Главная // Актуальные документы // МетодикаСПРАВКА
Источник публикации
Документ опубликован не был
Примечание к документу
Документ
введен в действие с 01.01.2002.
Взамен Инструкции по расчету норм и нормативной потребности в топливе и электроэнергии для транспорта газа.
Название документа
"РД 153-39.0-112-2001. Руководящий документ. Методика определения норм расхода и нормативной потребности в природном газе на собственные технологические нужды магистрального транспорта газа"
(принят и введен в действие Приказом Минэнерго России N 373 от 26.12.2001)
"РД 153-39.0-112-2001. Руководящий документ. Методика определения норм расхода и нормативной потребности в природном газе на собственные технологические нужды магистрального транспорта газа"
(принят и введен в действие Приказом Минэнерго России N 373 от 26.12.2001)
Принят и введен в действие
от 26 декабря 2001 г. N 373
РУКОВОДЯЩИЙ ДОКУМЕНТ
МЕТОДИКА ОПРЕДЕЛЕНИЯ НОРМ РАСХОДА И НОРМАТИВНОЙ
ПОТРЕБНОСТИ В ПРИРОДНОМ ГАЗЕ НА СОБСТВЕННЫЕ
ТЕХНОЛОГИЧЕСКИЕ НУЖДЫ МАГИСТРАЛЬНОГО
ТРАНСПОРТА ГАЗА
РД 153-39.0-112-2001
Дата введения
1 января 2002 года
1. Разработан Обществом с ограниченной ответственностью "Научно-исследовательский институт природных газов и газовых технологий - ВНИИГАЗ".
2. Внесен Департаментом газовой промышленности и газификации Минэнерго России, Управлением науки, новой техники и экологии ОАО "Газпром", Управлением транспортировки газа и газового конденсата ОАО "Газпром".
3. Принят и введен в действие
Приказом Минэнерго России N 373 от 26 декабря 2001 г.
4. Взамен Инструкции по расчету норм и нормативной потребности в топливе и электроэнергии для транспорта газа. М.: ВНИИГАЗ, 1990.
5. Учтены Требования Налогового кодекса РФ
(часть вторая) от 05.08.2000 N 117-ФЗ, а также
Постановление Правительства РФ от 22.01.2001 N 45 "О порядке утверждения нормативов использования газодобывающими и газотранспортными организациями природного газа на собственные технологические нужды".
6. Исполнители Г.С. Акопова, И.В. Барцев, А.В. Василенко, В.И. Дочин, В.И. Ефанов, С.Ф. Жданов, Ю.В. Забродин, А.Н. Калужских, Е.В. Леонтьев (руководитель темы), Ю.Г. Мутовин, Ю.Н. Синицын, И.А. Трегубов, В.А. Щуровский, Г.А. Хворов.
Руководящий документ (далее - РД) устанавливает единые правила планирования нормативного расхода природного газа, используемого на собственные технологические нужды магистрального транспорта газа в организациях и предприятиях топливно-энергетического комплекса независимо от форм собственности.
РД позволит обеспечить рациональное и экономное использование природного газа на всех технологических уровнях транспорта газа.
В настоящем РД использованы ссылки на следующие нормативные документы:
ГОСТ Р 51750-2001. Энергосбережение. Методика определения энергоемкости при производстве продукции и оказании услуг в технологических энергетических системах. Общие определения
| | ИС МЕГАНОРМ: примечание. ГОСТ 30167-95 утратил силу с 1 января 2016 года в связи с введением в действие ГОСТ 30167-2014 (Приказ Росстандарта от 29.06.2015 N 822-ст). | |
ГОСТ 30167-95. Ресурсосбережение. Порядок установления показателей ресурсосбережения в документации на продукцию
ГОСТ Р 51541-99. Энергосбережение. Энергетическая эффективность. Состав показателей
| | ИС МЕГАНОРМ: примечание. В официальном тексте документа, видимо, допущена опечатка: Федеральный закон от 29.12.2000 имеет номер 166-ФЗ, а не 117-ФЗ. | |
Налоговый кодекс РФ
(часть вторая), утвержденный Федеральным законом от 05.08.2000 N 117-ФЗ (в редакции Федеральных законов от 29.12.2000
N 117-ФЗ, от 07.08.2001
N 118-ФЗ и от 08.08.2001
N 126-ФЗ)
Постановление Правительства РФ от 22.01.2001 N 45 "О порядке утверждения нормативов использования газодобывающими и газотранспортными организациями природного газа на собственные технологические нужды"
ОНТП 51-1-85 "Магистральные трубопроводы. Часть 1. Газопроводы".
АВО - аппарат воздушного охлаждения
ГПА - газоперекачивающий агрегат
ГИС - газоизмерительная станция
ГРС - газораспределительная станция
ГТУ - газотурбинная установка
ГТП - газотранспортное предприятие
ДКС - дожимная компрессорная станция
КПД - коэффициент полезного действия
КС - компрессорная станция
КЦ - компрессорный цех
ЛПУМГ - линейно-производственное управление магистрального газопровода
МГ - магистральный газопровод
СОГ - станция охлаждения газа
СТН - собственные технологические нужды транспорта газа
ТЭР - топливно-энергетические ресурсы
ЦБН - центробежный нагнетатель
ЭСН - электростанция собственных нужд.
В настоящем РД использованы следующие термины с соответствующими определениями.
4.1. В соответствии с Налоговым кодексом РФ (часть вторая, раздел 8, глава 22,
статья 183, пункт 1, подпункт 9) не подлежит налогообложению использование природного газа на собственные технологические нужды газотранспортных организаций в пределах нормативов, обусловленных технологиями подготовки и транспортировки газа.
4.2. Собственные технологические нужды транспорта газа - необходимый расход природного газа на основные и вспомогательные технологические процессы транспорта газа, обусловленный режимом эксплуатации газопроводов и техническими характеристиками оборудования.
Основные направления расхода газа на собственные технологические нужды транспорта газа: расход газа на технологические топливные нужды, расход газа на прочие технологические нужды, технологические потери газа.
4.3. Расход газа на технологические топливные нужды (топливный газ) - природный газ, расходуемый в качестве топлива ГПА на компримирование.
4.4. Расход газа на прочие технологические нужды - природный газ, необходимый для проведения прочих технологических операций по поддержанию требуемого режима эксплуатации газопроводов.
4.5. Технологические потери газа - неизбежные потери природного газа, связанные с принятой схемой и технологией транспортировки газа и обусловленные степенью совершенства технологии и качеством оборудования.
Более подробно основные направления расхода природного газа на собственные технологические нужды транспорта газа приведены в
Приложении А.
4.6. Нормативы расхода природного газа на собственные технологические нужды в соответствии с
4.2,
4.3,
4.4, 4.5 - научно и технически обоснованные величины норм расхода природного газа, устанавливаемые в нормативной документации, характеризующие предельно допустимые значения потребления природного газа на единицу полезной работы объекта при регламентированных условиях эксплуатации в планируемый период
(ГОСТ Р 51750).
4.7. В качестве измерителя полезной работы объектов в транспорте природного газа используют:
- при нормировании расхода топливного газа в КЦ на компримирование - политропную работу сжатия;
- при нормировании расхода природного газа на прочие технологические нужды КЦ и технические потери - условную номинальную работу КЦ: произведение номинальной мощности ГПА на число ГПА в КЦ и на продолжительность планируемого периода;
- при нормировании расхода природного газа на собственные технологические нужды в ГТП и в подотрасли "Транспорт газа" - товаротранспортную работу.
4.8. Индивидуальная норма (норматив) расхода топливного газа на компримирование в КЦ с газотурбинным приводом - научно и технически обоснованная норма расхода природного газа, характеризующая предельно допустимое потребление природного газа для конкретного типа ГПА на 1 кВт x ч политропной работы сжатия применительно к фактическим условиям работы КЦ
(ГОСТ Р 51750).
4.9. Индивидуальная норма (норматив) расхода природного газа на прочие технологические нужды КЦ - научно и технически обоснованная норма расхода природного газа, характеризующая предельно допустимое потребление природного газа по типу ГПА на 1 кВт x ч условной номинальной работы КЦ
(ГОСТ Р 51750).
4.10. Индивидуальная норма (норматив) технологических потерь природного газа в КЦ - научно и технически обоснованная норма потерь природного газа, характеризующая предельно допустимые потери природного газа в КЦ, приходящиеся на 1 кВт x ч условной номинальной работы КЦ
(ГОСТ Р 51750).
4.11. Индивидуальная норма (норматив) технологических потерь природного газа на линейной части газопровода - научно и технически обоснованная норма потерь природного газа, характеризующая предельно допустимые неизбежные потери природного газа на линейной части, отнесенные к объему (запасу) природного газа в газопроводе для конкретного диаметра газопровода
(ГОСТ Р 51750).
4.12. Основным методом определения индивидуальных норм (нормативов) по отдельным направлениям расхода газа на собственные технологические нужды является расчетно-аналитический метод с использованием паспортных характеристик и опытно-статистических данных о действительных расходах (потерях) газа по этим направлениям в различных эксплуатационных условиях (
таблицы 1 -
6).
| | ИС МЕГАНОРМ: примечание. ГОСТ 30167-95 утратил силу с 1 января 2016 года в связи с введением в действие ГОСТ 30167-2014 (Приказ Росстандарта от 29.06.2015 N 822-ст). | |
4.13. Нормы расхода природного газа на собственные технологические нужды газотранспортного предприятия, подотрасли "Транспорт газа" - удельные показатели расхода природного газа для производства единицы товаротранспортной работы при регламентированных условиях эксплуатации объекта в планируемый период (ГОСТ 30167). Рассчитываются на основе соответствующих нормативных потребностей в природном газе на собственные технологические нужды.
4.14. Нормативные потребности КЦ, КС, ЭСН, СОГ, ЛПУМГ, ГТП, подотрасли "Транспорт газа" в газе на собственные технологические нужды - абсолютные показатели расхода природного газа, используемого на собственные технологические нужды объектом за плановый период
(ГОСТ Р 51541). Рассчитываются на основе соответствующих индивидуальных норм (нормативов).

- индивидуальная норма расхода топливного газа на компримирование для КЦ с газотурбинным приводом

- норма расхода топливного газа на компримирование для КЦ с газотурбинным приводом

- индивидуальная норма расхода природного газа на прочие технологические нужды КЦ

- норма расхода природного газа на прочие технологические нужды КЦ

- индивидуальная норма технологических потерь природного газа в КЦ

- норма технологических потерь природного газа в КЦ

- индивидуальная норма технологических потерь природного газа на линейной части

- индивидуальная норма расхода природного газа на выработку электроэнергии на ЭСН

- норма расхода природного газа на собственные технологические нужды ГТП

- норма расхода природного газа на собственные технологические нужды подотрасли "Транспорт газа"

- нормативная потребность газотурбинного КЦ в топливном газе для компримирования

- нормативная потребность КС в топливном газе для компримирования

- нормативная потребность СОГ в топливном газе

- нормативная потребность ГТП в топливном газе для компримирования

- нормативная потребность КЦ в природном газе на прочие технологические нужды

- нормативная потребность КС в природном газе на прочие технологические нужды

- нормативная потребность ЛПУМГ в природном газе на технологические нужды линейной части

- нормативная потребность в топливном газе для выработки электроэнергии на ЭСН

- нормативная потребность в топливном газе для котельных

- нормативная потребность ГТП в газе на прочие технологические нужды

- нормативные технологические потери природного газа в КЦ

- нормативные технологические потери природного газа на КС

- нормативные технологические потери природного газа на линейной части ЛПУМГ

- нормативные технологические потери природного газа в ГТП

- нормативная потребность ГТП в природном газе на собственные технологические нужды

- нормативная потребность подотрасли "Транспорт газа" в природном газе на собственные технологические нужды.
6. Расчет норм расхода природного газа
для собственных технологических нужд компрессорного цеха
6.1. Расчет норм расхода топливного газа на компримирование
6.1.1. Норму расхода топливного газа на компримирование для КЦ с газотурбинным приводом

, кг у.т./кВт x ч, определяют по формуле
[1]:

, (6.1)
где

- индивидуальная норма расхода топливного газа КЦ, кг у.т./кВт x ч (таблица 1);

- коэффициент коррекции, учитывающий конкретные условия работы КЦ.
Таблица 1
Индивидуальные нормы (нормативы) расхода топливного газа
на 1 кВт x ч политропной работы сжатия КЦ
Тип ГПА | |
1 | 2 |
ГТ-700-5 | 0,773 |
ГТК-5 | 0,719 |
Таурус-60 | 0,543 |
ГТ-6-750, ГТН-6 | 0,771 |
ГТ-750-6 | 0,692 |
ГТ-750-6М | 0,557 |
ГПА-Ц-6,3 | 0,780 |
ГПА-Ц-6,3А | 0,591 |
ГПА-Ц-6,3Б (6,3 МВт) | 0,611 |
ГПА-Ц-6,3Б (8,0 МВт) | 0,591 |
ГПА-Ц-6,3С | 0,581 |
ГТК-10 | 0,656 |
ГТК-10М | 0,532 |
ГПУ-10 | 0,675 |
ГТК-10И | 0,710 |
ГТК-10ИР | 0,528 |
ГПА-10 Урал | 0,567 |
Коберра-182 | 0,669 |
ГПА-12Р Урал | 0,513 |
ГПА-12 Урал | 0,501 |
ГПА-16 Урал | 0,467 |
ГПА-16Р Урал | 0,480 |
ТН-16 | 0,656 |
ГТН-16М1 | 0,561 |
ГТНР-16 | 0,527 |
ГПА-Ц-18 | 0,599 |
ГПА-Ц-16 | 0,632 |
ГПА-16МЖ | 0,619 |
ГПА-16МГ, ГПА-Ц-16С, Коберра 16МГ | 0,511 |
ПЖТ-21С | 0,478 |
ГПА-Ц-16АЛ | 0,490 |
ГПА-16 Волга | 0,465 |
ГТН-25 | 0,707 |
ГТН-25-1 | 0,542 |
ГТК-25И | 0,658 |
ГТК-25ИР, ГТНР-25И (В) | 0,502 |
ГТНР-25И (С) | 0,490 |
ГПА-Ц-25, ГПА-25НК | 0,490 |
ГПА-25Р Урал | 0,430 |
6.1.1.1. Индивидуальная норма расхода топливного газа КЦ

определена для следующих условий:
- КПД ГТУ и центробежных компрессоров (нагнетателей) приняты с учетом поправок на допуски, нормируемое отклонение от оптимума и другие эксплуатационные факторы;
- номинальные атмосферные условия - по техническим условиям ГПА;
- схема работы неполнонапорных ГПА - последовательно-параллельная, двухступенчатая.
6.1.1.2. При наличии в цехе ГПА различных типов (модификаций) индивидуальную норму расхода топливного газа определяют по формуле

, (6.2)
где

- индивидуальная норма расхода топливного газа для ГПА i-го типа
(таблица 1), кг у.т./кВт x ч;

- номинальная мощность ГПА i-го типа (
таблица В.1, Приложение В), кВт;

- наработка ГПА i-го типа (всего I типов) за планируемый период, ч.
6.1.1.3. Коэффициент коррекции

определяют по формуле
[2]

, (6.3)
где

- коэффициент, учитывающий влияние атмосферных условий и нормируемый уровень загрузки ГПА и рассчитываемый по формуле

, (6.4)

- средняя температура атмосферного воздуха за планируемый период, °C, величины средней месячной, средней квартальной и средней годовой температуры воздуха для различных районов страны берут по справочным данным из
таблицы В.3 (Приложение В). При отсутствии в
таблице В.3 сведений о температуре воздуха в районе расположения КС берется температура ближайшего пункта, приведенного в
таблице В.3;

- коэффициент, учитывающий влияние эксплуатации котлов-утилизаторов и вычисляемый по формуле
[3]

, (6.5)

- доля агрегатов с котлами-утилизаторами

от общего числа работающих в цехе агрегатов

.
6.1.2. Норму расхода топливного газа на компримирование для дожимных КЦ с газотурбинным приводом определяют аналогично КЦ магистральных газопроводов по
формуле (6.1).
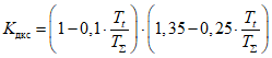
6.1.2.1. Коэффициент

для дожимных КЦ с газотурбинным приводом рассчитывают по формуле

, (6.6)

- коэффициент, учитывающий влияние относительной загрузки ГПА и изменение КПД компрессора и определяемый по формуле

, (6.7)

- время работы ДКС по данной технологической схеме, год;

- общий запланированный период работы ДКС по данной технологической схеме, год.
6.1.3. Норму расхода топливного газа

, м3/кВт x ч, для реального состава природного газа определяют по формулам

, (6.8)

, (6.9)
где

- фактическая низшая теплота сгорания природного газа, ккал/м3 (6.8), кДж/м3 (6.9).
6.2. Расчет нормы расхода природного газа на прочие технологические нужды КЦ
Норму расхода природного газа на прочие технологические нужды газотурбинных КЦ

, м3/кВт x ч, определяют по формуле
[1]

, (6.10)
где

- индивидуальная норма расхода природного газа на прочие технологические нужды КЦ
(таблица 2), м3/кВт x ч,

- безразмерный коэффициент, учитывающий величину расчетного давления газопровода:
при 5,5 МПа (56 кгс/см2)

= 1,0;
при 7,45 МПа (76 кгс/см2)

= 1,36;
при 8,35 МПа (85 кгс/см2)

= 1,52.
Таблица 2
Индивидуальные нормы (нормативы) расхода природного газа
на прочие технологические нужды КЦ
Тип ГПА | |
1 | 2 |
Газотурбинные КЦ |
ГТ-700-5, ГТК-5 | 0,0040 |
ГТ-750-6, ГТ-750-6М, ГТ-6-750, ГТН-6 | 0,0030 |
ГПА-Ц-6,3, Таурус-60, ГПА-Ц-6,3А, ГПА-Ц-6,3С, ПТА-Ц-6,3Б | 0,0025 |
ГТК-10, ГТК-10М, ГПУ-10, ГТК-10И, ГТК-10ИР, ГПА-10 Урал, ГПА-12 Урал, ГПА-12Р Урал, Коберра 182 | 0,0015 |
ГТН-16, ГТН-6М1, ГТНР-16, ГПА-16МЖ, ГПА-16МГ, ГПА-Ц-16С, Коберра-16МГ, ГПА-16 Урал, ГПА-16Р Урал, ГПА-Ц-16, ПЖТ-21С, ГПА-Ц-16АЛ, ГПА-16 Волга, ГПА-Ц-18 | 0,0010 |
ГТН-25-1, ГПА-Ц-25, ГПА-25Р Урал, ГТК-25И, ГТК-25ИР, ГГНР-25И (В), ГТНР-25И (С), ГТН-25, ГПА-25НК | 0,0008 |
Электроприводные КЦ |
СТМ-4000, СТМП-4000, СТД-4000, СТДП-4000, АЗ-4500 | 0,0040 |
СТД-6300, СТДП-6300 | 0,0025 |
СТД-6300, СТДП-6300 | 0,0015 |
СТД-12500, СДГ-12500, СДГМ-12500 | 0,0015 |
ЭГПА-25Р | 0,0008 |
Величина

определена при следующих расчетных условиях:
- проектное давление газопровода - 5,5 МПа (56 кгс/см2),
- среднестатистические данные по надежности ГПА,
- паспортная величина расходов природного газа на пуск ГТУ,
- продувка установок очистки природного газа через общий коллектор,
- стравливание газа установки очистки и охлаждения газа - 1 раз в год.
6.3. Расчет нормы технологических потерь природного газа в КЦ
Норму технологических потерь природного газа в КЦ

, м3/кВт x ч, определяют по формуле
[1]

, (6.11)
где

- индивидуальная норма технологических потерь природного газа в КЦ, отнесенная к единице условной номинальной работы КЦ (таблица 3), м3/кВт x ч,

- коэффициент, учитывающий величину расчетного давления газопровода, определяют аналогично
6.2.
Таблица 3
Индивидуальные нормы (нормативы) технологических потерь
природного газа в КЦ
Тип ГПА | |
Газотурбинные КЦ |
ГТ-700-5, ГТК-5 | 0,0070 |
ГТ-750-6, ГТ-750-6М, ГТ-6-750, ГТН-6 | 0,0050 |
ГПА-Ц-6,3, Таурус-60, ГПА-Ц-6,3А, ГПА-Ц-6,3С, ГПА-Ц-6,3Б | 0,0050 |
ГТК-10, ГТК-10М, ГПУ-10, ГТК-10И, ГТК-10ИР, ГПА-10 Урал, ГПА-12 Урал, ГПА-12Р Урал, Коберра 182 | 0,0035 |
ГТН-16, ГТН-6М1, ГТНР-16, ГПА-16МЖ, ГПА-16МГ, ГПА-Ц-16С, Коберра-16МГ, ГПА-16 Урал, ГПА-16Р Урал, ГПА-Ц-16, ПЖТ-21С, ГПА-Ц-16АЛ, ГПА-16 Волга, ГПА-Ц-18 | 0,0030 |
ГТН-25-1, ГПА-Ц-25, ГПА-25Р Урал, ГТК-25И, ГТК-25ИР, ГТНР-25И (В), ГТНР-25И (С), ГТН-25, ГПА-25НК | 0,0022 |
Электроприводные КЦ |
СТМ-4000, СТМП-4000, СТД-4000, СТДП-4000, АЗ-4500 | 0,0070 |
СТД-6300, СТДП-6300 | 0,0050 |
СТД-12500, СДГ-12500, СДГМ-12500 | 0,0035 |
ЭГПА-25Р | 0,0022 |
7. Расчет нормативной потребности КЦ, КС, ГТП
в топливном газе для компримирования
7.1. Порядок расчета нормативной потребности КЦ, КС, ГТП в топливном газе для компримирования
7.1.1. Подготавливают исходную информацию для расчета:
- план по объему транспорта природного газа на планируемый период, детализированный по величинам поставок природного газа от источников и подачи потребителям;
- нормативные показатели технического состояния оборудования КС и линейной части;
- свойства транспортируемого природного газа: значение температуры транспортируемого природного газа на выходе АВО, низшая теплота сгорания газа, плотность газа;
- средняя температура атмосферного воздуха за планируемый период.
7.1.2. Рассчитывают нормативный плановый режим транспорта природного газа на предстоящий период.
7.1.3. На базе нормативного планового режима определяют политропную работу сжатия каждого КЦ. Потребность КЦ в топливном газе для компримирования на планируемый период определяют на основе индивидуальных норм расхода топливного газа и политропной работы сжатия КЦ.
7.1.4. Потребность КС в топливном газе для компримирования на планируемый период определяют суммированием потребностей, рассчитанных для КЦ.
7.1.5. Потребность ГТП в топливном газе для компримирования на планируемый период определяют суммированием потребностей, рассчитанных для КС.
7.2. Расчет нормативных плановых режимов транспорта природного газа
7.2.1. Основой для расчета нормативных плановых режимов являются
ОНТП 51-1-85 [4].
7.2.2. Критерием оптимизации при расчете нормативного планового режима является минимум затрат ТЭР на компримирование. Расчет выполняют с использованием оптимизационных программно-вычислительных комплексов, представленных в отраслевом фонде алгоритмов и программ (ОФАП).
7.2.3. Расчет нормативного планового режима выполняют в соответствии с техническим паспортом магистрального газопровода по
ВРД 39-1.10-006-2000 с учетом фактических отклонений от проектов газопроводов по наличному составу оборудования и схеме поступлений и отборов природного газа.
7.2.4. Значения показателей технического состояния линейной части и оборудования КС должны быть не хуже общеотраслевых нормативных значений (Приложение В,
таблица В.2).
7.2.5. Индивидуальные нормы технического состояния для линейной части используют в следующих случаях:
- снижение разрешенного давления в газопроводе в связи с неудовлетворительным состоянием труб или пониженным испытательным давлением;
- снижение давления природного газа в начале газотранспортной системы (например, в связи со снижением давления на входе головной КС);
- снижение гидравлической эффективности газопровода, связанное с поступлением в газопровод некондиционного природного газа при отсутствии средств очистки внутренней полости трубы.
7.2.6. Индивидуальные нормы технического состояния для оборудования КС используют в следующих случаях:
- невозможность восстановления мощности ГТУ в связи с дефектами агрегатов, не устранимыми в процессе профилактического обслуживания и ремонта;
- доказанные отклонения от паспортных характеристик нагнетателей, не устранимые в процессе профилактического обслуживания и ремонта;
- постоянная работа в неоптимальной зоне характеристик нагнетателя и (или) недозагрузка привода, обусловленные режимными факторами газопровода, не зависимыми от ГТП.
7.2.7. Индивидуальные нормы технического состояния линейной части и оборудования КС обосновывают соответствующие службы ГТП и утверждают в ОАО "Газпром".
7.2.8. По результатам расчета нормативного планового режима транспорта газа получают следующие данные, используемые при нормировании потребности в топливном газе КЦ:
- данные о числе агрегатов каждого типа, включаемых в работу;
- объем газа, перекачиваемый КЦ за планируемый период времени;
- значения давлений и температур транспортируемого природного газа на входе и выходе нагнетателей компрессорных цехов.
7.3. Расчет политропной работы сжатия компрессорного цеха
Политропную работу сжатия КЦ

, кВт x ч, рассчитывают по формуле
[4]

, (7.1)
где

- коэффициент сжимаемости природного газа по условиям на входе в КЦ;

- температура природного газа на входе КЦ, К;
Q - объем природного газа, перекачиваемый за планируемый период времени, млн. м3;

- степень повышения давления компрессорного цеха;

- соответственно среднее абсолютное давление на входе нагнетателей первой ступени и выходе нагнетателей последней ступени сжатия, МПа.
Значение

определяют по формуле
[5]

, (7.2)
где

- относительная плотность природного газа по воздуху.
Значения

, Q принимают по результатам расчета нормативного планового режима (7.2.8).
7.4. Расчет нормативной потребности КЦ, КС, ГТП в топливном газе на компримирование
7.4.1. Нормативную потребность газотурбинного КЦ в топливном газе для компримирования

, т у.т., определяют по формуле

, (7.3)
где

- норма расхода топливного газа на компримирование в газотурбинном КЦ, кг у.т./кВт x ч;

- политропная работа сжатия КЦ, кВт x ч.
7.4.2. Нормативную потребность КС с газотурбинными КЦ в топливном газе для компримирования

, т у.т., определяют по формуле

, (7.4)
где s - количество КЦ на КС;

- нормативная потребность i-го КЦ в топливном газе, т у.т.
7.4.3. Нормативную потребность ГТП в топливном газе для компримирования

, т у.т., определяют по формуле

, (7.5)
где U - количество КС в ГТП;

- нормативная потребность i-той КС в топливном газе, т у.т.
8. Расчет нормативной потребности КЦ, КС, ЛПУМГ и ГТП
в природном газе на прочие технологические нужды
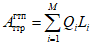
8.1. Нормативную потребность КЦ в природном газе на прочие технологические нужды

, тыс. м3, определяют по формуле

, (8.1)
где

- норма расхода природного газа на прочие технологические нужды КЦ, которую определяют по
формуле (6.10), м3/кВт x ч;

- общая установленная (суммарная) номинальная мощность ГПА в КЦ, кВт, определяется в зависимости от типа (типов) ГПА, установленного в КЦ, по
таблице В.1 Приложения В;

- количество установленных ГПА;

- продолжительность планируемого периода, ч.
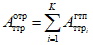
8.2. Нормативную потребность КС в природном газе на прочие технологические нужды

, тыс. м3, определяют по формуле

, (8.2)
где

- нормативная потребность i-го КЦ в природном газе на прочие технологические нужды, тыс. м3.
8.3. Нормативную потребность в топливном газе для котельной

, тыс. м3, рассчитывают по формуле
[6]

, (8.3)
где

- номинальная теплопроизводительность котла i-го типа, Гкал/ч;

- продолжительность работы агрегата i-го типа, ч;

- КПД котла i-го типа;

- фактическая низшая теплота сгорания природного газа, ккал/м3;
v - количество типов котлов.
8.4. Нормативную потребность ЛПУМГ в газе на технологические нужды линейной части

(основные направления расхода представлены в
Приложении А) рассчитывают по "Методике"
[6] с учетом планов текущего и капитального ремонта, графиков пропуска диагностических и очистных поршней, профилактического обслуживания линейной части.
8.5. Нормативную потребность в природном газе на прочие технологические нужды ГТП

, тыс. м3, определяют суммированием потребностей КС, линейной части, котельных, ЭСН и СОГ

, (8.4)
где U - количество КС в ГТП;
M - количество линейных участков в ГТП;
Y - количество котельных в ГТП;
D - количество ЭСН в ГТП;
G - количество СОГ в ГТП.
8.6. Нормативные технологические потери природного газа в КЦ

, тыс. м3, определяют по формуле

, (8.5)
где

- норма технологических потерь природного газа в КЦ,
формула (6.11), м3/кВт x ч;

- принимают аналогично
8.1.
8.7. Нормативные технологические потери природного газа на КС

, тыс. м3, определяют по формуле

, (8.6)
где

- нормативные технологические потери природного газа в i-том КЦ, тыс. м3.
8.8. Нормативные технологические потери природного газа на линейной части ЛПУМГ

рассчитывают по формуле

, (8.7)
где

- индивидуальная норма технологических потерь природного газа на линейной части, м3/млн. м3 x ч (таблица 4);

- запас природного газа в газопроводах, эксплуатируемых в ЛПУМГ, млн. м3;

- продолжительность планируемого периода, ч.
Таблица 4
Индивидуальная норма (норматив) технологических потерь
природного газа на линейной части газопроводов
Диаметр газопровода, мм | 529 | 620 | 720 | 820 | 1020 | 1220 | 1420 |
| 146 | 121 | 103 | 91 | 73 | 62 | 46 |
8.9. Нормативные технологические потери природного газа в ГТП

, тыс. м3, определяют суммированием потерь на КС и линейной части

. (8.8)
8.10. Нормативную потребность в природном газе на
собственные технологические нужды ГТП

, млн. м3, определяют
по выражению

. (8.9)
9. Расчет нормативной потребности электростанций
собственных нужд в топливном газе
9.1. Нормативную потребность в топливном газе для выработки электроэнергии на ЭСН

, т у.т., определяют по формуле
[7]

, (9.1)
где

- отраслевой норматив располагаемой мощности электроагрегатов
(таблица 5), кВт;

- индивидуальная норма расхода природного газа на выработку электроэнергии на ЭСН
(таблица 5), кг у.т./кВт x ч;

- коэффициент, учитывающий влияние атмосферных условий и нормируемый уровень загрузки ГТУ, определяется в зависимости от средней температуры атмосферного воздуха за планируемый период

, °C, по формуле

, (9.2)

- время работы ЭСН в планируемый период, ч.
Таблица 5
Индивидуальные нормы (норматив) расхода природного газа
на выработку электроэнергии электростанциями собственных нужд
Тип электроагрегата | Номинальная электрическая мощность  , кВт | Отраслевой норматив располагаемой мощности  , кВт | |
ГТЭС-1500-2Г | 1500 | 1200 | 0,608 |
ГТУ-2,5П | 2500 | 2000 | 0,585 |
ГТЭС-2,5 | 2500 | 2000 | 0,445 |
ГТЭС-4 | 4000 | 3200 | 0,526 |
ЭГ-6000 | 6000 | 4800 | 0,410 |
БГТЭС-9,5 | 9500 | 7600 | 0,394 |
ГТЭС-12 | 12000 | 9600 | 0,376 |
ЭМ-16-25 | 16000 | 12800 | 0,360 |
ЭМ-20-25 | 20000 | 16000 | 0,410 |
9.2. Нормативную потребность ГТП в природном газе для выработки электроэнергии на ЭСН

, тыс. м3, определяют по формуле

, (9.3)
где D - количество ЭСН в ГТП.
10. Расчет нормативной потребности СОГ в топливном газе
10.1. Нормативную потребность в топливном газе для установок охлаждения газа с газотурбинным приводом

, т у.т. определяют по формуле

, (10.1)
где

- отраслевой норматив располагаемой мощности, кВт;

- индивидуальная норма (норматив) расхода топливного газа на выработку механической энергии на муфте газотурбинного привода (таблица 6), кг у.т./кВт x ч;

- коэффициент влияния атмосферных условий, рассчитывают по
формуле (6.4);

- время работы установок СОГ в планируемый период, ч.
Таблица 6
Индивидуальные нормы (нормативы) расхода топливного газа
газотурбинного привода установок охлаждения газа
Тип газотурбинного привода | Номинальная мощность  , кВт | Отраслевой норматив располагаемой мощности  , кВт | |
НК-14СТ | 6300 | 5670 | 0,423 |
ТНМ-1203 | 5125 | 4613 | 0,533 |
10.2. Нормативную потребность ГТП в природном газе для СОГ

, тыс. м3, определяют по формуле

, (10.2)
где G - количество СОГ в ГТП.
11. Расчет норм расхода природного газа на собственные
технологические нужды газотранспортного предприятия
и подотрасли "Транспорт газа"
11.1. Расчет нормы расхода природного газа на собственные технологические нужды газотранспортного предприятия
Норму расхода природного газа на собственные технологические нужды газотранспортного предприятия на планируемый период

, м3/млн. м3 x км, определяют по формуле

, (11.1)
| | ИС МЕГАНОРМ: примечание. В официальном тексте документа, видимо, допущена опечатка: имеется в виду пункт 8.10, а не формула 8.10. | |
где

- млн. м3, определяют по формуле
(8.10);

- планируемая товаротранспортная работа ГТП, млрд. м3 x км, которую определяют как сумму товаротранспортных работ по участкам газопровода
[8]

, (11.2)

- плановое количество природного газа, транспортируемое по i-му участку, млрд. м3;

- дальность транспортировки по i-му участку, км;
M - количество участков в ГТП.
11.2. Расчет нормы расхода природного газа на собственные технологические нужды подотрасли "Транспорт газа"
Норму расхода природного газа на собственные технологические нужды подотрасли "Транспорт газа"

, м3/млн. м3 x км, на планируемый период определяют по формуле

, (11.3)
где

- нормативная потребность подотрасли "Транспорт газа" в природном газе на собственные технологические нужды на планируемый период, млн. м3 x км;

- товаротранспортная работа подотрасли "Транспорт газа" на планируемый период, млрд. м3 x км;
K - количество ГТП в подотрасли.
(обязательное)
ОСНОВНЫЕ НАПРАВЛЕНИЯ РАСХОДА ПРИРОДНОГО ГАЗА НА СОБСТВЕННЫЕ
ТЕХНОЛОГИЧЕСКИЕ НУЖДЫ МАГИСТРАЛЬНОГО ТРАНСПОРТА ГАЗА
1. Газ на технологические топливные нужды
1.1. Топливный газ ГПА на компримирование.
2. Расход природного газа на прочие технологические нужды
2.1. Расход природного газа на прочие технологические нужды КЦ
2.1.1. Расход природного газа на пуски, остановки и изменение режимов ГПА:
2.1.1.1. на работу турбодетандера;
2.1.1.2. на продувку контура нагнетателя;
2.1.1.3. на стравливание газа из контура нагнетателя;
2.1.1.4. импульсный газ на управление и силовой привод запорной арматуры и устройств КИП и А.
2.1.2. Технологические расходы природного газа на эксплуатацию и техобслуживание аппаратов и коммуникаций КЦ:
2.1.2.1. газ, стравливаемый через свечи газоотделителей системы уплотнения центробежных нагнетателей;
2.1.2.2. газ, расходуемый на продувку пылеуловителей, конденсатосборников, сепараторов, вымораживателей, фильтров;
2.1.2.3. газ, стравливаемый из коммуникаций при плановой остановке.
2.2. Расход природного газа на прочие технологические нужды линейной части магистрального газопровода:
2.2.1. на продувку дрипов, конденсатосборников через дренажные линии;
2.2.2. на очистку загрязненных участков МГ поршнями;
2.2.3. на проведение внутритрубной технической диагностики действующих газопроводов;
2.2.4. на эксплуатацию силовых пневмоприводов кранов;
2.2.5. на ликвидацию аварий и гидратных пробок;
2.2.6. при ремонте и реконструкции труб на участке МГ;
2.2.7. на врезки отводов и перемычек в трубы со стравливанием природного газа;
2.2.8. на заправку метанольниц;
2.2.9. расход природного газа на коммуникациях ГРС:
2.2.9.1. продувка сепараторов и пылеуловителей;
2.2.9.2. заправка одоризационных и метанольных установок;
2.2.9.3. ревизия и замена диафрагм на пункте замера расхода природного газа;
2.2.9.4. обогрев природного газа перед регуляторами давления;
2.2.9.5. на эксплуатацию пневморегуляторов и пневмоустройств, КИП, систем автоматики и телемеханики;
2.2.10. газ, расходуемый установками по подогреву природного газа на КС и ГРС;
2.2.11. газ, расходуемый котельными (КС, ГРС, радиорелейных пунктов).
2.3. Расход природного газа в качестве топлива на ЭСН для выработки электрической энергии.
2.4. Расход природного газа в качестве топлива на СОГ для технологии охлаждения газа.
3. Технологические потери природного газа
3.1. Технологические потери природного газа КЦ
3.1.1. Потери газа из технологических коммуникаций:
3.1.2. из свечей узла подключения;
3.1.3. из установок очистки и охлаждения природного газа;
3.1.4. из контуров нагнетателей;
3.1.5. из систем пускового и импульсного газа;
3.1.6. по фланцевым и штуцерным соединениям, уплотнениям штоков, через предохранительные клапаны и другие утечки по объектам и системам КЦ.
3.2. Технологические потери природного газа на линейной части магистрального газопровода:
3.2.1. из свечей;
3.2.2. из запорной арматуры;
3.2.3. через сквозные повреждения труб;
3.2.4. на ГРС, ГИС.
(информационное)
ПРИНЦИПЫ ОПТИМАЛЬНОСТИ РЕЖИМОВ РАБОТЫ ГАЗОПРОВОДОВ
Результаты расчета нормативного режима должны соответствовать указанным ниже принципам оптимальности режимов работы газопроводов.
1. Принцип максимального выходного давления КС
Этот принцип используется для газопроводов, работающих с загрузкой более 70% от проектной. Все КС, на которых не достигнуты ограничения по максимальной частоте вращения нагнетателей, располагаемой мощности ГПА или температуре на выходе КЦ, должны работать с максимально допустимым (разрешенным) давлением нагнетания.
2. Принцип минимального числа работающих ГПА
Режим КС по производительности, входному и выходному давлениям должен обеспечиваться при такой загрузке ГПА, при которой недоиспользование суммарной располагаемой мощности агрегатов, находящихся в работе, меньше располагаемой мощности единичного ГПА (для полнонапорных агрегатов) или группы последовательно включенных ГПА (для неполнонапорных агрегатов).
3. Принцип оптимальной работы концевых участков
распределительных газопроводов и отводов
Режим работы концевых участков газопроводов и отводов должен выбираться с учетом минимального дросселирования газа на ГРС.
4. Принцип оптимального согласования
гидравлической характеристики линейной части,
газодинамических характеристик нагнетателей
и мощности привода
Оптимальный режим подразумевает такое согласование характеристик КС и линейных участков, которое обеспечивает работу нагнетателей в зоне объемной производительности с высоким политропным КПД.
5. Принцип минимального байпассирования и дросселирования газа
Объемы противопомпажного байпассирования и дросселирования газа не должны превышать минимально необходимых значений, обеспечивающих устойчивый режим работы цехов.
6. Принцип оптимальности режима охлаждения газа в АВО
Оптимальным для снижения энергозатрат является максимальное охлаждение газа в АВО КС с ограничением температуры газа по условиям прочности трубной стали и (или) опасных пучений грунтов.
(информационное)
СПРАВОЧНЫЕ ДАННЫЕ
Таблица В.1
Номинальная мощность и КПД газотурбинного ГПА
Тип ГПА | Номинальная мощность  , кВт | Номинальный КПД |
1 | 2 | 3 |
ГТ-700-5 | 4250 | 0,250 |
ГТК-5 | 4400 | 0,260 |
Таурус-60 | 5100 | 0,320 |
ГТ-6-750 (ГТН-6) | 6000 (6300) | 0,240 |
ГТ-750-6 | 6000 | 0,270 |
ГТ-750-6М | 6000 | 0,300 |
ГПА-Ц-6,3 | 6300 | 0,240 |
ГПА-Ц-6,3А | 6300 | 0,300 |
ГПА-Ц-6,3Б | 6300 | 0,290 |
ГПА-Ц-8Б | 8000 | 0,300 |
ГПА-Ц-6,3С | 6300 | 0,305 |
ГТК-10 | 10000 | 0,290 |
ГТК-10М | 10000 | 0,320 |
ГПУ-10 | 10000 | 0,276 |
ГТК-10И | 10300 | 0,259 |
ГТК-10ИР | 9500 | 0,330 |
ГПА-10 Урал | 10000 | 0,340 |
Коберра 182 | 12900 | 0,275 |
ГПА-12 Урал, ГПА-12Р | 12000 | 0,340 |
ГПА-16 Урал, ГПА-16Р | 16000 | 0,363 |
ГТН-16 | 16000 | 0,290 |
ГТН-16М1 | 16000 | 0,310 |
ГТНР-16 | 16000 | 0,330 |
ГПА-Ц-16 (ГПА-Ц-18) | 16000 (18000) | 0,274 |
ГПА-Ц-18 | 18000 | 0,294 |
ГПА-16МЖ | 16000 | 0,300 |
ГПА-16МГ, ГПА-Ц-16С | 16000 | 0,340 |
ПЖТ-21С, ГПА-Ц-16АЛ | 16000 | 0,355 |
ГПА-16 Волга | 16000 | 0,365 |
ГТН-25 | 27500 | 0,281 |
ГТН-25-1 | 25000 | 0,320 |
ГТК-25И | 23900 | 0,278 |
ГТК-25ИР | 22200 | 0,345 |
ГТНР-25И (В) | 22200 | 0,347 |
ГТНР-25И (С) | 24600 | 0,354 |
ГПА-Ц-25 | 25000 | 0,345 |
ГПА-25 Урал | 25000 | 0,394 |
Таблица В.2
Общеотраслевые нормативные показатели технического состояния
линейной части и оборудования КС
Показатели технического состояния | Единицы измерения | Общеотраслевые нормативы |
1 | 2 | 3 |
Линейная часть |
1. Рабочее давление | МПа | Проектное давление 5,5 - 7,45 - 8,35 |
2. Коэффициент гидравлической эффективности | - | Для линейных участков, оборудованных камерами запуска и приема поршней (КЗП): |
- при фактических коэффициентах гидравлической эффективности E >= 0,95 в расчетах принимаются фактические значения E; |
- при  в расчетах принимается E = 0,95. Для линейных участков, не оборудованных КЗП: |
- при фактических значениях  в расчетах принимаются фактические значения (но не более 0,95); |
- при  в расчетах принимается E = 0,92 |
Компрессорные станции |
1. Расчетная мощность ГТУ | МВт | Определяется по ОНТП 51-1-85 на основе "расчетно-технологических паспортов МГ" |
2. Потери давления в коммуникациях, пылеуловителях и шлейфах на входе КЦ <*> | МПа | При давлении 5,5 МПа - 0,08; 7,45 МПа - 0,12; 8,35 МПа - 0,125 |
3. Потери давления в коммуникациях, АВО и шлейфах на выходе КЦ <*> | МПа | При давлении 5,5 МПа - 0,07; 7,45 МПа - 0,11; 8,35 МПа - 0,12 |
4. Температура газа после АВО | °C | Температуру газа после АВО следует принимать не более чем на 15 °C выше средней температуры окружающего воздуха, но такой, чтобы температура газа на входе следующей КС была положительной. Для участков газопроводов, проложенных в вечномерзлых грунтах, газ охлаждается до температуры, указанной в проекте |
--------------------------------
<*> При фактических потерях давления ниже значений, указанных в
таблице, в расчетах принимаются фактические значения.
Таблица В.3
Значения средних температур наружного (атмосферного) воздуха
┌────────────────────┬──────────────────────────────────────────────────────────────────────────────────────────────────────┐
│Наименование пунктов│ Температура наружного воздуха, °C │
│ ├──────────────────────────────────────────────────────────────────────┬───────────────────────┬───────┤
│ │ Средняя по месяцам │ Средняя по кварталам │Средняя│
│ ├─────┬─────┬─────┬─────┬─────┬─────┬─────┬─────┬─────┬────┬─────┬─────┼─────┬─────┬─────┬─────┼───────┤
│ │ 1 │ 2 │ 3 │ 4 │ 5 │ 6 │ 7 │ 8 │ 9 │ 10 │ 11 │ 12 │ I │ II │ III │ IV │за год │
├────────────────────┼─────┼─────┼─────┼─────┼─────┼─────┼─────┼─────┼─────┼────┼─────┼─────┼─────┼─────┼─────┼─────┼───────┤
│ 1 │ 2 │ 3 │ 4 │ 5 │ 6 │ 7 │ 8 │ 9 │ 10 │ 11 │ 12 │ 13 │ 14 │ 15 │ 16 │ 17 │ 18 │
├────────────────────┴─────┴─────┴─────┴─────┴─────┴─────┴─────┴─────┴─────┴────┴─────┴─────┴─────┴─────┴─────┴─────┴───────┤
│ Российская Федерация │
├────────────────────┬─────┬─────┬─────┬─────┬─────┬─────┬─────┬─────┬─────┬────┬─────┬─────┬─────┬─────┬─────┬─────┬───────┤
│Архангельская обл. │-14,0│-13,0│ -7,4│ 1,4│ 8,3│ 14,3│ 17,2│ 14,6│ 8,4│ 1,4│ -5,5│-11,4│-11,5│ 8,0│ 13,4│ -5,2│ 1,2 │
│г. Котлас │ │ │ │ │ │ │ │ │ │ │ │ │ │ │ │ │ │
├────────────────────┼─────┼─────┼─────┼─────┼─────┼─────┼─────┼─────┼─────┼────┼─────┼─────┼─────┼─────┼─────┼─────┼───────┤
│Белгородская обл. │ -8,1│ -8,0│ -2,5│ 6,8│ 14,8│ 18,5│ 20,5│ 19,2│ 13,3│ 6,4│ -0,2│ -5,5│ -6,2│ 13,4│ 17,7│ 0,2│ 6,3 │
│г. Новый Оскол │ │ │ │ │ │ │ │ │ │ │ │ │ │ │ │ │ │
├────────────────────┼─────┼─────┼─────┼─────┼─────┼─────┼─────┼─────┼─────┼────┼─────┼─────┼─────┼─────┼─────┼─────┼───────┤
│Владимирская обл. │-11,0│-10,4│ -4,9│ 4,2│ 12,0│ 16,1│ 18,4│ 16,5│ 10,6│ 3,9│ -2,8│ -8,4│ -8,8│ 10,8│ 15,2│ -2,4│ 3,7 │
│г. Гусь-Хрустальный │ │ │ │ │ │ │ │ │ │ │ │ │ │ │ │ │ │
├────────────────────┼─────┼─────┼─────┼─────┼─────┼─────┼─────┼─────┼─────┼────┼─────┼─────┼─────┼─────┼─────┼─────┼───────┤
│Волгоградская обл. │-11,0│-10,2│ -4,5│ 7,2│ 16,2│ 21,0│ 23,8│ 21,8│ 15,1│ 6,8│ -1,2│ -7,5│ -8,6│ 14,8│ 20,2│ -0,6│ 6,5 │
│г. Камышин │ │ │ │ │ │ │ │ │ │ │ │ │ │ │ │ │ │
├────────────────────┼─────┼─────┼─────┼─────┼─────┼─────┼─────┼─────┼─────┼────┼─────┼─────┼─────┼─────┼─────┼─────┼───────┤
│Вологодская обл. │-11,8│-11,4│ -6,4│ 2,1│ 9,5│ 14,4│ 16,9│ 14,7│ 9,0│ 2,5│ -3,6│ -9,2│ -9,9│ 8,7│ 13,5│ -3,4│ 2,2 │
│г. Вологда │ │ │ │ │ │ │ │ │ │ │ │ │ │ │ │ │ │
├────────────────────┼─────┼─────┼─────┼─────┼─────┼─────┼─────┼─────┼─────┼────┼─────┼─────┼─────┼─────┼─────┼─────┼───────┤
│Воронежская обл. │ -9,3│ -9,2│ -4,1│ 15,9│ 14,0│ 18,0│ 19,9│ 18,7│ 12,8│ 5,6│ -1,1│ -6,7│ -7,5│ 12,6│ 17,1│ -0,7│ 5,4 │
│г. Воронеж │ │ │ │ │ │ │ │ │ │ │ │ │ │ │ │ │ │
├────────────────────┼─────┼─────┼─────┼─────┼─────┼─────┼─────┼─────┼─────┼────┼─────┼─────┼─────┼─────┼─────┼─────┼───────┤
│Екатеринбург. обл. │ │ │ │ │ │ │ │ │ │ │ │ │ │ │ │ │ │
│г. Ивдель │-17,6│-16,6│ -9,5│ 0,8│ 7,5│ 13,8│ 16,5│ 13,8│ 7,4│-0,5│ -8,9│-16,8│-14,9│ 7,4│ 12,5│ -8,7│ 1,0 │
│г. Нижний Тагил │-16,1│-14,1│ -8,3│ 1,8│ 8,7│ 14,2│ 16,0│ 13,8│ 8,2│ 0,5│ -7,6│-14,8│-12,8│ 8,2│ 12,7│ -7,0│ 0,3 │
│г. Екатеринбург │-15,3│-13,4│ -7,3│ 2,6│ 10,1│ 15,6│ 17,4│ 15,1│ 9,2│ 1,3│ -7,1│-13,3│-12,0│ 9,4│ 13,9│ -6,4│ 1,2 │
│г. Серов │-17,6│-15,4│ -8,5│ 2,1│ 9,1│ 15,2│ 17,3│ 14,6│ 8,5│ 0,5│ -8,6│-15,8│-13,8│ 8,8│ 13,5│ -8,0│ 0,1 │
│г. Сыктывкар │-15,1│-13,9│ -8,0│ 0,9│ 7,6│ 14,1│ 16,6│ 14,0│ 7,8│ 0,4│ -6,9│-13,1│-12,3│ 7,5│ 12,8│ -6,5│ 0,4 │
│г. Ухта │-17,3│-15,5│-10,2│ -0,7│ 5,2│ 12,3│ 15,3│ 12,7│ 6,8│-1,0│ -8,6│-14,9│-14,3│ 5,5│ 11,6│ -8,2│ -1,3 │
├────────────────────┼─────┼─────┼─────┼─────┼─────┼─────┼─────┼─────┼─────┼────┼─────┼─────┼─────┼─────┼─────┼─────┼───────┤
│Краснодарский край │ -1,7│ -0,6│ 4,2│ 10,7│ 16,1│ 19,3│ 22,1│ 21,8│ 17,2│11,5│ 5,3│ 0,5│ 0,6│ 15,4│ 20,4│ 5,8│ 10,5 │
│г. Майкоп │ │ │ │ │ │ │ │ │ │ │ │ │ │ │ │ │ │
├────────────────────┼─────┼─────┼─────┼─────┼─────┼─────┼─────┼─────┼─────┼────┼─────┼─────┼─────┼─────┼─────┼─────┼───────┤
│Ленинградская обл. │ -9,1│ -9,3│ -4,8│ 2,8│ 9,4│ 14,2│ 16,9│ 14,9│ 9,6│ 3,8│ -1,4│ -6,3│ -7,7│ 8,8│ 13,8│ -1,3│ 3,4 │
│г. Волхов │ │ │ │ │ │ │ │ │ │ │ │ │ │ │ │ │ │
├────────────────────┼─────┼─────┼─────┼─────┼─────┼─────┼─────┼─────┼─────┼────┼─────┼─────┼─────┼─────┼─────┼─────┼───────┤
│Липецкая обл. │ -9,4│ -9,3│ -4,2│ 5,5│ 13,8│ 18,1│ 20,0│ 18,5│ 12,4│ 5,4│ -1,0│ -6,7│ -7,6│ 12,5│ 17,0│ -0,8│ 5,3 │
│г. Елец │ │ │ │ │ │ │ │ │ │ │ │ │ │ │ │ │ │
├────────────────────┼─────┼─────┼─────┼─────┼─────┼─────┼─────┼─────┼─────┼────┼─────┼─────┼─────┼─────┼─────┼─────┼───────┤
│Республика Марий Эл │-12,4│-11,6│ -5,6│ 3,8│ 12,0│ 16,8│ 18,9│ 16,8│ 11,0│ 3,4│ -4,0│ -9,8│ -9,9│ 10,9│ 15,6│ -3,5│ 3,3 │
│г. Козьмодемьянск │ │ │ │ │ │ │ │ │ │ │ │ │ │ │ │ │ │
├────────────────────┼─────┼─────┼─────┼─────┼─────┼─────┼─────┼─────┼─────┼────┼─────┼─────┼─────┼─────┼─────┼─────┼───────┤
│г. Москва │ -9,4│ -8,5│ -3,6│ 4,9│ 12,9│ 17,0│ 19,3│ 17,4│ 11,7│ 5,0│ -1,6│ -6,9│ -7,2│ 11,6│ 16,1│ -1,2│ 4,8 │
├────────────────────┼─────┼─────┼─────┼─────┼─────┼─────┼─────┼─────┼─────┼────┼─────┼─────┼─────┼─────┼─────┼─────┼───────┤
│Московская обл. │-10,2│ -9,6│ -4,8│ 4,1│ 11,9│ 15,9│ 18,1│ 16,3│ 10,7│ 4,4│ -2,0│ -7,7│ -8,2│ 10,6│ 15,0│ -1,8│ 3,9 │
│г. Серпухов │ │ │ │ │ │ │ │ │ │ │ │ │ │ │ │ │ │
├────────────────────┼─────┼─────┼─────┼─────┼─────┼─────┼─────┼─────┼─────┼────┼─────┼─────┼─────┼─────┼─────┼─────┼───────┤
│Новгородская обл. │ -8,6│ -8,4│ -4,5│ 3,3│ 10,4│ 15,0│ 17,3│ 15,2│ 10,1│ 4,2│ -1,1│ -5,9│ -7,2│ 9,6│ 14,2│ -0,9│ 3,9 │
│г. Новгород │ │ │ │ │ │ │ │ │ │ │ │ │ │ │ │ │ │
├────────────────────┼─────┼─────┼─────┼─────┼─────┼─────┼─────┼─────┼─────┼────┼─────┼─────┼─────┼─────┼─────┼─────┼───────┤
│Нижегородская обл. │-12,0│-11,6│ -5,6│ 3,4│ 11,2│ 16,3│ 18,7│ 16,3│ 10,7│ 3,2│ -3,6│ -9,2│ -9,7│ 10,3│ 15,0│ -3,2│ 3,1 │
│г. Н. Новгород │ │ │ │ │ │ │ │ │ │ │ │ │ │ │ │ │ │
├────────────────────┼─────┼─────┼─────┼─────┼─────┼─────┼─────┼─────┼─────┼────┼─────┼─────┼─────┼─────┼─────┼─────┼───────┤
│Оренбургская обл. │-14,4│-14,1│ -7,8│ 4,6│ 13,9│ 18,9│ 21,0│ 19,0│ 12,2│ 3,9│ -4,4│-11,0│-12,1│ 12,5│ 17,4│ -3,8│ 3,5 │
│г. Бузулук │ │ │ │ │ │ │ │ │ │ │ │ │ │ │ │ │ │
├────────────────────┼─────┼─────┼─────┼─────┼─────┼─────┼─────┼─────┼─────┼────┼─────┼─────┼─────┼─────┼─────┼─────┼───────┤
│г. Оренбург │-14,8│-14,2│ -7,7│ 4,7│ 14,7│ 19,8│ 21,9│ 20,0│ 13,3│ 4,6│ -4,4│-11,5│-12,2│ 13,1│ 18,4│ -3,8│ 3,9 │
├────────────────────┼─────┼─────┼─────┼─────┼─────┼─────┼─────┼─────┼─────┼────┼─────┼─────┼─────┼─────┼─────┼─────┼───────┤
│Пензенская обл. │-12,1│-11,6│ -5,8│ 4,5│ 13,4│ 17,6│ 19,8│ 18,1│ 11,8│ 4,3│ -3,4│ -9,3│ -9,8│ 11,8│ 16,6│ -2,8│ 3,9 │
│г. Пенза │ │ │ │ │ │ │ │ │ │ │ │ │ │ │ │ │ │
├────────────────────┼─────┼─────┼─────┼─────┼─────┼─────┼─────┼─────┼─────┼────┼─────┼─────┼─────┼─────┼─────┼─────┼───────┤
│Пермская обл. │-15,1│-13,4│ -7,2│ 2,6│ 10,2│ 16,0│ 18,1│ 15,6│ 9,4│ 1,6│ -6,6│-12,9│-11,9│ 9,6│ 14,4│ -6,0│ 1,5 │
│г. Пермь │ │ │ │ │ │ │ │ │ │ │ │ │ │ │ │ │ │
├────────────────────┼─────┼─────┼─────┼─────┼─────┼─────┼─────┼─────┼─────┼────┼─────┼─────┼─────┼─────┼─────┼─────┼───────┤
│Ростовская обл. │ -5,7│ -5,1│ 0,2│ 9,0│ 16,4│ 20,0│ 22,9│ 22,1│ 16,2│ 9,2│ 2,2│ -3,1│ -3,5│ 15,1│ 20,4│ 2,8│ 8,7 │
│г. Ростов │ │ │ │ │ │ │ │ │ │ │ │ │ │ │ │ │ │
├────────────────────┼─────┼─────┼─────┼─────┼─────┼─────┼─────┼─────┼─────┼────┼─────┼─────┼─────┼─────┼─────┼─────┼───────┤
│Саратовская обл. │-11,9│-11,3│ -5,2│ 5,8│ 15,1│ 20,0│ 22,1│ 20,6│ 14,1│ 5,7│ -2,4│ -8,7│ -9,5│ 13,6│ 18,9│ -1,8│ 5,3 │
│г. Саратов │ │ │ │ │ │ │ │ │ │ │ │ │ │ │ │ │ │
├────────────────────┼─────┼─────┼─────┼─────┼─────┼─────┼─────┼─────┼─────┼────┼─────┼─────┼─────┼─────┼─────┼─────┼───────┤
│Самарская обл. │-13,8│-13,0│ -6,8│ 4,6│ 14,0│ 18,7│ 20,7│ 19,0│ 12,4│ 4,2│ -4,1│-10,7│-11,2│ 12,4│ 17,4│ -3,5│ 3,8 │
│г. Самара │ │ │ │ │ │ │ │ │ │ │ │ │ │ │ │ │ │
├────────────────────┼─────┼─────┼─────┼─────┼─────┼─────┼─────┼─────┼─────┼────┼─────┼─────┼─────┼─────┼─────┼─────┼───────┤
│г. С.-Петербург │ -7,7│ -7,9│ -4,2│ 3,0│ 9,6│ 14,8│ 17,8│ 16,0│ 10,8│ 4,8│ -0,5│ -5,1│ -6,6│ 9,1│ 14,9│ -0,3│ 4,3 │
├────────────────────┼─────┼─────┼─────┼─────┼─────┼─────┼─────┼─────┼─────┼────┼─────┼─────┼─────┼─────┼─────┼─────┼───────┤
│Республика │ -5,0│ -3,9│ 1,3│ 8,4│ 13,8│ 17,4│ 19,7│ 19,4│ 14,6│ 9,0│ 2,2│ -2,4│ -2,5│ 13,2│ 17,9│ 2,9│ 7,9 │
│Северная Осетия │ │ │ │ │ │ │ │ │ │ │ │ │ │ │ │ │ │
│г. Владикавказ │ │ │ │ │ │ │ │ │ │ │ │ │ │ │ │ │ │
├────────────────────┼─────┼─────┼─────┼─────┼─────┼─────┼─────┼─────┼─────┼────┼─────┼─────┼─────┼─────┼─────┼─────┼───────┤
│Смоленская обл. │ -8,6│ -8,1│ -3,3│ 4,4│ 12,1│ 15,6│ 17,6│ 16,0│ 10,8│ 4,6│ -1,1│ -6,1│ -6,8│ 10,7│ 14,8│ -0,9│ 4,4 │
│г. Смоленск │ │ │ │ │ │ │ │ │ │ │ │ │ │ │ │ │ │
├────────────────────┼─────┼─────┼─────┼─────┼─────┼─────┼─────┼─────┼─────┼────┼─────┼─────┼─────┼─────┼─────┼─────┼───────┤
│Ставропольский край │ -3,7│ -3,0│ 1,6│ 8,6│ 15,2│ 19,0│ 21,9│ 21,5│ 16,0│10,0│ 3,4│ -1,1│ -1,7│ 14,3│ 19,8│ 4,1│ 9,1 │
│г. Ставрополь │ │ │ │ │ │ │ │ │ │ │ │ │ │ │ │ │ │
├────────────────────┼─────┼─────┼─────┼─────┼─────┼─────┼─────┼─────┼─────┼────┼─────┼─────┼─────┼─────┼─────┼─────┼───────┤
│Республика Татарстан│-13,5│-12,9│ -7,0│ 3,3│ 12,1│ 16,9│ 19,0│ 17,1│ 10,7│ 3,2│ -4,7│-11,0│-11,1│ 10,8│ 15,6│ -4,2│ 2,8 │
│г. Казань │ │ │ │ │ │ │ │ │ │ │ │ │ │ │ │ │ │
├────────────────────┼─────┼─────┼─────┼─────┼─────┼─────┼─────┼─────┼─────┼────┼─────┼─────┼─────┼─────┼─────┼─────┼───────┤
│Тверская обл. │ -9,8│ -9,4│ -5,2│ 3,3│ 11,0│ 14,8│ 16,9│ 15,2│ 9,9│ 3,9│ -2,2│ -7,3│ -8,1│ 9,7│ 14,0│ -1,9│ 3,4 │
│г. Ржев │ │ │ │ │ │ │ │ │ │ │ │ │ │ │ │ │ │
├────────────────────┼─────┼─────┼─────┼─────┼─────┼─────┼─────┼─────┼─────┼────┼─────┼─────┼─────┼─────┼─────┼─────┼───────┤
│Тульская обл. │-10,1│ -9,6│ -4,8│ 4,4│ 12,4│ 16,4│ 18,4│ 16,6│ 11,1│ 4,7│ -1,8│ -7,4│ -8,2│ 11,1│ 15,4│ -1,5│ 4,2 │
│г. Тула │ │ │ │ │ │ │ │ │ │ │ │ │ │ │ │ │ │
├────────────────────┼─────┼─────┼─────┼─────┼─────┼─────┼─────┼─────┼─────┼────┼─────┼─────┼─────┼─────┼─────┼─────┼───────┤
│Тюменская обл. │ │ │ │ │ │ │ │ │ │ │ │ │ │ │ │ │ │
│с. Демьянское │-19,2│-16,6│ -8,8│ 0,0│ 7,4│ 14,7│ 17,4│ 14,8│ 8,9│ 0,0│-10,4│-17,4│-15,2│ 7,4│ 13,7│ -9,3│ -0,8 │
│г. Надым │-23,6│-22,8│-18,3│ -9,0│ -1,5│ 8,6│ 14,7│ 11,4│ 5,5│-4,5│-17,2│-22,8│-21,6│ -0,6│ 10,5│-14,8│ -6,6 │
│пос. Сосьвинская │-22,4│-19,2│-12,3│ -2,4│ 4,3│ 12,1│ 15,8│ 13,0│ 6,7│-2,3│-13,5│-20,5│-18,0│ 4,7│ 11,8│-12,1│ -3,4 │
├────────────────────┼─────┼─────┼─────┼─────┼─────┼─────┼─────┼─────┼─────┼────┼─────┼─────┼─────┼─────┼─────┼─────┼───────┤
│г. Сургут │-22,0│-19,6│-13,3│ -3,5│ 4,1│ 13,0│ 16,9│ 14,0│ 7,8│-1,4│-13,2│-20,3│-18,3│ 4,5│ 12,9│-11,6│ -3,1 │
│г. Тарко-Сале │-25,0│-23,4│-18,4│ -9,0│ -1,2│ 9,3│ 15,4│ 12,3│ 5,9│-4,7│-17,7│-23,9│-22,3│ -0,3│ 11,2│-15,4│ -6,7 │
│г. Тобольск │-18,5│-16,1│ -9,2│ 1,3│ 9,1│ 15,8│ 18,0│ 15,4│ 9,5│ 0,8│ -9,3│-16,4│-14,6│ 8,7│ 14,3│ -8,3│ 0,0 │
│пос. Ярково │-18,5│-16,8│ -9,4│ 1,8│ 10,5│ 16,3│ 18,0│ 15,4│ 9,9│ 1,2│ -8,7│-15,8│-14,9│ 9,4│ 14,4│ -7,7│ 0,3 │
├────────────────────┼─────┼─────┼─────┼─────┼─────┼─────┼─────┼─────┼─────┼────┼─────┼─────┼─────┼─────┼─────┼─────┼───────┤
│Респ-ка Удмуртия │-14,2│-13,2│ -7,2│ 2,8│ 11,0│ 16,4│ 18,3│ 16,2│ 10,0│ 2,4│ -5,6│-11,9│-11,5│ 10,1│ 14,8│ -5,0│ 2,1 │
│г. Можга │ │ │ │ │ │ │ │ │ │ │ │ │ │ │ │ │ │
├────────────────────┼─────┼─────┼─────┼─────┼─────┼─────┼─────┼─────┼─────┼────┼─────┼─────┼─────┼─────┼─────┼─────┼───────┤
│Челябинская обл. │ │ │ │ │ │ │ │ │ │ │ │ │ │ │ │ │ │
│г. Магнитогорск │-16,9│-15,7│ -9,1│ 2,6│ 11,6│ 16,6│ 18,3│ 16,1│ 10,2│ 1,9│ -7,1│-14,0│-13,9│ 10,3│ 14,9│ -6,4│ 1,2 │
│г. Челябинск │-15,5│-14,3│ -7,9│ 3,1│ 11,9│ 17,3│ 18,8│ 16,8│ 10,8│ 2,4│ -6,4│-13,0│-12,6│ 10,8│ 15,5│ -5,7│ 2,0 │
├────────────────────┴─────┴─────┴─────┴─────┴─────┴─────┴─────┴─────┴─────┴────┴─────┴─────┴─────┴─────┴─────┴─────┴───────┤
│ Республика Беларусь │
├────────────────────┬─────┬─────┬─────┬─────┬─────┬─────┬─────┬─────┬─────┬────┬─────┬─────┬─────┬─────┬─────┬─────┬───────┤
│г. Брест │ -4,4│ -3,6│ 0,6│ 7,3│ 14,2│ 17,0│ 18,8│ 17,6│ 13,4│ 7,7│ 2,4│ -2,2│ -2,5│ 12,8│ 16,6│ 2,6│ -7,4 │
│г. Орша │ -7,8│ -7,4│ -2,9│ 4,9│ 12,6│ 16,1│ 18,0│ 16,4│ 11,4│ 5,2│ -0,4│ -5,2│ -6,0│ 11,2│ 15,3│ -0,1│ 5,1 │
│г. Минск │ -6,9│ -6,4│ -2,2│ 5,3│ 12,6│ 16,0│ 18,8│ 16,2│ 11,6│ 5,6│ 0,0│ -4,5│ -5,2│ 11,3│ 15,2│ 0,4│ 5,4 │
└────────────────────┴─────┴─────┴─────┴─────┴─────┴─────┴─────┴─────┴─────┴────┴─────┴─────┴─────┴─────┴─────┴─────┴───────┘
(информационное)
ПРИМЕР ОПРЕДЕЛЕНИЯ НОРМ РАСХОДА И НОРМАТИВНЫХ ПОКАЗАТЕЛЕЙ
РАСХОДА ГАЗА НА СОБСТВЕННЫЕ ТЕХНОЛОГИЧЕСКИЕ НУЖДЫ КЦ
Таблица Г.1
Исходные данные для расчета
Параметры | Обозначения | Ед. изм. | Значения параметров |
Наименование и местоположение КС | | | Синдор (респ. Коми) |
Тип ГПА | | | ГТК-10 |
Тип нагнетателя | | | 370-18-1 |
Количество установленных ГПА | | ед. | 8 |
Количество и схема включения работающих ГПА | | ед. | 4(2 x 2) |
Количество работающих ГПА с утилизаторами выхлопных газов | | ед. | 1 |
Номинальная мощность ГПА | | кВт | 10000 |
Планируемый период | - | квартал | I кв. |
Продолжительность планируемого периода | | ч | 2160 |
Объем газа, перекачиваемого за планируемый период | Q | млн. м3 | 6225 |
Давление газа на входе КЦ (абс.) | | МПа | 5,668 |
Давление газа на выходе КЦ (абс.) | | МПа | 7,453 |
Температура газа на входе КЦ | | К | 275,5 |
Плотность природного газа | | кг/м3 | 0,685 |
Низшая теплота сгорания топливного газа | | ккал/м3 | 8155 |
Таблица Г.2
Пример расчета нормативных показателей расхода газа
на собственные технологические нужды КЦ
Параметры | Обозначения | Ед. изм. | Формула, источник получения | Значения параметров |
1 | 2 | 3 | 4 | 5 |
Относительная плотность газа по воздуху | | - | | 0,569 |
Средняя температура атмосферного воздуха в планируемый период | | °C | Климат. справочник | -14,3 |
Индивидуальная норма расхода топливного газа | | | | 0,656 |
Коэффициент влияния температуры атмосферного воздуха | | - | | 0,997 |
Коэффициент влияния котлов- утилизаторов | | - | | 1,006 |
Норма расхода топливного газа на компримирование | | | | 0,658 |
Коэффициент сжимаемости газа при давлении и температуре на входе в КЦ | | - | | 0,870 |
Степень повышения давления в КЦ | | - | | 1,315 |
Политропная работа сжатия КЦ за планируемый период | | | | 40,9 |
Нормативная потребность КЦ в топливном газе для компримирования | | тыс. т у.т. | | 26,91 |
| млн. м3 | | 23,09 |
Индивидуальная норма расхода газа на прочие технологические нужды КЦ | | | | 0,0015 |
Коэффициент влияния давления газа | | - | | 1,36 |
Норма расхода газа на прочие технологические нужды КЦ | | | | 0,0020 |
Установленная мощность ГПА в КЦ | | кВт | | 80000 |
Нормативная потребность в газе на прочие технологические нужды КЦ | | тыс. м3 | | 345,6 |
Индивидуальная норма технологических потерь газа в КЦ | | | | 0,0035 |
Норма технологических потерь газа в КЦ | | | | 0,0048 |
Нормативные технологические потери газа в КЦ | | тыс. м3 | | 829,4 |
(информационное)
БИБЛИОГРАФИЯ
1. Щуровский В.А., Синицын Ю.Н., Клубничкин А.К. Анализ состояния и перспектив сокращения затрат природного газа при эксплуатации газотурбинных компрессорных цехов. Обзорная информация. Транспорт и хранение газа. М.: ВНИИЭГАЗпром, 1982
2. Методические указания по расчету норм расхода природного газа на собственные нужды газотурбинных цехов компрессорных станций магистральных газопроводов. М.: ВНИИГАЗ, 1981
3. Щуровский В.А., Зайцев Ю.А. Газотурбинные газоперекачивающие агрегаты. М.: Недра, 1994
4. Общесоюзные нормы технологического проектирования. Магистральные газопроводы.
ОНТП 51-1-85. М.: ВНИИГАЗ, 1985
5. Синицын С.Н., Сухарев М.Г., Леонтьев Е.В. Расчет режимов работы компрессорных станций и магистральных газопроводов на ЭВМ//Газовая промышленность. 1966. N 12
6. Методика определения расхода природного газа на собственные нужды при эксплуатации приграничных участков МГ, газопроводов-отводов и ГРС между приграничными ГИС и границами Россия - Украина, Беларусь - Украина. УкрНИИгаз - ВНИИГАЗ, 1998
7. Отраслевая методика расчета нормы расхода топлива на выработку 1000 кВт x ч на электростанциях собственных нужд, резервных и аварийных источников объектов газовой промышленности. М.: ВНИИГАЗ, 1983
8. Методические указания по определению объема транспортной работы магистральных газопроводов. МГП, 1977.