Главная // Актуальные документы // МетодикаСПРАВКА
Источник публикации
Обнинск: ФГБУ "ВНИИГМИ-МЦД", 2014
Примечание к документу
Документ введен в действие с 1 ноября 2014 года (
Приказ Росгидромета от 28.10.2013 N 566).
Название документа
"Р 52.18.787-2013. Рекомендации. Методика оценки радиационных рисков на основе данных мониторинга радиационной обстановки"
(утв. Росгидрометом 19.09.2013)
"Р 52.18.787-2013. Рекомендации. Методика оценки радиационных рисков на основе данных мониторинга радиационной обстановки"
(утв. Росгидрометом 19.09.2013)
Заместителем Руководителя
Росгидромета
19 сентября 2013 года
РЕКОМЕНДАЦИИ
МЕТОДИКА ОЦЕНКИ РАДИАЦИОННЫХ РИСКОВ НА ОСНОВЕ ДАННЫХ
МОНИТОРИНГА РАДИАЦИОННОЙ ОБСТАНОВКИ
Р 52.18.787-2013
1 РАЗРАБОТАН Федеральным государственным бюджетным учреждением "Научно-производственное объединение "Тайфун" (ФГБУ "НПО "Тайфун").
2 РАЗРАБОТЧИКИ Крышев И.И., д-р физ.-мат. наук; Сазыкина Т.Г., д-р физ.-мат. наук; Крышев А.И., д-р биол. наук; Каткова М.Н., канд. биол. наук; Санина К.Д.; Скакунова М.А.; Вережанская К.В.
3 УТВЕРЖДЕН Заместителем Руководителя Росгидромета от 19.09.2013
4 ЗАРЕГИСТРИРОВАН ЦМТР ФГБУ "НПО "Тайфун" за номером Р 52.18.787-2013 от 17.10.2013 г.
5 ВВЕДЕН ВПЕРВЫЕ
В соответствии с Федеральным законом ["О внесении изменений в Федеральный закон об охране окружающей среды и отдельные законодательные акты Российской Федерации"] от 21 ноября 2011 года N 331-ФЗ
(статья 7, п. 6) государственный мониторинг радиационной обстановки на территории Российской Федерации осуществляется в целях своевременного выявления изменений радиационной обстановки, оценки, прогнозирования и предупреждения возможных негативных последствий радиационного воздействия для населения и окружающей среды, а также в целях систематического представления соответствующей оперативной информации в органы государственной власти, органы управления использованием атомной энергии, органы государственного регулирования безопасности при использовании атомной энергии, организации для принятия необходимых мер по предотвращению или снижению радиационного воздействия.
В соответствии с концепцией оценки радиационного риска мониторинг радиационной обстановки должен быть ориентирован на обеспечение радиационной безопасности человека на социально приемлемом уровне. Социально приемлемый уровень радиационной безопасности предполагает, что риск от ядерных технологий и радиоактивного загрязнения окружающей среды не должен являться существенным добавлением к суммарному радиационному риску, которому подвергается человек и среда его обитания в процессе жизнедеятельности общества.
В настоящее время методика оценки радиационного риска нашла практическое применение при анализе безопасности опасных производственных объектов, мониторинге загрязнения почвы радионуклидами и химическими веществами [
1,
2]; управлении радиационной безопасностью и анализе эффективности защитных мер на загрязненных радионуклидами территориях [
3,
4]; классификации сравнительной опасности радиоактивных и токсических химических отходов
[5]; решении многих других задач в области оценки качества и управления окружающей средой.
Важным достоинством методики оценки радиационного риска является переход от множества данных мониторинга радиационной обстановки к единому интегральному показателю - уровню радиационного риска. Интегральность оценки радиационного риска позволяет сравнивать опасность различных составляющих загрязнения окружающей среды, оптимизировать мониторинг радиационной обстановки, что имеет существенное практическое значение для обоснования принятия решений в области охраны окружающей среды. Таким образом, использование методики оценки радиационного риска дает современный метод интегральной оценки радиационного состояния окружающей среды, что является одной из основных задач мониторинга радиационной обстановки.
1.1 Настоящие рекомендации устанавливают методику оценки радиационных рисков на основе данных мониторинга радиационной обстановки в районах расположения радиационно опасных объектов (РОО), включая зоны наблюдений и контрольные участки, а также на радиоактивно загрязненных территориях.
1.2 Настоящие рекомендации применяются для оценки радиационного риска с целью:
- обеспечения населения и лиц, принимающих управленческие решения, средств массовой информации и общественных организаций достоверной информацией об интегральном уровне радиационного воздействия и его интерпретации на основе концепции социально приемлемого риска;
- оценки уровней радиационного воздействия в районе расположения РОО, а также на радиоактивно загрязненной территории, на которых проводится мониторинг радиационной обстановки;
- обоснования приоритетных мероприятий в планах действий по охране окружающей среды и оценки их эффективности;
- оптимизации регламентов мониторинга радиационной обстановки с учетом уровня радиационного риска в районе расположения РОО, а также на радиоактивно загрязненной территории;
- ранжирования районов расположения РОО и радиоактивно загрязненных территорий по уровням радиационного риска.
1.3 Настоящие рекомендации не распространяются на:
- оценку радиационного риска от воздействия ионизирующего излучения для профессиональных работников и другие аспекты выявления радиационных эффектов на здоровье человека;
- оценку радиационного риска для населения на ранней фазе радиационной аварии;
- гарантийные, страховые, правовые и финансовые аспекты анализа радиационного риска;
- радиационный риск для биоты.
1.4 Настоящие рекомендации предназначены для организаций Росгидромета, осуществляющих работы в рамках Единой государственной системы контроля радиационной обстановки на территории Российской Федерации и могут быть применены специальными подразделениями других ведомств, выполняющими работы в области мониторинга радиационной обстановки.
2.1 В настоящих рекомендациях использованы ссылки на следующие нормативные документы:
ГОСТ Р ИСО 5479-2002 Статистические методы. Проверка отклонения распределения вероятностей от нормального распределения
ГОСТ Р ИСО 16269-6-2005 Статистические методы. Статистическое представление данных. Определение статистических толерантных интервалов
ГОСТ Р ИСО 16269-7-2004 Статистические методы. Статистическое представление данных. Медиана. Определение точечной оценки и доверительных интервалов
ДВ-98 Руководство по установлению допустимых выбросов радиоактивных веществ в атмосферу
В настоящих рекомендациях применены следующие термины с соответствующими определениями:
3.1 активность: Мера радиоактивности какого-либо количества радионуклида, находящегося в данном энергетическом состоянии в данный момент времени. В системе СИ единицей измерения активности является Беккерель (Бк). 1 Бк равен 1 ядерному превращению за 1 с.
Примечание - Использовавшаяся ранее внесистемная единица активности кюри, Ки, составляет 3,7·1010 Бк.
3.2 активность удельная, объемная: Отношение активности радионуклида в веществе к массе, объему вещества. Единица удельной активности - беккерель на килограмм, Бк/кг. Единица объемной активности - беккерель на метр кубический, Бк/м3 или внесистемная единица - беккерель на литр, Бк/л.
3.3 вещество радиоактивное: Вещество в любом агрегатном состоянии, содержащее радионуклиды с активностью, на которые распространяются требования норм радиационной безопасности.
3.4 естественный радиационный фон: Доза излучения, создаваемая космическим излучением и излучением природных радионуклидов, естественно распределенных в земле, воде, воздухе, других элементах биосферы, пищевых продуктах и организме человека
[6].
3.5
загрязнение радиоактивное: Загрязнение поверхности земли, атмосферы, воды либо продовольствия, пищевого сырья, кормов и различных предметов радиоактивными веществами в количествах, превышающих уровень, установленный нормами радиационной безопасности и правилами работы с радиоактивными веществами. |
3.6 зона наблюдения: Территория за пределами санитарно-защитной зоны, на которой проводится радиационный контроль
[6].
3.7 ионизирующее излучение: Излучение, взаимодействие которого с веществом приводит к образованию в этом веществе ионов разных знаков. Ионизирующее излучение состоит из заряженных и незаряженных частиц, к которым относятся также фотоны.
3.8 категоризация радиационного риска: Процесс сравнения оцененного радиационного риска с заданными критериями радиационного риска с целью определения значимости радиационного риска.
3.9 компонента радиационного риска: Составляющая радиационного риска, связанная с определенным путем облучения.
3.10 компоненты природной среды: Почва, поверхностные воды, атмосферный воздух, участвующие в обеспечении благоприятных условий для существования жизни на Земле.
3.11 коэффициент радиационного риска: Величина радиационного риска в расчете на единичное содержание радионуклида в компоненте природной среды.
3.12 контрольный участок: Территория, на которой отсутствует радиоактивное загрязнение, связанное с деятельностью РОО.
3.13 мониторинг радиационной обстановки: Система длительных регулярных наблюдений с целью оценки радиационной обстановки, а также прогноза изменения ее в будущем. Мониторингу радиационной обстановки подлежат атмосферный воздух, поверхностные воды, почва и другие компоненты природной среды, а также донные отложения.
3.14 мощность дозы: Доза ионизирующего излучения за единицу времени.
3.15 облучение: Воздействие на человека ионизирующего излучения.
3.16 окружающая среда: Совокупность компонентов природной среды, природных и природно-антропогенных объектов, а также антропогенных объектов
[7].
3.17 район расположения РОО: Территория вокруг РОО, включающая зону наблюдения и контрольный участок.
3.18
радиационно опасный объект, РОО: Объект, на котором хранят, перерабатывают, используют или транспортируют радиоактивные вещества, при аварии на котором или его разрушении может произойти облучение ионизирующим излучением или радиоактивное загрязнение людей, сельскохозяйственных животных и растений, объектов народного хозяйства, а также окружающей природной среды. |
3.19 радиационная авария: Авария на радиационно опасном объекте, приводящая к выходу или выбросу радиоактивных веществ и (или) ионизирующих излучений за предусмотренные проектом для нормальной эксплуатации данного объекта границы в количествах, превышающих установленные пределы безопасности его эксплуатации.
3.20 радиационная безопасность населения: Состояние защищенности настоящего и будущего поколений людей от вредного для их здоровья воздействия ионизирующего излучения
[6].
3.21 радиационное воздействие: Воздействие факторов ионизирующего излучения на человека.
3.22 радиационная обстановка: Совокупность радиационных факторов в пространстве и во времени, способных воздействовать на функционирование (использование) РОО, вызвать облучение персонала, населения и радиоактивное загрязнение окружающей среды.
3.23 радиационное состояние: Совокупность радиационных характеристик о состоянии компонент природной среды.
3.24 радиоактивно загрязненная территория: Участок территории, представляющий опасность для здоровья населения и для окружающей природной среды, подлежащий реабилитации после радиоактивного загрязнения в результате техногенной деятельности или размещения на данном участке территории снятых с эксплуатации особо радиационно опасных объектов.
3.25 радиоэкологическое обследование территории: Экспериментальное исследование распределения радионуклидов в компонентах природной среды.
3.26 риск радиационный: Вероятность возникновения у человека или его потомства какого-либо вредного эффекта в результате облучения.
3.27 риск радиационный приемлемый: Уровень радиационного риска, который не требует принятия дополнительных мер по его снижению, и оцениваемый как незначительный по отношению к радиационным рискам, существующим в повседневной деятельности и жизни человека.
3.28 санитарно-защитная зона: Территория вокруг РОО, за пределами которой уровень облучения населения за счет нормальной эксплуатации РОО не превышает установленный предел дозы облучения для населения. В санитарно-защитной зоне запрещается постоянное и временное проживание людей, вводится режим ограничения хозяйственной деятельности и проводится мониторинг радиационной обстановки.
3.29 толерантный интервал: Интервал, построенный по случайной выборке из общей совокупности таким образом, что он с заранее выбранной вероятностью содержит не менее заданной доли совокупности.
4.1 В основу методики оценки радиационных рисков, обусловленных радиоактивным загрязнением окружающей среды, положены следующие принципы, изложенные в [
1 -
5,
8,
9]:
- интегральность оценки радиационного риска, т.к. методика оценки радиационного риска является современным средством интегральной оценки качества окружающей среды;
- учет множественных путей воздействия, т.к. оценка радиационного риска проводится с учетом всех основных путей радиационного воздействия ионизирующего излучения на человека;
- использование данных мониторинга радиационной обстановки, т.к. в качестве входных данных используются данные мониторинга радиационной обстановки;
- практическое значение, т.к. методика оценки радиационного риска служит для обоснования принятия решений в области радиационной безопасности и оптимизации защитных мер.
4.2 Оценка радиационного риска включает в себя этапы:
- идентификация источников радиационного риска;
- анализ данных мониторинга радиационной обстановки и модельных оценок переноса радионуклидов в окружающей среде;
- оценка величины радиационного риска;
- категоризация радиационного риска;
- представление результатов оценки радиационного риска для управления последним.
4.3 На этапе идентификации источников радиационного риска консервативно предполагается, что потенциально все радионуклиды, поступающие в окружающую среду, могут быть источниками радиационного риска. С учетом принципа необходимости учета множественных источников и путей радиационного воздействия первоначально рассматриваются все возможные пути радиационного воздействия:
- поступление радионуклидов в компоненты природной среды в результате выбросов и сбросов радионуклидов РОО;
- радиоактивное загрязнение компонентов природной среды в результате предшествующей деятельности РОО, в том числе в результате радиационных аварий;
- возможность радиоактивного загрязнения вследствие трансграничного переноса радионуклидов.
4.4 На этапе анализа данных мониторинга радиационной обстановки анализируются и обобщаются данные мониторинга радиационной обстановки, полученные Росгидрометом, данные полевых обследований, а также данные, представленные Росгидромету другими организациями по удельным и объемным активностям радионуклидов в компонентах природной среды в районе расположения РОО, на радиоактивно загрязненной территории; при анализе производится сопоставление с контрольным участком.
Выполняются статистические оценки удельных, объемных активностей радионуклидов в компонентах природной среды, которые в дальнейшем используются для оценки радиационного риска. Для недостающих значений входных параметров оценки радиационного риска выполняются оценки при помощи
ДВ-98 и моделей, представленных в
[10]. Удельные активности радионуклидов в продуктах питания, связанных пищевой цепочкой с человеком, рассчитываются по моделям
[10], исходя из активностей радионуклидов в компонентах природной среды; при наличии данных измерений продуктов питания, производится их статистическая обработка и сопоставление расчетных и измеренных значений; предпочтение отдается измеренным значениям удельной активности радионуклидов. В случае необходимости проводится дополнительное радиоэкологическое обследование территории.
4.5 На этапе оценки радиационного риска определяются возможные пути и продолжительность радиационного воздействия. Оцениваются значения параметров моделей оценки радиационного риска. Выполняются расчеты радиационного риска с учетом множественных путей радиационного воздействия.
4.6 На этапе категоризации радиационного риска производится интерпретация полученных результатов, включая выявление ограничений и неопределенностей используемых моделей и данных. Сравнение оцененных радиационных рисков с другими существенными (релевантными) радиационными рисками на радиоактивно загрязненной территории, включая радиационные риски от естественного радиационного фона, также составляет часть категоризации радиационного риска.
4.7 Результаты оценки радиационного риска используются при выработке и принятии решения о степени снижения или необходимости ограничения радиационного риска. При этом наряду с оцененными величинами радиационного риска учитываются сопутствующие неопределенности полученных оценок. Величины приемлемого радиационного риска могут выражаться через производные параметры, такие как допустимые удельные, объемные активности радионуклидов в компонентах природной среды. В процессе управления радиационным риском могут учитываться экологические, экономические и социальные факторы. В соответствии с нормами радиационной безопасности
СанПиН 2.6.1.2523 и международными основными нормами безопасности
[11] в основе управления радиационным риском лежат основные принципы обеспечения радиационной безопасности: нормирование, обоснование и оптимизация.
4.7.1 В соответствии с принципом нормирования радиационное воздействие не должно приводить к превышению нормативов, установленных нормами радиационной безопасности.
4.7.2 Запрещаются виды деятельности по использованию источников ионизирующего излучения, при которых полученная для человека и общества польза не превышает радиационный риск, обусловленный дополнительным облучением (принцип обоснования).
4.7.3 В соответствии с принципом оптимизации осуществляется поддержка уровня радиационного воздействия на возможно низком и достижимом уровне с учетом экономических и социальных факторов при использовании любого источника ионизирующего излучения.
4.8 Шкала радиационных рисков для управления радиационными рисками стохастических эффектов облучения включает:
- недопустимый (чрезмерный) уровень радиационного риска, который является неприемлемым вне зависимости от стоимости работ, необходимых для снижения радиационного риска и каких-либо других обстоятельств. Конкретное значение радиационного риска зависит от условий облучения. В условиях нормальной эксплуатации источников ионизирующего излучения индивидуальный пожизненный радиационный риск от годового облучения для населения не должен превышать 5,0·10-5 год-1;
- уровень пренебрежимого радиационного риска не требует никаких специальных мер по его снижению. Уровень пренебрежимого радиационного риска соответствует годовой дозе облучения менее 10 мкЗв/год, или 1% от допустимого предела мощности дозы (1 мЗв/год). Соответствующий уровень радиационного риска от облучения в течение года оценивается в 10
-6 год
-1, согласно нормам радиационной безопасности
СанПиН 2.6.1.2523;
- радиационные риски, лежащие между недопустимым и пренебрежимым уровнями, являются приемлемыми, если они удовлетворяют принципу ALARA, согласно которому следует удерживать дозу облучения на столь низком уровне, насколько это разумно достижимо (принцип ALARA - as low as reasonably achievable). Важно подчеркнуть, что радиационные риски, удовлетворяющие принципу ALARA, могут изменяться в зависимости от конкретной ситуации и экономических условий;
- радиационные риски, значения которых ниже недопустимого уровня, но не удовлетворяют принципу ALARA, в большинстве случаев не рассматриваются как приемлемые.
В процессе управления радиационным риском не ставится задача снижения радиационного риска до пренебрежимо малого уровня.
4.9 Анализ радиационного риска является составной частью управления радиационной безопасностью на основе мониторинга радиационной обстановки. Основные задачи анализа радиационного риска заключаются в представлении в Росгидромет и лицам, принимающим решения:
- объективной информации об уровнях радиационного риска, обусловленного радиоактивным загрязнением окружающей среды;
- сведений о наиболее значимых путях радиационного воздействия;
- обоснованных рекомендаций об оптимизации регламентов мониторинга радиационной обстановки;
- обоснованных рекомендаций для оценки приемлемости или необходимости уменьшения радиационного риска.
4.10 Результаты анализа радиационного риска позволяют выполнить идентификацию факторов радиационного воздействия; произвести их ранжирование по уровням радиационного риска; рационально организовать мониторинг радиационной обстановки в районе расположения РОО, на радиоактивно загрязненной территории; обеспечить возможность достоверной оценки последствий радиационных аварий и отбор наиболее эффективных мер по преодолению их негативного влияния на население и окружающую среду; оптимизировать защитные меры по обеспечению приемлемого уровня радиационного риска в районе расположения РОО, на радиоактивно загрязненной территории.
5. Порядок проведения анализа данных мониторинга радиационной обстановки
5.1 Анализ данных мониторинга радиационной обстановки производится с целью определения статистически достоверных обобщенных значений удельных и объемных активностей радионуклидов в компонентах природной среды для их последующего использования при оценке радиационного риска.
5.2 Определяются РОО и дается их краткое описание, в котором идентифицируются потенциальные источники радиационного воздействия, включая выбросы и сбросы радиоактивных веществ, их радионуклидный состав, территории, загрязненные радиоактивными веществами в результате предшествующей деятельности РОО или радиационных аварий на РОО, возможность трансграничного переноса радионуклидов.
Составляется перечень радионуклидов, которые могут загрязнять компоненты природной среды в районе расположения РОО, на радиоактивно загрязненной территории. В последующем перечень потенциально опасных радиоактивных веществ подвергается анализу с целью выявления радионуклидов, представляющих наибольшую значимость при тех путях радиационного воздействия, которые рассматриваются при оценке радиационного риска.
5.3 Составляется карта-схема района расположения РОО, радиоактивно загрязненной территории и дается краткое описание ее гидрометеорологических, демографических и других характеристик.
5.4 Определяются потенциальные пути радиационного воздействия в зоне наблюдения РОО или на радиоактивно загрязненной территории, а также на контрольном участке, составляется матрица наличия данных о распределении радионуклидов в компонентах природной среды (рисунок 1).
Исследуемый объект | Распределение радионуклидов в компонентах природной среды |
в зоне наблюдений/на радиоактивно загрязненной территории | на контрольном участке |
Атмосферный воздух | | |
Поверхностные воды | | |
Почва | | |
Биота | | |
Рисунок 1 - Матрица наличия данных о распределении
радионуклидов в компонентах природной среды
5.5 Определяется наличие данных мониторинга радиационной обстановки по удельным и объемным активностям радионуклидов в атмосферном воздухе, поверхностных водах, почве и других компонентах природной среды, в зоне наблюдения РОО, на радиоактивно загрязненной территории, а также на контрольном участке. При наличии данных мониторинга радиационной обстановки в соответствующей графе
(рисунок 1) проставляется знак "+", при отсутствии данных - "0". В случае необходимости проводится дополнительное радиоэкологическое обследование территории.
5.6 В случае отсутствия данных мониторинга радиационной обстановки по некоторым компонентам природной среды, производятся модельные оценки удельных и объемных активностей радионуклидов в компонентах природной среды при помощи моделей с использованием данных мониторинга радиационной обстановки и данных о выбросах и сбросах радиоактивных веществ. В этих целях могут быть рекомендованы к использованию модели, представленные в
[10] и
ДВ-98.
5.7 Из данных мониторинга радиационной обстановки формируются выборки по удельным и объемным активностям радионуклидов в компонентах природной среды в целом в зоне наблюдения РОО, на радиоактивно загрязненной территории, а также на контрольном участке. Данные измерений, величины которых менее чувствительности используемых методов анализа, оставляются в выборке со значением, равным половине порога обнаружения наблюдаемого радионуклида, если общее число таких данных не превышает половины от размера выборки. При большом количестве данных ниже порога обнаружения (более половины от размера выборки) для исключения возможности занижения оценок радиационного риска результатам измерений предписывается значение, равное порогу обнаружения. Во избежание погрешностей, в необходимых случаях производится предварительное тестирование анализируемых данных для возможного исключения из выборки значений, существенно превышающих выборочное среднее значение. Такое тестирование данных может быть выполнено при помощи критерия Грубба [
12 -
13].
5.8 По результатам оценки радиационного риска
(раздел 6), в случае превышения уровня приемлемого радиационного риска или возможности его превышения с учетом неопределенности выполненных оценок производится более детальное формирование выборок для последующего статистического анализа с учетом пространственной неоднородности и временных изменений распределения радионуклидов в компонентах природной среды.
5.9 Производится статистический анализ данных мониторинга радиационной обстановки в зоне наблюдения РОО, на радиоактивно загрязненной территории, а также на контрольном участке при помощи адекватных методов анализа в соответствии с
ГОСТ Р ИСО 5479, ГОСТ Р ИСО 16269-6, ГОСТ Р ИСО 16269-7.
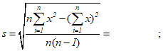
5.10 Стандартными методами математической статистики определяются выборочное среднее арифметическое значение и выборочное стандартное отклонение анализируемой выборки.
Выборочное среднее значение Cср рассчитывается как среднее арифметическое n результатов.
Выборочное стандартное отклонение s рассчитывается по формуле

, (1)
где Ci - индивидуальное значение удельной или объемной активности радионуклида в компонентах природной среды;
Cср - среднее значение удельной или объемной активности радионуклида в компонентах природной среды;
n - количество измерений в выборке.
5.11 Стандартными методами математической статистики совокупность данных выборки анализируется на нормальность [
12,
13]. В соответствии с
приложением А для нормальной совокупности выполняются расчеты статистических толерантных интервалов, относительно которых можно утверждать с уровнем доверия 95%, что этот интервал содержит, по крайней мере, 95% совокупности данных мониторинга радиационной обстановки. В необходимых случаях статистические толерантные интервалы могут быть рассчитаны для других уровней доверия и минимальной доли совокупности, относительно которой утверждают, что она находится внутри толерантного интервала.
5.12 В случае, когда функция распределения совокупности анализируемых данных неизвестна, для определения статистических толерантных интервалов используются методы непараметрической статистики [
12,
13], рассчитываемые в соответствии с
приложением Б.
5.13 В качестве контрольного значения удельной и объемной активности радионуклида в компонентах природной среды C
ф принимается статистически достоверная максимальная удельная и объемная активность радионуклида в компонентах природной среды на контрольном участке, значение которой превышается в 5% случаев. Вычисление контрольной удельной и объемной активности радионуклидов в компонентах природной среды производится в соответствии с алгоритмом, представленным в
приложении В.
6. Оценка величины радиационного риска
6.1 Оценка величины радиационного риска производится с целью определения уровней радиационного риска на основе обобщенных данных мониторинга радиационной обстановки в компонентах природной среды в районе расположения РОО или на радиоактивно загрязненной территории. Наряду с оценками радиационного риска для популяции в целом рекомендуется определять уровни радиационного риска для критических групп популяции, подвергающихся наибольшему радиационному воздействию по данному пути облучения.
6.2 В настоящих рекомендациях учитываются следующие пути радиационного воздействия:
- внешнее облучение от почвы;
- потребление в пищу продуктов питания, произведенных в районе расположения РОО или на радиоактивно загрязненной территории, а также потенциальное непреднамеренное потребление частиц почвы;
- поступление радионуклидов с водой;
- ингаляция радионуклидов с атмосферным воздухом.
В соответствии с принципом необходимости учета множественных путей радиационного воздействия рассматривается каждый из этих путей и оценивается его роль в формировании радиационного риска.
6.3 Наряду со средними значениями удельной и объемной активности радионуклидов в компонентах природной среды и продуктах питания в целом в районе расположения РОО, а также на радиоактивно загрязненной территории, для анализа неопределенности оценок радиационного риска используются значения статистических толерантных интервалов
(раздел 5). Если, с учетом неопределенности оценок радиационного риска, толерантные интервалы могут превысить уровень приемлемого радиационного риска, производится более детальная оценка радиационного риска, принимающая во внимание пространственную неоднородность и временные изменения распределения радионуклидов в компонентах природной среды.
При оценках ориентировочных уровней радиационного риска на начальном этапе оценки, как правило, следует ориентироваться на оценку максимального обоснованного радиационного воздействия. В качестве меры удельной и объемной активности радионуклида в компонентах природной среды в этом случае рекомендуется использовать 95%-ную верхнюю доверительную границу средней (арифметической или геометрической в зависимости от вида статистического распределения данных) величины за период усреднения (обычно за год) или 95%-ный процентиль при неизвестном типе статистического распределения. Средние величины удельных и объемных активностей радионуклидов в компонентах природной среды в зоне наблюдения РОО, на радиоактивно загрязненной территории, а также на контрольном участке (или медиана при неизвестном типе статистического распределения) применяются в тех случаях, когда целью анализа является оценка центральной тенденции. Крайние максимальные значения удельной и объемной активности радионуклидов в компонентах природной среды допустимо использовать при малом количестве данных и/или большом диапазоне их колебаний. Однако в этом случае оценки радиационных рисков будут сильно завышены. Причем степень их завышения остается неизвестной. Данный факт должен быть отражен в анализе неопределенностей, связанных с оценками радиационных рисков.
6.4 При отсутствии или недостаточности данных мониторинга радиационной обстановки об удельной и объемной активности радионуклидов в компонентах природной среды выполняются расчетные оценки недостающей информации при помощи моделей. Как правило, в этих целях применяются относительно простые модели, представленные в
ДВ-98 и
[10], позволяющие использовать специфические (региональные) параметры или их обобщенные значения, если специфическая информация отсутствует.
6.5 Оценки коэффициентов радиационного риска для различных путей радиационного воздействия, рассчитанные в соответствии с
СанПиН 2.6.1.2523, с учетом [
2,
15], представлены в таблице 1. При наличии соответствующей демографической информации могут использоваться уточненные коэффициенты радиационного риска с учетом рекомендаций и значений параметров, представленных в [
11,
15].
Таблица 1
Коэффициенты радиационного риска для разных путей облучения
Обозначение радионуклида | Коэффициент радиационного риска при |
потреблении воды и продуктов питания, риск/Бк | дыхании, риск/Бк | внешнем облучении, |
H-3 | 2,4·10-12 | 1,4·10-11 | 0 |
C-14 | 7,9·10-11 | 1,3·10-10 | 2,1·10-10 |
Na-24 | 1,0·10-9 | 8,9·10-11 | 5,9·10-3 |
P-32 | 9,4·10-10 | 2,0·10-10 | 2,5·10-7 |
K-40 | 2,1·10-9 | 8,5·10-10 | 2,2·10-5 |
Cr-51 | 1,2·10-11 | 1,0·10-11 | 3,4·10-6 |
Mn-54 | 1,6·10-10 | 9,4·10-11 | 1,1·10-4 |
Fe-59 | 6,5·10-10 | 2,3·10-10 | 1,6·10-4 |
Co-58 | 2,2·10-10 | 1,0·10-10 | 1,2·10-4 |
Co-60 | 1,4·10-9 | 6,0·10-10 | 3,3·10-4 |
Zn-65 | 7,9·10-10 | 9,4·10-11 | 7,6·10-5 |
Sr-89 | 8,9·10-10 | 3,6·10-10 | 1,9·10-7 |
Sr-90 | 3,8·10-9 | 2,5·10-9 | 5,3·10-7 |
Zr-95 | 2,8·10-10 | 2,9·10-10 | 9,2·10-5 |
Nb-95 | 1,6·10-10 | 9,4·10-11 | 9,5·10-5 |
Tc-99 | 2,4·10-10 | 2,5·10-10 | 2,2·10-9 |
Ru-103 | 2,3·10-10 | 1,5·10-10 | 5,5·10-5 |
Ru-106 | 2,5·10-9 | 1,4·10-9 | 2,6·10-5 |
I-129 | 9,4·10-9 | 3,3·10-9 | 1,6·10-7 |
I-131 | 8,9·10-9 | 3,6·10-9 | 4,3·10-5 |
Cs-134 | 9,4·10-10 | 3,3·10-10 | 1,9·10-4 |
Cs-137 | 6,5·10-10 | 2,3·10-10 | 6,9·10-5 |
Ba-140 | 8,9·10-10 | 3,1·10-10 | 2,1·10-5 |
Ce-141 | 2,5·10-10 | 2,1·10-10 | 6,1·10-6 |
Ce-144 | 1,9·10-9 | 7,9·10-9 | 6,5·10-6 |
Eu-152 | 3,6·10-10 | 2,1·10-9 | 1,4·10-4 |
Eu-154 | 6,0·10-10 | 2,6·10-9 | 1,6·10-4 |
Pb-210 | 1,8·10-7 | 6,5·10-8 | 3,8·10-8 |
Po-210 | 4,5·10-7 | 2,0·10-7 | 1,6·10-9 |
Ra-226 | 7,5·10-8 | 2,3·10-7 | 2,3·10-4 |
Th-228 | 1,9·10-8 | 2,4·10-6 | 2,1·10-4 |
Th-230 | 2,1·10-8 | 7,0·10-7 | 2,2·10-8 |
Th-232 | 2,3·10-8 | 1,3·10-6 | 9,2·10-9 |
U-233 | 7,0·10-9 | 2,2·10-7 | 2,7·10-8 |
U-234 | 6,5·10-9 | 2,1·10-7 | 6,8·10-9 |
U-235 | 6,5·10-9 | 1,9·10-7 | 1,5·10-5 |
U-238 | 6,0·10-9 | 1,7·10-7 | 3,1·10-6 |
Pu-238 | 2,0·10-8 | 2,3·10-6 | 2,0·10-9 |
Pu-239 | 2,1·10-8 | 2,5·10-6 | 5,4·10-9 |
Pu-240 | 2,1·10-8 | 2,5·10-6 | 1,9·10-9 |
Pu-241 | 2,4·10-10 | 4,5·10-8 | 1,1·10-10 |
Pu-242 | 2,0·10-8 | 2,4·10-6 | 1,7·10-9 |
Am-241 | 1,9·10-8 | 2,1·10-6 | 7,5·10-7 |
При наличии у рассматриваемого радионуклида короткоживущих продуктов распада, коэффициент радиационного риска оценивается с учетом их вклада, в предположении равновесия удельной и объемной активности материнского и дочернего радионуклида в компонентах природной среды.
6.6 Радиационный риск от вдыхания радионуклидов из атмосферного воздуха считается равным сумме радиационных рисков от вдыхания отдельных радионуклидов. Радиационный риск от вдыхания отдельного радионуклида определяется как произведение коэффициента радиационного риска на объемную активность радионуклида, поступившего с атмосферным воздухом за один год.
Пожизненный радиационный риск для техногенного облучения в течение одного года от вдыхания i-го радионуклида Rinh,i определяется из соотношения
Rinh,i = rinh,i·Iinh·Cair,i = rinh,i·Ainh,i, (2)
где
rinh,i - коэффициент радиационного риска при вдыхании
i-го радионуклида согласно
таблице 1, риск/Бк;
Iinh - интенсивность дыхания, м3/год;
Cair,i - объемная активность i-го радионуклида в атмосферном воздухе, Бк/м3;
Ainh,i - годовое поступление радионуклида за счет ингаляции, Бк/год.
6.7 Радиационный риск от потребления воды, загрязненной несколькими радионуклидами, считается равным сумме радиационных рисков, обусловленных отдельными радионуклидами. Радиационный риск от поступления с водой отдельного радионуклида определяется как произведение коэффициента радиационного риска на объемную активность радионуклида, поступившего с водой за один год.
Пожизненный радиационный риск для техногенного облучения в течение одного года от потребления с водой i-го радионуклида определяется по формуле
Rwater,i = rwater,i·Iwater·Cwater,i, (3)
где
rwater,i - коэффициент радиационного риска от перорального потребления воды, загрязненной
i-м радионуклидом
(таблица 1);
Iwater - годовое пероральное потребление воды, дм3/год;
Cwater,i - объемная активность радионуклида в питьевой воде, Бк/дм3.
При расчете радиационного риска от перорального потребления воды, содержащей радионуклиды, учитывается питьевая вода, а также вода, добавляемая в пищу в процессе приготовления; не учитывается вода, содержащаяся в овощах, фруктах и продуктах, приобретенных в готовом виде.
6.8 Радиационный риск от потребления радионуклидов с продуктами питания равен сумме рисков от потребления отдельных радионуклидов. Радиационный риск от поступления с продуктами питания отдельного радионуклида определяется как произведение коэффициента радиационного риска на удельную активность радионуклида, поступившего с продуктами питания за год.
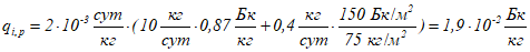
Пожизненный радиационный риск для техногенного облучения в течение года от потребления продуктов питания Ring,i, произведенных в зоне наблюдения РОО, на радиоактивно загрязненной территории, а также на контрольном участке, определяется по формуле

,
(4)
где
ring, i - коэффициент радиационного риска при пищевом поступлении
i-го радионуклида
(таблица 1);
Ci, p - удельная активность i-го радионуклида в p-м продукте питания, Бк/кг;
Ifood, p - годовое потребление p-го продукта питания, кг/год;
Bp - коэффициент, учитывающий потери i-го радионуклида при кулинарной обработке p-го продукта.
6.9 В необходимых случаях при анализе радиационных рисков учитывается возможность перорального потребления частиц почвы. В первом приближении значения коэффициентов радиационного риска от перорального поступления частиц почвы могут быть взяты из
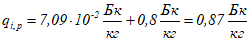
таблицы 1. Облучение от непреднамеренного потребления почвы выше для детей от 1 до 6 лет и снижается с возрастом. Оценки коэффициентов радиационного риска от перорального потребления почвы, полученные с учетом усреднения возрастной динамики потребления частиц почвы, приведены в [
2,
15].
Радиационный риск от непреднамеренного перорального потребления радионуклидов с частицами почвы равен сумме радиационных рисков от потребления отдельных радионуклидов. Радиационный риск от поступления с частицами почвы отдельного радионуклида определяется как произведение коэффициента радиационного риска на удельную активность радионуклида, поступившего с почвой за год.
Пожизненный радиационный риск от непреднамеренного перорального потребления частиц почвы в течение года Rsoil,i, загрязненных i-м радионуклидом, определяется по формуле
Rsoil,i = rsoil,i·Isoil,i·T·Csoil,i, (5)
где rsoil,i - коэффициент радиационного риска от потребления загрязненных почвенных частиц;
Isoil,i - скорость поглощения почвы (по умолчанию 0,12 г/сут);
T - продолжительность облучения по данному пути (по умолчанию 365 сут);
Csoil,i - удельная активность i-го радионуклида в почве, Бк/г.
6.10 Радиационный риск от внешнего облучения при загрязнении почвы радионуклидами равен сумме радиационных рисков от отдельных радионуклидов, присутствующих в почве.
Пожизненный радиационный риск для техногенного облучения в течение года от внешнего облучения Rext,si, обусловленного содержащимся в почве i-м радионуклидом, определяется по формуле
Rext,si = rext,si·Tstay·Csoil,i, (6)
где
rext,si - коэффициент радиационного риска при загрязнении почвы
i-м радионуклидом
(таблица 1);
Tstay - доля времени (в расчете на один год), проводимая на открытой местности без экранирования;
Csoil,i - удельная активность i-го радионуклида в почве, Бк/г.
6.11 Результаты расчетов суммарных радиационных рисков от отдельных путей радиационного облучения населения рекомендуется оформлять в виде сводной таблицы (рисунок 2). При одновременном присутствии в компонентах природной среды и продуктах питания нескольких радионуклидов расчеты радиационных рисков проводятся сначала для каждого исследуемого радионуклида, а затем смеси в целом.
Путь радиационного воздействия | Радиационный риск от воздействия | Суммарный радиационный риск |
радионуклида 1 | радионуклида 2 | ... | Радионуклида n |
Ингаляция | | | | | |
Перорально | | | | | |
Внешнее | | | | | |
Суммарное радиационное воздействие | | | | | |
Рисунок 2 - Формат сводной таблицы для анализа
радиационных рисков при одновременном
воздействии нескольких радионуклидов
6.12 В случае недостаточности данных мониторинга радиационной обстановки могут производиться оценки радиационного риска как по отдельным путям радиационного воздействия, так и суммарного радиационного риска в целом, на основе анализа сценариев множественных путей радиационного воздействия. Сценарий радиационного воздействия составляется исходя из целей оценки радиационного риска, данных мониторинга радиационной обстановки и концептуальной модели радиоактивно загрязненной территории.
Сценарий радиационного воздействия представляет собой совокупность фактов, допущений и экспертных заключений о том, каким образом происходит радиационное воздействие. Он включает в себя контингенты населения, подверженные облучению, воздействующие радионуклиды, пути радиационного воздействия. Наиболее консервативные сценарии, позволяющие в целях сопоставления с допустимыми уровнями радиационного воздействия провести ориентировочную (скрининговую) оценку радиационного риска с использованием имеющихся данных мониторинга радиационной обстановки и консервативных модельных оценок распределения радионуклидов в компонентах природной среды, рекомендуется использовать на начальном этапе идентификации источников радиационного риска.
В рамках выбранных сценариев оцениваются уровни удельных и объемных активностей отдельных радионуклидов в компонентах природной среды, определяются возможные пути и продолжительность радиационного воздействия, как на репрезентативного среднего представителя популяции, так и на представителей критических групп, подвергающихся наибольшему радиационному воздействию на радиоактивно загрязненной территории.
Сценарии радиационного воздействия используются при наличии на радиоактивно загрязненной территории нескольких крупных источников радиационного воздействия, при этом оценки радиационного риска проводятся как раздельно для каждого из них, так и суммарно для радиоактивно загрязненных территорий, подвергающихся воздействию от нескольких источников. Подобные расчеты могут оказаться важными для сравнительной оценки уровней радиационного риска на разных участках радиоактивно загрязненной территории.
6.13 Неопределенности в оценках радиационного риска зависят от неопределенности данных мониторинга радиационной обстановки и неопределенности модельных оценок.
Наибольшие неопределенности характерны для консервативных моделей, использующих в качестве входных данных информацию об источнике радиоактивного выброса или сброса. Такие модели, как правило, описывают перенос радионуклидов в компонентах природной среды со значительной неопределенностью.
Использование непосредственно данных мониторинга радиационной обстановки позволяет существенно уменьшить неопределенность оценки радиационного риска.
6.14 Результаты оценки и категоризации радиационного риска используются для сравнительной оценки радиационного воздействия от радиоактивного загрязнения компонентов природной среды на разных радиоактивно загрязненных территориях, в разные временные периоды, для сравнения эффективности природоохранных мероприятий и ранжирования различных технологических воздействий на население по уровням оцененных радиационных рисков, а также для оптимизации регламентов мониторинга радиационной обстановки.
7. Применение результатов оценки радиационного риска к оптимизации мониторинга радиационной обстановки и оценкам интегрального радиационного воздействия от загрязнения природной среды
7.1 Современные системы мониторинга радиационной обстановки имеют многоуровневую структуру, учитывающую множественность источников и путей радиационного воздействия на человека, существенные различия в величине радиационного воздействия в условиях чрезвычайных радиационных ситуаций и штатных условиях эксплуатации РОО, особенности контроля в районе расположения РОО и на радиоактивно загрязненной территории, различных пространственных и временных масштабов мониторинга радиационной обстановки. Различают следующие типы мониторинга радиационной обстановки:
- мониторинг радиационной обстановки в условиях контролируемых выбросов и сбросов радионуклидов;
- мониторинг радиационной обстановки в условиях неконтролируемых выбросов и сбросов;
- мониторинг радиационной обстановки радиоактивно загрязненных территорий
[16].
Методика оценки радиационного риска может быть использована для оптимизации регламентов мониторинга радиационной обстановки (таблица 2).
Таблица 2
Рекомендации по организации мониторинга радиационной
обстановки в зависимости от уровня радиационного риска
Категория риска | Требования к мониторингу радиационной обстановки и защитным мерам |
Неприемлемый (более 5·10-5 год-1) | Мониторинг радиационной обстановки в зоне наблюдения РОО, на радиоактивно загрязненной территории, а также на контрольном участке по специальной программе. Необходимы защитные меры. |
Требуется оптимизация риска (от 10-5 до 5·10-5 год-1) | Непрерывный автоматизированный мониторинг радиационной обстановки: мощности дозы гамма-излучения, некоторых компонент природной среды, с возможностью алармового сигнала; непрерывный отбор проб атмосферного воздуха, атмосферных выпадений и поверхностных вод с периодическими измерениями удельной и объемной активности радионуклидов в лаборатории; периодический отбор проб почвы, донных отложений, биоиндикаторов с последующими измерениями удельных и объемных активностей радионуклидов в пробах в лаборатории. Защитные меры предусмотрены по мере необходимости. |
Малый (от 10-6 до 10-5 год-1) | Периодические пробоотбор и измерения удельной и/или объемной активности радионуклидов в компонентах природной среды и продуктах питания для подтверждения непревышения заданного уровня радиационного риска. Защитные меры не предусмотрены. |
Пренебрежимый (менее 10-6 год-1) | В установленном порядке источник ионизирующего излучения может быть выведен из-под регулярного контроля. Защитные меры не предусмотрены. |
В случае малых значений радиационного риска (менее пренебрежимого уровня радиационного риска в 10-6 год-1 для техногенного облучения в течение одного года в условиях нормальной эксплуатации РОО) можно ограничиться мониторингом радиационной обстановки по скрининговой упрощенной программе.
При значениях радиационного риска, превышающих уровень пренебрежимого риска, необходимо проведение мониторинга радиационной обстановки на основе базисной целевой, более полной, программы для получения достаточной информации для обоснования решения о необходимости оптимизации радиационного риска.
В отдельных случаях, для районов с повышенными уровнями радиационного риска, может потребоваться проведение мониторинга радиационной обстановки на основе наиболее детального радиоэкологического обследования территории, для уточнения значений и интервала изменений радиационного риска, с целью получения достаточной информации для принятия решений о проведении мероприятий по обеспечению радиационной безопасности населения и окружающей среды и защитным мерам.
7.2 На разработку регламента мониторинга радиационной обстановки оказывают влияние следующие факторы, изложенные в
[16], имеющие принципиальное значение в процессе оценки радиационного риска:
- возможные источники радиоактивного загрязнения и их тип - локальные или распределенные;
- текущие и прогнозируемые значения выбросов радионуклидов;
- радионуклидный состав выброса;
- пространственные и временные особенности распределения радионуклидов в компонентах природной среды и продуктах питания;
- относительные вклады путей радиационного воздействия.
7.3 С учетом рекомендаций
[16] могут быть сформулированы следующие основные требования к регламенту мониторинга радиационной обстановки:
- контроль за соблюдением установленных нормативов удельной и/или объемной активности радионуклидов в компонентах природной среды и биоте;
- получение данных, необходимых для определения радиационного воздействия на население;
- проверка адекватности контроля выбросов/сбросов и, в случае необычных или непредсказуемых условий - переход на специальную программу мониторинга радиационной обстановки.
7.4 В качестве дополнительных требований к регламенту мониторинга радиационной обстановки предъявляются
[16]:
- обеспечение общественности информацией о величине радиационного воздействия на население;
- непрерывное пополнение и управление базой данных об удельной и/или объемной активности радионуклидов в компонентах природной среды;
- проверка предсказаний моделей для их возможной модификации с целью снижения неопределенности в оценке радиационного воздействия на население;
- обнаружение непредсказуемых изменений и оценка долгосрочных трендов в удельной и объемной активности радионуклидов в компонентах природной среды и продуктах питания;
- определение удельной активности радионуклидов в объектах биоты, аккумулирующих радионуклиды и являющихся наиболее чувствительными индикаторами радиоактивного загрязнения окружающей среды;
- использование сопутствующей информации, необходимой для оценки радиационного воздействия на население: метеорологической, гидрологической, о типах почвы, демографической, популяционной, экономической.
7.5 Регламент мониторинга радиационной обстановки является результатом процесса оптимизации, в котором рассматриваются наличие и возможности технических средств измерений, относительная значимость различных путей формирования радиационного риска, уровни удельных и/или объемных активностей радионуклидов в компонентах природной среды относительно допустимых значений и оцениваемые величины радиационного риска.
В регламенте мониторинга радиационной обстановки должно быть уделено особое внимание критическим путям радиационного воздействия и критическим радионуклидам с тем, чтобы мониторинг радиационной обстановки был направлен на наиболее важные компоненты формирования радиационного риска. Для этого используется процедура скрининга, направленная на исключение из дальнейшего рассмотрения факторов, наименее значимых для радиационной безопасности, с тем, чтобы в последующем сконцентрироваться на наиболее существенных факторах. Обычно скрининг выполняется на начальном этапе оценки радиационного риска на основе наиболее консервативных предположений, упрощенной программы наблюдений и консервативных модельных оценок.
7.6 Пример рекомендаций по выбору компонентов природной среды и биоты, а также частоте отбора проб в регламенте мониторинга радиационной обстановки при штатных условиях эксплуатации РОО приведен в
[16]. Так, согласно рекомендациям МАГАТЭ, радиационный мониторинг почвы необходимо проводить один раз в год, а, например, радиационный мониторинг питьевой воды и водных биоиндикаторов (водоросли, бентос) - два раза в год. Представленный в
[16] пример по выбору компонентов природной среды и частоте отбора проб соответствует рекомендациям по организации системы мониторинга радиационной обстановки при малых уровнях радиационного риска
(таблица 2).
7.7 Методика оценки радиационного риска может применяться для оценки интегрального радиационного воздействия от радиоактивного загрязнения компонентов природной среды [
17,
18].
В качестве интегрального показателя радиационного воздействия от радиоактивного загрязнения атмосферного воздуха Iатм(R) рекомендуется использовать сумму отношений наблюдаемых по данным мониторинга радиационной обстановки или расчетных среднегодовых объемных активностей, выбрасываемых в атмосферу радионуклидов Ai, к допустимым объемным активностям (контрольным уровням) RAi при заданном уровне радиационного риска R:

.
(7)
Значения
RAi определяются в соответствии с
СанПиН 2.6.1.2523, в которых приведены значения допустимой среднегодовой объемной активности радионуклидов во вдыхаемом воздухе, соответствующие уровню радиационного риска 5·10
-5 год
-1.
При совместном присутствии в атмосферном воздухе нескольких радионуклидов должно выполняться условие (при заданном уровне радиационного риска R)
При выполнении условия (8) при пренебрежимо малом уровне риска
R < 10
-6 год
-1 не требуется никаких специальных мер по снижению выбросов РОО и радиоактивного загрязнения атмосферного воздуха. При невыполнении
условия (8) осуществляется управление радиационным риском с учетом принципа оптимизации
(пункт 4.7.3).
Примеры оценок интегрального показателя радиационного воздействия от радиоактивного загрязнения атмосферного воздуха при различных уровнях радиационного риска представлены в
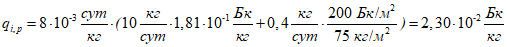
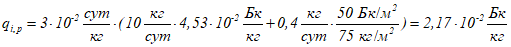
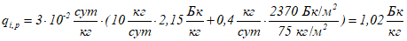
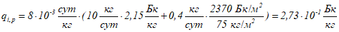
приложении Г.
7.8 В качестве интегрального показателя радиационного воздействия от радиоактивного загрязнения поверхностных вод
Iвод(R) рекомендуется использовать сумму отношений наблюдаемых или расчетных среднегодовых удельных активностей радионуклидов
Ai в воде к уровням вмешательства или допустимым удельным активностям (контрольным уровням)
RAWi при заданном уровне радиационного риска
R:

.
(9)
Значения
RAWi определяются в соответствии с
СанПиН 2.6.1.2523, в которых приведены значения уровней вмешательства при поступлении с водой отдельных радионуклидов для населения, соответствующие уровню радиационного риска 5·10
-6 год
-1.
При совместном присутствии в воде нескольких радионуклидов и заданной квоте на ограничение облучения населения от сбросов РОО должно выполняться условие (при заданном уровне радиационного риска R)
Iвод(R) < 1. (10)
При выполнении условия (10) при пренебрежимо малом уровне риска R (ниже 10-6 год-1) не требуется никаких специальных мер по снижению сбросов РОО и радиоактивного загрязнения поверхностных вод.
Примеры оценок интегрального показателя радиационного воздействия от радиоактивного загрязнения поверхностных вод при различных уровнях радиационного риска представлены в
приложении Д.
7.9 В качестве интегрального показателя радиационного воздействия от радиоактивного загрязнения почв Iпочв(R) может быть использована сумма отношений наблюдаемых или расчетных за 50 лет работы РОО удельных активностей i-го радионуклида в почве ASi к допустимым уровням загрязнения почвы RASi при заданном уровне радиационного риска R:

.
(11)
Допустимые уровни загрязнения почвы RA
Si при заданном уровне радиационного риска R рассчитываются на основе моделей [
2,
10].
При одновременном присутствии в почве нескольких радионуклидов и заданной квоте на ограничение облучения населения от выбросов РОО по всем путям должно выполняться условие (при заданном уровне радиационного риска R):
При выполнении условия (12) при пренебрежимо малом уровне риска
R < 10
-6 год
-1 не требуется никаких специальных мер по снижению выбросов РОО и радиоактивного загрязнения почв. При невыполнении
условия (12) осуществляется управление радиационным риском с учетом принципа оптимизации
(пункт 4.7.3).
При оценках вкладов в интегральный показатель радиационного воздействия от радиоактивного загрязнения почв такими радионуклидами, как 90Sr и 137Cs, необходимо делать поправку на глобальный уровень загрязнения радионуклидами 90Sr и 137Cs, вычитая это значение из измеренных плотностей загрязнения почвы 90Sr и 137Cs в районах расположения РОО.
7.10 Интегральный показатель радиационного воздействия от радиоактивного загрязнения компонентов природной среды I(R) может быть определен по формуле:
I(R) = Iатм(R) + Iпочв(R) + Iвод(R), (13)
где Iатм(R), Iпочв(R), Iвод(R) - показатели радиационного воздействия от радиоактивного загрязнения атмосферного воздуха, почвы и поверхностных вод при заданном уровне радиационного риска R.
В целом должно выполняться условие (при заданном уровне радиационного риска R):
При пренебрежимо малом уровне радиационного риска
R < 10
-6 год
-1 не требуется никаких специальных мер по снижению радиационного воздействия от радиоактивного загрязнения компонентов природной среды. При невыполнении
условия (14) осуществляется управление радиационным риском с учетом принципа оптимизации
(пункт 4.7.3), выполняются дополнительные радиоэкологические обследования, обосновываются и принимаются защитные меры по обеспечению радиационной безопасности населения и окружающей среды.
8. Требования к оформлению результатов оценки радиационного риска
8.1 Результаты оценки радиационного риска должны быть обоснованы и оформлены таким образом, чтобы результаты оценки радиационного риска могли быть проверены специалистами, не участвовавшими в этом анализе.
8.2 Объем и форма отчета с результатами оценки радиационного риска зависит от целей проведенной оценки радиационного риска. В отчет рекомендуется включать:
- титульный лист;
- список исполнителей с указанием должностей, научных званий, названием организации;
- аннотацию;
- задачи и цели проведенной оценки радиационного риска;
- описание анализируемого РОО, зоны наблюдений, контрольного участка или радиоактивно загрязненной территории;
- методику анализа радиационного риска, исходные предположения и ограничения, определяющие область применимости оценки радиационного риска;
- характеристику исходных данных и методов мониторинга радиационной обстановки, используемые методы статистического анализа данных радиационного мониторинга и его результаты, описание моделей и их параметров, с помощью которых были получены обобщенные модельные оценки удельных и/или объемных активностей радионуклидов в компонентах природной среды и продуктах питания, по которым отсутствуют или недостаточны данные радиационного мониторинга;
- результаты оценки радиационного риска;
- анализ неопределенностей результатов оценки радиационного риска;
- выявление критических путей формирования радиационного риска;
- рекомендации по оптимизации регламента радиационного мониторинга компонентов природной среды в районе расположения РОО или радиоактивно загрязненной территории, приемлемости или необходимости уменьшения радиационного риска;
- заключение;
- перечень используемых источников информации.
(рекомендуемое)
ФОРМА ОПРЕДЕЛЕНИЯ СТАТИСТИЧЕСКИХ ХАРАКТЕРИСТИК НОРМАЛЬНОЙ
СОВОКУПНОСТИ С НЕИЗВЕСТНОЙ ДИСПЕРСИЕЙ И НЕИЗВЕСТНЫМ СРЕДНИМ
А.1 Если среднее и дисперсия нормальной совокупности не известны, в соответствии с ГОСТ Р ИСО 16269-6 применяют процедуру, представленную в таблице А.1. Значение коэффициента определяют по
таблицам А.2 -
А.7 для заданных значений
n,
p и

.
Таблица А.1
Определение двустороннего статистического толерантного
интервала с долей
p и уровнем доверия

Порядок определения | Определение |
Заданные значения | а) доля совокупности для определения толерантного интервала  ; б) выбранный уровень доверия  ; в) объем выборки  . |
Коэффициент |  . |
Вычисления |  ;  ; где  - выборочное среднее арифметическое значение, равное  ; xi - i-е наблюдаемое значение i = 1, 2...n; k4(n; p; ( 1 - б) = - коэффициент, используемый для определения для границ двустороннего толерантного интервала xL и xU, когда значение  не известно; s - выборочное стандартное отклонение. |
Результаты | Двусторонний статистический толерантный интервал с долей p и уровнем доверия  имеет нижнюю границу статистического толерантного интервала xL , и верхнюю границу статистического толерантного интервала xu  , |
Таблица А.2
Коэффициент

для определения границ двустороннего
статистического толерантного интервала при неизвестном
значении

Объем выборки n | Коэффициент  при p |
0,50 | 0,75 | 0,90 | 0,95 | 0,99 | 0,999 |
2 | 1,243 | 2,057 | 2,870 | 3,376 | 4,348 | 5,457 |
3 | 0,943 | 1,582 | 2,229 | 2,635 | 3,416 | 4,310 |
4 | 0,853 | 1,441 | 2,040 | 2,416 | 3,144 | 3,979 |
5 | 0,809 | 1,370 | 1,946 | 2,308 | 3,011 | 3,818 |
6 | 0,782 | 1,328 | 1,889 | 2,243 | 2,930 | 3,721 |
7 | 0,765 | 1,300 | 1,851 | 2,199 | 2,876 | 3,655 |
8 | 0,752 | 1,279 | 1,823 | 2,168 | 2,837 | 3,608 |
9 | 0,743 | 1,264 | 1,802 | 2,143 | 2,807 | 3,572 |
10 | 0,735 | 1,252 | 1,786 | 2,124 | 2,783 | 3,544 |
11 | 0,730 | 1,242 | 1,772 | 2,109 | 2,764 | 3,521 |
12 | 0,725 | 1,234 | 1,761 | 2,096 | 2,749 | 3,502 |
13 | 0,721 | 1,227 | 1,752 | 2,086 | 2,735 | 3,486 |
14 | 0,717 | 1,222 | 1,744 | 2,077 | 2,724 | 3,472 |
15 | 0,714 | 1,217 | 1,738 | 2,069 | 2,714 | 3,461 |
16 | 0,712 | 1,212 | 1,732 | 2,062 | 2,706 | 3,450 |
17 | 0,709 | 1,209 | 1,727 | 2,056 | 2,698 | 3,441 |
18 | 0,707 | 1,205 | 1,722 | 2,051 | 2,691 | 3,433 |
19 | 0,706 | 1,202 | 1,718 | 2,046 | 2,685 | 3,426 |
20 | 0,704 | 1,200 | 1,714 | 2,042 | 2,680 | 3,419 |
22 | 0,701 | 1,195 | 1,708 | 2,034 | 2,671 | 3,408 |
24 | 0,699 | 1,191 | 1,703 | 2,028 | 2,663 | 3,399 |
26 | 0,697 | 1,188 | 1,698 | 2,023 | 2,656 | 3,391 |
28 | 0,696 | 1,186 | 1,694 | 2,018 | 2,651 | 3,384 |
30 | 0,694 | 1,183 | 1,691 | 2,014 | 2,646 | 3,378 |
35 | 0,691 | 1,179 | 1,685 | 2,007 | 2,636 | 3,366 |
40 | 0,689 | 1,175 | 1,680 | 2,001 | 2,629 | 3,357 |
45 | 0,688 | 1,172 | 1,676 | 1,997 | 2,623 | 3,350 |
50 | 0,686 | 1,170 | 1,673 | 1,993 | 2,618 | 3,344 |
60 | 0,684 | 1,167 | 1,668 | 1,988 | 2,612 | 3,335 |
70 | 0,683 | 1,165 | 1,665 | 1,984 | 2,607 | 3,329 |
80 | 0,682 | 1,163 | 1,662 | 1,981 | 2,603 | 3,324 |
90 | 0,681 | 1,162 | 1,661 | 1,979 | 2,600 | 3,321 |
100 | 0,681 | 1,160 | 1,659 | 1,977 | 2,598 | 3,318 |
150 | 0,679 | 1,157 | 1,654 | 1,971 | 2,591 | 3,309 |
200 | 0,678 | 1,156 | 1,652 | 1,969 | 2,587 | 3,305 |
250 | 0,677 | 1,155 | 1,651 | 1,967 | 2,585 | 3,302 |
300 | 0,677 | 1,154 | 1,650 | 1,966 | 2,583 | 3,300 |
400 | 0,676 | 1,153 | 1,649 | 1,965 | 2,582 | 3,298 |
500 | 0,676 | 1,153 | 1,648 | 1,964 | 2,581 | 3,296 |
1000 | 0,676 | 1,152 | 1,647 | 1,962 | 2,578 | 3,294 |
| 0,675 | 1,151 | 1,645 | 1,960 | 2,576 | 3,291 |
Таблица А.3
Коэффициент

для определения границ двустороннего
статистического толерантного интервала при неизвестном
значении

Объем выборки n | Коэффициент  при p |
0,50 | 0,75 | 0,90 | 0,95 | 0,99 | 0,999 |
2 | 2,674 | 4,394 | 6,109 | 7,178 | 9,231 | 11,574 |
3 | 1,492 | 2,487 | 3,489 | 4,117 | 5,326 | 6,710 |
4 | 1,211 | 2,036 | 2,872 | 3,397 | 4,412 | 5,576 |
5 | 1,083 | 1,829 | 2,590 | 3,069 | 3,996 | 5,060 |
6 | 1,009 | 1,709 | 2,425 | 2,877 | 3,753 | 4,760 |
7 | 0,961 | 1,630 | 2,316 | 2,750 | 3,592 | 4,561 |
8 | 0,926 | 1,573 | 2,238 | 2,659 | 3,476 | 4,418 |
9 | 0,900 | 1,530 | 2,179 | 2,590 | 3,389 | 4,309 |
10 | 0,880 | 1,497 | 2,133 | 2,536 | 3,320 | 4,224 |
11 | 0,864 | 1,469 | 2,095 | 2,492 | 3,264 | 4,155 |
12 | 0,850 | 1,447 | 2,064 | 2,456 | 3,217 | 4,097 |
13 | 0,839 | 1,428 | 2,038 | 2,425 | 3,178 | 4,049 |
14 | 0,829 | 1,412 | 2,015 | 2,399 | 3,145 | 4,007 |
15 | 0,821 | 1,398 | 1,996 | 2,376 | 3,116 | 3,971 |
16 | 0,814 | 1,386 | 1,979 | 2,356 | 3,090 | 3,939 |
17 | 0,807 | 1,375 | 1,964 | 2,338 | 3,067 | 3,910 |
18 | 0,802 | 1,366 | 1,950 | 2,322 | 3,047 | 3,885 |
19 | 0,797 | 1,357 | 1,938 | 2,308 | 3,029 | 3,862 |
20 | 0,792 | 1,349 | 1,927 | 2,295 | 3,012 | 3,842 |
22 | 0,784 | 1,336 | 1,908 | 2,273 | 2,983 | 3,806 |
24 | 0,777 | 1,325 | 1,892 | 2,254 | 2,959 | 3,775 |
26 | 0,771 | 1,315 | 1,879 | 2,238 | 2,938 | 3,749 |
28 | 0,766 | 1,306 | 1,867 | 2,224 | 2,920 | 3,727 |
30 | 0,762 | 1,299 | 1,857 | 2,211 | 2,904 | 3,707 |
35 | 0,753 | 1,284 | 1,835 | 2,186 | 2,872 | 3,666 |
40 | 0,747 | 1,273 | 1,819 | 2,167 | 2,847 | 3,634 |
45 | 0,741 | 1,263 | 1,806 | 2,152 | 2,827 | 3,609 |
50 | 0,737 | 1,256 | 1,795 | 2,139 | 2,810 | 3,588 |
60 | 0,730 | 1,244 | 1,779 | 2,119 | 2,784 | 3,556 |
70 | 0,725 | 1,236 | 1,766 | 2,105 | 2,765 | 3,532 |
80 | 0,721 | 1,229 | 1,757 | 2,093 | 2,750 | 3,513 |
90 | 0,718 | 1,223 | 1,749 | 2,084 | 2,738 | 3,497 |
100 | 0,715 | 1,219 | 1,742 | 2,076 | 2,728 | 3,485 |
150 | 0,706 | 1,204 | 1,722 | 2,051 | 2,696 | 3,443 |
200 | 0,701 | 1,196 | 1,710 | 2,037 | 2,677 | 3,420 |
250 | 0,698 | 1,191 | 1,702 | 2,028 | 2,665 | 3,405 |
300 | 0,696 | 1,187 | 1,697 | 2,022 | 2,657 | 3,393 |
400 | 0,693 | 1,181 | 1,689 | 2,012 | 2,645 | 3,378 |
500 | 0,691 | 1,178 | 1,684 | 2,006 | 2,637 | 3,368 |
1000 | 0,686 | 1,169 | 1,672 | 1,992 | 2,618 | 3,344 |
| 0,675 | 1,151 | 1,645 | 1,960 | 2,576 | 3,291 |
Таблица А.4
Коэффициент

для определения границ двустороннего
статистического толерантного интервала при неизвестном
значении

Объем выборки n | Коэффициент  при p |
0,50 | 0,75 | 0,90 | 0,95 | 0,99 | 0,999 |
2 | 6,809 | 11,166 | 15,513 | 18,221 | 23,424 | 29,362 |
3 | 2,492 | 4,135 | 5,789 | 6,824 | 8,819 | 11,104 |
4 | 1,766 | 2,954 | 4,158 | 4,913 | 6,373 | 8,047 |
5 | 1,473 | 2,478 | 3,500 | 4,143 | 5,387 | 6,816 |
6 | 1,314 | 2,218 | 3,141 | 3,723 | 4,850 | 6,146 |
7 | 1,213 | 2,053 | 2,913 | 3,456 | 4,509 | 5,721 |
8 | 1,144 | 1,939 | 2,755 | 3,270 | 4,271 | 5,424 |
9 | 1,093 | 1,854 | 2,637 | 3,133 | 4,095 | 5,204 |
10 | 1,053 | 1,789 | 2,546 | 3,026 | 3,958 | 5,033 |
11 | 1,022 | 1,737 | 2,474 | 2,941 | 3,849 | 4,897 |
12 | 0,996 | 1,694 | 2,414 | 2,871 | 3,760 | 4,785 |
13 | 0,975 | 1,659 | 2,365 | 2,813 | 3,684 | 4,691 |
14 | 0,957 | 1,628 | 2,322 | 2,763 | 3,621 | 4,611 |
15 | 0,941 | 1,602 | 2,286 | 2,720 | 3,565 | 4,542 |
16 | 0,928 | 1,580 | 2,254 | 2,683 | 3,517 | 4,482 |
17 | 0,916 | 1,560 | 2,226 | 2,650 | 3,475 | 4,428 |
18 | 0,905 | 1,542 | 2,201 | 2,620 | 3,437 | 4,381 |
19 | 0,896 | 1,526 | 2,179 | 2,594 | 3,403 | 4,338 |
20 | 0,887 | 1,512 | 2,159 | 2,570 | 3,372 | 4,300 |
22 | 0,873 | 1,487 | 2,124 | 2,529 | 3,319 | 4,233 |
24 | 0,861 | 1,466 | 2,095 | 2,494 | 3,274 | 4,177 |
26 | 0,850 | 1,449 | 2,070 | 2,465 | 3,236 | 4,129 |
28 | 0,841 | 1,434 | 2,048 | 2,439 | 3,203 | 4,087 |
30 | 0,833 | 1,420 | 2,029 | 2,417 | 3,174 | 3,050 |
35 | 0,817 | 1,393 | 1,991 | 2,372 | 3,115 | 3,976 |
40 | 0,805 | 1,372 | 1,962 | 2,337 | 3,069 | 3,918 |
45 | 0,795 | 1,356 | 1,938 | 2,309 | 3,033 | 3,872 |
50 | 0,787 | 1,342 | 1,919 | 2,286 | 3,003 | 3,835 |
60 | 0,775 | 1,321 | 1,889 | 2,250 | 2,957 | 3,776 |
70 | 0,766 | 1,306 | 1,867 | 2,224 | 2,922 | 3,732 |
80 | 0,759 | 1,294 | 1,849 | 2,203 | 2,895 | 3,698 |
90 | 0,753 | 1,284 | 1,835 | 2,187 | 2,873 | 3,670 |
100 | 0,748 | 1,276 | 1,824 | 2,173 | 2,855 | 3,647 |
150 | 0,733 | 1,249 | 1,786 | 2,128 | 2,796 | 3,572 |
200 | 0,724 | 1,234 | 1,765 | 2,103 | 2,763 | 3,530 |
250 | 0,718 | 1,225 | 1,751 | 2,086 | 2,741 | 3,502 |
300 | 0,714 | 1,217 | 1,741 | 2,074 | 2,725 | 3,481 |
400 | 0,708 | 1,208 | 1,727 | 2,057 | 2,704 | 3,454 |
500 | 0,705 | 1,201 | 1,717 | 2,046 | 2,689 | 3,435 |
1000 | 0,695 | 1,186 | 1,695 | 2,020 | 2,654 | 3,391 |
| 0,675 | 1,151 | 1,645 | 1,960 | 2,576 | 3,291 |
Таблица А.5
Коэффициент

для определения границ двустороннего
статистического толерантного интервала при неизвестном
значении

Объем выборки n | Коэффициент  при p |
0,50 | 0,75 | 0,90 | 0,95 | 0,99 | 0,999 |
2 | 13,652 | 22,383 | 31,093 | 36,520 | 46,945 | 58,844 |
3 | 3,585 | 5,938 | 8,306 | 9,789 | 12,648 | 15,920 |
4 | 2,288 | 3,819 | 5,369 | 6,342 | 8,221 | 10,377 |
5 | 1,812 | 3,041 | 4,291 | 5,077 | 6,598 | 8,346 |
6 | 1,566 | 2,639 | 3,733 | 4,423 | 5,758 | 7,294 |
7 | 1,416 | 2,392 | 3,390 | 4,020 | 5,242 | 6,647 |
8 | 1,314 | 2,224 | 3,157 | 3,746 | 4,890 | 6,207 |
9 | 1,240 | 2,101 | 2,987 | 3,546 | 4,633 | 5,886 |
10 | 1,183 | 2,008 | 2,857 | 3,394 | 4,437 | 5,641 |
11 | 1,139 | 1,935 | 2,754 | 3,273 | 4,282 | 5,446 |
12 | 1,103 | 1,875 | 2,671 | 3,175 | 4,156 | 5,288 |
13 | 1,074 | 1,825 | 2,602 | 3,094 | 4,051 | 5,156 |
14 | 1,049 | 1,784 | 2,543 | 3,025 | 3,962 | 5,045 |
15 | 1,027 | 1,748 | 2,493 | 2,965 | 3,886 | 4,949 |
16 | 1,009 | 1,717 | 2,449 | 2,914 | 3,819 | 4,866 |
17 | 0,992 | 1,689 | 2,411 | 2,869 | 3,761 | 4,792 |
18 | 0,978 | 1,665 | 2,377 | 2,829 | 3,709 | 4,727 |
19 | 0,965 | 1,644 | 2,347 | 2,793 | 3,663 | 4,669 |
20 | 0,954 | 1,625 | 2,319 | 2,761 | 3,621 | 4,617 |
22 | 0,934 | 1,591 | 2,272 | 2,705 | 3,550 | 4,526 |
24 | 0,918 | 1,563 | 2,233 | 2,659 | 3,489 | 4,450 |
26 | 0,904 | 1,540 | 2,200 | 2,619 | 3,438 | 4,386 |
28 | 0,892 | 1,519 | 2,171 | 2,585 | 3,394 | 4,330 |
30 | 0,881 | 1,502 | 2,146 | 2,555 | 3,355 | 4,281 |
35 | 0,860 | 1,466 | 2,095 | 2,495 | 3,277 | 4,182 |
40 | 0,844 | 1,438 | 2,056 | 2,449 | 3,216 | 4,106 |
45 | 0,831 | 1,417 | 2,025 | 2,412 | 3,168 | 4,045 |
50 | 0,821 | 1,399 | 2,000 | 2,382 | 3,129 | 3,996 |
60 | 0,804 | 1,371 | 1,960 | 2,336 | 3,069 | 3,919 |
70 | 0,792 | 1,351 | 1,931 | 2,301 | 3,023 | 3,861 |
80 | 0,783 | 1,335 | 1,909 | 2,274 | 2,988 | 3,816 |
90 | 0,776 | 1,322 | 1,890 | 2,252 | 2,960 | 3,780 |
100 | 0,769 | 1,312 | 1,875 | 2,234 | 2,936 | 3,750 |
150 | 0,749 | 1,278 | 1,826 | 2,176 | 2,860 | 3,653 |
200 | 0,738 | 1,258 | 1,799 | 2,143 | 2,817 | 3,598 |
250 | 0,731 | 1,246 | 1,781 | 2,122 | 2,788 | 3,562 |
300 | 0,725 | 1,236 | 1,768 | 2,106 | 2,768 | 3,536 |
400 | 0,718 | 1,224 | 1,750 | 2,085 | 2,740 | 3,500 |
500 | 0,713 | 1,216 | 1,738 | 2,071 | 2,721 | 3,476 |
1000 | 0,701 | 1,196 | 1,709 | 2,037 | 2,676 | 3,419 |
| 0,675 | 1,151 | 1,645 | 1,960 | 2,576 | 3,291 |
Таблица А.6
Коэффициент

для определения границ двустороннего
статистического толерантного интервала при неизвестном
значении

Объем выборки n | Коэффициент  при p |
0,50 | 0,75 | 0,90 | 0,95 | 0,99 | 0,999 |
2 | 68,316 | 111,996 | 155,569 | 182,721 | 234,878 | 294,410 |
3 | 8,122 | 13,435 | 18,783 | 22,131 | 28,586 | 35,978 |
4 | 4,029 | 6,707 | 9,417 | 11,118 | 14,406 | 18,178 |
5 | 2,824 | 4,725 | 6,655 | 7,870 | 10,221 | 12,921 |
6 | 2,270 | 3,812 | 5,384 | 6,374 | 8,292 | 10,498 |
7 | 1,954 | 3,292 | 4,658 | 5,520 | 7,191 | 9,115 |
8 | 1,751 | 2,956 | 4,189 | 4,968 | 6,480 | 8,220 |
9 | 1,608 | 2,720 | 3,861 | 4,581 | 5,981 | 7,593 |
10 | 1,503 | 2,546 | 3,617 | 4,295 | 5,611 | 7,128 |
11 | 1,422 | 2,412 | 3,429 | 4,073 | 5,325 | 6,768 |
12 | 1,358 | 2,304 | 3,279 | 3,896 | 5,096 | 6,481 |
13 | 1,305 | 2,217 | 3,157 | 3,752 | 4,910 | 6,246 |
14 | 1,262 | 2,144 | 3,054 | 3,631 | 4,754 | 6,050 |
15 | 1,225 | 2,082 | 2,968 | 3,529 | 4,622 | 5,884 |
16 | 1,193 | 2,029 | 2,893 | 3,441 | 4,508 | 5,740 |
17 | 1,166 | 1,983 | 2,828 | 3,365 | 4,409 | 5,616 |
18 | 1,142 | 1,943 | 2,771 | 3,297 | 4,322 | 5,506 |
19 | 1,120 | 1,907 | 2,721 | 3,238 | 4,244 | 5,408 |
20 | 1,101 | 1,875 | 2,676 | 3,184 | 4,175 | 5,321 |
22 | 1,069 | 1,820 | 2,598 | 3,093 | 4,057 | 5,172 |
24 | 1,042 | 1,775 | 2,534 | 3,017 | 3,959 | 5,048 |
26 | 1,020 | 1,737 | 2,481 | 2,953 | 3,876 | 4,943 |
28 | 1,000 | 1,704 | 2,434 | 2,899 | 3,805 | 4,853 |
30 | 0,984 | 1,676 | 2,394 | 2,851 | 3,743 | 4,775 |
35 | 0,950 | 1,620 | 2,314 | 2,756 | 3,619 | 4,618 |
40 | 0,925 | 1,577 | 2,253 | 2,684 | 3,525 | 4,499 |
45 | 0,905 | 1,543 | 2,205 | 2,627 | 3,451 | 4,405 |
50 | 0,889 | 1,516 | 2,166 | 2,581 | 3,390 | 4,328 |
60 | 0,864 | 1,474 | 2,107 | 2,510 | 3,297 | 4,211 |
70 | 0,846 | 1,443 | 2,063 | 2,458 | 3,229 | 4,123 |
80 | 0,832 | 1,419 | 2,029 | 2,417 | 3,176 | 4,056 |
90 | 0,821 | 1,400 | 2,001 | 2,384 | 3,133 | 4,002 |
100 | 0,812 | 1,384 | 1,979 | 2,358 | 3,098 | 3,957 |
150 | 0,782 | 1,334 | 1,907 | 2,272 | 2,985 | 3,813 |
200 | 0,766 | 1,305 | 1,866 | 2,224 | 2,922 | 3,732 |
250 | 0,755 | 1,287 | 1,840 | 2,192 | 2,881 | 3,680 |
300 | 0,747 | 1,273 | 1,821 | 2,169 | 2,851 | 3,642 |
400 | 0,736 | 1,255 | 1,795 | 2,138 | 2,810 | 3,590 |
500 | 0,729 | 1,243 | 1,778 | 2,118 | 2,783 | 3,555 |
1000 | 0,712 | 1,214 | 1,736 | 2,069 | 2,719 | 3,473 |
| 0,675 | 1,151 | 1,645 | 1,960 | 2,576 | 3,291 |
Таблица А.7
Коэффициент

для определения границ двустороннего
статистического толерантного интервала при неизвестном
значении

Объем выборки n | Коэффициент  при p |
0,50 | 0,75 | 0,90 | 0,95 | 0,99 | 0,999 |
2 | 683,179 | 1119,993 | 1555,734 | 1827,252 | 2348,839 | 2944,180 |
3 | 25,759 | 42,595 | 59,543 | 70,154 | 90,611 | 114,037 |
4 | 8,780 | 14,598 | 20,487 | 24,185 | 31,330 | 39,528 |
5 | 5,130 | 8,566 | 12,056 | 14,252 | 18,501 | 23,384 |
6 | 3,706 | 6,210 | 8,760 | 10,366 | 13,479 | 17,059 |
7 | 2,975 | 4,998 | 7,063 | 8,366 | 10,892 | 13,800 |
8 | 2,535 | 4,269 | 6,043 | 7,163 | 9,336 | 11,839 |
9 | 2,244 | 3,786 | 5,365 | 6,364 | 8,302 | 10,535 |
10 | 2,037 | 3,442 | 4,883 | 5,795 | 7,565 | 9,607 |
11 | 1,882 | 3,185 | 4,523 | 5,370 | 7,015 | 8,912 |
12 | 1,762 | 2,985 | 4,243 | 5,039 | 6,587 | 8,373 |
13 | 1,667 | 2,826 | 4,019 | 4,775 | 6,245 | 7,941 |
14 | 1,589 | 2,696 | 3,836 | 4,559 | 5,965 | 7,588 |
15 | 1,524 | 2,587 | 3,683 | 4,378 | 5,731 | 7,292 |
16 | 1,469 | 2,495 | 3,554 | 4,226 | 5,532 | 7,042 |
17 | 1,422 | 2,416 | 3,443 | 4,094 | 5,362 | 6,827 |
18 | 1,381 | 2,348 | 3,346 | 3,980 | 6,213 | 6,639 |
19 | 1,345 | 2,287 | 3,261 | 3,879 | 5,083 | 6,475 |
20 | 1,313 | 2,234 | 3,186 | 3,790 | 4,968 | 6,329 |
22 | 1,260 | 2,144 | 3,059 | 3,640 | 4,772 | 6,082 |
24 | 1,216 | 2,070 | 2,955 | 3,517 | 4,612 | 5,879 |
26 | 1,180 | 2,009 | 2,868 | 3,414 | 4,479 | 5,711 |
28 | 1,149 | 1,957 | 2,795 | 3,327 | 4,366 | 5,568 |
30 | 1,123 | 1,913 | 2,732 | 3,253 | 4,268 | 5,444 |
35 | 1,071 | 1,825 | 2,607 | 3,104 | 4,075 | 5,199 |
40 | 1,032 | 1,759 | 2,513 | 2,993 | 3,930 | 5,016 |
45 | 1,002 | 1,708 | 2,440 | 2,907 | 3,817 | 4,873 |
50 | 0,978 | 1,667 | 2,382 | 2,837 | 3,727 | 4,757 |
60 | 0,941 | 1,604 | 2,293 | 2,732 | 3,588 | 4,582 |
70 | 0,914 | 1,559 | 2,228 | 2,654 | 3,487 | 4,453 |
80 | 0,894 | 1,524 | 2,178 | 2,595 | 3,410 | 4,355 |
90 | 0,877 | 1,496 | 2,139 | 2,548 | 3,348 | 4,276 |
100 | 0,864 | 1,473 | 2,106 | 2,510 | 3,298 | 4,212 |
150 | 0,822 | 1,401 | 2,003 | 2,387 | 3,137 | 4,006 |
200 | 0,799 | 1,361 | 1,947 | 2,319 | 3,048 | 3,893 |
250 | 0,783 | 1,336 | 1,910 | 2,275 | 2,990 | 3,819 |
300 | 0,773 | 1,317 | 1,883 | 2,244 | 2,949 | 3,767 |
400 | 0,758 | 1,292 | 1,847 | 2,201 | 2,893 | 3,695 |
500 | 0,748 | 1,276 | 1,824 | 2,173 | 2,856 | 3,648 |
1000 | 0,725 | 1,236 | 1,768 | 2,106 | 2,768 | 3,535 |
| 0,675 | 1,151 | 1,645 | 1,960 | 2,576 | 3,291 |
(рекомендуемое)
ОПРЕДЕЛЕНИЕ ХАРАКТЕРИСТИК ТОЛЕРАНТНОГО ИНТЕРВАЛА
ПРИ НЕИЗВЕСТНОЙ ФУНКЦИИ РАСПРЕДЕЛЕНИЯ МЕТОДАМИ
НЕПАРАМЕТРИЧЕСКОЙ СТАТИСТИКИ
Б.1 Если исследуемая характеристика принадлежит совокупности с непрерывной функцией распределения неизвестной формы, то статистический толерантный интервал может быть определен по выборке из
n независимых случайных наблюдений. В соответствии с ГОСТ Р ИСО 16269-6 процедура, приведенная в таблице Б.1, обеспечивает определение доли совокупности
p или объема выборки
n, необходимых для оценки границ толерантных интервалов с критическими значениями выборки
xmin или
xmax и с уровнем доверия

. Табличные значения определяют по
таблице Б.2 для диапазона значений
n,
p и

. Статистические толерантные интервалы, которые не зависят от формы функции распределения выбранной совокупности, называются непараметрическими толерантными интервалами.
Таблица Б.1
Определение двустороннего толерантного интервала
для произвольного непрерывного распределения с долей p
и уровнем доверия

Порядок определения | Определение |
Заданные значения | а) доля совокупности p; б) выбранный уровень доверия  ; в) объем выборки; (или p, или n должны быть заданы). |
Табличные значения | а) p для заданных значений n и  ; б) n для заданных значений p и  . |
Вычисления и результаты | Двусторонний статистический толерантный интервал с долей p и уровнем доверия  имеет: а) нижнюю границу  ; где xmin - минимальная из наблюдаемых величин. б) верхнюю границу  ; где xmax - максимальная из наблюдаемых величин. |
Таблица Б.2
Объем выборки
n для доли
p и уровня доверия

Уровень доверия  | Объем выборки n для доли p и уровня доверия  |
p = 0,500 | p = 0,750 | p = 0,900 | p = 0,950 | p = 0,990 | p = 0,999 |
0,500 | 3 | 7 | 17 | 34 | 168 | 1679 |
0,750 | 5 | 10 | 27 | 53 | 269 | 2692 |
0,900 | 7 | 15 | 38 | 77 | 388 | 3889 |
0,950 | 8 | 18 | 46 | 93 | 473 | 4742 |
0,990 | 11 | 24 | 64 | 130 | 662 | 6636 |
0,999 | 14 | 33 | 89 | 181 | 920 | 9230 |
(рекомендуемое)
АЛГОРИТМ ОПРЕДЕЛЕНИЯ КОНТРОЛЬНЫХ УДЕЛЬНЫХ И/ИЛИ ОБЪЕМНЫХ
АКТИВНОСТЕЙ РАДИОНУКЛИДОВ В КОМПОНЕНТАХ ПРИРОДНОЙ СРЕДЫ
В.1 Определение контрольных (фоновых) удельных и объемных активностей радионуклидов (далее - фон) в компонентах природной среды производится по данным радиационного обследования на контрольных участках на основе адекватных методов статистического анализа [
12 -
14].
В.2 Упрощенный алгоритм определения фона включает следующие этапы:
а) на первом этапе формируется выборка для расчетных оценок фона;
б) данные измерений ниже чувствительности используемых методов анализа оставляются в выборке со значением, равным половине порога обнаружения измеряемого радионуклида, если общее число таких данных не превышает половины от размера выборки. При большом количестве данных измерений ниже порога обнаружения (более половины от размера выборки) для консервативной оценки величины фона данным измерений предписывается значение, равное порогу обнаружения;
в) производится исключение из выборки значений, существенно превышающих среднее значение, во избежание погрешностей, связанных с возможным включением в выборку данных, полученных на контрольных участках со значительным загрязнением;
г) стандартными методами математической статистики в сформированной выборке данных из n измерений определяются выборочное среднее значение Cср и выборочное стандартное отклонение s анализируемой выборки;
д) стандартными методами математической статистики данные выборки анализируются на нормальность. В случае нормального характера выборки рассчитывается контрольная (фоновая) концентрация Cф как верхняя граница 95%-ного доверительного интервала. Аналогичные вычисления проводятся в случае логнормального характера статистического распределения элементов выборки;
е) если распределение данных в выборке не является нормальным или логнормальным, то фон определяется как верхняя граница 95%-ного доверительного интервала непараметрическими методами:
1) данные наблюдений ранжируются в порядке увеличения измеренных значений фона;
2) величина с рангом 95(n)/100 используется в качестве искомой величины.
В.3 Допускается использование других более сложных методов статистического анализа в зависимости от представительности данных мониторинга.
(справочное)
ИСПОЛЬЗОВАНИЕ ОЦЕНКИ РАДИАЦИОННОГО РИСКА ДЛЯ ОПРЕДЕЛЕНИЯ
ПОКАЗАТЕЛЕЙ ИНТЕГРАЛЬНОГО РАДИАЦИОННОГО ВОЗДЕЙСТВИЯ
ОТ РАДИОАКТИВНОГО ЗАГРЯЗНЕНИЯ АТМОСФЕРНОГО ВОЗДУХА
Г.1 Оценки показателей интегрального радиационного воздействия от радиоактивного загрязнения атмосферного воздуха проводятся на основе обобщенных данных мониторинга радиационной обстановки в зонах наблюдения РОО в соответствии с
пунктом 7.7.
Г.2 В качестве критериев для оценки радиационного воздействия от радиоактивного загрязнения атмосферного воздуха используются допустимые среднегодовые объемные активности радионуклидов в атмосферном воздухе ДОАнас, представленные в таблице Г.1, соответствующие уровню радиационного риска 7,3·10-5 год-1 (округленно 10-4 год-1). Наиболее консервативным критерием является объемная активность радионуклидов в атмосферном воздухе, соответствующая индивидуальной годовой эффективной дозе в 10 мкЗв, соответствующей радиационному риску 7,3·10-7 год-1 или пренебрежимому радиационному риску менее 10-6 год-1.
Таблица Г.1
Допустимые ДОАнас и контрольные RA уровни среднегодовой
объемной активности радионуклидов в атмосферном воздухе,
соответствующие уровням индивидуального пожизненного
радиационного риска 10-4 и 10-6 год-1 для техногенного
облучения в течение года
Радионуклид | Период полураспада | ДОАнас, Бк/м3, для 10-4 год-1 | RA, Бк/м3, для 10-6 год-1 |
3H | 12,3 лет | 1900 | 19 |
51Cr | 27,7 сут | 2500 | 25 |
54Mn | 312 сут | 72 | 0,72 |
60Co | 5,27 лет | 11 | 0,11 |
65Zn | 244 сут | 72 | 0,72 |
90Sr | 29,1 лет | 2,7 | 0,027 |
129I | 15,7 млн лет | 2,9 | 0,029 |
131I | 8,04 сут | 7,3 | 0,073 |
134Cs | 2,06 лет | 19 | 0,19 |
137Cs | 30 лет | 27 | 0,27 |
239Pu | 24 100 лет | 0,0025 | 0,000025 |
240Pu | 6 540 лет | 0,0025 | 0,000025 |
(справочное)
ИСПОЛЬЗОВАНИЕ ОЦЕНКИ РАДИАЦИОННОГО РИСКА ДЛЯ ОПРЕДЕЛЕНИЯ
ПОКАЗАТЕЛЕЙ ИНТЕГРАЛЬНОГО РАДИАЦИОННОГО ВОЗДЕЙСТВИЯ
ОТ РАДИОАКТИВНОГО ЗАГРЯЗНЕНИЯ ПОВЕРХНОСТНЫХ ВОД
Д.1 Оценки показателей интегрального радиационного воздействия от радиоактивного загрязнения поверхностных вод проводятся на основе обобщенных данных мониторинга радиационной обстановки в зонах наблюдения РОО в соответствии с
пунктом 7.8.
Д.2 В качестве критериев для оценки радиационного воздействия РОО на поверхностные воды могут использоваться уровни вмешательства, представленные в таблице Д.1, соответствующие дозе 0,1 мЗв/год (радиационному риску 7,3·10-6 год-1 или округленно 10-5 год-1). Наиболее консервативным критерием является удельная активность радионуклидов в воде, соответствующая индивидуальной годовой эффективной дозе в 10 мкЗв, или пренебрежимому радиационному риску менее 10-6 год-1.
Таблица Д.1
Уровни вмешательства УВ и контрольные уровни RAW удельной
активности радионуклидов в воде, соответствующие
индивидуальному пожизненному радиационному риску
10-5 и 10-6 год-1 для техногенного облучения в течение года
Радионуклид | Период полураспада | УВ, Бк/кг, для 10-5 год-1 | RAW, Бк/кг, для 10-6 год-1 |
3H | 12,3 лет | 7700 | 770 |
32P | 14,3 сут | 58 | 5,8 |
51Cr | 27,7 сут | 3700 | 370 |
54Mn | 312 сут | 200 | 20 |
60Co | 5,27 лет | 41 | 4,1 |
65Zn | 244 сут | 36 | 3,6 |
90Sr | 29,1 лет | 5,0 | 0,5 |
106Ru | 1,01 лет | 20 | 2 |
131I | 8,04 сут | 6,3 | 0,63 |
134Cs | 2,06 лет | 7,3 | 0,73 |
137Cs | 30 лет | 11 | 1,1 |
210Pb | 22,3 лет | 0,2 | 0,02 |
210Po | 138 сут | 0,12 | 0,012 |
234U | 244 тыс лет | 2,9 | 0,29 |
235U | 704 млн лет | 3,0 | 0,3 |
238U | 4,47 млрд лет | 3,1 | 0,31 |
239Pu | 24 100 лет | 0,56 | 0,056 |
240Pu | 6 540 лет | 0,56 | 0,056 |
(справочное)
ПРИМЕР ОЦЕНКИ РАДИАЦИОННОГО РИСКА С ИСПОЛЬЗОВАНИЕМ ДАННЫХ
МНОГОЛЕТНЕГО МОНИТОРИНГА РАДИАЦИОННОЙ ОБСТАНОВКИ В РАЙОНЕ
РАСПОЛОЖЕНИЯ БАЛАКОВСКОЙ АТОМНОЙ ЭЛЕКТРОСТАНЦИИ
Е.1 Описание географического положения Балаковской атомной электростанции
Е.1.1 Балаковская атомная электростанция (далее - БалАЭС) расположена на левом берегу Саратовского водохранилища р. Волги в 10,5 км на северо-восток от г. Балаково Саратовской области и в 170 км от г. Саратова. За период наблюдений в эксплуатации на БалАЭС находились четыре однотипных энергоблока с реакторами ВВЭР-1000 с общей мощностью 4000 МВт [
19 -
21].
Е.1.2 Мониторинг радиационной обстановки производится в зоне наблюдения радиусом 30 км. Река Волга пересекает зону наблюдения в направлении с северо-востока на юго-запад и в ее пределах делится на два участка: в верхней части до Балаковского гидроузла - Саратовское водохранилище, в нижней части - Волгоградское. Из крупных притоков Волги в зону наблюдения попадают устье р. Малый Иргиз, затопленное Саратовским водохранилищем, и участок нижнего течения р. Большой Иргиз.
Е.1.3 В зону наблюдения БалАЭС входят части территорий пяти районов Саратовской области (Балаковского, Вольского, Хвалынского, Духовницкого, Пугачевского), в которых располагаются 43 населенных пункта. Общая численность населения на конец 2008 г. составляла 230 тыс. человек. Средняя плотность населения в зоне наблюдения БалАЭС составляет 81,3 человек на 1 км2.
Е.1.4 Мониторинг радиационной обстановки в санитарно-защитной зоне и зоне наблюдения (ЗН) БалАЭС осуществляет лаборатория контроля внешней радиационной безопасности отдела радиационной безопасности (ОРБ) БалАЭС, а в 100-километровой зоне - Приволжское УГМС.
Е.1.5 Схема расположения пунктов мониторинга радиационной обстановки в зоне наблюдения вокруг БалАЭС приведена на рисунке Е.1 [
19 -
21].
Рисунок Е.1 - Расположение пунктов мониторинга радиационной
обстановки в зоне наблюдения БалАЭС
Е.1.6 Схема расположения пунктов мониторинга радиационной обстановки в 100-километровой зоне вокруг БалАЭС приведена на рисунке Е.2.
Рисунок Е.2 - Расположение пунктов мониторинга радиационной
обстановки в 100-километровой зоне вокруг БалАЭС
Е.2 Характеристика данных мониторинга радиационной обстановки в зоне наблюдения и 100-километровой зоне вокруг БалАЭС
Апробация настоящих рекомендаций проводилась на основе данных многолетнего мониторинга радиационной обстановки (2001 - 2007 гг.) в районе расположения Балаковской АЭС [
19 -
21].
Данные мониторинга радиационной обстановки включают в себя результаты измерений удельной и объемной активности радионуклидов техногенного происхождения в компонентах природной среды (атмосферный воздух, почва, поверхностные воды) и продуктах питания. Апробация настоящих рекомендаций проведена с использованием данных мониторинга радиационной обстановки по 137Cs и 90Sr. Данные мониторинга радиационной обстановки приводятся по многолетним данным ОРБ БалАЭС и Приволжского УГМС.
Е.2.1 Данные наблюдения радиоактивного загрязнения атмосферного воздуха
Данные наблюдения радиоактивного загрязнения атмосферного воздуха в зоне наблюдения по данным ОРБ БалАЭС представлены в таблицах Е.1 и
Е.2. Для сравнения в
таблицах Е.3 и
Е.4 приведены измеренные значения объемных активностей
137Cs и
90Sr на контрольном участке - с. Маянга (100-километровая зона вокруг БалАЭС).
Таблица Е.1
Данные мониторинга радиационной обстановки
по объемной активности 90Sr в атмосферном воздухе
в зоне наблюдения БалАЭС
Место пробоотбора | Временной период пробоотбора | Объемная активность 90Sr в атмосферном воздухе в ЗН БалАЭС, Бк/м3 |
Натальино | 2 кв. 2003 г. | 1,00·10-8 |
Натальино | 3 кв. 2003 г. | 1,00·10-8 |
Балаково | 2 кв. 2002 г. | 9,00·10-8 |
Подсосенки | 2 кв. 2002 г. | 9,30·10-8 |
Матвеевка | 2 кв. 2003 г. | 1,00·10-7 |
Широкий Буерак | 2 кв. 2003 г. | 1,00·10-7 |
Широкий Буерак | 4 кв. 2003 г. | 1,00·10-7 |
Широкий Буерак | 2 кв. 2002 г. | 1,10·10-7 |
Матвеевка | 3 кв. 2003 г. | 1,10·10-7 |
Подсосенки | 1 кв. 2003 г. | 1,20·10-7 |
Натальино | 1 кв. 2003 г. | 1,20·10-7 |
Широкий Буерак | 3 кв. 2003 г. | 1,20·10-7 |
Подсосенки | 2 кв. 2003 г. | 1,40·10-7 |
Подсосенки | 3 кв. 2003 г. | 1,40·10-7 |
Балаково | 2 кв. 2003 г. | 1,50·10-7 |
Балаково | 3 кв. 2003 г. | 1,50·10-7 |
Подсосенки | 3 кв. 2002 г. | 1,60·10-7 |
Широкий Буерак | 1 кв. 2003 г. | 1,60·10-7 |
Балаково | 4 кв. 2003 г. | 1,60·10-7 |
Подсосенки | 4 кв. 2003 г. | 1,70·10-7 |
Балаково | 3 кв. 2002 г. | 2,10·10-7 |
Матвеевка | 2 кв. 2002 г. | 2,20·10-7 |
Подсосенки | 4 кв. 2002 г. | 2,20·10-7 |
Балаково | 1 кв. 2003 г. | 2,40·10-7 |
Матвеевка | 4 кв. 2003 г. | 2,50·10-7 |
Натальино | 4 кв. 2003 г. | 2,90·10-7 |
Матвеевка | 1 кв. 2003 г. | 3,00·10-7 |
Матвеевка | 4 кв. 2002 г. | 3,80·10-7 |
Матвеевка | 3 кв. 2002 г. | 3,90·10-7 |
Балаково | 4 кв. 2001 г. | < 8,30·10-7 |
Матвеевка | 1 кв. 2002 г. | 4,60·10-7 |
Широкий Буерак | 1 кв. 2002 г. | 5,80·10-7 |
Балаково | 1 кв. 2002 г. | 6,80·10-7 |
Балаково | 4 кв. 2002 г. | 7,10·10-7 |
Подсосенки | 1 кв. 2002 г. | 7,60·10-7 |
Балаково | 3 кв. 2001 г. | < 1,02·10-5 |
Подсосенки | 3 кв. 2001 г. | < 1,41·10-5 |
Подсосенки | 4 кв. 2001 г. | < 1,87·10-5 |
Широкий Буерак | 1 кв. 2001 г. | < 2,02·10-5 |
Матвеевка | 3 кв. 2001 г. | < 2,13·10-5 |
Балаково | 2 кв. 2001 г. | < 2,61·10-5 |
Балаково | 1 кв. 2001 г. | < 2,86·10-5 |
Подсосенки | 1 кв. 2001 г. | < 3,47·10-5 |
Матвеевка | 4 кв. 2001 г. | < 3,66·10-5 |
Матвеевка | 2 кв. 2001 г. | < 4,35·10-5 |
Широкий Буерак | 2 кв. 2001 г. | < 4,42·10-5 |
Матвеевка | 1 кв. 2001 г. | < 5,00·10-5 |
Подсосенки | 2 кв. 2001 г. | < 5,75·10-5 |
Широкий Буерак | 3 кв. 2001 г. | < 6,55·10-5 |
Широкий Буерак | 4 кв. 2001 г. | < 7,94·10-5 |
Таблица Е.2
Данные мониторинга радиационной обстановки
по объемной активности 137Cs в атмосферном воздухе
в зоне наблюдения БалАЭС
Место пробоотбора | Временной период пробоотбора | Объемная активность 137Cs в атмосферном воздухе в ЗН БалАЭС, Бк/м3 |
Зона наблюдения | 2004 г. | 6,00·10-7 |
Матвеевка | 1 кв. 2002 г. | 7,90·10-7 |
Балаково | 1 кв. 2002 г. | 1,00·10-6 |
Широкий Буерак | 1 кв. 2002 г. | < 1,00·10-6 |
Зона наблюдения | 2006 г. | 1,00·10-6 |
Подсосенки | 4 кв. 2002 г. | < 1,06·10-6 |
Зона наблюдения | 2005 г. | 1,20·10-6 |
Балаково | 4 кв. 2002 г. | < 1,55·10-6 |
Зона наблюдения | 2007 г. | 2,10·10-6 |
Подсосенки | 3 кв. 2002 г. | < 2,17·10-6 |
Матвеевка | 4 кв. 2002 г. | < 2,19·10-6 |
Балаково | 3 кв. 2001 г. | < 2,34·10-6 |
Подсосенки | 2 кв. 2002 г. | 2,71·10-6 |
Балаково | 4 кв. 2001 г. | < 2,80·10-6 |
Зона наблюдения | 2006 г. | 3,30·10-6 |
Матвеевка | 2 кв. 2002 г. | 3,43·10-6 |
Балаково | 2 кв. 2002 г. | 3,53·10-6 |
Широкий Буерак | 2 кв. 2002 г. | 3,61·10-6 |
Подсосенки | 1 кв. 2002 г. | 4,20·10-6 |
Матвеевка | 3 кв. 2002 г. | < 4,99·10-6 |
Подсосенки | 4 кв. 2001 г. | < 6,60·10-6 |
Балаково | 3 кв. 2002 г. | < 6,85·10-6 |
Балаково | 2 кв. 2001 г. | < 9,96·10-6 |
Матвеевка | 3 кв. 2001 г. | < 1,04·10-5 |
Балаково | 1 кв. 2001 г. | < 1,11·10-5 |
Матвеевка | 1 кв. 2001 г. | < 1,52·10-5 |
Матвеевка | 2 кв. 2001 г. | < 1,61·10-5 |
Подсосенки | 2 кв. 2001 г. | < 1,76·10-5 |
Широкий Буерак | 2 кв. 2001 г. | < 1,91·10-5 |
Широкий Буерак | 3 кв. 2001 г. | < 2,88·10-5 |
Широкий Буерак | 1 кв. 2001 г. | < 3,48·10-5 |
Подсосенки | 1 кв. 2001 г. | < 3,66·10-5 |
Подсосенки | 3 кв. 2001 г. | < 4,29·10-5 |
Матвеевка | 4 кв. 2001 г. | < 4,43·10-5 |
Широкий Буерак | 4 кв. 2001 г. | < 8,72·10-5 |
Таблица Е.3
Данные мониторинга радиационной обстановки
по объемной активности 137Cs в атмосферном воздухе
на контрольном участке (с. Маянга)
Временной период пробоотбора | Объемная активность 137Cs в атмосферном воздухе на контрольном участке, Бк/м3 |
2007 г. | 4,00·10-7 |
2004 г. | 6,00·10-7 |
1 кв. 2002 г. | < 7,60·10-7 |
2006 г. | 8,00·10-7 |
2005 г. | 8,00·10-7 |
4 кв. 2001 г. | < 1,26·10-6 |
2 кв. 2002 г. | 1,78·10-6 |
3 кв. 2002 г. | < 1,78·10-6 |
4 кв. 2002 г. | < 1,94·10-6 |
3 кв. 2001 г. | < 2,18·10-5 |
1 кв. 2001 г. | < 3,09·10-5 |
Таблица Е.4
Данные мониторинга радиационной обстановки
по объемной активности 90Sr в атмосферном воздухе
на контрольном участке (с. Маянга)
Временной период пробоотбора | Объемная активность 90Sr в атмосферном воздухе на контрольном участке, Бк/м3 |
2 кв. 2002 г. | 3,00·10-8 |
3 кв. 2003 г. | 1,20·10-7 |
2 кв. 2003 г. | 1,50·10-7 |
4 кв. 2003 г. | 1,70·10-7 |
1 кв. 2003 г. | 2,20·10-7 |
1 кв. 2002 г. | 5,90·10-7 |
4 кв. 2002 г. | 7,90·10-7 |
4 кв. 2001 г. | < 1,67·10-5 |
3 кв. 2001 г. | < 2,51·10-5 |
1 кв. 2001 г. | < 2,79·10-5 |
Е.2.2 Данные наблюдения радиоактивного загрязнения поверхностных вод
Отбор проб поверхностных вод для определения объемной активности радионуклидов производился в р. Волга напротив БалАЭС, выше и ниже по течению относительно места расположения БалАЭС; в водоеме-охладителе БалАЭС в месте водозабора охлаждающей воды, в месте сброса охлаждающей воды.
В таблице Е.5 приведены данные мониторинга радиационной обстановки по объемной активности 137Cs в воде р. Волга в ЗН БалАЭС.
Таблица Е.5
Данные мониторинга радиационной обстановки
по объемной активности 137Cs в воде р. Волга в ЗН БалАЭС
Место пробоотбора | Временной период пробоотбора, год | Объемная активность 137Cs в воде в ЗН БалАЭС, Бк/м3 |
р. Волга, выше по течению от БалАЭС | 2006 | < 12 |
р. Волга, 1 км ниже БалАЭС | 2006 | < 12 |
р. Волга, выше по течению от БалАЭС | 2007 | <12 |
р. Волга, 1 км ниже БалАЭС | 2007 | < 12 |
р. Волга, выше по течению | 2004 | < 12 |
р. Волга, 1 км ниже сброса БалАЭС | 2004 | < 12 |
р. Волга, выше по течению | 2005 | < 12 |
р. Волга, 1 км ниже сброса БалАЭС | 2005 | < 12 |
Поскольку значения объемной активности 137Cs в воде в зоне наблюдения БалАЭС были ниже предела обнаружения, статистический анализ данных не проводился.
Е.2.3 Данные измерений поверхностной активности радионуклидов в почве (ЗН Балаковской АЭС)
Данные мониторинга радиационной обстановки по поверхностной активности радионуклидов в почве в ЗН по данным ОРБ БалАЭС представлены в таблицах Е.6 и
Е.7. Данные измерений поверхностной активности радионуклидов в почвах контрольного участка (с. Маянга) приведены в
таблицах Е.8 и
Е.9.
Таблица Е.6
Данные мониторинга радиационной обстановки по поверхностной
активности 90Sr в почве в зоне наблюдения БалАЭС
Место пробоотбора | Временной период пробоотбора, год | Поверхностная активность 90Sr в почве в ЗН БалАЭС, кБк/м2 |
Натальино | 2004 | 0,03 |
Балаково | 2003 | 0,04 |
Балаково | 2004 | 0,05 |
Матвеевка | 2003 | 0,07 |
Широкий Буерак | 2004 | 0,09 |
Натальино | 2003 | 0,10 |
Новониколаевка | 2003 | 0,11 |
Широкий Буерак | 2003 | 0,15 |
Подсосенки | 2004 | 0,16 |
Новониколаевка | 2004 | 0,18 |
Широкий Буерак | 2001 | 0,19 |
Подсосенки | 2003 | 0,23 |
Натальино | 2001 | 0,24 |
Матвеевка | 2004 | 0,27 |
Матвеевка | 2001 | 0,27 |
Подсосенки | 2001 | 0,28 |
Новониколаевка | 2001 | 0,29 |
Широкий Буерак | 2002 | 0,36 |
Балаково | 2001 | 0,36 |
Матвеевка | 2002 | 0,37 |
Новониколаевка | 2002 | 0,37 |
Натальино | 2002 | 0,53 |
Подсосенки | 2002 | 0,56 |
Балаково | 2002 | 0,78 |
Таблица Е.7
Данные мониторинга радиационной обстановки по поверхностной
активности 137Cs в почве в зоне наблюдения БалАЭС
Место пробоотбора | Временной период пробоотбора, год | Поверхностная активность 137Cs в почве в ЗН БалАЭС, кБк/м2 |
Матвеевка | 2003 | < 0,08 |
Матвеевка | 2003 | < 0,08 |
Балаково | 2004 | < 0,1 |
Матвеевка | 2004 | < 0,1 |
Натальино | 2004 | < 0,1 |
Новониколаевка | 2004 | < 0,1 |
Подсосенки | 2004 | < 0,1 |
Широкий Буерак | 2004 | < 0,1 |
Зона наблюдения | 2004 | < 0,1 |
Подсосенки | 2001 | 0,06 |
Натальино | 2001 | 0,13 |
Новониколаевка | 2001 | 0,13 |
Натальино | 2003 | 0,14 |
Натальино | 2003 | 0,14 |
Балаково | 2001 | 0,15 |
с. Пылковка | 2004 | 0,19 |
Широкий Буерак | 2001 | 0,19 |
с. Грачи | 2004 | 0,2 |
Матвеевка | 2001 | 0,2 |
п. Алексеевка | 2004 | 0,22 |
с. Наумовка | 2004 | 0,23 |
Широкий Буерак | 2003 | 0,25 |
г. Вольск | 2004 | 0,25 |
Широкий Буерак | 2003 | 0,25 |
с. Куликовка | 2004 | 0,27 |
с. Сухой Отрог | 2004 | 0,27 |
Балаково | 2003 | 0,28 |
Балаково | 2003 | 0,28 |
с. Еланка | 2004 | 0,29 |
с. Демкино | 2004 | 0,31 |
Подсосенки | 2003 | 0,33 |
с. Малая Быковка | 2004 | 0,33 |
Подсосенки | 2003 | 0,33 |
Новониколаевка | 2003 | 0,36 |
Новониколаевка | 2003 | 0,36 |
с. Николаевка | 2004 | 0,42 |
Зона наблюдения | 2006 | 0,42 |
Балаково | 2002 | < 0,85 |
Балаково | 2002 | < 0,85 |
Зона наблюдения | 2005 | 0,51 |
Зона наблюдения | 2007 | 0,56 |
Натальино | 2002 | < 1,36 |
Натальино | 2002 | < 1,36 |
Новониколаевка | 2002 | 1,6 |
Новониколаевка | 2002 | 1,6 |
Широкий Буерак | 2002 | 2,3 |
Широкий Буерак | 2002 | 2,3 |
Матвеевка | 2002 | < 4,91 |
Матвеевка | 2002 | < 4,91 |
Подсосенки | 2002 | 2,67 |
Подсосенки | 2002 | 2,87 |
Таблица Е.8
Данные мониторинга радиационной обстановки по поверхностной
активности 137Cs в почве на контрольном участке (с. Маянга)
Временной период пробоотбора, год | Поверхностная активность 137Cs в почве на контрольном участке, кБк/м2 |
2004 | < 0,10 |
2004 | < 0,10 |
2004 | 0,10 |
2001 | 0,10 |
2003 | 0,17 |
2003 | 0,17 |
2005 | 0,24 |
2007 | 0,60 |
2006 | 1,19 |
2002 | 2,37 |
2002 | 2,37 |
Таблица Е.9
Данные мониторинга радиационной обстановки по поверхностной
активности 90Sr в почве на контрольном участке (с. Маянга)
Временной период пробоотбора, год | Поверхностная активность 90Sr в почве на контрольном участке, кБк/м2 |
2002 | 0,24 |
2003 | 0,23 |
2002 | 0,24 |
2004 | 0,03 |
2003 | 0,23 |
2001 | 0,28 |
Е.2.4 Данные мониторинга радиационной обстановки по удельной активности радионуклидов в продуктах питания, произведенных в зоне наблюдения БалАЭС
Е.2.4.1 Пробы сельскохозяйственной продукции в зоне наблюдения БалАЭС отбирались один раз в год: мясо (3 кг) и молоко (10 л) крупного рогатого скота - во время пастбищного сезона, овощи, корнеплоды и зерновые культуры - непосредственно перед или во время уборки урожая. Пробы рыбы отбирались во время летнего сезона один раз в год во время планового вылова промысловых рыб. Масса пробы составляла не менее 3 кг.
Е.2.4.2 Данные мониторинга радиационной обстановки по удельной активности радионуклидов в пробах сельскохозяйственной продукции в зоне наблюдения по данным ОРБ БалАЭС представлены в таблицах Е.10 -
Е.15 (мясо и молоко);
таблицах Е.16 -
Е.19 (зерновые и овощи). Данные мониторинга радиационной обстановки по удельной активности радионуклидов в пробах рыбы представлены в
таблицах Е.20 и
Е.21.
Таблица Е.10
Данные мониторинга радиационной обстановки по удельной
активности 90Sr в мясе в ЗН БалАЭС
Место пробоотбора | Временной период пробоотбора, год | Удельная активность 90Sr в мясе, Бк/кг |
Подсосенки | 2003 | 0,09 |
Новониколаевка | 2001 | < 0,09 |
Подсосенки | 2004 | < 0,1 |
Натальино | 2004 | < 0,1 |
Подсосенки | 2001 | < 0,1 |
Новониколаевка | 2003 | 0,10 |
Матвеевка | 2004 | 0,14 |
Матвеевка | 2001 | 0,16 |
Подсосенки | 2002 | 0,17 |
Натальино | 2003 | 0,17 |
Новониколаевка | 2004 | 0,17 |
Матвеевка | 2002 | 0,19 |
Новониколаевка | 2002 | 0,22 |
Матвеевка | 2003 | 0,38 |
Таблица Е.11
Данные мониторинга радиационной обстановки по удельной
активности 90Sr в молоке в зоне наблюдения БалАЭС
Место пробоотбора | Временной период пробоотбора, год | Удельная активность 90Sr в молоке, Бк/кг |
Подсосенки | 2004 | < 0,01 |
Матвеевка | 2003 | 0,01 |
Новониколаевка | 2003 | 0,01 |
Матвеевка | 2004 | < 0,02 |
Натальино | 2004 | < 0,02 |
Новониколаевка | 2004 | < 0,02 |
Подсосенки | 2003 | 0,02 |
Матвеевка | 2001 | < 0,05 |
Подсосенки | 2001 | < 0,05 |
Новониколаевка | 2001 | < 0,07 |
Натальино | 2003 | 0,04 |
Подсосенки | 2002 | 0,08 |
Натальино | 2001 | 0,08 |
Новониколаевка | 2002 | 0,11 |
Матвеевка | 2002 | 0,18 |
Натальино | 2002 | 0,29 |
Таблица Е.12
Данные мониторинга радиационной обстановки по удельной
активности 137Cs в мясе в зоне наблюдения БалАЭС
Место пробоотбора | Временной период пробоотбора, год | Удельная активность 137Cs в мясе, Бк/кг |
Натальино | 2003 | < 0,13 |
Подсосенки | 2002 | < 0,42 |
Матвеевка | 2002 | < 0,48 |
Новониколаевка | 2002 | < 0,60 |
Матвеевка | 2004 | < 0,70 |
Подсосенки | 2004 | < 0,70 |
Натальино | 2004 | < 0,70 |
Новониколаевка | 2004 | < 0,70 |
Новониколаевка | 2003 | < 0,72 |
Матвеевка | 2003 | < 0,88 |
Подсосенки | 2003 | < 0,89 |
Таблица Е.13
Данные мониторинга радиационной обстановки по удельной
активности 137Cs в молоке в зоне наблюдения БалАЭС
Место пробоотбора | Временной период пробоотбора, год | Удельная активность 137Cs в молоке, Бк/кг |
Матвеевка | 2004 | < 0,05 |
Подсосенки | 2004 | < 0,05 |
Натальино | 2004 | < 0,05 |
Новониколаевка | 2004 | < 0,05 |
Новониколаевка | 2002 | < 0,09 |
Подсосенки | 2003 | < 0,14 |
Матвеевка | 2003 | < 0,16 |
Новониколаевка | 2003 | < 0,18 |
Матвеевка | 2002 | < 0,20 |
Натальино | 2003 | < 0,20 |
Подсосенки | 2002 | < 0,22 |
Натальино | 2002 | < 0,22 |
Поскольку значения удельной активности 137Cs в молоке и мясе в зоне наблюдения БалАЭС были ниже предела обнаружения, то статистический анализ данных не проводился.
В таблицах Е.14 и
Е.15 приведены данные мониторинга радиационной обстановки по удельной активности
137Cs и
90Sr в мясе на контрольном участке (с. Маянга).
Таблица Е.14
Данные мониторинга радиационной обстановки по удельной
активности 137Cs в мясе на контрольном участке (с. Маянга)
Временной период отбора, год | Удельная активность 137Cs в мясе, Бк/кг |
2002 | < 0,64 |
2003 | < 1,23 |
2004 | < 0,70 |
Поскольку значения удельной активности 137Cs в молоке и мясе на контрольном участке (с. Маянга) были ниже предела обнаружения, то статистический анализ данных не проводился.
Таблица Е.15
Данные мониторинга радиационной обстановки по удельной
активности 90Sr в мясе на контрольном участке (с. Маянга)
Временной период отбора, год | Удельная активность 90Sr в мясе, Бк/кг |
2001 | < 0,01 |
2002 | 0,14 |
2003 | 0,36 |
2004 | 0,22 |
В соответствии с
ГОСТ Р ИСО 5479, при малых объемах выборки проведение статистического анализа удельных активностей
90Sr и
137Cs в мясе на контрольном участке оказалось невозможным, т.к. малые выборки с
n < 8 не дают достоверных результатов.
Таблица Е.16
Данные мониторинга радиационной обстановки по удельной
активности 90Sr в зерновых в зоне наблюдения БалАЭС
Вид зерновых | Место пробоотбора | Временной период пробоотбора, год | Удельная активность 90Sr в зерновых в ЗН БалАЭС, Бк/кг |
Ячмень | Натальино | 2002 | 0,20 |
Просо | Матвеевка | 2003 | 0,23 |
Пшеница | Матвеевка | 2003 | 0,23 |
Пшеница | Натальино | 2004 | 0,31 |
Просо | Натальино | 2002 | 0,34 |
Овес | Подсосенки | 2002 | 0,38 |
Ячмень | Подсосенки | 2002 | 0,43 |
Пшеница | Натальино | 2002 | 0,45 |
Ячмень | Матвеевка | 2004 | 0,55 |
Просо | Новониколаевка | 2003 | 0,58 |
Подсолнечник | Подсосенки | 2002 | 0,60 |
Подсолнечник | Матвеевка | 2004 | 0,60 |
Рожь | Новониколаевка | 2003 | 0,63 |
Овес | Новониколаевка | 2002 | 0,65 |
Ячмень | Натальино | 2004 | 0,68 |
Пшеница | Матвеевка | 2001 | 0,69 |
Овес | Матвеевка | 2001 | 0,75 |
Пшеница | Новониколаевка | 2001 | 0,81 |
Просо | Матвеевка | 2002 | 0,82 |
Овес | Подсосенки | 2004 | 0,84 |
Ячмень | Натальино | 2001 | 0,87 |
Пшеница | Новониколаевка | 2002 | 1,25 |
Ячмень | Новониколаевка | 2004 | 1,28 |
Подсолнечник | Новониколаевка | 2004 | 1,30 |
Пшеница | Матвеевка | 2002 | 1,31 |
Рожь | Натальино | 2001 | 2,02 |
Подсолнечник | Натальино | 2001 | 3,00 |
Овес | Подсосенки | 2001 | 3,06 |
Ячмень | Подсосенки | 2001 | 4,76 |
Таблица Е.17
Данные мониторинга радиационной обстановки по удельной
активности 137Cs в зерновых в зоне наблюдения БалАЭС
Вид зерновых | Место пробоотбора | Временной период пробоотбора, год | Удельная активность 137Cs в зерновых в ЗН БалАЭС, Бк/кг |
Просо | Матвеевка | 2002 | < 1,42 |
Пшеница | Матвеевка | 2002 | < 1,40 |
Подсолнечник | Подсосенки | 2002 | < 0,80 |
Ячмень | Подсосенки | 2002 | < 2,96 |
Овес | Подсосенки | 2002 | 9,65 |
Просо | Натальино | 2002 | < 2,10 |
Ячмень | Натальино | 2002 | < 1,15 |
Пшеница | Натальино | 2002 | < 0,81 |
Овес | Новониколаевка | 2002 | < 1,45 |
Пшеница | Новониколаевка | 2002 | < 1,60 |
Просо | Матвеевка | 2003 | < 0,82 |
Пшеница | Матвеевка | 2003 | < 0,55 |
Рожь | Новониколаевка | 2003 | < 0,61 |
Просо | Новониколаевка | 2003 | < 1,27 |
Ячмень | Матвеевка | 2004 | < 0,35 |
Подсолнечник | Матвеевка | 2004 | < 0,35 |
Овес | Подсосенки | 2004 | < 0,35 |
Пшеница | Натальино | 2004 | < 0,35 |
Ячмень | Натальино | 2004 | < 0,35 |
Ячмень | Новониколаевка | 2004 | < 0,35 |
Подсолнечник | Новониколаевка | 2004 | < 0,35 |
Поскольку значения удельной активности 137Cs в зерновых в зоне наблюдения БалАЭС ниже предела обнаружения, то статистический анализ данных не проводился.
Таблица Е.18
Данные мониторинга радиационной обстановки по удельной
активности 90Sr в зерновых на контрольном участке
(с. Маянга)
Вид зерновых | Временной период пробоотбора, год | Удельная активность 90Sr в зерновых на контрольном участке, Бк/кг |
Пшеница | 2003 | 0,06 |
Ячмень | 2003 | 0,58 |
Просо | 2003 | < 0,58 |
Овес | 2001 | < 0,58 |
Подсолнечник | 2001 | 0,63 |
Рожь | 2004 | 0,8 |
Рожь | 2002 | 1,03 |
Пшеница | 2002 | 1,25 |
Подсолнечник | 2004 | 1,3 |
Таблица Е.19
Данные мониторинга радиационной обстановки по удельной
активности 90Sr в овощах в зоне наблюдения БалАЭС.
Вид овощей | Место пробоотбора | Временной период пробоотбора, год | Удельная активность 90Sr в овощах, Бк/кг |
Томаты | Тепличный комбинат "Волга" | 2001 | 0,09 |
Огурцы | Тепличный комбинат "Волга" | 2003 | < 0,19 |
Томаты | Тепличный комбинат "Волга" | 2003 | < 0,19 |
Морковь | Совхоз им. XXV партсъезда | 2001 | 0,1 |
Капуста | Совхоз им. XXV партсъезда | 2002 | 0,15 |
Свекла | Совхоз им. XXV партсъезда | 2001 | 0,15 |
Огурцы | Тепличный комбинат "Волга" | 2001 | 0,23 |
Томаты | Тепличный комбинат "Волга" | 2002 | 0,24 |
Морковь | Совхоз им. XXV партсъезда | 2002 | 0,26 |
Перец | Совхоз им. XXV партсъезда | 2002 | 0,26 |
Томаты | Совхоз им. XXV партсъезда | 2002 | 0,37 |
Огурцы | Тепличный комбинат "Волга" | 2002 | 0,38 |
Горох | Новониколаевка | 2002 | 1,49 |
Горох | Новониколаевка | 2001 | 1,73 |
Таблица Е.20
Данные мониторинга радиационной обстановки по удельной
активности 137Cs в овощах в зоне наблюдения БалАЭС
Место пробоотбора | Временной период пробоотбора, год | Удельная активность 137Cs в овощах в ЗН БалАЭС, Бк/кг |
Новониколаевка | 2002 | < 1,06 |
Тепличный комбинат "Волга" | 2002 | < 0,34 |
Тепличный комбинат "Волга" | 2002 | < 0,27 |
Совхоз им. XXV партсъезда | 2002 | < 1,04 |
Совхоз им. XXV партсъезда | 2002 | < 0,4 |
Совхоз им. XXV партсъезда | 2002 | < 0,3 |
Совхоз им. XXV партсъезда | 2002 | < 0,45 |
Тепличный комбинат "Волга" | 2003 | < 0,22 |
Тепличный комбинат "Волга" | 2003 | < 0,15 |
Поскольку значения удельной активности
137Cs в овощах в зоне наблюдения БалАЭС были ниже предела обнаружения
(таблица Е.19), то статистический анализ данных не проводился.
Таблица Е.21
Данные мониторинга радиационной обстановки по удельной
активности 137Cs в рыбе в зоне наблюдения БалАЭС
Вид рыбы | Место пробоотбора | Временной период пробоотбора, год | Удельная активность 137Cs в рыбе, Бк/кг |
Лещ | р. Волга, Саратовское вдхр. | 2001 | < 0,12 |
Щука | р. Волга, Саратовское вдхр. | 2001 | < 0,25 |
Карп | Прудовое хозяйство | 2001 | 0,46 |
Карась | р. Волга, Саратовское вдхр. | 2001 | 0,5 |
Плотва | р. Волга, Волгоградское вдхр. | 2003 | < 0,64 |
Лещ | р. Волга, Саратовское вдхр. | 2004 | < 0,7 |
Судак | р. Волга, Саратовское вдхр. | 2004 | < 0,7 |
Окунь | р. Волга, Волгоградское вдхр. | 2004 | < 0,7 |
Лещ | р. Волга, Волгоградское вдхр. | 2004 | < 0,7 |
Толстолобик | Прудовое хозяйство | 2004 | < 0,7 |
Рыба | в районе Балаковской АЭС | 2006 | < 0,7 |
Рыба | в районе Балаковской АЭС | 2004 | < 0,7 |
Рыба | в районе Балаковской АЭС | 2005 | < 0,7 |
Окунь | р. Волга, Саратовское вдхр. <*> | 2002 | < 0,85 |
Карп | Прудовое хозяйство | 2003 | < 0,85 |
Окунь | р. Волга, Саратовское вдхр. | 2002 | < 0,88 |
Окунь | р. Волга, Саратовское вдхр. | 2003 | < 0,89 |
Судак | р. Волга, Саратовское вдхр. | 2003 | < 0,9 |
Окунь | р. Волга, Волгоградское вдхр. | 2003 | 1,41 |
Рыба | в районе Балаковской АЭС | 2007 | 1,48 |
Рыба | в районе Балаковской АЭС | 2006 | 1,48 |
Карась | р. Волга, Саратовское вдхр. | 2002 | < 1,64 |
Плотва | р. Волга, Волгоградское вдхр. | 2001 | 2,39 |
Карп | Прудовое хозяйство | 2002 | < 3,15 |
Окунь | р. Волга, Волгоградское вдхр. | 2002 | 3,28 |
Примечание - <*> - Водохранилище. |
Таблица Е.22
Данные мониторинга радиационной обстановки по удельной
активности 90Sr в рыбе в зоне наблюдения БалАЭС
Вид рыбы | Место пробоотбора | Временной период пробоотбора, год | Удельная активность 90Sr в рыбе, Бк/кг |
Лещ | р. Волга, Саратовское вдхр. <*> | 2001 | < 0,07 |
Окунь | р. Волга, Волгоградское вдхр. | 2004 | < 0,12 |
Карп | Прудовое хозяйство | 2003 | < 0,14 |
Щука | р. Волга, Саратовское вдхр. | 2001 | < 0,16 |
Карась | р. Волга, Саратовское вдхр. | 2002 | < 0,22 |
Плотва | р. Волга, Волгоградское вдхр. | 2003 | < 0,24 |
Окунь | р. Волга, Саратовское вдхр. | 2003 | < 0,28 |
Судак | р. Волга, Саратовское вдхр. | 2003 | < 0,29 |
Окунь | р. Волга, Саратовское вдхр. | 2002 | 0,16 |
Судак | р. Волга, Саратовское вдхр. | 2004 | 0,16 |
Окунь | р. Волга, Волгоградское вдхр. | 2003 | < 0,34 |
Окунь | р. Волга, Волгоградское вдхр. | 2002 | 0,19 |
Лещ | р. Волга, Волгоградское вдхр. | 2004 | 0,22 |
Толстолобик | Прудовое хозяйство | 2004 | 0,25 |
Карп | Прудовое хозяйство | 2002 | 0,31 |
Карась | р. Волга, Саратовское вдхр. | 2001 | 0,37 |
Окунь | р. Волга, Саратовское вдхр. | 2002 | 0,42 |
Лещ | р. Волга, Саратовское вдхр. | 2004 | 0,46 |
Карп | Прудовое хозяйство | 2001 | 0,53 |
Плотва | р. Волга, Волгоградское вдхр. | 2001 | 0,85 |
Примечание - <*> - Водохранилище. |
Е.3 Определение обобщенных параметров модели оценки радиационного риска на основе статистического анализа данных мониторинга радиационной обстановки
На основе имеющихся данных мониторинга радиационной обстановки в зоне наблюдения и на контрольном участке БалАЭС выполняется статистический анализ данных мониторинга радиационной обстановки при помощи адекватных методов анализа в соответствии с
ГОСТ Р ИСО 5479 и ГОСТ Р ИСО 16269-7. При проведении анализа в соответствии с
п. 5.7 данные измерений ниже чувствительности используемых методов анализа оставлялись в выборке со значением, равным половине порога обнаружения измеряемого радионуклида, если общее число таких данных не превышало половины от размера выборки.
Целью проведения статистического анализа данных мониторинга радиационной обстановки является определение средних значений и доверительных интервалов уровней загрязнения компонентов природной среды (атмосферный воздух, поверхностные воды, почва) и продуктов питания радионуклидами. Полученные результаты статистического анализа являются входными параметрами для оценок радиационного риска при учете множественных путей облучения населения.
Е.4.1 Обработка данных мониторинга радиационной обстановки по объемной активности 90Sr в атмосферном воздухе (зона наблюдения Балаковской АЭС и контрольный участок)
Е.4.1.1 Направленный критерий проверки на асимметрию, использующий статистику

Для статистического анализа данных мониторинга радиационной обстановки использовались данные из
таблицы Е.1.
Проверка отклонения распределения вероятностей от нормального распределения проведена с помощью трех критериев:
- направленный критерий проверки на асимметрию, использующий статистику

;
- направленный критерий проверки на кривизну с использованием статистики b2;
- многосторонний критерий Шапиро - Уилка.
Если
x1, x2...xn - значения случайной переменной
x серии из
n наблюдений, то среднее арифметическое

(момент первого порядка) рассчитывают по формуле

,
где n - объем выборки;
xi - значение удельной или объемной активности радионуклида в компонентах природной среды (i = 1, 2...n).
Моменты второго, третьего и четвертого порядков mj соответственно (j = 2, 3, 4) рассчитывают по формуле

.
Из полученных в ходе мониторинга радиационной обстановки значений объемной активности 90Sr в атмосферном воздухе вычислены следующие параметры:

,
m2 = [(1,00·10-8 - 5,86·10-6)2 +...+ (3,97·10-5 -
- 5,86·10-6)2]/50 = 9,69·10-11,
m3 = [(1,00·10-8 - 5,86·10-6)3 +...+ (3,97·10-5 -
- 5,86·10-6)3]/50 = 1,73·10-15,
где

- среднее арифметическое значений объемной активности
90Sr в атмосферном воздухе;
m2, m3 - моменты второго и третьего порядков соответственно.
Следовательно, асимметрия совокупности равна:

.
При уровне значимости

, т.е.

, и объеме выборки
n =
50 критическое значение статистики критерия (значение
p-квантили) равно 0,53 (ГОСТ Р ИСО 5479
(таблица 8)). Это значение менее чем вычисленное значение

. Значит, нулевая гипотеза нормального распределения отклоняется при выбранном уровне значимости.
Е.4.1.2 Направленный критерий проверки на кривизну с использованием статистики b2
На основе полученных значений, приведенных в
таблице Е.1, вычислены следующие параметры:

,
m2 = [(1,00·10-8 - 5,86·10-6)2 +...+ (3,97·10-5 -
- 5,86·10-6)2]/50 = 9,69·10-11,
m4 = [(1,00·10-8 - 5,86·10-6)4 +...+ (3,97·10-5 -
- 5,86·10-6)4]/50 = 5,05·10-20,
где

- среднее арифметическое значений объемной активности
90Sr в атмосферном воздухе;
m2, m4 - моменты второго и четвертого порядков соответственно.
Следовательно, кривизна совокупности

.
При уровне значимости

, т.е.

, и объеме выборки
n =
50 критическое значение статистики (значение
p-квантили) критерия равно 3,99 (ГОСТ Р ИСО 5479
(таблица 9)). Вычисленное значение
b2 =
5,38 более этого критического значения, поэтому нулевая гипотеза отклоняется в пользу альтернативной при уровне значимости

. Это значит, что распределение значений, полученных в результате измерений, не является нормальным.
Кроме того, критическое значение статистики при уровне значимости

равно 4,88, поэтому отклонение нулевой гипотезы подтверждено и на этом уровне.
Е.4.1.3 Многосторонний критерий Шапиро - Уилка
Данные мониторинга радиационной обстановки по объемной активности 90Sr в атмосферном воздухе записываются в соответствии с критерием Шапиро - Уилка.
Отсюда можно вычислить

,

,
где xk - k-е значение в выборке, упорядоченной в порядке неубывания;
n - объем выборки;
m2 - момент второго порядка.
Используя значения коэффициента
ak, приведенное в ГОСТ Р ИСО 5479
(таблица 10), вычисляется значение
S

,
где ak - коэффициент, имеющий специальные значения для объема выборки n;
k - индекс, имеющий значения от 1 до

или от 1 до

при четном и нечетном
n соответственно.
Следовательно, W равен

.
ГОСТ Р ИСО 5479
(таблица 11) дает значение
p-квантиля для
n =
50 и

, равное 0,947. Поскольку это значение более значения
W, то нулевая гипотеза о нормальном распределении отклоняется при уровне значимости

.
Таким образом, в ходе предварительного анализа данных мониторинга радиационной обстановки по объемной активности 90Sr в атмосферном воздухе в зоне наблюдения БалАЭС можно сделать вывод о том, что распределение значений не является нормальным. Дальнейшая статистическая обработка данных мониторинга радиационной обстановки по объемной активности 90Sr в атмосферном воздухе в ЗН БалАЭС проводится методом непараметрической статистики.
Е.4.1.4 Определение точечной оценки (медианы) и доверительных интервалов объемной активности 90Sr в атмосферном воздухе зоны наблюдения БалАЭС
Длина ряда наблюдений
n =
50. Данные мониторинга радиационной обстановки по объемной активности
90Sr в атмосферном воздухе в зоне наблюдения из
таблицы Е.1 располагают в порядке возрастания.
Находим медиану

:

.
Применяется метод определения границ доверительного интервала для малых выборок (5 <= n <= 100).
Находим значение k для определения границ двустороннего доверительного интервала при объеме выборки 50 элементов (ГОСТ Р ИСО 16269-7 (таблица 2)).
k = 18 при уровне доверия 95%.
Нижняя T1 и верхняя T2 границы доверительных интервалов определяются следующим образом:
T1 = x[k],
T2 = x[n-k+1],
где x[1], x[2],..., x[n] - упорядоченная выборка (каждый последующий элемент ряда более или равен предыдущему).
Так,
T1 = x18 = 1,60·10-7,
T2 = x33 = 4,60·10-7.
Таким образом, двусторонний симметричный доверительный интервал для медианы совокупности, равной 2,70·10-7 Бк/м3, с уровнем доверия 95%, имеет вид:
[T1, T2] = [1,60·10-7, 4,60·10-7].
Е.4.1.5 Определение точечной оценки (медианы) и доверительных интервалов объемной активности 90Sr в атмосферном воздухе для контрольного участка БалАЭС
Данные мониторинга радиационной обстановки по объемной активности
90Sr в атмосферном воздухе на контрольном участке
(таблица Е.4) располагаем в порядке возрастания.
В нашем случае n = 10.
Находим медиану

:

.
Поскольку в нашем случае n = 10, применяется метод определения границ доверительного интервала для малых выборок (5 <= n <= 100).
Находим значение k для определения границ двустороннего доверительного интервала при объеме выборки 10 элементов (ГОСТ Р ИСО 16269-7 (таблица 2)).
k = 2 при уровне доверия 95%.
Нижняя T1 и верхняя T2 границы доверительных интервалов определяются следующим образом:
T1 = x[k],
T2 = x[n-k+1],
где x[1], x[2],..., x[n] - упорядоченная выборка (каждый последующий элемент ряда более или равен предыдущему).
Таким образом, двусторонний симметричный доверительный интервал для медианы совокупности, равной 4,05·10-7, с уровнем доверия 95% имеет вид:
[T1, T2] = [1,20·10-7; 6,29·10-7] Бк/м3.
Е.4.2 Статистический анализ данных мониторинга радиационной обстановки по объемной активности 137Cs в атмосферном воздухе (зона наблюдения БалАЭС и контрольный участок)
Е.4.2.1 Для статистического анализа использовались данные мониторинга радиационной обстановки по объемной активности
137Cs в атмосферном воздухе в зоне наблюдения БалАЭС из
таблицы Е.2.
При проверке данных мониторинга радиационной обстановки на нормальность распределения, аналогично вышеприведенной обработке данных для 90Sr, можно сделать вывод о том, что распределение значений не является нормальным. Дальнейшая статистическая обработка данных мониторинга радиационной обстановки проводится методом непараметрической статистики.
Объем выборки
n = 35. Находим медиану

:

.
Двусторонний симметричный доверительный интервал для медианы совокупности, равной 3,61·10-6, с уровнем доверия 95% имеет вид:
[T1, T2] = [2,24·10-6; 1,04·10-5] Бк/м3.
Е.4.2.2 Для контрольного участка использовались данные мониторинга радиационной обстановки по объемной активности
137Cs в атмосферном воздухе из
таблицы Е.3. Объем выборки
n =
11. Находим медиану

:

.
Двусторонний симметричный доверительный интервал для медианы совокупности, равной 1,26·10-6, с уровнем доверия 95% имеет вид:
[T1, T2] = [4,00·10-7; 2,18·10-5] Бк/м3.
Е.5 Почва
Е.5.1 Статистический анализ данных мониторинга радиационной обстановки по поверхностной активности 137Cs в почве (зона наблюдения и контрольный участок Балаковской АЭС)
Е.5.1.1 В статистическом анализе использовались данные мониторинга радиационной обстановки, приведенные в
таблице Е.7.
Проверка данных мониторинга радиационной обстановки на нормальность распределения позволяет сделать вывод, что распределение значений не является нормальным. Дальнейшая статистическая обработка данных мониторинга радиационной обстановки проводится методом непараметрической статистики.
Длина ряда наблюдений
n =
51. Расположив данные мониторинга радиационной обстановки в порядке возрастания, находим медиану

:

.
Применяется метод определения границ доверительного интервала для малых выборок (5 <= n <= 100).
Находим значение k для определения границ двустороннего доверительного интервала при объеме выборки 51 элемента (ГОСТ Р ИСО 16269-7 (таблица 2).
k = 19 при уровне доверия 95%.
Нижняя T1 и верхняя T2 границы доверительных интервалов определяются следующим образом:
T1 = x[k],
T2 = x[n-k+1],
где x[1], x[2],..., x[n] - упорядоченная выборка (каждый последующий элемент ряда более или равен предыдущему).
Так, T1 = x19 = 0,20,
T2 = x33 = 0,33.
Таким образом, двусторонний симметричный доверительный интервал для медианы совокупности, равной 0,27, с уровнем доверия 95% имеет вид:
[T1, T2] = [0,20; 0,33] кБк/м2.
Е.5.1.2 В статистическом анализе данных мониторинга радиационной обстановки по удельной активности
137Cs в почве контрольного участка (с. Маянга) использовались значения из
таблицы Е.8.
Длина ряда наблюдений
n =
11. В упорядоченном в порядке возрастания ряду данных медиана

:

.
Находим значение k для определения границ двустороннего доверительного интервала при объеме выборки 11 элементов (ГОСТ Р ИСО 16269 (таблица 2)).
k = 2 при уровне доверия 95%.
Нижняя T1 и верхняя T2 границы доверительных интервалов определяются следующим образом:
T1 = x[k],
T2 = x[n-k+1],
где x[1], x[2],..., x[n] - упорядоченный по возрастанию ряд данных.
Так, T1 = x2 = 0,05,
T2 = x10 = 2,37.
Таким образом, двусторонний симметричный доверительный интервал для медианы совокупности, равной 0,17, с уровнем доверия 95% имеет вид:
[T1, T2] = [0,05; 2,37] кБк/м2.
Е.5.2 Статистический анализ данных мониторинга радиационной обстановки по поверхностной активности
90Sr в почве (зона наблюдения БалАЭС)
Е.5.2.1 В статистическом анализе использовались данные мониторинга радиационной обстановки из
таблицы Е.6.
При анализе данных мониторинга радиационной обстановки по поверхностной активности 90Sr в почве в зоне наблюдения БалАЭС можно сделать вывод о том, что распределение значений не является нормальным. Дальнейшая статистическая обработка данных мониторинга радиационной обстановки проводится методом непараметрической статистики.
Длина ряда наблюдений
n =
24. В упорядоченном по возрастанию ряде значение медианы

:

.
Находим значение k для определения границ двустороннего доверительного интервала при объеме выборки 24 элемента (ГОСТ Р ИСО 16269-7 (таблица 2)).
k = 7 при уровне доверия 95%.
Нижняя T1 и верхняя T2 границы доверительных интервалов определяются следующим образом:
T1 = x[k],
T2 = x[n-k+1].
Отсюда T1 = x7 = 0,11,
T2 = x16 = 0,37.
Таким образом, двусторонний симметричный доверительный интервал для медианы совокупности, равной 0,24, с уровнем доверия 95% имеет вид:
[T1, T2] = [0,11; 0,37] кБк/м2.
Е.5.2.2 В соответствии с
ГОСТ Р ИСО 5479, при малых объемах выборки проведение статистического анализа поверхностной активности
90Sr в почве на контрольном участке оказалось невозможным, т.к. малые выборки с
n <
8 не дают достоверных результатов.
Е.6.1 Статистический анализ данных мониторинга радиационной обстановки по удельной активности 90Sr в мясе (зона наблюдения БалАЭС)
В статистическом анализе использовались данные мониторинга радиационной обстановки из
таблицы Е.10.
Проверка данных мониторинга радиационной обстановки на нормальность распределения позволяет сделать вывод, что распределение значений не является нормальным. Дальнейшая статистическая обработка данных мониторинга радиационной обстановки проводится методом непараметрической статистики.
Длина ряда наблюдений n = 14.
Находим медиану упорядоченного по возрастанию ряда данных

:

.
Находим значение k для определения границ двустороннего доверительного интервала при объеме выборки 14 элементов (ГОСТ Р ИСО 16269 (таблица 2)).
k = 3 при уровне доверия 95%.
Нижняя T1 и верхняя T2 границы доверительных интервалов определяются следующим образом:
T1 = x[k],
T2 = x[n-k+1].
Отсюда двусторонний симметричный доверительный интервал для медианы совокупности, равной 0,15, с уровнем доверия 95% имеет вид:
[T1, T2] = [0,05; 0,19] Бк/кг.
Е.6.2 Статистический анализ данных мониторинга радиационной обстановки по удельной активности 90Sr в молоке (зона наблюдения БалАЭС)
В статистическом анализе использовались данные мониторинга радиационной обстановки из
таблицы Е.11.
Проверка данных мониторинга радиационной обстановки на нормальность распределения позволяет сделать вывод, что распределение значений не является нормальным. Дальнейшая статистическая обработка данных мониторинга радиационной обстановки проводится методом непараметрической статистики.
Длина ряда наблюдений n = 16.
Медиана в упорядоченном ряду данных

:

.
Находим значение k для определения границ двустороннего доверительного интервала при объеме выборки n = 16 (ГОСТ Р ИСО 16269-7 (таблица 2)).
k = 4 при уровне доверия 95%.
Отсюда T1 = x4 = 0,01,
T2 = x13 = 0,08.
Таким образом, двусторонний симметричный доверительный интервал для медианы совокупности, равной 0,03, с уровнем доверия 95% имеет вид:
[T1, T2] = [0,01; 0,08].
Е.6.3 Статистический анализ данных мониторинга радиационной обстановки по удельной активности 90Sr в овощах (зона наблюдения Балаковской АЭС)
В статистическом анализе использовались данные мониторинга радиационной обстановки из
таблицы Е.19.
Распределение данных мониторинга радиационной обстановки не является нормальным распределением. Следовательно, статистическая обработка данных проводится методами непараметрической статистики.
Длина ряда наблюдений
n =
14. Находим медиану

:

.
Нижняя T1 и верхняя T2 границы доверительных интервалов определяются следующим образом:
T1 = x[k],
T2 = x[n-k+1].
где k = 3 при уровне доверия 95%.
Таким образом, двусторонний симметричный доверительный интервал для медианы совокупности, равной 0,24, с уровнем доверия 95% имеет вид:
[T1, T2] = [0,10; 0,38].
Е.6.4 Статистический анализ данных мониторинга радиационной обстановки по удельной активности 90Sr в зерновых (зона наблюдения БалАЭС)
В статистическом анализе использовались данные мониторинга радиационной обстановки из
таблицы Е.16.
Таким образом, в ходе предварительного анализа данных мониторинга радиационной обстановки по удельной активности 90Sr в зерновых в зоне наблюдения БалАЭС можно сделать вывод о том, что распределение значений не является нормальным. Дальнейшая статистическая обработка данных мониторинга радиационной обстановки проводится методом непараметрической статистики.
Длина ряда
n =
29. Находим медиану

:

.
Нижняя T1 и верхняя T2 границы доверительных интервалов определяются следующим образом:
T1 = x[k],
T2 = x[n-k+1].
k = 10 при уровне доверия 95%.
Таким образом, двусторонний симметричный доверительный интервал для медианы совокупности, равной 0,68, с уровнем доверия 95% имеет вид:
[T1, T2] = [0,58; 0,84].
Е.6.5 Статистический анализ данных мониторинга радиационной обстановки по удельной активности 90Sr в зерновых на контрольном участке (с. Маянга)
В статистическом анализе использовались данные мониторинга радиационной обстановки из
таблицы Е.18.
В ходе предварительного анализа данных мониторинга радиационной обстановки по удельной активности 90Sr в зерновых на контрольном участке (с. Маянга) можно сделать вывод о том, что распределение значений является нормальным. Дальнейшая статистическая обработка данных проводится методом параметрической статистики.
Определяем среднее значение:

.
Вычисляем выборочное стандартное отклонение:
Находим коэффициент k4(n; p; (1 - б)) для определения границ двустороннего статистического толерантного интервала (ГОСТ Р ИСО 16269-6).
Уровень доверия 90,0%,

,
p = 0,50.

;

.
Таким образом, двусторонний статистический толерантный интервал с долей
p и уровнем доверия

имеет границы:

;

.
Е.6.6 Статистический анализ данных мониторинга радиационной обстановки по удельной активности 137Cs в рыбе (зона наблюдения БалАЭС)
В статистическом анализе использовались данные мониторинга радиационной обстановки из
таблицы Е.21.
Проверка данных мониторинга радиационной обстановки на отклонение распределения от нормального распределения показала, что распределение значений данных мониторинга радиационной обстановки по удельной активности 137Cs в рыбе в зоне наблюдения БалАЭС не является нормальным. Дальнейшая статистическая обработка данных мониторинга радиационной обстановки проводится методом непараметрической статистики.
Длина ряда n = 25. Значение медианы

:

.
Нижняя T1 и верхняя T2 границы доверительных интервалов определяются следующим образом:
T1 = x[k],
T2 = x[n-k+1],
где k = 8 при уровне доверия 95%.
Таким образом, двусторонний симметричный доверительный интервал для медианы совокупности, равной 0,7, с уровнем доверия 95% имеет вид:
[T1, T2] = [0,7; 0,9].
Е.6.7 Статистический анализ данных мониторинга радиационной обстановки по удельной активности 90Sr в рыбе (зона наблюдения БалАЭС)
В статистическом анализе использовались данные мониторинга радиационной обстановки из
таблицы Е.22.
Предварительный анализ данных мониторинга радиационной обстановки по удельной активности 90Sr в рыбе в зоне наблюдения БалАЭС показывает, что распределение значений не является нормальным. Дальнейшая статистическая обработка данных проводится методом непараметрической статистики.
Длина ряда
n =
20. Значение медианы

:

.
Нижняя T1 и верхняя T2 границы доверительных интервалов
T1 = x[k],
T2 = x[n-k+1],
где k = 6 при уровне доверия 95%.
Двусторонний симметричный доверительный интервал для медианы совокупности, равной 0,17, с уровнем доверия 95% имеет вид:
[T1, T2] = [0,12; 0,31].
Е.7 Расчет недостающих параметров анализа радиационного риска на основе моделей
Е.7.1 Общие положения
В соответствии с
пп. 5.6,
6.4, в случае отсутствия данных мониторинга радиационной обстановки по некоторым компонентам природной среды или продуктам питания производятся модельные оценки удельной и объемной активности радионуклидов в компонентах природной среды или продуктах питания при помощи моделей с использованием данных мониторинга радиационной обстановки и данных о выбросах и сбросах радиоактивных веществ.
Е.7.2 Расчет удельной активности 137Cs и 90Sr в продуктах питания в зоне наблюдения и на контрольном участке БалАЭС
Е.7.2.1 Удельная активность
i-го радионуклида в растительной продукции
qi,p рассчитывалась по формуле

, (Е.1)
где

- прямое (внекорневое) поступление за счет непрерывных атмосферных выпадений
| | ИС МЕГАНОРМ: примечание. Формула дана в соответствии с официальным текстом документа. | |

, (Е.2)
где

- запас надземной биомассы растений, кг/м
2;
ri,p - отношение удельной активности i-го радионуклида в товарной части и надземной вегетативной массе p-й растительной продукции;
Cair,s,i - среднегодовая объемная активность i-го радионуклида в атмосферном воздухе с учетом ресуспензии, Бк/м3;
Vg - скорость осаждения аэрозолей, несущих радионуклид, м/с;
t - время после начала вегетационного сезона, с.
Корневое поступление
i-го радионуклида в растительную продукцию

вычисляется по формуле
| | ИС МЕГАНОРМ: примечание. Формула дана в соответствии с официальным текстом документа. | |

, (Е.3)
где Cs,i - поверхностная активность i-го радионуклида в почве, Бк/м2;

- масса слоя почвы единичной площади, из которого происходит корневое усвоение, кг/м
2;
Ki,p - коэффициент накопления i-го радионуклида в p-й растительной продукции, безразмерный.
Среднегодовая объемная активность i-го радионуклида в атмосферном воздухе Cair,s,i с учетом ресуспензии рассчитывалась следующим образом:
Cair,s,i = Cs,i·Kв.п, (Е.4)
где Cs,i - поверхностная активность i-го радионуклида в почве, Бк/м2;
Kв.п - коэффициент ветрового подъема, определяемый отношением результирующей в данной точке объемной активности i-го радионуклида в приземном слое атмосферного воздуха, Бк/м3, к плотности радиоактивного загрязнения в этой точке, Бк/м2, м-1.

, (Е.5)
где
Kв.п0,

- соответственно, начальный и равновесный (спустя 20 - 100 лет после загрязнения) коэффициенты ветрового подъема, м
-1;

- константа радиоактивного распада, год
-1;

,

- соответственно, константы скорости снижения ветрового подъема для начального и равновесного периодов, год
-1;
t - время, год.
Значения коэффициентов ветрового подъема в различные сроки после загрязнения зависят от состояния подстилающей поверхности и физико-химических характеристик выпавшего радиоактивного вещества. В целом полагают, что
Kв.п0 находится в диапазоне от 10
-4 до 10
-6 м
-1 со средним значением 10
-5 м
-1, которое, экспоненциально уменьшаясь, достигает через два года значения 10
-9 м
-1. Равновесный

найден в диапазоне от 10
-8 до 10
-10 м
-1, рекомендованное его среднее значение 10
-9 м
-1. Предпочтительными значениями

и

являются соответственно 4,6 и 0,007 год
-1, что соответствует периодам половинного снижения 0,15 и 100 лет.
Е.7.2.2 Удельная активность i-го радионуклида в животной продукции qi,p складывается из поступления радионуклида в организм животных с корневым рационом, а также с заглатываемой загрязненной почвой

, (Е.6)
где Ka,i,p - коэффициент перехода радионуклида из корма в продукцию, сут/кг;
mкорм - масса потребляемого корма, кг/сут;
qкорм - удельная активность радионуклида в растительном корме животного, Бк/кг;
mпочв - масса почвы, заглатываемой животным при выпасе, кг/сут;
Cs,i - поверхностная активность i-го радионуклида в почве, Бк/м2;

- масса 5-сантиметрового слоя почвы площадью 1 м
2 на пастбище, кг/м
2.
Е.7.2.3 Удельная активность i-го радионуклида в озерной или речной воде qi определяется из соотношения
qi = KГ·Cs,i, (Е.7)
где KГ - коэффициент, характеризующий пропорциональную зависимость начальной удельной активности i-го радионуклида в воде поверхностных непроточных водоемов от начальной плотности радиоактивного загрязнения местности, [Бк/кг]/[Бк/м2];
Cs,i - поверхностная активность i-го радионуклида в почве, Бк/м2.
Е.7.2.4 Удельная активность i-го радионуклида в рыбе qi определяется из соотношения
qi = Ka,i,8·Cwi, (Е.8)
где Ka,i,8 - коэффициент накопления i-го радионуклида в рыбе, [Бк/кг]/[Бк/л];
Cwi - удельная активность i-го радионуклида в воде, Бк/кг.
Е.7.3 Расчет удельной активности
137Cs в продуктах питания человека и питьевой воде в зоне наблюдения БалАЭС
Е.7.3.1 Расчет удельной активности
137Cs в зеленых растениях производится следующим образом.
Среднее значение удельной активности
137Cs в зеленых растениях рассчитываем по
формулам Е.1 -
Е.3.
| | ИС МЕГАНОРМ: примечание. Формула дана в соответствии с официальным текстом документа. | |

,
где

- прямое (внекорневое) поступление за счет непрерывных атмосферных выпадений;

- корневое поступление радионуклидов из почвы.
| | ИС МЕГАНОРМ: примечание. Формула дана в соответствии с официальным текстом документа. | |
где

- запас надземной биомассы растений, кг/м
2 (
таблица П.9.5 ДВ-98);
ri,p - отношение концентрации
i-го радионуклида в товарной части и надземной вегетативной массе
p-й растительной продукции (
таблица П.9.4 ДВ-98);
Cair,s,i - среднегодовая объемная активность
i-го радионуклида в воздухе с учетом ресуспензии, Бк/м
3. Значение
Cair,s,i было рассчитано умножением
Cs,i, взятого из
п. Е.5.1.1, на коэффициент ветрового подъема, рекомендованное в
п. Е.7.2.1, значение которого составляет 10
-9 м
-1;
Vg - скорость осаждения аэрозолей, несущих радионуклид, м/с (
таблица П.4.8 ДВ-98);
t - время после начала вегетационного сезона, с (
таблица П.9.5 ДВ-98).
Корневое поступление 137Cs из почвы в зеленые растения рассчитывалось следующим образом:

,
где Cs,i - поверхностная активность i-го радионуклида в почве, Бк/м2;

- масса слоя почвы единичной площади, из которого происходит корневое усвоение, кг/м
2. Значение этого параметра рассчитано из плотности почвы для 20-сантиметрового слоя почвы.
Ki,p - коэффициент накопления
i-го радионуклида в
p-й растительной продукции, безразмерный (
таблица П.9.6 ДВ-98).
Среднее значение удельной активности 137Cs в зеленых растениях равно

.
Нижняя граница доверительного интервала для среднего значения удельной активности 137Cs в зеленых растениях рассчитывается следующим образом:

,

;

.
Верхняя граница доверительного интервала для среднего значения удельной активности 137Cs в зеленых растениях рассчитывается следующим образом:

,

;

.
Е.7.3.2 Расчет удельной активности 137Cs в овощах производится следующим образом:

,

,
где

- прямое (внекорневое) поступление за счет непрерывных атмосферных выпадений;

- корневое поступление радионуклидов из почвы.
Нижняя граница доверительного интервала для среднего значения удельной активности 137Cs в овощах равна

.
Верхняя граница доверительного интервала для среднего значения удельной активности 137Cs в овощах равна

.
Е.7.3.3 Расчет удельной активности 137Cs в картофеле производится следующим образом.
Среднее значение рассчитывается по формуле

,
где

- корневое поступление радионуклидов из почвы.

,
где C
s,i - поверхностная активность
i-го радионуклида в почве, Бк/м
2 (пункт Е.5.1.1);

- масса слоя почвы единичной площади, из которого происходит корневое усвоение, кг/м
2. Значение данного параметра рассчитано для 20-сантиметрового слоя почвы;
Ki,p - коэффициент накопления
i-го радионуклида в
p-й растительной продукции, безразмерный (
таблица П.9.6 ДВ-98).
Нижняя граница доверительного интервала для среднего значения удельной активности 137Cs в картофеле равна

;

.
Верхняя граница доверительного интервала для среднего значения удельной активности 137Cs в картофеле равна

;

.
Е.7.3.4 Расчет удельной активности 137Cs в питьевой воде производится следующим образом.
Среднее значение удельной активности 137Cs в питьевой воде рассчитывается по формуле
qi,вода = KГ·Cs,i,

,
где KГ - коэффициент, характеризующий пропорциональную зависимость начальной концентрации радионуклида в воде поверхностных непроточных водоемов от начальной плотности радиоактивного загрязнения местности, [Бк/кг]/[Бк/м2];
Cs,i - поверхностная активность
i-го радионуклида в почве, Бк/м
2 (пункт Е.5.1.1).
Нижняя граница доверительного интервала для среднего значения удельной активности 137Cs в питьевой воде рассчитывается по формуле
qi,вода = KГ·Cs,i;

.
Верхняя граница доверительного интервала для среднего значения удельной активности 137Cs в питьевой воде рассчитывается по формуле
qi,вода = KГ·Cs,i;

.
Е.7.3.5 Расчет удельной активности 137Cs в мясе производится следующим образом.
Среднее значение удельной активности 137Cs в мясе рассчитывается по формулам

,

,

,

,
где
Ka,i,p - коэффициент перехода радионуклида из корма в продукцию, сут/кг (
таблица П.9.9 ДВ-98);
mкорм - масса потребляемого корма, кг/сут (
П.9.10 ДВ-98);
qкорм - удельная активность радионуклида в растительном корме животного, Бк/кг
(пункт Е.7.3.1);
mпочв - масса почвы, заглатываемой животным при выпасе, кг/сут (
таблица П.9.10 ДВ-98);
Cs,i - поверхностная активность
i-го радионуклида в почве, Бк/м
2 (пункт Е.5.1.1);

- масса 5-сантиметрового слоя почвы площадью 1 м
2 на пастбище, кг/м
2.
Нижняя граница доверительного интервала для среднего значения удельной активности 137Cs в мясе равна

,

,

,

.
Верхняя граница доверительного интервала для среднего значения удельной активности 137Cs в мясе равна

,

,

,

.
Е.7.3.6 Расчет удельной активности 137Cs в молоке производится следующим образом:
Среднее значение удельной активности 137Cs в молоке рассчитывается по формуле

,
где
Ka,i,p - коэффициент перехода радионуклида из корма в продукцию, сут/кг (
таблица П.9.9 ДВ-98);
qкорм - удельная активность радионуклида в растительном корме животного, Бк/кг
(пункт Е.7.3.1);
mпочв - масса почвы, заглатываемой животным при выпасе, кг/сут (
таблица П.9.10 ДВ-98);
Cs,i - поверхностная активность
i-го радионуклида в почве, Бк/м
2 (пункт Е.5.1.1);

- масса 5-сантиметрового слоя почвы площадью 1 м
2 на пастбище, кг/м
2.
Нижняя граница доверительного интервала для среднего значения удельной активности 137Cs в молоке равна

.
Верхняя граница доверительного интервала для среднего значения удельной активности 137Cs в молоке равна

.
Е.7.3.7 Расчет удельной активности 137Cs в зерновых производится следующим образом.
Среднее значение удельной активности 137Cs в зерновых рассчитывается по формуле
| | ИС МЕГАНОРМ: примечание. Формула дана в соответствии с официальным текстом документа. | |

,
где

- прямое (внекорневое) поступление за счет непрерывных атмосферных выпадений;

- корневое поступление радионуклидов из почвы.
где

- запас надземной биомассы растений, кг/м
2 (
таблица П.9.5 ДВ-98);
ri,p - отношение концентрации
i-го радионуклида в товарной части и надземной вегетативной массе
p-й растительной продукции (
таблица П.9.4 ДВ-98).
Cair,s,i - среднегодовая объемная активность
i-го радионуклида в воздухе с учетом ресуспензии, Бк/м
3. Значение
Cair,s,i было рассчитано умножением
Cs,i, взятого из
пункта Е.5.1.1, на коэффициент ветрового подъема, рекомендованное в
пункте Е.7.2.1, значение которого составляет 10
-9 м
-1;
Vg - скорость осаждения аэрозолей, несущих радионуклид, м/с (
таблица П.4.8 ДВ-98);
t - время после начала вегетационного сезона, с (
таблица П.9.5 ДВ-98).

,
где
Cs,i - поверхностная активность
i-го радионуклида в почве, Бк/м
2 (пункт Е.5.1.1);

- масса слоя почвы единичной площади, из которого происходит корневое усвоение, кг/м
2. Значение этого параметра рассчитано для 20-сантиметрового слоя почвы;
Ki,p - коэффициент накопления
i-го радионуклида в
p-й растительной продукции, безразмерный (
таблица П.9.6 ДВ-98).

.
Нижняя граница доверительного интервала для среднего значения удельной активности 137Cs в зерновых равна

.
Верхняя граница доверительного интервала для среднего значения удельной активности 137Cs в зерновых равна

.
Е.7.4 Расчет удельной активности 137Cs в продуктах питания человека и питьевой воде на контрольном участке БалАЭС (с. Маянга)
Е.7.4.1 Расчет удельной активности 137Cs в зеленых растениях производится следующим образом:
Среднее значение удельной активности 137Cs в зеленых растениях рассчитывается по формуле

,
где
Cs,i - поверхностная активность
i-го радионуклида в почве, Бк/м
2 (пункт Е.5.1.1);

- масса 20-сантиметрового слоя почвы единичной площади, из которого происходит корневое усвоение, кг/м
2;
Ki,p - коэффициент накопления
i-го радионуклида в
p-й растительной продукции, безразмерный (
таблица П.9.6 ДВ-98).

.
Нижняя граница доверительного интервала для среднего значения удельной активности 137Cs в зеленых растениях равна

.
Верхняя граница доверительного интервала для среднего значения удельной активности 137Cs в зеленых растениях равна

.
Е.7.4.2 Расчет удельной активности 137Cs в овощах производится следующим образом.
Среднее значение удельной активности 137Cs в овощах рассчитывается по формуле

,

,
где

- прямое (внекорневое) поступление за счет непрерывных атмосферных выпадений;

- корневое поступление радионуклидов из почвы.
Нижняя граница доверительного интервала для среднего значения удельной активности 137Cs в овощах равна

,

.
Верхняя граница доверительного интервала для среднего значения удельной активности 137Cs в овощах равна

.
Е.7.4.3 Расчет удельной активности 137Cs в картофель производится следующим образом.
Среднее значение удельной активности 137Cs в картофеле рассчитывается по формуле

,
где

- корневое поступление радионуклидов из почвы.

,
где
Cs,i - поверхностная активность
i-го радионуклида в почве, Бк/м
2 (пункт Е.5.1.1);

- масса 20-сантиметрового слоя почвы единичной площади, из которого происходит корневое усвоение, кг/м
2;
Ki,p - коэффициент накопления
i-го радионуклида в
p-й растительной продукции, безразмерный (
таблица П.9.6 ДВ-98).
Нижняя граница доверительного интервала для среднего значения удельной активности 137Cs в картофеле равна

,

.
Верхняя граница доверительного интервала для среднего значения удельной активности 137Cs в картофеле равна

,

.
Е.7.4.4 Расчет удельной активности
137Cs в питьевой воде производится следующим образом:
Среднее значение удельной активности 137Cs в питьевой воде рассчитывается по формуле
qi,вода = KГ·Cs,i,

,
где KГ - коэффициент, характеризующий пропорциональную зависимость начальной концентрации радионуклида в воде поверхностных непроточных водоемов от начальной плотности радиоактивного загрязнения местности, [Бк/кг]/[Бк/м2];
Cs,i - поверхностная активность
i-го радионуклида в почве, Бк/м
2 (пункт Е.5.1.1).
Нижняя граница доверительного интервала для среднего значения удельной активности 137Cs в питьевой воде равна
qi,вода = KГ·Cs,i,

.
Верхняя граница доверительного интервала для среднего значения удельной активности 137Cs в питьевой воде равна
qi,вода = KГ·Cs,i,

.
Е.7.4.5 Расчет удельной активности 137Cs в мясе производится следующим образом.
Среднее значение удельной активности
137Cs в мясе рассчитывается по
формуле (Е.6)

.
Нижняя граница доверительного интервала для среднего значения удельной активности 137Cs в мясе равна

.
Верхняя граница доверительного интервала для среднего значения удельной активности 137Cs в мясе равна

.
Е.7.4.6 Расчет удельной активности 137Cs в молоке производится следующим образом.
Среднее значение удельной активности
137Cs в молоке рассчитывается по
формуле (Е.6)

.
Нижняя граница доверительного интервала для среднего значения удельной активности 137Cs в молоке равна

.
Верхняя граница доверительного интервала для среднего значения удельной активности 137Cs в молоке равна

.
Е.7.4.7 Расчет удельной активности 137Cs в рыбе производится следующим образом.
Среднее значение удельной активности 137Cs в рыбе рассчитывается по формуле
qi = Ka,i,p·Cwi,

,
где
Ka,i,p - коэффициент накопления
i-го радионуклида в рыбе, [Бк/кг]/[Бк/л] (
таблица П.9.13 ДВ-98);
Нижняя граница доверительного интервала для среднего значения удельной активности 137Cs в рыбе равна
qi = Ka,i,p·Cwi,

.
Верхняя граница доверительного интервала для среднего значения удельной активности 137Cs в рыбе равна
qi = Ka,i,p·Cwi,

.
Е.7.4.8 Расчет удельной активности 137Cs в зерновых производится следующим образом.
Среднее значение удельной активности 137Cs в зерновых рассчитывается по формуле

.
Нижняя граница доверительного интервала для среднего значения удельной активности 137Cs в зерновых равна

.
Верхняя граница доверительного интервала для среднего значения удельной активности 137Cs в зерновых равна

.
Е.7.5 Расчет удельной активности 90Sr в продуктах питания человека и питьевой воде в зоне наблюдений БалАЭС
Е.7.5.1 Расчет удельной активности 90Sr в зеленых растениях производится следующим образом.
Среднее значение удельной активности 90Sr в зеленых растениях рассчитывается по формуле

,

,
где
Cs,i - поверхностная активность
i-го радионуклида в почве, Бк/м
2 (пункт Е.5.2);

- масса 20-сантиметрового слоя почвы единичной площади, из которого происходит корневое усвоение, кг/м
2;
Ki,p - коэффициент накопления
i-го радионуклида в
p-й растительной продукции, безразмерный (
таблица П.9.6 ДВ-98).
Нижняя граница доверительного интервала для среднего значения удельной активности 90Sr в зеленых растениях равна

.
Верхняя граница доверительного интервала для среднего значения удельной активности 90Sr в зеленых растениях равна

.
Е.7.5.2 Расчет удельной активности 90Sr в картофеле производится следующим образом.
Среднее значение удельной активности 90Sr в картофеле рассчитывается по формуле

,
где

- корневое поступление радионуклидов из почвы.

,
где C
s,i - поверхностная активность
i-го радионуклида в почве, Бк/м
2 (пункт Е.5.2);

- масса 20-сантиметрового слоя почвы единичной площади, из которого происходит корневое усвоение, кг/м
2;
Ki,p - коэффициент накопления
i-го радионуклида в
p-й растительной продукции, безразмерный (
таблица П.9.6 ДВ-98).
Нижняя граница доверительного интервала для среднего значения удельной активности 90Sr в картофеле равна

,

.
Верхняя граница доверительного интервала для среднего значения удельной активности 90Sr в картофеле равна

,

.
Е.7.5.3 Расчет удельной активности 90Sr в питьевой воде производится следующим образом.
Среднее значение удельной активности 90Sr в питьевой воде рассчитывается по формуле
qi,вода = KГ·Cs,i,

,
где KГ - коэффициент, характеризующий пропорциональную зависимость начальной концентрации радионуклида в воде поверхностных непроточных водоемов от начальной плотности радиоактивного загрязнения местности, [Бк/кг]/[Бк/м2];
Cs,i - поверхностная активность
i-го радионуклида в почве, Бк/м
2 (пункт Е.5.2).
Нижняя граница доверительного интервала для среднего значения удельной активности 90Sr в питьевой воде равна
qi,вода = KГ·Cs,i,

.
Верхняя граница доверительного интервала для среднего значения удельной активности 90Sr в питьевой воде равна
qi,вода = KГ·Cs,i,

.
Е.7.6 Расчет удельной активности
90Sr в продуктах питания человека и питьевой воде на контрольном участке БалАЭС
Е.7.6.1 Расчет удельной активности
90Sr в зеленых растениях производится следующим образом.
Среднее значение удельной активности 90Sr в зеленых растениях рассчитывается по формуле

,

,
где
Cs,i - поверхностная активность
i-го радионуклида в почве, Бк/м
2 (пункт Е.5.2);

- масса 20-сантиметрового слоя почвы единичной площади, из которого происходит корневое усвоение, кг/м
2;
Ki,p - коэффициент накопления
i-го радионуклида в
p-й растительной продукции, безразмерный (
таблица П.9.6 ДВ-98).
Е.7.6.2 Расчет удельной активности 90Sr в картофеле производится следующим образом.
Среднее значение удельной активности 90Sr в картофеле рассчитывается по формуле

,
где

- корневое поступление радионуклидов из почвы.

,
где
Cs,i - поверхностная активность
i-го радионуклида в почве, Бк/м
2 (пункт Е.5.2);

- масса 20-сантиметрового слоя почвы единичной площади, из которого происходит корневое усвоение, кг/м
2;
Ki,p - коэффициент накопления
i-го радионуклида в
p-й растительной продукции, безразмерный (
таблица П.9.6 ДВ-98).
Е.7.6.3 Расчет удельной активности
90Sr в питьевой воде производится следующим образом.
Среднее значение удельной активности 90Sr в питьевой воде рассчитывается по формуле
qi,вода = KГ·Cs,i,

,
где KГ - коэффициент, характеризующий пропорциональную зависимость начальной концентрации радионуклида в воде поверхностных непроточных водоемов от начальной плотности радиоактивного загрязнения местности, [Бк/кг]/[Бк/м2];
Cs,i - поверхностная активность
i-го радионуклида в почве, Бк/м
2 (пункт Е.5.2).
Е.7.6.4 Расчет удельной активности 90Sr в овощах производится следующим образом.
Среднее значение удельной активности 90Sr в овощах рассчитывается по формуле

,
где
Cs,i - поверхностная активность
i-го радионуклида в почве, Бк/м
2 (пункт Е.5.2);

- масса 20-сантиметрового слоя почвы единичной площади, из которого происходит корневое усвоение, кг/м
2;
Ki,p - коэффициент накопления
i-го радионуклида в
p-й растительной продукции, безразмерный (
таблица П.9.6 ДВ-98).

,
где

- прямое (внекорневое) поступление за счет непрерывных атмосферных выпадений;

- корневое поступление радионуклидов из почвы.
Е.7.6.5 Расчет удельной активности 90Sr в мясе производится следующим образом.
Среднее значение удельной активности 90Sr в мясе рассчитывается по формуле

,

,

,

,
где
Ka,i,p - коэффициент перехода радионуклида из корма в продукцию, сут/кг (
таблица П.9.9 ДВ-98);
qкорм - удельная активность радионуклида в растительном корме животного, Бк/кг
(пункт Е.7.6.1);
mпочв - масса почвы, заглатываемой животным при выпасе, кг/сут (
таблица П.9.10 ДВ-98);
Cs,i - поверхностная активность
i-го радионуклида в почве, Бк/м
2 (пункт Е.5.2);

- масса 5-сантиметрового слоя почвы площадью 1 м
2 на пастбище, кг/м
2.
Е.7.6.6 Расчет удельной активности 90Sr в молоке производится следующим образом.
Среднее значение удельной активности 90Sr в молоке рассчитывается по формуле

.
Е.7.6.7 Расчет удельной активности 90Sr в рыбе производится следующим образом.
Среднее значение удельной активности 90Sr в рыбе рассчитывается по формуле
qi = Ka,i,p·Cwi,

.
где
Ka,i,p - коэффициент накопления
i-го радионуклида в рыбе, [Бк/кг]/[Бк/л] (
таблица П.9.13 ДВ-98);
Е.7.7 Сводные результаты расчетов удельных активностей радионуклидов 137Cs и 90Sr в продуктах питания человека и питьевой воде в зоне наблюдения и на контрольном участке БалАЭС
В таблице Е.23 представлены удельные активности радионуклидов
137Cs и
90Sr в продуктах питания человека и питьевой воде в зоне наблюдения и на контрольном участке БалАЭС, рассчитанные при помощи моделей в
пунктах Е.7.3 -
Е.7.6 с использованием данных мониторинга радиационной обстановки.
Таблица Е.23
Удельные активности радионуклидов 137Cs и 90Sr в продуктах
питания человека и питьевой воде в зоне наблюдения и на
контрольном участке БалАЭС, рассчитанные при помощи моделей
с использованием данных мониторинга радиационной обстановки
Продукты питания | Удельная активность, Бк/кг |
90Sr | 137Cs |
Зона наблюдения | Контрольный участок | Зона наблюдения | Контрольный участок |
Картофель | 2,9·10-1 (1,4·10-1 - 4,6·10-1) | 1,9·10-1 | 8,8·10-2 (6,5·10-2 - 1,1·10-1) | 5,6·10-2 (1,6·10-2 - 7,7·10-1) |
Зеленые растения | 1,4 (6,4·10-1 - 2,2) | 0,9 | 2,5·10-1 (1,8·10-1 - 3,0·10-1) | 1,0·10-1 (4,5·10-2 - 2,2) |
Вода | 2,4·10-3 (1,1·10-3 - 3,7·10-3) | 1,5·10-3 | 2,7·10-3 (2,0·10-3 - 3,3·10-3) | 1,7·10-3 (5,0·10-4 - 2,4·10-2) |
Мясо | - | 7,6·10-1 | 1,2·10-1 (8,6·10-2 - 1,4·10-1) | 5,9·10-2 (2,2·10-2 - 1,0) |
Молоко | - | 1,9·10-2 | 3,1·10-2 (2,3·10-2 - 3,8·10-2) | 1,6·10-2 (5,8·10-3 - 2,7·10-1) |
Овощи | - | 0,2 | 9,0·10-2 (6,7·10-2 - 1,1·10-1) | 5,7·10-2 (1,7·10-2 - 7,9·10-1) |
Зерновые | - | - | 9,3·10-2 (6,9·10-2 - 1,1·10-1) | 5,9·10-2 (1,7·10-2 - 8,2·10-1) |
Рыба | - | 3,0·10-2 | - | 1,7·10-1 (5,0·10-2 - 2,4) |
Примечание: 1. Прочерк означает, что данные отсутствуют или их недостаточно. 2. В скобках приведены границы доверительных интервалов. |
Е.8 Результаты расчета радиационного риска по данным мониторинга радиационной обстановки в зоне наблюдения и на контрольном участке БалАЭС
Е.8.1 На основе статистических (
Е.4 -
Е.6) и рассчитанных
(Е.7) величин удельных активностей радионуклидов
137Cs и
90Sr в компонентах природной среды и продуктах питания человека в зоне наблюдения и на контрольном участке БалАЭС были выполнены расчеты радиационного риска для населения, проживающего в зоне наблюдения БалАЭС.
В таблице Е.24 представлены значения параметров для расчета радиационных рисков по всем путям облучения для БалАЭС.
Таблица Е.24
Значения параметров для расчета радиационных рисков
для БалАЭС
Параметр | Обозначение параметра | Численное значение параметра | Размерность |
Удельная активность в атмосферном воздухе | Cair,s | Cs-137 Зона наблюдения: 3,61·10-6 (2,34·10 -6 - 1,04·10 -5) <*>Контрольный участок: 1,26·10-6 (4,00·10-7 - 2,18·10-5) | Sr-90 Зона наблюдения: 2,70·10-7 (1,60·10-7 - 4,60·10-7) Контрольный участок: 4,05·10-7 (1,20·10-7 - 1,26·10-5) | Бк/м3 |
Интенсивность дыхания человека | Iinh | 8,1·103 | м3/год |
Годовое потребление p-го продукта питания | Ifood | 66 (плодовые овощи и капуста); 138.0 (картофель и корнеплоды); 300,0 (молоко); 60,0 (мясо); 0,01825 (частицы почвы); 12 (рыба) | кг/год |
Поверхностная активность радионуклида в почве | Cs,i | Cs-137 Зона наблюдения: 0,27 (0,2 - 0,33) Контрольный участок: 0,17 (0,05 - 2,37) | Sr-90 Зона наблюдения: 0,235 (0,11 - 0,37) Контрольный участок: 0,15 | кБк/м2 |
Коэффициент, учитывающий потери i-го радионуклида при кулинарной обработке p-го продукта | Bp | 0,7 (плодовые овощи и капуста); 0,8 (картофель и корнеплоды); 1,0 (молоко); 0,9 (мясо); 0,9 (рыба) | Безразмерный |
Концентрация i-го радионуклида в p-м продукте питания | Ci,p | Sr-90 | Cs-137 | Бк/кг |
Зона наблюдения Мясо: 0,15 (0,05 - 0,19) Молоко: 0,025 (0,01 - 0,08) Зерновые: 0,68 (0,58 - 0,84) Овощи: 0,26 (0,095 - 0,38) Рыба: 0,165 (0,12 - 0,31) Контрольный участок Зерновые: 0,69 (0,21 - 1,17) | Зона наблюдения Рыба: 0,7 (0,7 - 0,9) |
Доля времени (в расчете на год), проводимая на открытой местности без экранирования | Tstay | 0,04 | Безразмерный |
Примечание - <*> - в скобках указаны нижняя и верхняя границы доверительного интервала. |
Е.8.2 Результаты расчетов радиационных рисков от отдельных путей радиационного облучения населения для
137Cs и
90Sr в зоне наблюдения и на контрольном участке (с. Маянга) представлены в таблицах Е.25 -
Е.28.
Таблица Е.25
Радиационные риски от отдельных путей радиационного
облучения населения для 137Cs и 90Sr
(зона наблюдения БалАЭС)
Путь облучения | Радиационный риск от отдельных путей радиационного облучения населения |
137Cs | 90Sr |
Продукты питания | Мясо | 4,1·10 -9 (3,0·10 -9 - 5,0·10 -9) <*> | 3,1·10-8 (1,0·10-8 - 3,9·10-8) |
Молоко | 6,1·10-9 (4,5·10-9 - 7,4·10-9) | 2,9·10-8 (1,1·10-8 - 9,1·10-8) |
Овощи | 4,1·10-9 (3,0·10-9 - 5,0·10-9) | 6,9·10-8 (2,5·10-8 - 1,0·10-7) |
Зерновые | 2,4·10-9 (1,8·10-9 - 2,9·10-9) | 1,0·10-7 (8,6·10-8 - 1,2·10-7) |
Рыба | 4,9·10-9 (4,9·10-9 - 6,3·10-9) | 8,8·10-10 (6,4·10-10 - 1,7·10-9) |
Картофель | 6,3·10-9 (4,7·10-9 - 7,7·10-9) | 1,2·10-7 (5,7·10-8 - 1,9·10-7) |
Вода | 8,4·10-10 (6,2·10-10 - 1,0·10-9) | 4,3·10-9 (2,0·10-9 - 6,7·10-9) |
Зеленые растения | 1,1·10-10 (8,2·10-11 - 1,4·10-10) | 3,6·10-9 (1,7·10-9 - 5,7·10-9) |
Перорально | 2,9·10-8 (2,26·10-8 - 3,56·10-8) | 3,6·10-7 (1,9·10-7 - 5,6·10-7) |
Ингаляция | 7,0·10-12 (4,5·10-12 - 2,0·10-11) | 5,7·10-12 (3,4·10-12 - 9,7·10-12) |
Внешнее от поверхности почвы | 4,1·10-9 (3,1·10-9 - 5,1·10-9) | 2,8·10-11 (1,3·10-11 - 4,4·10-11) |
Суммарный радиационный риск | 3,3·10-8 (2,6·10-8 - 4,1·10-8) | 3,6·10-7 (1,9·10-7 - 5,6·10-7) |
Примечание - <*> - в скобках указаны нижняя и верхняя границы доверительного интервала. |
Таблица Е.26
Радиационные риски от отдельных путей радиационного
облучения населения для 137Cs и 90Sr
(контрольный участок - с. Маянга)
Путь облучения | Радиационный риск от отдельных путей радиационного облучения населения |
137Cs | 90Sr |
Продукты питания | Мясо | 2,1·10 -9 (7,6·10 -10 - 3,6·10 -8) <*> | 1,6·10-7 |
Молоко | 3,0·10-9 (1,1·10-9 - 5,3·10-8) | 2,2·10-8 |
Овощи | 2,6·10-9 (7,6·10-10 - 3,6·10-8) | 5,1·10-8 |
Зерновые | 1,5·10-9 (4,4·10-10 - 2,1·10-8) | 1,0·10-7 (3,1·10-8 - 1,7·10-7) |
Рыба | 1,2·10-9 (3,5·10-10 - 1,7·10-8) | 1,6·10-10 |
Картофель | 4,0·10-9 (1,2·10-9 - 5,6·10-8) | 7,8·10-8 |
Вода | 5,3·10-10 (1,6·10-10 - 7,4·10-9) | 2,7·10-9 |
Зеленые растения | 4,7·10-11 (2,1·10-11 - 9,8·10-10) | 2,3·10-9 |
Перорально | 1,5·10-8 (4,8·10-9 - 2,3·10-7) | 4,1·10-7 |
Ингаляция | 2,4·10-12 (7,7·10-13 - 4,2·10-11) | 8,5·10-12 (2,5·10-12 - 2,6·10-10) |
Внешнее от поверхности почвы | 2,6·10-9 (7,7·10-10 - 3,6·10-8) | 1,8·10-11 |
Суммарный радиационный риск | 1,8·10-8 (5,6·10-9 - 2,6·10-7) | 4,1·10-7 |
Примечание - <*> - в скобках указаны нижняя и верхняя границы доверительного интервала. |
Таблица Е.27
Суммарные радиационные риски от отдельных путей
радиационного облучения населения для 137Cs и 90Sr
(зона наблюдения БалАЭС)
Путь облучения | 137Cs | 90Sr | Суммарный радиационный риск |
Перорально | 2,9·10-8 (2,3·10 -8 - 3,6·10 -8) <*> | 3,6·10-7 (1,9·10-7 - 5,6·10-7) | 3,9·10-7 (2,2·10-7 - 6,0·10-7) |
Ингаляция | 7,0·10-12 (4,5·10-12 - 2,0·10-11) | 5,7·10-12 (3,4·10-12 - 9,7·10-12) | 1,3·10-11 (7,9·10-12 - 3,0·10-11) |
Внешнее | 4,1·10-9 (3,1·10-9 - 5,1·10-9) | 2,8·10-11 (1,3·10-11 - 4,4·10-11) | 4,2·10-9 (3,1·10-9 - 5,1·10-9) |
Суммарный радиационный риск | 3,3·10-8 (2,6·10-8 - 4,1·10-8) | 3,6·10-7 (1,9·10-7 - 5,6·10-7) | 3,9·10-7 (2,2·10-7 - 6,0·10-7) |
Примечание - <*> - в скобках указаны нижняя и верхняя границы доверительного интервала. |
Таблица Е.28
Суммарные радиационные риски от отдельных путей
радиационного облучения населения для 137Cs и 90Sr
(контрольный участок - с. Маянга)
Путь облучения | 137Cs | 90Sr | Суммарный радиационный риск |
Перорально | 1,5·10-8 (4,8·10 -9 - 2,3·10 -7) <*> | 4,1·10-7 | 4,3·10-7 |
Ингаляция | 2,4·10-12 (7,7·10-13 - 4,2·10-11) | 8,5·10-12 (2,5·10-12 - 2,6·10-10) | 1,1·10-11 (3,3·10-12 - 3,1·10-10) |
Внешнее | 2,6·10-9 (7,7·10-10 - 3,6·10-8) | 1,8·10-11 | 2,6·10-9 |
Суммарный радиационный риск | 1,8·10-8 (5,6·10-9 - 2,6·10-7) | 4,1·10-7 | 4,3·10-7 |
Примечание - <*> - в скобках указаны нижняя и верхняя границы доверительного интервала. |
Е.8.3 Вклад отдельных продуктов питания в радиационный риск от перорального потребления радионуклидов
137Cs и
90Sr с продуктами питания и питьевой водой в зоне наблюдения БалАЭС, в сравнении с контрольным участком, представлены на рисунках Е.3 и
Е.4.
Рисунок Е.3 - Радиационный риск от потребления 137Cs
с отдельными продуктами питания и питьевой водой в зоне
наблюдения БалАЭС и на контрольном участке (с. Маянга)
Рисунок Е.4 - Радиационный риск от потребления
90Sr
с отдельными продуктами питания в зоне наблюдения БалАЭС
и на контрольном участке (с. Маянга)
Е.8.4 На рисунках Е.5 и
Е.6 представлены суммарные риски
137Cs и
90Sr с учетом вклада различных путей облучения: внутреннего от продуктов питания и питьевой воды, ингаляционного и внешнего облучения от почвы.
Рисунок Е.5 - Радиационные риски от техногенного 137Cs
в зоне наблюдения БалАЭС в сравнении с контрольным участком
(с. Маянга)
Рисунок Е.6 - Радиационные риски от техногенного
90Sr
в зоне наблюдения БалАЭС в сравнении с контрольным участком
(с. Маянга)
Е.8.5 В соответствии со шкалой риска все полученные значения суммарных радиационных рисков от отдельных путей радиационного облучения населения, проживающего в зоне наблюдения БалАЭС, для 137Cs и 90Sr соответствуют уровню пренебрежимого риска, являющегося настолько низким, что не требуется никаких специальных мер по его снижению. Даже верхние границы доверительного интервала не превышают значение пренебрежимого риска 10-6.
Е.9 Применение результатов оценки радиационного риска к оптимизации мониторинга радиационной обстановки и оценкам интегрального радиационного воздействия от радиоактивного загрязнения компонентов природной среды
Е.9.1 Интегральные показатели радиационного воздействия от радиоактивного загрязнения атмосферного воздуха в зоне наблюдения БалАЭС и на контрольном участке
Е.9.1.1 Оценки интегральных показателей радиационного воздействия от радиоактивного загрязнения атмосферного воздуха производились на основе обобщенных данных мониторинга радиационной обстановки в зоне наблюдения и на контрольном участке БалАЭС.
Е.9.1.2 В качестве критериев для оценки радиационного воздействия от радиоактивного загрязнения атмосферного воздуха использовались допустимые среднегодовые объемные активности радионуклидов в атмосферном воздухе ДОАнас, соответствующие уровню радиационного риска 5,0·10-5 (округленно 10-4). Наиболее консервативным критерием является объемная активность радионуклидов в воздухе, соответствующая индивидуальной годовой эффективной дозе в 10 мкЗв, соответствующей радиационному риску 5,0·10-7, меньшему значения пренебрежимого риска в 10-6 (таблица Е.29).
Таблица Е.29
Допустимые ДОАнас и контрольные RA уровни среднегодовой
объемной активности радионуклидов в атмосферном воздухе,
соответствующие уровням индивидуального пожизненного
радиационного риска 10-4 и 10-6 для техногенного облучения
в течение года
Радионуклид | Период полураспада | ДОАнас, Бк/м3 для 10-4 год-1 | RA, Бк/м3 для 10-6 год-1 |
90Sr | 29,1 лет | 2,7 | 0,027 |
137Cs | 30 лет | 27 | 0,27 |
Е.9.1.3 В качестве интегрального показателя радиационного воздействия от радиоактивного загрязнения атмосферного воздуха Iатм(R) рекомендуется использовать сумму отношений наблюдаемых по данным мониторинга радиационной обстановки или расчетных среднегодовых объемных активностей выбрасываемых в атмосферу радионуклидов Ai к допустимым объемным активностям (контрольным уровням) RAi при заданном уровне радиационного риска R

. (Е.9)
Значения
RAi определяются в соответствии с нормами радиационной безопасности
СанПиН 2.6.1.2523, в которых приведены значения допустимой среднегодовой объемной активности радионуклидов во вдыхаемом воздухе, соответствующие уровню радиационного риска 5,0·10
-5.
Е.9.1.4 При совместном присутствии в атмосферном воздухе нескольких радионуклидов должно выполняться условие (при заданном уровне радиационного риска R)
Iатм(R) < 1. (Е.10)
При выполнении условия (Е.10) при пренебрежимо малом уровне радиационного риска R < 10-6 не требуется никаких специальных мер по снижению выбросов РОО и радиоактивного загрязнения атмосферного воздуха. При невыполнении этого условия осуществляется управление радиационным риском с учетом принципа оптимизации.
Е.9.1.5 Анализ значений интегральных показателей радиационного воздействия от радиоактивного загрязнения атмосферного воздуха показывает, что этот показатель значительно ниже 1 даже при его расчете относительно контрольных уровней объемной активности радионуклидов для пренебрежимо малого уровня радиационного риска (10-6 год-1), при котором не требуется никаких специальных мер по снижению выбросов БалАЭС и радиоактивного загрязнения атмосферного воздуха (таблица Е.30).
Таблица Е.30
Значения интегральных показателей Iатм(R) радиационного
воздействия от радиоактивного загрязнения атмосферного
воздуха в зоне наблюдения и на контрольном участке
по обобщенным данным мониторинга радиационной обстановки
Радионуклид | Iатм(R) при R = 10-4 | Iатм(R) при R = 10-6 |
Зона наблюдения | Контрольный участок | Зона наблюдения | Контрольный участок |
137Cs | 1,3·10-7 (0,9·10-7 - 0,4·10-6) | 4,7·10-8 (1,5·10-8 - 8,1·10-7) | 1,3·10-5 (0,9·10-5 - 0,4·10-4) | 4,7·10-6 (1,5·10-6 - 8,1·10-5) |
90Sr | 1,0·10-7 (5,9·10-8 - 1,7·10-7) | 1,5·10-7 (4,4·10-8 - 4,7·10-6) | 1,0·10-5 (5,9·10-6 - 1,7·10-5) | 1,5·10-5 (4,4·10-6 - 4,7·10-4) |
Суммарный интегральный показатель | 2,3·10-7 (1,5·10-7 - 5,6·10-7) | 2,0·10-7 (5,9·10-8 - 5,5·10-6) | 2,3·10-5 (1,5·10-5 - 5,6·10-5) | 2,0·10-5 (5,9·10-6 - 5,5·10-4) |
Е.9.1.6 Для БалАЭС в штатных условиях эксплуатации объемные активности радионуклидов в приземном слое атмосферного воздуха зоны наблюдения и контрольного участка (с. Маянга) значительно ниже допустимых значений по нормам радиационной безопасности и контрольных уровней объемной активности для пренебрежимо малого радиационного риска, при котором не требуется никаких специальных мер по снижению выбросов РОО и радиоактивного загрязнения атмосферного воздуха.
Е.9.2 Интегральные показатели радиационного воздействия от радиоактивного загрязнения поверхностных вод в зоне наблюдения БалАЭС и на контрольном участке
Е.9.2.1 Оценки показателей интегрального радиационного воздействия от радиоактивного загрязнения поверхностных вод производились на основе обобщенных данных мониторинга радиационной обстановки в зоне наблюдения БалАЭС и на контрольном участке.
Е.9.2.2 В качестве критериев для оценки радиационного воздействия от радиоактивного загрязнения поверхностных вод могут использоваться уровни вмешательства, соответствующие дозе 0,1 мЗв/год (радиационному риску 5,0·10-6 год-1 или округленно 10-5 год-1). Наиболее консервативным критерием является удельная активность радионуклидов в поверхностных водах, соответствующая индивидуальной годовой эффективной дозе в 10 мкЗв, или пренебрежимому радиационному риску менее 10-6.
Е.9.2.3 В качестве интегрального показателя радиационного воздействия от радиоактивного загрязнения поверхностных вод Iвод(R) может быть использована сумма отношений наблюдаемых или расчетных среднегодовых удельных активностей радионуклидов Ai в поверхностных водах к уровням вмешательства или допустимым удельным активностям (контрольным уровням) RAWi при заданном уровне радиационного риска R

. (Е.11)
Значения
RAi определяются в соответствии с нормами радиационной безопасности
СанПиН 2.6.1.2523, в которых приведены значения уровней вмешательства при поступлении с водой отдельных радионуклидов для населения, соответствующие уровню радиационного риска 5,0·10
-6 год
-1.
Е.9.2.4 При совместном присутствии в воде нескольких радионуклидов и заданной квоте на ограничение облучения населения от сбросов РОО должно выполняться условие (при заданном уровне радиационного риска R)
Iвод(R) < 1. (Е.12)
Е.9.2.5 При выполнении условия (Е.12) при пренебрежимо малом уровне радиационного риска R (ниже 10-6 год-1) не требуется никаких специальных мер по снижению сбросов РОО и радиоактивного загрязнения поверхностных вод.
Е.9.2.6 Согласно представленным оценкам (таблица Е.31), показатель Iвод заметно ниже 1, даже при его расчете относительно контрольных уровней объемной активности радионуклидов для пренебрежимо малого уровня радиационного риска (10-6 год-1), при котором не требуется никаких специальных мер по снижению сбросов БалАЭС и радиоактивного загрязнения поверхностных вод.
Таблица Е.31
Значения интегральных показателей Iвод(R) радиационного
воздействия от радиоактивного загрязнения поверхностных вод
по обобщенным данным мониторинга радиационной обстановки
Радионуклид | Iвод(R) при R = 10-5 год-1 | Iвод(R) при R = 10-6 год-1 |
Зона наблюдения | Контрольный участок | Зона наблюдения | Контрольный участок |
137Cs | 2,5·10-4 (1,8·10-4 - 3,0·10-4) | 1,6·10-4 (4,6·10-5 - 2,2·10-3) | 2,5·10-3 (1,8·10-3 - 3,0·10-3) | 1,6·10-3 (4,6·10-4 - 2,2·10-2) |
90Sr | 4,8·10-4 (2,3·10-4 - 7,6·10-4) | 3,1·10-4 | 4,8·10-3 (2,3·10-3 - 7,6·10-3) | 3,1·10-3 |
Суммарный интегральный показатель | 7,2·10-4 (4,1·10-4 - 1,1·10-3) | 4,6·10-4 | 7,2·10-3 (4,1·10-3 - 1,1·10-3) | 4,6·10-3 |
Е.9.3 Интегральные показатели радиационного воздействия от радиоактивного загрязнения почвы в зоне наблюдения БалАЭС и на контрольном участке
Е.9.3.1 В качестве интегрального показателя радиационного воздействия от радиоактивного загрязнения почв Iпочв(R) может быть использована сумма отношений наблюдаемых или расчетных за 50 лет работы РОО поверхностной активности ASi i-го радионуклида к допустимым уровням загрязнения почвы RASi при заданном уровне радиационного риска R

. (Е.13)
Допустимые уровни загрязнения почвы
RASi при заданном уровне радиационного риска
R рассчитываются на основе моделей [
1,
9].
Е.9.3.2 При одновременном присутствии в поверхностном слое почвы нескольких радионуклидов и заданной квоте на ограничение облучения населения от выбросов РОО по всем путям должно выполняться условие (при заданном уровне радиационного риска R)
Iпочв(R) < 1. (Е.14)
При выполнении условия (Е.14) при пренебрежимо малом уровне радиационного риска R < 10-6 год-1 не требуется никаких специальных мер по снижению выбросов РОО и радиоактивного загрязнения почв. При невыполнении этого условия осуществляется управление радиационным риском с учетом принципа оптимизации.
Е.9.3.3 При оценках вкладов в интегральный показатель радиационного воздействия от радиоактивного загрязнения почв такими радионуклидами, как 90Sr и 137Cs, необходимо делать поправку на глобальный уровень загрязнения данными радионуклидами, вычитая это значение из измеренных поверхностных активностей 90Sr и 137Cs в зоне наблюдения и на контрольном участке.
Е.9.3.4 В таблицах Е.32 и
Е.33 представлены значения интегральных показателей
Iпочв(R) радиационного воздействия от радиоактивного загрязнения почв (в зоне наблюдения и на контрольном участке соответственно), рассчитанные на основе данных мониторинга радиационной обстановки для уровней индивидуального пожизненного радиационного риска 10
-4 год
-1, 2·10
-5 год
-1 (уровень радиационного риска, соответствующий отводимой для наземных цепочек дозовой квоте 0,3 мЗв/год), 10
-6 год
-1 для облучения в течение года.
Таблица Е.32
Значения интегральных показателей
Iпочв(R) радиационного
воздействия от радиоактивного загрязнения почвы в зоне
наблюдения по обобщенным данным мониторинга
радиационной обстановки
Радионуклид | Iпочв(R) при R = 10-6 год-1 | Iпочв(R) при R = 2·10-5 год-1 | Iпочв(R) при R = 10-4 год-1 |
137Cs | 1,6·10-1 (1,2·10-1 - 1,9·10-1) | 5,2·10-3 (4,0·10-3 - 6,4·10-3) | 1,6·10-3 (1,2·10-3 - 1,9·10-3) |
90Sr | 7,5·10-1 (4,1·10-1 - 1,3·10-1) | 2,5·10-2 (1,4·10-2 - 4,2·10-2) | 7,5·10-3 (4,1·10-3 - 1,3·10-2) |
Суммарный интегральный показатель | 9,1·10-1 (5,3·10-1 - 1,5·100) | 3,0·10-2 (1,8·10-2 - 4,9·10-2) | 9,1·10-3 (5,3·10-3 - 1,5·10-2) |
Таблица Е.33
Значения интегральных показателей
Iпочв(R) радиационного
воздействия от радиоактивного загрязнения почвы
на контрольном участке по обобщенным данным мониторинга
радиационной обстановки
Радионуклид | Iпочв(R) при R = 10-6 год-1 | Iпочв(R) при R = 2·10-5 год-1 | Iпочв(R) при R = 10-4 год-1 |
137Cs | 9,2·10-2 (2,8·10-2 - 1,3) | 3,1·10-3 (9,3·10-4 - 4,4·10-3) | 9,2·10-4 (2,8·10-4 - 1,3·10-2) |
90Sr | 8,7·10-1 | 2,9·10-2 | 8,7·10-3 |
Суммарный интегральный показатель | 9,6·10-1 | 3,2·10-2 | 9,6·10-3 |
Е.9.3.5 Согласно представленным оценкам (
таблицы Е.32 -
Е.33), интегральный показатель I
почв радиационного воздействия от радиоактивного загрязнение почвы в зоне наблюдения и на контрольном участке ниже 1 даже при его расчете относительно контрольных уровней объемной активности радионуклидов для пренебрежимо малого уровня радиационного риска (10
-6 год
-1), при котором не требуется никаких специальных мер по снижению выбросов. Исключение составляет верхняя граница суммарного интегрального показателя для пренебрежимо малого уровня радиационного риска, которая незначительно превышает 1.
Е.9.4 Суммарный интегральный показатель радиационного воздействия от радиоактивного загрязнения компонентов природной среды
Е.9.4.1 Суммарный интегральный показатель радиационного воздействия от радиоактивного загрязнения компонентов природной среды Iсум(R) определяется по формуле
| | ИС МЕГАНОРМ: примечание. Нумерация формул дана в соответствии с официальным текстом документа. | |
Iсум(R) = Iатм(R) + Iпочв(R) + Iвод(R), (Е.23)
где Iатм(R), Iпочв(R), Iвод(R) - показатели загрязнения смесью радионуклидов атмосферного воздуха, почвы и поверхностных вод при заданном уровне риска R.
В целом должно выполняться условие (при заданном уровне риска R)
Е.9.4.2 При выполнении
условия (Е.24) при пренебрежимо малом уровне риска
R (ниже 10
-6 год
-1) не требуется никаких специальных мер по снижению радиационного воздействия РОО на компоненты природной среды. При невыполнении
условия (Е.24) осуществляется управление радиационным риском с учетом принципа оптимизации, выполняются дополнительные обследования радиоактивного загрязнения компонентов природной среды, обосновываются и принимаются защитные меры по обеспечению радиационной безопасности населения и окружающей среды.
Таблица Е.34
Значения суммарных интегральных показателей
Iсум(R)
радиационного воздействия от радиоактивного загрязнения
компонентов природной среды в зоне наблюдения по обобщенным
данным мониторинга радиационной обстановки
Радионуклид | Iсум(R) при R = 10-6 год-1 | Iсум(R) при R = 10-5 год-1 | Iсум(R) при R = 10-4 год-1 |
137Cs | 1,6·10-1 (1,2·10-1 - 2,0·10-1) | 1,6·10-2 (1,2·10-2 - 2,0·10-2) | 1,6·10-3 (1,2·10-3 - 2,0·10-3) |
90Sr | 7,6·10-1 (4,1·10-1 - 1,3) | 7,6·10-2 (4,1·10-2 - 1,3·10-1) | 7,6·10-3 (4,1·10-3 - 1,3·10-2) |
Суммарный интегральный показатель | 9,2·10-1 (5,3·10-1 - 1,5) | 9,2·10-2 (5,3·10-2 - 1,5·10-1) | 9,2·10-3 (5,3·10-3 - 1,5·10-2) |
Таблица Е.35
Значения интегральных показателей
Iсум(R) радиационного
воздействия от радиоактивного загрязнения компонентов
природной среды на контрольном участке по обобщенным
данным мониторинга радиационной обстановки.
Радионуклид | Iсум(R) при R = 10-6 год-1 | Iсум(R) при R = 10-5 год-1 | Iсум(R) при R = 10-4 год-1 |
137Cs | 9,4·10-2 (2,8·10-2 - 1,4) | 9,4·10-3 (2,8·10-3 - 1,4·10-1) | 9,4·10-3 (2,8·10-3 - 1,4·10-2) |
90Sr | 8,7·10-1 | 8,7·10-2 | 8,7·10-3 |
Суммарный интегральный показатель | 9,6·10-1 | 9,6·10-2 | 9,6·10-3 |
Е.9.4.3 Согласно представленным оценкам (
таблицы Е.34 -
Е.35), интегральный показатель
Iсум(R) радиационного воздействия от радиоактивного загрязнения компонентов природной среды в зоне наблюдения и на контрольном участке ниже 1 даже при его расчете относительно контрольных уровней объемной активности радионуклидов для пренебрежимо малого уровня риска (10
-6 год
-1), при котором не требуется никаких специальных мер по снижению радиационного воздействия от радиоактивного загрязнения компонентов природной среды. Исключение составляет верхняя граница суммарного интегрального показателя для пренебрежимо малого уровня радиационного риска, которая незначительно превышает 1.
Е.10 Заключение по анализу радиационного риска в зоне наблюдений БалАЭС
Полученные значения радиационных рисков как суммарных, так и от отдельных путей радиационного облучения населения, проживающего в зоне наблюдения БалАЭС, для 137Cs и 90Sr соответствуют уровню пренебрежимого радиационного риска (10-6 год-1), являющегося настолько низким, что не требуется специальных мер по его снижению.
| EPA - Environmental Protection Agency. Soil Screening Guidance for Radionuclides: Technical Background Document. US EPA. Publication EPA/540/R-95/128, 1996. |
| EPA - Environmental Protection Agency. Soil Screening Guidance for Radionuclides: Technical Background Document. US EPA. Publication 9355. 4 - 16, October 2000. |
| IAEA - International Atomic Energy Agency. Remediation of Areas Contaminated by Past Activities and Accidents. Safety Requirements. N0, WS-R-3. IAEA, Vienna, 2003. |
| NCRP - National Council on Radiation Protection and Measurements. Approaches to Risk Management in Remediation of Radioactively Contaminated Sites, NCRP Report No. 146, Bethesda, Maryland, 2005. |
| NCRP - National Council on Radiation Protection and Measurements. Risk-Based Classification of Radioactive and Hazardous Chemical Wastes, NCRP Report No. 139, Bethesda, Maryland, 2002. |
| "О радиационной безопасности населения" от 9 января 1996 г. N 3-ФЗ. |
| "Об охране окружающей среды" от 10 января 2002 года (с изменениями от 22 августа, 29 декабря 2004 г., 9 мая, 31 декабря 2005 г., 18 декабря 2006 г., 21 ноября 2011 г.) N 7-ФЗ. |
| Крышев И.И., Сазыкина Т.Г., Крышев А.И., Санина К.Д. Анализ риска по данным радиоэкологического мониторинга // Атомная энергия. 2009. Т. 106, вып. 6. С. 332 - 339. |
| Крышев И.И., Сазыкина Т.Г., Крышев А.И., Санина К.Д., Дмитриева М.А. Анализ радиационного риска по данным сети радиометрических наблюдений Росгидромета (методические рекомендации) // Сборник докладов второй Всероссийской научно-практической конференции "Состояние и развитие Единой государственной системы контроля радиационной обстановки на территории Российской Федерации". Обнинск, ГУ "НПО "Тайфун", 26 - 29 октября 2009 г. С. 436 - 450. |
| IAEA - International Atomic Energy Agency. Generic models for use in assessing the impact of discharges of radioactive substances to the environment. Safety Report Series, N 19. IAEA, Vienna, 2001. |
| IAEA Safety Standards Series No. GSR. Part 3. Radiation Protection and Safety of Radiation Sources: International Basic Safety Standards. Vienna, 2011. - 303 p. Перевод на русский: Проект Требований безопасности: Радиационная защита и безопасность источников облучения: Международные основные нормы безопасности. Общие требования безопасности, N GSR часть 3. Вена: МАГАТЭ, 2011. 318 с. |
| Кобзарь А.И. Прикладная математическая статистика. Для инженеров и научных работников. - М.: Физматлит, 2006. |
| Гмурман В.Е. Теория вероятностей и математическая статистика. - М., 2007. |
| EPA - Environmental Protection Agency. Statistical Tests for Background Comparison at Hazardous Waste Sites. USA, Atlanta, 1998. |
| EPA - Environmental Protection Agency. Federal Guidance Report N 13. Cancer Risk Coefficients for Environmental Exposure to Radionuclides. EPA 402-R-99-001. 1999. |
| IAEA - International Atomic Energy Agency. Environmental and source monitoring for purposes of radiation protection. IAEA Safety Standarts for protecting people and the environment. Safety Guide No. RS-G-1.8. Vienna, 2005. |
| Крышев А.И., Бадальян К.Д., Сазыкина Т.Г., Крышев И.И. Оценка допустимого содержания радионуклидов в почве по уровням радиационного риска для населения с учетом целей землепользования // Проблемы радиоэкологии и пограничных дисциплин. Выпуск 8. - Екатеринбург, 2006. С. 174 - 195. |
| Kryshev A.I., Kryshev I.I., Badalian K.D., Sazykina T.G. Assessment of permissible levels of radionuclides in soil for different types of land-use // Applied Radiation and Isotopes. 2008. 66. P. 1572 - 1574. |
| Росгидромет. ГУ "НПО Тайфун". Радиационная обстановка на территории России и сопредельных государств в 2001 - 2005 гг. - М.: Метеоагентство Росгидромета, 2002 - 2006. |
[20] | Росгидромет. ГУ "НПО Тайфун". Радиационная обстановка на территории России и сопредельных государств в 2006 году. - М.: Метеоагентство Росгидромета, 2007. |
| Росгидромет. ГУ "НПО Тайфун". Радиационная обстановка на территории России и сопредельных государств в 2007 году. - Обнинск, ГУ "ВНИИГМИ-МЦД", 2008. |