Главная // Актуальные документы // МетодикаСПРАВКА
Источник публикации
М.: Издательство стандартов, 1986
Примечание к документу
Название документа
"МИ 1199-86. Методические указания. ГСИ. Калибраторы и преобразователи измерительные цифрового кода в постоянное электрическое напряжение и ток. Методика поверки"
(утв. Протоколом НПО "Система" от 12.02.1986 N 1)
"МИ 1199-86. Методические указания. ГСИ. Калибраторы и преобразователи измерительные цифрового кода в постоянное электрическое напряжение и ток. Методика поверки"
(утв. Протоколом НПО "Система" от 12.02.1986 N 1)
Протоколом
Научно-технического совета
научно-производственного
объединения "СИСТЕМА"
от 12 февраля 1986 г. N 1
МЕТОДИЧЕСКИЕ УКАЗАНИЯ
ГСИ
КАЛИБРАТОРЫ И ПРЕОБРАЗОВАТЕЛИ ИЗМЕРИТЕЛЬНЫЕ ЦИФРОВОГО КОДА
В ПОСТОЯННОЕ ЭЛЕКТРИЧЕСКОЕ НАПРЯЖЕНИЕ И ТОК
МЕТОДИКА ПОВЕРКИ
МИ 1199-86
Введены впервые
РАЗРАБОТАНЫ: Всесоюзным научно-исследовательским институтом метрологии измерительных и управляющих систем (ВНИИМИУС)
ИСПОЛНИТЕЛИ:
А.Л. Семенюк, канд. техн. наук (руководитель темы), В.И. Бородатый, канд. техн. наук; Л.И. Отко
Всесоюзным научно-исследовательским институтом метрологической службы (ВНИИМС)
ИСПОЛНИТЕЛИ:
Н.Н. Вострокнутов, канд. техн. наук (руководитель темы); Б.А. Френкель
Пензенским политехническим институтом (ППИ)
ИСПОЛНИТЕЛЬ:
Г.П. Шлыков, канд. техн. наук (руководитель темы)
ПОДГОТОВЛЕНЫ К УТВЕРЖДЕНИЮ Отделом экспертизы стандартов
Начальник отдела Г.А. Сафаров
УТВЕРЖДЕНЫ Научно-техническим советом научно-производственного объединения "СИСТЕМА" 12 февраля 1986 г. (протокол N 1)
| | ИС МЕГАНОРМ: примечание. Взамен ГОСТ 22261-82 Постановлением Госстандарта России от 15.05.1995 N 250 с 01.01.1996 введен в действие ГОСТ 22261-94. | |
Настоящие методические указания распространяются на многозначные меры постоянного электрического напряжения и тока (калибраторы), управляемые как вручную, так и автоматизированным способом, и цифроаналоговые преобразователи (ЦАП) цифрового кода в постоянное электрическое напряжение и ток (в дальнейшем приборы), удовлетворяющие требованиям ГОСТ 22261-82 и методических указаний РД 50-206-80, и устанавливают методику первичной и периодической поверок.
Настоящие методические указания предназначены для выбора методов и средств поверки при разработке нормативно-технической документации на конкретные типы приборов, а также могут использоваться в поверочных службах непосредственно при поверке.
Устанавливаемые в методических указаниях методы проверки метрологических характеристик могут быть использованы при разработке нормативно-технической документации на государственные приемочные, государственные контрольные, приемо-сдаточные и др. виды испытаний.
1.1. При проведении поверки должны выполняться операции в последовательности, указанной в
табл. 1.1.
Наименование операции поверки | Номер пункта методических указаний | Обязательность проведения операции при |
выпуске из производства | выпуске после ремонта | эксплуатации и хранении |
1 | 2 | 3 | 4 | 5 |
1. Внешний осмотр | | Да | Да | Да |
2. Проверка электрической прочности изоляции | | Да | Да | Нет |
3. Проверка электрического сопротивления изоляции | | Да | Да | Нет |
4. Опробование | | Да | Да | Да |
5. Проверка основной погрешности | | Да | Да | Да |
6. Проверка систематической составляющей основной погрешности | | Да | Да | Да |
7. Проверка среднего квадратического отклонения случайной составляющей основной погрешности | | Да | Да | Да |
8. Проверка интегральной нелинейности | | Да | Да | Нет |
9. Проверка дифференциальной нелинейности | | Да | Да | Нет |
10. Проверка времени установления выходного сигнала | | Да | Да | Нет |
11. Проверка дополнительной погрешности выходного напряжения (тока) от изменения напряжения питающей сети | | Да | Да | Нет |
12. Проверка дополнительной погрешности выходного тока при изменении сопротивления нагрузки | | Да | Да | Да |
13. Проверка дополнительной погрешности выходного напряжения при изменении тока нагрузки | | Да | Да | Да |
14. Проверка нестабильности выходного напряжения (тока) | | Да | Да | Да |
15. Оформление результатов поверки | | Да | Да | Да |
1.2. Если метрологические характеристики, указанные в
п. 5 -
14 табл. 1.1, для приборов не нормированы, то соответствующие операции проверки не производят.
1.3. Нормативные документы на методы поверки типов приборов могут предусматривать проведение операций, дополнительных к указанным в
табл. 1.1.
1.4. Проверку погрешности или ее составляющих можно производить путем определения действительного значения погрешности и последующего сравнения с пределом допускаемых значений или путем контроля, когда определение действительного значения не производят, а только устанавливают факт его нахождения или выхода за пределы допускаемых значений.
1.5. Если при выполнении одной из операций, предусмотренных
табл. 1.1, обнаружена неисправность поверяемого прибора, препятствующая его применению, остальные операции не производят, а прибор бракуют.
2.1. При опробовании и поверке приборов должны применяться средства поверки, приведенные в
табл. 2.1.
Операции поверки | Рисунок | Обозначение на рисунке | Назначение средств поверки | Рекомендуемые средства поверки |
| |
1 | 2 | 3 | 4 | 5 | 6 |
| | | А2 | Измерение постоянного напряжения (тока) | Компаратор Р3003, блок поверки В1-12, прибор для поверки калибраторов В1-18А, набор мер электрических сопротивлений от 0,01 Ом до 10 5 Ом (2-го разряда), фильтр <*> |
| | | А2 | Воспроизведение напряжения (тока). Ступень (неплавность) регулирования значения выходного сигнала многозначной меры не должна превышать 0,25 номинальной ступени qsf младшего разряда входного кода поверяемого прибора | Компаратор Р3003, прибор для поверки калибраторов В1-18А |
| | ИС МЕГАНОРМ: примечание. Текст в первом столбце дан в соответствии с официальным текстом документа. | |
|
| | | А3 | Определение разности выходных сигналов меры напряжения (тока) и поверяемого прибора | Компаратор Р3003, потенциометр Р341 |
| | | А2 | Измерение среднего квадратического значения переменной составляющей выходного сигнала поверяемого прибора | Вольтметр В6-10, фильтр <*> |
| | | А2 | Измерение амплитуды переменной составляющей сигнала на выходе поверяемого прибора | Осциллографы: С1-70, С1-69, С1-75, С7-12 |
| | | А2 | Формирование временного интервала между моментом смены значений входного кода поверяемого прибора и моментом измерения мгновенного значения выходного сигнала поверяемого прибора | Генераторы: Г5-56, Г5-60 |
| | | А3 | Измерение временного интервала между моментом смены значений входного кода поверяемого прибора и моментом измерения мгновенных значений выходного сигнала | Измеритель временных интервалов И2-26 |
| | | А4 | Измерение мгновенных значений выходного сигнала поверяемого прибора | Калибратор И1-10 |
--------------------------------
<*> Фильтр разрабатывают одновременно с калибратором.
2.2. Допускается использовать средства поверки, отличные от перечисленных в
табл. 2.1, если они удовлетворяют требованиям соответствующих пунктов методических указаний.
2.2.1. Пределы допускаемых значений погрешности средств поверки должны:
1) не превышать 1/3 предела допускаемого значения контролируемой характеристики поверяемого прибора (в обоснованных случаях по согласованию с Госстандартом допускается соотношение 1/2);
| | ИС МЕГАНОРМ: примечание. Взамен ГОСТ 22261-82 Постановлением Госстандарта России от 15.05.1995 N 250 с 01.01.1996 введен в действие ГОСТ 22261-94. | |
2) обеспечить требования ГОСТ 22261-82 к значениям критериев качества поверки, а именно:

,
Pнм <= 0,5 (справочное
приложение 1).
При необходимости обеспечения более жестких значений критериев качества рекомендуется выбирать пределы допускаемых значений погрешности в соответствии с указаниями действующей нормативно-технической документации.
2.2.2. Средства поверки должны иметь диапазоны воспроизводимой или измеряемой величины, обеспечивающие поверку во всех диапазонах измерения поверяемого прибора.
Допускается использование средств поверки различных типов для обеспечения поверки на различных диапазонах или участках диапазонов измерения поверяемого прибора.
2.2.3. Допускается использование различных приспособлений и установок для автоматизации задания необходимых значений входных сигналов, выбора проверяемых точек, количества отсчетов при поверке и обработке результатов наблюдений.
Структура измерительной части установки или системы при частичной или полной автоматизации поверки должна соответствовать приведенным схемам поверки.
2.3. Измерение характеристик производится при нагрузке, оговоренной в технических условиях на поверяемый прибор.
3. ТРЕБОВАНИЯ К КВАЛИФИКАЦИИ ПОВЕРИТЕЛЕЙ
И ДРУГИХ ИСПОЛНИТЕЛЕЙ РАБОТ, ПРЕДУСМОТРЕННЫХ
НАСТОЯЩИМИ МЕТОДИЧЕСКИМИ УКАЗАНИЯМИ
3.1. При использовании настоящих методических указаний для разработки отдельного документа по ГОСТ 8.375-80 или раздела Технического описания и инструкции по эксплуатации (паспорта), регламентирующих методику поверки прибора, работу должен выполнять специалист, имеющий достаточную подготовку в области метрологии и испытаний электронных измерительных устройств.
3.2. При использовании настоящих методических указаний непосредственно для поверки приборов конкретного типа работу должен выполнять специалист, имеющий звание государственного или ведомственного поверителя.
4. ТРЕБОВАНИЯ БЕЗОПАСНОСТИ
| | ИС МЕГАНОРМ: примечание. Взамен ГОСТ 22261-82 Постановлением Госстандарта России от 15.05.1995 N 250 с 01.01.1996 введен в действие ГОСТ 22261-94. | |
4.1. При проведении поверки необходимо соблюдать требования безопасности, предусмотренные "
Правилами технической эксплуатации электроустановок потребителей и
правилами техники безопасности при эксплуатации электроустановок потребителей" (издание 3-е),
ГОСТ 12.2.007.0-75,
ГОСТ 12.2.007.3-75, ГОСТ 22261-82 и указаниями по технике безопасности, приведенными в эксплуатационной документации на поверяемые приборы, средства поверки и вспомогательные устройства.
5. УСЛОВИЯ ПОВЕРКИ И ПОДГОТОВКА К НЕЙ
5.1. При проведении поверки следует соблюдать условия, приведенные в
табл. 5.1.
Влияющая величина | Нормальное значение (нормальная область значений) | Допускаемое отклонение от нормального значения при поверке |
Температура окружающего воздуха, °C | 20 | +/- 1 °C для приборов с пределом допускаемой основной приведенной погрешности  ; +/- 2 °C для приборов с  ; +/- 5 °C для остальных приборов |
Относительная влажность окружающего воздуха, % | 45 - 80 | - |
Атмосферное давление, кПа (мм. рт. ст.) | 84 - 106,7 (630 - 800) | - |
Внешнее магнитное поле | Практическое отсутствие | - |
Внешнее электрическое поле | Практическое отсутствие | - |
5.2. Рабочее положение поверяемого прибора в пространстве должно соответствовать требованиям стандартов или технических условий, утвержденных в установленном порядке на конкретные типы приборов.
5.3. Перед включением питания приборов поверяемый прибор и средства поверки, если этого требуют нормативно-технические документы на эти приборы, должны быть заземлены. После включения приборы должны быть прогреты в течение времени, указанного в нормативно-технической документации.
6.1.1. При проведении внешнего осмотра следует установить полную комплектность приборов. Не допускают к дальнейшей поверке приборы, у которых полностью или частично отсутствуют кабель подключения сети питания, кабель подключения входного сигнала, сменные блоки и соединительные кабели к ним, нестандартизировано поверочное оборудование.
6.1.2. Не допускают к дальнейшей поверке приборы, если при их осмотре обнаружены следующие дефекты:
отсутствуют, расшатаны или повреждены наружные части;
имеются трещины, обугливание изоляции и другие повреждения;
отсутствует плавность хода и четкость фиксации переключателей.
6.1.3. Проверка электрической прочности и сопротивления изоляции.
| | ИС МЕГАНОРМ: примечание. Взамен ГОСТ 22261-82 Постановлением Госстандарта России от 15.05.1995 N 250 с 01.01.1996 введен в действие ГОСТ 22261-94. | |
Проверяют электрическую прочность и сопротивление изоляции в соответствии с указаниями ГОСТ 22261-82 и нормативно-технической документации на поверяемый прибор.
6.2.1. После выполнения требований по
пп. 5.3 -
6.1 производят все необходимые подстройки, предусмотренные эксплуатационной документацией на поверяемый прибор. Если это окажется невозможным, прибор бракуют.
6.2.2. Проверяют (при ручном управлении калибратором) переключение пределов напряжения (тока) в соответствии с нормативно-технической документацией на поверяемый прибор.
Если переключение пределов произвести невозможно, поверяемый прибор бракуют.
6.2.3. Проверяют (при программном управлении калибратором) обеспечивает ли программное управление:
запуск и отключение калибратора по командам "Пуск" и "Сброс", соответственно;
установку предела и уровня выходного тока (напряжения) согласно требованиям нормативно-технической документации.
Если эти требования не обеспечиваются, прибор бракуют.
6.2.4. Проверяют, изменяется ли полярность выходного постоянного напряжения (тока) при изменении кода знака полярности на входе поверяемого прибора.
Если полярность сигнала на выходе поверяемого прибора не меняется с изменением кода знака полярности на входе, прибор бракуют.
6.3. Проверка (контроль) метрологических характеристик.
6.3.1. Проверка основной погрешности.
Оценку основной погрешности

в каждой проверяемой точке определяют как максимальное из полученных значений реализаций основной погрешности

по формуле

, (1)
где
yi - значения выходного напряжения (тока) поверяемого прибора, полученные при последовательно проведенных
n-измерениях с помощью средств поверки
А2 (п. 1, табл. 2.1) и при подаче на вход поверяемого прибора сигнала, соответствующего коду проверяемой точки (см.
рис. 1а);
ysf - номинальное значение напряжения (тока) в проверяемой точке.
При использовании схемы (см.
рис. 1б) определяют

путем формирования значений
ysf с помощью образцового прибора
А2 (п. 2 табл. 2.1) и измерения прибором
А3 (п. 3 табл. 2.1) разности значений выходных сигналов образцового прибора
А2 и поверяемого прибора
А1 при входном сигнале, соответствующем коду проверяемой точки.
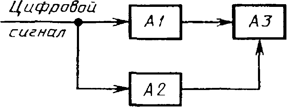
Рис. 1. Схемы проверки основной погрешности поверяемого
прибора: А1 - поверяемый прибор; А2 - образцовое средство
измерений напряжения (тока); А3 - измеритель разности
сигналов
Проверяемые точки указываются в нормативно-технической документации на поверяемый прибор или находятся в соответствии с
пп. 3.1 или
3.2 приложения 2.
Количество измерений в каждой проверяемой точке не менее 3 - 5.
Полученную оценку основной погрешности в каждой проверяемой точке сравнивают с контрольным допуском основной погрешности, который определяют по формуле

, (2)
где

- см.
приложение 1:

- пределы допускаемого значения основной погрешности, которые устанавливают в нормативно-технической документации на поверяемый прибор;
Прибор бракуют, если хотя бы в одной из проверяемых точек

.
6.3.2. Проверка систематической составляющей основной погрешности.
Оценку систематической составляющей основной погрешности в каждой проверяемой точке (проверяемые точки указываются в нормативно-технической документации на прибор или находятся в соответствии с
приложением 2) определяют по формуле

, (3)
где

-
i-я реализация основной погрешности, которую определяют по
формуле (1).
Количество измерений
n, необходимых для определения

в проверяемой точке, выбирают по
табл. 6.1.
| 0,25qsf | 0,5qsf | 1qsf | 2qsf |
| n | | n | | n | | n | |
0,10 | 1 | 0,98 | 3 | 0,94 | 8 | 0,85 | 28 | 0,85 |
0,20 | 1 | 0,98 | 3 | 0,89 | 8 | 0,85 | 29 | 0,80 |
0,25 | 1 | 0,97 | 4 | 0,86 | 15 | 0,87 | - | - |
0,33 | 1 | 0,90 | 10 | 0,90 | 28 | 0,88 | - | - |
0,50 | 17 | 0,84 | 25 | 0,83 | 30 | - | - | - |
Примечание.
qsf - номинальное значение младшего разряда поверяемого прибора, значение которого указывается в нормативно-технической документации;

- предел допускаемого значения среднего квадратического отклонения случайной составляющей погрешности.
В
табл. 6.1 приведены значения
n и

для различных

пределов допускаемых погрешностей средства поверки и поверяемого прибора при
Pф <= 0,2,

(
Pф и

- см.
приложение 1).
Допускаются другие значения
n при условии соблюдения заданных в
п. 2.2.1 требований к критериям качества поверки.
Полученную оценку систематической составляющей основной погрешности в каждой точке сравнивают с контрольным допуском систематической составляющей погрешности, который определяют по формуле

, (4)
где

- пределы допускаемой систематической составляющей погрешности.
Прибор бракуют, если хотя бы в одной из проверяемых точек

.
6.3.3. Проверка среднего квадратического отклонения случайной составляющей основной погрешности.
Среднее квадратическое отклонение случайной составляющей погрешности определяют по двум частям: первой - низкочастотной - среднее квадратическое отклонение случайной составляющей погрешности

, второй - высокочастотной - среднее квадратическое отклонение шума установившегося выходного сигнала поверяемого прибора

.
Примечание. Допускается определение только одной из составляющих среднего квадратического отклонения погрешности выходного сигнала, той, которая нормирована в нормативно-технической документации поверяемого прибора.
6.3.3.1. Значение

определяют путем одноразовой подачи сигнала, соответствующего коду проверяемой точки, на вход поверяемого прибора
А1 (см.
рис. 1а), многократного измерения выходного сигнала прибором
А2 (п. 1 табл. 2.1) и вычисления по формуле

, (5)
где

- реализация основной погрешности, которую определяют по
формуле (1);

- оценка систематической составляющей погрешности, которую определяют по
п. 6.3.2.
Для определения среднего квадратического отклонения в проверяемой точке количество измерений принимают
n = 12 (при

,
Pнмд = 0,5,

,
Pфд = 0,05 и для

).
6.3.3.2. Вторую составляющую среднего квадратического отклонения

определяют следующим образом: на вход поверяемого прибора
А1 (см.
рис. 1а) подают сигнал, соответствующий значению кода проверяемой точки. На выходе поверяемого прибора
А1 измеряют образцовым прибором
А2 (п. 4 табл. 2.1) среднее квадратическое значение переменной составляющей сигнала.
Полосу частот, в которой должны измерять среднее квадратическое отклонение шума выходного сигнала, устанавливают в нормативно-технической документации на поверяемый прибор.
6.3.3.3. За оценку среднего квадратического отклонения случайной составляющей погрешности поверяемого прибора принимают вычисленное по формуле значение

. (6)
Полученную оценку среднего квадратического отклонения случайной составляющей погрешности сравнивают с контрольным допуском

, который определяют по формуле

, (7)
где

- предел допускаемого значения среднего квадратического отклонения случайной составляющей погрешности.
Прибор бракуют, если хотя бы в одной из проверяемых точек

.
6.3.4. Проверка интегральной нелинейности.
Абсолютное значение интегральной нелинейности в проверяемой точке определяют по формуле

, (8)
либо

, (9)
где

,

,

- средние значения выходного сигнала соответственно в точках со значениями кодов
N,
Nmax,
Nо;
N - значение кода проверяемой точки;
Nmax - максимальное значение кода;
Nо - значение кода, все разряды которого равны нулю.
Допускается определение

прямым методом (см.
рис. 1б) путем формирования значений

(10)
с помощью образцового прибора
А2 (п. 2 табл. 2.1) и измерения разности значений выходных сигналов прибором
А3 (п. 3 табл. 2.1) образцового и поверяемого приборов при входном сигнале
N.
Интегральную нелинейность определяют в проверяемых точках, указанных в нормативно-технической документации на поверяемый прибор или находят в соответствии с
пп. 3.1 -
3.2 приложения 2.
Количество измерений
n в проверяемой точке для определения средних значений выходного сигнала выбирают по
табл. 6.1.
Полученные значения интегральной нелинейности сравнивают с контрольным допуском, который определяют по формуле

, где

- предел допускаемого значения интегральной нелинейности.
Прибор бракуют, если хотя бы одно из определенных значений интегральной нелинейности больше контрольного допуска.
6.3.5. Проверка дифференциальной нелинейности.
Дифференциальную нелинейность определяют по формуле

(11)
либо

, (12)
где

,

- средние значения выходного сигнала, соответственно в точках со значениями кодов
N и
N - 1. Количество измерений
n в проверяемой точке для определения средних значений выходного сигнала выбирают по
табл. 6.1;
qsf - номинальное значение младшего разряда поверяемого прибора.
Допускается определять разность

путем измерения переменной составляющей на выходе поверяемого прибора
А1 образцовым прибором
А2 (п. 5 табл. 2.1), возникающей при периодической смене кодов, соответствующих смежным поверяемым точкам (см.
рис. 1а).
Проверку дифференциальной нелинейности рекомендуется производить в точках диапазона, в которых происходит смена младших разрядов входного кода на соответствующий старший разряд.
Полученные значения дифференциальной нелинейности сравнивают с контрольным допуском дифференциальной нелинейности, который определяют по формуле

, где

- предел допускаемого значения дифференциальной нелинейности.
Если хотя бы одно из определенных значений дифференциальной нелинейности больше контрольного допуска, прибор бракуют.
6.3.6. Проверка времени установления выходного сигнала.
Проверку времени установления осуществляют в следующем порядке:
1) определяют установившееся значение выходного сигнала, соответствующего заданному значению кода по формуле

(13)
где
yi - значения выходного сигнала поверяемого прибора, которые определяют по
п. 6.3.1;
2) определяют верхнюю yуст.в и нижнюю yуст.н границы зоны установления выходного сигнала по формулам:

; (14)

; (15)
3) определяют дискретность интервала времени

между моментом смены значений кода и моментом измерения мгновенного значения выходного сигнала поверяемого прибора по формуле

, (16)
где tуст.sf - номинальное значение времени установления поверяемого прибора;
4) после изменения значения кода на входе поверяемого прибора средством поверки
А4 (п. 8 табл. 2.1) измеряют мгновенные значения выходного напряжения (тока)
yмi в моменты времени, равные

(
i = 1, 2, 3...) (см.
рис. 2). Интервалы времени

формируются средством поверки
А2 (п. 6 табл. 2.1) и контролируются средством поверки
А3 (п. 7 табл. 2.1).
Рис. 2. Схема проверки времени установления поверяемого
прибора: А1 - поверяемый прибор; А2 - средство формирования
временного интервала; А3 - средство измерений временного
интервала; А4 - средство измерений мгновенных значений
выходного сигнала поверяемого прибора
Интервал времени последовательно изменяют в сторону увеличения до тех пор, пока не будет выполнено условие
yуст.н <=
yмi <=
yуст.в (17)
для десяти следующих друг за другом значений yмi.
В качестве оценки времени установления принимают минимальное значение времени, при котором выполняется
условие (17).
Допускается использовать другие методы и средства поверки времени установления.
Определение времени установления необходимо проводить при следующих изменениях значений входного кода (в прямом и обратном направлениях):
1) от минимального до максимального значений;
2) суммы младших разрядов на старший разряд.
Полученную оценку времени установления сравнивают с пределом допускаемого значения времени установления.
Если полученная оценка времени установления больше предела допускаемого значения, прибор бракуют.
6.3.7. Проверка дополнительной погрешности выходного напряжения (тока) от изменения напряжения питающей сети.
Определение дополнительной погрешности выполняют по методике
п. 6.3.1 и
рис. 1а при значениях напряжения сети
Usf = 220 В,
U1 = 242 В,
U2 = 198 В.
Источник регулируемого напряжения питания и вольтметр для его измерения на
рис. 1а опущены.
Дополнительную погрешность

определяют по формулам:

; (18)

. (19)
Полученные значения дополнительной погрешности сравнивают с пределом допускаемого значения дополнительной погрешности выходного напряжения (тока). Если полученные значения дополнительной погрешности больше предела допускаемого значения дополнительной погрешности, прибор бракуют.
Примечание. Дополнительную погрешность
п. 6.3.7 не проверяют у приборов, питание которых осуществляют от источников стабилизированного напряжения.
6.3.8. Проверка дополнительной погрешности выходного тока при изменении сопротивления нагрузки.
На вход поверяемого прибора
А1 подают сигнал, соответствующий коду конечной проверяемой точки. Измеряют выходной сигнал (ток) средством поверки
А2 (п. 1 табл. 2.1) при двух разных нагрузках, подключаемых поочередно
(рис. 3). Значения нагрузок должны быть указаны в нормативно-технической документации на поверяемый прибор. Оценку дополнительной погрешности выходного тока определяют как разность измеренных выходных токов при разных значениях нагрузки.
Рис. 3. Схема проверки дополнительной погрешности выходного
тока при изменении сопротивления нагрузки: А1 - поверяемый
прибор; А2 - образцовое средство измерения тока;
R1, R2 - сопротивления нагрузки; S - переключатель
Полученное значение оценки дополнительной погрешности выходного тока сравнивают с пределом допускаемого значения дополнительной погрешности. Если полученная оценка дополнительной погрешности больше предела допускаемого значения, прибор бракуют.
6.3.9. Проверка дополнительной погрешности выходного напряжения при изменении тока нагрузки.
На вход поверяемого прибора
А1 подают сигнал, соответствующий коду конечной проверяемой точки. Измеряют выходное напряжение поверяемого прибора
А1 средством поверки
А2 (п. 1 табл. 2.1) при двух значениях нагрузки, подключаемых поочередно
(рис. 4). Значения нагрузок должны быть указаны в нормативно-технической документации на поверяемый прибор.
Рис. 4. Схема проверки дополнительной погрешности выходного
напряжения при изменении тока нагрузки: А1 - поверяемый
прибор; А2 - образцовое средство измерения напряжения;
R1, R2 - сопротивления нагрузки; S - переключатель
Оценку дополнительной погрешности определяют как разность измеренных выходных напряжений при разных значениях нагрузки.
Полученная оценка дополнительной погрешности не должна превышать предела допускаемого значения дополнительной погрешности. В противном случае прибор бракуют.
6.3.10. Проверка нестабильности выходного напряжения (тока).
На вход поверяемого прибора
А1 (см.
рис. 1а) подают код, соответствующий значению кода конечной проверяемой точки. Измеряют выходное напряжение (ток) средством поверки
А2 (п. 1 табл. 2.1) после установления рабочего режима и после 8 ч непрерывной работы поверяемого прибора в нормальных условиях.
Нестабильность выходного напряжения (тока) поверяемого прибора определяют путем вычисления разности зарегистрированных значений выходного напряжения (тока) поверяемого прибора.
Полученное значение сравнивают с пределом допускаемого значения нестабильности. Если полученное значение нестабильности больше предела допускаемого значения, прибор бракуют.
6.4. Для поверяемых приборов, нормативно-техническая документация которых утверждена до внедрения настоящих методических указаний, допускается использовать методику поверки, изложенную в указанной нормативно-технической документации.
7. ОФОРМЛЕНИЕ РЕЗУЛЬТАТОВ ПОВЕРКИ
7.1. При положительных результатах периодической ведомственной поверки прибора производят запись в формуляре, которая заверяется подписью поверителя и оттиском поверительного клейма. Оттиск клейма ставится также на приборе.
7.2. При положительных результатах Государственной поверки выдается свидетельство государственной поверки по форме, установленной Госстандартом. На оборотной стороне свидетельства производят запись результатов поверки.
7.3. Для прибора, находящегося в обращении и прошедшего поверку с отрицательным результатом, делают соответствующую запись в формуляре, прибор в обращение не допускается и поверительное клеймо гасят, свидетельство аннулируется.
Справочное
КРИТЕРИИ КАЧЕСТВА ПОВЕРКИ (ПО МИ 187-79)
В соответствии с МИ 187-79, МИ 188-79 принимают следующие критерии качества поверки:

- наибольший выход за допуск-отношение наибольшего возможного значения

характеристики погрешности средства измерений, признанного по результатам поверки годным, но в действительности негодного, к пределу

ее допускаемых значений;
Pнм - наибольшая вероятность принятия любого негодного экземпляра средства измерений в качестве годного (необнаруженный брак), иными словами, вероятность признания годным такого экземпляра, у которого характеристика погрешности на бесконечно малую величину превышает предел допускаемых значений;
Pф - отношение числа годных, но забракованных средств измерений, к числу всех в действительности годных средств измерений (фиктивный брак в среднем, а также следующие вспомогательные параметры);

- верхняя граница зоны значений (в долях

) характеристики погрешности годного средства измерений, в которой забракование считают фиктивным браком

;

- отношение контрольного допуска

к пределу

, где

- допуск, с которым сравнивают полученную при поверке оценку

контролируемой характеристики погрешности средства измерений с целью принятии решения о годности (негодности);

- оценка контролируемой характеристики погрешности, отличающаяся от истинного значения

на значения

погрешности поверки.
| | ИС МЕГАНОРМ: примечание. Взамен ГОСТ 22261-82 Постановлением Госстандарта России от 15.05.1995 N 250 с 01.01.1996 введен в действие ГОСТ 22261-94. | |
Коэффициент

и число отсчетов
n, приведенные в настоящих методических указаниях, обеспечивают получение значений критериев качества

,
Pнм не ниже требуемых ГОСТ 22261-82.
| | ИС МЕГАНОРМ: примечание. В официальном тексте документа, видимо, допущена опечатка: Методика имеет номер МИ 137-77, а не МИ 137-79. | |
При необходимости поверки с более высокими значениями критериев качества или с иными соотношениями пределов допускаемых значений контролируемой характеристики и характеристик погрешности образцового средства измерений, параметры

и
n должны назначать в соответствии с указаниями
МИ 137-79,
МИ 641-84.
Справочное
НАЗНАЧЕНИЕ ПРОВЕРЯЕМЫХ ТОЧЕК
1. ОСНОВНЫЕ ОПРЕДЕЛЕНИЯ
1.1. Проверяемая точка - значение входного (кодированного) сигнала поверяемого прибора, при котором необходимо определить (проконтролировать) его нормируемые характеристики.
1.2. Поверяемый прибор 1-го вида - прибор, формирование выходного напряжения или тока которого производится без помощи дискретного делителя напряжения или тока, например, путем усреднения сигнала широтно-импульсного модулятора (дифференциальная нелинейность отсутствует).
1.3. Поверяемый прибор 2-го вида - прибор, формирование выходного напряжения или тока которого производится с помощью дискретного делители напряжения или тока (возможна дифференциальная нелинейность).
1.4. Основной диапазон преобразования поверяемого прибора - диапазон преобразования, из которого при помощи выходных усилителей, делителей или шунтов образуются все остальные (дополнительные) диапазоны преобразования.
В обоснованных случаях для многодиапазонных приборов основной диапазон преобразования могут назначить в технической документации, исходя из других признаков.
1.5. Разрядная точка - значение входного (кодированного) сигнала, которое соответствует кодовой комбинации, имеющей единицу только в одном из разрядов.
1.6. Погрешность суперпозиционного вида - погрешность в любой проверяемой точке, равная сумме погрешностей в соответствующих разрядных точках (номера разрядов соответствуют номерам позиций кодовой комбинации, где цифры равны единице).
2. ОБЩИЕ УКАЗАНИЯ
2.1. Следует назначить проверяемые при поверке точки отдельно для определения (контроля) основной погрешности или ее систематической составляющей и определения (контроля) среднего квадратического отклонения случайной составляющей погрешности прибора.
2.2. В дополнительных диапазонах преобразования проверяемые точки для определения (контроля) основной погрешности или ее систематической составляющей назначают следующим способом.
2.2.1. Если число проверяемых точек в основном диапазоне преобразования не превышает 6, погрешность проверяемого прибора в каждом из дополнительных диапазонов следует проверять в начале, в конце диапазона, а также дополнительно в 1 - 2 точках, в которых можно ожидать получение экстремальных значений погрешности.
2.3. Проверяемые точки для определения основной погрешности, систематической составляющей погрешности и интегральной нелинейности устанавливают в нормативно-технической документации на прибор разработчиком:
для приборов 1-го вида в соответствии с указаниями
п. 3.1;
для приборов 2-го вида в соответствии с указаниями
п. 3.2 или находят в ходе эксперимента для приборов 2-го вида в соответствии с указаниями
п. 4 при необходимости в повышенной достоверности нахождения максимальной погрешности.
2.4. Определение (контроль) среднего квадратического отклонения случайной составляющей погрешности прибора любого вида в основном и дополнительных диапазонах преобразования следует производить в одной точке каждого из диапазонов, расположенной ближе к верхней его границе.
3. ПРОВЕРЯЕМЫЕ ТОЧКИ, НАЗНАЧАЕМЫЕ РАЗРАБОТЧИКОМ
В НОРМАТИВНО-ТЕХНИЧЕСКОЙ ДОКУМЕНТАЦИИ
3.1. Назначение проверяемых точек для приборов 1-го вида.
3.1.1. В качестве проверяемых назначают в 6 - 11 точек (для приборов, построенных по десятичному принципу) и 9 - 17 точек (для приборов, построенных по двоичному принципу), равномерно распределенных по диапазону измерений.
3.2. Назначение проверяемых точек для приборов 2-го вида.
3.2.1. Для определения (контроля) погрешности поверяемого прибора 2-го вида, ее систематической и интегральной нелинейности в основном диапазоне преобразования следует назначить проверяемые точки, в которых:
при определенных соотношениях погрешностей элементов схемы дискретного делителя возможно возникновение наибольших значений дифференциальной нелинейности функции преобразования поверяемого прибора;
имеют место наихудшие варианты суммирования составляющей погрешности, обусловленной дискретным делителем, с аддитивными и мультипликативными составляющими погрешностей остальных элементов схемы поверяемого прибора.
3.2.2. Назначение проверяемых точек производят при разработке нормативно-технической документации на методы и средства поверки приборов конкретного типа по программе, алгоритм которой представлен на
рис. П. 2.1.
Рис. П. 2.1. Блок-схема программы выбора фиксированных
проверяемых точек для приборов 2-го вида. Размерности
массивов: NK (13), MB (13), X (13), NG (4). Двумерный массив
LP имеет размерность (24,4). Состав массива LP: 1, 1, 1, 1,
1, 1, 1, 1, 1, 1, 1, 1, 6, 3, 1, 4, 0, 0, 0, 0, 0, 0,
0, 0, 2, 2, 2, 2, 2, 3, 5, 3, 7, 3, 3, 4, 7, 5, 5, 5
6, 4, 2, 4, 2, 2, 5, 2, 4, 4, 4, 3, 5, 7, 9, 9, 9, 5,
4, 9, 9, 7, 7, 7, 8, 8, 6, 6, 8, 4, 6, 5, 8, 6, 5, 4,
6, 9, 9, 9, 9, 9, 9, 9, 9, 8, 8, 8, 8, 8, 8, 8, 8, 8.
Для расчета по программе рекомендуется использовать ЭВМ серии ЕС, либо другую ЭВМ, имеющую в составе математического обеспечения компилятор с языка ФОРТРАН. Загрузочный модуль программы, оттранслированной в ЭВМ серии ЕС, занимает 36 Кбайт оперативной памяти. Продолжительность выполнения программы не более 2 с. Вызов и загрузка программы в системе ОС ЭВМ серии ЕС производится с помощью операторов языка управления заданиями вида:
II VERCODS JOB
II EXECFORTGCLG
исходный модуль программы
входные данные
3.3. Описание применения программы
3.3.1. Входными данными для программы определения проверяемых точек поверяемого прибора являются числовые значения переменных и массива, содержание, обозначение и способ кодирования (формат и порядковый номер перфокарты) которых приведены в
табл. П. 2.3.1.
Обозначение переменной (массива) | Содержание переменной (массива) | Формат кодирования | N перфокарты (строки записи) |
| Номинальное значение единицы младшего разряда входного кода поверяемого прибора | 19 | 1 |
Число узлов в схеме дискретного делителя 1 <= NB <= 32 | 12 | 1 |
Условный номер вида управляющего дискретного делителя:  - двоичный код; KOD = (1 - 14) - двоично-десятичный код в соответствии с табл. П. 2.3.2Общее число тетрад дискретного делителя <*>, включая неполную (если она есть) | 11 | 2 |
Максимальная цифра, реализуемая в старшей тетраде <*> | 12 | 2 |
Число коммутируемых проводимостей, объединенных в k-узле дискретного делителя (вводятся, начиная с числа проводимостей в узле, содержащем младший разряд кода) | 12 | 3 и 4 (при необходимости) |
--------------------------------
<*> Переменная кодируется только для случая двоично-десятичного кода, в противном случае вторую карту складывают, но не перфорируют.
Таблица П. 2.3.2
УСЛОВНЫЕ НОМЕРА ДВОИЧНО-ДЕСЯТИЧНЫХ КОДОВ
Кодируемая десятичная цифра | Расшифровка и условные номера кодов |
8-4-2-1 | 2-4-2-1 несамодополняющийся | 4-2-2-1 несамодополняющийся | 2-4-2-1 самодополняющийся | 4-2-2-1 самодополняющийся |
0 | 0000 | 0000 0000 | 0000 0000 0000 | 0000 0000 0000 0000 | 0000 0000 0000 0000 |
1 | 0001 | 0001 0001 | 0001 0001 0001 | 0001 0001 0001 0001 | 0001 0001 0001 0001 |
2 | 0010 | 0010 1000 | 0010 0100 0010 | 1000 0010 0010 1000 | 0010 0100 0010 0100 |
3 | 0011 | 0011 1001 | 0011 0101 0011 | 1001 0011 0011 1001 | 0011 0101 0011 0101 |
4 | 0100 | 0100 1010 | 1000 1000 0110 | 1010 1010 0100 0100 | 0110 0110 1000 1000 |
5 | 0101 | 0101 1011 | 1001 1001 0111 | 0101 0101 1011 1011 | 1001 1001 0111 0111 |
6 | 0110 | 0110 1100 | 1010 1100 1100 | 0110 1100 0110 1100 | 1100 1010 1100 1010 |
7 | 0111 | 0111 1101 | 1011 1101 1101 | 0111 1101 1101 0111 | 1101 1011 1101 1011 |
8 | 1000 | 1110 1110 | 1110 1110 1110 | 1110 1110 1110 1110 | 1110 1110 1110 1110 |
9 | 1001 | 1111 1111 | 1111 1111 1111 | 1111 1111 1111 1111 | 1111 1111 1111 1111 |
3.3.2. Результаты расчета по программе представляются машиной в виде таблицы входных данных и таблицы проверяемых точек. Таблица проверяемых точек состоит из следующих граф:
код (десятичный или двоичный), соответствующий проверяемой точке;
десятичный эквивалент кода (только для двоичного кода);
номинальное значение выходного сигнала поверяемого прибора, соответствующее коду проверяемой точки.
3.4. Примеры назначения проверяемых точек по программе для приборов конкретных типов представлены в
табл. П. 2.3.3 и
П. 2.3.4.
KOD критической точки | Десятичный эквивалент кода | Номинальный выходной сигнал |
1111111111 | 1023 | 511,500000000 |
1111111110 | 1022 | 511,000000000 |
1111111101 | 1021 | 510,500000000 |
1111111100 | 1020 | 510,000000000 |
1111111011 | 1019 | 509,500000000 |
1111111000 | 1016 | 508,000000000 |
1111111111 | 1015 | 507,500000000 |
1111110000 | 1008 | 504,000000000 |
1111111111 | 1007 | 503,500000000 |
1111100000 | 992 | 496,000000000 |
1111011111 | 991 | 495,500000000 |
1111000000 | 960 | 480,000000000 |
1110111111 | 959 | 479,500000000 |
1110000000 | 896 | 448,000000000 |
1101111111 | 859 | 447,500000000 |
1100000000 | 768 | 384,000000000 |
1011111111 | 767 | 383,500000000 |
1000000000 | 512 | 252,000000000 |
0111111111 | 511 | 255,500000000 |
0100000000 | 256 | 128,000000000 |
0011111111 | 255 | 127,500000000 |
0010000000 | 128 | 64,000000000 |
0001111111 | 127 | 63,500000000 |
0001000000 | 64 | 32,000000000 |
0000100000 | 32 | 16,000000000 |
0000011111 | 31 | 15,500000000 |
0000001111 | 16 | 8,000000000 |
0000001111 | 15 | 7,500000000 |
0000001000 | 8 | 4,000000000 |
0000000111 | 7 | 3,500000000 |
0000000100 | 4 | 2,000000000 |
0000000011 | 3 | 1,500000000 |
0000000010 | 2 | 1,000000000 |
0000000001 | 1 | 0,500000000 |
0000000000 | 0 | 0,000000000 |
KOD критической точки | Номинальный выходной сигнал 2-4-2-1 несамодополняющийся |
1 | 2 |
9999 | 9999,000000000 |
9998 | 9998,000000000 |
9997 | 9997,000000000 |
9995 | 9995,000000000 |
9994 | 9994,000000000 |
9993 | 9993,000000000 |
9990 | 9990,000000000 |
9989 | 9989,000000000 |
9980 | 9980,000000000 |
9979 | 9979,000000000 |
9959 | 9959,000000000 |
9940 | 9940,000000000 |
9939 | 9939,000000000 |
9900 | 9900,000000000 |
9899 | 9899,000000000 |
9800 | 9800,000000000 |
9799 | 9799,000000000 |
9599 | 9599,000000000 |
9400 | 9400,000000000 |
9399 | 9399,000000000 |
9000 | 9000,000000000 |
8999 | 8999,000000000 |
8000 | 8000,000000000 |
7999 | 7999,000000000 |
5999 | 5999,000000000 |
8000 | 8000,000000000 |
7999 | 7999,000000000 |
5999 | 5999,000000000 |
4000 | 4000,000000000 |
3999 | 3999,000000000 |
2000 | 2000,000000000 |
1999 | 1999,000000000 |
1000 | 1000,000000000 |
999 | 999,000000000 |
800 | 800,000000000 |
799 | 799,000000000 |
400 | 400,000000000 |
399 | 399,000000000 |
200 | 200,000000000 |
199 | 199,000000000 |
100 | 100,000000000 |
99 | 99,000000000 |
80 | 80,000000000 |
79 | 79,000000000 |
40 | 40,000000000 |
39 | 39,000000000 |
20 | 20,000000000 |
19 | 19,000000000 |
10 | 10,000000000 |
9 | 9,000000000 |
8 | 8,000000000 |
7 | 7,000000000 |
4 | 4,000000000 |
3 | 3,000000000 |
2 | 2,000000000 |
1 | 1,000000000 |
0 | 0,000000000 |
В
табл. П. 2.3.3 приведены результаты расчета для приборов с двоичным десятиразрядным дискретным делителем типа
R = 2
R при следующих входных данных: цена единицы младшего разряда кода
q = 0,500000, число узлов
NB = 10, число разрядов в узлах
NG (
K) = 1, 1, 1, 1, 1, 1, 1, 1, 1, 1;
KOD = 0 (двоичный код). В
таблице П. 2.3.4 приведены результаты расчета для приборов с четырехдекадным дискретным делителем, использующим несамодополняющийся двоично-десятичный код 2-4-2-1, при входных данных: цена единицы младшего разряда кода
q = 1,000000, число узлов
NB = 4, число разрядов в узлах
NG (
K) = 4, 4, 4, 4;
KOD = 2 (двоично-десятичный код), число тетрад
NT = 4, максимальная цифра старшей тетради
NM = 9.
4. ПОИСК ПРОВЕРЯЕМЫХ ТОЧЕК В ХОДЕ ПОВЕРКИ
ДЛЯ ПРИБОРОВ 2-ГО ВИДА
4.1. Методика применима при проверке (контроле) основной погрешности поверяемого прибора, ее систематической составляющей погрешности, допускаемые значения которых нормируют одночленной и двучленной формулами, а также при контроле интегральной нелинейности.
Методика основана на выдвижении и последующей проверке гипотезы о суперпозиционном характере погрешности внутри каждого из отдельно взятых участков, на которые разбивают весь диапазон значений входного цифрового сигнала. При неподтверждении гипотезы число участков увеличивают.
Границы участков устанавливают в точках диапазона, где может быть большая дифференциальная нелинейность. Для поверяемых приборов, работающих в двоичном коде, точки делят диапазон на 2, 4, 8, 16 и т.д. равных участков. Для поверяемых приборов, работающих в двоично-десятичном коде, точки делят диапазон (например, для кода 8-4-2-1) на 10, 100; 5,50 и т.д. равных участков, на два неравных участка: 0,8 и 0,2 от диапазона и т.д. Точки конца предыдущего и начала последующего участков не совпадают, а являются смежными.
Если при двоичном кодировании выбрано число участков r, то число старших разрядов, определяющих текущий номер участка, равно log2 r.
Вычисление номера точки в начале участка производят по формуле

,
а в конце участка

,
где
n - число двоичных разрядов;
l - номер участка

.
При двоично-десятичном кодировании при равномерном делении диапазона на 5 участков
Nн(l) = (l - 1)·2·10m-1
Nк(l) = l·2·10m-1,
где m - число десятичных разрядов,
для десяти участков
Nн(l) = (l - 1)·10m-1
Nк(l) = l·10m-1 и т.д.
Неравномерное деление диапазона на участки усложняет процедуру поиска точек.
Поиск проверяемых точек включает в себя следующие этапы.
На первом этапе определяют участок диапазона, в котором лежит точка максимальной погрешности выходного сигнала поверяемого прибора. Для этого экспериментально определяют погрешность

в начале и погрешность

в конце каждого участка.
Производят выбор такого участка
lm, где сумма

имеет максимальное по модулю значение.
Здесь и далее после каждого экспериментального определения основной погрешности производят сравнение полученного результата с контрольным допуском

, который определяют по формуле

,
где

;

- предельное допускаемое значение основной погрешности.
На втором этапе экспериментально определяют основную погрешность в разрядных точках для выбранного участка lm. Номер разрядной точки для двоичного кода
NPi = Nн(lm) + 2i-1,
где
i - текущий номер разряда на участке

или для кода 8-4-2-1:
NPi = Nн(lm) + 2i-1·10j-1,
где

- номер двоичного разряда в декаде.
На третьем этапе вычисляют

максимальную погрешность на участке
lm. Ее вычисляют в предположении о суперпозиционном характере погрешности внутри участка. Из каждого значения разрядной основной погрешности

вычитают основную погрешность в начальной точке участка

, характеризующую смещенность погрешностей всего участка:

.
Полученные разности группируют на положительные

и отрицательные

. Максимальное расчетное значение основной погрешности на участке определяют выражениями
или

.
На четвертом этапе проверяют гипотезу о суперпозиционном характере основной погрешности внутри участка. Для этого проводят экспериментальное определение основной погрешности в точке, в которой расчетное значение равно

. Номер точки с максимальной погрешностью

,
где

Гипотезу проверяют путем сравнения полученного экспериментального значения

основной погрешности с расчетным значением

.
Если

,
G - заданное значение критерия принятия гипотезы (в единицах младшего разряда поверяемого прибора), то гипотезу принимают. За максимальную основную погрешность во всем диапазоне входной величины принимается измеренное значение

.
Если гипотеза не подтверждается, то увеличивают число участков в два или в четыре раза и процедуру повторяют.
На пятом этапе, если допускаемое значение основной погрешности задано двучленной формулой

, производят следующие дополнительные вычисления и измерения (см.
рис. П. 2.2). Вычисляют по этой формуле значение

в точке, где основная погрешность поверяемого прибора оказалась максимальной (код точки найден на
4 этапе).
Рис. П. 2.2. Графическое представление основной погрешности,
выраженной двучленной формулой

.
Производят сравнение вычисленного значения

и значения

. Если погрешность поверяемого прибора оказалась меньше допускаемого значения, то вычисляют значение
N, при котором

и определяют, в каком из участков находится эта точка.
Осуществляют определение максимальной погрешности для этого участка, а также для остальных, имеющих меньший порядковый номер, по вышеописанной методике.
Если точка оказалась в том же участке (lm), что свидетельствует о том, что погрешности поверяемого прибора близки к допустимым границам, число участков удваивают.
4.2. Блок-схема алгоритма поиска проверяемых точек при автоматизированном контроле основной погрешности поверяемого прибора, работающего в двоичном коде, приведена на
рис. П. 2.3.
Рис. П. 2.3. Блок-схема программы поверки систематической
составляющей погрешности поверяемого прибора, работающего
в двоичном коде, и поиска проверяемых точек.
Алгоритм предусматривает как назначение допускаемой погрешности по одночленной формуле (приведенной), так и по двучленной формуле.
При вычислении сумм вида

число слагаемых целесообразно ограничивать (5 - 6-ю) слагаемыми: соответствующими старшим разрядам. Увеличение числа участков при неподтверждении гипотезы целесообразно делать в 4 раза.
При использовании образцового калибратора и измерителя разности сигналов на выходе поверяемого прибора опускают блок вычисления основной погрешности.
Примечания:
1. При контроле интегральной нелинейности блок вычисления погрешности выполняет расчет по
формуле (10) основного текста методических указаний.
2. Значения критерия принятия гипотезы выбирают, исходя из соотношения допускаемых погрешностей образцового и поверяемого приборов, не более 30% от допускаемого значения систематической составляющей погрешности поверяемого прибора.
Максимальное число участков rmax выбирают, исходя из рекомендаций разработчика. При превышении числа участков значения rmax поверку систематической составляющей погрешности повторяют, а при повторном превышении прибор бракуют.
4.3. Пример поиска проверяемых точек при неавтоматизированном контроле прибора, работающего в 14-разрядном двоичном коде с номинальной ступенью младшего разряда, равной q = 0,625 mB.
Устанавливают число участков, равное r = 8. Следовательно, номер участка определяют состоянием трех старших разрядов (log28 = 3).
На первом этапе экспериментально определяют погрешности в начале
Nн и в конце
Nк каждого участка, т.е. проводят измерения в 16 точках, коды которых приведены в
табл. П. 2.4.1, где
Ai - разрядные цифры. Результаты заносят в графы

и
таблицы. Осуществляют вычисление сумм

. Выбирают сумму с максимальным значением по модулю. Пусть эта сумма оказалась равной +0,70 на
6-м участке, где погрешность в начале
участка 
.
На втором этапе устанавливают код трех старших разрядов (
А14;
А13;
А12) = 101
(6-й участок), а в остальных разрядах (младших) последовательно устанавливают
А = 1 согласно
табл. П. 2.4.2.
Производят измерения во всех разрядных точках
6-го участка, т.е. 11 измерений, и результаты заносят в
графу 
табл. П. 2.4.2.
На третьем этапе вычисляют разности

и заносят их в
таблицу. Вычисляют раздельно суммы всех положительных и суммы отрицательных разностей (графы

и

-
табл. П. 2.4.2). Расчетное значение максимальной погрешности

определяют как наибольшую из сумм

, где в данном примере

.
Номер участка | Начало участка | Конец участка | Старшие разряды (код числа l = 1) | Младшие разряды | | | |
А14 | А13 | А12 | А11 | А10 | А9 | А8 | А7 | А6 | А5 | А4 | А3 | А2 | А1 |
1 | | | 0 | 0 | 0 | 0 | 0 | 0 | 0 | 0 | 0 | 0 | 0 | 0 | 0 | 0 | +0,10 | +0,20 | -0,10 |
| | | 0 | 0 | 0 | 1 | 1 | 1 | 1 | 1 | 1 | 1 | 1 | 1 | 1 | 1 | | | |
2 | | | 0 | 0 | 1 | 0 | 0 | 0 | 0 | 0 | 0 | 0 | 0 | 0 | 0 | 0 | +0,00 | +0,10 | -0,10 |
| | | 0 | 0 | 1 | 1 | 1 | 1 | 1 | 1 | 1 | 1 | 1 | 1 | 1 | 1 | | | |
3 | | | 0 | 1 | 0 | 0 | 0 | 0 | 0 | 0 | 0 | 0 | 0 | 0 | 0 | 0 | -0,10 | +0,20 | -0,30 |
| | | 0 | 1 | 0 | 1 | 1 | 1 | 1 | 1 | 1 | 1 | 1 | 1 | 1 | 1 | | | |
4 | | | 0 | 1 | 1 | 0 | 0 | 0 | 0 | 0 | 0 | 0 | 0 | 0 | 0 | 0 | -0,40 | -0,30 | -0,10 |
| | | 0 | 1 | 1 | 1 | 1 | 1 | 1 | 1 | 1 | 1 | 1 | 1 | 1 | 1 | | | |
5 | | | 1 | 0 | 0 | 0 | 0 | 0 | 0 | 0 | 0 | 0 | 0 | 0 | 0 | 0 | +0,25 | +0,40 | -0,15 |
| | | 1 | 0 | 0 | 1 | 1 | 1 | 1 | 1 | 1 | 1 | 1 | 1 | 1 | 1 | | | |
| | | 1 | 0 | 1 | 0 | 0 | 0 | 0 | 0 | 0 | 0 | 0 | 0 | 0 | 0 | +0,70 | +0,50 | +0,20 |
| | | 1 | 0 | 1 | 1 | 1 | 1 | 1 | 1 | 1 | 1 | 1 | 1 | 1 | 1 | | | |
7 | | | 1 | 1 | 0 | 0 | 0 | 0 | 0 | 0 | 0 | 0 | 0 | 0 | 0 | 0 | +0,35 | +0,25 | +0,10 |
| | | 1 | 1 | 0 | 1 | 1 | 1 | 1 | 1 | 1 | 1 | 1 | 1 | 1 | 1 | | | |
8 | | | 1 | 1 | 1 | 0 | 0 | 0 | 0 | 0 | 0 | 0 | 0 | 0 | 0 | 0 | +0,40 | +0,10 | +0,30 |
| | | 1 | 1 | 1 | 1 | 1 | 1 | 1 | 1 | 1 | 1 | 1 | 1 | 1 | 1 | | | |
Старшие разряды | Младшие разряды | | | Zi | | | | | |
А14 | А13 | А12 | А11 | А10 | А9 | А8 | А7 | А6 | А5 | А4 | А3 | А2 | А1 |
| | | 1 | 0 | 0 | 0 | 0 | 0 | 0 | 0 | 0 | 0 | 0 | -1,0 | -0,30 | 0 | | | | | |
| | | 0 | 1 | 0 | 0 | 0 | 0 | 0 | 0 | 0 | 0 | 0 | +5,0 | +0,30 | 1 | | | | | |
| | | 0 | 0 | 1 | 0 | 0 | 0 | 0 | 0 | 0 | 0 | 0 | +0,35 | +0,15 | 1 | | | | | |
| | | 0 | 0 | 0 | 1 | 0 | 0 | 0 | 0 | 0 | 0 | 0 | +0,35 | +0,15 | 1 | | | | | |
| | | 0 | 0 | 0 | 1 | 0 | 0 | 0 | 0 | 0 | 0 | 0 | -0,45 | -0,25 | 0 | +0,90 | -0,95 | +1,10 | +1,07 | 0,03 |
1 | 0 | 1 | 0 | 0 | 0 | 0 | 1 | 0 | 0 | 0 | 0 | 0 | 0 | +0,50 | +0,30 | 1 | | | | | |
| | | 0 | 0 | 0 | 0 | 0 | 1 | 0 | 0 | 0 | 0 | 0 | +0,05 | -0,15 | 0 | | | | | |
| | | 0 | 0 | 0 | 0 | 0 | 1 | 0 | 0 | 0 | 0 | 0 | 0,00 | -0,20 | 0 | | | | | |
| | | 0 | 0 | 0 | 0 | 0 | 0 | 0 | 1 | 0 | 0 | 0 | +0,35 | +0,15 | 1 | | | | | |
| | | 0 | 0 | 0 | 0 | 0 | 0 | 0 | 0 | 1 | 0 | 0 | +0,15 | -0,05 | 0 | | | | | |
| | | 0 | 0 | 0 | 0 | 0 | 0 | 0 | 0 | 0 | 1 | 0 | +0,20 | -0,00 | 0 | | | | | |
| | | 0 | 0 | 0 | 0 | 0 | 0 | 0 | 0 | 0 | 0 | 1 | +0,20 | 0,00 | 0 | | | | | |
На четвертом этапе экспериментально определяют погрешность

в точке, для которой найдено расчетное значение максимальной погрешности.

. Код этой точки (старшие разряды - код
6-го участка, младшие - набор
Zi в
табл. П. 2.4.2): 101 01101001000.
Результат измерения

заносят в
табл. П. 2.4.2. Он не должен отличаться от расчетного значения

больше, чем на установленный критерий принятия гипотезы.
Например, если

, то гипотеза о суперпозиционном характере погрешности внутри участка подтверждается, т.к.

.
За результат принимают измеренное значение

, которое сравнивают с допускаемым значением.
Если бы гипотеза не подтвердилась, то нужно было бы число участков увеличить в 2 или 4 раза и процедуру контроля повторить.
4.4. Пример поиска проверяемых точек при контроле прибора, работающего в четырехразрядном двоично-десятичном коде 8-4-2-1.
Исходя из предположения, что погрешность имеет суперпозиционный характер во всем диапазоне, определяют погрешности в разрядных точках. Число таких точек 16 (4x4). Десятичные эквиваленты и коды разрядных точек:
8000 | 1000 | 0000 | 0000 | 0000 |
4000 | 0100 | 0000 | 0000 | 0000 |
2000 | 0010 | 0000 | 0000 | 0000 |
.... | .... | .... | .... | .... |
0020 | 0000 | 0000 | 0010 | 0000 |
.... | .... | .... | .... | .... |
0002 | 0000 | 0000 | 0000 | 0010 |
0001 | 0000 | 0000 | 0000 | 0001 |
Из каждого полученного значения погрешности вычитают погрешность в начале диапазона. Полученные разности

, где
i - номер десятичного разряда;
j - номер двоичного разряда, группируют на положительные и отрицательные. Производят расчет максимальной погрешности

.
Могут быть запрещенные комбинации, например, для кода 8-4-2-1 это: 8 + 4, 8 + 2, 8 + 2 + 1 и т.д.
В критической точке, соответствующей расчетной максимальной погрешности

, экспериментально определяют погрешность

. Если погрешность оказывается несуперпозиционного характера, т.е.

, то диапазон разбивают на 5 или 10 участков. Целесообразно диапазон делить на десять участков и проводить измерения в 20 точках в начале и конце каждого участка:
9000 - 9999 |  - 4999 |
 - 8999 | 3000 - 3999 |
7000 - 7999 |  - 2999 |
6000 - 6999 |  - 1999 |
5000 - 5999 |  - 0999 |
Пять точек (подчеркнутые) уже проверялись. Следовательно, проверяются на данном этапе 15 точек. Далее производят поиск участка и другие операции аналогично алгоритму поиска для приборов, работающих в двоичном коде.
УДК 621.317.7 : 006.354 : 53 : 089.6 |