между проводом и землей в середине пролета, определяется по формуле
;
; ВЛ 220 - 330 кВ
;
между проводом и пересекаемым объектом, расположенным в любой точке пролета, определяется по формуле

;
между проводом и землей в середине пролета, определяется по формуле
между проводом и пересекаемым объектом, расположенным в любой точке пролета, определяется по формуле

, приведены на рисунке. Пользуясь этими зависимостями, можно оценить допустимую температуру нагрева провода по условию сохранения допустимого расстояния между проводом и землей. Например, если в пролете длиной 300 м смонтирован провод с соотношением сечений алюминия к стали, равным 6, и
при температуре провода 40 °C, то допустимая температура нагрева провода лежит в диапазоне 58 - 62 °C (в среднем она равна 60 °C). Для более точного определения допустимой температуры провода в конкретном пролете, а также во всех пролетах, где имеются пересечения, необходимо измерить: длину пролета, стрелу провеса в середине пролета или в месте пересечения, соответственно, расстояние между проводом и землей или между проводом и пересекаемым объектом, расстояние от ближайшей опоры до пересекаемого объекта, токовую нагрузку в момент измерений, температуру воздуха, скорость ветра и указать марку провода.

, равным 6 и 8:
; для ВЛ 220-330
.
между проводом и землей или
между проводом и пересекаемым объектом, но не более 90 °C.
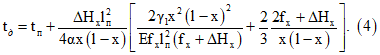
определяется из уравнения теплового баланса провода


при 

).
- количество поглощенного проводом тепла за счет солнечной радиации, Вт/м;Номер пролета | Длина пролета, м | Марка провода | Стрела провеса на пересечении, м | Пересекаемый объект | Расстояние от провода до пересекаемого объекта, м | Нормированный габаритный размер, м | Расстояние от опоры до пересекаемого объекта, м |
1 - 2 | 250 | АС 150/24 | 5,4 | Железная дорога | 8,0 | 7,5 | 80 |
2 - 3 | 161 | АС 150/24 | 3,0 | То же | 9,0 | 7,5 | 62 |
5 - 6 | 200 | АС 150/24 | 4,1 | Автомобильная дорога | 10,5 | 7,0 | Середина пролета |
9 - 10 | 172 | М 95 | 4,2 | Линия связи | 4,5 | 3,0 | То же |
18 - 19 | 144 | М 95 | 3,0 | ВЛ 6 кВ | 3,5 | 3,0 | " |
24 - 25 | 202 | АС 150/24 | 6,0 | Линия связи | 4,7 | 4,0 | " |
и более), следовательно, в этих пролетах нет ограничений допустимой температуры провода по указанному условию. Проверке подлежат пролеты 1 - 2, 18 - 19 и 24 - 25.Номер пролета | Длина пролета, м | Марка провода | Стрела провеса на пересечении, м | Пересекаемый объект | Измеренное расстояние между проводом и пересекаемым объектом, м | Расстояние от опоры до пересекаемого объекта, м | Токовая нагрузка при измерениях, А | Температура воздуха, °C | Скорость ветра, м/с | |
1 - 2 | 250 | АС 150/24 | 5,3 | Железная дорога | 7,9 | 1,4 | 80 | 380 | 22 | 5 |
18 - 19 | 144 | М-95 | 3,1 | ВЛ 6 кВ | 3,5 | 1,5 | Середина пролета | 380 | 22 | 5 |
24 - 25 | 202 | АС 150/24 | 5,75 | Линия связи | 4,2 | 1,2 | То же | 380 | 22 | 5 |
.






.






;
; 

;
; 


и температуре воздуха 0 °C.
,
,
, 





,
,
, 







на 35%, а при
на 78%.Номер пролета | Длина пролета, м | Стрела провеса, м | Пересекаемый объект | Расстояние от провода до пересекаемого объекта, м | Нормированный габаритный размер, м | Расстояние от опоры до пересекаемого объекта, м |
2 - 3 | 355 | 9,2 | Дорога | 10 | 8,5 | 128 |
5 - 6 | 252 | 1,03 | ВЛ 110 кВ | 6,1 | 5,0 | 28 |
7 - 8 | 400 | 9,8 | ВЛ 10 кВ | 7,5 | 6,0 | 68 |
17 - 18 | 275 | 2,6 | ВЛ 10 кВ | 5,2 | 5,0 | 37 |
21 - 22 | 400 | 5,8 | ВЛ 10 кВ | 11 | 5,0 | 20 |
26 - 27 | 425 | 10,0 | Земля | 10,1 | 7,5 | 212 |
36 - 37 | 459 | 9,5 | Дорога | 12 | 8,5 | 128 |
Номер пролета | Длина приведенного пролета, м | Длина пролета, м | Марка провода | Стрела провеса на пересечении, м | Пересекаемый объект | Измеренное расстояние от провода до пересекаемого объекта, м | Расстояние от опоры до пересекаемого объекта, м | Токовая нагрузка при измерениях, А | Температура воздуха, °C | Скорость ветра, м/с | |
2 - 3 | 334 | 355 | АС 400/64 | 9,42 | Дорога | 9,89 | 2,30 | 128 | 790 | 0 | 3 |
17 - 18 | 320 | 275 | -"- | 2,46 | ВЛ 10 кВ | 5,00 | 1,00 | 37 | 790 | 0 | 3 |
26 - 27 | 378 | 425 | -"- | 10,50 | Земля | 9,55 | 3,05 | Середина пролета | 790 | 0 | 3 |
36 - 37 | 408 | 459 | -"- | 10,06 | Дорога | 11,76 | 4,26 | 128 | 790 | 0 | 3 |
;
; 




Марка провода | Токовая нагрузка, А, при скорости ветра, м/с | ||||||||||
0 | 2 | 4 | |||||||||
Температура воздуха, °C | |||||||||||
-20 | 0 | 20 | 40 | -20 | 0 | 20 | 40 | -20 | 0 | ||
АС 25/4,2 | 210 | 185 | 160 | 130 | 230 | 210 | 190 | 160 | 270 | 250 | |
АС 35/6,2 | 265 | 245 | 210 | 170 | 300 | 270 | 245 | 210 | 350 | 320 | |
АС 50/8,0 | 325 | 290 | 255 | 210 | 360 | 325 | 290 | 245 | 420 | 380 | |
АС 70/11 | 420 | 375 | 225 | 265 | 445 | 405 | 360 | 310 | 520 | 460 | |
АС 95/16 | 525 | 475 | 405 | 335 | 555 | 505 | 450 | 380 | 640 | 585 | |
АС 120/19 | 620 | 550 | 475 | 390 | 635 | 585 | 515 | 440 | 735 | 670 | |
АС 150/19 | 720 | 645 | 550 | 450 | 730 | 665 | 595 | 505 | 850 | 770 | |
АС 150/24 | 725 | 650 | 560 | 455 | 740 | 670 | 600 | 505 | 855 | 775 | |
АС 185/24 | 850 | 755 | 650 | 540 | 860 | 770 | 690 | 590 | 990 | 900 | |
АС 185/29 | 835 | 750 | 645 | 530 | 840 | 765 | 680 | 580 | 970 | 880 | |
АС 205/27 | 900 | 810 | 700 | 575 | 910 | 830 | 735 | 625 | 1050 | 950 | |
АС 240/32 | 1020 | 910 | 830 | 645 | 1020 | 920 | 830 | 700 | 1185 | 1165 | |
АС 240/39 | 1005 | 900 | 775 | 640 | 1010 | 910 | 810 | 690 | 1150 | 1080 | |
АС 300/39 | 1195 | 1060 | 920 | 750 | 1190 | 1065 | 940 | 810 | 1350 | 1225 | |
АС 300/48 | 1175 | 1055 | 910 | 745 | 1175 | 1055 | 940 | 800 | 1330 | 1215 | |
АС 320/30 | 1260 | 1125 | 975 | 860 | 1260 | 1125 | 990 | 860 | 1425 | 1350 | |
АС 330/43 | 1265 | 1140 | 975 | 800 | 1255 | 1140 | 990 | 855 | 1420 | 1305 | |
АС 400/64 | 1425 | 1275 | 1095 | 905 | 1425 | 1275 | 1125 | 940 | 1590 | 1400 | |
АС 450/56 | 1525 | 1360 | 1180 | 970 | 1525 | 1360 | 1195 | 1010 | 1690 | 1640 | |
АС 500/27 | 1625 | 1450 | 1255 | 1030 | 1625 | 1450 | 1270 | 1085 | 1800 | 1660 | |
АС 500/64 | 1670 | 1485 | 1285 | 1060 | 1670 | 1485 | 1300 | 1110 | 1835 | 1855 | |
АС 600/72 | 1830 | 1665 | 1440 | 1185 | 1860 | 1665 | 1445 | 1235 | 2040 | 470 | |
М 50 | 415 | 370 | 315 | 260 | 450 | 405 | 360 | 310 | 520 | 570 | |
М 70 | 515 | 460 | 395 | 320 | 550 | 500 | 440 | 380 | 640 | 605 | |
М 95 | 650 | 575 | 500 | 410 | 680 | 620 | 550 | 470 | 895 | 720 | |
М 120 | 755 | 675 | 580 | 475 | 780 | 710 | 635 | 540 | 910 | 830 | |
М 150 | 890 | 795 | 695 | 565 | 910 | 830 | 740 | 630 | 1055 | 960 | |
М 185 | 1030 | 920 | 800 | 655 | 1050 | 955 | 850 | 720 | 1250 | 1100 | |
Марка провода | Токовая нагрузка, А, при скорости ветра, м/с | |||||||||
4 | 6 | 8 | ||||||||
Температура воздуха, °C | ||||||||||
20 | 40 | -20 | 0 | 20 | 40 | -20 | 0 | 20 | 40 | |
АС 25/4,2 | 215 | 185 | 300 | 275 | 240 | 200 | 320 | 290 | 255 | 210 |
АС 35/6,2 | 280 | 240 | 385 | 350 | 310 | 265 | 410 | 390 | 330 | 280 |
АС 50/8,0 | 335 | 285 | 455 | 410 | 370 | 310 | 485 | 440 | 390 | 330 |
АС 70/11 | 415 | 350 | 565 | 515 | 455 | 385 | 605 | 550 | 485 | 410 |
АС 95/16 | 520 | 440 | 700 | 635 | 565 | 580 | 750 | 680 | 585 | 515 |
АС 120/19 | 595 | 500 | 810 | 735 | 645 | 550 | 860 | 780 | 690 | 585 |
АС 150/19 | 690 | 580 | 925 | 840 | 745 | 625 | 990 | 900 | 800 | 715 |
АС 150/24 | 690 | 585 | 935 | 850 | 750 | 635 | 1010 | 905 | 805 | 680 |
АС 185/24 | 800 | 675 | 1070 | 975 | 870 | 730 | 1150 | 1045 | 925 | 795 |
АС 185/29 | 785 | 665 | 1060 | 960 | 855 | 715 | 1135 | 1030 | 910 | 775 |
АС 205/27 | 800 | 720 | 1145 | 1045 | 920 | 780 | 1240 | 1105 | 980 | 830 |
АС 240/32 | 940 | 805 | 1270 | 1160 | 1030 | 870 | 1355 | 1235 | 1095 | 925 |
АС 240/39 | 930 | 790 | 1260 | 1145 | 1076 | 860 | 1345 | 1225 | 1100 | 850 |
АС 300/39 | 1090 | 920 | 1465 | 1335 | 1175 | 1005 | 1555 | 1420 | 1255 | 1070 |
АС 300/48 | 1145 | 915 | 1450 | 1320 | 1170 | 965 | 1550 | 1405 | 1245 | 1060 |
АС 320/30 | 1220 | 980 | 1550 | 1415 | 1255 | 1055 | 1650 | 1505 | 1335 | 1130 |
АС 330/43 | 1220 | 980 | 1550 | 1415 | 1325 | 1060 | 1650 | 1510 | 1330 | 1130 |
АС 400/64 | 1365 | 1095 | 1730 | 1575 | 1400 | 1185 | 1830 | 1675 | 1470 | 1260 |
АС 450/56 | 1370 | 1165 | 1840 | 1680 | 1490 | 1265 | 1960 | 1785 | 1580 | 1340 |
АС 500/27 | 1455 | 1240 | 1960 | 1785 | 1580 | 1340 | 2085 | 1900 | 1680 | 1475 |
АС 500/64 | 1485 | 1265 | 2000 | 1815 | 1610 | 1370 | 1120 | 1935 | 1715 | 1435 |
АС 600/72 | 1655 | 1405 | 2290 | 2020 | 1790 | 1520 | 2360 | 2145 | 1905 | 1615 |
М 50 | 420 | 360 | 570 | 520 | 460 | 390 | 615 | 555 | 490 | 415 |
М 70 | 515 | 435 | 700 | 635 | 560 | 475 | 745 | 680 | 600 | 510 |
М 95 | 640 | 540 | 870 | 785 | 700 | 540 | 925 | 835 | 740 | 630 |
М 120 | 730 | 620 | 995 | 905 | 800 | 680 | 1055 | 960 | 850 | 720 |
М 150 | 850 | 920 | 1150 | 1050 | 930 | 785 | 1230 | 1115 | 990 | 840 |
М 185 | 980 | 825 | 1325 | 1200 | 1065 | 905 | 1410 | 1275 | 1140 | 965 |
Марка провода | Токовая нагрузка, А, при скорости ветра, м/с | |||||||||
0 | 2 | 4 | ||||||||
Температура воздуха, °C | ||||||||||
-20 | 0 | 20 | 40 | -20 | 0 | 20 | 40 | -20 | 0 | |
АС 25/4,2 | 200 | 175 | 145 | 115 | 225 | 205 | 175 | 145 | 265 | 235 |
АС 35/6,2 | 260 | 230 | 195 | 150 | 290 | 260 | 230 | 190 | 340 | 305 |
АС 50/8,0 | 315 | 275 | 235 | 185 | 345 | 310 | 270 | 225 | 405 | 360 |
АС 70/11 | 400 | 350 | 295 | 235 | 430 | 385 | 340 | 280 | 500 | 450 |
АС 95/16 | 507 | 445 | 375 | 295 | 535 | 480 | 420 | 345 | 620 | 560 |
АС 120/19 | 590 | 515 | 440 | 345 | 615 | 555 | 486 | 400 | 710 | 640 |
АС 150/19 | 685 | 605 | 510 | 400 | 705 | 635 | 555 | 460 | 820 | 735 |
АС 50/24 | 690 | 610 | 515 | 405 | 710 | 640 | 560 | 460 | 825 | 740 |
АС 185/24 | 810 | 710 | 600 | 475 | 825 | 740 | 650 | 535 | 955 | 860 |
АС 185/29 | 795 | 700 | 595 | 470 | 810 | 730 | 640 | 525 | 940 | 845 |
АС 205/27 | 865 | 760 | 645 | 510 | 875 | 790 | 690 | 570 | 1010 | 910 |
АС 240/32 | 970 | 855 | 725 | 572 | 975 | 880 | 770 | 635 | 1125 | 1015 |
АС 240/39 | 960 | 845 | 715 | 565 | 965 | 870 | 760 | 625 | 1115 | 1005 |
АС 300/39 | 1130 | 995 | 845 | 665 | 1125 | 1015 | 890 | 735 | 1295 | 1170 |
АС 300/48 | 1120 | 985 | 835 | 660 | 1115 | 1005 | 880 | 725 | 1285 | 1160 |
АС 330/30 | 1205 | 1060 | 900 | 710 | 1190 | 1075 | 940 | 775 | 1375 | 1240 |
АС 330/43 | 1205 | 1060 | 900 | 710 | 1190 | 1075 | 940 | 775 | 1375 | 1240 |
АС 400/64 | 1385 | 1196 | 1995 | 765 | 1355 | 1200 | 1090 | 830 | 1560 | 1390 |
АС 450/56 | 1455 | 1280 | 1085 | 860 | 1415 | 1280 | 1120 | 925 | 1635 | 1470 |
АС 500/27 | 1550 | 1365 | 1155 | 915 | 1505 | 1360 | 1190 | 985 | 1735 | 1565 |
АС 500/64 | 1585 | 1395 | 1185 | 940 | 1535 | 1390 | 1215 | 1005 | 1770 | 1595 |
АС 600/72 | 1775 | 1565 | 1330 | 1050 | 1710 | 1545 | 1355 | 1120 | 1965 | 1770 |
М 50 | 395 | 345 | 290 | 230 | 435 | 390 | 340 | 280 | 505 | 455 |
М 70 | 490 | 430 | 365 | 285 | 530 | 480 | 415 | 345 | 620 | 555 |
М 95 | 620 | 545 | 460 | 365 | 660 | 595 | 515 | 425 | 765 | 690 |
М 120 | 720 | 635 | 535 | 420 | 755 | 680 | 595 | 490 | 880 | 790 |
М 150 | 850 | 745 | 630 | 495 | 880 | 790 | 690 | 570 | 1020 | 915 |
М 185 | 985 | 865 | 735 | 580 | 1010 | 910 | 795 | 655 | 1170 | 1055 |
Марка провода | Токовая нагрузка, А, при скорости ветра, м/с | |||||||||
4 | 6 | 8 | ||||||||
Температура воздуха, °C | ||||||||||
20 | 40 | -20 | 0 | 20 | 40 | -20 | 0 | 20 | 40 | |
АС 25/4,2 | 205 | 170 | 290 | 260 | 230 | 185 | 310 | 280 | 240 | 200 |
АС 35/6,2 | 265 | 220 | 370 | 335 | 290 | 240 | 400 | 355 | 310 | 255 |
АС 50/8,0 | 315 | 260 | 440 | 395 | 345 | 285 | 470 | 425 | 370 | 300 |
АС 70/11 | 390 | 320 | 550 | 495 | 430 | 350 | 585 | 526 | 457 | 375 |
АС 95/16 | 485 | 400 | 680 | 610 | 530 | 435 | 725 | 650 | 565 | 465 |
АС 120/19 | 560 | 460 | 780 | 700 | 610 | 500 | 830 | 745 | 650 | 535 |
АС 150/19 | 640 | 530 | 895 | 805 | 700 | 575 | 955 | 860 | 745 | 615 |
АС 150/24 | 645 | 530 | 900 | 810 | 705 | 580 | 960 | 865 | 755 | 620 |
АС 185/24 | 750 | 615 | 1040 | 935 | 815 | 670 | 1110 | 1000 | 870 | 715 |
АС 185/29 | 735 | 605 | 1025 | 920 | 805 | 660 | 1095 | 985 | 855 | 705 |
АС 205/27 | 795 | 655 | 1105 | 995 | 865 | 710 | 1180 | 1060 | 925 | 760 |
АС 240/32 | 885 | 730 | 1230 | 1110 | 965 | 795 | 1310 | 1180 | 1030 | 845 |
АС 240/39 | 875 | 720 | 1215 | 1095 | 955 | 785 | 1295 | 1165 | 955 | 785 |
АС 300/39 | 1020 | 840 | 1415 | 1275 | 1110 | 915 | 1510 | 1355 | 1180 | 970 |
АС 300/48 | 1010 | 830 | 1405 | 1260 | 1100 | 905 | 1495 | 1345 | 1170 | 965 |
АС 330/30 | 1080 | 890 | 1500 | 1350 | 1180 | 970 | 1600 | 1440 | 1255 | 1030 |
АС 330/43 | 1080 | 890 | 1500 | 1350 | 1175 | 965 | 1595 | 1435 | 1250 | 1030 |
АС 400/64 | 1190 | 965 | 1695 | 1505 | 1296 | 1050 | 1805 | 1605 | 1380 | 1120 |
АС 450/56 | 1285 | 1060 | 1780 | 1605 | 1400 | 1150 | 1695 | 1705 | 1485 | 1220 |
АС 500/27 | 1365 | 1125 | 1890 | 1705 | 1485 | 1220 | 2015 | 1810 | 1580 | 1300 |
АС 500/64 | 1395 | 1150 | 1930 | 1735 | 1515 | 1245 | 2055 | 1850 | 1610 | 1325 |
АС 600/72 | 1550 | 1275 | 2140 | 1930 | 1685 | 1385 | 2280 | 2050 | 1790 | 1470 |
М 50 | 395 | 325 | 555 | 500 | 435 | 355 | 595 | 530 | 465 | 380 |
М 70 | 485 | 395 | 675 | 610 | 530 | 435 | 720 | 650 | 565 | 465 |
М 95 | 600 | 490 | 840 | 755 | 655 | 540 | 895 | 805 | 700 | 575 |
М 120 | 690 | 565 | 960 | 865 | 755 | 620 | 1025 | 920 | 800 | 650 |
М 150 | 800 | 655 | 1115 | 1005 | 875 | 715 | 1190 | 1070 | 930 | 765 |
М 185 | 920 | 755 | 1280 | 1150 | 1000 | 825 | 1365 | 1225 | 1070 | 875 |
Марка провода | Токовая нагрузка, А, при скорости ветра, м/с | |||||||||
0 | 2 | 4 | ||||||||
Температура воздуха, °C | ||||||||||
-20 | 0 | 20 | 40 | -20 | 0 | 20 | 40 | -20 | 0 | |
АС 25/4,2 | 175 | 150 | 115 | 75 | 205 | 180 | 150 | 105 | 240 | 210 |
АС 35/6,2 | 235 | 195 | 155 | 100 | 265 | 230 | 190 | 135 | 310 | 270 |
АС 50/8,0 | 280 | 235 | 185 | 125 | 315 | 275 | 225 | 160 | 370 | 320 |
АС 70/11 | 355 | 300 | 235 | 155 | 395 | 345 | 285 | 200 | 460 | 400 |
АС 95/16 | 450 | 380 | 300 | 200 | 490 | 425 | 350 | 250 | 570 | 495 |
АС 120/19 | 525 | 440 | 350 | 230 | 560 | 490 | 405 | 290 | 655 | 570 |
АС 150/19 | 610 | 515 | 405 | 270 | 645 | 565 | 465 | 330 | 750 | 655 |
АС 150/24 | 615 | 520 | 410 | 270 | 650 | 570 | 470 | 335 | 755 | 660 |
АС 185/24 | 720 | 610 | 480 | 320 | 750 | 655 | 540 | 385 | 875 | 760 |
АС 185/29 | 710 | 600 | 470 | 315 | 740 | 645 | 535 | 380 | 860 | 750 |
АС 205/27 | 770 | 650 | 510 | 340 | 800 | 700 | 575 | 410 | 930 | 810 |
АС 240/32 | 865 | 730 | 575 | 385 | 890 | 770 | 640 | 460 | 1035 | 900 |
АС 240/39 | 854 | 720 | 570 | 380 | 880 | 770 | 635 | 455 | 1020 | 890 |
АС 300/39 | 1005 | 850 | 670 | 445 | 1025 | 900 | 740 | 530 | 1190 | 1035 |
АС 300/48 | 1000 | 845 | 665 | 440 | 1015 | 890 | 735 | 525 | 1180 | 1025 |
АС 330/30 | 1070 | 905 | 715 | 475 | 1090 | 950 | 785 | 560 | 1260 | 1100 |
АС 330/43 | 1070 | 905 | 715 | 475 | 1090 | 950 | 785 | 560 | 1260 | 1100 |
АС 400/64 | 1235 | 1025 | 790 | 510 | 1240 | 1065 | 860 | 605 | 1430 | 1230 |
АС 450/56 | 1295 | 1095 | 865 | 575 | 1295 | 1130 | 935 | 670 | 1495 | 1305 |
АС 500/27 | 1375 | 1165 | 920 | 615 | 1375 | 1205 | 995 | 710 | 1590 | 1385 |
АС 500/64 | 1410 | 1195 | 940 | 630 | 1405 | 1230 | 1015 | 725 | 1620 | 1415 |
АС 600/72 | 1580 | 1340 | 1055 | 705 | 1560 | 1365 | 1125 | 805 | 1800 | 1570 |
М 50 | 350 | 295 | 230 | 155 | 395 | 345 | 285 | 205 | 465 | 405 |
М 70 | 465 | 370 | 290 | 190 | 485 | 425 | 350 | 250 | 565 | 495 |
М 95 | 550 | 465 | 365 | 240 | 605 | 525 | 435 | 310 | 702 | 610 |
М 120 | 640 | 540 | 425 | 280 | 695 | 605 | 495 | 355 | 805 | 700 |
М 150 | 755 | 635 | 500 | 330 | 805 | 700 | 580 | 415 | 935 | 815 |
М 185 | 875 | 740 | 585 | 385 | 925 | 805 | 665 | 475 | 1075 | 935 |
Марка провода | Токовая нагрузка, А, при скорости ветра, м/с | |||||||||
4 | 6 | 8 | ||||||||
Температура воздуха, °C | ||||||||||
20 | 40 | -20 | 0 | 20 | 40 | -20 | 0 | 20 | 40 | |
АС 25/4,2 | 175 | 125 | 265 | 230 | 190 | 135 | 285 | 245 | 200 | 145 |
АС 35/6,2 | 220 | 160 | 340 | 300 | 245 | 175 | 365 | 320 | 260 | 185 |
АС 50/8,0 | 265 | 185 | 405 | 355 | 290 | 205 | 435 | 375 | 310 | 220 |
АС 70/11 | 330 | 235 | 505 | 440 | 360 | 255 | 540 | 470 | 385 | 275 |
АС 95/16 | 405 | 290 | 625 | 545 | 445 | 315 | 665 | 580 | 475 | 340 |
АС 120/19 | 465 | 330 | 715 | 620 | 510 | 365 | 765 | 665 | 545 | 385 |
АС 150/19 | 540 | 385 | 820 | 715 | 585 | 420 | 880 | 765 | 625 | 445 |
АС 150/24 | 540 | 385 | 830 | 720 | 590 | 420 | 885 | 770 | 630 | 450 |
АС 185/24 | 625 | 445 | 955 | 830 | 685 | 485 | 1020 | 890 | 790 | 520 |
АС 185/29 | 615 | 440 | 940 | 820 | 675 | 480 | 1005 | 875 | 715 | 510 |
АС 205/27 | 665 | 475 | 1015 | 885 | 725 | 515 | 1085 | 940 | 775 | 550 |
АС 240/32 | 740 | 530 | 1130 | 985 | 810 | 575 | 1205 | 1050 | 860 | 610 |
АС 240/39 | 730 | 520 | 1115 | 970 | 800 | 570 | 1190 | 1035 | 850 | 605 |
АС 300/39 | 856 | 610 | 1300 | 1130 | 930 | 660 | 1385 | 1205 | 990 | 705 |
АС 300/48 | 845 | 600 | 1290 | 1120 | 920 | 655 | 1375 | 1195 | 980 | 700 |
АС 330/30 | 905 | 645 | 1375 | 1200 | 985 | 700 | 1470 | 1280 | 1050 | 745 |
АС 330/43 | 905 | 645 | 1375 | 1200 | 985 | 700 | 1465 | 1275 | 1050 | 745 |
АС 400/64 | 995 | 700 | 1555 | 1340 | 1090 | 765 | 1660 | 1430 | 1160 | 815 |
АС 450/56 | 1075 | 765 | 1635 | 1423 | 1170 | 835 | 1740 | 1515 | 1245 | 885 |
АС 500/27 | 1140 | 815 | 1735 | 1510 | 1240 | 885 | 1850 | 1610 | 1380 | 940 |
АС 500/64 | 1165 | 830 | 1770 | 1540 | 1265 | 905 | 1885 | 1640 | 1350 | 960 |
АС 600/72 | 1295 | 925 | 1960 | 1710 | 1405 | 1000 | 2090 | 1820 | 1495 | 1065 |
М 50 | 330 | 235 | 510 | 445 | 365 | 260 | 545 | 475 | 390 | 275 |
М 70 | 405 | 290 | 620 | 540 | 445 | 315 | 665 | 580 | 475 | 335 |
М 95 | 500 | 355 | 770 | 670 | 550 | 390 | 685 | 715 | 585 | 415 |
М 120 | 575 | 410 | 885 | 770 | 630 | 450 | 945 | 820 | 675 | 480 |
М 150 | 670 | 475 | 1025 | 890 | 730 | 520 | 1095 | 950 | 780 | 555 |
М 185 | 770 | 545 | 1175 | 1025 | 840 | 595 | 1255 | 1090 | 895 | 635 |
Марка провода | Температура провода 40 °C | |||||||||||
Токовая нагрузка, А, при скорости ветра, м/с | ||||||||||||
0 | 2 | 4 | 6 | |||||||||
-20 | 0 | 20 | -20 | 0 | 20 | -20 | 0 | 20 | -20 | 0 | 20 | |
АС 25/4,2 | 150 | 120 | 80 | 185 | 150 | 110 | 215 | 175 | 125 | 240 | 195 | 140 |
АС 35/6,2 | 200 | 155 | 105 | 235 | 195 | 140 | 280 | 230 | 160 | 305 | 250 | 180 |
АС 50/8,0 | 240 | 190 | 125 | 280 | 230 | 165 | 330 | 270 | 190 | 360 | 295 | 210 |
АС 70/11 | 305 | 240 | 155 | 350 | 290 | 205 | 410 | 335 | 240 | 450 | 370 | 260 |
АС 95/16 | 385 | 305 | 200 | 435 | 360 | 255 | 505 | 415 | 295 | 555 | 455 | 325 |
АС 120/19 | 450 | 350 | 230 | 500 | 410 | 290 | 580 | 475 | 340 | 635 | 525 | 370 |
АС 150/19 | 520 | 410 | 270 | 575 | 470 | 335 | 670 | 550 | 390 | 735 | 600 | 435 |
АС 150/24 | 525 | 415 | 275 | 580 | 475 | 340 | 675 | 555 | 395 | 740 | 605 | 430 |
АС 185/24 | 615 | 485 | 320 | 670 | 550 | 390 | 480 | 640 | 455 | 850 | 700 | 500 |
АС 185/29 | 605 | 475 | 315 | 660 | 540 | 385 | 765 | 630 | 445 | 840 | 690 | 490 |
АС 205/27 | 660 | 515 | 340 | 710 | 585 | 415 | 825 | 680 | 485 | 905 | 740 | 525 |
АС 240/32 | 740 | 580 | 385 | 790 | 650 | 465 | 920 | 755 | 540 | 1005 | 825 | 585 |
АС 240/39 | 730 | 575 | 380 | 780 | 645 | 460 | 910 | 745 | 530 | 995 | 815 | 580 |
АС 300/39 | 860 | 680 | 450 | 910 | 750 | 535 | 1060 | 870 | 620 | 1155 | 950 | 675 |
АС 300/48 | 855 | 670 | 445 | 905 | 745 | 530 | 1050 | 860 | 615 | 1145 | 940 | 670 |
АС 330/30 | 915 | 720 | 475 | 965 | 795 | 570 | 1120 | 920 | 655 | 1225 | 1005 | 715 |
АС 330/43 | 920 | 720 | 480 | 965 | 795 | 570 | 1120 | 920 | 655 | 1225 | 1005 | 715 |
АС 400/64 | 1060 | 815 | 525 | 1100 | 890 | 620 | 1265 | 1025 | 720 | 1380 | 1120 | 790 |
АС 450/56 | 1105 | 870 | 580 | 1150 | 945 | 675 | 1330 | 1095 | 780 | 1455 | 1195 | 850 |
АС 500/27 | 1180 | 925 | 615 | 1220 | 1005 | 720 | 1410 | 1160 | 825 | 1545 | 1270 | 900 |
АС 500/64 | 1210 | 950 | 630 | 1245 | 1025 | 735 | 1440 | 1185 | 845 | 1575 | 1290 | 920 |
АС 600/72 | 1355 | 1065 | 705 | 1385 | 1140 | 815 | 1600 | 1315 | 935 | 1745 | 1435 | 1020 |
М 50 | 300 | 235 | 155 | 355 | 290 | 205 | 415 | 340 | 240 | 455 | 375 | 265 |
М 70 | 375 | 296 | 195 | 430 | 355 | 255 | 505 | 415 | 295 | 555 | 455 | 325 |
М 95 | 470 | 370 | 245 | 535 | 440 | 315 | 625 | 515 | 365 | 685 | 565 | 400 |
М 120 | 550 | 430 | 285 | 615 | 505 | 360 | 720 | 590 | 420 | 790 | 645 | 460 |
М 150 | 645 | 505 | 335 | 715 | 590 | 420 | 835 | 685 | 485 | 915 | 750 | 530 |
М 185 | 750 | 590 | 390 | 820 | 675 | 480 | 955 | 785 | 560 | 1045 | 860 | 610 |
Марка провода | Температура провода 40 °C | Температура провода 20 °C | |||||||||||||||
Токовая нагрузка, А, при скорости ветра, м/с | |||||||||||||||||
8 | 0 | 2 | 4 | 6 | 8 | ||||||||||||
-20 | 0 | 20 | -20 | 0 | -20 | 0 | -20 | 0 | -20 | 0 | -20 | 0 | |||||
АС 25/4,2 | 255 | 210 | 150 | 120 | 80 | 155 | 110 | 180 | 130 | 200 | 140 | 215 | 150 | ||||
АС 35/6,2 | 325 | 270 | 190 | 160 | 105 | 200 | 140 | 235 | 165 | 280 | 185 | 275 | 195 | ||||
АС 50/8,0 | 385 | 315 | 225 | 190 | 125 | 235 | 170 | 280 | 195 | 305 | 215 | 325 | 230 | ||||
АС 70/11 | 480 | 395 | 280 | 245 | 160 | 295 | 210 | 345 | 245 | 380 | 270 | 405 | 285 | ||||
АС 95/16 | 595 | 490 | 345 | 310 | 200 | 365 | 260 | 425 | 305 | 470 | 335 | 500 | 355 | ||||
АС 120/19 | 680 | 560 | 395 | 355 | 235 | 420 | 300 | 490 | 350 | 535 | 380 | 575 | 410 | ||||
АС 150/19 | 785 | 640 | 455 | 415 | 275 | 480 | 345 | 560 | 400 | 615 | 440 | 810 | 470 | ||||
АС 150/24 | 790 | 645 | 460 | 420 | 275 | 485 | 345 | 565 | 405 | 620 | 440 | 665 | 470 | ||||
АС 185/24 | 910 | 745 | 530 | 490 | 325 | 560 | 400 | 655 | 465 | 715 | 510 | 765 | 545 | ||||
АС 185/29 | 895 | 735 | 520 | 485 | 320 | 555 | 395 | 645 | 460 | 705 | 500 | 755 | 535 | ||||
АС 205/27 | 965 | 790 | 560 | 525 | 345 | 595 | 425 | 695 | 495 | 780 | 540 | 815 | 575 | ||||
АС 240/32 | 1075 | 880 | 625 | 590 | 390 | 665 | 475 | 775 | 550 | 845 | 600 | 905 | 640 | ||||
АС 240/39 | 1060 | 870 | 620 | 585 | 385 | 655 | 470 | 765 | 545 | 835 | 595 | 895 | 635 | ||||
АС 300/39 | 1235 | 1015 | 720 | 685 | 455 | 765 | 545 | 890 | 635 | 975 | 690 | 1040 | 740 | ||||
АС 300/48 | 1225 | 1005 | 715 | 680 | 450 | 760 | 540 | 880 | 625 | 965 | 685 | 1030 | 730 | ||||
АС 330/30 | 1310 | 1075 | 765 | 730 | 480 | 810 | 580 | 940 | 670 | 1030 | 735 | 1100 | 785 | ||||
| |||||||||||||||||
АС 330/43 | 1305 | 1070 | 760 | 730 | 480 | 810 | 575 | 940 | 670 | 1030 | 735 | 1100 | <...> | ||||
АС 400/64 | 1475 | 1195 | 840 | 845 | 545 | 920 | 645 | 1085 | 745 | 1160 | 815 | 1230 | 870 | ||||
АС 450/56 | 1550 | 1270 | 905 | 885 | 580 | 965 | 690 | 1115 | 795 | 1225 | 870 | 1305 | 925 | ||||
АС 500/27 | 1645 | 1350 | 960 | 940 | 620 | 1025 | 730 | 1185 | 845 | 1300 | 920 | 1385 | 985 | ||||
АС 500/64 | 1680 | 1375 | 980 | 965 | 635 | 1045 | 745 | 1210 | 860 | 1325 | 940 | 1410 | 1005 | ||||
АС 600/72 | 1860 | 1530 | 1090 | 1080 | 715 | 1160 | 825 | 1345 | 955 | 1470 | 1045 | 1865 | 1115 | ||||
М 50 | 485 | 400 | 285 | 240 | 155 | 300 | 210 | 350 | 250 | 385 | 270 | 410 | 290 | ||||
М 70 | 595 | 485 | 345 | 300 | 195 | 365 | 260 | 425 | 300 | 470 | 330 | 800 | 355 | ||||
М 95 | 735 | 600 | 425 | 375 | 245 | 450 | 320 | 525 | 379 | 580 | 410 | 620 | 440 | ||||
М 120 | 840 | 690 | 490 | 440 | 285 | 520 | 370 | 605 | 430 | 665 | 470 | 710 | 805 | ||||
М 150 | 975 | 800 | 570 | 515 | 340 | 600 | 430 | 700 | 500 | 770 | 545 | 820 | 585 | ||||
М 185 | 1120 | 915 | 650 | 600 | 395 | 690 | 490 | 805 | 570 | 880 | 625 | 940 | 670 | ||||
Марка провода | Токовая нагрузка, А, при скорости ветра, м/с | |||||||||
0 | 2 | 4 | ||||||||
Температура воздуха, °C | ||||||||||
-20 | 0 | 20 | 40 | -20 | 0 | 20 | 40 | -20 | 0 | |
АС 25/4,2 | 210 | 185 | 155 | 130 | 320 | 285 | 255 | 215 | 315 | 340 |
АС 35/6,2 | 270 | 245 | 210 | 170 | 410 | 370 | 330 | 280 | 485 | 435 |
АС 50/8,0 | 330 | 290 | 255 | 205 | 485 | 440 | 390 | 330 | 570 | 520 |
АС 70/11 | 420 | 370 | 320 | 265 | 605 | 550 | 485 | 410 | 710 | 645 |
АС 95/16 | 530 | 470 | 405 | 335 | 750 | 680 | 600 | 510 | 880 | 800 |
АС 120/19 | 615 | 550 | 475 | 390 | 860 | 780 | 690 | 585 | 1005 | 915 |
АС 150/19 | 720 | 640 | 555 | 450 | 985 | 895 | 790 | 675 | 1155 | 1050 |
АС 150/24 | 725 | 645 | 560 | 455 | 995 | 905 | 800 | 680 | 1165 | 1565 |
АС 185/24 | 850 | 755 | 650 | 535 | 1145 | 1040 | 925 | 785 | 1345 | 1220 |
АС 185/29 | 835 | 750 | 645 | 530 | 1130 | 1030 | 910 | 770 | 1325 | 1200 |
АС 205/27 | 910 | 805 | 695 | 575 | 1220 | 1107 | 980 | 830 | 1425 | 1295 |
АС 240/32 | 1015 | 905 | 785 | 695 | 1355 | 1235 | 1095 | 925 | 1585 | 1440 |
АС 240/39 | 1005 | 995 | 775 | 635 | 1340 | 1220 | 1080 | 915 | 1570 | 1425 |
АС 300/39 | 1185 | 1055 | 915 | 750 | 1560 | 1415 | 1255 | 1065 | 1825 | 1650 |
АС 300/48 | 1175 | 1045 | 905 | 745 | 1545 | 1405 | 1245 | 1060 | 1810 | 1640 |
АС 330/30 | 1260 | 1095 | 975 | 800 | 1655 | 1475 | 1335 | 1130 | 1935 | 1755 |
АС 330/43 | 1265 | 1125 | 975 | 800 | 1650 | 1470 | 1330 | 1130 | 1930 | 1755 |
АС 400/64 | 1425 | 1270 | 1100 | 905 | 1840 | 1675 | 1485 | 1260 | 2155 | 1955 |
АС 450/56 | 1520 | 1360 | 1175 | 970 | 1960 | 1785 | 1580 | 1340 | 2290 | 2080 |
АС 500/27 | 1625 | 1449 | 1255 | 1030 | 2005 | 1895 | 1680 | 1425 | 2435 | 2210 |
АС 500/64 | 1660 | 1450 | 1285 | 1060 | 2125 | 1935 | 1715 | 1455 | 2480 | 2250 |
АС 600/72 | 1860 | 1660 | 1440 | 1187 | 1860 | 2145 | 1905 | 1615 | 2750 | 2500 |
М 50 | 410 | 365 | 315 | 260 | 612 | 555 | 490 | 415 | 720 | 655 |
М 70 | 515 | 455 | 395 | 322 | 745 | 680 | 600 | 510 | 815 | 795 |
М 95 | 650 | 575 | 500 | 410 | 925 | 840 | 740 | 630 | 1085 | 985 |
М 120 | 755 | 670 | 580 | 475 | 1060 | 960 | 850 | 720 | 1245 | 1130 |
М 150 | 890 | 790 | 685 | 560 | 1230 | 1115 | 990 | 840 | 1440 | 1310 |
М 185 | 1030 | 920 | 795 | 655 | 1410 | 1280 | 1135 | 960 | 1655 | 1500 |
Марка провода | Токовая нагрузка, А, при скорости ветра, м/с | |||||||||
4 | 6 | 8 | ||||||||
Температура воздуха, °C | ||||||||||
20 | 40 | -20 | 0 | 20 | 40 | -20 | 0 | 20 | 40 | |
АС 25/4,2 | 300 | 250 | 415 | 375 | 330 | 280 | 445 | 400 | 355 | 300 |
АС 35/6,2 | 385 | 325 | 530 | 485 | 425 | 360 | 570 | 515 | 455 | 390 |
АС 50/8,0 | 455 | 385 | 630 | 570 | 505 | 425 | 675 | 610 | 440 | 455 |
АС 70/11 | 570 | 480 | 815 | 710 | 625 | 530 | 835 | 760 | 670 | 565 |
АС 95/16 | 705 | 595 | 970 | 875 | 725 | 655 | 1035 | 940 | 830 | 700 |
АС 120/19 | 805 | 685 | 1110 | 1005 | 885 | 750 | 1185 | 1075 | 950 | 800 |
АС 150/19 | 930 | 785 | 1275 | 1155 | 1020 | 860 | 1360 | 1235 | 1090 | 925 |
АС 150/24 | 935 | 790 | 1280 | 1160 | 1025 | 865 | 1370 | 1240 | 1100 | 925 |
АС 185/24 | 1080 | 915 | 1475 | 1340 | 1185 | 955 | 1580 | 1435 | 1265 | 1080 |
АС 185/29 | 1060 | 900 | 1455 | 1320 | 1165 | 985 | 1560 | 1415 | 1275 | 1055 |
АС 205/27 | 1145 | 970 | 1570 | 1425 | 1255 | 1065 | 1680 | 1520 | 1345 | 1135 |
АС 240/32 | 1275 | 1080 | 1745 | 1580 | 1395 | 1185 | 1870 | 1690 | 1495 | 1260 |
АС 240/39 | 1260 | 1065 | 1725 | 1565 | 1380 | 1170 | 1845 | 1670 | 1475 | 1250 |
АС 300/39 | 1465 | 1490 | 1870 | 1815 | 1610 | 1360 | 2145 | 1945 | 1720 | 1450 |
АС 300/48 | 1450 | 1280 | 1985 | 1800 | 1595 | 1350 | 2125 | 1920 | 1705 | 1440 |
АС 330/30 | 1550 | 1315 | 2125 | 1925 | 1705 | 1440 | 2270 | 2060 | 1820 | 1540 |
АС 330/43 | 1550 | 1310 | 2120 | 1920 | 1700 | 1435 | 2270 | 2055 | 1815 | 1537 |
АС 400/64 | 1730 | 1465 | 2365 | 2145 | 1895 | 1605 | 2525 | 2290 | 2025 | 1715 |
АС 450/56 | 1840 | 1560 | 2365 | 2280 | 2020 | 1705 | 2690 | 2460 | 2155 | 1825 |
АС 500/27 | 1855 | 1655 | 2670 | 2425 | 2140 | 1840 | 2857 | 2590 | 2290 | 1935 |
АС 500/64 | 1995 | 1690 | 2722 | 2440 | 2185 | 1960 | 2905 | 2635 | 2330 | 1975 |
АС 600/72 | 1210 | 1870 | 3015 | 2750 | 2420 | 2050 | 3225 | 2925 | 2585 | 2185 |
М 50 | 575 | 485 | 795 | 720 | 635 | 535 | 850 | 770 | 680 | 575 |
М 70 | 705 | 595 | 1015 | 875 | 775 | 650 | 1035 | 940 | 827 | 700 |
М 95 | 870 | 735 | 1195 | 1085 | 950 | 810 | 1280 | 1160 | 1025 | 865 |
М 120 | 1000 | 845 | 1370 | 1240 | 1095 | 925 | 1465 | 1330 | 1175 | 990 |
М 150 | 1135 | 935 | 1585 | 1490 | 1270 | 1075 | 1700 | 1540 | 1360 | 1150 |
М 185 | 1325 | 1120 | 1820 | 1650 | 1455 | 1230 | 1945 | 1765 | 1555 | 1315 |
Марка провода | Токовая нагрузка, А, при скорости ветра, м/с | |||||||||
0 | 2 | 4 | ||||||||
Температура воздуха, °C | ||||||||||
-20 | 0 | 20 | 40 | -20 | 0 | 20 | 40 | -20 | 0 | |
АС 25/4,2 | 200 | 175 | 145 | 115 | 310 | 275 | 240 | 200 | 365 | 325 |
АС 35/6,2 | 260 | 230 | 195 | 150 | 400 | 355 | 310 | 255 | 470 | 420 |
АС 50/8,0 | 315 | 275 | 235 | 185 | 470 | 425 | 370 | 300 | 555 | 500 |
АС 70/11 | 400 | 350 | 295 | 235 | 585 | 525 | 455 | 375 | 690 | 620 |
АС 95/16 | 505 | 445 | 375 | 295 | 725 | 650 | 565 | 465 | 855 | 765 |
АС 120/19 | 589 | 520 | 440 | 345 | 830 | 745 | 650 | 535 | 975 | 875 |
АС 150/19 | 685 | 605 | 510 | 400 | 955 | 860 | 745 | 615 | 1120 | 1005 |
АС 150/24 | 690 | 610 | 515 | 405 | 960 | 865 | 755 | 620 | 1130 | 1015 |
АС 185/24 | 810 | 710 | 600 | 475 | 1110 | 990 | 870 | 715 | 1300 | 1170 |
АС 185/29 | 795 | 700 | 595 | 470 | 1095 | 985 | 855 | 705 | 1280 | 1150 |
АС 205/27 | 865 | 760 | 640 | 510 | 1180 | 1060 | 925 | 760 | 1380 | 1240 |
АС 240/32 | 970 | 855 | 725 | 570 | 1310 | 1180 | 1030 | 845 | 1535 | 1380 |
АС 240/39 | 960 | 845 | 715 | 565 | 1295 | 1165 | 1015 | 835 | 1520 | 1365 |
АС 300/39 | 1130 | 995 | 845 | 665 | 1510 | 1355 | 1180 | 970 | 1765 | 1585 |
АС 300/48 | 1120 | 985 | 835 | 660 | 1495 | 1345 | 1170 | 965 | 1750 | 1570 |
АС 330/30 | 1205 | 1060 | 900 | 710 | 1600 | 1440 | 1255 | 1030 | 1870 | 1680 |
АС 330/43 | 1205 | 1060 | 900 | 710 | 1595 | 1435 | 1250 | 1030 | 1870 | 1680 |
АС 400/64 | 1350 | 1190 | 1010 | 800 | 1775 | 1500 | 1390 | 1145 | 2070 | 1865 |
АС 450/56 | 1455 | 1280 | 1085 | 860 | 1895 | 1705 | 1485 | 1220 | 2215 | 1990 |
АС 500/27 | 1550 | 1365 | 1155 | 915 | 2015 | 1810 | 1580 | 1300 | 2350 | 2115 |
АС 500/64 | 1585 | 1395 | 1185 | 940 | 2055 | 1850 | 1610 | 1325 | 2400 | 2155 |
АС 600/72 | 1775 | 1565 | 1330 | 1050 | 1280 | 2050 | 1790 | 1470 | 2660 | 2390 |
М 50 | 395 | 345 | 290 | 230 | 595 | 530 | 460 | 380 | 700 | 630 |
М 70 | 490 | 430 | 365 | 285 | 725 | 650 | 565 | 465 | 850 | 765 |
М 95 | 620 | 545 | 460 | 360 | 895 | 805 | 700 | 575 | 1050 | 945 |
М 120 | 720 | 635 | 535 | 420 | 1025 | 920 | 800 | 660 | 1205 | 1080 |
М 150 | 850 | 745 | 630 | 495 | 1190 | 1070 | 930 | 765 | 1395 | 1255 |
М 185 | 985 | 865 | 730 | 580 | 1365 | 1225 | 1070 | 875 | 1600 | 1435 |
Марка провода | Токовая нагрузка, А, при скорости ветра, м/с | |||||||||
4 | 6 | 8 | ||||||||
Температура воздуха, °C | ||||||||||
20 | 40 | -20 | 0 | 20 | 40 | -20 | 0 | 20 | 40 | |
АС 25/4,2 | 285 | 230 | 400 | 360 | 315 | 255 | 430 | 385 | 335 | 275 |
АС 35/6,2 | 365 | 300 | 515 | 465 | 400 | 330 | 555 | 495 | 430 | 350 |
АС 50/8,0 | 430 | 355 | 610 | 550 | 475 | 390 | 655 | 585 | 510 | 415 |
АС 70/11 | 535 | 440 | 760 | 680 | 590 | 485 | 810 | 730 | 630 | 515 |
АС 95/16 | 665 | 545 | 940 | 840 | 730 | 600 | 1005 | 900 | 780 | 640 |
АС 120/19 | 760 | 625 | 1075 | 960 | 835 | 685 | 1150 | 1030 | 895 | 730 |
АС 150/19 | 875 | 715 | 1235 | 1105 | 960 | 785 | 1320 | 1185 | 1030 | 840 |
АС 150/24 | 880 | 720 | 1240 | 1115 | 965 | 790 | 1330 | 1190 | 1035 | 845 |
АС 185/24 | 1015 | 835 | 1430 | 1285 | 1115 | 915 | 1530 | 1375 | 1195 | 995 |
АС 185/29 | 1000 | 820 | 1410 | 1265 | 1100 | 900 | 1510 | 1355 | 1175 | 960 |
АС 205/27 | 1080 | 885 | 1520 | 1365 | 1185 | 970 | 1625 | 1460 | 1265 | 1035 |
АС 240/32 | 1200 | 985 | 1690 | 1515 | 1315 | 1080 | 1810 | 1620 | 1410 | 1150 |
АС 240/39 | 1185 | 970 | 1670 | 1500 | 1300 | 1065 | 1785 | 1600 | 1390 | 1140 |
АС 300/39 | 1380 | 1130 | 1940 | 1740 | 1515 | 1240 | 2075 | 1865 | 1620 | 1325 |
АС 300/48 | 1365 | 1120 | 1925 | 1725 | 1500 | 1230 | 2060 | 1845 | 1605 | 1315 |
АС 330/30 | 1460 | 1200 | 2055 | 1845 | 1600 | 1315 | 2200 | 1975 | 1715 | 1405 |
АС 330/43 | 1460 | 1195 | 2055 | 1840 | 1600 | 1310 | 2195 | 1970 | 1710 | 1400 |
АС 400/64 | 1620 | 1330 | 2280 | 2040 | 1775 | 1455 | 2435 | 2185 | 1900 | 1560 |
АС 450/56 | 1730 | 1420 | 2435 | 2185 | 1900 | 1555 | 2605 | 2335 | 2030 | 1665 |
АС 500/27 | 1840 | 1510 | 2585 | 2320 | 2015 | 1665 | 2765 | 2480 | 2155 | 1765 |
АС 500/64 | 1875 | 1540 | 2635 | 2365 | 2055 | 1685 | 2815 | 2525 | 2195 | 1800 |
АС 600/72 | 2080 | 1705 | 2920 | 1620 | 2280 | 1870 | 3120 | 2800 | 2435 | 1995 |
М 50 | 545 | 445 | 770 | 690 | 600 | 490 | 825 | 740 | 640 | 525 |
М 70 | 665 | 545 | 935 | 840 | 730 | 595 | 1005 | 900 | 780 | 640 |
М 95 | 820 | 670 | 1160 | 1040 | 900 | 740 | 1240 | 1110 | 965 | 790 |
М 120 | 940 | 770 | 1325 | 1190 | 1035 | 845 | 1420 | 1275 | 1105 | 905 |
М 150 | 1090 | 895 | 1535 | 1380 | 1195 | 980 | 1645 | 1475 | 1280 | 1050 |
М 185 | 1250 | 1025 | 1760 | 1580 | 1370 | 1125 | 1885 | 1690 | 1465 | 1200 |
Марка провода | Токовая нагрузка, А, при скорости ветра, м/с | |||||||||
0 | 2 | 4 | ||||||||
Температура воздуха, °C | ||||||||||
-20 | 0 | 20 | 40 | -20 | 0 | 20 | 40 | -20 | 0 | |
АС 25/4,2 | 175 | 150 | 115 | 75 | 285 | 245 | 205 | 145 | 335 | 290 |
АС 35/6,2 | 235 | 195 | 155 | 100 | 365 | 320 | 260 | 185 | 430 | 375 |
АС 50/8,0 | 280 | 235 | 185 | 125 | 435 | 375 | 310 | 220 | 510 | 445 |
АС 70/11 | 355 | 300 | 235 | 155 | 540 | 470 | 385 | 275 | 635 | 550 |
АС 95/16 | 450 | 380 | 300 | 200 | 665 | 580 | 475 | 340 | 785 | 680 |
АС 120/19 | 525 | 440 | 350 | 230 | 765 | 665 | 545 | 385 | 900 | 780 |
АС 150/19 | 610 | 515 | 405 | 270 | 880 | 765 | 625 | 445 | 1030 | 895 |
АС 150/24 | 615 | 520 | 410 | 270 | 885 | 770 | 630 | 450 | 1040 | 900 |
АС 185/24 | 720 | 610 | 480 | 320 | 1020 | 890 | 730 | 520 | 1200 | 1040 |
АС 185/29 | 710 | 600 | 470 | 315 | 1005 | 875 | 715 | 510 | 1180 | 1025 |
АС 205/27 | 770 | 650 | 510 | 340 | 1085 | 940 | 775 | 550 | 1270 | 1105 |
АС 240/32 | 865 | 730 | 575 | 385 | 1205 | 1050 | 860 | 610 | 1415 | 1230 |
АС 240/39 | 855 | 720 | 570 | 380 | 1190 | 1035 | 850 | 605 | 1395 | 1215 |
АС 300/39 | 1005 | 850 | 670 | 445 | 1385 | 1205 | 990 | 705 | 1625 | 1410 |
АС 300/48 | 1000 | 845 | 665 | 447 | 1375 | 1195 | 980 | 700 | 1610 | 1400 |
АС 330/30 | 1070 | 905 | 715 | 475 | 1470 | 1280 | 1050 | 745 | 1720 | 1495 |
АС 330/43 | 1070 | 905 | 715 | 475 | 1465 | 1275 | 1050 | 745 | 1720 | 1495 |
АС 400/64 | 1205 | 1020 | 805 | 535 | 1625 | 1415 | 1165 | 830 | 1905 | 1655 |
АС 450/56 | 1295 | 1095 | 865 | 575 | 1740 | 1515 | 1245 | 885 | 2035 | 1770 |
АС 500/27 | 1375 | 1165 | 920 | 610 | 1850 | 1610 | 1320 | 940 | 2165 | 1880 |
АС 500/64 | 1410 | 1195 | 940 | 630 | 1885 | 1640 | 1350 | 960 | 2205 | 1915 |
АС 600/72 | 1580 | 1340 | 1055 | 705 | 2090 | 1820 | 1495 | 1065 | 2445 | 2125 |
М 50 | 350 | 295 | 230 | 155 | 545 | 475 | 390 | 275 | 640 | 560 |
М 70 | 435 | 370 | 290 | 190 | 665 | 580 | 475 | 335 | 785 | 680 |
М 95 | 550 | 465 | 365 | 240 | 825 | 715 | 585 | 415 | 970 | 840 |
М 120 | 640 | 540 | 425 | 280 | 945 | 820 | 675 | 480 | 1110 | 965 |
М 150 | 755 | 635 | 500 | 330 | 1095 | 950 | 780 | 555 | 1285 | 1115 |
М 185 | 875 | 740 | 585 | 385 | 1255 | 1090 | 895 | 635 | 1470 | 1280 |
Марка провода | Токовая нагрузка, А, при скорости ветра, м/с | |||||||||
4 | 6 | 8 | ||||||||
Температура воздуха, °C | ||||||||||
20 | 40 | -20 | 0 | 20 | 40 | -20 | 0 | 20 | 40 | |
АС 25/4,2 | 240 | 170 | 370 | 320 | 265 | 185 | 400 | 345 | 280 | 200 |
АС 35/6,2 | 305 | 215 | 475 | 415 | 340 | 240 | 510 | 440 | 360 | 255 |
АС 50/8,0 | 365 | 260 | 565 | 490 | 400 | 285 | 605 | 525 | 430 | 305 |
АС 70/11 | 450 | 320 | 700 | 605 | 495 | 350 | 748 | 650 | 530 | 375 |
АС 95/16 | 560 | 400 | 865 | 750 | 615 | 435 | 925 | 805 | 655 | 465 |
АС 120/19 | 640 | 455 | 990 | 860 | 705 | 500 | 1060 | 920 | 750 | 535 |
АС 150/19 | 735 | 520 | 1135 | 985 | 805 | 570 | 1215 | 1055 | 865 | 610 |
АС 150/24 | 740 | 525 | 1145 | 995 | 810 | 575 | 1225 | 1060 | 870 | 615 |
АС 185/24 | 855 | 605 | 1320 | 1145 | 935 | 665 | 1410 | 1225 | 1005 | 710 |
АС 185/29 | 840 | 595 | 1295 | 1125 | 920 | 655 | 1390 | 1205 | 985 | 700 |
АС 205/27 | 905 | 645 | 1400 | 1215 | 995 | 705 | 1495 | 1300 | 1065 | 755 |
АС 240/32 | 1005 | 715 | 1555 | 1350 | 1105 | 785 | 1665 | 1445 | 1185 | 840 |
АС 240/39 | 995 | 705 | 1535 | 1335 | 1095 | 775 | 1645 | 1426 | 1170 | 830 |
АС 300/39 | 1155 | 820 | 1785 | 1550 | 1270 | 900 | 1910 | 1660 | 1360 | 965 |
АС 300/48 | 1145 | 815 | 1770 | 1535 | 1260 | 895 | 1895 | 1645 | 1345 | 955 |
АС 330/30 | 1225 | 870 | 1890 | 1640 | 1345 | 955 | 2025 | 1755 | 1440 | 1020 |
АС 330/43 | 1225 | 870 | 1890 | 1640 | 1345 | 955 | 2020 | 1755 | 1435 | 1020 |
АС 400/64 | 1360 | 965 | 2095 | 1820 | 1490 | 1060 | 2240 | 1950 | 1595 | 1130 |
АС 450/56 | 1455 | 1030 | 2240 | 1945 | 1595 | 1130 | 2395 | 2080 | 1705 | 1210 |
АС 500/27 | 1540 | 1095 | 2375 | 2065 | 1690 | 1200 | 2540 | 2210 | 1810 | 1285 |
АС 500/64 | 1570 | 1115 | 2420 | 2105 | 1725 | 1225 | 2590 | 2250 | 1845 | 1310 |
АС 600/72 | 1745 | 1240 | 2685 | 2335 | 1910 | 1360 | 2870 | 2495 | 2045 | 1450 |
М 50 | 455 | 325 | 710 | 615 | 505 | 355 | 760 | 660 | 540 | 380 |
М 70 | 555 | 395 | 865 | 750 | 615 | 435 | 925 | 800 | 655 | 465 |
М 95 | 690 | 490 | 1065 | 925 | 755 | 535 | 1140 | 990 | 810 | 575 |
М 120 | 790 | 560 | 1220 | 1060 | 870 | 615 | 1310 | 1135 | 930 | 660 |
М 150 | 915 | 650 | 1415 | 1230 | 1005 | 715 | 1515 | 1315 | 1075 | 765 |
М 185 | 1050 | 745 | 1620 | 1405 | 1150 | 815 | 1736 | 1506 | 1235 | 875 |
Марка провода | Температура провода 40 °C | |||||||||||||||
Токовая нагрузка, А, при скорости ветра, м/с | ||||||||||||||||
0 | 2 | 4 | 6 | |||||||||||||
Температура воздуха, °C | ||||||||||||||||
-20 | 0 | 20 | -20 | 0 | 20 | -20 | 0 | 20 | -20 | 0 | 20 | |||||
АС 25/4,2 | 150 | 120 | 80 | 265 | 210 | 150 | 300 | 245 | 175 | 330 | 270 | 190 | ||||
| ||||||||||||||||
АС 35/6,2 | 200 | <...> | <...> | 325 | 270 | 190 | 385 | 315 | 225 | 425 | 356 | 245 | ||||
АС 50/8,0 | 240 | 190 | 120 | 385 | 315 | 225 | 455 | 375 | 265 | 505 | 410 | 290 | ||||
АС 70/11 | <...> | 240 | 160 | 480 | 395 | 280 | 565 | 465 | 330 | 625 | 510 | 360 | ||||
АС 95/16 | 385 | <...> | 200 | <...> | 490 | 345 | 700 | 575 | 405 | 770 | 630 | 450 | ||||
АС 120/19 | <...> | <...> | 230 | 680 | 560 | 395 | 800 | 655 | 465 | 885 | 720 | 510 | ||||
АС 150/19 | <...> | 410 | 270 | 785 | 640 | 455 | 920 | 755 | 535 | 1015 | 830 | 590 | ||||
АС 150/24 | <...> | 415 | 275 | 790 | 645 | 460 | 925 | 760 | 540 | 1020 | 835 | 590 | ||||
АС 185/24 | 615 | 485 | 320 | 910 | 745 | 530 | 1070 | 875 | 620 | 1175 | 965 | 685 | ||||
АС 185/29 | 605 | 475 | 315 | 898 | 735 | 520 | 1050 | 860 | 610 | 1160 | 950 | 670 | ||||
АС 205/27 | 660 | 515 | 340 | 965 | 790 | 560 | 1135 | 930 | 660 | 1250 | 1020 | 725 | ||||
АС 240/32 | 740 | 580 | 385 | 1075 | 880 | 625 | 1260 | 1035 | 735 | 1390 | 1135 | 805 | ||||
АС 240/39 | 730 | <...> | 380 | 1060 | 870 | 620 | 1245 | 1020 | 725 | 1370 | 1125 | 795 | ||||
АС 300/39 | 860 | 680 | 450 | 1235 | 1015 | 720 | 1450 | 1190 | 845 | 1595 | 1305 | 925 | ||||
АС 300/48 | 855 | 670 | 445 | 1225 | 1005 | 715 | 1435 | 1175 | 835 | 1580 | 1295 | 915 | ||||
АС 330/30 | 915 | 720 | 475 | 1310 | 1075 | 765 | 1535 | 1260 | 895 | 1690 | 1380 | 980 | ||||
АС 330/43 | 920 | 720 | 480 | 1305 | 1070 | 760 | 1530 | 1255 | 890 | 1685 | 1380 | 980 | ||||
АС 400/22 | 1030 | 810 | 535 | 1450 | 1190 | 850 | 1700 | 1385 | 990 | 1870 | 1530 | 1085 | ||||
АС 450/56 | 1105 | 870 | 580 | 1550 | 1270 | 905 | 1815 | 1490 | 1055 | 1200 | 1635 | 1160 | ||||
АС 500/27 | 1180 | 925 | 615 | 1645 | 1350 | 960 | 1930 | 1580 | 1122 | 2120 | 1735 | 1235 | ||||
АС 500/64 | 1210 | 950 | 630 | 1680 | 1375 | 980 | 1965 | 1610 | 1145 | 2160 | 1770 | 1255 | ||||
АС 600/72 | 1350 | 1085 | 705 | 1860 | 1530 | 1085 | 2180 | 1785 | 1270 | 2395 | 1960 | 1395 | ||||
М 50 | 300 | 235 | 155 | 485 | 400 | 285 | 574 | 470 | 335 | 635 | 520 | 365 | ||||
М 70 | 375 | 295 | 195 | 595 | 485 | 345 | 700 | 570 | 405 | 770 | 630 | 445 | ||||
М 95 | 470 | 370 | 245 | 735 | 600 | 425 | 865 | 710 | 500 | 950 | 780 | 550 | ||||
М 120 | 550 | 430 | 285 | 840 | 690 | 490 | 990 | 810 | 575 | 1090 | 895 | 635 | ||||
М 150 | 645 | 505 | 335 | 975 | 800 | 570 | 1145 | 940 | 665 | 1265 | 1035 | 735 | ||||
М 185 | 750 | 590 | 390 | 1120 | 915 | 650 | 1315 | 1075 | 765 | 1450 | 1185 | 840 | ||||
Марка провода | Температура провода 40 °C | Температура провода 20 °C | |||||||||||
Токовая нагрузка, А, при скорости ветра, м/с | |||||||||||||
8 | 0 | 2 | 4 | 6 | 8 | ||||||||
Температура воздуха, °C | |||||||||||||
-20 | 0 | 20 | -20 | 0 | -20 | 0 | -20 | 0 | -20 | 0 | -20 | 0 | |
АС 25/4,2 | 355 | 290 | 205 | 120 | 80 | 215 | 150 | 255 | 180 | 280 | 200 | 300 | 210 |
АС 35/6,2 | 455 | 375 | 265 | 160 | 105 | 275 | 195 | 325 | 230 | 360 | 255 | 385 | 275 |
АС 50/8,0 | 540 | 440 | 315 | 190 | 125 | 325 | 230 | 385 | 275 | 425 | 300 | 455 | 325 |
АС 70/11 | 670 | 545 | 390 | 245 | 160 | 405 | 290 | 478 | 340 | 525 | 375 | 565 | 400 |
АС 95/16 | 825 | 675 | 480 | 310 | 200 | 500 | 355 | 590 | 420 | 650 | 460 | 700 | 495 |
АС 120/19 | 945 | 775 | 550 | 360 | 235 | 575 | 410 | 675 | 480 | 745 | 530 | 800 | 565 |
АС 150/19 | 1085 | 890 | 630 | 415 | 275 | 660 | 470 | 775 | 550 | 855 | 605 | 915 | 650 |
АС 150/24 | 1095 | 895 | 635 | 420 | 275 | 665 | 470 | 780 | 555 | 860 | 610 | 925 | 655 |
АС 185/24 | 1260 | 1030 | 730 | 490 | 325 | 765 | 545 | 900 | 640 | 995 | 705 | 1065 | 755 |
АС 185/29 | 1240 | 1015 | 720 | 485 | 320 | 755 | 535 | 890 | 630 | 980 | 695 | 1050 | 740 |
АС 205/27 | 1335 | 1095 | 775 | 525 | 345 | 815 | 580 | 955 | 680 | 1055 | 745 | 1130 | 800 |
АС 240/32 | 1485 | 1215 | 865 | 590 | 390 | 905 | 645 | 1065 | 755 | 1170 | 830 | 1255 | 890 |
АС 240/39 | 1470 | 1200 | 850 | 585 | 385 | 895 | 635 | 1050 | 745 | 1155 | 820 | 1240 | 880 |
АС 300/39 | 1705 | 1995 | 990 | 690 | 455 | 1040 | 740 | 1220 | 865 | 1345 | 955 | 1440 | 1020 |
АС 300/48 | 1690 | 1385 | 980 | 680 | 450 | 1030 | 730 | 1210 | 860 | 1335 | 945 | 1425 | 1010 |
АС 330/30 | 1805 | 1400 | 1080 | 730 | 480 | 1100 | 785 | 1295 | 920 | 1425 | 1010 | 1525 | 1080 |
АС 330/43 | 1805 | 1475 | 1050 | 730 | 480 | 1100 | 780 | 1290 | 915 | 1420 | 1010 | 1520 | 1080 |
АС 400/22 | 2005 | 1635 | 1165 | 825 | 540 | 1220 | 870 | 1435 | 1020 | 1575 | 1120 | 1690 | 1200 |
АС 450/56 | 2140 | 1750 | 1240 | 885 | 580 | 1305 | 925 | 1530 | 1085 | 1685 | 1195 | 1805 | 1280 |
АС 500/27 | 2270 | 1860 | 1320 | 940 | 620 | 1385 | 985 | 1620 | 1155 | 1790 | 1270 | 1915 | 1360 |
АС 500/64 | 2315 | 1895 | 1345 | 960 | 435 | 1410 | 1005 | 1655 | 1175 | 1825 | 1295 | 1950 | 1385 |
АС 600/72 | 2565 | 2100 | 1490 | 1080 | 715 | 1565 | 1115 | 1835 | 1305 | 2020 | 1435 | 2165 | 1535 |
М 50 | 680 | 555 | 395 | 239 | 155 | 410 | 290 | 485 | 345 | 535 | 380 | 575 | 405 |
М 70 | 825 | 675 | 480 | 300 | 195 | 500 | 355 | 590 | 420 | 650 | 460 | 700 | 495 |
М 95 | 1020 | 835 | 590 | 375 | 245 | 620 | 440 | 730 | 515 | 805 | 570 | 860 | 610 |
М 120 | 1170 | 955 | 680 | 440 | 285 | 710 | 505 | 835 | 595 | 920 | 655 | 990 | 700 |
М 150 | 1355 | 1110 | 785 | 515 | 340 | 820 | 585 | 970 | 685 | 1065 | 755 | 1145 | 810 |
М 185 | 1550 | 1270 | 900 | 600 | 395 | 940 | 670 | 1110 | 785 | 1220 | 865 | 1310 | 930 |