Главная // Актуальные документы // МетодикаСПРАВКА
Источник публикации
Ростов-на-Дону, 2007
Примечание к документу
Документ утратил силу с 1 октября 2018 года в связи с изданием
Приказа Росгидромета от 12.01.2018 N 4. Взамен введен в действие
РД 52.24.395-2017.
Документ
введен в действие с 1 сентября 2007 года.
Взамен РД 52.24.395-95.
Название документа
"РД 52.24.395-2007. Руководящий документ. Жесткость воды. Методика выполнения измерений титриметрическим методом с трилоном Б"
(утв. и введен в действие Росгидрометом 06.08.2007)
"РД 52.24.395-2007. Руководящий документ. Жесткость воды. Методика выполнения измерений титриметрическим методом с трилоном Б"
(утв. и введен в действие Росгидрометом 06.08.2007)
Утвержден и введен в действие
Заместителем Руководителя
Росгидромета
Согласован
УМЗА и НПО "Тайфун" Росгидромета
РУКОВОДЯЩИЙ ДОКУМЕНТ
ЖЕСТКОСТЬ ВОДЫ
МЕТОДИКА ВЫПОЛНЕНИЯ ИЗМЕРЕНИЙ ТИТРИМЕТРИЧЕСКИМ
МЕТОДОМ С ТРИЛОНОМ Б
РД 52.24.395-2007
Дата введения
1 сентября 2007 года
1. Разработан ГУ "Гидрохимический институт".
2. Разработчики Л.В. Боева, канд. хим. наук, Т.С. Евдокимова.
3. Согласован с УМЗА и НПО "Тайфун" Росгидромета.
4. Утвержден и введен в действие Заместителем Руководителя Росгидромета.
5. Аттестован ГУ "Гидрохимический институт", свидетельство об аттестации N 47.24-2007 от 10.01.2007.
6. Зарегистрирован ГУ "НПО "Тайфун" за номером РД 52.24.395-2007 06.08.2007 г.
7. Взамен РД 52.24.395-95 "Методические указания. Методика выполнения измерений жесткости воды титриметическим методом с трилоном Б".
Жесткость - свойство воды, обусловленное присутствием в ней растворенных солей щелочноземельных металлов (преимущественно кальция и магния). Различают жесткость кальциевую и магниевую, связанные с присутствием в воде соответственно ионов кальция и магния. Суммарное содержание ионов этих металлов в воде называется общей жесткостью.
Общая жесткость подразделяется на карбонатную, обусловленную присутствием в воде гидрокарбонатов и карбонатов кальция и магния, и некарбонатную, обусловленную наличием кальциевых и магниевых солей сильных кислот.
Карбонатную жесткость также называют временной (устранимой), а некарбонатную - постоянной. Гидрокарбонаты кальция и магния при длительном кипячении воды разлагаются с выделением диоксида углерода и выпадающих в осадок карбонатов кальция и магния (при дальнейшем кипячении карбонат магния гидролизуется с образованием гидроксида); жесткость воды при этом уменьшается:



Жесткость, оставшаяся после кипячения воды в течение определенного времени, достаточного для полного разложения гидрокарбонатов и удаления диоксида углерода (обычно 1 - 1,5 ч), называется постоянной жесткостью. Постоянная жесткость является важной характеристикой качества воды, используемой для технических целей. Она преимущественно зависит от содержания ионов кальция и магния, которые после кипячения уравновешиваются сульфатами и хлоридами. Эту часть постоянной жесткости, называемую также остаточной жесткостью, можно найти по разности между общей жесткостью и концентрацией гидрокарбонатов, выраженной в миллимолях на кубический дециметр. Однако кроме остаточной жесткости в воде после кипячения остается небольшое количество ионов кальция и магния, обусловленное растворимостью карбоната кальция и гидроксида магния. Эта часть постоянной жесткости называется неустранимой жесткостью. Поскольку растворимость карбоната кальция и гидроксида магния в присутствии ионов кальция и магния в растворе весьма незначительна, обычно некарбонатную (остаточную) жесткость отождествляют с постоянной жесткостью. Способ расчета постоянной жесткости и составляющих ее остаточной и неустранимой жесткости на основе результатов определения компонентов солевого состава воды приведен в "Руководстве по химическому анализу вод суши", Л.: Гидрометеоиздат, 1973.
Жесткость воды в настоящее время выражают в миллимолях количества вещества эквивалентов (КВЭ)

и

, содержащихся в 1 дм3 воды - ммоль/дм3 КВЭ (ранее эту единицу обозначали мг-экв/л или мг-экв/дм3). Миллимоль КВЭ

и

равны соответственно 20,04 мг/ммоль и 12,15 мг/ммоль.
В естественных условиях ионы кальция и магния поступают в воду в результате взаимодействия растворенного диоксида углерода с карбонатными минералами и при других процессах растворения и химического выветривания горных пород. Источником этих ионов являются также микробиальные процессы, протекающие в почвах на площади водосбора, в донных отложениях, а также сточные воды различных предприятий: силикатной, металлургической, стекольной, химической промышленности, стоки с сельскохозяйственных угодий.
Общая жесткость поверхностных вод колеблется в основном от единиц до десятков миллимолей КВЭ в кубическом дециметре, причем карбонатная жесткость часто составляет 70 - 80% от общей жесткости. Она подвержена заметным сезонным колебаниям, достигая обычно наибольшего значения в конце зимы и наименьшего в период паводка. Жесткость подземных вод более постоянна.
Вода с жесткостью менее 4 ммоль/дм3 КВЭ характеризуется как мягкая; от 4 до 8 ммоль/дм3 КВЭ - средней жесткости; от 8 до 12 ммоль/дм3 КВЭ - жесткая; более 12 ммоль/дм3 КВЭ - очень жесткая.
Обычно преобладает (иногда в несколько раз) жесткость, обусловленная ионами кальция, однако в отдельных случаях магниевая жесткость может достигать 50 - 60% общей жесткости и более (часто магниевая жесткость превосходит кальциевую в морских и океанических водах либо в поверхностных водах суши с высоким содержанием сульфат-ионов).
Высокая жесткость оказывает отрицательное влияние на свойства воды, используемой в промышленности и для хозяйственно-бытовых целей. Жесткие требования в отношении величины жесткости предъявляются к воде, питающей паросиловые установки, поскольку в присутствии сульфатов и карбонатов кальций и магний образуют прочную накипь, уменьшающую теплопроводность металла и приводящую к перерасходу топлива и перегреву котлов. Для устранения жесткости применяют различные способы - осаждение труднорастворимых солей кальция и магния химическим или термическим путем, умягчение с помощью ионитов.
Высокая жесткость, особенно обусловленная превышением солей магния, ухудшает органолептические свойства воды, придавая ей горьковатый вкус и оказывая отрицательное воздействие на органы пищеварения. Предельно допустимая величина жесткости в питьевых водах 7 ммоль/дм3 КВЭ, но в некоторых случаях допускается использовать для питьевых целей воду с жесткостью 10 ммоль/дм3 КВЭ.
1.1. Настоящий руководящий документ устанавливает методику выполнения измерений (далее - методика) общей и некарбонатной жесткости в пробах природных и очищенных сточных вод в диапазоне от 0,060 до 13,00 ммоль/дм3 КВЭ (далее - ммоль/дм3) титриметрическим методом с трилоном Б.
При анализе проб воды с величиной жесткости, превышающей 13,00 ммоль/дм3, допускается выполнение измерений после соответствующего разбавления пробы дистиллированной водой.
1.2. Настоящий руководящий документ предназначен для использования в лабораториях, осуществляющих анализ природных и очищенных сточных вод.
В настоящем руководящем документе использованы ссылки на следующие нормативные документы:
ГОСТ 12.1.005-88 ССБТ. Общие санитарно-гигиенические требования к воздуху рабочей зоны
ГОСТ 12.1.007-76 ССБТ. Вредные вещества. Классификация и общие требования безопасности
ГОСТ 17.1.5.04-81 Охрана природы. Гидросфера. Приборы и устройства для отбора, первичной обработки и хранения проб природных вод. Общие технические условия
ГОСТ 17.1.5.05-85 Охрана природы. Гидросфера. Общие требования к отбору проб поверхностных и морских вод, льда и атмосферных осадков
ГОСТ Р ИСО 5725-6-2002 Точность (правильность и прецизионность) методов и результатов измерений. Часть 6. Использование значений точности на практике
МИ 2881-2004 Рекомендация. ГСИ. Методики количественного химического анализа. Процедуры проверки приемлемости результатов анализа
РД 52.24.403-2007. Массовая концентрация кальция в водах. Методика выполнения измерений титриметрическим методом с трилоном Б
| | ИС МЕГАНОРМ: примечание. В тексте документа, видимо, допущена опечатка: разделы В.3 и В.4 в тексте документа отсутствуют. | |
Примечание. Ссылки на остальные нормативные документы приведены в
разделах 4, В.3 и В.4.
3. ПРИПИСАННЫЕ ХАРАКТЕРИСТИКИ ПОГРЕШНОСТИ ИЗМЕРЕНИЙ
3.1. При соблюдении всех регламентируемых методикой условий проведения измерений характеристики погрешности результата измерения с вероятностью 0,95 не должны превышать значений, приведенных в таблице 1.
Таблица 1
Диапазон измерений, значения характеристик погрешности
и ее составляющих (P = 0,95)
Диапазон значений измеряемой жесткости, X, ммоль/дм3 | Показатель повторяемости (среднеквад- ратическое отклонение повторяемости) сигма , r ммоль/дм3 | Показатель воспроизводи- мости (средне- квадратическое отклонение воспроизводи- мости) сигма , R ммоль/дм3 | Показатель правильности (границы систематической погрешности при вероятности P = 0,95) +/- дельта , c ммоль/дм3 | Показатель точности (границы погрешности при вероятности P = 0,95) +/- дельта, ммоль/дм3 |
От 0,060 до 2,000 включ. Св. 2,00 до 13,00 включ. | 0,004 + + 0,0045 · X + 0,0045 · X | 0,011 + + 0,023 · X + 0,035 · X | 0,019 + + 0,017 · X + 0,017 · X | 0,037 + + 0,040 · X - 0,05 + + 0,073 · X |
При выполнении измерений в пробах при значениях жесткости свыше 13,0 ммоль/дм3 после соответствующего разбавления погрешность измерения не превышает величины

, где

- погрешность измерения величины жесткости в разбавленной пробе;

- степень разбавления.
Предел обнаружения жесткости 0,04 ммоль/дм3.
3.2. Значения показателя точности методики используют при:
- оформлении результатов измерений, выдаваемых лабораторией;
- оценке деятельности лабораторий на качество проведения измерений;
- оценке возможности использования результатов измерений при реализации методики в конкретной лаборатории.
4. СРЕДСТВА ИЗМЕРЕНИЙ, ВСПОМОГАТЕЛЬНЫЕ УСТРОЙСТВА,
РЕАКТИВЫ, МАТЕРИАЛЫ
4.1. Средства измерений, вспомогательные устройства
При выполнении измерений применяют следующие средства измерений и другие технические средства:
4.1.1. Весы лабораторные высокого (II) класса точности по
ГОСТ 24104-2001 с пределом взвешивания 200 г.
4.1.2. Весы лабораторные среднего (III) класса точности по
ГОСТ 24104-2001 с пределом взвешивания 200 г.
4.1.3. Государственный стандартный образец состава водного раствора кальция ГСО 8065-95 (далее - ГСО кальция).
4.1.4. Государственный стандартный образец состава водного раствора магния ГСО 7190-95 (далее - ГСО магния).
4.1.5. Колбы мерные 2 класса точности исполнения 2, 2а по
ГОСТ 1770-74 вместимостью:
100 см3 - 2 шт.
250 см3 - 4 шт.
500 см3 - 2 шт.
4.1.6. Пипетки градуированные 2 класса точности исполнения 1, 2 по
ГОСТ 29227-91 вместимостью:
1 см3 - 5 шт.
2 см3 - 1 шт.
5 см3 - 1 шт.
10 см3 - 1 шт.
4.1.7. Пипетки с одной отметкой 2 класса точности исполнения 2 по
ГОСТ 29169-91 вместимостью:
5 см3 - 3 шт.
10 см3 - 3 шт.
25 см3 - 3 шт.
50 см3 - 2 шт.
100 см3 - 2 шт.
4.1.8. Бюретки 2 класса точности исполнения 1, 3 по
ГОСТ 29251-91 вместимостью:
5 см3 - 1 шт.
10 см3 - 1 шт.
25 см3 - 1 шт.
4.1.9. Цилиндры мерные исполнения 1, 3 по
ГОСТ 1770-74 вместимостью:
25 см3 - 1 шт. 50 см3 - 1 шт. 100 см3 - 2 шт. 250 см3 - 1 шт. 500 см3 - 1 шт. 1000 см3 - 1 шт. |
4.1.10. Пробирки конические исполнения 1 по
ГОСТ 1770-74 вместимостью
10 см3 - 2 шт.
4.1.11. Колбы конические Кн исполнения 2, ТХС по
ГОСТ 25336-82 вместимостью
250 см3 - 10 шт.
500 см3 - 4 шт.
100 см3 - 3 шт.
250 см3 - 2 шт.
600 см3 - 2 шт.
1000 см3 - 2 шт.
4.1.13. Стаканы полипропиленовые вместимостью
100 см3 - 1шт.
250 см3 - 1 шт.
56 мм - 2 шт.
75 мм - 4 шт.
СВ-14/8 - 1 шт.
СВ-19/9 - 1 шт.
СВ-24/10 - 1 шт.
СВ-34/12 - 1 шт.
- 1 шт.
4.1.17. Колонка хроматографическая диаметром 1,5 - 2,0 и длиной
25 - 30 см - 1 шт.
4.1.18. Стекло часовое
- 1 шт.
4.1.19. Чашка биологическая (Петри) исполнения 2 по
ГОСТ 25336-82
- 1 шт.
- 1 шт.
4.1.21. Палочки стеклянные
- 2 шт.
4.1.22. Эксикатор исполнения 2 с диаметром корпуса 140 мм или 190 мм по
ГОСТ 25336-82.
4.1.23. Промывалка.
4.1.24. Склянки для хранения проб и растворов из светлого и темного стекла с завинчивающимися или притертыми пробками вместимостью 100 см3, 250 см3, 500 см3, 1000 см3.
4.1.25. Посуда полиэтиленовая (полипропиленовая) для хранения проб и растворов вместимостью 100 см3, 250 см3, 500 см3, 1000 см3.
4.1.26. Шкаф сушильный общелабораторного назначения.
4.1.28. Печь муфельная любого типа.
4.1.29. Устройство для фильтрования проб с использованием мембранных или бумажных фильтров.
4.1.30. Холодильник бытовой.
4.1.31. Маркер (карандаш по стеклу).
Допускается использование других типов средств измерений, посуды и вспомогательного оборудования, в том числе импортных, с характеристиками не хуже, чем у приведенных в
4.1.
4.2. Реактивы и материалы
При выполнении измерений применяют следующие реактивы и материалы:
4.2.1. Соль динатриевая этилендиамин - N,N,N',N'-тетрауксусной кислоты 2-водная (трилон Б) по
ГОСТ 10652-73, ч.д.а.
4.2.2. Цинк гранулированный по ТУ 6-09-5294-86, ч.д.а.
4.2.3. Кальций углекислый (кальция карбонат) по
ГОСТ 4530-76, х.ч., и магний оксид по
ГОСТ 4526-75, х.ч. (при отсутствии ГСО).
4.2.4. Аммоний хлористый (хлорид аммония) по
ГОСТ 3773-72, ч.д.а.
4.2.6. Натрий хлористый (хлорид натрия) по
ГОСТ 4233-77, ч.д.а.
4.2.7. Натрия гидроокись (гидроксид натрия) по
ГОСТ 4328-77, ч.д.а.
4.2.8. Натрий сернистый 9-водный (сульфид натрия) по
ГОСТ 2053-77, ч.д.а., или натрия N,N-диэтилдитиокарбамат 3-водный (диэтилдитиокарбамат натрия) по
ГОСТ 8864-71, ч.д.а.
4.2.10. Эриохром черный Т (хромоген черный ЕТ).
4.2.12. Уголь активный.
4.2.14. Барий хлорид 2-водный (хлорид бария) по
ГОСТ 4108-72, ч.д.а.
4.2.16. Универсальная индикаторная бумага (pH 1 - 10) по ТУ 6-09-1181-76.
4.2.17. Фильтры мембранные "Владипор МФАС-ОС-2", 0,45 мкм, по ТУ 6-55-221-1-29-89 или другого типа, равноценные по характеристикам.
4.2.18. Фильтры бумажные обеззоленные "синяя лента" и "белая лента" по ТУ 6-09-1678-86.
Допускается использование реактивов, изготовленных по другой нормативно-технической документации, в том числе импортных, с квалификацией не ниже указанной в
4.2.
Выполнение измерений жесткости основано на способности ионов кальция и магния в среде аммонийно-аммиачного буферного раствора (pH 9 - 10) образовывать с трилоном Б малодиссоциированные комплексные соединения. При титровании вначале связывается кальций, образующий более прочный комплекс с трилоном Б, а затем магний. Конечная точка титрования определяется по изменению окраски индикатора эриохрома черного Т от вишнево-красной (окраска соединения магния с индикатором) до голубой (окраска свободного индикатора).
6. ТРЕБОВАНИЯ БЕЗОПАСНОСТИ, ОХРАНЫ ОКРУЖАЮЩЕЙ СРЕДЫ
6.1. При выполнении измерений жесткости в пробах природных и очищенных сточных вод соблюдают требования безопасности, установленные в национальных стандартах и соответствующих нормативных документах.
6.2. По степени воздействия на организм вредные вещества, используемые при выполнении измерений, относятся ко 2, 3 классам опасности по
ГОСТ 12.1.007.
6.3. Содержание используемых вредных веществ в воздухе рабочей зоны не должно превышать установленных предельно допустимых концентраций в соответствии с
ГОСТ 12.1.005.
6.4. Дополнительных требований по экологической безопасности не предъявляется.
7. ТРЕБОВАНИЯ К КВАЛИФИКАЦИИ ОПЕРАТОРОВ
К выполнению измерений и обработке их результатов допускаются лица со средним профессиональным образованием или без профессионального образования, но имеющие стаж работы в лаборатории не менее года и освоившие методику.
8. УСЛОВИЯ ВЫПОЛНЕНИЯ ИЗМЕРЕНИЙ
При выполнении измерений в лаборатории должны быть соблюдены следующие условия:
- температура окружающего воздуха (22 +/- 5) °C;
- атмосферное давление от 84,0 до 106,7 кПа (от 630 до 800 мм рт. ст.);
- влажность воздуха не более 80% при 25 °C;
- напряжение в сети (220 +/- 10) В;
- частота переменного тока в сети питания (50 +/- 1) Гц.
Отбор проб для выполнения измерений величины жесткости производится в соответствии с
ГОСТ 17.1.5.05 и
ГОСТ Р 51592. Оборудование для отбора проб должно соответствовать
ГОСТ 17.1.5.04 и
ГОСТ Р 51592. Мутные пробы фильтруют через мембранный фильтр 0,45 мкм или бумажный фильтр "синяя лента". Первую порцию фильтрата следует отбросить. Пробы хранят в стеклянной или полиэтиленовой посуде в темном месте не более 6 мес.
10. ПОДГОТОВКА К ВЫПОЛНЕНИЮ ИЗМЕРЕНИЙ
10.1. Приготовление растворов и реактивов
10.1.1. Раствор трилона Б с молярной концентрацией 0,02 моль/дм3 количества вещества эквивалента (далее - КВЭ)
Растворяют 3,72 г трилона Б в 1 дм3 дистиллированной воды. Точную концентрацию раствора устанавливают по раствору хлорида цинка в соответствии с
10.2 не реже 1 раза в месяц.
Раствор хранят в плотно закрытой посуде.
10.1.2. Раствор хлорида цинка с молярной концентрацией 0,02 моль/дм3 КВЭ
Отвешивают около 0,35 г металлического цинка, смачивают его небольшим количеством концентрированной соляной кислоты и сейчас же промывают дистиллированной водой. Цинк сушат в сушильном шкафу при температуре 105 °C в течение 1 ч, затем охлаждают и взвешивают на лабораторных весах с точностью до четвертого знака после запятой.
Навеску цинка количественно переносят в мерную колбу вместимостью 500 см3, в которую предварительно вносят 10 - 15 см3 бидистиллированной воды и 1,5 см3 концентрированной соляной кислоты. Цинк растворяют. После растворения объем раствора доводят до метки на колбе дистиллированной водой и перемешивают.
Рассчитывают молярную концентрацию хлорида цинка

, моль/дм3 КВЭ, в полученном растворе по формуле
где q - навеска металлического цинка, г;
32,69 - молярная масса эквивалента цинка

, г/моль;
V - вместимость мерной колбы, дм3.
При расчете значение

округляют таким образом, чтобы оно содержало 4 значащих цифры.
Раствор цинка хранят в плотно закрытой посуде в течение 6 мес.
10.1.3. Аммонийно-аммиачный буферный раствор
В мерной колбе вместимостью 500 см3 растворяют в 100 см3 дистиллированной воды 7,0 г хлорида аммония и добавляют 75 см концентрированного раствора аммиака. Объем раствора доводят до метки на колбе дистиллированной водой и тщательно перемешивают. Буферный раствор хранят в полиэтиленовой посуде не более 2 мес.
10.1.4. Индикатор эриохром черный Т
В ступке тщательно растирают 0,5 г эриохрома черного Т с 50 г хлорида натрия. Хранят в склянке из темного стекла не более 6 мес.
10.1.9. Раствор гидроксида натрия, 20%-ный
Растворяют 20 г гидроксида натрия в 80 см3 дистиллированной воды.
10.1.10. Раствор гидроксида натрия, 0,4%-ный
Растворяют 2 г гидроксида натрия в 500 см3 дистиллированной воды.
10.1.11. Раствор гидроксида натрия, 1 моль/дм3
Растворяют 20 г гидроксида натрия в 500 см3 дистиллированной воды.
Растворы гидроксида натрия устойчивы при хранении в плотно закрытой полиэтиленовой посуде.
10.1.12. Раствор сульфида натрия
В 50 см3 дистиллированной воды растворяют 2 г сульфида натрия. Хранят в плотно закрытой полиэтиленовой посуде в холодильнике не более недели.
10.1.13. Раствор диэтилдитиокарбамата натрия
В 50 см3 дистиллированной воды растворяют 5 г диэтилдитиокарбамата натрия. Хранят не более 2 недель в холодильнике.
10.1.14. Раствор гидрохлорида гидроксиламина
В 100 см3 дистиллированной воды растворяют 5 г гидрохлорида гидроксиламина. Хранят в плотно закрытой темной склянке в холодильнике в течение месяца.
10.1.15. Раствор соляной кислоты, 4 моль/дм3
В 330 см3 дистиллированной воды растворяют 170 см3 концентрированной соляной кислоты. Раствор устойчив.
10.1.16. Активный уголь
10.1.17. Суспензия гидроксида алюминия
Приготовление суспензии гидроксида алюминия приведено в
Приложении Б.
10.2. Установление точной молярной концентрации раствора трилона Б
В коническую колбу вместимостью 250 см3 с помощью пипетки с одной отметкой вносят 10,0 см3 раствора хлорида цинка
(10.1.2), добавляют 90 см3 дистиллированной воды, 5 см3 аммонийно-аммиачного буферного раствора и 70 - 100 мг индикатора эриохрома черного Т. Содержимое колбы тщательно перемешивают и титруют из бюретки вместимостью 25 см3 раствором трилона Б до перехода окраски из фиолетово-красной в голубую (синюю).
Молярную концентрацию раствора трилона Б

, моль/дм3 КВЭ, рассчитывают по формуле
где

- молярная концентрация раствора хлорида цинка, моль/дм3 КВЭ;

- объем раствора трилона Б, пошедший на титрование, см3;

- объем раствора хлорида цинка, см3.
11.1. Выбор условий титрования
Объем аликвоты пробы воды для выполнения измерений величины жесткости выбирают исходя из предполагаемой величины жесткости или по результатам оценочного титрования.
Для оценочного титрования отбирают 10 см3 воды, добавляют 0,5 см3 буферного раствора, 7 - 10 мг индикатора эриохрома черного Т и титруют раствором трилона Б до перехода окраски из вишнево-красной в голубую. По величине израсходованного на титрование объема раствора трилона Б выбирают из таблицы 2 соответствующий объем аликвоты пробы воды для выполнения измерений величины жесткости.
Таблица 2
Объем пробы воды, рекомендуемый для выполнения
измерений жесткости
Предполагаемая жесткость воды, ммоль/дм3 | Объем раствора трилона Б, израсходованный при оценочном титровании, см3 | Рекомендуемый объем аликвоты пробы воды, см3 |
Менее 4 | Менее 2 | 100 |
От 4 до 8 включ. | От 2 до 4 включ. | 50 |
Св. 8 до 16 включ. | Св. 4 до 8 включ. | 25 |
Св. 16 | Св. 8 | 10 |
Титрование следует проводить из бюретки подходящей вместимости в зависимости от жесткости воды. Если по результатам оценочного титрования объем трилона Б менее 0,4 см3 или предполагаемая жесткость менее 0,8 ммоль/дм3, используют бюретку вместимостью 5 см3; при объеме трилона Б от 0,4 см3 до 0,8 см3 или жесткости от 0,8 до 1,6 ммоль/дм3 - бюретку вместимостью 10 см3; при объеме трилона более 0,8 см3 или жесткости более 1,6 ммоль/дм3 - бюретку вместимостью 25 см3. При отсутствии бюретки вместимостью 10 см3 можно использовать бюретку вместимостью 25 см3; допускается замена бюретки вместимостью 5 см3 бюреткой вместимостью 10 см3, однако замена бюретки вместимостью 5 см3 бюреткой вместимостью 25 см3 недопустима.
11.2.1. В коническую колбу вместимостью 250 см3 отмеривают пипеткой требуемый объем аликвоты пробы, доводят, если необходимо, до 100 см3 дистиллированной водой, добавляют 5 см3 буферного раствора, 70 - 100 мг индикатора эриохрома черного Т и титруют раствором трилона Б до перехода окраски из вишнево-красной в голубую. Повторяют титрование и если расхождение объемов раствора трилона Б между параллельными титрованиями не превышает приведенных в
таблице 3, за результат принимают среднее значение объема трилона Б. В противном случае повторяют титрование до получения допустимого расхождения результатов.
Таблица 3
Допустимые расхождения между параллельными титрованиями
в зависимости от объема раствора трилона Б
Объем раствора трилона Б, израсходованного на титрование, см3 | Допустимое расхождение объемов трилона Б, см3 |
Менее 4 | 0,05 |
От 4 до 12 включ. | 0,10 |
Св. 12 до 16 включ. | 0,15 |
Св. 16 | 0,20 |
11.2.2. Если в период хранения в пробе выпал осадок карбоната кальция, непосредственно перед выполнением измерений прозрачную часть пробы декантируют (или сливают посредством сифона) в чистую сухую колбу. Оставшийся в склянке осадок растворяют, добавив 0,5 - 1 см3 концентрированной соляной кислоты. Затем прозрачную часть пробы и жидкость с растворенным осадком соединяют вместе и нейтрализуют 20%-ным раствором гидроксида натрия, добавляя его по каплям и контролируя pH по индикаторной бумаге. Далее отбирают аликвоту полученного раствора и проводят титрование.
11.3. Подготовка пробы для выполнения измерений некарбонатной (постоянной) жесткости
Мерную колбу вместимостью 250 см3 дважды ополаскивают небольшим количеством анализируемой воды, затем заполняют ее этой водой до метки. Из мерной колбы переносят аликвоту пробы в коническую термостойкую колбу вместимостью 500 см3 и маркером отмечают первоначальный уровень воды. Два-три раза ополаскивают мерную колбу небольшим количеством дистиллированной воды (8 - 10 см3) и смывы помещают в ту же коническую колбу. Нагревают содержимое конической колбы до кипения, а затем кипятят в течение 1 - 1,5 ч (в зависимости от концентрации гидрокарбонатов). Если при кипячении уровень воды в колбе понижается более чем на 0,5 см ниже первоначального уровня, в колбу доливают кипящую дистиллированную воду до этой отметки. По окончании кипячения уровень воды в колбе должен быть примерно на 0,5 см ниже первоначального уровня.
Пробу медленно охлаждают до комнатной температуры, а затем фильтруют через складчатый фильтр "синяя лента", предварительно промытый горячей дистиллированной водой, в мерную колбу вместимостью 250 см3. Дважды ополаскивают коническую колбу и фильтр холодной дистиллированной водой (примерно по 20 см3). Доводят раствор в колбе до метки, перемешивают и выполняют титрование в соответствии с
11.2.
11.4. Устранение мешающих влияний
11.4.1. Выполнению измерений жесткости мешают ионы железа (более 10 мг/дм3), кобальта, никеля (более 0,1 мг/дм3), алюминия (более 10 мг/дм3), меди (более 0,05 мг/дм3), вызывая нечеткое изменение окраски в точке эквивалентности, либо полностью исключая возможность индикации конечной точки титрования. Другие катионы, например, свинец, кадмий, марганец (II), цинк, стронций, барий при высоких концентрациях (как правило, не встречающихся в природных водах) могут частично титроваться вместе с кальцием и магнием и повышать расход трилона Б. Для устранения или уменьшения мешающего влияния катионов металлов к пробе перед титрованием прибавляют 0,5 см3 раствора сульфида или диэтилдитиокарбамата натрия и 0,5 см3 раствора гидрохлорида гидроксиламина.
11.4.2. Иногда мешающие влияния (неустранимые с помощью процедуры, описанной в
11.4.1) выражаются в несоответствии окраски раствора в начале или конце титрования той, что указана в
11.2.1, однако при этом наблюдается отчетливое ее изменение в конечной точке титрования. В таких случаях проводят оперативный контроль погрешности согласно
13.3 или
13.4 и при удовлетворительном результате контрольной процедуры за результат анализа принимают величину жесткости, найденную при титровании рабочей пробы.
11.4.3. Мешающее влияние взвешенных веществ устраняется фильтрованием пробы.
11.4.4. Если проба воды заметно окрашена за счет присутствия веществ природного или антропогенного происхождения, затрудняется фиксация конечной точки титрования. В этом случае пробу перед выполнением измерений следует пропустить со скоростью 3 - 5 см3/мин через хроматографическую колонку, заполненную активным углем (высота слоя 15 - 20 см). Первые 25 - 30 см3 пробы, прошедшей через колонку, отбрасывают.
Как правило, окрашенные соединения антропогенного происхождения сорбируются активным углем практически полностью, в то время как природного (гумусовые вещества) - лишь частично. При неустраняемой активным углем цветности пробы, обусловленной гумусовыми веществами, определение конечной точки титрования значительно облегчается использованием для сравнения слегка перетитрованной пробы этой же воды (пробы-свидетеля).
11.4.5. Если высокая цветность не позволяет установить конечную точку титрования, для устранения цветности можно использовать суспензию гидроксида алюминия. Для этого в стакан вместимостью 400 - 600 см3 с помощью пипетки вместимостью 100 см3 помещают 200 см3 пробы, приливают к ней градуированной конической пробиркой 6 см3 суспензии гидроксида алюминия, перемешивают до обесцвечивания пробы и дают отстояться несколько минут. Фильтруют пробу через бумажный фильтр "белая лента", промытый дистиллированной водой, в мерную колбу вместимостью 250 см3. Осадок в стакане и фильтр промывают 2 - 3 раза небольшими порциями дистиллированной воды, собирая промывные воды в ту же колбу. После этого доводят раствор в колбе до метки, перемешивают, отбирают из колбы необходимую аликвоту и титруют ее в соответствии с
11.2.
11.4.6. При достаточно высокой жесткости устранить мешающие влияния можно разбавлением пробы дистиллированной водой.
12. ВЫЧИСЛЕНИЕ И ОФОРМЛЕНИЕ РЕЗУЛЬТАТОВ ИЗМЕРЕНИЙ
12.1. Общую и некарбонатную жесткость воды X, ммоль/дм3, рассчитывают по формуле
где

- концентрация раствора трилона Б, моль/дм3 КВЭ;

- объем раствора трилона Б, пошедшего на титрование пробы, см3;
V - объем пробы воды, взятый для титрования, см3.
Если устранение цветности пробы осуществлялось с помощью суспензии гидроксида алюминия (см.
11.4.5), полученный результат умножают на 1,25.
12.2. Результат измерения в документах, предусматривающих его использование, представляют в виде:
где

- среднее арифметическое значение двух результатов, разность между которыми не превышает предела повторяемости

. Значения

приведены в
таблице 1; при превышении предела повторяемости следует поступать в соответствии с
13.2;

- границы характеристики погрешности результатов измерений для данной массовой концентрации кальция
(таблица 1).
Численные значения результата измерений должны оканчиваться цифрой того же разряда, что и значения характеристики погрешности; последние не должны содержать более двух значащих цифр.
12.3. Допустимо представлять результат в виде

при условии

где

- границы характеристик погрешности результатов измерений, установленные при реализации методики в лаборатории и обеспечиваемые контролем стабильности результатов измерений.
Примечание. Допустимо характеристику погрешности результатов измерений при внедрении методики в лаборатории устанавливать на основе выражения

с последующим уточнением по мере накопления информации в процессе контроля стабильности результатов измерений.
12.4. Если одновременно с измерением жесткости проводится выполнение измерений массовой концентрации кальция (например, в соответствии с
РД 52.24.403), в анализируемой пробе воды может быть рассчитана массовая концентрация магния. Методика расчета приведена в
Приложении В.
12.5. Результаты измерений оформляют протоколом или записью в журнале по формам, приведенным в Руководстве по качеству лаборатории.
13. КОНТРОЛЬ КАЧЕСТВА РЕЗУЛЬТАТОВ ИЗМЕРЕНИЙ
ПРИ РЕАЛИЗАЦИИ МЕТОДИКИ В ЛАБОРАТОРИИ
13.1. Общие положения
13.1.1. Контроль качества результатов измерений при реализации методики в лаборатории предусматривает:
- оперативный контроль исполнителем процедуры выполнения измерений (на основе оценки повторяемости, погрешности при реализации отдельно взятой контрольной процедуры);
- контроль стабильности результатов измерений (на основе контроля стабильности среднеквадратического отклонения повторяемости, среднеквадратического отклонения внутрилабораторной прецизионности, погрешности).
13.1.2. Периодичность оперативного контроля и процедуры контроля стабильности результатов выполнения измерений регламентируют в Руководстве по качеству лаборатории.
13.2. Алгоритм оперативного контроля повторяемости
13.2.1. Контроль повторяемости осуществляют для каждого из результатов измерений, полученных в соответствии с методикой. Для этого отобранную пробу воды делят на две части и выполняют измерения в соответствии с
разделом 11.
13.2.2. Результат контрольной процедуры

, ммоль/дм3, рассчитывают по формуле
где

,

- результаты измерений величины общей жесткости в пробе, ммоль/дм3.
13.2.3. Предел повторяемости

, ммоль/дм3, рассчитывают по формуле
13.2.4. Результат контрольной процедуры должен удовлетворять условию
13.2.5. При несоблюдении
условия (8) выполняют еще два измерения и сравнивают разницу между максимальным и минимальным результатами с нормативом контроля, равным

. В случае повторного превышения предела повторяемости поступают в соответствии с
разделом 5 ГОСТ Р ИСО 5725-6.
13.3. Алгоритм оперативного контроля процедуры выполнения измерений с использованием метода добавок совместно с методом разбавления проб
13.3.1. Оперативный контроль процедуры выполнения измерений с использованием метода добавок совместно с методом разбавления пробы проводят, если величина жесткости в рабочей пробе составляет 0,5 ммоль/дм3 и более. В противном случае оперативный контроль проводят с использованием метода добавок согласно
13.4. Для введения добавок используют ГСО или аттестованную смесь кальция и магния
(Приложение Г).
13.3.2. Оперативный контроль исполнителем процедуры выполнения измерений проводят путем сравнения результатов отдельно взятой контрольной процедуры

с нормативом контроля K.
13.3.3. Результат контрольной процедуры

, ммоль/дм3, рассчитывают по формуле
где

- результат контрольного измерения величины жесткости в пробе, разбавленной в

раз, с известной добавкой, ммоль/дм3;

- результат контрольного измерения величины жесткости в пробе, разбавленной в

раз, ммоль/дм3;

- результат измерения величины жесткости в рабочей пробе, ммоль/дм3;
C - величина добавки, ммоль/дм3.
13.3.4. Норматив контроля K, ммоль/дм3, рассчитывают по формуле
где

- значения характеристик погрешности результатов измерений, установленные при реализации методики в лаборатории, соответствующие величине жесткости в разбавленной пробе с добавкой (разбавленной пробе, рабочей пробе), ммоль/дм3.
Примечание. Допустимо для расчета норматива контроля использовать значения характеристик погрешности, полученные расчетным путем по формулам

и

.
13.3.5. Если результат контрольной процедуры удовлетворяет условию:
процедуру анализа признают удовлетворительной.
При невыполнении
условия (11) контрольную процедуру повторяют. При повторном невыполнении
условия (11) выясняют причины, приводящие к неудовлетворительным результатам, и принимают меры по их устранению.
13.4. Алгоритм оперативного контроля процедуры выполнения измерений с использованием метода добавок
13.4.1. Контроль исполнителем процедуры выполнения измерений проводят путем сравнения результатов отдельно взятой контрольной процедуры

с нормативом контроля K.
13.4.2. Результат контрольной процедуры

, ммоль/дм3, рассчитывают по формуле
где

- результат контрольного измерения величины жесткости в пробе с известной добавкой, ммоль/дм3;
X - результат измерения величины жесткости в рабочей пробе, ммоль/дм3;
C - величина добавки, ммоль/дм3.
13.4.3. Норматив контроля погрешности K, мг/дм3, рассчитывают по формуле
где

- значения характеристики погрешности результатов измерений, установленные при реализации методики в лаборатории, соответствующие массовой концентрации кальция в пробе с добавкой (рабочей пробе), мг/дм3.
Примечание. Допустимо для расчета норматива контроля использовать значения характеристик погрешности, полученные расчетным путем по формулам

и

.
3.4.4. Если результат контрольной процедуры удовлетворяет условию
процедуру признают удовлетворительной.
При невыполнении
условия (14) контрольную процедуру повторяют. При повторном невыполнении
условия (14) выясняют причины, приводящие к неудовлетворительным результатам, и принимают меры по их устранению.
14. ПРОВЕРКА ПРИЕМЛЕМОСТИ РЕЗУЛЬТАТОВ, ПОЛУЧАЕМЫХ
В УСЛОВИЯХ ВОСПРОИЗВОДИМОСТИ
Расхождение между результатами измерений, полученными в двух лабораториях, не должно превышать предела воспроизводимости R. При выполнении этого условия приемлемы оба результата измерений и в качестве окончательного может быть использовано их общее среднее значение. Значение R, ммоль/дм3, рассчитывают по формуле
При превышении предела воспроизводимости могут быть использованы методы оценки приемлемости результатов измерений согласно
разделу 5 ГОСТ Р ИСО 5725-6 или
МИ 2881.
Примечание. Проверка приемлемости проводится при необходимости сравнения результатов измерений, полученных двумя лабораториями.
(обязательное)
ПОДГОТОВКА АКТИВНОГО УГЛЯ
Порцию активного угля, достаточную для заполнения колонки, помещают в термостойкую коническую колбу, добавляют 100 - 150 см3 раствора соляной кислоты 4 моль/дм3 и кипятят 2 - 3 ч, накрыв колбу часовым стеклом. Если раствор кислоты окрашивается, повторяют операцию до тех пор, пока он не останется бесцветным. Уголь отмывают дистиллированной водой до значения pH, соответствующего pH дистиллированной воды по универсальной индикаторной бумаге, добавляют 100 - 150 см3 раствора гидроксида натрия 1 моль/дм3 и выдерживают 8 - 10 ч. Если появляется окраска, операцию повторяют.
Очищенный уголь отмывают дистиллированной водой до нейтральной реакции по универсальной индикаторной бумаге. Хранят в склянке с дистиллированной водой.
После пропускания каждой пробы воды уголь в колонке регенерируют промыванием 0,4%-ным раствором гидроксида натрия до исчезновения окраски последнего, затем дистиллированной водой до нейтральной реакции.
(обязательное)
ПРИГОТОВЛЕНИЕ СУСПЕНЗИИ ГИДРОКСИДА АЛЮМИНИЯ
В стакан вместимостью 1 дм3 помещают 500 см3 дистиллированной воды и растворяют в ней 63 г алюмокалиевых квасцов

. Нагревают раствор примерно до 60 °C и при постоянном перемешивании медленно прибавляют 28 см3 аммиака водного. Дают смеси отстояться в течение 1 ч, а затем промывают несколько раз дистиллированной водой, декантируя жидкость над осадком. Последняя промывная вода не должна давать положительной реакции на сульфаты (проба с раствором хлорида бария). Для приготовления раствора хлорида бария в 80 см3 дистиллированной воды растворяют 10 г хлорида бария, прибавляют 10 см3 концентрированной соляной кислоты и перемешивают. Для проведения пробы на сульфаты к 5 см3 промывной воды приливают 0,5 см3 раствора хлорида бария. Помутнение свидетельствует о присутствии сульфатов в промывной воде.
(обязательное)
РАСЧЕТ МАССОВОЙ КОНЦЕНТРАЦИИ МАГНИЯ
Массовую концентрацию магния в анализируемой пробе воды рассчитывают по найденной величине общей жесткости и известной массовой концентрации кальция. Обычно используется массовая концентрация кальция, найденная титриметрическим методом с трилоном Б согласно
РД 52.24.403-2007, но могут использоваться и результаты, полученные с помощью других методик.
Расчет массовой концентрации магния

, мг/дм3, выполняют по формуле
где 12,15 - масса миллимоля КВЭ магния, мг/ммоль;

- величина общей жесткости, ммоль/дм3;

- массовая концентрация кальция, мг/дм3;
20,04 - масса миллимоля КВЭ кальция, мг/ммоль.
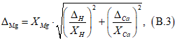
Результат расчета массовой концентрации магния в документах, предусматривающих его использование, представляют в виде
где

- границы характеристики погрешности расчета данной массовой концентрации магния, мг/дм3.
Значение

рассчитывают по формуле
где

- значение характеристики погрешности, соответствующее величине общей жесткости

, ммоль/дм3;

- значение характеристики погрешности, соответствующее массовой концентрации кальция

, мг/дм3.
(рекомендуемое)
МЕТОДИКА ПРИГОТОВЛЕНИЯ АТТЕСТОВАННЫХ СМЕСЕЙ AC1-H И AC2-H
ДЛЯ КОНТРОЛЯ ТОЧНОСТИ РЕЗУЛЬТАТОВ ИЗМЕРЕНИЯ ЖЕСТКОСТИ
Г.1. Назначение и область применения
Настоящая методика регламентирует процедуру приготовления аттестованных смесей ионов кальция и магния, предназначенных для контроля точности результатов измерений жесткости в природных и очищенных сточных водах титриметрическим методом.
Г.2. Метрологические характеристики
Метрологические характеристики аттестованных растворов приведены в таблице Г.1.
Таблица Г.1
Метрологические характеристики аттестованных смесей
Наименование характеристики | Значение характеристики для аттестованной смеси |
AC1-H | AC2-H |
Аттестованное значение жесткости, ммоль/дм3 | 750 | 150,0 |
Границы погрешности установления аттестованного значения жесткости (P = 0,95), ммоль/дм3 | +/- 17 | +/- 3,6 |
Г.3. Средства измерений, вспомогательные устройства
Г.3.2. Колбы мерные 2 класса точности по
ГОСТ 1770-74 вместимостью
250 см3 - 2 шт.
100 см3 - 2 шт.
5 см3 - 2 шт.
25 см3 - 2 шт.
250 см3 - 1 шт.
25 см3 - 1 шт.
Г.3.5. Стаканы химические полипропиленовые вместимостью
250 см3 - 1 шт.
100 см3 - 1 шт.
Г.3.7. Промывалка
Г.3.8. Палочка стеклянная.
Г.3.9. Стекло часовое или чашка биологическая (Петри) исполнения 2 по
ГОСТ 25336-82.
Г.3.10. Шпатель.
Г.3.11. Эксикатор исполнения 2 с диаметром корпуса 140 мм или 190 мм по
ГОСТ 25336-82.
Г.3.12. Печь муфельная любого типа.
Г.4. Исходные компоненты аттестованных растворов
Г.4.1. Кальций углекислый (карбонат кальция) по
ГОСТ 4530-76, х.ч. Основной компонент -

, массовая доля которого не менее 99%, молекулярная масса - 100,09.
Г.4.2. Магний оксид по
ГОСТ 4526-75, х.ч. Основной компонент - MgO, массовая доля которого не менее 98%, молекулярная масса - 40,30.
Г.4.5. Раствор соляной кислоты 1:1 (для приготовления раствора смешивают равные объемы дистиллированной воды и концентрированной соляной кислоты).
Г.5. Процедура приготовления аттестованных растворов
Г.5.1. Приготовление аттестованного раствора кальция
На весах высокого класса точности взвешивают в полипропиленовом стакане вместимостью 250 см3 31,216 г карбоната кальция с точностью до четвертого знака после запятой. Навеску смачивают дистиллированной водой и добавляют постепенно 120 см3 соляной кислоты (1:1) при перемешивании. Накрывают стакан чистым часовым стеклом или чашкой Петри и оставляют стоять до растворения.
После растворения осторожно, по палочке, переносят раствор через воронку в мерную колбу вместимостью 250 см3. Три-четыре раза ополаскивают стакан и воронку дистиллированной водой и переносят смывы в ту же колбу. Доводят раствор в колбе дистиллированной водой до метки и перемешивают.
Полученному раствору приписывают массовую концентрацию кальция 50,00 мг/см3, молярную концентрацию 2,495 ммоль/см3 КВЭ.
Г.5.2. Приготовление аттестованного раствора магния
На весах высокого класса точности взвешивают в полипропиленновом стакане вместимостью 100 см3 2,544 г MgO, предварительно прокаленного в муфельной печи при 500 °C в течение 3 ч и охлажденного в эксикаторе. Навеску смачивают дистиллированной водой и добавляют 25 см3 соляной кислоты (1:1) при перемешивании. Оставляют смесь стоять до растворения, накрыв часовым стеклом или чашкой Петри.
После растворения осторожно, по палочке, переносят раствор через воронку в мерную колбу вместимостью 250 см3. Три-четыре раза ополаскивают стакан и воронку дистиллированной водой и переносят смывы в ту же колбу. Доводят раствор в колбе дистиллированной водой до метки и перемешивают.
Полученному раствору приписывают массовую концентрацию магния 6,136 мг/см3, молярную концентрацию 0,505 ммоль/см3 КВЭ.
Г.5.3. Приготовление аттестованной смеси AC1-H
В мерную колбу вместимостью 100 см3 вносят по 25,0 см3 растворов кальция и магния пипетками с одной отметкой вместимостью 25 см3. Объем раствора доводят до метки на колбе дистиллированной водой и перемешивают.
Полученному раствору приписывают жесткость 750 ммоль/дм3.
Г.5.4. Приготовление аттестованной смеси AC2-H
В мерную колбу вместимостью 100 см3 вносят по 5,0 см3 растворов кальция и магния пипетками с одной отметкой вместимостью 5 см3. Объем раствора доводят до метки на колбе дистиллированной водой и перемешивают.
Полученному раствору приписывают жесткость 150 ммоль/дм3.
Г.6. Расчет метрологических характеристик аттестованных растворов
Г.6.1. Расчет метрологических характеристик аттестованного раствора кальция
Аттестованные значения массовой концентрации кальция

, мг/см3, и молярной концентрации КВЭ кальция

, ммоль/см3, рассчитывают по формулам
где m - масса навески карбоната кальция, г;
V - вместимость мерной колбы, см3;
40,8 и 100,09 - масса моля кальция и карбоната кальция соответственно, г/моль.
Расчет предела возможных значений погрешности установления массовой концентрации кальция

, мг/см3, и молярной концентрации КВЭ кальция

, ммоль/см3, проводят по формулам
где

- приписанное раствору значение массовой концентрации кальция, мг/см3;

- приписанное раствору значение молярной концентрации КВЭ кальция, ммоль/см3;

- предельное значение возможного отклонения массовой доли основного вещества (карбоната кальция) в реактиве от приписанного значения

, %;

- массовая доля основного вещества в реактиве, приписанная реактиву квалификации х.ч., %;

- предельная возможная погрешность взвешивания, г;
m - масса навески карбоната кальция, г;

- предельное значение возможного отклонения объема мерной колбы от номинального значения, см3;
V - номинальный объем используемой мерной колбы, см3.
Погрешность установления массовой концентрации кальция в растворе равна
Погрешность установления молярной концентрации КВЭ кальция в растворе равна
Г.6.2. Расчет метрологических характеристик аттестованного раствора магния
Аттестованные значения массовой концентрации магния

, мг/см3, и молярной концентрации КВЭ магния

, ммоль/см3, рассчитывают по формулам
где m - масса навески оксида магния, г;
V - вместимость мерной колбы, см3;
24,30 и 40,30 - масса моля магния и оксида магния соответственно, г/моль.
Расчет предела возможных значений погрешности установления массовой концентрации магния

, мг/см3, и молярной концентрации КВЭ магния

, ммоль/см3, проводят по формулам
где

- приписанное раствору значение массовой концентрации магния, мг/см3;

- приписанное раствору значение молярной концентрации КВЭ магния, ммоль/см3;

- предельное значение возможного отклонения массовой доли основного вещества (оксида магния) в реактиве от приписанного значения

, %;

- массовая доля основного вещества в реактиве, приписанная реактиву квалификации х.ч., %;

- предельная возможная погрешность взвешивания, г;
m - масса навески оксида магния, г;

- предельное значение возможного отклонения объема мерной колбы от номинального значения, см3;
V - номинальный объем используемой мерной колбы, см3.
Погрешность установления массовой концентрации магния в растворе равна
Погрешность установления молярной концентрации КВЭ магния в растворе равна
Г.6.3. Расчет метрологических характеристик аттестованных смесей AC1-H и AC2-H.
Аттестованное значение величины жесткости

и

, ммоль/дм3, рассчитывают по формуле
где

- приписанное раствору значение молярной концентрации КВЭ кальция, ммоль/см3;

- объем раствора кальция, отбираемый пипеткой, см3;

- приписанное раствору значение молярной концентрации КВЭ магния, ммоль/см3;

- объем раствора магния, отбираемый пипеткой, см3;

- вместимость мерной колбы, см3
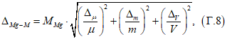
Расчет погрешности установления величины жесткости в аттестованных смесях

и

, ммоль/дм3, проводят по формуле
где

- приписанное аттестованным смесям AC1-H и AC2-H значение величины жесткости, ммоль/см3;

- погрешность установления молярной концентрации КВЭ кальция в растворе, ммоль/см3;

- приписанное раствору значение молярной концентрации КВЭ кальция, ммоль/см3;

- погрешность установления молярной концентрации КВЭ магния в растворе, ммоль/см3;

- приписанное раствору значение молярной концентрации КВЭ магния, ммоль/см3;

- предельное значение возможного отклонения объема

от номинального значения, см3;

- объем раствора кальция, отбираемый пипеткой, см3;

- предельное значение возможного отклонения объема

от номинального значения, см3;

- объем раствора магния, отбираемый пипеткой, см3;

- предельное значение возможного отклонения объема мерной колбы от номинального значения, см3;

- вместимость мерной колбы, см3,
Погрешность установления величины жесткости в аттестованной смеси AC1-H равна
Погрешность установления величины жесткости в аттестованной смеси AC2-H равна
Г.7. Требования безопасности
Необходимо соблюдать общие требования техники безопасности при работе в химических лабораториях.
Г.8. Требования к квалификации исполнителей
Аттестованные растворы может готовить инженер или лаборант со средним профессиональным образованием, прошедший специальную подготовку и имеющий стаж работы в химической лаборатории не менее 6 месяцев.
Г.9. Требования к маркировке
На склянки с аттестованными растворами и смесями должны быть наклеены этикетки с указанием условного обозначения аттестованного раствора или смеси, массовой и молярной концентрации кальция и магния либо величины жесткости в растворе, погрешности их установления и даты приготовления.
Г.10. Условия хранения
Аттестованный раствор кальция хранят в плотно закрытой склянке в течение года.
Аттестованный раствор магния хранят в плотно закрытой склянке не более 6 мес.
Аттестованные смеси AC1-H и AC2-H хранят в плотно закрытых склянках в течение 3 и 1 мес соответственно.
СВИДЕТЕЛЬСТВО N 47.24-2007
ОБ АТТЕСТАЦИИ МВИ
Методика выполнения измерений величины жесткости в воде титриметрическим методом с трилоном Б,
разработанная ГУ "Гидрохимический институт" (ГУ ГХИ)
и регламентированная РД 52.24.395-2007,
Аттестация осуществлена по результатам экспериментальных исследований.
В результате аттестации МВИ установлено:
1. МВИ соответствует предъявляемым к ней метрологическим требованиям и обладает следующими основными метрологическими характеристиками:
Диапазон измерений, значения характеристик погрешности и ее составляющих (P = 0,95)
Диапазон измеряемых значений жесткости, X, ммоль/дм3 | Показатель повторяемости (средне- квадратическое отклонение повторяемости) сигма , 1 ммоль/дм3 | Показатель воспроизво- димости (среднеквад- ратическое отклонение воспроизво- димости) сигма , R ммоль/дм3 | Показатель правильности (границы систематической погрешности при вероятности P = 0,95) +/- дельта , c ммоль/дм3 | Показатель точности (границы погрешности при вероятности P = 0,95) +/- дельта, ммоль/дм3 |
От 0,060 до 2,000 включ. Св. 2,00 до 13,00 включ. | 0,004 + + 0,0045 · X 0,0045 · X | 0,011 + + 0,023 · X 0,035 · X | 0,019 + + 0,017 · X 0,017 · X | 0,037 + + 0,040 · X - 0,05 + + 0,073 · X |
2. Диапазон измерений, значения пределов повторяемости и воспроизводимости при доверительной вероятности P = 0,95
Диапазон измеряемых значений жесткости, X, ммоль/дм3 | Предел повторяемости (для двух результатов параллельных определений) r, ммоль/дм3 | Предел воспроизводимости (значение допускаемого расхождения между двумя результатами измерений, полученными в разных лабораториях, при вероятности P = 0,95) R, ммоль/дм3 |
От 0,060 до 2,000 включ. Св. 2,00 до 13,00 включ. | 0,011 + 0,012 · Х 0,012 · Х | 0,030 + 0,064 · Х 0,097 · X |
3. При реализации методики в лаборатории обеспечивают:
- оперативный контроль исполнителем процедуры выполнения измерений (на основе оценки повторяемости и погрешности при реализации отдельно взятой контрольной процедуры);
- контроль стабильности результатов измерений (на основе контроля стабильности среднеквадратического отклонения повторяемости, среднеквадратического отклонения внутрилабораторной прецизионности, погрешности).
Периодичность оперативного контроля и процедуры контроля стабильности результатов выполнения измерений регламентируют в Руководстве по качеству лаборатории.
Дата выдачи свидетельства 10 января 2007 г.
Главный метролог ГУ ГХИ
А.А.НАЗАРОВА