Главная // Актуальные документы // МетодикаСПРАВКА
Источник публикации
М.: АНО "РСК-Консалтинг", 2011
Примечание к документу
Название документа
"МИ 2667-2011. Рекомендация. Государственная система обеспечения единства измерений. Расход и количество жидкостей и газов. Методика измерений с помощью осредняющих напорных трубок "ANNUBAR DIAMOND II+", "ANNUBAR 285", "ANNUBAR 485", "ANNUBAR 585". Основные положения"
(утв. ФГУП "ВНИИМС" 05.09.2011)
"МИ 2667-2011. Рекомендация. Государственная система обеспечения единства измерений. Расход и количество жидкостей и газов. Методика измерений с помощью осредняющих напорных трубок "ANNUBAR DIAMOND II+", "ANNUBAR 285", "ANNUBAR 485", "ANNUBAR 585". Основные положения"
(утв. ФГУП "ВНИИМС" 05.09.2011)
5 сентября 2011 года
РЕКОМЕНДАЦИЯ
ГОСУДАРСТВЕННАЯ СИСТЕМА ОБЕСПЕЧЕНИЯ ЕДИНСТВА ИЗМЕРЕНИЙ
РАСХОД И КОЛИЧЕСТВО ЖИДКОСТЕЙ И ГАЗОВ.
МЕТОДИКА ИЗМЕРЕНИЙ С ПОМОЩЬЮ ОСРЕДНЯЮЩИХ НАПОРНЫХ ТРУБОК
"ANNUBAR DIAMOND II+", "ANNUBAR 285", "ANNUBAR 485",
"ANNUBAR 585". ОСНОВНЫЕ ПОЛОЖЕНИЯ
МИ 2667-2011
Группа Т88.3
Разработана ФГУП "ВНИИМС".
Исполнители: Беляев Б.М., канд. техн. наук; Дудыкин А.А.
Разработана: фирма "EMERSON PROCESS MANAGEMENT".
Исполнители: Корец А.Р.
Утверждена ФГУП "ВНИИМС" 05.09.2011.
Зарегистрирована ФГУП "ВНИИМС" 05.09.2011.
1. НАЗНАЧЕНИЕ И ОБЛАСТЬ ПРИМЕНЕНИЯ
Настоящая рекомендация устанавливает методику измерений расхода и количества жидкостей, газов и пара (далее - среда) в полностью наполненных напорных трубопроводах круглого сечения с помощью измерительных комплексов (далее - ИК), в состав которых входят:
- осредняющая напорная трубка "ANNUBAR DIAMOND II+", "ANNUBAR 285", "ANNUBAR 485", "ANNUBAR 585" фирмы "Emerson Process Management/Rosemount Inc./Dieterich Standart", США (далее - трубка ANNUBAR);
- измерительный трубопровод;
- средства измерения перепада давлений, параметров среды и ее характеристик;
- средства обработки результатов измерений в реальном масштабе времени;
- соединительные линии и вспомогательные технические устройства.
Рекомендация определяет основные требования к средствам, методу и условиям выполнения измерений, а также содержит практические рекомендации по выполнению измерений и обработке результатов измерений расхода и количества среды, а также оценке неопределенности их измерений при разработке методик измерений с применением измерительных комплексов на базе трубок ANNUBAR.
Положения рекомендации распространяются на измерения расхода и количества среды измерительными комплексами как отечественного, так и зарубежного производства.
В настоящей рекомендации использованы ссылки на следующие документы:
-
ГОСТ 8.586.1-2005 Измерение расхода и количества жидкостей и газов с помощью стандартных сужающих устройств. Часть 1. Принцип метода измерений и общие требования
-
ГОСТ 8.586.5-2005 Измерение расхода и количества жидкостей и газов с помощью стандартных сужающих устройств. Часть 5. Методика выполнения измерений
-
ГОСТ 30319.0-96 Газ природный. Методы расчета физических свойств. Общие положения
-
ГОСТ 30319.1-96 Газ природный. Методы расчета физических свойств. Определение физических свойств природного газа, его компонентов и продуктов его переработки
-
ГОСТ 30319.2-96 Газ природный. Методы расчета физических свойств. Определение коэффициента сжимаемости
| | ИС МЕГАНОРМ: примечание. ГОСТ 30319.3-96 утратил силу с 1 января 2017 года в связи с введением в действие ГОСТ 30319.3-2015 (Приказ Росстандарта от 30.11.2015 N 2075-ст). | |
- ГОСТ 30319.3-96 Газ природный. Методы расчета физических свойств. Определение физических свойств по уравнению состояния
| | ИС МЕГАНОРМ: примечание. ГОСТ 8.566-99 утратил силу с 1 января 2014 года в связи с введением в действие ГОСТ 8.566-2011 (Приказ Росстандарта от 29.11.2012 N 1450-ст). | |
- ГОСТ 8.566-99 Государственная система обеспечения единства измерений. Межгосударственная система данных о физических константах и свойствах веществ и материалов. Основные положения
- ГОСТ 15528-86 Средства измерений расхода, объема или массы протекающих жидкости и газа. Термины и определения
- ГСССД МР 147-2008 Расчет плотности, энтальпии, показателя адиабаты и коэффициента динамической вязкости воды и водяного пара при температурах 0 ... 1000 °C и давлениях 0,0005 ... 100 МПа на основании таблиц стандартных справочных данных
ГСССД 187-99 и ГСССД 6-89
-
РМГ 29-99 ГСИ. Метрология. Основные термины и определения
-
РМГ 43-2001 ГСИ. Применение "Руководства по выражению неопределенности измерений".
Примечание. При пользовании настоящей рекомендацией целесообразно проверить действие ссылочных стандартов и классификаторов в информационной системе общего пользования - на официальном сайте Федерального агентства по техническому регулированию и метрологии в сети Интернет или по ежегодно издаваемому информационному указателю "Национальные стандарты", который опубликован по состоянию на 1 января текущего года, и по соответствующим ежемесячно издаваемым информационным указателям, опубликованным в текущем году. Если ссылочный стандарт заменен (изменен), то при пользовании настоящей рекомендацией следует руководствоваться замененным (измененным) стандартом. Если ссылочный стандарт отменен без замены, то положение, в котором дана ссылка на него, применяется в части, не затрагивающей эту ссылку.
В настоящей рекомендации применены термины по ГОСТ 15528-86 и
РМГ 29-99, а также следующие термины с соответствующими определениями.
3.1. Давление среды: абсолютное давление среды, измеренное в месте расположения отверстия для отбора давления.
Примечание. Часть абсолютного давления среды, на которую оно превышает атмосферное давление, называют избыточным давлением среды.
3.2. Отверстие для отбора давления: круглое отверстие, просверленное в стенке измерительного трубопровода.
3.3. Статическое давление среды (по
ГОСТ 8.586.1): абсолютное давление движущейся среды, которое может быть измерено посредством подключения средства измерений к отверстию для отбора давления.
3.4. Перепад давления на трубке ANNUBAR: разность между значениями статического давления среды в камерах усреднения трубки ANNUBAR.
3.5. Камера усреднения: полость внутри трубки ANNUBAR, предназначенная для усреднения давления, сообщающаяся через кольцевые щели (сплошные или прерывистые) с полостью трубопровода в передней и задней частях трубки ANNUBAR.
Примечание. Для трубки "ANNUBAR DIAMOND II+", типоразмер 10, камеры усреднения расположены в двух отдельных трубках, установленных в трубопроводе последовательно.
3.6. Сужающее устройство (трубка ANNUBAR): техническое устройство, устанавливаемое в измерительном трубопроводе для создания перепада давления среды путем уменьшения площади сечения трубопровода (сужения потока).
3.7. Среда (по
ГОСТ 8.586.1): движущаяся по измерительному трубопроводу среда (жидкость или газ, в том числе сухой насыщенный или перегретый пар), расход и (или) количество которой подлежат определению.
3.8. Рабочие условия (по
ГОСТ 8.586.1): давление и температура среды, при которых выполняют измерение ее расхода и (или) количества.
3.9. Объемный расход среды (по
ГОСТ 8.586.1): объем среды при рабочих условиях, протекающей через отверстие сужающего устройства в единицу времени.
3.10. Массовый расход среды (по
ГОСТ 8.586.1): масса среды, протекающей через отверстие сужающего устройства в единицу времени.
3.11. Объемный расход среды, приведенный к стандартным условиям (по
ГОСТ 8.586.1): объемный расход среды, приведенный к условиям по
ГОСТ 2939 - абсолютное давление 0,101325 МПа, температура 20 °C (далее - стандартные условия).
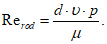
3.12. Число Рейнольдса для трубки ANNUBAR: отношение силы инерции к силе вязкости потока, рассчитываемое по формуле

(3.1)
3.13. Коэффициент расширения: поправочный коэффициент, учитывающий уменьшение плотности газа (пара), обусловленное уменьшением его статического давления в плоскости установки трубки ANNUBAR в трубопроводе и после нее.
Примечание. Коэффициент расширения равен единице, если измеряемая среда - жидкость, и меньше единицы, если измеряемая среда - газ или пар.
3.14. Измерительный трубопровод: участок трубопровода, границы и геометрические характеристики которого, а также размещение на нем трубки ANNUBAR, местных сопротивлений, средств измерений регламентируется настоящей рекомендацией.
3.15. Местное сопротивление (по
ГОСТ 8.586.1): трубопроводная арматура или другой элемент трубопровода, изменяющий кинематическую структуру потока (задвижка, кран, колено, диффузор и т.д.).
3.16. Уступ (по
ГОСТ 8.586.1): смещение внутренних поверхностей двух секций измерительного трубопровода в месте их стыка, обусловленное смещением осей этих секций и (или) различием значений их внутреннего диаметра.
3.17. Высота уступа (по
ГОСТ 8.586.1): максимальное смещение образующих внутренних поверхностей двух секций измерительного трубопровода, расположенных в одной осевой плоскости.
3.18. Устройство подготовки потока (по
ГОСТ 8.586.1): техническое устройство, позволяющее устранить закрутку потока и уменьшить деформацию эпюры скоростей потока.
3.19. Струевыпрямитель (по
ГОСТ 8.586.1): техническое устройство для выполнения одной из функций устройства подготовки потока - устранения закрутки потока.
3.20. Неопределенность (по
ГОСТ 8.586.1): параметр, связанный с результатом измерений и характеризующий рассеяние значений, которые могли бы быть обоснованно приписаны измеряемой величине.
3.21. Стандартная неопределенность (по
ГОСТ 8.586.1): неопределенность результата измерения, выраженная как стандартное отклонение.
3.22. Относительная стандартная неопределенность (по
ГОСТ 8.586.1): отношение стандартной неопределенности к значению оценки измеряемой величины, выраженное в процентах.
3.23. Суммарная стандартная неопределенность (по
ГОСТ 8.586.1): стандартная неопределенность результата измерения, когда результат получают из значений ряда других величин, равная положительному квадратному корню суммы членов, причем члены являются дисперсиями или ковариациями этих других величин, взвешенных в соответствии с тем, как результат измерения изменяется в зависимости от изменения этих величин.
3.24. Относительная суммарная стандартная неопределенность (по
ГОСТ 8.586.1): отношение суммарной стандартной неопределенности результата измерения к значению оценки измеряемой величины, выраженное в процентах.
3.25. Расширенная неопределенность (по
ГОСТ 8.586.1): величина, определяющая интервал вокруг результата измерения, в пределах которого, можно ожидать, находится большая часть распределения значений, которые с достаточным основанием могут быть приписаны измеряемой величине.
3.26. Относительная расширенная неопределенность (по
ГОСТ 8.586.1): отношение расширенной неопределенности к значению оценки измеряемой величины, выраженное в процентах.
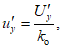
3.27. Скорость среды: средняя скорость среды при рабочих условиях в трубопроводе, протекающей через единицу площади в единицу времени, рассчитываемая по формуле

(3.2)
3.28. Степень перекрытия поперечного сечения измерительного трубопровода: соотношение площадей трубки ANNUBAR и трубопровода в плоскости установки трубки ANNUBAR, рассчитываемое по формуле

(3.3)
3.29. Эквивалентная шероховатость (по
ГОСТ 8.586.1): шероховатость, равная равномерной песочной шероховатости, по значению которой вычисляют такой же коэффициент гидравлического сопротивления, как и для фактической шероховатости.
Примечание. Значение эквивалентной шероховатости может быть определено экспериментально, взято из справочных таблиц или вычислено по приближенной формуле

(3.4)
3.30. Показатель адиабаты (изоэнтропии) газа (по
ГОСТ 8.586.1): отношение относительного изменения давления к соответствующему относительному изменению плотности газа в процессе изменения его состояния без теплообмена с окружающей средой.
4.1. Основные условные обозначения
Основные условные обозначения параметров, используемых в настоящей рекомендации, приведены в таблице 4.1.
Таблица 4.1
Условные обозначения параметров
Условное обозначение | Наименование параметра | Размерность M - масса L - длина T - время  - температура | Единица физической величины |
D | Внутренний диаметр ИТ | L | м |
D20 | Внутренний диаметр ИТ при 20 °C | L | м |
d | Ширина трубки ANNUBAR в рабочих условиях | L | м |
d20 | Ширина трубки ANNUBAR при 20 °C | L | м |
Dt | Наружный диаметр преобразователя температуры, термометра или их защитной гильзы (при ее наличии) | L | м |
KT | Поправочный коэффициент на изменение диаметра измерительного трубопровода, вызванное отклонением температуры измеряемой среды от 20 °C | Безразмерная величина | - |
KО | Поправочный коэффициент на изменение ширины трубки ANNUBAR, вызванное отклонением температуры измеряемой среды от 20 °C | Безразмерная величина | - |
B | Степень перекрытия поперечного сечения измерительного трубопровода трубкой ANNUBAR | Безразмерная величина | - |
Rerod | Число Рейнольдса для трубок ANNUBAR | Безразмерная величина | - |
| Коэффициент расхода трубки ANNUBAR | Безразмерная величина | - |
| Коэффициент расширения трубки ANNUBAR | Безразмерная величина | - |
K | Коэффициент сжимаемости среды | Безразмерная величина | - |
| Динамическая вязкость среды | ML-1T-1 | Па·с |
| Показатель адиабаты среды | Безразмерная величина | - |
P | Абсолютное давление среды | L-1MT-2 | Па |
PБ | Барометрическое давление | L-1MT-2 | Па |
PS | Давление насыщенных паров среды | L-1MT-2 | Па |
| Перепад давления на трубке ANNUBAR | L-1MT-2 | Па |
qm | Массовый расход среды | MT-1 | кг/с |
qо | Объемный расход среды в рабочих условиях | L3T-1 | м3/с |
qс | Объемный расход среды, приведенный к стандартным условиям | L3T-1 | м3/с |
m | Масса измеряемой среды | M | кг |
V | Объем среды в рабочих условиях | L3 | м3 |
VС | Объем среды, приведенный к стандартным условиям | L3 | м3 |
| Скорость среды в измерительном трубопроводе | LT-1 | м/с |
t | Температура среды | | °C |
T | Термодинамическая температура | | К |
| Плотность среды в рабочих условиях | ML-3 | кг/м3 |
| Плотность среды в стандартных условиях | ML-3 | кг/м3 |
| Время начала измерений | T | с |
| Время окончания измерений | T | с |
RШ | Эквивалентная шероховатость внутренней поверхности измерительного трубопровода | L | м |
Ra | Среднеарифметическое отклонение профиля шероховатости | L | м |
Примечание. Условные обозначения, не указанные в
таблице 4.1, указаны непосредственно в тексте.
4.2. Индексы условных обозначений величин
Индексы в условных обозначениях величин обозначают следующее:
в - верхний предел измерений;
н - нижний предел измерений;
с - стандартные условия;
MAX - максимальное значение величины;
MIN - минимальное значение величины.
В настоящей рекомендации применены следующие сокращения:
ИТ - измерительный трубопровод;
СУ - сужающее устройство;
МС - местное сопротивление;
УПП - устройство подготовки потока;
ПТ - измерительный преобразователь температуры или термометр;
СИ - средства измерений.
В настоящей рекомендации применены единицы Международной системы единиц (международное сокращенное наименование - SI). Допускается применять наравне с единицами SI другие единицы по
ГОСТ 8.417, а также десятичные кратные и дольные единицы.
5.1.1. Расход среды определяют методом переменного перепада давления.
Метод основан на создании в ИТ с помощью СУ (трубки ANNUBAR) местного сужения потока, часть потенциальной энергии которого переходит в кинетическую энергию, средняя скорость потока в месте его сужения повышается, а статическое давление становится меньше статического давления до СУ (трубки ANNUBAR). Разность давления (перепад давления) тем больше, чем больше расход среды, и, следовательно, она может служить мерой расхода.
Массовый расход среды при этом рассчитывают по формуле

(5.1)
5.1.2. Расчет массового расхода среды qm выполняют в соответствии с формулой (5.1) при известных значениях ее составляющих, часть из которых получают путем непосредственных измерений, другую часть - расчетным путем.
5.1.3. Количество среды определяют путем интегрирования расхода среды по времени.
5.1.4. Уравнение, позволяющее выполнить пересчет результата измерений из объемных единиц в массовые единицы, имеет вид

(5.2)
5.1.5. Расход среды измеряют в единицах массового расхода, объемного расхода в рабочих условиях и объемного расхода, приведенного к стандартным условиям (в качестве стандартных условий принимают Tс = 293,15 К (20 °C) и Pс = 101,325 кПа (760 мм рт. ст.) по
ГОСТ 2939.
5.2. Уравнения измерений расхода среды
5.2.1. Уравнения измерений массового расхода
Уравнение измерений массового расхода среды при непосредственном определении плотности:

(5.3)
Уравнение измерений массового расхода газов при косвенном определении плотности газа через плотность при стандартных условиях:

(5.4)
5.2.2. Уравнения измерений объемного расхода
Уравнение измерений объемного расхода среды при непосредственном определении плотности:

(5.5)
Уравнение измерений объемного расхода газов при косвенном определении плотности газа через плотность при стандартных условиях:

(5.6)
5.2.3. Уравнения измерений объемного расхода среды, приведенного к стандартным условиям
Уравнение измерений объемного расхода газов, приведенного к стандартным условиям при непосредственном определении плотности при рабочих условиях

и известном коэффициенте сжимаемости K:

(5.7)
Уравнение измерений объемного расхода газов или жидкостей, приведенного к стандартным условиям при непосредственном определении плотности и известном

:

(5.8)
Уравнение измерений объемного расхода газов, приведенного к стандартным условиям при косвенном определении плотности газов через плотность при стандартных условиях:

(5.9)
5.3. Составляющие уравнения измерений расхода среды
5.3.1. Определение коэффициента расхода трубки ANNUBAR
Значение коэффициента расхода трубки ANNUBAR определяют по
Приложению Б.
5.3.2. Определение коэффициента расширения
Коэффициент расширения рассчитывают по уравнению

(5.10)
5.3.3. Определение физических свойств среды
5.3.3.1. При измерении расхода и количества сред в зависимости от измеряемых сред и применяемых уравнений измерений необходимо знать значения следующих физических свойств среды: плотности, вязкости, показателя адиабаты (только для газов и пара), коэффициента сжимаемости (только для газов) и плотности при стандартных условиях.
| | ИС МЕГАНОРМ: примечание. ГОСТ 8.566-99 утратил силу с 1 января 2014 года в связи с введением в действие ГОСТ 8.566-2011 (Приказ Росстандарта от 29.11.2012 N 1450-ст). | |
Физические свойства среды могут быть определены путем прямых измерений или косвенным методом на основе данных, аттестованных в качестве стандартных справочных данных категорий СТД или СД (см. ГОСТ 8.566).
5.3.3.2. Плотность, показатель адиабаты и вязкость среды определяют для условий (температуры и давления) в плоскости отверстий, предназначенных для измерения статического давления до трубки ANNUBAR.
Требования к методам определения и средствам определения плотности среды при рабочих условиях приведены в
пункте 6.4.1.
При отсутствии справочных данных о значениях показателя адиабаты или методов его расчета вместо показателя адиабаты может быть использовано значение отношения удельной теплоемкости при постоянном давлении к удельной теплоемкости при постоянном объеме.
Вязкость среды может быть непосредственно измерена или рассчитана с помощью эмпирических или теоретических уравнений или определена графоаналитическим методом.
Требования к методам определения и СИ плотности газа при стандартных условиях приведены в
пункте 6.4.2.
5.3.4. Определение давления среды и перепада давления на трубке ANNUBAR
5.3.4.1. Давление среды и перепад давления на трубке ANNUBAR измеряют методами и СИ, соответствующими требованиям
пункта 6.2.
5.3.4.2. Требования к СИ давления среды и перепада давления на трубке ANNUBAR, а также к их монтажу приведены в
пункте 6.2.
5.3.5. Определение температуры среды
5.3.5.1. Температуру среды измеряют методами и СИ, соответствующими требованиям
пункта 6.3.
5.3.5.2. Требования к СИ температуры и их размещению на ИТ приведены в
пункте 6.3.
5.3.6. Определение внутреннего диаметра ИТ
5.4. Уравнения измерений количества среды
5.4.1. Количество среды определяют по уравнениям:

(5.11)

(5.12)

(5.13)
Уравнения измерений (5.11) - (5.13) применяют при непрерывном процессе измерений расхода среды.
5.4.2. При применении средств обработки результатов измерений с дискретным вычислением допускается использовать приближенные уравнения измерений количества среды:
- при прямоугольной аппроксимации

(5.14)

(5.15)

(5.16)
- при трапецеидальной аппроксимации

(5.17)

(5.18)

(5.19)
где

,

и

- значения функций

,

и

в начале интервала

соответственно;

,

и

- значения функций

,

и

в конце интервала

соответственно;
n - число интервалов дискретизации в течение времени

, где время измерений рассчитывается по формуле

(5.20)
где

- интервал цикла вычислений расхода.
6. СРЕДСТВА ИЗМЕРЕНИЙ И ТРЕБОВАНИЯ К ИХ МОНТАЖУ
6.1. Измерительные комплексы
6.1.1. Для определения расхода и количества среды выполняют измерения переменных параметров потока и среды, входящих в уравнение измерений расхода.
6.1.2. СИ и вспомогательные технические устройства, необходимые для измерений расхода и количества среды, выбирают исходя из условий их эксплуатации и технико-экономической целесообразности.
6.1.3. Для измерений параметров потока и среды применяют измерительные комплексы автоматического действия с вычислительными устройствами, которые принимают сигналы от измерительных преобразователей параметров потока и среды, автоматически обрабатывают их и выдают необходимую информацию о результатах измерений и вычислений в реальном масштабе времени.
6.1.4. В измерительных комплексах применяют автоматические средства измерений любого принципа действия, но с защитой памяти и программ от постороннего вмешательства.
6.1.5. Для определения значений условно-постоянных величин допускается применение показывающих приборов. При вводе условно-постоянных значений параметров время ввода и их значения регистрируют.
6.2. Средства измерений перепада давлений и давления
6.2.1. Измерения перепада давления на трубке ANNUBAR
6.2.1.1. Перепад давления на трубке ANNUBAR определяют в соответствии с
пунктом 5.1.1. Перепад давления между осредняющими камерами трубки ANNUBAR определяют с помощью средств измерений перепада давления (дифференциальных манометров - дифманометров) путем подсоединения их через соединительные трубки к осредняющим камерам трубки ANNUBAR.
6.2.1.2. При монтаже дифманометров выполнение соединений проводится в соответствии с инструкциями по эксплуатации и монтажу трубок ANNUBAR и средств измерений перепада давления.
6.2.2. Определение абсолютного давления
6.2.2.1. Абсолютное давление среды измеряют с помощью средств измерений абсолютного или избыточного давления (манометров). При измерениях избыточного давления абсолютное давление определяют как сумму избыточного и барометрического давлений
6.2.2.2. Абсолютное или избыточное давление измеряют в ИТ перед трубкой ANNUBAR. Отбор статического давления выполняют на расстоянии 0,5 ... 1,0D перед трубкой ANNUBAR с помощью либо отдельных отверстий в стенке ИТ или фланцах, либо нескольких взаимно соединенных отверстий, либо с помощью кольцевой щели (сплошной или прерывистой), выполненной в камере усреднения.
6.2.2.3. Если ИТ изготовлен из прямошовных труб и для отбора статического давления применяют одно отдельное отверстие в ИТ, то шов трубы на участке длиной не менее 0,5D, расположенном непосредственно перед отверстием для отбора давления, не должен располагаться в секторе поперечного сечения ИТ с углом 30° от оси данного отверстия. Если для отбора статического давления используют кольцевую щель или несколько взаимно соединенных отверстий, то шов может быть расположен в любом секторе.
6.2.2.4. Допускаются для трубки ANNUBAR, оснащенной механизмом выемки/установки под давлением (FloTap), абсолютное или избыточное давление измерять манометром, смонтированным через отдельный отбор давления, расположенный на кожухе механизма выемки между отсекающим краном и уплотнительным механизмом.
6.2.2.5. Допускается присоединение манометра к плюсовой соединительной трубке дифманометра. Значение давления среды в ИТ в этом случае рассчитывается по формуле

(6.2)
где P+ - давление в плюсовой соединительной трубке дифманометра.
6.2.2.6. Допускается при применении трубок "ANNUBAR Diamond II+" и "ANNUBAR 585" при измерениях давления в двунаправленном потоке присоединение манометра к минусовой (кормовой по потоку) соединительной трубке дифманометра. Значение давления среды в ИТ в этом случае рассчитывается по формуле

(6.3)
где P- - давление в минусовой соединительной трубке дифманометра.
6.2.2.7. Измерения абсолютного или избыточного давления выполняют с учетом разности высот установки трубки ANNUBAR и манометра.
6.2.2.8. При измерениях избыточного давления барометрическое давление измеряют в месте расположения манометра избыточного давления, если последний размещен в замкнутом пространстве при наличии поддува/разряжения, создаваемого системами кондиционирования.
6.2.2.9. Атмосферное давление может быть принято за условно-постоянное значение.
6.2.2.10. Допускаются измерения перепада давления, абсолютного или избыточного давления многопараметрическими преобразователями, которые позволяют одновременно проводить измерения перепада давления и абсолютного/избыточного давления.
6.2.2.11. При монтаже трубки ANNUBAR в колене абсолютное или избыточное давление среды в ИТ измеряют в соответствии с
пунктом 6.2.2.5.
6.3. Средства измерений температуры
6.3.1. Температуру измеряемой среды измеряют с помощью средств измерений температуры (термометров).
6.3.2. Термодинамическую температуру измеряемой среды определяют по формуле
6.3.3. Измерения температуры среды проводят на прямолинейном участке в проточной части ИТ перед или после трубки ANNUBAR. Во всех случаях необходимо стремиться к тому, чтобы ПТ или его защитная гильза (при ее наличии) как можно меньше загромождали проходное сечение ИТ.
6.3.4. При измерениях температуры среды перед трубкой ANNUBAR следует руководствоваться следующими положениями:
а) если диаметр D
t удовлетворяет условию 0,03D < D
t < 0,13D, то:
- установка ПТ или его защитной гильзы (при ее наличии) на расстоянии не менее 20D от трубки ANNUBAR не влияет на показания измерительного комплекса;
- при установке ПТ или его защитной гильзы (при ее наличии) от трубки ANNUBAR на расстоянии 10D < lt < 20D к относительной расширенной неопределенности коэффициента расхода трубки ANNUBAR следует арифметически добавить величину U'lt, равную 1 - lt/(20D);
- ПТ или его защитную гильзу (при ее наличии) не допускается устанавливать на расстоянии менее 10D от трубки ANNUBAR;
б) если диаметр D
t удовлетворяет условию D
t < 0,03D, то:
- установка ПТ или его защитной гильзы (при ее наличии) на расстоянии не менее 5D от трубки ANNUBAR не влияет на показания измерительного комплекса;
- при установке ПТ или его защитной гильзы (при ее наличии) от трубки ANNUBAR на расстоянии 3D < lt < 5D к относительной расширенной неопределенности коэффициента расхода трубки ANNUBAR следует арифметически добавить величину U'lt, равную 0,5%;
- ПТ или его защитную гильзу (при ее наличии) не допускается устанавливать на расстоянии менее 3D от трубки ANNUBAR;
в) расстояние между трубкой ANNUBAR и ПТ не должно превышать 30D;
г) между трубкой ANNUBAR и ПТ или его защитной гильзы (при ее наличии) должны отсутствовать местные сопротивления.
6.3.5. При измерении температуры потока после трубки ANNUBAR следует выполнять требования:
а) ПТ или его защитную гильзу (при ее наличии) не допускается устанавливать от трубки ANNUBAR на расстоянии более 15D;
б) если диаметр D
t < 0,03D, глубина погружения чувствительного преобразователя термометра в ИТ составляет (0,3 - 0,4)D, и между плоскостью, проходящей через центральную ось трубопровода и трубку ANNUBAR, и плоскостью, проходящей через центральную ось трубопровода и ПТ или его защитную гильзу (при ее наличии), образуется угол не менее 30°, то ПТ или его защитную гильзу (при ее наличии) устанавливают на расстоянии l
t не менее 0,6D от трубки ANNUBAR, при этом при l
t < 5D к относительной расширенной неопределенности коэффициента расхода трубки ANNUBAR следует арифметически добавить величину U'
lt, равную 0,5%;
в) если диаметр D
t < 0,26D и условия
пункта 6.3.5 б) не выполняются, то ПТ или его защитную гильзу (при ее наличии) устанавливают на расстоянии от трубки ANNUBAR не менее 5D;
г) если диаметр D
t > 0,26D, то ПТ или его защитную гильзу (при ее наличии) устанавливают в расширитель в соответствии с
пунктом 6.3.7 ГОСТ 8.586.5;
д) между трубкой ANNUBAR и ПТ или его защитной гильзой (при ее наличии) должны отсутствовать местные сопротивления (исключение составляют варианты, представленные на
рисунках 11 в,
г ГОСТ 8.586.5).
6.3.6. Чувствительный элемент термометра устанавливают непосредственно в ИТ или в гильзу (карман).
При установке ПТ в гильзу (карман) обеспечивают надежный тепловой контакт, заполняя гильзу, например, жидким маслом, либо используют подпружиненные сенсоры. ПТ погружают в гильзу на полную ее глубину (с монтажным зазором). Рекомендуется, чтобы зазор между боковыми стенками гильзы и ПТ не превышал 0,5 мм.
Часть ПТ, выступающая над ИТ, должна иметь термоизоляцию, если температура потока отличается от температуры окружающей среды более чем на 40 °C.
Рекомендуется ПТ или его защитную гильзу (при ее наличии) термоизолировать от стенки ИТ.
6.3.7. Чувствительный преобразователь термометра погружают в ИТ на глубину (0,3 - 0,7)D. В случае если измеряемая среда - пар или среда, температура которой более 120 °C, рекомендуется чувствительный преобразователь термометра погружать в ИТ на глубину (0,5 - 0,7)D.
6.3.8. Чувствительный преобразователь термометра устанавливают радиально на теплоизолированном участке ИТ (
рисунок 11 а ГОСТ 8.586.5).
Допускается наклонная установка чувствительного преобразователя термометра (
рисунки 11 б,
11 г ГОСТ 8.586.5) или его установка за трубкой ANNUBAR в колене (
рисунок 11 в ГОСТ 8.586.5) при условии выполнения требований
пунктов 6.3.5 и
6.3.7.
6.3.9. При прохождении участка трубопровода между местом размещения ПТ и трубкой ANNUBAR среда охлаждается или нагревается. В результате температура среды в месте расположения ПТ может отличаться от температуры в месте расположения трубки ANNUBAR. Для уменьшения неопределенности результата измерения температуры ИТ теплоизолируют.
Если температуру измеряют до трубки ANNUBAR, то теплоизолируют участок ИТ между сечениями трубопровода, расположенными на расстоянии 5D до места размещения ПТ и на расстоянии 5D после трубки ANNUBAR.
Если температуру измеряют после трубки ANNUBAR, то теплоизолируют участок ИТ между сечениями трубопровода, расположенными на расстоянии 5D до трубки ANNUBAR и на расстоянии 5D после ПТ.
Допускаемое отклонение температуры среды между сечениями ИТ, в которых установлены ПТ и трубка ANNUBAR в соответствии с требованиями
пункта 7.1.7 ГОСТ 8.586.1, принимают равным +/- 0,3 °C для газов и +/- 1,5 °C для жидкостей.
6.3.10. Допускается измерять температуру среды термометром, встраиваемым в трубку ANNUBAR. На встроенные в трубку ANNUBAR термометры
пункты 6.3.4 -
6.3.8 не распространяются.
6.3.11. При монтаже трубки ANNUBAR в колене температуру среды в ИТ измеряют по пункту 6.3.10 термометром, встроенным в трубку ANNUBAR, или термометром, установленном после трубки ANNUBAR в соответствии с
пунктами 6.3.5 -
6.3.9.
6.4. Средства измерений плотности, состава и влажности среды
6.4.1. Определение плотности при рабочих условиях
6.4.1.1. Определение плотности при рабочих условиях проводят по
пункту 6.4.1 ГОСТ 8.586.5.
6.4.1.2. При установке плотномера во внутренней полости ИТ плотномер устанавливают от трубки ANNUBAR на расстоянии не менее расстояния, указанного в
пункте 6.4.1.3 ГОСТ 8.586.5.
6.4.2. Определение плотности при стандартных условиях
Определение плотности при стандартных условиях проводят по
пункту 6.4.2 ГОСТ 8.586.5.
6.4.3. Определение компонентного состава
Определение компонентного состава проводят по
пункту 6.4.3 ГОСТ 8.586.5.
6.4.4. Определение влажности газа
Определение влажности газа проводят по
пункту 6.4.4 ГОСТ 8.586.5.
6.4.5. Дополнительная рекомендация
Для определения плотности при стандартных условиях, состава и влажности газа пробы рекомендуется отбирать из одной точки.
6.5. Вычислительные устройства
6.5.1. Вычислительное устройство должно автоматически вычислять значения параметров потока и среды, а также значение расхода среды в соответствии с
пунктом 5.2 и количество среды в соответствии с
пунктом 5.3.
При расчете расхода и количества среды допускается применение упрощенных формул. Дополнительный вклад в неопределенность результатов вычисления от введенных упрощений определяют относительно результатов вычислений, выполненных в соответствии с требованиями
подразделов 10.1 и
10.2.
6.5.2. Вычислительное устройство должно контролировать соблюдение методических ограничений на применение трубки ANNUBAR и технологических или метрологических ограничений на значения измеряемых величин.
6.5.3. Вычислительное устройство должно сохранять в архивах результаты измерений и вычислений, нештатные ситуации.
6.5.4. Вычислительное устройство при возможности изменений данных, влияющих на результаты измерений и вычислений оператором в процессе измерений, должно фиксировать изменения в архиве.
6.5.5. Вычислительное устройство должно представлять результаты измерений и вычислений, а также данные о конфигурировании вычислительного устройства на внутреннее и (или) внешние устройства отображения информации.
6.5.6. В вычислительном устройстве должна быть предусмотрена защита хранящейся в нем информации от возможности ее искажения.
6.6. Измерительный трубопровод
6.6.1. Требования к измерительному трубопроводу
6.6.1.1. ИТ имеет круглое сечение по всей длине требуемого прямолинейного участка до и после трубки ANNUBAR.
На участках 2D до и после трубки ANNUBAR поперечные сечения ИТ считают круглыми, если любой диаметр ИТ в любой плоскости отличается не более чем на 1% до трубки ANNUBAR и 3% после от значения внутреннего диаметра D, определенного согласно
пункту 6.6.1.3.
При отклонении

любого измерения диаметра ИТ до трубки ANNUBAR D
ij в любой плоскости от среднего значения измеренного диаметра D, определенного по
пункту 6.6.1.3, более 0,3% к относительной расширенной неопределенности коэффициента расхода следует арифметически добавить величину

, равную:
0,25% - при 0,3% <

<= 0,6%,
0,5% - при 0,6% <

<= 1%.
ИТ может быть составным (состоять из секций, соединенных сваркой или фланцами). При этом расстояние между трубкой ANNUBAR и ближайшим стыком должно быть не менее 2D.
За пределами участка 2D до и после трубки ANNUBAR поперечное сечение считают круглым по результатам визуального наблюдения.
6.6.1.2. Отклонение внутреннего диаметра ИТ при 20 °C от внутреннего диаметра ИТ, приведенного в заводском расчетном листе (Pipe I.D), в соответствии с которым трубка ANNUBAR изготавливалась, не должно превышать 3% для всех трубок ANNUBAR, кроме "ANNUBAR 485" со стандартным кодом диапазонов размеров ИТ, для которых допустимые диапазоны ИТ приводятся в технической документации.
6.6.1.3. Внутренний диаметр ИТ рассчитывают как среднее арифметическое значение результатов измерений диаметра ИТ в сечении, проходящем через трубку ANNUBAR. Дополнительно проводят измерение внутреннего диаметра ИТ в сечениях на расстоянии D и 2D перед трубкой ANNUBAR. Результаты измерений внутреннего диаметра приводят к температуре 20 °C по
формуле (В.1).
Внутренний диаметр ИТ в каждом из сечений измеряют не менее чем по ND диаметральным направлениям, расположенным под одинаковым углом друг к другу (отклонение между диаметральными направлениями при измерениях внутреннего диаметра не более 5°).
Минимальное количество диаметральных направлений, в которых проводят измерения внутреннего диаметра ИТ, в зависимости от его диаметра приведено в таблице 6.1.
Таблица 6.1
Минимальное количество диаметральных направлений
Диаметр ИТ (D) | Минимальное количество диаметральных направлений (ND) |
до 0,3 м | 4 |
от 0,3 м до 1 м | 6 |
свыше 1 м | 8 |
Внутренний диаметр в каждом диаметральном направлении определяют:
а) прямыми измерениями внутреннего диаметра ИТ (например, штангенциркулем);
б) рассчитывают по формуле

(6.5)
где Dij - внутренний диаметр ИТ в i-м сечении j-го диаметрального направления;

- внешний диаметр ИТ в i-м сечении j-го диаметрального направления;

,

- толщина стенок ИТ в i-м сечении j-го диаметрального направления.
Допускается внутренний диаметр ИТ определять в соответствии с методиками, приведенными в других нормативных документах, утвержденных в установленном порядке.
6.6.1.4. Допускается использовать ИТ со сварным швом, параллельным оси ИТ, если высота шва не превышает 0,005D. При этом трубку ANNUBAR располагают так, чтобы плоскость, проходящая через шов и центральную ось ИТ в месте установки трубки ANNUBAR, была под углом не менее 30° к плоскости, проходящей через центральную ось ИТ и трубку ANNUBAR.
6.6.1.5. Допускается использование ИТ с поперечным сварным швом высотой h, если он расположен на расстоянии не менее 92h от трубки ANNUBAR. При этом наличие поперечного шва на расстоянии менее 2D до и после трубки ANNUBAR не допускается.
6.6.1.6. Допускается использование ИТ со спиральным сварным швом. При этом должна быть обеспечена гладкая внутренняя поверхность ИТ на длине 10D до трубки ANNUBAR (или на всем участке между трубкой ANNUBAR и ближайшим перед ней МС, если длина этого участка не более 10D) и не менее 4D после трубки ANNUBAR, путем ее механической обработки (внутренний валик должен быть сточен).
6.6.1.7. Внутренняя поверхность ИТ чистая, не имеет коррозии, на ней отсутствуют осадки в виде конденсата, песка, пыли, металлической окалины и других загрязнений на длине не менее 10D до и 4D после трубки ANNUBAR.
6.6.1.8. На ИТ могут быть предусмотрены дренажные и/или продувочные отверстия для удаления твердых осадков и конденсата. В процессе измерений утечки измеряемой среды через эти отверстия не допускаются. Диаметры дренажных и продувочных отверстий: не менее 0,08D, а расстояние, измеренное по прямой линии от центра отверстия для отбора давления до центра ближайшего к нему дренажного и/или продувочного отверстия: не менее 0,5D. Угол между радиальными плоскостями ИТ, проходящими через оси дренажных отверстий и/или отверстий для продувки и через ось отверстия для отбора давления: не менее 30 градусов.
| | ИС МЕГАНОРМ: примечание. Текст дан в соответствии с официальным текстом документа. | |
6.6.1.9. Эквивалентная шероховатость ИТ R
Ш: не более 0,0025D на участке 2D до трубки ANNUBAR и участке 2D до после трубки ANNUBAR. Значение эквивалентной шероховатости R
Ш определяют по
таблице Д.1 приложения Д ГОСТ 8.586.1 или экспериментально по
пункту 7.1.5 ГОСТ 8.586.1.
6.7.1. Трубка ANNUBAR должна соответствовать требованиям технической документации фирмы-изготовителя.
6.7.2. Геометрические размеры трубки ANNUBAR соответствуют требованиям, изложенным в документации на конкретный экземпляр трубки ANNUBAR.
6.7.3. Ширина трубки ANNUBAR при 20 °C d20 должна соответствовать номинальной ширине трубки ANNUBAR (с учетом допусков, указанных в заводской документации на конкретный экземпляр трубки ANNUBAR).
Таблица 6.2
| | ИС МЕГАНОРМ: примечание. Название таблицы дано в соответствии с официальным текстом документа. | |
Номинальная трубок ANNUBAR
Типоразмер трубки ANNUBAR | Номинальная ширина трубки ANNUBAR, м (дюйм) |
"ANNUBAR Diamond II+" |
10 (входная круглая трубка) | 0,0047498 (0,187) |
10 (выходная квадратная трубка) | 0,0034290 (0,135) |
15/16 | 0,0092202 (0,363) |
25/26 | 0,0217678 (0,857) |
35/36 | 0,0313690 (1,235) |
45/46 | 0,0498602 (1,963) |
"ANNUBAR 485" и "ANNUBAR 285" |
1 | 0,014986 (0,590) |
2 | 0,026924 (1,060) |
3 | 0,049149 (1,935) |
"ANNUBAR 585" |
11 | 0,020320 (0,800) |
22 | 0,030480 (1,200) |
44 | 0,057912 (2,280) |
При определении ширины трубки ANNUBAR при 20 °C d
20 по
формуле (В.4) Приложения В ширину трубки ANNUBAR d
И рассчитывают как среднее арифметическое значение трех результатов измерений ее ширины в фронтальной плоскости. Одно значение измеряется в центре измерительной части сенсора (в центре зоны щелей или отверстий), два других значения ширины измеряются в зоне середины крайних измерительных отверстий для "ANNUBAR Diamond II+", "ANNUBAR 285", "ANNUBAR 585" и в зонах верхней границы верхней щели и нижней границы нижней щели для "ANNUBAR 485".
6.7.4. Монтаж трубки ANNUBAR на ИТ выполняют в соответствии с требованиями технической документации фирмы-изготовителя.
6.7.5. При монтаже трубки ANNUBAR на ИТ наименьшие длины прямолинейных участков до и после трубки ANNUBAR выбираются в соответствии со значениями, приведенными в
Приложении Г.
Участки ИТ, расположенные непосредственно до и после трубки ANNUBAR, считают прямолинейными, если отклонение линии, образуемой наружной поверхностью трубопровода и любым продольным сечением, от прямой линии на любом отрезке участка ИТ не превышает 0,4% длины отрезка.
6.7.6. Допускается применение трубок "ANNUBAR 485" на ИТ с длинами прямолинейных участков L меньше приведенных в
таблице Г.1 Приложения Г, если выполняется условие
0,5·LИТ < L <= LИТ, (6.6)
где L
ИТ - наименьшая длина прямолинейного участка, указанная в
таблице Г.1 Приложения Г.
При длине прямолинейного участка L, соответствующего условию (6.6), к относительной расширенной неопределенности коэффициента расхода арифметически добавляется величина

, равная 0,75%.
Одновременное сокращение длин прямолинейных участков до и после трубки "ANNUBAR 485" не допускается.
6.7.7. Отклонение трубки ANNUBAR от линии, соответствующей диаметру ИТ, не должно превышать 3° (см.
рисунок 6.1 а).
6.7.8. Отклонение трубки ANNUBAR относительно плоскости, перпендикулярной продольной оси ИТ, не должно превышать 3° (см.
рисунок 6.1 б).
6.7.9. Отклонение (поворот) трубки ANNUBAR относительно плоскости продольной оси ИТ не должно превышать 3° (см.
рисунок 6.1 в).
Рисунок 6.1
6.7.10. Для измерений расхода и количества сред в одном направлении две трубки ANNUBAR могут быть установлены последовательно. При этом абсолютное или избыточное давление среды в ИТ измеряют в соответствии с
пунктом 6.2.2.5, температуру среды в ИТ измеряют по
пункту 6.3.10 термометром, встроенным в трубку ANNUBAR. Расстояние между трубками ANNUBAR определяют в соответствии с
пунктом 6.3.4 а),
б),
г), где в качестве ПТ принимают трубку ANNUBAR, установленную первой по потоку.
6.7.11. Для измерений расхода и количества сред в прямом и обратном направлениях две трубки ANNUBAR могут быть установлены последовательно. При этом абсолютное или избыточное давление среды в ИТ измеряют в соответствии с
пунктом 6.2.2.5, температуру среды в ИТ измеряют по
пункту 6.3.10 термометром, встроенным в трубку ANNUBAR. Расстояние между трубками ANNUBAR определяют в соответствии с
пунктом 6.3.4 а),
б),
г) или
пунктом 6.3.5 б),
в),
д), в зависимости от того, где (до или после) относительно трубки ANNUBAR, измеряющей расход (количество), установлена вторая трубка ANNUBAR.
7. ТРЕБОВАНИЯ БЕЗОПАСНОСТИ И ТРЕБОВАНИЯ
К КВАЛИФИКАЦИИ ОПЕРАТОРА
7.1. При проведении монтажа и демонтажа СИ и выполнении измерений необходимо соблюдать правила техники безопасности, приведенные в эксплуатационной документации СИ и вспомогательного оборудования. При проведении измерений должны быть обеспечены условия, соответствующие требованиям охраны труда, приведенные в нормативных документах РФ и документах, действующих на объекте.
7.2. Перед монтажом СИ и вспомогательного оборудования необходимо проверить наличие и целостность маркировок взрывозащиты, наличие и целостность крепежных элементов, оболочек. Монтаж узлов и электрические подключения необходимо производить в строгом соответствии со схемами соединений, приведенных в инструкциях по монтажу (руководствах по эксплуатации). Запрещается вносить какие-либо изменения в электрическую схему, а также использовать любые запасные части, не предусмотренные технической документацией.
7.3. В процессе эксплуатации СИ и вспомогательное оборудование должны подвергаться периодическому осмотру (не реже одного раза в месяц). При осмотре проверяют целостность их оболочек, наличие и целостность крепежных элементов, пломб, предупредительных надписей и др.
7.4. К проведению монтажа и выполнению измерений допускаются лица, изучившие эксплуатационную документацию на СИ и вспомогательное оборудование, прошедшие инструктаж по технике безопасности.
7.5. Операторы должны знать и выполнять требования руководств по эксплуатации СИ, применяемых при выполнении измерений.
8. УСЛОВИЯ ВЫПОЛНЕНИЯ ИЗМЕРЕНИЙ
8.1.1. Условия эксплуатации СИ соответствуют условиям их эксплуатации, установленным изготовителями этих СИ.
8.1.2. Диапазон измерений применяемого СИ должен быть не менее диапазона изменений измеряемого параметра.
8.1.3. Измерения следует выполнять СИ, прошедшими поверку или калибровку в зависимости от сферы применения и имеющими действующие свидетельства о поверке или калибровке.
8.1.4. СИ применяют в соответствии с требованиями, изложенными в их эксплуатационной документации.
8.1.5. СИ и их монтаж на ИТ соответствуют требованиям
раздела 6 настоящей рекомендации.
8.2.1. Трубку ANNUBAR применяют для измерений расхода сжимаемых (газ, пар) и несжимаемых (жидкость) однофазных и однородных по физическим свойствам стационарных или медленно изменяющихся во времени дозвуковых потоках сред с динамической вязкостью не более 0,05 Па·с (50 сП).
Расход среды считается медленно меняющимся во времени, если выполняется
условие (6.1) ГОСТ 8.586.1. Проверку данного условия проводят в соответствии с
приложением Ж ГОСТ 8.586.1.
Примечания
1. Среда считается однородной, если ее свойства (состав, плотность, давление и др.) изменяются в пространстве непрерывно (по
ГОСТ 8.586.1-2005).
2. Среда считается однофазной, если все ее составляющие части принадлежат одному и тому же жидкому или газообразному состоянию (по
ГОСТ 8.586.1-2005).
8.2.2. Минимально допускаемое число Рейнольдса трубки ANNUBAR (Rerod) не менее значения, приведенного в таблице 8.1.
Таблица 8.1
Минимально допускаемое число Рейнольдса
Типоразмер трубки ANNUBAR | Минимально допускаемое число Рейнольдса (Rerod) |
ANNUBAR Diamond II+ |
10 (типоразмер 1/2") | 4000 |
10 (типоразмеры 1/2 ... 2") | 2300 |
15/16 | 6500 |
25/26 | 10000 |
35/36 | 15000 |
45/46 | 25000 |
ANNUBAR 285/ANNUBAR 485 |
1 | 6500 |
2 | 12500 |
3 | 25000 |
ANNUBAR 585 |
11 | 6500 |
22 | 10000 |
44 | 25000 |
8.2.3. Фазовое состояние измеряемой среды не изменяется при ее течении через трубку ANNUBAR.
8.2.4. Разность давлений между осредняющими камерами трубки ANNUBAR не менее значений минимально допускаемой разности давлений

. Минимально допускаемая разность давлений

трубки ANNUBAR приведена в таблице 8.2.
Таблица 8.2
Минимально допускаемая разность давлений

Измеряемая среда | Минимальная разность давлений  , кПа |
Вода | 0,0623 |
Газ | 0,0249 |
Пар (датчики перепада смонтированы снизу ИТ) | 0,497 |
Пар (датчики перепада смонтированы сверху ИТ) | 0,187 |
8.2.5. Разность давлений не превышает максимально допускаемую разность давлений для применяемой трубки ANNUBAR. Максимальная разность давлений (Max Allowable DP) приведена в расчетном листе на каждую трубку ANNUBAR. Примеры расчетных листов приведены в
Приложении Д.
8.3.1. Трубка ANNUBAR должна соответствовать требованиям технической документации фирмы-изготовителя.
8.3.2. Геометрические размеры трубки ANNUBAR соответствуют требованиям, изложенным в документации на конкретный экземпляр трубки ANNUBAR.
8.3.3. Трубка ANNUBAR и ее монтаж на ИТ соответствуют требованиям
раздела 6.7.
8.4. Измерительный трубопровод
| | ИС МЕГАНОРМ: примечание. В официальном тексте документа, видимо, допущена опечатка: раздел 6.8 отсутствует. Возможно, имеется в виду раздел 6.6. | |
8.4.1. ИТ соответствует требованиям
раздела 6.8 настоящей рекомендации.
8.4.2. ИТ при выполнении измерений расхода и количества среды полностью заполнен средой.
9. ПОДГОТОВКА К ИЗМЕРЕНИЯМ И ИХ ВЫПОЛНЕНИЕ
9.1. Перед проведением измерений проверяют:
- соответствие наименьших длин прямолинейных участков ИТ требованиям, изложенным в
Приложении Г (проверку проводят перед пуском в эксплуатацию ИК);
- соответствие монтажа соединительных и заборных трубок требованиям, изложенным в
разделе 6 (проверку проводят один раз в год);
- соответствие конструкции трубки ANNUBAR требованиям технической документации (проверку проводят перед пуском в эксплуатацию ИК);
- соответствие монтажа средств измерений требованиям инструкций по монтажу и/или соответствующих разделов эксплуатационной документации (проверку проводят не реже чем один раз в год);
- соответствие условий проведения измерений требованиям, изложенным в
разделе 6 (проверку проводят не реже чем один раз в год).
Примечание. Проверку трубки ANNUBAR на соответствие
пункту 6.2 для средств измерений, зарегистрированных в государственном реестре средств измерений, в состав которых входит трубка ANNUBAR (например, система PROROC-M, расходомеры Probar, MassProbar и т.д.), проводят через межповерочный интервал, указанный для этих средств измерений.
Кроме того, проверяют герметичность всех узлов и соединений, в которых находится измеряемая среда. Проверку герметичности узлов и соединений выполняют ежемесячно.
9.2. По договоренности заинтересованных сторон допускается проверку ИК или отдельных его узлов и соединений проводить чаще, чем это указано в
пункте 9.1.
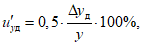
9.3. Для параметров, принимаемых за условно-постоянные величины, определяют их значения и вводят в память вычислительного устройства. Значения условно-постоянных параметров рассчитывают по формуле

(9.1)
где yMAX и yMIN - верхнее и нижнее значения диапазона изменения параметра y.
9.4. После проверки все средства измерений в соответствии с требованиями инструкций по их монтажу и эксплуатации приводят в рабочее состояние и проводят измерения параметров, по которым определяют количество и/или расход среды.
9.5. При обнаружении несоответствия ИК хотя бы одному из требований, указанных в
пункте 9.1, принимают меры, направленные на устранение этого несоответствия.
Порядок восстановления действительных результатов измерений, связанных с обнаружением несоответствия по
пункту 9.1, устанавливают договором между заинтересованными сторонами. Основанием восстановления результатов может служить анализ прошедших или/и последующих результатов измерений, или/и обнаруженных ошибок, или погрешностей измерений.
10. ОБРАБОТКА РЕЗУЛЬТАТОВ ИЗМЕРЕНИЙ
10.1. Расчет расхода среды
10.1.1. Исходные данные и применяемые формулы
10.1.1.1. Исходные данные
Для расчета расхода среды необходимы следующие исходные данные:
- типоразмер трубки ANNUBAR;
- ширина трубки ANNUBAR d20;
- внутренний диаметр ИТ D20;
- материал, из которого изготовлена трубка ANNUBAR;
- материал, из которого изготовлен прямолинейный участок ИТ непосредственно перед трубкой ANNUBAR;
- для смеси газов (в т.ч. природного газа) - полный ее компонентный состав (при расчете свойств смеси газов по полному компонентному составу);
- молярные доли диоксида углерода x
у и азота x
а в природном газе и его плотность при стандартных условиях

(для природного газа при расчете его свойств по неполному компонентному составу по
ГОСТ 30319.1,
ГОСТ 30319.2);
- плотность среды в рабочих условиях

(при применении плотномера);
- перепад давления на трубке ANNUBAR

;
- абсолютное давление P среды или избыточное давление Pи среды;
- атмосферное давление Pа (при измерении в ИТ избыточного давления среды);
- температура среды t.
Примечание. Некоторые из перечисленных параметров или характеристик в зависимости от конкретного вида применяемых основных расчетных формул могут не использоваться.
10.1.1.2. Определение значений исходных величин
Значения параметров и характеристик трубки ANNUBAR (d20, марки материала, из которого изготовлена трубка ANNUBAR) - в соответствии с актом (протоколом) измерений геометрических параметров трубки ANNUBAR.
Значения параметров и характеристик ИТ (D20, марка материалов, из которого изготовлен ИТ) - в соответствии с актом (протоколом) измерений геометрических параметров ИТ.
Значения физико-химических параметров смеси газов - полный состав смеси или (для природного газа)

, x
а, x
у, а также значения параметров потока -

, t, P (или P
и и P
а) измеряют в соответствии с требованиями настоящей рекомендации.
10.1.2. Порядок расчета расхода среды
Расчет расхода среды в общем случае выполняют следующим образом:
а) для смесей определяют компонентный состав, необходимый для расчета плотности, вязкости и показателя адиабаты (для газов) при применении косвенных методов их расчета;
б) определяют параметры измеряемой среды:
в) для жидкостей определяют при рабочей температуре давление насыщенных паров PS;
г) для жидкостей проверяют выполнение условия:

(10.1)
д) для газов при отсутствии плотномера и (или) расчете объемного расхода, приведенного к стандартным условиям, определяют плотность в стандартных условиях

(для природного газа - по
ГОСТ 30319.1, для других сред - по
пункту 5.3.3);
е) определяют плотность измеряемой среды

по показаниям плотномера (при его наличии) или косвенным методом расчета;
| | ИС МЕГАНОРМ: примечание. ГОСТ 30319.3-96 утратил силу с 1 января 2017 года в связи с введением в действие ГОСТ 30319.3-2015 (Приказ Росстандарта от 30.11.2015 N 2075-ст). | |
ж) для газа и пара рассчитывают

(для природного газа - по
ГОСТ 30319.1, ГОСТ 30319.3, для других сред - по
пункту 5.3.3);
н) рассчитывают

(для природного газа - по
ГОСТ 30319.1, ГОСТ 30319.3, для воды и пара - по ГСССД МР 147, для других сред - по
пункту 5.3.3);
о) рассчитывают число Рейнольдса Re
rod (по
пункту 3.12);
п) проверяют соответствие числа Рейнольдса Re
rod минимально допускаемому значению числа Рейнольдса из
таблицы 8.1 в зависимости от типоразмера трубки ANNUBAR;
р) проверяют соответствие измеренного перепада давления

допустимым пределам в соответствии с
пунктами 8.2.4 и
8.2.5;
Примечание. Порядок выполнения пунктов при вычислении расхода может быть изменен, если эти изменения не влияют на результат вычислений расхода.
10.1.3. Примеры расчета расхода среды
10.1.3.1. Пример расчета объемного расхода природного газа при стандартных условиях приведен в
пункте Е.1 Приложения Е.
10.1.3.2. Пример расчета массового расхода перегретого пара приведен в
пункте Е.2 Приложения Е.
10.2. Расчет количества среды
Объем и массу среды определяют путем интегрирования функции расхода по времени.
Операцию интегрирования реализуют с помощью вычислительного устройства путем циклического процесса расчета расхода по переменным исходным данным и их суммирования по одной из формул, приведенных в
подразделе 5.4.
Процедура выполнения расчета расхода на одном цикле вычислений аналогична изложенной в
подразделе 10.1.
10.3. Представление результатов измерений и расчетов
Результаты измерений и расчета представляют именованным числом.
Представление результатов расхода и количества среды следует сопровождать указаниями моментов времени (для количества среды - интервалов времени), соответствующих каждому из представленных результатов измерений.
Наименьшие разряды числовых значений результатов измерений должны быть такими же, как наименьшие разряды числовых значений абсолютной расширенной неопределенности измерений.
Необходимое число значащих цифр N определяемой величины y может быть рассчитано по формуле
N = 4 - lg(2·A·U'y), (10.2)
где A - числовое значение первой значащей цифры значения величины y.
Значение N округляют до целого числа.
11. ОЦЕНКА НЕОПРЕДЕЛЕННОСТИ РЕЗУЛЬТАТОВ ИЗМЕРЕНИЙ
РАСХОДА И КОЛИЧЕСТВА СРЕДЫ
11.1.1. При оценке относительной расширенной неопределенности результатов измерений расхода и количества среды определяют интервал вокруг результата измерения, в пределах которого находятся значения, которые с 95%-ым уровнем доверия могут быть приписаны измеряемой величине.
11.1.2. Процедура оценки неопределенности результатов измерений расхода и количества среды предполагает наличие ограниченной исходной информации, когда для СИ нормированы только следующие метрологические характеристики:
- пределы допускаемых значений основной погрешности СИ или неопределенности результатов измерений, вносимой СИ, с указанием уровня доверия;
- пределы допускаемых значений дополнительных погрешностей СИ или неопределенности результатов измерений, вносимые СИ, при наибольших отклонениях внешних влияющих величин от нормальных значений, либо максимально допускаемые значения коэффициентов влияния.
При этом отсутствует информация о виде функции распределения внешних влияющих величин и частотных характеристиках изменений измеряемой величины и внешних влияющих величин.
В этом случае принимают следующие допущения (по
ГОСТ 8.586.5):
- все значимые систематические эффекты учтены в результатах измерений;
- за математическое ожидание коэффициента чувствительности принимают его нормируемое максимально допускаемое значение;
- между входными переменными уравнения измерения расхода не существует корреляционных связей;
- распределение вероятностей значений измеряемой величины соответствует нормальному закону Гаусса.
При оценке неопределенности результатов измерений расхода и количества среды принимают следующие допущения:
- погрешности определения

,

,

,

не зависят друг от друга;
- погрешности определения KT, KО являются малыми величинами;
- погрешность определения коэффициента расширения

, обусловленная погрешностью определения коэффициента перекрытия B, является малой величиной;
- погрешность определения коэффициента сжимаемости среды K и плотности в стандартных условиях

не зависят друг от друга.
Для количественного выражения неопределенности результата измерения, представленной в виде границ отклонения значения величины от ее оценки (неполное знание о значении величины), полагают, что распределение возможных значений измеряемой величины в указанных границах не противоречит равномерному распределению.
11.1.3. Относительную расширенную неопределенность результата измерений величины y при 95%-ном уровне доверия рассчитывают по формуле
U'y = 2·u'y. (11.1)
Если известна относительная расширенная неопределенность U'y с указанием уровня доверия или используемого коэффициента охвата, то относительную стандартную неопределенность результата измерений u'y величины y рассчитывают по формуле

(11.2)
где kо - коэффициент охвата, зависящий от распределения вероятностей, приписанного рассматриваемой величине, и уровня доверия.
Примечания
1. В соответствии с
РМГ 43-2001 для большинства практических случаев:
- для нормального закона распределения kо = 2 при 95%-ом уровне доверия и kо = 3 при 99%-ом уровне доверия;
- для равномерного закона распределения kо = 1,65 при 95%-ом уровне доверия и kо = 1,71 при 99%-ом уровне доверия.
2. При расчете относительной стандартной неопределенности результата измерений величины y при уровне доверия, отличном от уровня 95%, и закона распределения, отличного от нормального, в
формулах (11.4) -
(11.12) вместо значения 0,5 следует использовать значение 1/k
о.
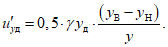
Если известны только границы (yMIN и yMAX) для величины y, то относительную стандартную неопределенность результата измерений величины y рассчитывают по формуле

(11.3)
11.1.4. Относительную стандартную неопределенность результата измерений величины y, обусловленную основной погрешностью СИ, рассчитывают по следующим формулам:
- при известных пределах основной относительной погрешности


(11.4)
- при известных пределах основной абсолютной погрешности


(11.5)
- при известных пределах основной приведенной погрешности

, если нормирующим параметром принят диапазон измерений (y
В - y
Н),

(11.6)
11.1.5. Дополнительную составляющую относительной стандартной неопределенности величины y, вызванную внешней влияющей величиной, рассчитывают в зависимости от способа ее нормирования по пунктам 11.1.5.1 или
11.1.5.2.
11.1.5.1. Дополнительную составляющую относительной стандартной неопределенности величины y, вызванную внешней влияющей величиной при нормировании пределов допускаемых значений погрешности СИ при наибольших отклонениях внешней влияющей величины от нормального значения, рассчитывают по следующим формулам:
- при известных пределах дополнительной относительной погрешности


(11.7)
- при известных пределах дополнительной абсолютной погрешности


(11.8)
- при известных пределах дополнительной приведенной погрешности

, если нормирующим параметром принят диапазон измерений (y
В - y
Н),

(11.9)
11.1.5.2. Дополнительную составляющую относительной стандартной неопределенности величины y, вызванную внешней влияющей величиной при нормировании пределов допускаемых значений коэффициентов влияния, рассчитывают по следующим формулам:
- при известных пределах дополнительной относительной погрешности

при отклонении значения влияющей величины на


(11.10)
- при известных пределах дополнительной абсолютной погрешности

при отклонении значения влияющей величины на


(11.11)
- при известных пределах дополнительной приведенной погрешности

, если нормирующим параметром принят диапазон измерений (y
В - y
Н) при отклонении значения влияющей величины на


(11.12)
где

- наибольшее отклонение внешней влияющей величины от нормального значения.
11.1.6. Относительную стандартную неопределенность значения измеряемой величины y с учетом ее основной и дополнительных составляющих рассчитывают по формуле

(11.13)
где N - число влияющих величин;

- относительная стандартная неопределенность результата измерений величины y, рассчитанная без учета дополнительных составляющих неопределенности, вызванных внешними влияющими величинами;

- дополнительный вклад в неопределенность результата измерений величины y от i-й влияющей величины.
Примечание. В случае если пределы погрешности СИ нормируются в виде пределов погрешности, учитывающих и основную, и дополнительные погрешности, значение относительной стандартной неопределенности результата измерений величины y рассчитывается по
формулам (11.4) -
(11.6), подставляя в формулы вместо

,

,

,

соответственно

,

,

,

.
11.1.7. Относительную стандартную неопределенность результата измерений величины y, определяемую косвенным методом, которая связана функциональной зависимостью с измеряемыми величинами y (например, температурой, давлением, компонентным составом)
y = F(yl, y2, ..., yN), (11.14)
рассчитывают по формуле

(11.15)
где

- неопределенность, приписываемая функциональной зависимости;

- неопределенность результата измерения i-й величины;

- относительный коэффициент чувствительности величины y к изменению i-й измеряемой величины.
Примечание. При известной абсолютной погрешности

или относительной погрешности

, приписываемой функциональной зависимости, неопределенность

рассчитывают по формуле

(11.16)
Относительный коэффициент чувствительности рассчитывают по формуле

(11.17)
где

- частная производная функции F по y.
Если неизвестна математическая взаимосвязь величины y с величиной yi или дифференцирование функции F затруднено, то коэффициент влияния рассчитывают по формуле

(11.18)
где

- изменение определяемой величины y при изменении y на величину

.
11.1.8. Относительная расширенная неопределенность должна быть представлена не более чем двумя значащими цифрами.
11.2. Формулы для расчета неопределенности расхода среды
11.2.1. Формула для расчета относительной стандартной неопределенности при измерении расхода по
формулам (5.3) и
(5.5) для несжимаемой среды (жидкость):

(11.19)
11.2.2. Формула для расчета относительной стандартной неопределенности при измерении расхода по
формулам (5.3) и
(5.5) для сжимаемой среды (газ и пар):

(11.20)
11.2.3. Формула для расчета относительной стандартной неопределенности при измерении расхода по
формуле (5.7):

(11.21)
а) в случае, если

и

независимы
(формула (5.8)) для несжимаемой среды (жидкость):

(11.22)
б) в случае, если

и

независимы
(формула (5.8)) для сжимаемой среды (газ и пар):

(11.23)

(11.24)
11.2.5. Формула для расчета относительной стандартной неопределенности при измерении расхода при применении ИК (расходомеров) на базе трубок ANNUBAR с нормированными пределами погрешности (неопределенности) измерений расхода (количества):

(11.25)
где u'F - относительная стандартная неопределенность при измерении расхода ИК (расходомера) на базе трубок ANNUBAR с нормированными пределами погрешности (неопределенности) измерений расхода (количества);
u'
qA - относительная стандартная неопределенность при измерении расхода, рассчитанная по
формулам (11.19) -
(11.24).
При расчете относительной стандартной неопределенности при измерении расхода u'
qA значения относительных стандартных неопределенностей, приведенные в
формулах (11.19) -
(11.24) или применяемые для их расчета, принимаются равными нулю, если они учитываются в относительной стандартной неопределенности при измерении расхода ИК (расходомера) на базе трубки ANNUBAR с нормированными пределами погрешности (неопределенности) измерений расхода (количества) u'
F.
11.3. Составляющие неопределенности измерения расхода среды
11.3.1. Относительную стандартную неопределенность коэффициента расхода

рассчитывают по формуле

(11.26)
11.3.1.1. Относительную расширенную неопределенность коэффициента расхода

принимают равной:
2% для трубок "ANNUBAR 285" (для газа и пара);
1,5% для трубок "ANNUBAR 585";
1% для трубок "ANNUBAR 285" (для жидкости);
1% для трубок "ANNUBAR Diamond II+";
0,75% для трубок "ANNUBAR 485".
При монтаже трубки ANNUBAR в соответствии с конфигурациями ИТ, приведенными в
таблице А.2 Приложения А (монтаж в колене), относительную расширенную неопределенность коэффициента расхода

принимают равной 3% для всех типов трубки ANNUBAR.
11.3.1.2. Дополнительную относительную расширенную неопределенность коэффициента расхода трубки ANNUBAR от влияния нецилиндричности ИТ

определяют по
пункту 6.6.1.1.
11.3.1.3. Дополнительную относительную расширенную неопределенность коэффициента расхода трубки ANNUBAR от сокращения прямолинейных участков ИТ

определяют по
пункту 6.7.6.
11.3.1.4. Дополнительную относительную расширенную неопределенность коэффициента расхода трубки ANNUBAR от сокращения прямолинейных участков U'
lt определяют по
пунктам 6.3.4 и
6.3.5.
11.3.2. Относительную стандартную неопределенность внутреннего диаметра ИТ u'D принимают равной:
а) в случае измерений внутреннего диаметра ИТ по методике, изложенной в
пункте 6.6.1.3, относительную стандартную неопределенность при измерениях внутреннего диаметра измерительного трубопровода D рассчитывают по формулам:

(11.27)

(11.28)
где

- пределы абсолютной погрешности измерений толщины стенки ИТ;

- пределы абсолютной погрешности измерений внутреннего диаметра ИТ;

- пределы абсолютной погрешности измерений внешнего диаметра ИТ.
Пределы абсолютной погрешности измерений толщины стенки, внутреннего диаметра ИТ и внешнего диаметра ИТ принимают равными пределам погрешности СИ, применяемых для их измерений;
б) допускается проводить измерения внутреннего диаметра ИТ по методике, изложенной в
пункте 6.4.2 ГОСТ 8.586.2. При этом относительную стандартную неопределенность определения внутреннего диаметра ИТ D принимают равной 0,1%;
в) в случае измерений внутреннего диаметра по методикам, приведенным в других нормативных документах, пределы погрешности при измерениях внутреннего диаметра ИТ D или относительную стандартную неопределенность определения внутреннего диаметра ИТ D принимают равными значениям, приведенным в нормативном документе на применяемую методику.
11.3.3. Относительную стандартную неопределенность измерений перепада давления определяют в соответствии с
пунктом 10.3.4 ГОСТ 8.586.5.
11.3.4. Относительную стандартную неопределенность определения плотности в рабочих условиях

определяют в соответствии с
пунктом 10.3.8 ГОСТ 8.586.5.
11.3.5. Относительную стандартную неопределенность определения коэффициента расширения

рассчитывают по формуле

(11.29)
11.3.6. Относительную стандартную неопределенность измерений давления u'
P определяют в соответствии с
пунктом 10.3.5 ГОСТ 8.586.5.
11.3.7. Относительную стандартную неопределенность измерений температуры u'
T определяют в соответствии с
пунктом 10.3.6 ГОСТ 8.586.5.
11.3.8. Относительную стандартную неопределенность коэффициента сжимаемости газа определяют в соответствии с утвержденными в соответствующем порядке методиками.
11.3.9. Относительную стандартную неопределенность при определении показателя адиабаты газа и перегретого пара (u'
k для
формулы (11.29)) определяют в соответствии с утвержденными в соответствующем порядке методиками, устанавливающими метод определения показателя адиабаты.
11.3.10. Относительную стандартную неопределенность плотности газа при стандартных условиях

определяют по
пункту 10.3.7 ГОСТ 8.586.5.
11.3.11. Относительную стандартную неопределенность параметров, принятых за условно-постоянные величины, определяют по формуле

(11.30)
где yMAX и yMIN - верхнее и нижнее значения диапазона изменения параметра.
11.3.12. Относительную стандартную неопределенность при вычислении расхода u'N принимают равной 0,5 пределов относительной погрешности вычисления расхода устройством обработки результатов измерений.
11.4. Оценка неопределенности результатов определения количества среды
Оценку неопределенности результатов определения количества среды проводят в соответствии с
пунктом 10.4 ГОСТ 8.586.5.
(справочное)
ОСНОВНЫЕ ХАРАКТЕРИСТИКИ ТРУБОК ANNUBAR
А.1. Основные характеристики трубок "ANNUBAR DIAMOND II+"
Таблица А.1
Основные характеристики трубок "ANNUBAR DIAMOND II+"
Характеристики | Значение |
Измеряемая среда | газы, жидкости или пар |
Наименование типоразмера | 10, 15/16, 25/26, 35/36, 45/46 <*> |
Диапазон внутренних диаметров ИТ: | |
- типоразмер 10 | от 15 до 50 мм |
- типоразмер 15/16 | от 50 до 250 мм |
- типоразмер 25/26 | от 100 до 1100 мм |
- типоразмер 35/36 | от 200 до 1800 мм |
- типоразмер 45/46 | |
Исполнения: | |
- для типоразмера 10 | InLine (мод. DNT, DNW, DNF) |
- для всех типоразмеров | PakLok (мод. DCR), фланцевое (мод. DFF), FloTap (мод. DMT, DHT, DHF) |
Максимальное избыточное давление в зависимости от модификации исполнения: | |
- модификация DMT | 19 бар (по ANSI class 150) |
- модификации DCR, DHT и стандартные DNT, DNW, DNF, DHF | 100 бар (по ANSI class 600) |
- модификации DFF и специальное исполнение DNT, DNW, DNF, DHF+25S | 413 бар (по ANSI class 2500) |
Температура измеряемой среды | Определяется материалом трубки ANNUBAR |
Возможность установки в корпус трубки встроенного термометра | Есть (кроме фланцевых class 900, class 1500 и class 2500) |
Тип встроенного термометра | Pt100 класс B (по заказу Pt100 класс A) |
Возможность интегрального монтажа трансмиттера перепада давления | Есть (кроме фланцевых class 900, class 1500 и class 2500) |
Возможность измерений обратного потока | Есть |
Примечания <*> Исполнения 15, 25, 35, 45 - без ответного подпятника, исполнения 16, 26, 36, 46 - с ответным подпятником. |
А.2. Основные характеристики трубок "ANNUBAR 485"
Таблица А.2
Основные характеристики трубок "ANNUBAR 485"
Характеристики | Значение |
Измеряемая среда | газы, жидкости или пар |
Наименование типоразмера | 1 (T1), 2 (T2), 3 (T3) |
Диапазон внутренних диаметров ИТ: | |
- типоразмер 1 | от 50 до 200 мм |
- типоразмер 2 | от 150 до 2400 мм |
- типоразмер 3 | |
Исполнения (для всех типоразмеров) | фланцевое, PakLok, FlangeLok (гибридный от фланцевого и PakLok), FloTap |
Максимальное избыточное давление: | |
- исполнение FloTap, PakLok и FlangeLok | 100 бар |
- исполнение фланцевое | 413 бар (по ANSI class 2500) |
Температура измеряемой среды: | |
- исполнение FloTap, PakLok и FlangeLok | от -73 до 454 °C |
- исполнение фланцевое | от -184 до 677 °C |
Возможность установки в корпус трубки встроенного термометра | Есть (кроме фланцевого исполнения class 900, class 1500 и class 2500) |
Тип встроенного термометра | Pt100 класс B (по заказу Pt100 класс A) |
Возможность интегрального монтажа трансмиттера перепада давления | Есть (кроме фланцевого исполнения class 900, class 1500 и class 2500) |
Возможность измерений обратного потока | Нет |
Примечание. <*> До 6000 мм (специальное исполнение). |
А.3. Основные характеристики трубок "ANNUBAR 585"
Таблица А.3
Основные характеристики трубок "ANNUBAR 585"
Характеристики | Значение |
Измеряемая среда | газы, жидкости или пар |
Наименование типоразмера | 11, 22, 44 |
Диапазон внутренних диаметров ИТ: | |
- типоразмер 11 | от 100 до 600 мм |
- типоразмер 22 | от 150 до 900 мм |
- типоразмер 44 | от 250 до 2400 мм |
Исполнения (для всех типоразмеров) | Фланцевое (585SF) Flo-Tap (585SG) 585ML (аналог MSL) |
Максимальное избыточное давление: | |
- исполнение 585ML | 261 бар при 593 °C |
- исполнение фланцевое | 413 бар (по ANSI class 2500) |
- исполнение Flo-Tap | 100 бар (по ANSI class 600) |
Температура измеряемой среды: | |
- исполнения фланцевое и Flo-Tap | до 816 °C |
- исполнение 585ML | до 649 °C |
Возможность установки в корпус трубки встроенного термометра | Есть |
Тип встроенного термометра | Pt100 класс B (по заказу Pt100 класс A) |
Возможность интегрального монтажа трансмиттера перепада давления | Есть |
Возможность измерений обратного потока | Есть |
А.4. Основные характеристики трубок "ANNUBAR 285"
Таблица А.4
Основные характеристики трубок "ANNUBAR 285"
Характеристики | Значение |
Измеряемая среда | газы, жидкости или пар |
Наименование типоразмера | 1 (T1), 2 (T2) |
Диапазон внутренних диаметров ИТ: | |
- типоразмер 1 | от 50 до 200 мм |
- типоразмер 2 | |
Исполнения (для всех типоразмеров) | PakLok, с монтажной пластиной, гибридный (PakLok + пластина) |
Максимальное избыточное давление: | |
- исполнение PakLok | от -40 до 149 °C |
- исполнение с пластиной | от -40 до 454 °C |
- исполнение гибридное | от -40 до 149 °C |
Температура измеряемой среды: | |
- исполнение PakLok | 19 бар (по ANSI class 150) |
- исполнение с пластиной | 0,6 бар |
- исполнение гибридное | 0,6 бар |
Возможность установки в корпус трубки встроенного термометра | Нет |
Тип встроенного термометра | - |
Возможность интегрального монтажа трансмиттера перепада давления | Есть |
Возможность измерений обратного потока | Нет |
Примечание. <*> До 6000 мм (специальное исполнение). |
(обязательное)
ОПРЕДЕЛЕНИЕ КОЭФФИЦИЕНТА РАСХОДА ТРУБКИ ANNUBAR
Б.1. Определение коэффициента расхода

трубок ANNUBAR
Б.1.1. Определение коэффициента расхода

трубок "ANNUBAR DIAMOND II+"
а) Для типоразмера 10

(Б.1)
Примечание. При расчете коэффициента перекрытия B используется диаметр входной круглой трубки.
б) Для типоразмеров 15/16, 25/26, 35/36, 45/46

(Б.2)
Таблица Б.1
Коэффициенты C1 и C2 для трубок "ANNUBAR DIAMOND II+"
Коэффициенты | Типоразмер |
10 | 15/16 | 25/26 | 35/36 | 45/46 |
C1 | -0,8212 | -1,3452 | -1,4300 | -1,3416 | -1,2613 |
C2 | 0,7269 | 0,9200 | 1,2650 | 1,2075 | 1,2400 |
Б.1.2. Определение коэффициента расхода

трубок "ANNUBAR 485", "ANNUBAR 585" и "ANNUBAR 285"

(Б.3)
Таблица Б.2
Коэффициенты C1 и C2 для трубок "ANNUBAR 485"
и "ANNUBAR 285"
Коэффициенты | Типоразмер |
1 | 2 | 3 |
C1 | -1,515 | -1,492 | -1,5856 |
C2 | 1,4229 | 1,4179 | 1,3318 |
Таблица Б.3
Коэффициенты C1 и C2 для трубок "ANNUBAR 585"
Коэффициенты | Типоразмер |
11 | 22 | 44 |
C1 | -1,206 | -1,219 | -1,211 |
C2 | 1,127 | 1,168 | 1,248 |
Б.2. Допускается значение коэффициента расхода

брать из расчетного листа, поставляемого с трубкой ANNUBAR (в расчетном листе - Annubar Flow Coefficient K).
При монтаже трубки ANNUBAR в соответствии с конфигурациями ИТ, приведенными в
таблице Г.2 Приложения Г (монтаж в колене), значение коэффициента расхода

необходимо брать из расчетного листа, поставляемого с трубкой ANNUBAR.
Примеры расчетных листов для трубок "ANNUBAR DIAMOND II+" и "ANNUBAR 485" приведены в
Приложении Д.
ОПРЕДЕЛЕНИЕ ВНУТРЕННЕГО ДИАМЕТРА ИТ И ШИРИНЫ ТРУБКИ ANNUBAR
В.1. Определение внутреннего диаметра ИТ при 20 °C и рабочей температурах
В.1.1. Результат измерений внутреннего диаметра ИТ, выполненный в соответствии с
пунктом 6.6.1.3, приводят к температуре 20 °C по формуле

(В.1)
где tИ - температура окружающей среды во время измерений D, °C;
K'T - поправочный коэффициент на изменение внутреннего диаметра ИТ, вызванное отклонением tИ от 20 °C.
Внутренний диаметр ИТ при рабочей температуре определяют по формуле

(В.2)
где KT - поправочный коэффициент на изменение внутреннего диаметра ИТ, вызванное отклонением t от 20 °C.
В.1.2. Значения температурного коэффициента линейного расширения различных материалов для широкого диапазона температур могут быть рассчитаны по формуле

(В.3)
где a0, a1, a2 - постоянные коэффициенты.
Значения коэффициентов a
0, a
1, a
2 и соответствующие им диапазоны температур приведены в
таблице Г.1 приложения Г ГОСТ 8.586.1 или в
таблице В.1 настоящей рекомендации.
В.2. Определение ширины трубки ANNUBAR при 20 °C и рабочей температурах
В.2.1. Ширину трубки ANNUBAR при 20 °C определяют по формуле

(В.4)
где tИ - температура окружающего воздуха, при которой проведены измерения ширины трубки ANNUBAR, °C;
dИ - измеренная ширина трубки ANNUBAR;
K'О - поправочный коэффициент на изменение ширины трубки ANNUBAR, вызванное отклонением tИ от 20 °C.
В.2.2. Ширину трубки ANNUBAR при рабочей температуре определяют по формуле

(В.5)
где KО - поправочный коэффициент на изменение ширины трубки ANNUBAR, вызванное отклонением t от 20 °C.
В.2.3. Значения температурного коэффициента линейного расширения трубки ANNUBAR

рассчитывают по формуле

(В.6)
где a0, a1, a2 - постоянные коэффициенты.
Значения коэффициентов a0, a1, a2 приведены в таблице В.1.
Таблица В.1
Марка материала трубки ANNUBAR | a0 | a1 | a2 | Диапазон температур, °C |
Нержавеющая сталь 316 (S31600/CF8M) | 15,2 | 7,0 | -1,1 | от -184 до +871 |
Hastelloy C-276 | 11,0 | 4,3 | 1,2 | от +21 до +927 |
Monel 400 | 13,0 | 9,1 | -4,0 | от -184 до +1093 |
Алюминий (6063-T6) | 22,4 | 9,6 | 1,3 | от -60 до +300 |
Нержавеющая сталь 304 | 14,8 | 10,2 | -8,0 | от -268 до +538 |
Титан (B348 Gr 2) | 8,4 | 2,4 | 0,3 | от 0 до +649 |
Alloy 800H | 13,9 | 7,5 | -3,0 | от +21 до +871 |
PVDF (KYNAR) | 127,8 | 0 | 0 | от +10 до +149 |
Примечание. Таблица составлена по данным изготовителя трубок ANNUBAR. |
ПРЯМОЛИНЕЙНЫЕ УЧАСТКИ ДЛЯ ТРУБОК ANNUBAR
Г.1. Наименьшая длина прямолинейных участков ИТ между трубкой ANNUBAR и ближайшими местными сопротивлениями, расположенными до и после трубки ANNUBAR, приведена в таблице Г.1.
Таблица Г.1
Наименьшие длины прямолинейных участков
Номер строки | | Наименьшая длина прямолинейного участка ИТ |
до трубки ANNUBAR | B (после трубки ANNUBAR) |
без струевыпрямителя | со струевыпрямителем |
A (изгиб в плоскости ANNUBAR) | A (изгиб вне плоскости ANNUBAR) | A' | C | C' |
| | 8 | 10 | - | - | - | 4 |
| - | - | 8 | 4 | 4 | 4 |
2. | | 11 | 16 | 8 | - | - | 4 |
| - | - | - | 4 | 4 | 4 |
3. | | 23 | 28 | 8 | - | - | 4 |
| - | - | - | 4 | 4 | 4 |
4. | | 12 | 12 | 8 | - | - | 4 |
| - | - | - | 4 | 4 | 4 |
5. | | 18 | 18 | 8 | - | - | 4 |
| - | - | - | 4 | 4 | 4 |
| | 30 | 30 | 8 | - | - | 4 |
| - | - | - | 4 | 4 | 4 |
Примечания 1. Для МС в виде запорных, шаровых, пробковых и других дроссельных клапанов значения наименьших длин прямолинейных участков ИТ приведены в строке 6 (полуоткрытое состояние клапанов) и в строке 1 (открытое состояние клапанов) таблицы Г.1. 2. Для МС в виде насоса, вентилятора, регулирующего клапана или иного устройства, регулирующего расход, расположенного перед трубкой ANNUBAR, значения наименьшей длины прямолинейного участка ИТ приведены в строке 6 таблицы Г.1. 3. Для МС, типы которых не приведены в таблице Г.1, значения наименьшей длины прямолинейного участка ИТ должны быть не менее значений, приведенных в строке 6 таблицы Г.1. |
Г.2. Наименьшая длина прямых участков ИТ между трубкой "ANNUBAR 485" и ближайшими местными сопротивлениями для специального режима расположения ANNUBAR на расстоянии 2D после изгиба в 90° (от центральной оси ИТ перед изгибом) приведена в таблице Г.2.
Таблица Г.2
Наименьшие длины прямолинейных участков
для монтажа "в колене 90°"
Номер строки | Местное сопротивление | Наименьшая длина прямолинейного участка ИТ |
L1 | L2 |
1. | Одиночное колено 90° не в плоскости установки трубки ANNUBAR | | 4 | 2 |
2. | Два 90° колена в одной плоскости (U-образная конфигурация) или тройник в плоскости трубки ANNUBAR | | 5 | 2 |
3. | Шаровой кран или задвижка в плоскости трубки ANNUBAR | | 3 | 2 |
4. | Затвор (заслонка) в плоскости трубки ANNUBAR | | 5 | 2 |
5. | Два 90° колена в одной плоскости (S-образная конфигурация) в плоскости трубки ANNUBAR | | 4 | 2 |
6. | Два 90° колена в разных плоскостях | | 10 | 2 |
7. | Шаровой кран или задвижка не в плоскости трубки ANNUBAR | | 3 | 2 |
8. | Затвор (заслонка) не в плоскости трубки ANNUBAR | | 5 | 2 |
Примечания 1. Трубку ANNUBAR располагают в плоскости изгиба с наклоном в любую сторону не более 3°. 2. Прямолинейные участки приведены для полностью открытых кранов. Для кранов в промежуточном положении и для регулирующих клапанов L1 = 16D. |
ПРИМЕРЫ РАСЧЕТНЫХ ЛИСТОВ ТРУБОК ANNUBAR
Д.1. Пример расчетного листа трубки "ANNUBAR 485" программой MERLIN
Д.2. Пример расчетного листа трубки "ANNUBAR 485" программой Instrument ToolkitTM
Д.3. Пример расчетного листа комплексного расходомера 3051SFA (содержащего трубку "ANNUBAR 485") программой ToolkitTM
ПРИМЕРЫ РАСЧЕТА ИЗМЕРЕНИЯ РАСХОДА
Е.1. Пример расчета расхода природного газа для трубки ANNUBAR
Исходные данные и расчет расхода природного газа приведены в таблицах Е.1.1 -
Е.1.2.
Таблица Е.1.1
Исходные данные
Наименование величины | Условное обозначение | Единица величины | Значение |
Трубка ANNUBAR | ANNUBAR 485. Типоразмер 1 |
Ширина трубки ANNUBAR | d20 | м | 0,014986 |
Внутренний диаметр ИТ | D20 | м | 0,203 |
Материал, из которого изготовлена трубка ANNUBAR | Нержавеющая сталь 316 |
Материал, из которого изготовлен ИТ | сталь 20 |
Плотность природного газа при стандартных условиях | | кг/м3 | 0,72 |
Молярная доля азота | xа | % | 2,1 |
Молярная доля диоксида углерода | xу | % | 0,7 |
Метод расчета коэффициента сжимаемости | |
Перепад давления на трубке ANNUBAR | | Па | 1500 |
Избыточное давление природного газа | Pa | Па | 210000 |
Барометрическое давление | PБ | Па | 99500 |
Температура природного газа | t | °C | 5 |
Таблица Е.1.2
Рассчитываемые величины | Условное обозначение | Единица величины | Обозначение стандарта и номер формулы или пункта | Значение |
Коэффициент, учитывающий изменение ширины трубки ANNUBAR, вызванное отклонением температуры природного газа от 20 °C | KО | - | | 0,99977 |
Ширина трубки ANNUBAR при рабочей температуре | d | м | | 0,014983 |
Коэффициент, учитывающий изменение диаметра ИТ, вызванное отклонением температуры природного газа от 20 °C | KT | | | 0,99983 |
Внутренний диаметр ИТ при рабочей температуре | D | м | | 0,202966 |
Степень перекрытия поперечного сечения измерительного трубопровода | B | - | | 0,093988 |
Абсолютное давление природного газа | P | Па | | 309500 |
Термодинамическая температура природного газа | T | К | | 278,15 |
Коэффициент сжимаемости природного газа | K | - | | 0,994575 |
Плотность природного газа | | кг/м3 | | 2,330504 |
Показатель адиабаты природного газа | | - | | 1,30186 |
Коэффициент расширения | | - | | 0,99939 |
Коэффициент расхода трубки ANNUBAR | | - | | 0,59260 |
Объемный расход природного газа, приведенный к стандартным условиям | qс | м3/с | | 2,22529 |
Динамическая вязкость природного газа | | Па·с | | 10,46·10-6 |
Число Рейнольдса | Rerod | - | | 70896 |
Е.2. Пример расчета расхода перегретого пара для трубки ANNUBAR
Исходные данные и расчет расхода перегретого пара приведены в таблицах Е.2.1 -
Е.2.2.
Таблица Е.2.1
Исходные данные
Наименование величины | Условное обозначение | Единица величины | Значение |
Трубка ANNUBAR | ANNUBAR 485. Типоразмер 2 |
Ширина трубки ANNUBAR | d20 | м | 0,026924 |
Внутренний диаметр ИТ | D20 | м | 0,507 |
Материал, из которого изготовлена трубка ANNUBAR | Нержавеющая сталь 304 |
Материал, из которого изготовлен ИТ | сталь 20 |
Перепад давления на трубке ANNUBAR | | Па | 2500 |
Абсолютное давление перегретого пара | P | Па | 700000 |
Температура перегретого пара | t | °C | 250 |
Таблица Е.2.2
Рассчитываемые величины | Условное обозначение | Единица величины | Обозначение стандарта и номер формулы или пункта | Значение |
Коэффициент, учитывающий изменение ширины трубки ANNUBAR, вызванное отклонением температуры природного газа от 20 °C | KО | - | | 1,003876 |
Ширина трубки ANNUBAR при рабочей температуре | d | м | | 0,027028 |
Коэффициент, учитывающий изменение диаметра ИТ, вызванное отклонением температуры природного газа от 20 °C | KT | | | 1,002947 |
Внутренний диаметр ИТ при рабочей температуре | D | м | | 0,508494 |
Степень перекрытия поперечного сечения измерительного трубопровода | B | - | | 0,067677 |
Плотность перегретого пара | | кг/м3 | ГСССД МР 147 | 2,97294 |
Показатель адиабаты перегретого пара | | - | ГСССД МР 147 | 1,30226 |
Коэффициент расширения | | - | | 0,99951 |
Коэффициент расхода трубки ANNUBAR | | - | | 0,60684 |
Массовый расход перегретого пара | qm | кг/с | | 15,01751 |
Динамическая вязкость перегретого пара | | Па·с | ГСССД МР 147 | 18,103·10-6 |
Число Рейнольдса | Rerod | - | | 110407 |