Главная // Актуальные документы // МетодикаСПРАВКА
Источник публикации
М., 2004
Примечание к документу
Документ утратил силу в связи с введением в действие
МИ 2667-2011, утв. ФГУП "ВНИИМС" 05.09.2011.
Взамен МИ 2667-2001.
Название документа
"МИ 2667-2004. Рекомендация. Государственная система обеспечения единства измерений. Расход и количество жидкостей и газов. Методика выполнения измерений с помощью осредняющих трубок "ANNUBAR DIAMOND II+" и "ANNUBAR 485". Основные положения"
(утв. ФГУП ВНИИМС 01.03.2004)
"МИ 2667-2004. Рекомендация. Государственная система обеспечения единства измерений. Расход и количество жидкостей и газов. Методика выполнения измерений с помощью осредняющих трубок "ANNUBAR DIAMOND II+" и "ANNUBAR 485". Основные положения"
(утв. ФГУП ВНИИМС 01.03.2004)
Заместитель директора
ФГУП ВНИИМС
В.Н.ЯНШИН
1 марта 2004 года
РЕКОМЕНДАЦИЯ
ГОСУДАРСТВЕННАЯ СИСТЕМА ОБЕСПЕЧЕНИЯ ЕДИНСТВА ИЗМЕРЕНИЙ
РАСХОД И КОЛИЧЕСТВО ЖИДКОСТЕЙ И ГАЗОВ.
МЕТОДИКА ВЫПОЛНЕНИЯ ИЗМЕРЕНИЙ С ПОМОЩЬЮ ОСРЕДНЯЮЩИХ
ТРУБОК "ANNUBAR DIAMOND II+" и "ANNUBAR 485"
ОСНОВНЫЕ ПОЛОЖЕНИЯ
МИ 2667-2004
Группа Т88.3
Разработана ФГУП ВНИИМС.
Исполнители: Лисенков А.И., канд. техн. наук (руководитель темы); Беляев Б.М., канд. техн. наук; Дудыкин А.А.
Разработана EMERSON PROCESS MANAGEMENT.
Исполнители: Корец А.Р.
Утверждена ФГУП ВНИИМС 1 марта 2004 г.
Зарегистрирована ФГУП ВНИИМС 1 марта 2004 г.
Взамен МИ 2667-2001.
1. НАЗНАЧЕНИЕ И ОБЛАСТЬ ПРИМЕНЕНИЯ
Настоящая рекомендация устанавливает методику выполнения измерений расхода и количества жидкостей, газов и пара (далее - среда) в наполненных напорных трубопроводах с помощью измерительных комплексов (далее - ИК), в состав которых входят:
- осредняющие трубки "ANNUBAR Diamond II+" или "ANNUBAR 485", фирмы Emerson Process Management/Rosemount Inc./Dieterich Standard, США (далее - трубка ANNUBAR);
- измерительных трубопроводов (далее - ИТ);
- средств измерений перепада давлений и параметров среды;
- средств обработки результатов измерений в реальном масштабе времени;
- соединительных линий и вспомогательных устройств.
Рекомендация определяет основные требования к средствам, методу и условиям выполнения измерений, а также содержит практические рекомендации по выполнению измерений и обработке результатов измерений расхода и количества среды, а также оценке погрешности их измерений.
Положения рекомендации распространяются на измерения расхода и количества среды измерительными комплексами как отечественного, так и зарубежного производства.
В настоящей рекомендации использованы ссылки на следующие документы:
-
ГОСТ 8.563.1-97 ГСИ. Измерение расхода и количества жидкостей и газов методом переменного перепада давления. Диафрагмы, сопла ИСА 1932 и трубы Вентури, установленные в заполненных трубопроводах круглого сечения. Технические условия.
-
ГОСТ 8.563.2-97 ГСИ. Измерение расхода и количества жидкостей и газов методом переменного перепада давления. Методика выполнения измерений с помощью сужающих устройств.
-
ГОСТ 30319.0-96 Газ природный. Методы расчета физических свойств. Общие положения.
-
ГОСТ 30319.1-96 Газ природный. Методы расчета физических свойств. Определение физических свойств природного газа, его компонентов и продуктов его переработки.
-
ГОСТ 30319.2-96 Газ природный. Методы расчета физических свойств. Определение коэффициента сжимаемости.
- ГОСТ 30319.3-96 Газ природный. Методы расчета физических свойств. Определение физических свойств по уравнению состояния.
- ГСССД 6-89 Вода. Коэффициент динамической вязкости при температурах 0 ... 800 °C и давлениях от соответствующих разреженному газу до 300 МПа.
- ГСССД 188-99 Вода. Удельный объем и энтальпия при температурах 0 ... 1000 °C и давлениях 0,001 ... 1000 МПа.
-
РМГ 29-99 ГСИ. Метрология. Основные термины и определения.
3.1. Основные условные обозначения параметров, используемых в настоящей рекомендации, приведены в таблице 3.1.
Таблица 3.1
Условные обозначения параметров
Условное обозначение | Наименование параметра | Размерность M - масса L - длина T - время  - температура | Единица физической величины |
D | Внутренний диаметр трубопровода | L | м |
D20 | Внутренний диаметр трубопровода при 20 °C | L | м |
d | Ширина трубки ANNUBAR в рабочих условиях | L | м |
d20 | Ширина трубки ANNUBAR при 20 °C | L | м |
KТ | Поправочный коэффициент на изменение диаметра измерительного трубопровода, вызванное отклонением температуры измеряемой среды от 20 °C | Безразмерная величина | - |
KО | Поправочный коэффициент на изменение ширины трубки ANNUBAR, вызванное отклонением температуры измеряемой среды от 20 °C | Безразмерная величина | - |
B | Степень перекрытия поперечного сечения измерительного трубопровода | Безразмерная величина | - |
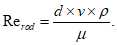
Rerod | Число Рейнольдса для трубок ANNUBAR | Безразмерная величина | - |
| Коэффициент расхода | Безразмерная величина | - |
| Коэффициент расширения | Безразмерная величина | - |
K | Коэффициент сжимаемости газа | Безразмерная величина | - |
| Динамическая вязкость среды | ML-1T-1 | Па·с |
| Показатель адиабаты | Безразмерная величина | - |
P | Абсолютное давление среды | L-1MT-2 | Па |
Pс | Абсолютное давление в стандартных условиях | L-1MT-2 | Па |
PS | Давление насыщенных паров | L-1MT-2 | Па |
| Перепад давления на трубке ANNUBAR | L-1MT-2 | Па |
qm | Массовый расход | MT-1 | кг/с |
qо | Объемный расход в рабочих условиях | L3T-1 | м3/с |
qс | Объемный расход, приведенный к стандартным условиям | L3T-1 | м3/с |
m | Масса измеряемой среды | M | кг |
V | Объем в рабочих условиях | L3 | м3 |
VС | Объем, приведенный к стандартным условиям | L3 | м3 |
v | Скорость среды в трубопроводе | LT-1 | м/с |
t | Температура среды | | °C |
T | Термодинамическая температура | | К |
| Плотность среды в рабочих условиях | ML-3 | кг/м3 |
| Плотность среды в стандартных условиях | ML-3 | кг/м3 |
L20 | Наименьшая длина прямого участка ИТ при 20 °C | L | м |
| Время начала измерений | T | с |
| Время окончания измерений | T | с |
Условные обозначения, не указанные в
таблице 3.1, указаны непосредственно в тексте.
3.2. Допускается при измерениях расхода и количества сред применять наравне с единицами СИ другие единицы по
ГОСТ 8.417, а также десятичные кратные и дольные единицы.
4.1. Уравнение измерений расхода среды
4.1.1. Конструктивно трубка ANNUBAR состоит из одной или двух трубок (только ANNUBAR DIAMOND II+, модель 10) с расположенными на их поверхности отверстиями для отбора давления.
Отверстия для отбора давления у трубки ANNUBAR DIAMOND II+ выполнены в виде ряда круглых отверстий в лобовой части и ряда круглых отверстий в кормовой части (у ANNUBAR DIAMOND II+, модель 10, отверстия для отбора давлений у одной трубки выполнены в лобовой части, у другой - в кормовой). У трубки ANNUBAR 485 отверстия для отбора давления выполнены в виде щелевой прорези в лобовой части и двух рядов круглых отверстий - в кормовой части. Каждая из групп отборов давления (в лобовой и кормовой части трубки ANNUBAR) сообщается со своей камерой осреднения.
Принцип метода измерений состоит в следующем. Трубку ANNUBAR устанавливают в ИТ таким образом, чтобы она пересекала ИТ в диаметральном направлении и отверстия для отбора давления лобовой части трубки ANNUBAR были направлены навстречу потоку. В потоке измеряемой среды через отверстия в лобовой и кормовой части трубки ANNUBAR проводится отбор давлений. Разность этих давлений (перепад давлений

) зависит от величины расхода.
4.1.2. Расход жидкостей измеряют в единицах массового или объемного расхода, расход пара - в единицах массового расхода, расход газов - в единицах массового расхода, объемного расхода или объемного расхода, приведенного к стандартным условиям (T
с = 293,15 К (20 °C) и P
с = 101,325 кПа (760 мм рт. ст.)) по
ГОСТ 2939.
4.1.3. Уравнение, позволяющее выполнить пересчет результата измерений из объемных единиц в массовые единицы, имеет вид

(4.1)
4.1.4. Уравнение измерений массового расхода
Уравнение измерений массового расхода среды при непосредственном определении плотности:

(4.2)
Уравнение измерений массового расхода газов при косвенном определении плотности газа через плотность при стандартных условиях:

(4.3)
4.1.5. Уравнение измерений объемного расхода
Уравнение измерений объемного расхода среды при непосредственном определении плотности:

(4.4)
Уравнение измерений объемного расхода газов при косвенном определении плотности газа через плотность при стандартных условиях:

(4.5)
4.1.6. Уравнение измерений объемного расхода газов, приведенного к стандартным условиям
Уравнение измерений объемного расхода газов, приведенного к стандартным условиям, при непосредственном определении плотности:

(4.6)
Уравнение измерений объемного расхода газов, приведенного к стандартным условиям, при косвенном определении плотности газа через плотность при стандартных условиях:

(4.7)
4.1.7. Число Рейнольдса для трубки ANNUBAR определяют по уравнению

(4.8)
Скорость среды в трубопроводе определяют по уравнению

(4.9)
4.1.8. Степень перекрытия поперечного сечения измерительного трубопровода B рассчитывают по формуле

(4.10)
4.1.9. Коэффициент расширения рассчитывают по уравнению

(4.11)
4.1.10. Значение коэффициента расхода

рассчитывают по формулам:
а) для модели 10 трубки "ANNUBAR Diamond II+":

(4.12)
б) для моделей 15/16, 25/26, 35/36, 45/46 "ANNUBAR Diamond II+" и типоразмеров 1, 2, 3 "ANNUBAR 485":

(4.13)
Значения коэффициентов C
1 и C
2 приведены в таблицах 4.1 и
4.2.
Таблица 4.1
Коэффициенты C1 и C2 для трубки "ANNUBAR Diamond II+"
Коэффициенты | Model |
10 | 15/16 | 25/26 | 35/36 | 45/46 |
C1 | -0,8212 | -1,3452 | -1,4300 | -1,3416 | -1,2613 |
C2 | 0,7269 | 0,9200 | 1,2650 | 1,2075 | 1,2400 |
Таблица 4.2
Коэффициенты C
1 и C
2 для трубки "ANNUBAR 485"
Коэффициенты | Sensor type |
1 | 2 | 3 |
C1 | -1,515 | -1,492 | -1,5856 |
C2 | 1,4229 | 1,4179 | 1,3318 |
Допускается значение коэффициента расхода

брать из расчетного листа, поставляемого с трубкой ANNUBAR (в расчетном листе - ANNUBAR Flow Coefficient K).
Примеры расчетных листов для трубок ANNUBAR Diamond II+ и ANNUBAR 485 приведены в
Приложении В.
4.1.11. Определение физических свойств измеряемой среды
Физические свойства среды определяют путем непосредственного сличения или методом косвенных измерений по нормативным документам, утвержденным Госстандартом России или Государственной службой стандартных справочных данных.
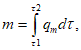
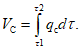
4.2. Уравнения измерений количества среды
4.2.1. Количество среды определяют по уравнениям:

(4.14)

(4.15)

(4.16)
Уравнения измерений
(4.14) -
(4.16) применяют при непрерывном процессе измерений расхода.
4.2.2. При применении средств обработки результатов измерений с дискретным вычислением допускается использовать приближенные уравнения измерений количества среды:

(4.17)

(4.18)

(4.19)
где время измерений

(4.20)
где

- интервал цикла вычислений расхода.
5. СРЕДСТВА ИЗМЕРЕНИЙ И ТРЕБОВАНИЯ К ИХ МОНТАЖУ
5.1. Измерительные комплексы
5.1.1. По степени автоматизации процесса измерений и обработки результатов измерений измерительные комплексы относят к системам автоматических измерений контролируемых параметров с вычислительными устройствами обработки их результатов в реальном масштабе времени.
5.1.2. В измерительных комплексах применяют автоматические средства измерений любого принципа действия, но с защитой памяти и программ от постороннего вмешательства. При вводе условно-постоянных значений параметров время ввода и их значения регистрируют.
5.2. Средства измерений перепада давлений и давления
5.2.1. Измерения перепада давления на трубке ANNUBAR
5.2.1.1. Перепад давления на трубке ANNUBAR определяют в соответствии с
4.1.1. Перепад давления между осредняющими камерами трубки ANNUBAR определяют с помощью средств измерений перепада давления (дифференциальных манометров - дифманометров) путем подсоединения их через соединительные трубки к осредняющим камерам трубки ANNUBAR.
5.2.1.2. Правила выполнения соединений для передачи сигнала давления от осредняющих камер до дифманометра приведены в
6.2.2 -
6.2.10 ГОСТ 8.563.2.
5.2.2. Определение абсолютного давления
5.2.2.1. Абсолютное давление среды измеряют с помощью средств измерений абсолютного или избыточного давления (манометров). При измерениях избыточного давления абсолютное давление определяют как сумму избыточного и барометрического давлений
P = PИ + PБ. (5.1)
5.2.2.2. Абсолютное или избыточное давление измеряют манометром через отдельное отверстие в ИТ на расстоянии 0,5 ... 1,0D перед трубкой ANNUBAR.
5.2.2.3. Допускается присоединение манометра к плюсовой соединительной трубке дифманометра. В этом случае место соединения трубок располагают непосредственно у трубки ANNUBAR. При таком подсоединении манометр не влияет на результаты измерений перепада давления дифманометром. При другой компоновке соединительных линий необходима проверка взаимного влияния манометра и дифманометра.
5.2.2.4. Допускается при применении трубки ANNUBAR Diamond II+ при измерениях давления в двунаправленном потоке присоединение манометра к минусовой соединительной трубке дифманометра. При этом значение давления определяют как сумму давления, измеренного манометром, и перепада давления на трубке ANNUBAR.
5.2.2.5. Измерения абсолютного или избыточного давления выполняют с учетом разности высот установки трубки ANNUBAR и средства измерений давления.
5.2.2.6. При измерениях избыточного давления барометрическое давление измеряют в месте расположения манометра избыточного давления.
5.2.2.7. Допускаются измерения перепада давления, абсолютного или избыточного давления многопараметрическими преобразователями, в составе которых имеются как сенсор перепада давления, так и сенсор абсолютного или избыточного давления.
5.3. Средства измерений температуры
5.3.1. Температуру измеряемой среды измеряют с помощью средств измерений температуры (термометров).
5.3.2. Термодинамическую температуру измеряемой среды определяют по формуле
T = t + 273,15. (5.2)
5.3.3. Измерения температуры среды проводят на прямом участке в проточной части ИТ перед или после трубки ANNUBAR. Допускается измерять температуру среды перед трубкой ANNUBAR или термопреобразователем сопротивления, встраиваемым в трубку ANNUBAR.
5.3.4. При измерениях температуры среды за трубкой ANNUBAR расстояние от места установки гильзы с термометром или чувствительного элемента термометра до трубки ANNUBAR: не менее 4D и не более 15D.
При измерениях температуры среды перед трубкой ANNUBAR диаметр чувствительного элемента термометра или гильзы с термометром: не более 0,13D и расстояние от места их установки до трубки ANNUBAR не менее 5D. При этом не допускается между местом установки термометра и трубкой ANNUBAR устанавливать местное сопротивление.
5.3.5. Чувствительный элемент термометра устанавливают непосредственно в ИТ или в гильзу (карман).
При установке чувствительного преобразователя термометра в кармане обеспечивают надежный тепловой контакт. Для обеспечения теплового контакта карман, например, заполняют жидким маслом.
Если температура среды в трубопроводе отличается от температуры окружающей среды более чем на 40 °C, термометр термоизолируют.
5.3.6. Чувствительный преобразователь термометра погружают в ИТ на глубину (0,3 - 0,7)D. В случае если измеряемая среда - пар, рекомендуется чувствительный преобразователь термометра погружать в ИТ на глубину (0,5 - 0,7)D.
5.3.7. Чувствительный преобразователь термометра устанавливают радиально на теплоизолированном участке ИТ.
Допускается наклонная установка чувствительного преобразователя термометра или его установка за трубкой ANNUBAR в колене при условии выполнения требований
5.3.4 и
5.3.6.
5.4. Средства измерений плотности, состава и влажности среды
5.4.1. Определение плотности в рабочих условиях
5.4.1.1. Определение плотности в рабочих условиях проводят по
6.4.1 ГОСТ 8.563.2.
5.4.1.2. При установке плотномера во внутренней полости ИТ плотномер устанавливают от трубки ANNUBAR на расстоянии не менее указанного в
7.2 ГОСТ 8.563.1.
5.4.1.3. Плотномер за трубкой ANNUBAR устанавливают на расстоянии не менее 8D.
5.4.2. Определение плотности в стандартных условиях
Определение плотности в стандартных условиях проводят по
6.4.2 ГОСТ 8.563.2.
5.4.3. Определение компонентного состава
Определение компонентного состава проводят по
6.4.3 ГОСТ 8.563.2.
5.4.4. Определение влажности газа
Определение влажности газа проводят по
6.4.4 ГОСТ 8.563.2.
5.5. Вычислительные устройства
5.5.1. При вычислении расхода и количества контролируемой среды допускается применение упрощенных расчетных формул. Дополнительную погрешность вычислительного устройства от введенных упрощений определяют относительно уравнений, приведенных в настоящей рекомендации.
5.5.2. Вычислительное устройство выбирают в соответствии с
5.1.2.
5.6. Трубка ANNUBAR и измерительный трубопровод
5.6.1. Требования к измерительному трубопроводу
5.6.1.1. ИТ имеет круглое сечение по всей длине требуемого прямого участка до и после трубки ANNUBAR.
На участках 2D до и после трубки ANNUBAR поперечные сечения ИТ считают круглыми, если любой диаметр ИТ в любой плоскости отличается не более чем на 1% до трубки ANNUBAR и 3% после от значения диаметра D, определенного согласно
5.6.1.3.
При отклонении диаметра ИТ до трубки ANNUBAR

в любой плоскости от значения диаметра D, определенного согласно
5.6.1.3, более 0,3% к погрешности коэффициента расхода арифметически добавляют дополнительную погрешность:
0,25% | - при  , |
0,5% | - при отклонении от  . |
За пределами участка 2D до и после трубки ANNUBAR поперечное сечение считают круглым по результатам визуального наблюдения.
5.6.1.2. Отклонение внутреннего диаметра ИТ при 20 °C от внутреннего диаметра ИТ, приведенного в расчетном листе (Pipe I.D): не более 3%.
5.6.1.3. Внутренний диаметр ИТ рассчитывают как среднее арифметическое значение результатов измерений диаметра в трех поперечных сечениях ИТ: в сечении, проходящем через трубку ANNUBAR, и в сечениях на расстоянии D и 2D перед трубкой ANNUBAR. Результат расчета приводят к температуре 20 °C по
формуле (Б.1).
Внутренний диаметр ИТ в каждом из сечений измеряют не менее чем по ND диаметральным направлениям, расположенным под одинаковым углом друг к другу (отклонение между диаметральными направлениями при измерениях внутреннего диаметра не более 5°).
Количество диаметральных направлений, в которых проводят измерения внутреннего диаметра ИТ, в зависимости от его диаметра приведено в таблице 5.1.
Таблица 5.1
Диаметр ИТ D | Количество диаметральных направлений ND |
до 0,3 м | 4 |
от 0,3 м до 1 м | 6 |
свыше 1 м | 8 |
Внутренний диаметр в каждом диаметральном направлении определяют:
а) прямыми измерениями внутреннего диаметра ИТ (например, штангенциркулем);
б) рассчитывают по формуле

(5.3)
где Dij - внутренний диаметр ИТ в i-м сечении j-го диаметрального направления;

- внешний диаметр ИТ в i-м сечении j-го диаметрального направления;

,

- толщина стенок ИТ в i-м сечении j-го диаметрального направления.
Допускается внутренний диаметр ИТ измерять в соответствии с
7.5.1.2 ГОСТ 8.563.1.
5.6.1.4. Допускается использовать ИТ со сварным швом, параллельным оси трубы, если высота шва не превышает 0,005D. При этом трубку ANNUBAR располагают так, чтобы перпендикуляр, проходящий через середину трубки ANNUBAR, попадал на шов.
5.6.1.5. Допускается использование ИТ с поперечным сварным швом высотой h, если он расположен на расстоянии не менее 92h от трубки ANNUBAR. При этом наличие шва на расстоянии менее 2D до и после трубки ANNUBAR не допускается.
5.6.1.6. Внутренняя поверхность ИТ чистая, не имеет коррозии, на ней отсутствуют осадки в виде конденсата, песка, пыли и других загрязнений на длине не менее 10D до и 4D после трубки ANNUBAR.
5.6.1.7. На ИТ могут быть предусмотрены дренажные и/или продувочные отверстия для удаления твердых осадков и конденсата. В процессе измерений утечки измеряемой среды через эти отверстия не допускаются. Диаметры дренажных и продувочных отверстий: не менее 0,08D, а расстояние, измеренное по прямой линии от центра отверстия для отбора давления до центра ближайшего к нему дренажного и/или продувочного отверстия: не менее 0,5D. Угол между радиальными плоскостями ИТ, проходящими через оси дренажных отверстий и/или отверстий для продувки и через ось отверстия для отбора давления: не менее 30°.
5.6.1.8. Эквивалентная шероховатость ИТ R
Ш: не более 0,0025D. Значение эквивалентной шероховатости R
Ш определяют по
таблице Б.1 приложения Б ГОСТ 8.563.1 или экспериментально по приложению
В.3 ГОСТ 8.563.1.
5.6.2. Монтаж трубки ANNUBAR
Монтаж трубки ANNUBAR выполняют в соответствии с требованиями технической документации фирмы-изготовителя.
Наименьшие длины прямых участков до и после трубки ANNUBAR: не менее значений, приведенных в
Приложении А.
6. УСЛОВИЯ ВЫПОЛНЕНИЯ ИЗМЕРЕНИЙ
6.1.1. Условия эксплуатации средств измерений соответствуют условиям их эксплуатации, установленным изготовителем этих средств измерений.
6.1.2. Диапазоны измерений применяемых средств измерений соответствуют диапазонам изменений измеряемых параметров.
6.1.3. Средства измерений, входящие в состав ИК, поверены и имеют свидетельства о поверке и/или оттиски поверительных клейм.
6.1.4. Средства измерений применяют в соответствии с требованиями, изложенными в эксплуатационной документации.
6.2.1. Трубка ANNUBAR соответствует требованиям технической документации.
6.2.2. Геометрические размеры трубки ANNUBAR соответствуют требованиям, изложенным в документации на конкретный экземпляр трубки ANNUBAR.
| | ИС МЕГАНОРМ: примечание. Нумерация пунктов дана в соответствии с официальным текстом документа. | |
6.3.3. Ширина трубки ANNUBAR соответствует номинальной ширине, значение которой приведено в
таблице Б.1 Приложения Б.
6.3.1. Трубку ANNUBAR применяют для измерений расхода сжимаемых (газ, пар) и несжимаемых (жидкость) однофазных и однородных по физическим свойствам стационарных или медленно изменяющихся во времени дозвуковых потоках сред с динамической вязкостью не более 0,05 Па·с (50 сП).
6.3.2. Минимально допускаемое число Рейнольдса трубки ANNUBAR (Re
rod): не менее приведенного в таблицах 6.1 и
6.2.
Таблица 6.1
Минимально допускаемое число Рейнольдса
трубки "ANNUBAR Diamond II+"
Модель трубки | Минимально допускаемое число Рейнольдса, Rerod |
10 (1/2") | 4000 |
10 (1/2 - 2") | 2300 |
15/16 | 6500 |
25/26 | 10000 |
35/36 | 15000 |
45/46 | 25000 |
Таблица 6.2
Минимально допускаемое число Рейнольдса
трубки "ANNUBAR 485"
Типоразмер трубки | Минимально допускаемое число Рейнольдса Rerod |
1 | 6500 |
2 | 12500 |
3 | 25000 |
6.3.3. Фазовое состояние измеряемой среды не изменяется при ее течении через трубку ANNUBAR.
6.3.4. Минимальная разность давлений между осредняющими камерами трубки ANNUBAR

: не менее значений минимально допускаемой разности давлений. Минимально допускаемая разность давлений

для всех моделей трубки ANNUBAR приведена в таблице 6.3.
Таблица 6.3
Минимально допускаемая разность давлений

Минимальная разность давлений, кПа |
Вода | Газ | Пар |
0,0623 | 0,0249 | 0,497 |
6.3.5. Максимальная разность давлений не превышает максимально допускаемой разности давлений для применяемой модели трубки ANNUBAR. Максимальная разность давлений (Max Allowable DP) приведена в расчетном листе на каждую трубку ANNUBAR. Примеры расчетных листов приведены в
Приложении В.
7. ПОДГОТОВКА К ИЗМЕРЕНИЯМ И ИХ ВЫПОЛНЕНИЕ
7.1. Перед измерениями проверяют:
- соответствие наименьших длин прямых участков ИТ требованиям, изложенным в
5.6.2 (проверку проводят перед пуском в эксплуатацию ИК);
- соответствие монтажа соединительных и заборных трубок требованиям, изложенным в
разделе 6 (проверку проводят один раз в год);
- соответствие конструкции трубки ANNUBAR требованиям технической документации (проверку проводят перед пуском в эксплуатацию ИК);
- соответствие монтажа средств измерений требованиям монтажно-эксплуатационной документации (проверку проводят не реже чем один раз в год);
- соответствие условий проведения измерений требованиям, изложенным в
разделе 6 (проверку проводят не реже чем один раз в год).
Примечание. Проверку трубки ANNUBAR на соответствие
6.2 для средств измерений, в состав которых входит трубка ANNUBAR (например, система PROROC-M, расходомеры Probar, MassProbar и т.д.), проводят через межповерочный интервал, указанный для этих средств измерений.
Кроме того, проверяют герметичность всех узлов и соединений, в которых находится измеряемая среда. Проверку герметичности узлов и соединений выполняют ежемесячно.
7.2. По договоренности заинтересованных сторон допускается проверку комплекса или отдельных его узлов и соединений проводить чаще, чем это указано в
7.1.
7.3. Для параметров, принимаемых за условно-постоянные величины, определяют их значения и вводят в память вычислительного устройства. Значения условно-постоянных параметров рассчитывают по формуле

(7.1)
где yВ и yН - верхнее и нижнее значение диапазона изменения параметра.
7.4. После проверки все средства измерений в соответствии с требованиями инструкций по их монтажу и эксплуатации приводят в рабочее состояние и проводят измерения параметров, по которым определяют количество и/или расход среды.
7.5. При обнаружении несоответствия ИК хотя бы одному из требований, указанных в
7.1, принимают меры, направленные на устранение этого несоответствия.
Порядок восстановления действительных результатов измерений, связанных с обнаружением несоответствия по
7.1, устанавливают договором между заинтересованными сторонами. Основанием восстановления результатов может служить анализ прошедших или/и последующих результатов измерений, или/и обнаруженных ошибок, или погрешностей измерений.
8. ОБРАБОТКА РЕЗУЛЬТАТОВ ИЗМЕРЕНИЙ
8.1. Расчет расхода среды
Расчет расхода среды в общем случае выполняют следующим образом:
а) для смесей определяют компонентный состав, необходимый для расчета плотности, вязкости и показателя адиабаты (для газов) при применении косвенных методов их расчета;
б) для жидкостей определяют давление насыщенных паров PS;
в) определяют параметры измеряемой среды:
- разность давлений
(5.1);
| | ИС МЕГАНОРМ: примечание. В документе, возможно, допущена опечатка: пункт 6.3.6 отсутствует. | |
г) для жидкостей проверяют выполнение условия 6.3.6:

(8.1)
д) для газов при отсутствии плотномера и (или) расчете объемного расхода, приведенного к стандартным условиям, определяют плотность в стандартных условиях

(для природного газа - по
ГОСТ 30319.1, для других сред - по
4.1.11);
е) определяют плотность измеряемой среды

по показаниям плотномера (при его наличии) или по косвенному методу расчета или для газов K (для природного газа - по ГОСТ 30319.1 - ГОСТ 30319.3, для воды и пара - по ГСССД 188, для других сред - по
4.1.11);
ж) для газа и пара рассчитывают

(для природного газа - по
ГОСТ 30319.1, ГОСТ 30319.3, для других сред - по
4.1.11);
з) рассчитывают K
Т и K
0 (по
Б.1);
и) рассчитывают D и d (по
Б.1) и B (по
4.1.8);
к) для газов и пара рассчитывают

(по
4.1.9);
н) рассчитывают

(для природного газа - по
ГОСТ 30319.1, ГОСТ 30319.3, для воды и пара - по ГСССД 6, для других сред - по
4.1.11);
о) рассчитывают число Рейнольдса Re
rod (по
4.1.7);
п) проверяют соответствие числа Рейнольдса Re
rod минимально допускаемому значению числа Рейнольдса из
таблицы 6.1 для трубки "ANNUBAR Diamond II+" или из
таблицы 6.2 для трубки "ANNUBAR 485".
8.2. Расчет количества среды
Объем и массу среды определяют путем интегрирования функции расхода по времени.
Операцию интегрирования реализуют с помощью вычислительного устройства путем циклического процесса расчета расхода по переменным исходным данным и их суммирования по одной из формул, приведенных в
4.2.
Процедура выполнения расчета расхода на одном цикле вычислений аналогична изложенной в
8.1.
9. ОЦЕНКА ПОГРЕШНОСТИ ОПРЕДЕЛЕНИЯ
РАСХОДА И КОЛИЧЕСТВА СРЕДЫ
Оценку погрешностей измерений расхода проводят при условиях, установленных в
9.3 ГОСТ 8.563.2.
При этом принимают следующие допущения:
- погрешности определения

,

,

, P не зависят друг от друга;
- погрешности определения KТ, K0 являются малыми величинами;
- погрешность определения коэффициента расширения

, обусловленная погрешностью определения коэффициента перекрытия B, является малой величиной;
- погрешность определения коэффициента сжимаемости среды K и плотности в стандартных условиях

не зависят друг от друга.
9.1. Определение погрешности при измерениях расхода
9.1.1. Уравнение для расчета погрешности при определении расхода по
уравнениям (4.2) и
(4.4) для несжимаемой среды (жидкость):

(9.1)
9.1.2. Уравнение для расчета погрешности при определении расхода по
уравнениям (4.2) и
(4.4) для сжимаемой среды (газ и пар):

(9.2)
а) в случае, если

и

независимы:

(9.3)
б) в случае, если

и

зависимы:

(9.4)
9.2. Составляющие погрешности
9.2.1. Пределы относительной погрешности определения коэффициента расхода

принимают равными:
+/- 1% | для трубки "ANNUBAR Diamond II+"; |
+/- 0,75% | для трубки "ANNUBAR 485". |
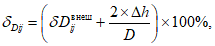
9.2.2. Пределы относительной погрешности при измерениях внутреннего диаметра ИТ

(%) принимают равными:
а) в случае измерений внутреннего диаметра ИТ по методике, изложенной в
5.6.1.3, пределы погрешности при измерениях внутреннего диаметра измерительного трубопровода D рассчитывают по формулам:
- в случае измерений внутреннего диаметра ИТ в j-м диаметральном направлении по
5.6.1.3 а):

(9.5)
- в случае измерений внутреннего диаметра ИТ в j-м диаметральном направлении по
5.6.1.3 б):

(9.6)
б) в случае измерений внутреннего диаметра ИТ по методике, изложенной в
7.5.1.2 ГОСТ 8.563.1, пределы относительной погрешности при измерениях внутреннего диаметра измерительного трубопровода D принимают равными

;
в) в случае измерений внутреннего диаметра по методикам, приведенным в других нормативных документах, пределы погрешности при измерениях внутреннего диаметра трубопровода D принимают равными пределам погрешности, приведенным в нормативном документе на применяемую методику.
9.2.2.1. Пределы относительной погрешности при измерениях внутреннего диаметра ИТ в j-м диаметральном направлении

:
а) в случае измерений внутреннего диаметра ИТ в j-м диаметральном направлении по
5.6.1.3 а) принимают равными пределам допускаемой относительной погрешности средств измерений, применяемых при измерениях внутреннего диаметра ИТ;
б) в случае измерений внутреннего диаметра ИТ в j-м диаметральном направлении по
5.6.1.3 б) рассчитывают по формуле

(9.7)
где

- пределы относительной погрешности измерений внешнего диаметра ИТ, %;

- пределы абсолютной погрешности измерений толщины стенки ИТ.
9.2.3. Пределы относительной погрешности при измерениях перепада давления

(%) определяют в соответствии с
9.5.4 ГОСТ 8.563.2.
9.2.4. Пределы допускаемой относительной погрешности при определении плотности в рабочих условиях

принимают равными:
а) если плотность определяют по плотномеру, значению пределов, приведенных в документации на плотномер или свидетельстве о поверке;
б) если плотность рассчитывают косвенным методом, значение пределов рассчитывают по
9.5.5 ГОСТ 8.563.2.
9.2.5. Пределы относительной погрешности при вычислении коэффициента расширения

рассчитывают по формуле

(9.8)
9.2.6. Пределы относительной погрешности при определении показателя адиабаты газа и перегретого пара

принимают равными пределам допускаемой относительной погрешности, указанным в нормативном документе, устанавливающем метод определения показателя адиабаты.
9.2.7. Пределы погрешности измерений плотности газа при стандартных условиях

определяют по
9.5.6 ГОСТ 8.563.2.
9.2.8. Погрешности определения параметров, принятых за условно-постоянные величины, определяют в соответствии с
9.5.11 ГОСТ 8.563.2 по формуле

(9.9)
9.2.9. Пределы относительной погрешности при вычислении расхода принимают равными пределам относительной погрешности вычисления расхода устройством обработки результатов измерений.
9.3. Определение погрешности при измерениях количества
9.3.1. Определение погрешности при измерениях количества проводят по формулам:

(9.10)

(9.11)
где

- пределы относительной погрешности при измерениях количества, %;
Q
1 и Q
2 - количество измеряемой среды (объем, масса, объем, приведенный к стандартным условиям) соответственно в момент времени

и

;

и

- пределы абсолютной погрешности при измерениях расхода.
9.3.2. Допускается оценивать погрешность при измерениях количества как погрешность при измерениях расхода измеряемой среды при различных сочетаниях параметров. За оценку погрешности принимают максимальное значение погрешности.
НАИМЕНЬШИЕ ДЛИНЫ ПРЯМЫХ УЧАСТКОВ
ИЗМЕРИТЕЛЬНЫХ ТРУБОПРОВОДОВ
Наименьшая длина прямых участков ИТ между трубкой ANNUBAR и ближайшими местными сопротивлениями, расположенными до и после трубки ANNUBAR, приведена в таблице А.1.
| | Наименьшая длина прямого участка ИТ (в L20/D20) |
до трубки | после трубки |
без струевыпрямителя | со струевыпрямителем |
В плоскости A | Вне плоскости A | A' | | C' |
1. | | 8 | 10 | - | - | - | 4 |
| - | - | 8 | 4 | 4 | 4 |
2. | | 11 | 16 | 8 | - | - | 4 |
| - | - | - | 4 | 4 | 4 |
3. | | 23 | 28 | 8 | - | - | 4 |
| - | - | - | 4 | 4 | 4 |
4. | | 12 | 12 | 8 | - | - | 4 |
| - | - | - | 4 | 4 | 4 |
| | 18 | 18 | 8 | - | - | 4 |
| - | - | - | 4 | 4 | 4 |
6. | | 30 | 30 | 8 | - | - | 4 |
| - | - | - | 4 | 4 | 4 |
Примечания
1. При измерениях сжимаемых сред (пар, газ) значения наименьших длин прямых участков ИТ, приведенные в
таблице А.1, увеличивают в 1,5 раза.
2. Для местных сопротивлений в виде запорных, шаровых, пробковых и других дроссельных клапанов значения наименьших длин прямых участков ИТ приведены в
графе 6 (полуоткрытое состояние клапанов) и в
ряду 5 (открытое состояние клапанов) таблицы А.1.
3. Для местного сопротивления в виде регулирующего клапана, расположенного перед трубкой ANNUBAR, значения наименьшей длины прямого участка ИТ приведены в
графе 6 таблицы А.1.
ДОПОЛНИТЕЛЬНЫЕ СВЕДЕНИЯ
Б.1. Определение диаметра измерительного трубопровода при стандартной и рабочей температурах
Б.1.1. Результат измерений диаметра ИТ, выполненных в соответствии с
5.6.1.3, приводят к температуре 20 °C по формуле

(Б.1)
где tИ - температура окружающей среды во время измерений D, °C;

- поправочный коэффициент на изменение диаметра ИТ, вызванное отклонением t
И от 20 °C.
Диаметр ИТ при рабочей температуре определяют по формуле

(Б.2)
где KТ - поправочный коэффициент на изменение диаметра ИТ, вызванное отклонением t от 20 °C.
Б.1.2. Значения температурного коэффициента линейного расширения различных материалов для широкого диапазона температур могут быть рассчитаны с погрешностью 10% по формуле

(Б.3)
где aс, bс, cс - постоянные коэффициенты.
Значения коэффициентов a
с, b
с, c
с и соответствующие им диапазоны температур приведены в
таблице В.1 ГОСТ 8.563.1.
Б.2. Определение ширины трубки ANNUBAR при 20 °C и рабочей температуре
Б.2.1. Ширину трубки ANNUBAR при 20 °C определяют по формуле

(Б.4)
где tИ - температура окружающего воздуха, при которой проведены измерения ширины трубки ANNUBAR, °C;
dИ - измеренная ширина трубки ANNUBAR;

- поправочный коэффициент на изменение ширины трубки ANNUBAR, вызванное отклонением t
И от 20 °C.
Допускается за значение ширины трубки ANNUBAR при температуре 20 °C принимать номинальные значения, приведенные в таблице Б.1.
Таблица Б.1
Номинальная ширина трубки ANNUBAR
Тип и модель трубки | d, м (дюйм) |
"ANNUBAR Diamond II+" | |
10 | 0,004394 (0,173) |
15/16 | 0,009271 (0,365) |
25/26 | 0,021742 (0,856) |
35/36 | 0,031369 (1,235) |
45/46 | 0,04953 (1,950) |
"ANNUBAR 485" | |
1 | 0,014986 (0,590) |
2 | 0,026924 (1,060) |
3 | 0,048768 (1,920) |
Б.2.2. Ширину трубки ANNUBAR при рабочей температуре определяют по формуле

(Б.5)
где KО - поправочный коэффициент на изменение ширины трубки ANNUBAR, вызванное отклонением t от 20 °C.
Б.2.3. Значения температурного коэффициента линейного расширения трубки ANNUBAR

рассчитывают по формуле

(Б.6)
где aс, bс, cс - постоянные коэффициенты.
Значения коэффициентов aс, bс, cс приведены в таблице Б.2.
Таблица Б.2
Марка материала трубки ANNUBAR | aс | bс | cс | Диапазон температур, °C |
Нержавеющая сталь 316 (S31600/CF8M) | 15,2 | 6,6 | 0,6 | -184 ... +871 |
Hastelloy C-276 | 10,8 | 4,8 | -0,9 | +93 ... +927 |
Monel 400 | 13,0 | 8,8 | 3,8 | -184 ... +1093 |
Алюминий (6063-T6) | 22,4 | 6,3 | -11,6 | -60 ... +300 |
Нержавеющая сталь 304 | 14,7 | 9,8 | 7,4 | -268 ... +538 |
Титан (В348 Gr 2) | 8,2 | 2,9 | 0,17 | +100 ... +649 |
Примечание. Таблица составлена по данным изготовителя трубок ANNUBAR. |
В.1. Пример расчетного листа (программа MERLIN)
В.2. Пример расчетного листа (программа Toolkit)
[1]

Diamond II+ Flow Handbook 00807-0100-1191, DS-7300 English Rev. BA.
[2]

Diamond II+ Primary Flow Element Flow Test Data Book 00807-0100-1193, DS-7451 English Rev. B.
[3] Rosemount 485

Flow Handbook 00809-0100-1191.
[4] Rosemount 485

Primary Flow Element Flow Test Data Book 00809-0100-1193, Rev. CA.
[5] МИ 1743-87 ГСИ. Расход природного газа. Методика выполнения измерений осредняющими напорными трубками.
[6] МИ 2355-95 ГСИ. Расход и объем жидкости и газа. Методика выполнения измерений при помощи осредняющих преобразователей скоростного напора.