Главная // Актуальные документы // МетодикаСПРАВКА
Источник публикации
М.: Издательство стандартов, 1988
Примечание к документу
Документ
введен в действие с 1 июля 1988 года.
Взамен ГОСТ 8.329-78.
Название документа
"МИ 1835-88. Методические указания. Государственная система обеспечения единства измерений. Частотомеры электронно-счетные. Методика поверки"
(утв. НПО "ВНИИФТРИ" 28.08.1987)
"МИ 1835-88. Методические указания. Государственная система обеспечения единства измерений. Частотомеры электронно-счетные. Методика поверки"
(утв. НПО "ВНИИФТРИ" 28.08.1987)
НПО "ВНИИФТРИ"
28 августа 1987 года
ГОСУДАРСТВЕННЫЙ КОМИТЕТ СССР ПО СТАНДАРТАМ
МЕТОДИЧЕСКИЕ УКАЗАНИЯ
ГОСУДАРСТВЕННАЯ СИСТЕМА ОБЕСПЕЧЕНИЯ ЕДИНСТВА ИЗМЕРЕНИЙ
ЧАСТОТОМЕРЫ ЭЛЕКТРОННО-СЧЕТНЫЕ.
МЕТОДИКА ПОВЕРКИ
МИ 1835-88
Группа Т88
Взамен ГОСТ 8.329-78
Дата введения
1 июля 1988 года
Разработаны НПО "ВНИИФТРИ".
Исполнитель
Канд. техн. наук В.Н. Титов.
Подготовлены к утверждению сектором научно-методических основ стандартизации НПО "ВНИИФТРИ".
Начальник сектора Б.Н. Крупин.
Инженер О.В. Знаткова.
Утверждены НПО "ВНИИФТРИ" 28 августа 1987 г.
Настоящие методические указания распространяются на электронно-счетные частотомеры (далее - ЧЭС) прямого счета по ГОСТ 22335-85, верхний предел диапазона измерения частоты которых не превышает 1 ГГЦ, и устанавливают методику их первичной и периодической поверок.
Методические указания распространяются на ЧЭС, выпускаемые как самостоятельные средства измерений, так и на базовые блоки ЧЭС, конструктивно объединенные с устройствами, расширяющими их функциональные возможности, в том числе с устройствами, выполненными в виде вставных блоков. Вставные блоки, не являющиеся самостоятельными средствами измерений, поверяют совместно с ЧЭС по методикам поверки, приведенным в технических описаниях на вставные блоки.
Методические указания не распространяются на ЧЭС, требующие вспомогательных мер частоты или подстройку частоты внутреннего генератора в межповерочный интервал.
1.1. При проведении поверки должны быть выполнены следующие операции: внешний осмотр
(п. 6.1); опробование
(п. 6.2); определение метрологических характеристик
(п. 6.3); определение основной относительной погрешности измерения частоты
(п. 6.3.1); определение основной относительной погрешности измерения периода
(п. 6.3.3).
2.1. Для проведения поверки рекомендуются следующие средства:
2.1.1. Рубидиевый стандарт частоты и времени, относительная погрешность по частоте которого не превышает

.
2.1.2. Вольтметр переменного тока (или набор вольтметров переменного тока) в диапазоне частот 20 Гц - 1 ГГц, диапазоне напряжений 0,05 - 1,0 В с относительной погрешностью не более 25%.
2.1.3. Синтезатор частоты Ч6-72 по ДЛИ2.721.008ТУ в диапазоне частот 0,01 Гц - 520 МГц. Погрешность по частоте определяется погрешностью внешнего сигнала.
2.1.4. Синтезатор частоты Ч6-71 по ДЛИ2.721.001ТУ в диапазоне частот 10 МГц - 1,3 ГГц. Погрешность по частоте определяется погрешностью внешнего сигнала.
Примечания.
1. Возможные замены указанных средств поверки даны в справочном
Приложении 1.
2. Если поверочная лаборатория не рассчитана на поверку ЧЭС с верхним пределом диапазона частот свыше 500 МГц, в синтезаторе частоты Ч6-71 нет необходимости.
3. Указанные в
пп. 2.1.1 -
2.1.4 средства поверки могут быть заменены автоматизированным комплексом или установкой для поверки ЧЭС. Относительная погрешность не должна превышать

. Следует учесть, что такие установки не охватывают поверкой все типы ЧЭС, а только те, что имеют специальные разъемы для выдачи измерительной информации на регистрирующие устройства. Кроме того, эти установки могут иметь ограниченный сверху диапазон частот.
2.2. Если поверочная лаборатория расположена в зоне уверенного приема радиостанций РБУ или РТЗ или регионального телевизионного центра, транслирующего передачи 1-й и (или) 2-й общесоюзной программы центрального телевидения по наземным каналам связи или передающего сигналы частоты, контролируемые Государственной службой времени и частоты СССР, то частоту образцовой меры (рубидиевого стандарта или кварцевого генератора) с целью повышения ее точности и надежности рекомендуется контролировать по этим сигналам с помощью следующих средств измерений:
2.2.1. Приемника-компаратора для приема сигналов частоты 50 кГц или 66,6(6) кГц, передаваемых по радио.
2.2.2. Приемника-компаратора для приема сигналов частоты, передаваемых по каналам телевидения.
Примечание. Типы и возможные замены приемников-компараторов приведены в справочном
Приложении 1.
2.3. Допускается использовать другие средства поверки с аналогичными характеристиками.
2.4. Все применяемые средства поверки должны иметь действующие свидетельства об их аттестации (поверке).
3. ТРЕБОВАНИЯ БЕЗОПАСНОСТИ
3.1. При поверке должны быть соблюдены все правила техники безопасности на ЧЭС и на средства поверки, изложенные в эксплуатационной документации на эти устройства.
4.1. При проведении поверки должны быть соблюдены следующие условия:
температура окружающего воздуха (20 +/- 5) °C, относительная влажность (65 +/- 15)%,
напряжение питания 220 В +/- 2% при частоте 50 Гц +/- 10% при содержании гармоник до 5%.
5.1. Перед началом поверки ЧЭС средства поверки должны быть включены для самопрогрева на время, указанное в эксплуатационной документации на эти устройства.
6.1.1. При внешнем осмотре устанавливают:
исправность всех органов управления,
отсутствие механических повреждений, могущих затруднить работу с ЧЭС.
При несоблюдении этих требований ЧЭС в поверку не допускают.
6.2.1. При опробовании выполняют следующие операции:
Переключатель "род работы" ЧЭС устанавливают в положение "контроль" и проводят операции в соответствии с указаниями, изложенными в техническом описании ЧЭС.
Если требования технического описания не выполняются, ЧЭС бракуют.
6.2.2. С целью проверки правильности высвечивания цифрового табло ЧЭС синтезатор частоты (или средства, выдающие заданные частоты) и поверяемый ЧЭС переводят в режим работы от внешнего генератора, используя для этого стандарт частоты (см.
черт. 1 справочного Приложения 2). ЧЭС устанавливают в режим измерения частоты. От синтезатора частоты на вход поверяемого ЧЭС последовательно подают сигналы с такими значениями частот, чтобы в каждом разряде цифрового табло хотя бы один раз высветились все цифры от 0 до 9, например, 111111111, 222222222 Гц и так далее.
Если хотя бы один из индикаторов цифрового табло не высвечивается или высвечивается неправильно, ЧЭС бракуют.
При невозможности одновременного охвата всех разрядов цифрового табло ЧЭС измерения следует провести в два приема: сначала ЧЭС поставить в такой режим, чтобы высвечивались верхние разряды, а затем, чтобы высвечивались нижние.
6.3. Определение метрологических характеристик
6.3.1. Для определения основной относительной погрешности измерения частоты ЧЭС переводят в режим работы от внутреннего кварцевого генератора, синтезатор частоты (или средства, выдающие заданные частоты) оставляют в режиме работы от внешнего генератора (стандарта частоты). На вход ЧЭС подают сигнал с частотой, близкой к частоте верхнего предела диапазона частот, измеряемых ЧЭС (не более чем на 20% ниже частоты верхнего предела), и с напряжением, равным минимальному входному напряжению, при котором ЧЭС должен нормально работать (см. справочное
Приложение 3).
При отсутствии у синтезатора частоты градуированного по напряжению выхода сигнала необходимо значение этого напряжения контролировать вольтметром (см.
черт. 2 справочного Приложения 2).
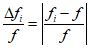
Проводят серию из десяти наблюдений и для каждого из них определяют значение основной относительной погрешности измерения частоты

по формуле

, (1)
где

- значение i-го наблюдения на ЧЭС при подаче на него сигнала с частотой f от синтезатора частоты.
По крайней мере 9 значений из 10 должны удовлетворять условию
| | ИС МЕГАНОРМ: примечание. При публикации в издании М.: Издательство стандартов, 1988 допущен типографский брак. Текст, не пропечатанный в официальном тексте документа, в электронной версии данного документа выделен треугольными скобками. | |

, (2)
где

- допускаемое за межповерочный интервал значение относительной погрешности по частоте внутреннего кварцевого генератора ЧЭС в соответствии с его техническим описанием (см. справочное
Приложение 3), K - значение единицы последнего разряда на цифровом табло ЧЭС.
Примечания.
1. Если напряжение на выходе синтезатора частоты не регулируется, допускается подавать на ЧЭС сигнал без его регулировки при условии, что его напряжение находится в пределах, установленных для ЧЭС. В этом случае необходимо проверить работоспособность ЧЭС при минимальном входном напряжении, используя для этого сигнал генератора с регулируемым выходным напряжением, например, Ч4-107 или Ч4-117.
2. Для ЧЭС, у которых формула для расчета основной относительной погрешности измерения частоты отлична от
формулы (2), следует использовать формулу, приведенную в техническом описании ЧЭС.
3. Значение

если у данного типа ЧЭС оно не задано, следует рассчитывать по формуле

, (3)
где

- заданное за наибольший интервал времени t значение основной относительной погрешности измерения частоты, а

- межповерочный интервал времени.
6.3.2. После определения основной относительной погрешности измерения частоты, если ее значение превышает

, проводят подстройку частоты внутреннего кварцевого генератора ЧЭС.
Для этого на ЧЭС от синтезатора частоты подают сигнал со значением частоты, близким к значению частоты верхнего предела диапазона частот, измеряемых ЧЭС, и изменяют частоту внутреннего кварцевого генератора так, чтобы показания ЧЭС по значению совпали со значением чистоты сигнала, поданного на ЧЭС.
Затем ЧЭС выключают и не ранее, чем через полчаса, включают снова. Спустя время, установленное для самопрогрева данного типа ЧЭС, вновь определяют основную относительную погрешность измерения частоты. Если окажется, что после этого ее значение выходит за предел

, подстройку внутреннего кварцевого генератора повторяют. Если после очередного выключения, включения и прогрева ЧЭС его частота снова превысит

, ЧЭС бракуют. ЧЭС бракуют также при невозможности подстройки частоты встроенного кварцевого генератора ЧЭС.
6.3.3. Для определения основной относительной погрешности измерения периода ЧЭС устанавливают в режим измерения периода при работе от внутреннего генератора, синтезатор частоты (или средства, выдающие заданные периоды) оставляют в режиме работы от внешнего стандарта частоты и на вход ЧЭС подают сигнал с частотой 20 Гц (или 50 Гц, если синтезатор не выдает сигнала с частотой 20 Гц) и с напряжением, равным наименьшему входному напряжению, при котором ЧЭС должен нормально работать. Это напряжение рекомендуется контролировать вольтметром (см.
черт. 2 справочного Приложения 2).
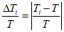
Проводят серию из десяти наблюдений и для каждого из них определяют значение основной относительной погрешности измерений периода

по формуле

, (4)
где

- период, измеренный ЧЭС, а T - период повторения сигнала, поданного на ЧЭС, который с частотой f связан соотношением

. (5)
По крайней мере 9 значений из 10 должны удовлетворять неравенству

(6)
где

- частота заполнения.
Аналогичные измерения проводят на верхней частоте диапазона частот, установленного для ЧЭС в режиме измерения периода.
Примечание. Если напряжение выходного сигнала синтезатора частоты не регулируется, допускается подавать на ЧЭС сигнал без его регулировки при условии, что его напряжение находится в пределах, установленных для ЧЭС. В этом случае необходимо проверить работоспособность ЧЭС при минимальном выходном напряжении, используя для этого сигнал генератора с регулируемым выходным напряжением, например, Г4-107 или Г4-117.
6.4. Допускается проводить поэлементную поверку ЧЭС. Для этого одним из методов, указанных в
ГОСТ 8.465-82, определяют относительную погрешность по частоте внутреннего кварцевого генератора, используя для этого сигнал стандарта частоты или принимаемый по радио или телевизионному каналу с помощью приемника-компаратора.
Модуль относительной погрешности по частоте внутреннего кварцевого генератора не должен превышать

. При несоблюдении этого условия ЧЭС бракуют.
При положительных результатах поэлементной поверки проводят подстройку по частоте внутреннего генератора либо по методу, описанному в
п. 6.3.2 настоящего методического указания, либо одним из способов, указанных в
ГОСТ 8.465-82, так, чтобы относительная погрешность по частоте внутреннего кварцевого генератора не превышала

.
Правильность работы в различных режимах определяют при его самоконтроле.
При поэлементной поверке на обороте свидетельства о поверке указывают о ее проведении.
6.5. При поверке в случае необходимости могут быть определены также метрологические и технические характеристики ЧЭС, не предусмотренные
пп. 6.2.2,
6.3.1,
6.3.3,
6.4, например:
- после ремонта ЧЭС необходимо установить его работоспособность при минимальных входных напряжениях при всех режимах его работы:
после замены при ремонте внутреннего кварцевого генератора должны быть, а по требованию потребителя могут быть определены дополнительно метрологические характеристики внутреннего кварцевого генератора в соответствии с ГОСТ 8.465-82;
по требованию потребителя могут быть определены метрологические характеристики ЧЭС при подаче на него сигнала импульсной формы.
Значения дополнительных характеристик следует записывать на обратной стороне свидетельства о поверке ЧЭС.
7. ОФОРМЛЕНИЕ РЕЗУЛЬТАТОВ ПОВЕРКИ
7.1. На ЧЭС, признанные годными, после государственной поверки выдают свидетельства установленной формы сроком на 1 год. Подстроенный элемент внутреннего генератора пломбируют или клеймят для исключения доступа к нему.
7.2. Ведомственную поверку проводят по тем же правилам, что и государственную, однако в этом случае межповерочный интервал может быть уменьшен, что дает возможность приписать ЧЭС большую точность.
Результаты ведомственной поверки ЧЭС допускается оформлять в соответствующих разделах их эксплуатационной документации. Эти результаты должны быть заверены подписью поверителя и оттиском поверительного клейма.
7.3. При отрицательных результатах поверки, проведенной в органах государственной метрологической службы, свидетельство о поверке аннулируют, клейма предыдущей поверки гасят и выдают извещение о непригодности.
При отрицательных результатах ведомственной поверки запрещение выпуска в обращение ЧЭС проводят по правилам, принятым в метрологической службе.
Справочное
РЕКОМЕНДУЕМЫЕ ТИПЫ СРЕДСТВ ПОВЕРКИ И ИХ ВОЗМОЖНЫЕ ЗАМЕНЫ
N пп | Наименование средства поверки | Рекомендуемые типы | Возможная замена |
1 | Стандарт частоты и времени рубидиевый | Ч1-69 | Ч1-50 |
Ч1-73 |
Ч1-77 |
Ч1-78 |
Ч1-53 при использовании эталонных сигналов частоты, передаваемых по радио и телевизионным каналам |
2 | Вольтметр переменного тока | В3-43 | В3-52/1 |
В3-44 | В3-55А |
3 | Синтезатор частоты | Ч6-71 | - |
4 | Синтезатор частоты | Ч6-72 | Комплект в составе: Ч6-31 |
Ч6-2 |
Г4-107 (Г4-151) |
Г4-117 (Г4-153) |
5 | Приемник-компаратор | Ч7-10 | ПЧ-66, ПК-66 |
ПК-50 | - |
ПКТ | УПТВ |
Справочное
Справочное
ОСНОВНЫЕ ТЕХНИЧЕСКИЕ ДАННЫЕ ЧЭС
Тип ЧЭС |  в <...> | Измерение частоты | Измерение периода |
Диапазоны |  , мин в В | Диапазоны |  , мин в В |
ЧЗ-20 | 10 | 10 Гц - 12 МГц | 0,1 | | 0,1 |
ЧЗ-22 | 10 | 10 Гц - 12 МГц | 0,1 | | 0,1 |
ЧЗ-24 | 10 | 10 Гц - 50 МГц | 0,1 | | 0,1 |
ЧЗ-28 | 200 | 10 Гц - 2 МГц | 0,1 | 100 кГц - 10 Гц | 0,3 |
ЧЗ-32 | 100 | 10 Гц - 3 МГц | 0,1 | 100 кГц - 10 Гц | 0,5 |
ЧЗ-33 | 100 | 10 Гц - 1 МГц | 0,1 | 100 кГц - 10 Гц | 0,5 |
ЧЗ-34 | 4 | 10 Гц - 120 МГц | 0,1 | | 0,5 |
ЧЗ-34А | 40 | 10 Гц - 120 МГц | 0,1 | | 0,5 |
ЧЗ-35 | 4 | 10 Гц - 50 МГц | 0,1 | | 0,5 |
ЧЗ-35А | 10 | 10 Гц - 50 МГц | 0,1 | | 0,5 |
ЧЗ-36 | 5 | 10 Гц - 50 МГц | 0,1 | | 0,5 |
ЧЗ-37 | 5 | 0 - 10 МГц | 0,1 | 1 МГц - 0 | 0,1 |
ЧЗ-38 | 5 | 0 - 50 МГц | 0,1 | 1 МГц - 0 | 0,1 |
ЧЗ-39 | 5 | 10 Гц - 200 МГц | 0,1 | 1 МГц - 0 | 0,1 |
ЧЗ-41 | 5 | 10 Гц - 5 МГц | 0,1 | 100 кГц - 10 Гц | 0,1 |
5 - 20 МГц | 0,2 |
ЧЗ-44 | 140 | 0,1 Гц - 60 МГц | 0,1 | - | - |
ЧЗ-52 | 5 | 0,1 Гц - 12 МГц | 0,1 | - | - |
ЧЗ-54 | 5 | 0,1 Гц - 200 МГц | 0,1 | 1 МГц - 0 | 0,1 |
ЧЗ-57 | 5 | 0,1 Гц - 100 МГц | 0,1 | | 0,1 |
ЧЗ-63 | 5 | 0,1 Гц - 200 МГц | 0,03 | | 0,03 |

- допускаемое за межповерочный интервал, равный 1 году, значение относительной погрешности по частоте внутреннего кварцевого генератора.