Главная // Актуальные документы // МетодикаСПРАВКА
Источник публикации
М.: Издательство стандартов, 1986
Примечание к документу
Документ
введен в действие с 01.01.1987.
Название документа
"МИ 1201-86. Методические указания. Государственная система обеспечения единства измерений. Анализаторы спектра последовательного действия. Методика поверки"
(утв. Протоколом Научно-технического совета НПО "Метрология" от 20.12.1985 N 10)
"МИ 1201-86. Методические указания. Государственная система обеспечения единства измерений. Анализаторы спектра последовательного действия. Методика поверки"
(утв. Протоколом Научно-технического совета НПО "Метрология" от 20.12.1985 N 10)
Протоколом Научно-технического совета
НПО "Метрология"
от 20 декабря 1985 г. N 10
МЕТОДИЧЕСКИЕ УКАЗАНИЯ
ГОСУДАРСТВЕННАЯ СИСТЕМА ОБЕСПЕЧЕНИЯ ЕДИНСТВА ИЗМЕРЕНИЙ.
АНАЛИЗАТОРЫ СПЕКТРА ПОСЛЕДОВАТЕЛЬНОГО ДЕЙСТВИЯ.
МЕТОДИКА ПОВЕРКИ
МИ 1201-86
Введены в действие
с 1 января 1987 года
РАЗРАБОТАНЫ Харьковским научно-производственным объединением "Метрология" (НПО "Метрология")
ИСПОЛНИТЕЛИ:
Павленко Ю.Ф., канд. техн. наук (руководитель темы);
Славинский С.И.
ПОДГОТОВЛЕНЫ К УТВЕРЖДЕНИЮ научно-исследовательским сектором стандартизации
Начальник сектора Егошин Р.А.
УТВЕРЖДЕНЫ Научно-техническим советом НПО "Метрология" (протокол от 20 декабря 1985 г. N 10).
Настоящие методические указания распространяются на анализаторы спектра последовательного действия, осуществляющие анализ распределения мощности и амплитуды сигнала как функции частоты, работающие в диапазоне частот 10 Гц - 17,44 ГГц, и устанавливают методику их периодической поверки.
| | ИС МЕГАНОРМ: примечание. Взамен ГОСТ 22261-82 Постановлением Госстандарта России от 15.05.1995 N 250 с 01.01.1996 введен в действие ГОСТ 22261-94. | |
Основные термины, параметры и характеристики поверяемых анализаторов спектра последовательного действия (АС) устанавливаются в соответствии с ГОСТ 22741-77 и ГОСТ 22261-82.
Методические указания не распространяются на анализаторы спектра, встроенные в другие изделия и не предназначенные для самостоятельного применения.
1. ОПЕРАЦИИ И СРЕДСТВА ПОВЕРКИ
1.1. При проведении поверки должны быть выполнены операции и применены средства поверки, указанные в
табл. 1.
Наименование операции | Номера пунктов методики | Средства поверки и их основные технические характеристики |
1 | 2 | 3 |
Внешний осмотр | | - |
Опробование | | - |
Определение метрологических характеристик | | |
Определение основной погрешности измерения частоты входного синусоидального сигнала | | Измерительные генераторы сигналов: Г3-110: диапазон частот 0,01 Гц - 2 МГц, погрешность установки частоты +/- 3·10-7·f Гц; Г4-102: диапазон частот 0,1 - 50 МГц, погрешность установки частоты +/- 1%; Г4-139: диапазон частот 0,5 - 512 МГц, погрешность установки частоты 5·10-7·f; Г4-76А: диапазон частот 0,4 - 1,2 ГГц, погрешность установки частоты +/- 1%; Г4-78 - Г4-83: диапазон частот 1,16 - 10,5 ГГц, погрешность установки частоты +/- 0,5%; Г4-111: диапазон частот 6 - 17,85 ГГц, погрешность установки частоты +/- 0,5%. Электронно-счетные частотомеры: Ч3-58: диапазон частот 10 Гц - 18 ГГц, погрешность по частоте внутреннего кварцевого генератора 2,5·10-7 (за 6 мес.); Ч3-54: диапазон частот 0,1 Гц - 300 МГц, 0,3 - 7 ГГц (с блоком ЯЗЧ-72), относительная погрешность 1,5·10-7 за 1 мес. Синтезатор частоты Ч6-71: диапазон частот 10 - 1299,999 МГц, погрешность частоты кварцевого генератора после 2 ч самопрогрева +/- 1·10-8. |
Определение полос обзора | | Измерительные генераторы сигналов: Г3-110, Г4-102, Г4-139, Г4-76А, Г4-78 - Г4-83, Г4-111. Электронно-счетные частотомеры: Ч3-58, Ч3-54. |
Определение полос пропускания | | Измерительные генераторы сигналов: Г3-110, Г4-102, Г4-139, Г4-76А. Электронно-счетные частотомеры: Ч3-58, Ч3-54. Вольтметр В3-49: диапазон измеряемых напряжений 10 мВ - 100 В, диапазон частот 20 Гц - 1000 МГц, погрешность измерения  . |
Определение нестабильности частоты настройки | | Измерительный генератор сигналов: Г3-110. Синтезатор частоты: Ч6-71. Электронно-счетные частотомеры: Ч3-58, Ч3-54. |
Определение паразитной девиации частоты гетеродина | | Измерители девиации частоты: СК3-39: диапазон частот 0,1 - 50 МГц, пределы измерения девиации 1·10-3 - 30 кГц. Основная погрешность 5%; СК3-40: диапазон частот 4 - 1000 МГц, пределы измерения девиации 0,5 - 500 кГц, основная погрешность 3%; СК3-45: диапазон частот 0,1 - 10000 МГц, пределы измерения девиации 1·106 Гц, погрешность измерения девиации 2%. Установка образцовая измерительная К2-38: диапазон фиксированных частот: несущих 0,128 - 1000 МГц, модулирующих - 0,02 - 200 кГц; пределы калиброванных значений девиации частоты 1 - 106 Гц; погрешность установки калиброванных значений девиации частоты: парциальных - 0,4%, пиковых - (0,7 - 1,5)%. Установка измерительная К2-44: несущие частоты - 1, 3, 6, 9 ГГц, уровень собственного частотного фона и шума (СК3) - 3·10-8·fс + 15 Гц (в полосе 0,02 - 200 кГц). |
Определение погрешности измерения частотных интервалов | | Измерительные генераторы сигналов: Г3-110, Г4-102, Г4-139, Г4-76А. Электронно-счетные частотомеры: Ч3-58, Ч3-54. |
Определение среднего уровня собственных шумов | | Вольтметр В3-49. Ваттметр М3-51: диапазон частот 0,02 - 17,85 ГГц, пределы измерения мощности 1 мкВт - 10 мВт, основная погрешность без учета рассогласования  . Измерительные генераторы сигналов: Г3-110, Г4-102, Г4-139, Г4-76А, Г4-78 - Г4-83, Г4-111. Электронно-счетные частотомеры: Ч3-58, Ч3-54. |
Определение неравномерности АЧХ в установленной полосе частот | | Измерительные генераторы сигналов: Г3-110, Г4-102, Г4-139, Г4-76А, Г4-78 - Г4-83, Г4-111. Электронно-счетные частотомеры: Ч3-58, Ч3-54. Ваттметр: М3-51. Милливольтметр В3-59: диапазон частот 10 Гц - 100 МГц, диапазон измерения напряжения 0,265 мВ - 300 В, основная погрешность +/- (0,4 - 2,5)%. Преобразователи падающей мощности: Я2М-21, Я2М-22, Я2М-23, Я2М-24: диапазон частот 0,15 - 10 ГГц, погрешность коэффициента передачи  не превышает +/- 2,5%. Калибратор СВЧ мощности М1-8А: диапазон частот 8,24 - 12,05 ГГц, погрешность +/- 1,5%. Калибратор СВЧ мощности М1-9А: диапазон частот 12 - 16,7 ГГц, погрешность +/- 1,5%. Калибратор СВЧ мощности М1-10А: диапазон частот 16,7 - 25,86 ГГц, погрешность +/- 1,5%. Мост термисторный образцовый МТ-3: пределы измеряемой мощности 10 - 10000 мкВт, основная погрешность  . |
Определение основной погрешности измерения отношения уровней синусоидальных сигналов | | Установка измерительная образцовая К2-38. Аппаратура для поверки измерителей коэффициента АМ К2-34: диапазон фиксированных частот: несущих 10 кГц - 425 МГц, модулирующих - 30 Гц - 200 кГц, пределы установки калиброванных значений коэффициента АМ 0,1 - 100%, погрешность установленного значения коэффициента АМ +/- (0,5·10-2 М + 0,07)%. Установка измерительная К2-44. Измерительные генераторы сигналов: Г3-110, Г4-102, Г4-139, Г4-76А. Электронно-счетные частотомеры: Ч3-58, Ч3-54. Вольтметр В3-49. Милливольтметр В3-59. Аттенюатор ступенчатый образцовый Д1-13: диапазон частот 0 - 5 МГц, диапазон ослаблений 0 - 90 дБ (через 10 дБ), погрешность +/- 0,04 дБ. Установка для поверки аттенюаторов ДК1-12: диапазон частот 10-4 - 17,44 ГГц, пределы измерения ослабления 0 - 120 дБ, погрешность измерения 0 - 0,06 дБ (до 70 дБ). |
(в полосе частот) | |
Погрешность измерения уровней синусоидальных сигналов или спектральных составляющих сигнала | | Измерительные генераторы сигналов: Г3-110, Г4-102, Г4-139, Г4-76А. Электронно-счетные частотомеры: Ч3-58, Ч3-54. Вольтметр В3-49. Милливольтметр В3-59. |
(в полосе частот) | | Аттенюатор ступенчатый образцовый Д1-13. Установка измерительная образцовая К2-38. Установка измерительная К2-44. Установка для поверки аттенюаторов ДК1-12. Аппаратура для поверки измерителей коэффициента АМ К2-34. Установка для поверки вольтметров В1-8: диапазон выходных напряжений переменного и постоянного токов 10 мкВ - 300 В, погрешность +/- (0,2 - 0,5)%. |
Относительный уровень помех, обусловленных интермодуляционными искажениями третьего порядка | | Измерительные генераторы сигналов: Г3-110, Г4-102, Г4-139, Г4-76А, Г4-78 - Г4-83, Г4-111. Электронно-счетные частотомеры: Ч3-58, Ч3-54. Вольтметр В3-49. Ваттметр М3-51. |
Относительный уровень помех, обусловленных побочными каналами приема | | Измерительные генераторы сигналов: Г3-110, Г4-102, Г4-139, Г4-76А, Г4-78 - Г4-83, Г4-111. Электронно-счетные частотомеры: Ч3-58, Ч3-54. Вольтметр В3-49. Ваттметр М3-51. |
Относительный уровень помех, обусловленных гармоническими искажениями | | Измерительные генераторы сигналов: Г3-110, Г4-102, Г4-139, Г4-76А, Г4-78 - Г4-83, Г4-111. Электронно-счетные частотомеры: Ч3-58, Ч3-54. Вольтметр В3-49. Ваттметр М3-51. Измеритель нелинейных искажений СК6-13: диапазон измеряемых коэффициентов гармоник 0,003 - 100 в диапазоне частот 10 Гц - 120 кГц, коэффициент гармоник выходного напряжения генератора не превышает (0,002 - 0,02). |
Относительный уровень модуляционных составляющих с частотами, кратными частоте питающей сети, и шумов вблизи несущей | | Электронно-счетные частотомеры: Ч3-58, Ч3-54. Установка измерительная образцовая К2-38. Стандарт частоты Ч1-69: частота выходных сигналов 0,1; 1; 5 МГц; ослабление сетевых составляющих спектра выходного сигнала 5 МГц >= 80 дБ. |
| | ИС МЕГАНОРМ: примечание. Взамен ГОСТ 22261-82 Постановлением Госстандарта России от 15.05.1995 N 250 с 01.01.1996 введен в действие ГОСТ 22261-94. | |
1.2. Допускается применять другие вновь разработанные или находящиеся в эксплуатации средства поверки, прошедшие поверку в органах Государственной или, с их разрешения, ведомственной метрологической службы, и удовлетворяющие требованиям ГОСТ 22261-82.
2. ТРЕБОВАНИЯ БЕЗОПАСНОСТИ
3. УСЛОВИЯ ПОВЕРКИ И ПОДГОТОВКА К НЕЙ
3.1. При проведении поверки должны быть соблюдены нормальные условия по ГОСТ 22261-82 и условия, оговоренные в нормативно-технической документации (техническом описании и инструкции по эксплуатации - далее НТД) на прибор.
3.2. Перед проведением операций поверки необходимо выполнить подготовительные работы, оговоренные в разделе "Подготовка к проведению измерений" НТД на прибор.
При внешнем осмотре должно быть установлено соответствие анализатора спектра требованиям НТД, а также выполнены требования раздела "Общие указания по эксплуатации" ТО поверяемого прибора.
При обнаружении дефектов поверку не проводят и прибор бракуют.
Опробование прибора производится в соответствии с пунктом "Подготовка к проведению измерений" раздела "Порядок работы" ТО для оценки его исправности.
При обнаружении неисправности поверку не проводят и прибор бракуют.
4.3. Определение метрологических характеристик
Погрешность образцовых средств измерений не должна превышать 1/3 предела допускаемой погрешности испытуемого средства измерений.
При отсутствии требуемых образцовых средств измерений допускается применение образцовых средств измерений с погрешностью более 1/3 предела допускаемой погрешности испытуемого средства измерений, при этом методика должна согласовываться с метрологическим институтом Госстандарта СССР.
4.3.1. Основная погрешность измерения частоты входного синусоидального сигнала определяется методом сравнения показаний АС (шкалы или встроенного частотомера)
fАС с показаниями образцового средства измерений
fс.
Погрешность измерения частоты

, выраженную в единицах частоты, подсчитывают по формуле

(1)
выраженную в процентах - по формуле

(2)
Операция по определению основной погрешности измерения частоты проводится в середине и по краям частотного диапазона. При определении основной погрешности измерения частоты входного синусоидального сигнала допускается определять основную относительную погрешность значения частоты кварцевого генератора АС сравнением его частоты с частотой образцовой меры.
4.3.2. Полоса обзора определяется измерением начальной
fн и конечной
fк частот каждой полосы обзора при подаче гармонического сигнала известной частоты на вход АС или по меткам внутреннего калибратора.
В качестве сигнала калибратора может быть использован также частотно-модулированный (ЧМ) сигнал с гармонической модуляцией от внешнего ЧМ генератора, однако этот метод пригоден лишь для поверки узкополосных АС (имеющих полосы обзора не более ширины эффективного спектра ЧМ сигнала, т.е. порядка нескольких мегагерц).
При измерении с помощью гармонического сигнала полосы обзора Побз вычисляют в единицах частоты по формуле
Побз = fк - fн. (3)
Если нормируется погрешность полосы обзора, она вычисляется в процентах по формуле

(4)
где П - нормированная в НТД полоса обзора.
При измерении полосы обзора при помощи меток калибратора Побз определяют в единицах частоты по формуле Побз = (N - 1)·F,
где N - число меток калибратора, находящихся в полосе обзора;
F - калиброванный частотный интервал между метками, в случае модулированного сигнала - известная модулирующая частота.
4.3.3. Определение полос пропускания на заданных уровнях проводится при помощи образцовых средств, воспроизводящих гармонический сигнал с перестраиваемой частотой, методом "постоянного входа" или "постоянного выхода" (в зависимости от допускаемой погрешности измерения и имеющейся аппаратуры).
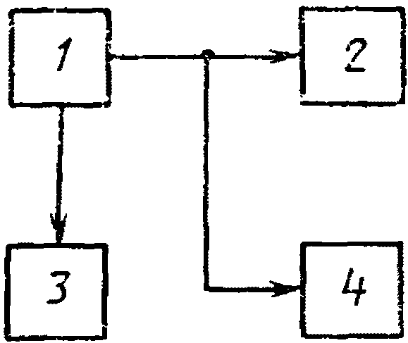
4.3.3.1. При измерении с использованием метода "постоянного входа" отмечают показания выходного устройства АС при постоянном уровне гармонического сигнала на его входе и изменении частоты, используя, по возможности, отсчетные устройства АС
(рис. 1). Измерение может проводиться в режиме как ручной, так и автоматической развертки.
1 - генератор гармонических сигналов; 2 - поверяемый АС;
3 - электронно-счетный частотомер; 4 - измеритель уровня
В режиме ручной развертки частота поданного на вход АС сигнала устанавливается равной средней частоте полосы пропускания (по максимуму отклика), а уровень отклика - равным максимальному значению шкалы отсчетного устройства АС при нулевом положении отсчетных аттенюаторов. Уменьшая и увеличивая частоту сигнала относительно резонансной частоты устанавливают амплитуды откликов на нормированный в НТД уровень ослабления относительно максимального значения (обычно -3 дБ и -60 дБ) и фиксируют показания частотомера (f1 и f2).
В режиме автоматической развертки полоса обзора выбирается такой, чтобы в измеряемой полосе пропускания на заданном уровне укладывалось не менее трех масштабных отметок частотной шкалы. Уровень отклика устанавливается аналогично режиму ручной развертки. Изменением частоты генератора максимум отклика совмещается с масштабной отметкой в центре экрана. Уменьшая и увеличивая частоту генератора фиксируют частоты (
f1 и
f2), при которых амплитуда отклика, размещенного в центре экрана, будет ослаблена до указанного в НТД АС уровня
(рис. 2).
При измерении рекомендуется использовать видеофильтр АС для усреднения шумов тракта АС и минимизации их влияния на результат измерения.
Для исключения динамических искажений отклика сигнала скорость развертки следует уменьшать до тех пор, пока амплитуда отклика перестанет увеличиваться.
Полосы пропускания в единицах частоты вычисляются по формуле
где n дБ - нормированный в НТД АС уровень ослабления в децибелах.
Погрешность номинальных значений полос пропускания в процентах вычисляют по формуле

(6)
где Пп - номинальное значение полосы пропускания.
4.3.3.2. При измерении с использованием метода "постоянного выхода"
(рис. 1) показания выходного устройства АС поддерживаются постоянными, а регулируется и измеряется уровень входного гармонического сигнала при изменении частоты. Порядок начальной установки уровня входного сигнала аналогичен
п. 4.3.3.1 (с тем, чтобы избежать перегрузки входной цепи АС). Уменьшая и увеличивая частоту сигнала относительно резонансной, устанавливают амплитуды откликов на отмеченное максимальное значение шкалы АС и фиксируют значения частот
f1 и
f2. Полосы пропускания и погрешности определяются по
формулам (5),
(6) (где
f1,
f2 и уровень
n дБ измерены при помощи образцовых средств). Особенности работы при ручной и автоматической развертках аналогичны описанным в
п. 4.3.3.1.
4.3.3.3. При поверке полос пропускания АС методом подачи испытательного сигнала на вход последней ПЧ (если такой вход предусмотрен конструкцией прибора) их значение определяется по формуле
где Ппч - полоса пропускания, измеренная при подключении испытательного сигнала на вход последней ПЧ;

- паразитная девиация частоты (определяется при измерениях по
п. 4.3.5).
Выбор метода поверки зависит от типа поверяемого анализатора спектра.
4.3.4. Нестабильность частоты настройки прибора определяется методом сличения показаний АС со значением частоты сигнала, установленным по образцовому средству измерения, за указанный в НТД на АС интервал времени, после установления рабочего режима (самопрогрева), или прямым измерением при помощи образцового средства. Измерения проводятся следующим образом. На вход АС подается сигнал от источника гармонических колебаний с перестраиваемой частотой. Отклик сигнала устанавливается на центр экрана АС, после этого отмечаются показания частоты по отсчетному устройству АС, соответствующие максимальному и минимальному отклонениям за указанный интервал времени.
В технически обоснованных случаях допускается проверка этой характеристики путем косвенной проверки соответствующей характеристики гетеродинов.
Определение этого параметра проводится на частоте, близкой к максимальной, для тех частотных поддиапазонов, в которых он нормирован.
4.3.5. Паразитная девиация частоты определяется путем прямого измерения при помощи девиометра, работающего в режиме измерения среднеквадратических значений.
Измерение паразитной девиации частоты проводится на выходе сигнала промежуточной частоты (ПЧ) АС при подаче на вход АС сигнала калибратора или другого образцового генератора, например, от К2-38. Измерения проводят в режиме нулевой полосы обзора при ручной перестройке гетеродинов.
Допускается измерение паразитной девиации частоты непосредственно в поверяемом приборе путем использования в качестве ЧМ дискриминатора ПЧ фильтра АС. В этом случае, после подачи на вход прибора синусоидального сигнала с малой паразитной ЧМ, устанавливают полосу пропускания в 10 - 30 раз большую, чем величина измеряемой остаточной модуляции. Устанавливают амплитудную шкалу, обеспечивающую необходимое разрешение и нулевую полосу обзора. Перестраивая прибор по частоте, устанавливают режим максимальной чувствительности дискриминатора (на скате АЧХ фильтра) и способом вариации частоты определяют крутизну преобразования АМ/ЧМ (в делениях шкалы уровня на единицу частоты). Переходят в режим измерения остаточной ЧМ, регистрируя показания АС.
Определение этого параметра проводится на частоте, близкой к максимальной в частотном поддиапазоне.
4.3.6. Погрешность измерения частотных интервалов для АС, имеющих встроенный ЭСЧ, определяется как удвоенная погрешность измерения частоты.
Для приборов, не имеющих встроенного ЭСЧ, погрешность измерения частотных интервалов по шкале определяется одним из следующих методов: при помощи образцового средства, воспроизводящего сигнал, в спектре которого содержится несколько составляющих с калиброванным интервалом между ними; с помощью образцового средства, воспроизводящего гармонический сигнал, частота которого перестраивается.
Погрешность измерения частотных интервалов в единицах частоты

определяют как разницу между установленным

и измеренным значением

частотного интервала
Погрешность измерения в процентах вычисляется по формуле

(7)
где Побз - полоса обзора, выбранная при определении погрешности измерения частотных интервалов.
4.3.7. Средний уровень собственных шумов определяется измерением уровня с усреднением показаний отсчетных устройств АС в полосе пропускания, заданной в НТД, при отсутствии сигнала на входе АС или сравнением показаний АС с известным уровнем сигнала.
4.3.7.1. При использовании метода прямых измерений с усреднением показаний отсчетных устройств необходимо установить отсчетные аттенюаторы в такое положение, чтобы получить четкое изображение шума на экране (или других индикационных устройствах), а затем пересчитать в уровень шума по входу прибора относительно установленного предела шкалы и коэффициента усиления прибора.
Если уровень шума нормирован в форме спектральной плотности S, последняя рассчитывается по формуле

(8)
где Pш, Uш - средний уровень мощности или напряжения собственных шумов;
Rвх - входное сопротивление АС (обычно 50 Ом);
П-3 дБ - полоса пропускания АС, Гц (на уровне -3 дБ).
Для усреднения уровня шумов рекомендуется применение видеофильтра АС.
4.3.7.2. Если измерение осуществляется методом сличения с показаниями образцовых устройств, то первоначально с помощью отсчетных аттенюаторов на АС устанавливается некоторый уровень собственных шумов, удобный для измерения, при отсутствии сигнала на входе (аналогично предыдущему методу). Затем при нулевом положении аттенюаторов на вход подается сигнал от внешнего генератора, уровень отклика которого устанавливается равным установленному ранее уровню шумов. Напряжение или мощность сигнала измеряется по отсчетному устройству генератора сигналов или при помощи вспомогательного измерителя уровня. По установленному значению коэффициента усиления АС и измеренному уровню входного сигнала определяется средний уровень собственных шумов по входу АС.
4.3.7.3. Определение уровня собственных шумов осуществляется на частотах, близких к максимальной и минимальной внутри каждого частотного диапазона, в котором он нормируется.
4.3.8. Неравномерность амплитудно-частотной характеристики (АЧХ) в установленной полосе частот определяется методом "постоянного входа" или "постоянного выхода" (в зависимости от допускаемой погрешности измерений и имеющейся аппаратуры).
4.3.8.1. В случае применения метода "постоянного входа" уровень входного гармонического сигнала поддерживается постоянным при помощи измерителя напряжения (мощности), а отсчет производится по соответствующим устройствам АС. Неисключенная систематическая погрешность (НСП) определения АЧХ равна
где

- погрешность поддержания постоянного уровня сигнала на входе АС (эта погрешность равна частотной погрешности измерителя уровня в определяемой полосе частот);

- погрешность отсчетного устройства АС;

- погрешность, связанная с наличием гармоник входного сигнала (приводимая в ТО на измеритель напряжения (мощности)).
Относительная погрешность определения АЧХ должна быть, по крайней мере, в три раза меньше нормированной неравномерности АЧХ АС.
Примечание. При использовании вольтметра, измеряющего максимальное (пиковое) значение напряжения, погрешность

. Для уменьшения этой погрешности необходима дополнительная фильтрация сигнала с помощью фильтра первой гармоники, включаемого между генератором и АС. При использовании вольтметра среднеквадратических значений или ваттметра влияние
Kг существенно меньше

и может не учитываться.
Неравномерность АЧХ

вычисляют по формулам:
в процентах

(9)
в децибелах

(10)

(11)
где B - коэффициент, равный 20 при измерении напряжения и 10 - при измерении мощности;
Amax и
Amin - максимальное и минимальное показания выходного измерительного устройства АС при изменении частоты входного сигнала в полосе частот, указанной в НТД, в единицах напряжения или мощности для
формул (9),
(10) или в децибелах для
формулы (11).
4.3.8.2. При использовании метода "постоянного выхода" показания выходного устройства АС поддерживаются постоянными, а регулируется и измеряется уровень входного гармонического сигнала. НСП определения АЧХ в этом случае равна
где

- частотная погрешность измерения уровня (напряжения или мощности);

- погрешность поддержания постоянного уровня отклика при помощи отсчетных устройств АС;
Как и в методе "постоянного входа" погрешность определения АЧХ должна быть, по крайней мере, в три раза меньше нормированной неравномерности АЧХ.
Неравномерность АЧХ подсчитывается по
формулам (9) -
(11), где
Amax и
Amin - максимальный и минимальный уровни входного сигнала в заданной полосе частот.
В обоих случаях в НСП измерения входит также погрешность за счет рассогласования в ВЧ или СВЧ тракте, максимальное значение которой

(где
Гг и
ГАС - коэффициенты отражения соответственно выхода образцового генератора и входа АС).
4.3.8.3. В том случае, если необходимо определить малую неравномерность АЧХ АС

на частотах свыше 100 МГц, рекомендуется применять метод "постоянного выхода" с использованием в качестве измерителя уровня входного сигнала измерителя падающей мощности (калибратора мощности). Структурная схема установки для проведения таких измерений приведена на
рис. 3.
1 - генератор ВЧ или СВЧ сигнала; 2 - калибратор мощности;
3 - мост постоянного тока; 4 - согласующий аттенюатор;
5 - поверяемый АС; 6 - электронно-счетный частотомер
В качестве измерителей падающей мощности могут применяться калибраторы мощности типов КМК, Я2М в сочетании с измерительным мостом постоянного тока типа МТ-3 или аналогичным ему. В этом случае в НСП измерения неравномерности АЧХ АС, помимо

и

, следует учитывать также погрешность рассогласования, рассчитываемую в соответствии с ТО поверяемого АС и измерителя мощности.
НСП измерения АЧХ АС этим методом для реальных средств измерения не превышает 3 - 5%. Важным преимуществом такого метода по сравнению с методом, использующим измеритель поглощаемой мощности, является также исключение операций переключения в ВЧ и СВЧ тракте.
4.3.8.4. При нормировании неравномерности АЧХ относительно указанного уровня сигнала (Aнорм) на частоте, установленной в НТД на АС, неравномерность вычисляют по формулам:
в процентах

(12)

(13)
в децибелах

(14)

(15)
или

(16)

(17)
где
Amax и
Amin - максимальный и минимальный уровни входного сигнала в установленной полосе частот при измерении по методу "постоянного выхода" или соответствующие показания индикатора АС при измерении по методу "постоянного входа".
Ai выражаются в единицах напряжения или мощности для
формул (12),
(13),
(14),
(15) и децибелах для
формул (16),
(17).
Количество и значения частот для определения АЧХ устанавливаются в зависимости от типа АС и оговариваются в его НТД. Обязательными являются значения в начале и в конце каждой полосы обзора.
4.3.9. Основная погрешность измерения отношения уровней гармонических сигналов на одной частоте или в полосе частот, где можно пренебречь неравномерностью АЧХ, определяется путем сличения показаний отсчетных устройств АС с показаниями образцового измерительного средства, т.е. с известным изменением уровня гармонического сигнала или спектральных составляющих модулированного сигнала на входе АС.
Погрешность измерения отношения уровней

определяется по формулам:
в процентах

(18)
в децибелах

(19)
где AАС - отношение уровней сигналов, измеренное по отсчетным устройствам АС;
Aобр - калиброванное отношение уровней измерительных сигналов на входе АС, воспроизводимое образцовым устройством.
Значения
AАС и
Aобр в
формуле (18) - в относительных единицах, а в
формуле (19) - в децибелах. Поверка проводится при частоте измерительного сигнала, близкой к максимальной, на которой работает градуированный аттенюатор. Если отсчет амплитуд в АС производится только аттенюатором на промежуточной частоте и по отсчетному устройству (по шкале), частота измерительного сигнала может быть любой в диапазоне частот АС, включая промежуточную.
Воспроизведение Aобр осуществляется одним из следующих методов:
с помощью образцового средства, воспроизводящего гармонический сигнал с калиброванным изменением уровня;
с помощью образцового средства, воспроизводящего амплитудно- или частотно-модулированный сигнал с калиброванным изменением уровня спектральных составляющих.
4.3.9.1. При использовании гармонического сигнала его уровень регулируют при помощи образцового аттенюатора или по образцовому измерителю уровня (вольтметру или ваттметру).
Допускается поэлементная поверка, т.е. определение погрешности раздельно входного градуированного аттенюатора (что возможно при наличии соответствующего выхода аттенюатора) и остального тракта АС. В этом случае определение погрешности входного аттенюатора осуществляется с помощью образцовой установки для поверки аттенюаторов по структурной схеме, приведенной на
рис. 4.
1 - генератор ВЧ или СВЧ сигнала; 2 - входной аттенюатор АС;
3 - поверяемый АС; 4 - установка для поверки аттенюаторов
Суммарная погрешность измерения отношения уровней определяется по формуле

(20)
где

- погрешность входного ВЧ и СВЧ аттенюатора;

- погрешность остального тракта АС (отсчетных аттенюаторов ПЧ и отсчетного устройства).
4.3.9.2. При поверке с помощью образцового средства, воспроизводящего АМ сигнал, используется образцовая установка для поверки модулометров, например К2-34. Эта установка воспроизводит АМ сигнал на фиксированных несущих частотах (
f) 0,01; 0,035; 0,1; 0,35; 1; 2; 10; 25; 425 МГц с коэффициентом АМ (
m), калиброванным в значениях 100%/
n, где
n = 1, 2, 3, ..., 1000. Для получения необходимых для поверки АС промежуточных значений коэффициентов АМ применяется интерполяция, осуществляемая при помощи дополнительного модулометра
(рис. 5). Связь между коэффициентом АМ и выраженным в децибелах изменением амплитуды спектральной составляющей с боковой частотой
f +/-
F относительно своего значения при
m = 100% приведена в
табл. 2.
1 - установка К2-34; 2 - поверяемый АС; 3 - модулометр
Изменение амплитуды спектральной составляющей с частотой (f +/- F), дБ | Коэффициент АМ, m, % |
0 | 100 |
1 | 89,13 |
2 | 79,43 |
3 | 70,79 |
4 | 63,1 |
5 | 56,23 |
6 | 50,12 |
7 | 44,67 |
8 | 39,81 |
9 | 35.48 |
10 | 31,62 |
20 | 10,00 |
30 | 3,16 |
40 | 1,00 |
50 | 0,32 |
60 | 0,10 |
Измерения могут быть также проведены по структурной схеме, приведенной на
рис. 6, которая отличается от приведенной на
рис. 5 тем, что в ней используется образцовый низкочастотный аттенюатор, проградуированный в децибелах (например, АО-4). При использовании этой схемы нет необходимости в проведении интерполяции при помощи модулометра, что существенно упрощает поверку. Изменяя при помощи образцового аттенюатора АО-4 уровень модулирующего напряжения, а значит и коэффициент АМ, можно воспроизводить калиброванное изменение амплитуды спектральной составляющей с частотой
f +/-
F дискретно через 0,1 дБ.
1 - генератор НЧ сигналов; 2 - образцовый аттенюатор (АО-4);
3 - образцовая установка К2-34; 4 - поверяемый АС
Если в АС имеются градуированные аттенюаторы как на ПЧ, так и на ВЧ, суммарная погрешность измерения отношения уровней определяется по
формуле (20). Вначале определяется погрешность отсчетных аттенюаторов ПЧ и отсчетного устройства

при фиксированном положении ВЧ аттенюатора путем подачи на вход АС АМ сигнала с калиброванным изменением спектральной составляющей и сравнением его с показаниями отсчетного устройства АС для указанных в НТД положений аттенюатора. После этого определяется погрешность градуированного ВЧ или СВЧ аттенюатора при фиксированном положении аттенюатора ПЧ. Измерения проводят на несущих частотах АМ сигнала, имеющихся в образцовой установке, наиболее близких к максимальной частоте рабочего диапазона поверяемого АС.
Преимуществом данного метода является использование в нем образцового аттенюатора на низкой (модулирующей) частоте.
4.3.9.3. При поверке с использованием образцового средства, воспроизводящего ЧМ сигнал в качестве источника последнего целесообразно применить образцовую установку для поверки девиометров, например, К2-38
(рис. 7), а в качестве отсчетной спектральной составляющей с калиброванным изменением амплитуды - составляющую с частотой
f +/- 2
F, пропорциональную функции Бесселя

(в этом случае погрешность минимальна). Модулирующая частота выбирается в зависимости от минимальной полосы пропускания поверяемого АС, наиболее удобным является значение 200 кГц (максимальное для К2-38), поскольку в этом случае соседние отклики легко различаются для любого типа АС и при любых соотношениях амплитуд откликов.
1 - образцовая установка К2-38; 2 - электронно-счетный
частотомер; 3 - поверяемый АС
Относительное изменение амплитуды спектральной составляющей с частотой
f +/-
2F при
F = 200 кГц для различных значений центральных частот ЧМ сигнала, воспроизводимых К2-38, приведено в
табл. П.1.
Как и при поверке при помощи АМ сигнала осуществляется отдельная поверка входного и отсчетного аттенюаторов с последующим суммированием погрешностей. Измерения проводятся на частотах ЧМ сигнала, имеющихся в образцовой установке, наиболее близких к максимальной частоте поверяемого АС.
4.3.10. Погрешность измерения отношения уровней синусоидального сигнала или спектральных составляющих сигнала в диапазоне частот АС

определяют расчетным путем, используя значения погрешностей

и

, полученные при измерениях по
пп. 4.3.8 и
4.3.9 настоящей методики.
Погрешность измерения отношения уровней

определяют по формуле

(21)
4.3.11. Погрешность измерения уровней (напряжения или мощности) гармонических сигналов или спектральных составляющих сигнала на фиксированной частоте определяется одним из следующих методов:
с помощью образцового средства, воспроизводящего гармонический сигнал с известным уровнем (который измерен с погрешностью, по крайней мере, в три раза меньшей, чем погрешность поверяемого АС) или с помощью образцового средства, воспроизводящего сигнал с известным уровнем одной или нескольких спектральных составляющих;
по частным составляющим, т.е. путем поэлементной поверки внутреннего калибратора АС, а также отсчетных аттенюаторов и отсчетного устройства.
4.3.11.1. Если поверка проводится при помощи образцового средства, воспроизводящего сигнал с калиброванным уровнем, то искомая погрешность вычисляется по формулам:
в процентах

(22)
в децибелах

(23)
где
A и
Aо - соответственно, измеренное по поверяемому АС и установленное по образцовому прибору значение уровня в единицах напряжения или мощности для
формулы (22) или децибелах для
формулы (23).
Измерения проводятся на частотах, указанных в НТД АС; при отсутствии таких указаний - на близких к максимальной для каждого частотного диапазона. Число поверяемых значений определяется конкретно для каждого типа прибора из условия выявления максимальной погрешности.
4.3.11.2. При определении погрешности измерения уровней по составляющим погрешность внутреннего калибратора определяется путем сличения его показаний с показаниями образцового средства в соответствии со структурной схемой, приведенной на
рис. 8. Суммарная погрешность измерения уровней вычисляется по формуле

(24)
где

- погрешность внутреннего амплитудного калибратора АС;

- погрешность отсчетных аттенюаторов и отсчетного устройства АС, определяемая при измерениях по
п. 4.3.9.
1 - генератор ВЧ или СВЧ сигнала; 2 - фильтр гармоник;
3 - поверяемый АС; 4 - образцовый измеритель уровня
4.3.12. Погрешность измерения уровней в диапазоне частот

определяется расчетным путем, используя значения погрешностей

и

, полученные при измерениях по
пп. 4.3.8 и
4.3.11 настоящей методики и вычисляется по формуле

(25)
4.3.13. Относительный уровень помех, обусловленных интермодуляционными искажениями третьего порядка, определяется прямым измерением - путем подачи на вход АС двух гармонических сигналов с частотами
f1 и
f2 и измерения относительного уровня помех, возникших на частотах 2
f1 -
f2 и 2
f2 -
f1. Уровни входных сигналов
Aо устанавливаются одинаковыми и равными наибольшему измеряемому уровню (при котором еще отсутствует перегрузка первого смесителя АС). Расстройка между частотами
f1 и
f2 сигналов должна соответствовать указанной в НТД, а полоса пропускания АС устанавливается такой, при которой уровень собственных шумов на 10 - 15 дБ меньше нормированного уровня помех.
Поверка осуществляется на частотах f1 и f2 вблизи конца каждого частотного поддиапазона АС (с контролем отсутствия перегрузки АС).
Относительный уровень помех, обусловленных интермодуляционными искажениями, Dи вычисляют в децибелах по формулам:

(26)
где
A1 и
A2 - показания отсчетного устройства АС, соответственно при измерении сигнала
Aо и отклика от максимальной из помех, возникших на частотах 2
f2 -
f1 и 2
f1 -
f2, в единицах напряжения или мощности для
формулы (26) и в децибелах для
формулы (27).
Если уровень помех, обусловленных интермодуляционными искажениями, не различается на уровне собственных шумов, то за уровень помех A2 принимают усредненный уровень собственных шумов.
Примечание. Поскольку интермодуляционные помехи могут появляться в измерительном тракте до входа АС (на генераторах, сумматоре), то для установления истинной причины их возникновения может быть проведено следующее испытание. При помощи дополнительного аттенюатора, включенного между сумматором и входом АС, уменьшают уровень входного сигнала. Если при этом размах отклика от интермодуляционной помехи третьего порядка уменьшается на 3·n дБ (где n - затухание дополнительного аттенюатора, дБ), то интермодуляция имеет место в тракте АС, а если он изменяется на меньшую величину, то интермодуляционные помехи возникают в тракте формирования двухчастотного сигнала до подачи на АС. В этом случае необходима более эффективная развязка генераторов.
4.3.14. Относительный уровень помех, обусловленных побочными каналами приема, определяется прямым измерением - путем подачи гармонического сигнала на вход АС и измерения относительного уровня помех, возникающих в результате взаимодействия входного сигнала
Aо и сигналов гетеродина. Измерения проводятся на частотах входного сигнала, на которых наиболее вероятен побочный прием, например, на частоте, равной: промежуточной частоте АС; половине ПЧ АС; частоте
fз зеркального канала приема (
fз =
fг +/-
fпч), где
fг - частота гетеродина, знак зависит от того, на какой частоте осуществляется прямой прием). Уровень гармоник входного сигнала должен быть не более одной трети нормированного уровня помех.
Относительный уровень этих помех вычисляют в децибелах по формулам:

(28)
или
где
A1 и
A2 - показания индикатора АС, соответственно, при измерении сигнала
Aо и отклика от максимальной из помех в единицах напряжения или мощности для
формулы (28) и в децибелах для
формулы (29).
Если уровень помех, обусловленных побочными каналами приема не различается на уровне собственных шумов, то за уровень помех A2 принимают усредненный уровень собственных шумов.
4.3.15. Относительный уровень помех, обусловленных гармоническими искажениями, определяется прямым измерением - путем подачи на вход АС гармонического сигнала и измерения относительного уровня откликов со второй и третьей гармониками входного сигнала. Уровень
Aо входного сигнала устанавливается равным наибольшему измеряемому уровню АС (аналогично
п. 4.3.13), частота - в первой трети частотного диапазона АС (чтобы можно было измерить третью гармонику). Уровень гармоник входного сигнала должен быть не более одной трети нормированного уровня помех.
Измеряемая величина Dгарм в децибелах определяется по формулам:

(30)
или
где
Aс и
Aп - показания индикатора АС при измерении уровней сигнала
Aо и максимальной из гармоник, соответственно, в единицах напряжения или мощности для
формулы (30) и в децибелах для
формулы (31).
4.3.16. Относительный уровень модуляционных составляющих с частотами, кратными частоте питающей сети, определяют прямым измерением - путем подачи гармонического сигнала на вход АС и измерения уровня искомых составляющих. Уровень собственных модуляционных составляющих и шумов вблизи несущей входного сигнала (от образцового генератора) должен быть не более одной трети нормированного уровня измеряемых помех. Уровень входного сигнала устанавливается равным наибольшему измеряемому уровню АС аналогично
п. 4.3.13, частота - близкой к максимальной для поверяемого прибора. Полоса пропускания выбирается из условия обеспечения разрешения измеряемых откликов на заданном уровне.
Относительный уровень модуляционных составляющих Dм вычисляют по формулам:

(32)
или
где
A1 и
A2 - показания выходного устройства АС, соответственно, при измерении сигнала
Aо и максимальной из помех, в единицах напряжения или мощности для
формулы (32) и в децибелах для
формулы (33).
Для усреднения уровня собственных шумов АС и удобства измерения откликов от помех применяется видеофильтр АС. Если уровень откликов от модуляционных помех с частотами, кратными частоте питающей сети, не различается на уровне собственных шумов, то за уровень помех A2 принимают усредненный уровень собственных шумов.
4.4. Допускается применять другие методы определения метрологических характеристик на вновь разработанные анализаторы спектра при условии их согласования с головным по данному виду измерений метрологическим институтом Госстандарта.
4.5. Данная методика может быть использована для поверки АС, работающих в диапазоне частот до 39,65 ГГц, при наличии соответствующих средств поверки, удовлетворяющих необходимым требованиям.
5. ОФОРМЛЕНИЕ РЕЗУЛЬТАТОВ ПОВЕРКИ
5.1. Результаты государственной периодической поверки оформляют выдачей свидетельства установленной формы с указанием в нем, при необходимости, результатов поверки и клеймением.
5.2. Результаты ведомственной периодической поверки оформляют документом, составленным ведомственной метрологической службой, и (или) клеймением поверяемых средств измерений.
5.3. Анализаторы спектра, характеристики которых не соответствуют установленным НТД, к применению не допускают, клейма предыдущей поверки гасят и на них выдают справку с указанием причин негодности.
| | ИС МЕГАНОРМ: примечание. Таблица дана в соответствии с официальным текстом документа. | |
K, дБ | |  , кГц | При поверке на частотах, МГц |
50 | 250 | 500 | 1000 |
 , кГц | Kд |  , кГц | Kд |  , кГц | Kд |  , кГц | Kд |
0 | 0,4862 | 620,0 | 620,0 | 1,0 | 620,2 | 0,2 | 620,0 | 0,1 | 620,0 | 0,5:10 |
1 | 0,4334 | 483,2 | 966,6 | 0,5 | 966,6 | 0,1 | 1208,0 | 0,4:10 | 1208,0 | 0,2:10 |
2 | 0,3861 | 431,0 | 862,0 | 0,5 | 862,0 | 0,1 | 1077,5 | 0,4:10 | 1077,5 | 0,2:10 |
3 | 0,3442 | 387,4 | 774,8 | 0,5 | 774,8 | 0,1 | 968,0 | 0,4:10 | 968,0 | 0,2:10 |
4 | 0,3068 | 360,0 | 720,0 | 0,5 | 720,0 | 0,1 | 900,0 | 0,4:10 | 900,0 | 0,2:10 |
5 | 0,2734 | 333,4 | 666,8 | 0,5 | 666,8 | 0,1 | 833,5 | 0,4:10 | 833,5 | 0,2:10 |
6 | 0,2436 | 309,3 | 618,6 | 0,5 | 618,6 | 0,1 | 773,0 | 0,4:10 | 773,0 | 0,2:10 |
7 | 0,2172 | 287,9 | 959,6 | 0,3 | 1152,0 | 0,5:10 | 720,0 | 0,4:10 | 720,0 | 0,2:10 |
8 | 0,1936 | 268,8 | 896,0 | 0,3 | 1076,0 | 0,5:10 | 672,0 | 0,4:10 | 672,0 | 0,2:10 |
9 | 0,1725 | 251,2 | 837,0 | 0,3 | 1006,0 | 0,5:10 | 1256,0 | 0,2:10 | 1256,0 | :10:10 |
10 | 0,1537 | 231,2 | 770,0 | 0,3 | 924,0 | 0,5:10 | 1156,0 | 0,2:10 | 1156,0 | :10:10 |
20 | 0,04862 | 126,0 | 1260,0 | 0,1 | 1260,0 | 0,2:10 | 630,0 | 0,2:10 | 630,0 | :10:10 |
30 | 0,01537 | 70,2 | 702,0 | 0,1 | 702,0 | 0,2:10 | 702,0 | 0,1:10 | 702,0 | 0,5:10:10 |
40 | 0,004862 | 39,44 | 788,0 | 0,5:10 | 788,0 | 0,1:10 | 986,0 | 0,4:10:10 | 986,0 | 0,2:10:10 |
50 | 0,001537 | 22,16 | 1108,0 | 0,2:10 | 1108,0 | 0,4:10:10 | 1108,0 | 0,2:10:10 | 1108,0 | 0,1:10:10 |
60 | 0,0004862 | 12,46 | 1246,0 | :10:10 | 1246,0 | 0,2:10:10 | 1246,0 | 0,1:10:10 | 623,0 | 0,1:10:10 |
где

- значение девиации частоты, устанавливаемое по калибратору установки К2-38 на частоте 50 МГц;
Kд - коэффициент деления модулирующего напряжения, устанавливаемый на К2-38.