6 мес.
А.8. Требования к маркировке
На склянки с аттестованными растворами должна быть наклеена этикетка с указанием массовой и молярной концентрации хлорид-ионов, погрешности ее установления и даты приготовления.
А.9. Условия хранения
Аттестованные растворы следует хранить в стеклянной склянке с притертой стеклянной или пластиковой пробкой при комнатной температуре не более 6 месяцев.
(обязательное)
ПОДГОТОВКА АКТИВНОГО УГЛЯ
Порцию активного угля, достаточную для заполнения колонки, помещают в термостойкую коническую колбу, добавляют 100 - 150 см3 раствора соляной кислоты 4 моль/дм3 и кипятят 2 - 3 ч, накрыв колбу часовым стеклом. Если раствор кислоты окрашивается, повторяют операцию до тех пор, пока он не останется бесцветным. Уголь отмывают дистиллированной водой до значения pH, соответствующего pH дистиллированной воды по универсальной индикаторной бумаге, добавляют 100 - 150 см3 раствора гидроксида натрия 1 моль/дм3 и выдерживают 8 - 10 ч. Если появляется окраска, операцию повторяют.
Очищенный уголь отмывают дистиллированной водой до нейтральной реакции по универсальной индикаторной бумаге, затем промывают бидистиллированной водой. Хранят в склянке с бидистиллированной водой.
После пропускания каждой пробы воды уголь в колонке регенерируют промыванием 0,4%-ным раствором гидроксида натрия до исчезновения окраски последнего, затем дистиллированной до нейтральной реакции, после чего промывают бидистиллированной водой.
(рекомендуемое)
ПРЕДВАРИТЕЛЬНАЯ ОЦЕНКА КОНЦЕНТРАЦИИ ХЛОРИДОВ
В НЕИЗВЕСТНОЙ ПРОБЕ ВОДЫ
В пробирку приливают 5 см3 анализируемой воды, добавляют 2 капли раствора азотной кислоты 0,5 моль/дм3 и 3 капли 10%-ного раствора нитрата серебра. По характеру появляющейся мути (осадка) оценивают ориентировочную концентрацию хлоридов в соответствии с таблицей В1.
Таблица В1
Предварительная оценка содержания хлоридов
в неизвестной пробе воды
Характер помутнения пробы | Ориентировочная концентрация хлоридов, мг/дм3 |
Слабая муть | 1 - 10 |
Сильная муть | 10 - 50 |
Плавающие хлопья | 50 - 100 |
Оседающие хлопья | 100 - 250 |
Белый объемистый осадок | Более 250 |