Главная // Актуальные документы // МетодикаСПРАВКА
Источник публикации
М., 1978
Примечание к документу
Название документа
"МИ 137-77. Методика по нормированию метрологических характеристик, градуировке, поверке хроматографических приборов универсального назначения и оценке точности результатов хроматографических измерений"
(утв. Протоколом Научно-технического совета ВНИИМС от 19.05.1977 N 5-77)
"МИ 137-77. Методика по нормированию метрологических характеристик, градуировке, поверке хроматографических приборов универсального назначения и оценке точности результатов хроматографических измерений"
(утв. Протоколом Научно-технического совета ВНИИМС от 19.05.1977 N 5-77)
Утверждена
Протоколом Научно-технического
совета ВНИИМС
от 19 мая 1977 г. N 5-77
МЕТОДИКА
ПО НОРМИРОВАНИЮ МЕТРОЛОГИЧЕСКИХ ХАРАКТЕРИСТИК,
ГРАДУИРОВКЕ, ПОВЕРКЕ ХРОМАТОГРАФИЧЕСКИХ ПРИБОРОВ
УНИВЕРСАЛЬНОГО НАЗНАЧЕНИЯ И ОЦЕНКЕ ТОЧНОСТИ РЕЗУЛЬТАТОВ
ХРОМАТОГРАФИЧЕСКИХ ИЗМЕРЕНИЙ
МИ 137-77
РАЗРАБОТАНА
Всесоюзным научно-исследовательским институтом метрологической службы (ВНИИМС)
Директор Рамбиди Н.Г.
Дзержинским филиалом ОКБА
Гл. инженер Савинов Ю.С.
Руководители темы: Михайленко В.Д., Воронов Г.Н., Калмановский В.И.
Исполнители: Цейтлин В.Г., Исаев А.Б.
ПОДГОТОВЛЕНА К УТВЕРЖДЕНИЮ Всесоюзным научно-исследовательским институтом метрологической службы
Руководитель подразделения Воронов Г.Н.
Исполнитель Цейтлин В.Г.
УТВЕРЖДЕНА Научно-техническим советом ВНИИМС 19.05.77 г. (протокол N 5-77)
Настоящая методика распространяется на хроматографические приборы универсального назначения и содержит рекомендации по номенклатуре, способам выражения, оценке метрологических характеристик хроматографов, процедуре, методам и средствам их градуировки и поверки, а также общие принципы оценки точности результатов хроматографических измерений.
Методика не распространяется на хроматографы, используемые при выполнении научно-исследовательских работ.
| | ИС МЕГАНОРМ: примечание. С 1 декабря 2001 года на территории Российской Федерации введены в действие ПР 50.2.009-94 "ГСИ. Порядок проведения испытаний и утверждения типа средств измерений" (Постановление Госстандарта России от 27.09.2001 N 394-ст). | |
| | ИС МЕГАНОРМ: примечание. Взамен ГОСТ 8.002-71 Постановлением Госстандарта СССР от 21.02.86 N 388 с 1 января 1987 года введен в действие ГОСТ 8.002-86. Взамен ГОСТ 8.002-86 на территории Российской Федерации с 1 декабря 2001 года введены в действие ПР 50.2.002-94 "ГСИ. Порядок осуществления государственного метрологического надзора за выпуском, состоянием и применением средств измерений, аттестованными методиками выполнения измерений, эталонами и соблюдением метрологических правил и норм" (Постановление Госстандарта России от 27.09.2001 N 394-ст). | |
| | ИС МЕГАНОРМ: примечание. В официальном тексте документа, видимо, допущена опечатка: стандарт имеет номер ГОСТ 8.009-72, а не ГОСТ 8.009-73. | |
| | ИС МЕГАНОРМ: примечание. Взамен ГОСТ 8.009-72 с 1 июля 1986 года Постановлением Госстандарта СССР от 13.07.1984 N 2495 введен в действие ГОСТ 8.009-84. | |
| | ИС МЕГАНОРМ: примечание. С 1 июля 1997 года на территории Российской Федерации введен в действие ГОСТ Р 8.563-96 (Постановление Госстандарта России от 23.05.1996 N 329). | |
Рекомендации настоящей методики соответствуют общим требованиям основополагающих нормативных документов Государственной системы обеспечения единства измерений (ГОСТ 8.001-71, ГОСТ 8.002-71, ГОСТ 8.009-73, ГОСТ 8.010-73 и ГОСТ 8.011-73) и должны использоваться при составлении стандартов общих технических требований, технических условий, технических заданий и другой технической и эксплуатационной документации на хроматографические приборы, а также при разработке и аттестации методик выполнения хроматографических измерений.
Хроматограф универсального назначения является индивидуально градуируемой измерительной системой. При этом хроматографы градуируют их потребители на реальных измеряемых веществах с учетом специфики конкретной аналитической задачи, для решения которой используют результаты хроматографических измерений. Специфика аналитической задачи обусловливает выбор выходного сигнала, режимов работы элементов измерительной системы, технологию их подготовки к проведению измерений.
Вследствие этого при выпуске хроматографов из производства целесообразно и необходимо нормировать лишь те характеристики, которые отражают инструментальные и метрологические свойства приборов, независимо от условий его применения, метода градуировки и свойств анализируемых веществ.
Так, отсутствие номинальной статической характеристики преобразования хроматографов определенного типа не позволяет нормировать для них основную погрешность, характеризующую отклонение реальной статической характеристики преобразования от номинальной.
Аналогично невозможно нормировать и систематические составляющие погрешности хроматографа, зависящие от метода и средств его градуировки, свойств анализируемых веществ и разделительной колонки.
Вместе с тем особенности конструкции хроматографов могут предъявлять определенные требования к методам их градуировки и аттестации методик выполнения измерений. Вследствие этого рекомендации по проведению градуировки и по процедуре оценки погрешности хроматографического измерения, учитывающие особенности конкретной модели хроматографа, должны быть, как правило, изложены в инструкции по эксплуатации хроматографа. В основу этих рекомендаций могут быть положены требования настоящей методики.
1.1. Хроматографический прибор является индивидуально градуируемой измерительной системой, предназначенной для качественной идентификации компонентов анализируемой смеси и измерения их абсолютных или относительных количеств (в единицах массы или объема), или концентраций.
1.2. Хроматографический прибор состоит из следующих функциональных систем: системы отбора, дозирования и ввода анализируемой пробы; разделительной колонки; устройств для регулирования и стабилизации условий и режимов работы хроматографов (расхода газа-носителя, температуры колонки и детекторов и др.); системы регистрации выходных сигналов; детектирующей системы.
Примечание. Наличие разделительной колонки и процесса разделения компонентов является отличительной особенностью хроматографических приборов, независимо от их назначения и выполняемых функций.
1.3. Основными требованиями к нормируемым метрологическим характеристикам хроматографических приборов являются: достаточность их для оценки как индивидуальных свойств хроматографов, так и достоверности результатов проводимых с их помощью измерений; возможность и простота контроля этих характеристик.
1.4. Метрологические характеристики нормируют разработчики хроматографических приборов на основе метрологического анализа и исследования экспериментальных и опытных образцов приборов.
1.5. Первичную и периодическую поверку хроматографов осуществляют на типовых контрольных веществах.
2. НОМЕНКЛАТУРА МЕТРОЛОГИЧЕСКИХ ХАРАКТЕРИСТИК,
ПОДЛЕЖАЩИХ НОРМИРОВАНИЮ
2.1. В технической документации на хроматографические приборы нормируют следующие метрологические характеристики.
2.1.1. Среднее квадратическое отклонение выходных сигналов во всем диапазоне измерения концентрации, приведенное к определенному (заданному для хроматографов определенного типа) значению выходного сигнала.
2.1.2. Временную стабильность выходных сигналов за определенный (заданный для хроматографов определенного типа) промежуток времени.
2.1.3. Случайные составляющие погрешности установки заданных значений температуры всех термостатируемых элементов хроматографа.
2.1.4. Случайные составляющие погрешности установки заданных значений расходов газов в газовых магистралях.
2.1.5. Относительное изменение расходов газов в газовых магистралях при изменении температуры окружающего воздуха.
2.1.6. Относительное изменение расходов газов в газовых магистралях при изменении барометрического давления.
2.1.7. Случайные составляющие погрешности деления выходного сигнала (переключения масштабов диапазона измерения).
3. СПОСОБЫ НОРМИРОВАНИЯ МЕТРОЛОГИЧЕСКИХ ХАРАКТЕРИСТИК
3.1. Среднее квадратическое отклонение выходных сигналов
(п. 2.1.1) нормируют пределом допускаемого значения при десяти последовательных измерениях одной и той же концентрации контрольного вещества, отнесенным к определенному (заданному для хроматографов определенного типа) значению выходного сигнала.
3.1.1. Эту характеристику нормируют для различных выходных сигналов: времени удерживания; высоты пика; площади пика, а также для каждого предусмотренного технической документацией сочетания дозатор - температурный режим - детектор.
3.1.2. Среднее квадратическое отклонение устанавливают по результатам десяти измерений выходного сигнала при одном фиксированном (заданном для хроматографов определенного типа) входном.
Примечание. Способ нормирования данной характеристики базируется на наихудшем предположении постоянства абсолютного значения случайной составляющей инструментальной погрешности хроматографа в рабочем диапазоне измерений концентрации.
Пример записи. Предел допускаемого среднего квадратического отклонения высот пиков 2%, приведенный к нормирующему значению высоты - 20 см для ионизационно-пламенного детектора и газового дозатора в режиме программирования температуры.
3.2. Временную стабильность выходных сигналов нормируют пределом допускаемого систематического изменения выходных сигналов

при фиксированных входных за определенный (заданный для хроматографов определенного типа) промежуток времени, отнесенным к первоначальным значениям выходных сигналов.
3.2.1. Эту характеристику устанавливают по измерению среднего из десяти значений выходного сигнала при одном определенном (заданном для хроматографов определенного типа) входном, отнесенному к первоначальному значению выходного сигнала.
3.2.2. Нормируемое числовое значение этой характеристики должно быть больше или равно нормируемому пределу допускаемого среднего квадратического отклонения выходных сигналов
(п. 3.1).
Пример записи.

.
3.3. Случайные составляющие погрешности установки заданных значений температуры
(п. 2.1.3) и расходов газов
(п. 2.1.4) нормируют пределами допускаемых значений отклонений температуры в термостатированных блоках от заданной

и отклонений расходов газов в газовых магистралях от средних значений

.
3.4. Относительные изменения расходов газов в газовых магистралях при изменении температуры окружающего воздуха
(п. 2.1.5) и барометрического давления нормируют пределами допускаемых отклонений расходов газов от номинальных (соответствующих нормальным условиям) при изменении температуры окружающего воздуха от "нормальной" на каждые 10 °C

и барометрического давления на каждые 10 мм рт. ст.

.
Примечания:
1. В случае, если отрицательные и положительные приращения температуры и барометрического давления неодинаково влияют на изменения расходов газов в газовых магистралях хроматографов, то допускаемые значения этих изменений можно нормировать либо по наибольшему из них, либо раздельно для положительных

и отрицательных

отклонений температуры и барометрического давления от нормальных значений.
2. Нормальные условия, соответствующие условиям градуировки и поверки хроматографов, должны быть установлены в технической документации как номинальными значениями температуры и барометрического давления, так и допускаемыми отклонениями от номинальных значений. Например, нормальным условиям соответствует температура окружающего воздуха 20 +/- 5 °C и барометрическое давление 760 +/- 5 мм рт. ст.
3. Нормируемые значения среднего квадратического отклонения выходных сигналов (
пп. 2.1.1 и
3.2) и временной стабильности выходных сигналов (
пп. 2.1.2 и
3.2) устанавливают для типовых контрольных веществ, методов измерения и хроматографических материалов, предусмотренных
разд. 5 настоящей методики.
4. МЕТОДИКА ГРАДУИРОВКИ ХРОМАТОГРАФИЧЕСКИХ ПРИБОРОВ
4.1. Исходные положения
4.1.1. В настоящей методике рассматривают методы градуировки хроматографов, осуществляемые либо по смесям с различной концентрацией основного (рабочего) компонента, либо по чистым рабочим веществам с использованием аттестованных дозаторов.
4.1.2. Предполагается, что с достаточной для практики хроматографических измерений точностью градуировочная характеристика хроматографов аппроксимируется прямой линией ci = ayi, проходящей через начало координат. Здесь ci - значение входного сигнала (измеряемой концентрации); yi - значение функции выходных сигналов, соответствующее ci, предусмотренное алгоритмом обработки хроматограммы; a - градуировочный коэффициент, подлежащий оценке в процессе градуировки.
4.1.3. Градуировке подвергают хроматографы, поверенные в установленные сроки проведения периодической поверки в соответствии с требованиями
разд. 5.
4.2. Средства градуировки
4.2.1. Хроматографы градуируют: по аттестованным градуировочным смесям; по смесям, приготовленным из исходных веществ с аттестованной степенью чистоты (или концентрацией исходного компонента) на аттестованных или прошедших государственные испытания смесительных установках; по аттестованным чистым веществам и наборам аттестованных дозаторов.
4.2.2. Для градуировки хроматографов, предназначенных для относительных измерений, в качестве исходных веществ для приготовления смесей и в качестве чистых контрольных веществ можно использовать химические продукты со степенью чистоты, предусмотренной
ГОСТ 13867-68 и указанной в выпускных аттестатах.
4.2.3. В необходимых случаях (определяемых организациями Госстандарта СССР) методики аттестации градуировочных смесей и исходных (чистых) веществ, предназначенных для градуировки хроматографов, следует согласовывать с органами государственной метрологической службы.
4.2.4. При аттестации градуировочных смесей и чистых веществ должны быть (по процедуре приготовления либо по результатам соответствующих исследований полученных смесей и веществ) определены номинальные значения концентрации исходного компонента и возможные (с заданной вероятностью) отклонения концентрации от номинального значения (погрешность аттестации).
4.3. Процедура градуировки
4.3.1. Режимы работы хроматографа (включая режим работы дозатора, разделительной колонки и детектора) устанавливают в соответствии с рекомендациями методики анализа вещества, по которому градуируют прибор.
4.3.2. Проверяют соответствие условий проведения градуировки нормальным условиям.
4.3.3. На вход прибора n раз подают градуировочную смесь одной определенной концентрации ci или определенную дозу Vi чистого вещества (в дальнейшем для сокращения записи мы будем рассматривать лишь входной сигнал ci, так как в методическом плане процедура и обработка данных для различных входных сигналов ci, Vi идентичны) и по получении хроматограмм измеряют n значений выходного сигнала - xi1, xi2, ..., xin.
Эту операцию повторяют для всех значений концентраций градуировочных смесей.
Начинать градуировку рекомендуется с малых значений концентрации, постепенно переходя к большим значениям.
4.3.4. Полученные градуировочные данные заносят в таблицу, аналогичную приведенной ниже (табл. 1).
Таблица 1
Номер | Концентрация на входе | Измеренные значения выходных сигналов | Средние значения выходных сигналов | Значения функции выходных сигналов |
1 | c1 | x11, x12, ..., x1n | | y1 |
2 | c2 | x21, x22, ..., x2n | | y2 |
3 | ....................... | .................................... | ................. | ................ |
k | ck | xk1, xk2, ..., xkn | | yk |
Значения
yi рассчитывают по осредненным значениям выходных сигналов

.
4.4. Обработка градуировочных данных методом наименьших квадратов
4.4.1. Для случая, когда погрешность аттестации всех использованных градуировочных смесей одинакова, градуировочный коэффициент определяют по формуле

(1)
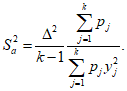
4.4.2. Если погрешность аттестации градуировочных смесей разных концентраций различна, то соответствующим измерениям следует приписать различный вес
pj, обратно пропорциональный квадрату погрешности аттестации используемой смеси, и применить метод наименьших квадратов к "взвешенным" значениям. В этом случае

(2)
4.4.3. Рассчитывают остаточную сумму квадратов

(3)
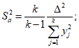
4.4.4. Рассчитывают дисперсию оценки градуировочного коэффициента для равноточных измерений
(п. 4.4.1)

(4)

(5)
4.4.5. Оценивают предельную (с вероятностью 0,95) относительную погрешность градуировки

(6)
где

- погрешность аттестации градуировочных смесей.
В случае градуировки с помощью аттестованных дозаторов вместо числа

в
уравнение (6) следует подставить

, где

- погрешность аттестации степени чистоты исходных веществ;

- погрешность аттестации дозаторов.
5. МЕТОДИКА ПОВЕРКИ ХРОМАТОГРАФИЧЕСКИХ ПРИБОРОВ
5.1. Исходные положения
5.1.1. Целью поверки является установление соответствия значений метрологических характеристик каждого экземпляра хроматографа установленным на эти характеристики нормам.
5.1.2. В процессе поверки контролируют метрологические характеристики по
пп. 2.1.1 -
2.1.4.
5.1.3. При выпуске из производства приборы по
пп. 2.1.2,
2.1.5 и
2.1.6 можно поверять при периодических испытаниях.
5.1.4. При положительных результатах периодического контроля правильности выполнения измерений
(п. 6.5) периодическую поверку приборов можно не проводить.
5.2. Общие требования к средствам поверки
5.2.1. Хроматографы поверяют с помощью смесей типового контрольного вещества (или чистого вещества) и разделительных колонок, обеспечивающих стабильность параметров элюционной кривой (времени удерживания, амплитуды пиков) при неизменной входной концентрации в пределах нормированного значения среднего квадратического отклонения выходных сигналов
(п. 2.1.1).
Кроме того, при использовании для поверки чистых веществ колонка и выбранный режим ее работы должны обеспечивать такую степень размывания, чтобы концентрация в максимуме регистрируемого пика не превышала верхнего предела линейного диапазона измерения.
5.2.2. Контрольная смесь, используемая для поверки хроматографов, должна иметь номинальное значение концентрации исходного компонента (типового контрольного вещества), соответствующее (50 +/- 10)% верхнего предела рабочего диапазона измерений поверяемого хроматографа, и аттестована с погрешностью, не превышающей +/- 10% установленного значения.
Примечание. Допускается использование в качестве типовых контрольных веществ для приготовления контрольных смесей (или в качестве чистых типовых контрольных веществ) химических продуктов со степенью чистоты, предусмотренной
ГОСТ 13867-68.
5.2.3. При контроле характеристики по
п. 2.1.2 в процессе испытаний следует применять одну и ту же смесь. Нестабильность состава смеси, обусловленная ее химическими свойствами, условиями применения и хранения, за время испытаний не должна превышать нормированного значения среднего квадратического отклонения выходных сигналов
(п. 2.1.1).
5.3. Среднее квадратическое отклонение выходных сигналов определяют следующим образом.
5.3.1. На хроматограф помещают разделительную колонку и устанавливают режимы работы, обеспечивающие контроль данной характеристики в соответствии с
п. 3.1.1.
5.3.2. Проверяют соответствие условий проведения поверки нормальным условиям.
5.3.3. На вход приборов десять раз подают аттестованную смесь определенной концентрации
(п. 5.2.2) и по полученным хроматограммам измеряют десять значений выходных сигналов
x1,
x2, ...,
x10.
5.3.4. Определяют среднее арифметическое значение выходных сигналов

(7)
5.3.5. Определяют приведенные средние квадратические отклонения выходных сигналов

(8)
где
xн - заданное
(п. 3.1) значение выходного сигнала.
5.3.6. Полученное по
п. 5.3.5 значение
Sx сравнивают с нормированным значением этой характеристики
(п. 3.1).
Если Sx меньше или равно пределу допускаемого значения, то прибор по этой характеристике признают годным. В противном случае прибор бракуют.
5.4. Временную стабильность выходных сигналов контролируют следующим образом.
5.4.2. Через время
t вновь осуществляют те же операции и определяют новые средние арифметические значения выходных сигналов

.
5.4.3. Вычисляют приведенное значение разности

(9)
5.4.4. Полученное по
п. 5.4.3 значение

сравнивают с нормированным значением этой характеристики
(п. 3.2).
Если

, прибор по этой характеристике признают годным. В противном случае прибор бракуют.
Примечание. При соответствующих теоретических и экспериментальных обоснованиях (апробированных органами метрологической службы) возможно проконтролировать временную стабильность выходных сигналов по сокращенному (например, за 8 ч) циклу работы хроматографа, пронормировав при этом соответствующий приемочный допуск.
6. ПРИНЦИПЫ ОЦЕНКИ ТОЧНОСТИ ХРОМАТОГРАФИЧЕСКИХ ИЗМЕРЕНИЙ
6.1. Показатели точности хроматографических измерений оценивают на этапе метрологической аттестации методик хроматографического анализа с учетом метрологических характеристик, нормированных в технической документации на хроматограф, результатов градуировки хроматографа и экспериментального определения коэффициентов (см.
п. 6.4), характеризующих степень влияния нестабильности температуры и расхода газов на погрешность анализа.
Кроме того, при невозможности полного разделения хроматографических пиков в условиях анализа многокомпонентных смесей, существенном искажении их формы необходимо учитывать соответствующие дополнительные "аналитические погрешности"

.
6.2. Суммарную относительную погрешность хроматографического анализа по каждому компоненту, приведенную ко входу (к измеряемому значению концентрации), оценивают величиной

.

(10)
где

- математическое ожидание суммарной относительной погрешности, равное

,

- коэффициенты влияния изменения расхода газа-носителя при увеличении и уменьшении расхода от номинального значения соответственно (см.
п. 6.3) на погрешность анализа;

,

- нормируемые пределы допускаемых значений отклонений расходов газов в газовых магистралях от номинального (см.
п. 3.3) в плюсовую и минусовую стороны соответственно (в случае, если

, то

);

,

- допускаемые в условиях эксплуатации отклонения температуры окружающего воздуха от номинальной в плюсовую и минусовую стороны соответственно, указываемые в методике хроматографического анализа;

,

в мм рт. ст. - то же, для барометрического давления;

,

- коэффициенты влияния нестабильности температуры каждого
i-го термостатируемого блока на погрешность анализа при увеличении и уменьшении температуры от номинального значения;

,

- нормируемые пределы допускаемых значений отклонений температуры в каждом
i-м термостатируемом блоке от заданной (см.
п. 3.3) в плюсовую и минусовую стороны соответственно;
Sтi - среднее квадратическое отклонение погрешности от нестабильности температуры i-го термостатируемого блока, равное
N - число термостатированных блоков;

- предельная погрешность градуировки, определяемая
формулой (6);
Sq - среднее квадратическое отклонение погрешности от нестабильности расходов газов, равное
Spт - среднее квадратическое отклонение изменений плотности при изменении температуры окружающего воздуха, равное

;

- абсолютное изменение номинального значения

плотности пробы при изменении температуры на

из величин

,

(рассчитывают по уравнению состояния газовой смеси);
Sqт - среднее квадратическое отклонение погрешности от нестабильности расхода, вызванной изменениями температуры окружающего воздуха, равное
Sqp - среднее квадратическое отклонение погрешности от нестабильности расхода, вызванной изменениями барометрического давления, равное

- приведенное к заданному выходному сигналу
yн среднее квадратическое отклонение выходных сигналов, определенное в процессе аттестации методики выполнения измерений;

- приведенное к заданному выходному сигналу

систематическое изменение градуировочной характеристики - см.
формулу (15) - за
r (п. 6.5.1), определенное в процессе аттестации методики выполнения измерений;

- нормируемый предел допускаемого значения погрешности деления выходных сигналов
(п. 2.1.7);
a1 - градуировочный коэффициент, рассчитываемый по
формуле (1);
c - измеряемое значение концентраций;

- оцениваемые в процессе аттестации методики "аналитические погрешности", обусловленные неразделенностью и искажениями формы хроматографических пиков.
Примечания:
1. Предложенная форма оценки суммарной погрешности хроматографических измерений базируется на предположении равномерного распределения составляющих погрешностей в пределах своих нормированных значений. Проведение индивидуальной метрологической аттестации конкретного экземпляра хроматографа совместно с аттестацией методики выполнения измерений дает возможность уточнить законы распределения и практически значимые диапазоны значений составляющих погрешностей и на этой основе уточнить (уменьшить) значения

.
2. В случае контроля значений внешних влияющих величин (температуры окружающего воздуха и барометрического давления) в процессе выполнения хроматографических анализов и внесения соответствующих поправок в результаты измерений систематические и случайные (
Spт,
Sqт,
Sqp) составляющие соответствующих погрешностей будут определяться лишь погрешностями средств контроля и, как правило, могут не учитываться при расчетах

.
6.3. Суммарную приведенную к наибольшему измеряемому значению
cm концентрации погрешность хроматографического анализа оценивают величиной


(11)
6.4. Экспериментальное определение коэффициентов влияния
kтi,
kq в процессе аттестации методики осуществляют следующим образом.
6.4.1. Устанавливают температуру (Ti) любого термостатированного блока (колонки, детектора, дозатора-испарителя), отличающуюся от нормальной (Tнi), задаваемой методикой анализа и соответствующей условиям проведения градуировки, на величину
Примечание. Величину

следует выбирать таким образом, чтобы изменение выходного сигнала более чем втрое превышало нормированное значение среднего квадратического отклонения выходных сигналов
(п. 2.1.1). Остальные параметры режима поддерживают на нормальных уровнях, т.е. значения температур остальных блоков и расхода газа устанавливают равными нормальным.
6.4.2. На вход хроматографа подают градуировочную смесь максимальной концентрации (
cm) исходного компонента и измеряют значения выходного сигнала

.
Оценивают относительную разность

(12)
где

- значение выходного сигнала по градуировочной характеристике хроматографа, соответствующее
cm.
6.4.3. Рассчитывают коэффициент влияния

(13)
6.4.4. Аналогичную операцию повторяют для температуры

и вычисляют

(14)
6.4.5. Аналогичным образом оценивают все указанные в
формуле (10) коэффициенты влияния.
6.5. Периодический контроль правильности выполнения измерений.
6.5.1. Для периодической проверки правильности выполнения измерений через определенные установленные требованиями к методике выполнения измерений промежутки времени

на вход хроматографа подают градуировочную смесь
(п. 4.2) одной определенной концентрации
c исходного компонента и измеряют выходной сигнал

.
6.5.2. Полученные значения выходного сигнала сравнивают с первоначальным значением xгр, соответствующим c на градуировочной характеристике хроматографа, и составляют отношение

(15)
6.5.3. В случае, если полученное значение
A не превосходит величины

(

определяют по
соотношению (6), а коэффициент
m указывают в методике выполнения измерений), то результаты проведенных измерений признают достоверными, а хроматограф можно не переградуировать и не поверять.
Примечания:
1. Описанную выше процедуру контроля можно осуществлять с помощью контрольных смесей неизменного состава исходного компонента, удовлетворяющих требованиям
п. 5.2.3.
При этом контрольную смесь через определенные промежутки времени подают на хроматограф, определяют соответствующие выходные сигналы
x0,
x1, ..., и составляют отношения, аналогичные
соотношению (15).
2. В табл. 2 приведены значения вероятностей (
P) обнаружения систематического "ухода" градуировочной характеристики на величину

при однократном контроле выходного сигнала, соответствующего одному значению (
c) входного.
Вероятность Q = 1 - P соответствует вероятности ошибочного признания незначимым систематического "ухода" градуировочной характеристики.
Таблица 2
Вероятность | | | | |
P | 0,5 | 0,84 | 0,98 | 0,999 |
Q | 0,5 | 0,16 | 0,02 | 0,001 |