Главная // Актуальные документы // МетодикаСПРАВКА
Источник публикации
Ростов-на-Дону, 1995
Примечание к документу
Документ
введен в действие с 1 июля 1995 года.
Взамен РД 52.24.46-87.
Название документа
"РД 52.24.394-95. Руководящий документ. Методические указания. Методика выполнения измерений массовой концентрации ионов аммония в поверхностных водах суши потенциометрическим методом с ионселективным электродом"
(утв. и введен в действие Росгидрометом 17.04.1995)
"РД 52.24.394-95. Руководящий документ. Методические указания. Методика выполнения измерений массовой концентрации ионов аммония в поверхностных водах суши потенциометрическим методом с ионселективным электродом"
(утв. и введен в действие Росгидрометом 17.04.1995)
Утвержден и введен в действие
Начальником ГУЭМЗ
Росгидромета
Ю.С.ЦАТУРОВЫМ
17 апреля 1995 года
РУКОВОДЯЩИЙ ДОКУМЕНТ
МЕТОДИЧЕСКИЕ УКАЗАНИЯ.
МЕТОДИКА ВЫПОЛНЕНИЯ ИЗМЕРЕНИЙ МАССОВОЙ КОНЦЕНТРАЦИИ ИОНОВ
АММОНИЯ В ПОВЕРХНОСТНЫХ ВОДАХ СУШИ ПОТЕНЦИОМЕТРИЧЕСКИМ
МЕТОДОМ С ИОНСЕЛЕКТИВНЫМ ЭЛЕКТРОДОМ
РД 52.24.394-95
Дата введения
1 июля 1995 года
1. Разработан Гидрохимическим институтом, Малым научно-производственным предприятием "Акватест".
2. Разработчики: Л.Ф. Быстрова, Л.М. Господинова.
3. Утвержден и введен в действие Начальником ГУЭМЗ Росгидромета Цатуровым Ю.С. 17.04.1995.
4. Одобрен Секцией по методам химического и радиологического мониторинга природной среды ЦКПМ Росгидромета 11.04.1995, Протокол N 2.
5.
Свидетельство об аттестации МВИ выдано Гидрохимическим институтом в 1995 г., N 46.
6. Зарегистрирован ЦКБ ГМП в 1995 г., N 394.
7. Взамен РД 52.24.46-87.
Аммонийный азот в водах находится, главным образом, в растворенном состоянии в виде ионов аммония и недиссоциированных молекул

, количественное соотношение которых имеет важное экологическое значение и определяется величиной pH и температурой воды. В то же время некоторая часть аммонийного азота может мигрировать в сорбированном состоянии на минеральных и органических взвесях, а также в виде различных комплексных соединений.
Присутствие в незагрязненных поверхностных водах ионов аммония связано, главным образом, с процессами биохимической деградации белковых веществ, дезаминирования аминокислот, разложения мочевины. Естественными источниками аммиака служат прижизненные выделения гидробионтов. Кроме того, ионы аммония могут образовываться в результате анаэробных процессов восстановления нитратов и нитритов.
Источником антропогенного загрязнения водных объектов ионами аммония являются сточные воды многих отраслей промышленности, бытовые сточные воды, стоки с сельскохозяйственных угодий.
Сезонные колебания концентрации ионов аммония характеризуются обычно понижением весной, в период интенсивной фотосинтетической деятельности фитопланктона, и повышением летом при усилении процессов бактериального разложения органического вещества в периоды отмирания водных организмов, особенно в зонах их скопления: в придонном слое водоема, в слоях повышенной плотности фито- и бактериопланктона. В осенне-зимний период повышенное содержание ионов аммония связано с продолжающейся минерализацией органических веществ в условиях слабого потребления фитопланктоном.
Повышенное содержание ионов аммония указывает на ухудшение санитарного состояния водного объекта, причем, поскольку аммиак более токсичен, чем ионы аммония, опасность аммонийного азота для гидробионтов возрастает с повышением pH воды.
Увеличение концентрации аммонийного азота обычно является показателем свежего загрязнения.
Для водных объектов рыбохозяйственного назначения предельно допустимая концентрация (ПДК) ионов аммония 0,4 мг/дм3, аммиака - 0,04 мг/дм3 по азоту; для объектов хозяйственно-питьевого и культурно-бытового назначения ПДК соответственно равны 2,0 мг/дм3 и 1,0 мг/дм3.
1. Назначение и область применения методики
Настоящий руководящий документ устанавливает потенциометрическую методику выполнения измерений массовой концентрации ионов аммония в пробах поверхностных вод суши в диапазоне от 0,4 до 180 мг/дм3 с ионселективным электродом.
2. Нормы погрешности и значения характеристик
погрешности измерения
В соответствии с
ГОСТ 27384 погрешность выполнения измерений массовой концентрации ионов аммония в природных водах в диапазоне 0,005 - 0,1 мг/дм3 составляет +/- 50%, свыше 0,1 - 0,5 мг/дм3 - +/- 25% и свыше 0,5 мг/дм3 - +/- 10%.
Установленные для настоящей методики значения характеристик погрешности и ее составляющих приведены в таблице 1.
Таблица 1
Значения характеристик погрешности
и ее составляющих (P = 0,95)
Диапазон измеряемых концентраций аммония C, мг/дм3 | Характеристики составляющих погрешности, % | Характеристика погрешности, % |
случайной  | систематической  |
0,4 - 11,4 | 8 | 14 | 25 |
св. 11,4 - 180,0 | 9 | 12 | 15 |
В основу определения положено измерение потенциала электрода, селективного к ионам аммония. По величине электродного потенциала из градуировочной зависимости находят концентрацию в пробе ионов аммония.
Минеральные и органические вещества, обычно присутствующие в поверхностных и очищенных сточных водах, не мешают анализу.
4. Средства измерений, вспомогательные устройства,
реактивы, материалы
4.1. Средства измерений, вспомогательные устройства
4.1.1. Иономер любого типа или pH-метр, работающий в режиме милливольтметра, снабженный магнитной мешалкой.
4.1.2. Электрод измерительный ЭМ-060101 КСРШ.418422.014 по КСРШ.418422.014 ТУ или другого типа с аналогичными характеристиками.
4.1.3. Электрод вспомогательный хлорсеребряный ЭВЛ-1МЗ по ТУ 25.05.2181 или другого типа с аналогичными характеристиками.
4.1.4. Весы аналитические 2 класса точности по
ГОСТ 24104.
4.1.5. Весы технические лабораторные любого типа 4 класса точности с пределом взвешивания 200 г.
4.1.6. Шкаф сушильный общелабораторного назначения.
4.1.7. Колбы мерные не ниже 2 класса точности по
ГОСТ 1770
вместимостью: 100 см3 - 1
250 см3 - 1
1000 см3 - 1
4.1.8. Пипетка градуированная не ниже 2 класса точности по
ГОСТ 29227
вместимостью: 1 см3 - 1
10 см3 - 1
20 см3 - 1
4.1.9. Пипетки с одной меткой не ниже 2 класса точности по
ГОСТ 29169
вместимостью: 10 см3 - 1
4.1.10. Цилиндры мерные по
ГОСТ 1770 вместимостью: 25 см3 - 2
100 см3 - 1
1000 см3 - 1
4.1.11. Стаканы химические по
ГОСТ 25336 вместимостью: 50 см3 - 8
100 см3 - 1
500 см3 - 1
4.1.12. Стаканчики для взвешивания (бюксы) по
ГОСТ 25336 - 2
4.1.13. Электролитический ключ.
4.1.14. Воронка лабораторная по
ГОСТ 25336 диаметром 3 - 4 см - 1
4.1.15. Колонка ионообменная d = 2 - 4 см и h = 50 - 60 см - 1
Допускается использование других типов средств измерений, посуды и вспомогательного оборудования, в том числе импортных, с характеристиками не хуже, чем у приведенных в
4.1.
4.2. Реактивы и материалы
4.2.1. Стандартный образец ионов аммония или хлорид аммония

по
ГОСТ 3773, х.ч.
4.2.2. Трис-(оксиметил)-аминометан

по ТУ 6-09-4292, х.ч.
4.2.5. Катионит КРС-4ПТ40 или аналогичный по характеристикам.
4.2.6. Гидроксид натрия NaOH по
ГОСТ 4328, х.ч.
4.2.7. Соляная кислота HCl по
ГОСТ 3118, х.ч.
4.2.10. Фильтровальная бумага.
Допускается использование реактивов, изготовленных по другой нормативно-технической документации, в том числе импортных, с квалификацией не ниже указанной в
4.2.
Отбор проб для определения аммиака и ионов аммония производят в соответствии с
ГОСТ 17.1.5.05.
Пробы помещают в стеклянную или полиэтиленовую посуду с плотно закрывающейся пробкой. Если анализ не может быть произведен в день отбора пробы, ее консервируют прибавлением 1 см3 раствора серной кислоты 1:1 на 1 дм3 воды и хранят в холодильнике не более 4 суток. Для более длительного хранения необходимо замораживание пробы.
6. Условия выполнения измерений
В помещении, где выполняют измерения массовой концентрации ионов аммония, не следует проводить работы, связанные с применением аммиака и щелочных растворов солей аммония.
7. Подготовка к выполнению измерений
7.1. Приготовление растворов и реактивов
7.1.1. Буферный раствор трис-(оксиметил)-аминометана 1 моль/дм3
Отвешивают на аналитических весах 12,115 г

и растворяют в 50 см3 дистиллированной воды в химическом стакане. Приливают 6 см3 концентрированной HCl, переносят раствор в мерную колбу вместимостью 100 см3 и доводят дистиллированной водой до метки на колбе. После перемешивания раствор фильтруют. pH приготовленного раствора должен составлять 7,5 - 8,0. Хранят в склянке из темного стекла не более 10 дней.
7.1.2. Насыщенный раствор хлорида калия
60 г KCl растворяют в 200 см3 дистиллированной воды при температуре 50 - 60 °C. После охлаждения используют раствор над осадком для заполнения вспомогательного электрода.
7.1.3. Раствор нитрата натрия

0,850 г

, высушенного при температуре 105 °C в течение 2 ч, растворяют в мерной колбе вместимостью 100 см3 и доводят дистиллированной водой до метки на колбе. Используют для заполнения электролитического ключа.
7.1.4. Раствор соляной кислоты 1 моль/дм3
80 см3 концентрированной HCl растворяют в 920 см3 дистиллированной воды. Раствор устойчив.
7.1.5. Раствор гидроксида натрия 1 моль/дм3
40 г NaOH растворяют в 1000 см3 дистиллированной воды. Раствор хранят в полиэтиленовой посуде.
7.1.6. Подготовка колонки с катионитом
50 - 60 г сухого катионита замачивают на сутки в дистиллированной воде. После этого переносят катионит в колонку так, чтобы не образовалось воздушных пузырьков. Пропускают через колонку с катионитом последовательно по 100 см3 раствора соляной кислоты 1 моль/дм3, дистиллированной воды и раствора гидроксида натрия 1 моль/дм3 со скоростью 1 - 2 капли в секунду, повторяя процедуру 8 - 10 раз. Заканчивают обработку смолы пропусканием 100 см3 раствора соляной кислоты. Промывают колонку дистиллированной водой до pH 6 по универсальной индикаторной бумаге, пропуская воду с максимально возможной скоростью. Колонка с катионитом пригодна к работе длительное время. При ухудшении качества безаммиачной воды колонку регенерируют, пропуская 100 см3 раствора соляной кислоты 1 моль/дм3 и промывая дистиллированной водой. Хранят колонку заполненной водой.
7.1.7. Безаммиачная вода
Дистиллированную воду пропускают через колонку, заполненную катионитом, со скоростью 1 - 2 капли в секунду. Первые 100 - 150 см3 воды, прошедшей через колонку, отбрасывают. Хранят безаммиачную воду в плотно закрытой стеклянной посуде не более недели.
7.2. Приготовление градуировочных растворов
Градуировочные растворы, аттестованные по процедуре приготовления, готовят из стандартного образца ионов аммония или хлорида аммония.
Приготовление градуировочных растворов из стандартного образца или хлорида аммония осуществляют в соответствии с 7.2.1 -
7.2.8.
Для градуировочных растворов

погрешности, обусловленные процедурой приготовления, не превышают 1%, для градуировочных растворов

- 2% относительно приписанного значения концентрации ионов аммония.
7.2.1. Раствор хлорида аммония

Раствор готовят из стандартного образца ионов аммония в соответствии с инструкцией по его применению, или 1,337 г

, предварительно высушенного при температуре 105 °C до постоянной массы, растворяют в безаммиачной воде в мерной колбе вместимостью 250 см3 и доводят безаммиачной водой до метки на колбе.
7.2.2. Раствор хлорида аммония

Отбирают 10 см3 раствора

в мерную колбу вместимостью 100 см3 и доводят безаммиачной водой до метки на колбе.
7.2.3. Раствор хлорида аммония

Отбирают 10 см3 раствора

в мерную колбу вместимостью 100 см3 и доводят безаммиачной водой до метки на колбе.
7.2.4. Раствор хлорида аммония

Отбирают 6,0 см3 раствора

в мерную колбу вместимостью 100 см3 и доводят безаммиачной водой до метки на колбе.
7.2.5. Раствор хлорида аммония

Отбирают 2,0 см3 раствора

в мерную колбу вместимостью 100 см3 и доводят безаммиачной водой до метки на колбе.
7.2.6. Раствор хлорида аммония

Отбирают 10 см3 раствора

в мерную колбу вместимостью 100 см3 и доводят безаммиачной водой до метки на колбе.
7.2.7. Раствор хлорида аммония

Отбирают 5,0 см3 раствора

в мерную колбу вместимостью 100 см3 и доводят безаммиачной водой до метки на колбе.
7.2.8. Раствор хлорида аммония

Отбирают 2,0 см3 раствора

в мерную колбу вместимостью 100 см3 и доводят безаммиачной водой до метки на колбе.
Градуировочные растворы хлорида аммония

хранят не более 1 мес,

готовят непосредственно перед использованием. Растворы хранят в стеклянной посуде с плотно закрывающейся пробкой.
7.3. Подготовка прибора, измерительного и вспомогательного электродов к работе
Подготовку прибора, измерительного и вспомогательного электродов к работе осуществляют в соответствии с инструкцией по их эксплуатации.
Для предотвращения попадания насыщенного раствора хлорида калия из электрода сравнения в градуировочные растворы и пробы на электрод надевается электролитический ключ, заполненный раствором нитрата натрия, который ежедневно обновляется перед началом работы.
7.4. Установление градуировочной зависимости
В стаканы вместимостью 50 см3 отбирают по 20 см3 раствора хлорида аммония с концентрацией

;

;

;

;

;

и приливают по 1 см3 буферного раствора. Стаканы устанавливают на магнитную мешалку, погружают в раствор электроды и проводят измерение потенциала в градуировочных растворах от меньшей концентрации ионов аммония

к большей

. Глубина погружения электродов и скорость перемешивания должны быть одинаковыми во всех измерениях. Показания прибора записывают после установления постоянного значения потенциала. Время его установления зависит от концентрации ионов аммония в градуировочных растворах и составляет от нескольких секунд до минут.
Для каждой точки проводят по три параллельных измерения потенциала. Градуировочную зависимость строят в координатах: значения

градуировочных растворов (отрицательный логарифм концентрации ионов аммония

, моль/дм3) - соответствующие им значения потенциала, мВ.
Градуировочную зависимость устанавливают перед каждой серией определений, а также при замене иономера, измерительного или вспомогательного электродов, градуировочных растворов.
Если инструкцией по эксплуатации прибора предусмотрен иной способ установления градуировочной зависимости (градуировки), то ее устанавливают в соответствии с инструкцией к данному прибору.
20 см3 анализируемой пробы вносят в стакан вместимостью 50 см3, приливают 1 см3 буферного раствора. Стакан устанавливают на магнитную мешалку, погружают в анализируемую пробу электроды и после установления равновесного значения потенциала записывают показания прибора. По окончании измерения электроды отмывают дистиллированной водой. Отмывка электродов происходит достаточно быстро при ее трехкратной замене, затем удаляют остатки воды фильтровальной бумагой. Проводят три измерения потенциала в одной анализируемой пробе воды и за истинное значение принимают два одинаковых показания прибора.
Температура анализируемой пробы должна быть одинакова с температурой растворов при построении градуировочного графика.
9. Вычисление результатов измерений
Значения

в анализируемых пробах воды находят по градуировочной зависимости. Массовую концентрацию ионов аммония

, мг/дм3, рассчитывают по следующим соотношениям:

;

;

(1)
или находят из
таблицы 2 для значений

в диапазоне 3 - 4. Для перевода в мг/дм3 значений

в диапазоне 4,0 до 4,7 уменьшают табличные значения в 10 раз. Например,

, равный 3,4, соответствует 7,2 мг/дм3,

, равный 4,4, - 0,72 мг/дм3. Концентрацию ионов аммония в мг/дм3 при значении

с 2,0 до 3,0 получают, увеличивая табличные значения в 10 раз. Например,

, равный 3,4, соответствует 7,2 мг/дм3,

, равный 2,4, - 72,0 мг/дм3.
Таблица 2
Пересчет значений

в концентрацию ионов аммония
| C, мг/дм3 |
3,00 | 18,0 |
3,01 | 17,6 |
3,02 | 17,2 |
3,03 | 16,8 |
3,04 | 16,4 |
3,05 | 16,0 |
3,06 | 15,7 |
3,07 | 15,3 |
3,08 | 14,8 |
3,09 | 14,6 |
3,10 | 14,3 |
3,11 | 13,9 |
3,12 | 13,6 |
3,13 | 13,3 |
3,14 | 13,0 |
3,15 | 12,7 |
3,16 | 12,5 |
3,17 | 12,2 |
3,18 | 11,9 |
3,19 | 11,6 |
3,20 | 11,4 |
3,21 | 11,1 |
3,22 | 10,9 |
3,23 | 10,7 |
3,24 | 10,4 |
3,25 | 10,1 |
3,26 | 9,9 |
3,27 | 9,7 |
3,28 | 9,5 |
3,29 | 9,2 |
3,30 | 9,0 |
3,31 | 8,8 |
3,32 | 8,6 |
3,33 | 8,4 |
3,34 | 8,2 |
| | ИС МЕГАНОРМ: примечание. Значения графы "pNH4" даны в соответствии с официальным текстом документа. | |
|
3,55 | 8,0 |
3,56 | 7,7 |
3,37 | 7,7 |
3,38 | 7,5 |
3,39 | 7,3 |
3,40 | 7,2 |
3,41 | 7,0 |
3,42 | 6,8 |
3,43 | 6,7 |
3,44 | 6,5 |
3,45 | 6,4 |
3,46 | 6,2 |
3,47 | 6,1 |
3,48 | 6,0 |
3,49 | 5,8 |
3,50 | 5,7 |
3,51 | 5,6 |
3,52 | 5,4 |
3,53 | 5,3 |
3,54 | 5,2 |
3,55 | 5,1 |
3,56 | 5,0 |
3,57 | 4,8 |
3,58 | 4,7 |
3,59 | 4,6 |
3,60 | 4,5 |
3,61 | 4,4 |
3,62 | 4,3 |
3,63 | 4,2 |
3,64 | 4,1 |
3,65 | 4,0 |
3,66 | 3,9 |
3,67 | 3,8 |
3,68 | 3,8 |
3,69 | 3,7 |
3,70 | 3,6 |
3,71 | 3,5 |
3,72 | 3,4 |
3,73 | 3,4 |
3,74 | 3,3 |
3,75 | 3,2 |
3,76 | 3,1 |
3,77 | 3,1 |
3,78 | 3,0 |
3,79 | 2,9 |
3,80 | 2,8 |
3,81 | 2,8 |
3,82 | 2,7 |
3,83 | 2,7 |
3,84 | 2,6 |
3,85 | 2,5 |
3,86 | 2,5 |
3,87 | 2,4 |
3,88 | 2,4 |
3,89 | 2,3 |
3,90 | 2,3 |
3,91 | 2,2 |
3,92 | 2,2 |
3,93 | 2,1 |
3,94 | 2,1 |
3,95 | 2,0 |
3,96 | 2,0 |
3,97 | 1,9 |
3,98 | 1,9 |
3,99 | 1,8 |
4,00 | 1,8 |
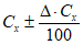
Результат измерения в документах, предусматривающих его использование, представляют в виде:

, мг/дм3 (P = 0,95), (2)
где

- характеристика погрешности измерения для данной массовой концентрации ионов аммония
(таблица 1).
Численные значения результата измерения должны оканчиваться цифрой того же разряда, что и значения характеристики погрешности.
10. Контроль погрешности измерений
Оперативный контроль погрешности проводят с использованием метода добавок совместно с методом разбавления пробы. Периодичность контроля - не менее одной контрольной на 15 - 20 рабочих проб за период, в течение которого условия проведения анализа неизменны.
Измеряют концентрацию ионов аммония в исходной пробе

, в пробе, разбавленной в n раз (n = 1,5 - 2,5)

, и в пробе, разбавленной в n раз с введенной добавкой

. Величина добавки

должна соответствовать содержанию аммония в исходной пробе. Если ионы аммония в исходной пробе не обнаружены, величина добавки должна быть равна минимально определяемой концентрации.
Результат контроля признают удовлетворительным, если:

(3)
Норматив контроля погрешности

рассчитывают по формуле

(P = 0,95), (4)
где

и

- характеристики систематической и случайной составляющих погрешности измерения концентрации аммония в исходной пробе.
Если в исходной пробе ионы аммония не обнаружены, то погрешность рассчитывают для концентрации добавки.
При превышении норматива повторяют определение с использованием другой пробы. При повторном превышении норматива выясняют причины, приводящие к неудовлетворительным результатам, и устраняют их.
11. Требования безопасности
11.1. При выполнении измерений массовой концентрации аммонийного азота в пробах природных и очищенных сточных вод соблюдают требования безопасности, установленные в "Правилах по технике безопасности при производстве наблюдений и работ на сети Госкомгидромета", Л., Гидрометеоиздат, 1983, или в "Типовой инструкции по технике безопасности для гидрохимических лабораторий служб Роскомвода", М., 1995.
11.2. По степени воздействия на организм вредные вещества, используемые при выполнении измерений, относятся к 2, 3 классам опасности по
ГОСТ 12.1.007.
11.3. Содержание используемых вредных веществ в воздухе рабочей зоны не должно превышать установленных предельно допустимых концентраций в соответствии с
ГОСТ 12.1.005.
12. Требования к квалификации операторов
К выполнению измерений и обработке их результатов допускаются лица со средним профессиональным образованием или без профессионального образования, но имеющие стаж работы в лаборатории не менее года и освоившие методику анализа.
13. Затраты времени на проведение анализа
На приготовление растворов и реактивов в расчете на 100 определений
требуется 2,0 чел.-ч.
На выполнение измерений и вычисление результата анализа единичной пробы
- 0,1 чел.-ч.
На выполнение измерений и вычисление результатов анализа серии
из 10 проб - 1,0 чел.-ч.
Затраты времени на подготовку посуды включены в затраты времени на проведение анализа.
ФЕДЕРАЛЬНАЯ СЛУЖБА ПО ГИДРОМЕТЕОРОЛОГИИ
И МОНИТОРИНГУ ОКРУЖАЮЩЕЙ СРЕДЫ
ГИДРОХИМИЧЕСКИЙ ИНСТИТУТ
ОБ АТТЕСТАЦИИ МВИ
Методика выполнения измерений массовой концентрации ионов аммония в поверхностных водах суши потенциометрическим методом с ионселективным электродом.
Основана на измерении потенциала электрода, селективного к ионам аммония. По величине электродного потенциала из градуировочной зависимости находят концентрацию в пробе ионов аммония.
Разработана Гидрохимическим институтом, МНПП "Акватест".
Регламентирована в РД 52.24.394-95.
Аттестация проведена Гидрохимическим институтом на основании результатов экспериментальных исследований в 1987 г. и метрологической экспертизы материалов в 1995 г.
В результате аттестации МВИ установлено:
1. МВИ соответствует предъявляемым к ней метрологическим требованиям и обладает следующими основными метрологическими характеристиками:
Диапазон измеряемых концентраций аммония C, мг/дм3 | Характеристики составляющих погрешности, % | Характеристика погрешности, % |
случайной  | систематической  |
0,4 - 11,4 | 8 | 14 | 25 |
св.11,4 - 180,0 | 9 | 12 | 15 |
2. Оперативный контроль погрешности измерений проводят в соответствии с
разделом 10 РД 52.24.394-95.
3. Дата выдачи свидетельства - март 1994 г.
Главный метролог ГУ ГХИ
А.А.НАЗАРОВА