толерантный интервал (statistical tolerance interval): Интервал, определяемый по случайной выборке таким способом, что с заданным уровнем доверия этот интервал накрывает долю совокупности не менее заданной. Примечание - Уровень доверия в этом случае - предел доли интервалов, определенных указанным способом, накрывающих долю выбранной совокупности не менее заданной, при бесконечном повторении метода. [ГОСТ Р 50779.10-2000, статья 2.61] |
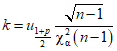
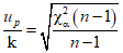
- коэффициент, используемый для определения границ одностороннего толерантного интервала xL или xU, если значения
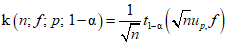
- коэффициент, используемый для определения двустороннего толерантного интервала xL и xU, если значение
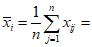
- коэффициент, используемый для определения одностороннего толерантного интервала xL или xU, если значение
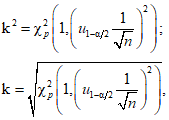
- коэффициент, используемый для определения двустороннего толерантного интервала xL или xU, если значения
- коэффициент, используемый для определения одностороннего толерантного интервала xL или xU, если значения
- коэффициент, используемый для определения границ m двусторонних толерантных интервалов xLi или xUi (i = 1, 2, ..., m; m >= 2), если значения средних
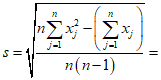
;
;
;
;
;
;
и верхней границей
.
и 
x | 228,6 | 232,7 | 238,8 | 317,2 | 315,8 | 275,1 | 222,2 | 236,7 | 224,7 | 251,2 | 210,4 | 270,7 |
среди полученных данных выбросы отсутствуют.
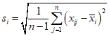
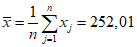
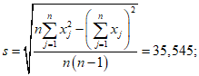
;
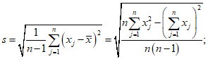
, что не менее 0,95 (95%) наблюдений в партии имеют значения не менее xL, если измерения выполнены в одинаковых условиях. Ниже приведено детальное представление результатов.Определение статистического толерантного интервала для доли p: a) односторонний интервал с нижней границей xL. Заданные значения: b) доля совокупности для толерантного интервала: p = 0,95; c) выбранный уровень доверия: ;d) объем выборки: n = 12. Значение коэффициента kC в соответствии с таблицей C.2 приложения C: . |
Вычисления: ![]() ![]() . |
Результаты: правосторонний односторонний интервал. Толерантный интервал, накрывающий долю совокупности не менее p с уровнем доверия . |
, что интервал xL, xU накрывает долю совокупности не менее p = 0,90 (90%).
.
;
.i | j | |||||||||
1 | 2 | 3 | 4 | 5 | 6 | 7 | 8 | 9 | 10 | |
1 | 20 | 18 | 16 | 21 | 19 | 17 | 20 | 16 | 19 | 18 |
2 | 19 | 14 | 17 | 13 | 10 | 16 | 14 | 12 | 15 | 11 |
3 | 11 | 12 | 14 | 10 | 8 | 10 | 13 | 9 | 12 | 8 |
4 | 10 | 7 | 11 | 9 | 6 | 11 | 8 | 12 | 13 | 14 |
.

.
,
зависит от объема i-й выборки и числа степеней свободы объединенного выборочного стандартного отклонения. Выражения для коэффициентов приведены в A.5, A.14 приложения A;
,
- квантиль уровня
. В данном случае ni = 10 и f = m(n - 1) = nm - m = 36, таким образом
,
.
.
.
.
.
, значение коэффициента k для двустороннего толерантного интервала при неизвестной общей дисперсии
.
;
;
;
;
;
;
;
.
и неизвестного 









. Значение минимального объема выборки в соответствии с таблицей E.1 приложения E составляет 473 (фактический уровень доверия составляет 95,020%). Ниже приведено несколько примеров.
. Значение минимального объема выборки в соответствии с таблицей E.1 приложения E составляет 59 (фактический уровень доверия составляет 95,151%).
. Значение минимального объема выборки в соответствии с таблицей E.1 приложения E составляет 473 (фактический уровень доверия составляет 95,020%). Полученный результат совпадает с результатом в 1-м случае).
. В соответствии с таблицей E.1 приложения E значение минимального объема выборки составляет 1418 (фактический уровень доверия составляет 90,000%), а соответствующие порядковые статистики - x(5) и x(1414).
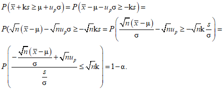
равен n. Пусть
подчиняется
с n - 1 степенями свободы. Но может быть получена независимая оценка стандартного отклонения с f-степенями свободы, где обычно f более n - 1. Например, такое может быть в том случае, когда для определения оценки стандартного отклонения использовано несколько независимых выборок из совокупности с одинаковым стандартным отклонением. Для данной ситуации точные формулы можно легко изменить.Тип интервала | Среднее | Стандартное отклонение | Обозначение коэффициента |
Односторонний | Известно | Неизвестно | ![]() |
Двусторонний | Известно | Неизвестно | ![]() |
Односторонний | Неизвестно | Известно | ![]() |
Двусторонний | Неизвестно | Известно | ![]() |
Односторонний | Неизвестно | Неизвестно | ![]() |
накрывает долю совокупности p, и если
,
накрывает долю совокупности, превосходящую p. Коэффициент k определяют так, чтобы это происходило с вероятностью
с n - 1 степенью свободы, поэтому в соответствии с (A.1)
;
представляет собой квантиль уровня
с n - 1 степенью свободы, таким образом это значение, которое случайная величина
превышает с вероятностью
.
накрывает долю совокупности p, и если
,
накрывает долю совокупности, превосходящую p. Коэффициент k определяют так, чтобы это происходило с вероятностью
с n - 1 степенью свободы, поэтому в соответствии с (A.3)
;
. (A.4)
представляет собой квантиль уровня
с n - 1 степенью свободы, таким образом это значение, которое случайная величина
превышает с вероятностью
.
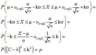
. Следует иметь в виду, что
представляет собой толерантную границу в том смысле, что доля совокупности левее этой границы точно равна p. Таким образом, если
,
в формуле (A.6) подчиняется стандартному нормальному распределению, поэтому в соответствии с формулой (A.6)
,
.
.
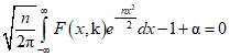
. Из данного равенства может быть получена точная формула для k с помощью квантиля нецентрального
с одной степенью свободы.
равна
доля совокупности внутри интервала
составляет
следует, что все интервалы с границами
накрывают долю совокупности не менее p тогда и только тогда, когда
, но вероятность этого события составляет
, U - случайная величина из распределения
, тогда уравнение (A.8) можно переписать следующим образом:
с одной степенью свободы и параметром нецентральности
. Из последнего равенства (A.9) следует
- квантиль уровня p нецентрального
с одной степенью свободы и параметром нецентральности b2.
.
представляет собой толерантную границу совокупности в том смысле, что ниже этой границы лежит точно доля совокупности p. Если
,
. (A.11)
и точная формула для k имеет вид
. Значения коэффициента
приведены для
и p = 0,90 и 0,99. Табличные значения имеют точность до указанного десятичного знака.
с f-степенями свободы, т.е. оценка дисперсии получена по нескольким независимым выборкам с общей дисперсией, коэффициент k находят следующим образом:Определение одностороннего статистического толерантного интервала, накрывающего долю совокупности p с уровнем доверия a) левосторонний односторонний интервал; b) правосторонний односторонний интервал. Известные величины: c) заданная доля совокупности, которую накрывает интервал - p = ...; d) заданный уровень доверия - e) объем выборки n = ... Табулированный коэффициент - ![]() |
Вычисления: ![]() ![]() |
Результаты f) левосторонний односторонний интервал. Односторонний статистический толерантный интервал, накрывающий долю совокупности p с уровнем доверия ![]() g) правосторонний односторонний интервал. Односторонний статистический толерантный интервал, накрывающий долю совокупности p с уровнем доверия ![]() |
Определение двустороннего статистического толерантного интервала, накрывающего долю совокупности p с уровнем доверия Известные величины: h) заданная доля совокупности, которую накрывает интервал, - p = ...; i) заданный уровень доверия - j) объем выборки n = ... Табулированный коэффициент - ![]() |
Вычисления: ![]() ![]() . |
Результаты Двусторонний статистический толерантный интервал, накрывающий долю совокупности p с уровнем доверия ; . |
Определение двустороннего статистического толерантного интервала, накрывающего долю совокупности p с уровнем доверия k) заданная доля совокупности, которую накрывает интервал, - p = ...; l) заданный уровень доверия - q) объем выборки n = r) количество выборок m = Табулированный коэффициент - . |
Вычисления: ![]() ![]() . |
Результаты Двусторонний статистический толерантный интервал, накрывающий долю совокупности p с уровнем доверия ; ;(i = 1, 2, ..., m; m >= 2). |
Определение одностороннего или двустороннего статистического толерантного интервала, накрывающего долю совокупности p с уровнем доверия a) односторонний интервал с верхней границей ;b) односторонний интервал с нижней границей ;c) двусторонний интервал .Заданные значения: d) заданная доля совокупности, которую накрывает интервал, - p = ____________; e) заданный уровень доверия - f) v - e - наименьшее значение x: v = _________________; g) w - e - наибольшее значение x: w = ________________. Примечание - Для одностороннего интервала с верхней границей значение v задают равным нулю, а для одностороннего интервала с нижней границей значение w задают равным нулю. Табулированное значение: объем выборки n для заданных значений p, Значения n могут быть определены по таблицам E.1, E.2 приложения E для заданных значений p, |
Результаты _______ сторонний статистический толерантный интервал, накрывающий долю совокупности p = ________ с уровнем доверия - нижнюю границу x(v) = x(________) = _______________; - верхнюю границу x(n - w + 1) = x(_________) = ______________. |
![]() | |||
n | p | ||
0,90 | 0,95 | 0,99 | |
150 | 1,4329 | 1,8182 | 2,5459 |
200 | 1,4113 | 1,7934 | 2,5141 |
250 | 1,3969 | 1,7767 | 2,4930 |
300 | 1,3863 | 1,7646 | 2,4775 |
400 | 1,3717 | 1,7478 | 2,4562 |
500 | 1,3618 | 1,7365 | 2,4418 |
1 000 | 1,3377 | 1,7089 | 2,4069 |
2 000 | 1,3210 | 1,6897 | 2,3828 |
5 000 | 1,3063 | 1,6731 | 2,3618 |
10 000 | 1,2990 | 1,6647 | 2,3513 |
20 000 | 1,2939 | 1,6589 | 2,3440 |
1,2816 | 1,6449 | 2,3264 | |
![]() | |||
n | p | ||
0,90 | 0,95 | 0,99 | |
2 | 20,5815 | 26,2597 | 37,0936 |
3 | 6,1553 | 7,6560 | 10,5528 |
4 | 4,1620 | 5,1439 | 7,0424 |
5 | 3,4067 | 4,2027 | 5,7411 |
6 | 3,0063 | 3,7077 | 5,0620 |
7 | 2,7555 | 3,3995 | 4,6418 |
8 | 2,5820 | 3,1873 | 4,3539 |
9 | 2,4538 | 3,0313 | 4,1431 |
10 | 2,3547 | 2,9110 | 3,9812 |
11 | 2,2754 | 2,8150 | 3,8524 |
12 | 2,2102 | 2,7364 | 3,7471 |
13 | 2,1555 | 2,6706 | 3,6592 |
14 | 2,1088 | 2,6145 | 3,5846 |
15 | 2,0684 | 2,5661 | 3,5202 |
16 | 2,0330 | 2,5237 | 3,4640 |
17 | 2,0018 | 2,4863 | 3,4145 |
18 | 1,9738 | 2,4530 | 3,3704 |
19 | 1,9487 | 2,4231 | 3,3309 |
20 | 1,9260 | 2,3961 | 3,2952 |
22 | 1,8865 | 2,3490 | 3,2332 |
24 | 1,8530 | 2,3093 | 3,1811 |
26 | 1,8243 | 2,2754 | 3,1365 |
28 | 1,7993 | 2,2458 | 3,0979 |
30 | 1,7774 | 2,2199 | 3,0640 |
35 | 1,7323 | 2,1668 | 2,9946 |
40 | 1,6972 | 2,1255 | 2,9410 |
45 | 1,6690 | 2,0924 | 2,8980 |
50 | 1,6456 | 2,0650 | 2,8625 |
60 | 1,6090 | 2,0222 | 2,8071 |
70 | 1,5813 | 1,9899 | 2,7654 |
80 | 1,5594 | 1,9645 | 2,7327 |
90 | 1,5416 | 1,9438 | 2,7061 |
100 | 1,5268 | 1,9266 | 2,6840 |
150 | 1,4778 | 1,8699 | 2,6114 |
200 | 1,4496 | 1,8373 | 2,5698 |
250 | 1,4307 | 1,8155 | 2,5421 |
300 | 1,4170 | 1,7997 | 2,5219 |
400 | 1,3979 | 1,7778 | 2,4941 |
500 | 1,3851 | 1,7631 | 2,4755 |
1 000 | 1,3539 | 1,7273 | 2,4302 |
2 000 | 1,3323 | 1,7026 | 2,3990 |
5 000 | 1,3134 | 1,6811 | 2,3719 |
10 000 | 1,3040 | 1,6704 | 2,3584 |
20 000 | 1,2974 | 1,6629 | 2,3490 |
1,2816 | 1,6449 | 2,3264 | |
![]() | |||
n | p | ||
0,90 | 0,95 | 0,99 | |
2 | 103,0287 | 131,4263 | 185,6170 |
3 | 13,9955 | 17,3702 | 23,8956 |
4 | 7,3799 | 9,0835 | 12,3873 |
5 | 5,3618 | 6,5784 | 8,9391 |
6 | 4,4111 | 5,4056 | 7,3346 |
7 | 3,8592 | 4,7279 | 6,4120 |
8 | 3,4973 | 4,2853 | 5,8118 |
9 | 3,2405 | 3,9723 | 5,3889 |
10 | 3,0480 | 3,7384 | 5,0738 |
11 | 2,8977 | 3,5562 | 4,8291 |
12 | 2,7768 | 3,4100 | 4,6331 |
13 | 2,6770 | 3,2896 | 4,4721 |
14 | 2,5932 | 3,1886 | 4,3372 |
15 | 2,5215 | 3,1024 | 4,2224 |
16 | 2,4595 | 3,0279 | 4,1233 |
17 | 2,4051 | 2,9628 | 4,0367 |
18 | 2,3571 | 2,9052 | 3,9604 |
19 | 2,3142 | 2,8539 | 3,8925 |
20 | 2,2757 | 2,8079 | 3,8316 |
22 | 2,2092 | 2,7286 | 3,7268 |
24 | 2,1536 | 2,6624 | 3,6396 |
26 | 2,1063 | 2,6062 | 3,5656 |
28 | 2,0655 | 2,5578 | 3,5020 |
30 | 2,0299 | 2,5155 | 3,4466 |
35 | 1,9575 | 2,4299 | 3,3344 |
40 | 1,9018 | 2,3642 | 3,2486 |
45 | 1,8573 | 2,3118 | 3,1804 |
50 | 1,8208 | 2,2689 | 3,1247 |
60 | 1,7641 | 2,2024 | 3,0383 |
70 | 1,7216 | 2,1527 | 2,9740 |
80 | 1,6883 | 2,1138 | 2,9238 |
90 | 1,6614 | 2,0824 | 2,8832 |
100 | 1,6390 | 2,0563 | 2,8497 |
150 | 1,5658 | 1,9713 | 2,7405 |
200 | 1,5241 | 1,9230 | 2,6787 |
250 | 1,4963 | 1,8909 | 2,6377 |
300 | 1,4762 | 1,8676 | 2,6081 |
400 | 1,4484 | 1,8357 | 2,5674 |
500 | 1,4298 | 1,8143 | 2,5402 |
1 000 | 1,3847 | 1,7625 | 2,4746 |
2 000 | 1,3537 | 1,7270 | 2,4298 |
5 000 | 1,3267 | 1,6963 | 2,3910 |
10 000 | 1,3134 | 1,6810 | 2,3718 |
20 000 | 1,3040 | 1,6704 | 2,3584 |
1,2816 | 1,6449 | 2,3264 | |
![]() | |||
n | p | ||
0,90 | 0,95 | 0,99 | |
2 | 1030,3362 | 1314,3157 | 1856,2311 |
3 | 44,4199 | 55,1055 | 75,7741 |
4 | 16,1217 | 19,8127 | 26,9791 |
5 | 9,7816 | 11,9695 | 16,2230 |
6 | 7,2465 | 8,8486 | 11,9645 |
7 | 5,9206 | 7,2223 | 9,7538 |
8 | 5,1127 | 6,2344 | 8,4151 |
9 | 4,5700 | 5,5725 | 7,5206 |
10 | 4,1801 | 5,0981 | 6,8810 |
11 | 3,8860 | 4,7410 | 6,4006 |
12 | 3,6558 | 4,4621 | 6,0261 |
13 | 3,4705 | 4,2378 | 5,7255 |
14 | 3,3177 | 4,0532 | 5,4786 |
15 | 3,1894 | 3,8984 | 5,2718 |
16 | 3,0800 | 3,7666 | 5,0960 |
17 | 2,9854 | 3,6528 | 4,9444 |
18 | 2,9027 | 3,5535 | 4,8122 |
19 | 2,8298 | 3,4659 | 4,6958 |
20 | 2,7649 | 3,3881 | 4,5925 |
22 | 2,6542 | 3,2555 | 4,4167 |
24 | 2,5630 | 3,1465 | 4,2725 |
26 | 2,4864 | 3,0551 | 4,1518 |
28 | 2,4210 | 2,9772 | 4,0490 |
30 | 2,3644 | 2,9098 | 3,9602 |
35 | 2,2509 | 2,7750 | 3,7829 |
40 | 2,1650 | 2,6732 | 3,6494 |
45 | 2,0973 | 2,5931 | 3,5447 |
50 | 2,0422 | 2,5281 | 3,4598 |
60 | 1,9576 | 2,4283 | 3,3299 |
70 | 1,8950 | 2,3548 | 3,2343 |
80 | 1,8464 | 2,2978 | 3,1604 |
90 | 1,8073 | 2,2520 | 3,1012 |
100 | 1,7750 | 2,2143 | 3,0524 |
150 | 1,6707 | 2,0927 | 2,8957 |
200 | 1,6120 | 2,0245 | 2,8082 |
250 | 1,5732 | 1,9796 | 2,7507 |
300 | 1,5453 | 1,9473 | 2,7094 |
400 | 1,5070 | 1,9031 | 2,6530 |
500 | 1,4814 | 1,8736 | 2,6155 |
1 000 | 1,4199 | 1,8029 | 2,5257 |
2 000 | 1,3780 | 1,7549 | 2,4649 |
5 000 | 1,3418 | 1,7135 | 2,4127 |
10 000 | 1,3239 | 1,6931 | 2,3870 |
20 000 | 1,3114 | 1,6788 | 2,3690 |
1,2816 | 1,6449 | 2,3264 | |
ДЛЯ ОПРЕДЕЛЕНИЯ
; p = 0,90)n | m | |||||||||
1 | 2 | 3 | 4 | 5 | 6 | 7 | 8 | 9 | 10 | |
2 | 15,5124 | 6,0755 | 4,5088 | 3,8875 | 3,5544 | 3,3461 | 3,2032 | 3,0989 | 3,0193 | 2,9565 |
3 | 5,7881 | 3,6819 | 3,1564 | 2,9142 | 2,7733 | 2,6805 | 2,6146 | 2,5652 | 2,5268 | 2,4961 |
4 | 4,1571 | 3,0537 | 2,7366 | 2,5822 | 2,4894 | 2,4272 | 2,3823 | 2,3483 | 2,3216 | 2,3001 |
5 | 3,4993 | 2,7522 | 2,5209 | 2,4046 | 2,3336 | 2,2853 | 2,2502 | 2,2234 | 2,2023 | 2,1852 |
6 | 3,1406 | 2,5712 | 2,3863 | 2,2915 | 2,2329 | 2,1927 | 2,1632 | 2,1406 | 2,1227 | 2,1082 |
7 | 2,9128 | 2,4489 | 2,2932 | 2,2121 | 2,1616 | 2,1266 | 2,1009 | 2,0812 | 2,0654 | 2,0526 |
8 | 2,7542 | 2,3600 | 2,2244 | 2,1530 | 2,1081 | 2,0769 | 2,0539 | 2,0361 | 2,0220 | 2,0104 |
9 | 2,6368 | 2,2921 | 2,1712 | 2,1069 | 2,0663 | 2,0380 | 2,0170 | 2,0008 | 1,9878 | 1,9771 |
10 | 2,5460 | 2,2384 | 2,1287 | 2,0700 | 2,0327 | 2,0066 | 1,9872 | 1,9722 | 1,9601 | 1,9502 |
11 | 2,4734 | 2,1946 | 2,0938 | 2,0396 | 2,0050 | 1,9807 | 1,9626 | 1,9485 | 1,9372 | 1,9279 |
12 | 2,4140 | 2,1581 | 2,0646 | 2,0141 | 1,9817 | 1,9589 | 1,9419 | 1,9286 | 1,9180 | 1,9092 |
13 | 2,3643 | 2,1273 | 2,0398 | 1,9923 | 1,9618 | 1,9403 | 1,9242 | 1,9116 | 1,9015 | 1,8931 |
14 | 2,3220 | 2,1008 | 2,0184 | 1,9735 | 1,9446 | 1,9242 | 1,9089 | 1,8969 | 1,8872 | 1,8793 |
15 | 2,2855 | 2,0777 | 1,9998 | 1,9571 | 1,9296 | 1,9101 | 1,8955 | 1,8840 | 1,8748 | 1,8671 |
16 | 2,2537 | 2,0574 | 1,9833 | 1,9426 | 1,9163 | 1,8977 | 1,8837 | 1,8727 | 1,8638 | 1,8564 |
17 | 2,2257 | 2,0394 | 1,9687 | 1,9298 | 1,9045 | 1,8866 | 1,8731 | 1,8626 | 1,8540 | 1,8469 |
18 | 2,2008 | 2,0233 | 1,9556 | 1,9182 | 1,8940 | 1,8767 | 1,8637 | 1,8535 | 1,8452 | 1,8384 |
19 | 2,1785 | 2,0089 | 1,9438 | 1,9078 | 1,8844 | 1,8678 | 1,8552 | 1,8453 | 1,8373 | 1,8307 |
20 | 2,1584 | 1,9958 | 1,9331 | 1,8984 | 1,8758 | 1,8596 | 1,8475 | 1,8379 | 1,8302 | 1,8237 |
22 | 2,1235 | 1,9729 | 1,9144 | 1,8819 | 1,8606 | 1,8455 | 1,8340 | 1,8250 | 1,8176 | 1,8115 |
24 | 2,0943 | 1,9536 | 1,8986 | 1,8679 | 1,8478 | 1,8335 | 1,8226 | 1,8140 | 1,8070 | 1,8013 |
26 | 2,0693 | 1,9371 | 1,8851 | 1,8559 | 1,8368 | 1,8232 | 1,8128 | 1,8046 | 1,7980 | 1,7924 |
28 | 2,0478 | 1,9227 | 1,8733 | 1,8455 | 1,8273 | 1,8142 | 1,8043 | 1,7965 | 1,7901 | 1,7848 |
30 | 2,0289 | 1,9101 | 1,8629 | 1,8363 | 1,8189 | 1,8063 | 1,7968 | 1,7893 | 1,7832 | 1,7780 |
35 | 1,9906 | 1,8843 | 1,8417 | 1,8176 | 1,8017 | 1,7902 | 1,7815 | 1,7747 | 1,7690 | 1,7643 |
40 | 1,9611 | 1,8643 | 1,8252 | 1,8030 | 1,7884 | 1,7778 | 1,7697 | 1,7634 | 1,7581 | 1,7538 |
45 | 1,9376 | 1,8483 | 1,8121 | 1,7914 | 1,7777 | 1,7679 | 1,7603 | 1,7543 | 1,7494 | 1,7454 |
50 | 1,9184 | 1,8352 | 1,8012 | 1,7818 | 1,7690 | 1,7597 | 1,7526 | 1,7469 | 1,7423 | 1,7385 |
60 | 1,8885 | 1,8147 | 1,7844 | 1,7670 | 1,7554 | 1,7470 | 1,7406 | 1,7355 | 1,7313 | 1,7278 |
70 | 1,8662 | 1,7994 | 1,7718 | 1,7558 | 1,7452 | 1,7375 | 1,7316 | 1,7269 | 1,7231 | 1,7199 |
80 | 1,8489 | 1,7874 | 1,7619 | 1,7471 | 1,7373 | 1,7301 | 1,7247 | 1,7203 | 1,7167 | 1,7137 |
90 | 1,8348 | 1,7778 | 1,7539 | 1,7401 | 1,7309 | 1,7242 | 1,7190 | 1,7149 | 1,7116 | 1,7087 |
100 | 1,8232 | 1,7697 | 1,7473 | 1,7343 | 1,7256 | 1,7193 | 1,7144 | 1,7105 | 1,7073 | 1,7047 |
150 | 1,7856 | 1,7436 | 1,7257 | 1,7154 | 1,7084 | 1,7033 | 1,6994 | 1,6963 | 1,6937 | 1,6915 |
200 | 1,7643 | 1,7287 | 1,7136 | 1,7047 | 1,6987 | 1,6943 | 1,6910 | 1,6883 | 1,6861 | 1,6842 |
250 | 1,7502 | 1,7189 | 1,7055 | 1,6976 | 1,6923 | 1,6884 | 1,6854 | 1,6830 | 1,6811 | 1,6794 |
300 | 1,7401 | 1,7118 | 1,6997 | 1,6925 | 1,6877 | 1,6842 | 1,6815 | 1,6793 | 1,6775 | 1,6760 |
400 | 1,7262 | 1,7021 | 1,6917 | 1,6856 | 1,6814 | 1,6784 | 1,6761 | 1,6742 | 1,6726 | 1,6713 |
500 | 1,7169 | 1,6956 | 1,6864 | 1,6809 | 1,6773 | 1,6746 | 1,6725 | 1,6708 | 1,6694 | 1,6682 |
1 000 | 1,6947 | 1,6800 | 1,6736 | 1,6698 | 1,6672 | 1,6653 | 1,6639 | 1,6627 | 1,6617 | 1,6609 |
2 000 | 1,6795 | 1,6693 | 1,6649 | 1,6622 | 1,6604 | 1,6591 | 1,6581 | 1,6572 | 1,6565 | 1,6560 |
5 000 | 1,6665 | 1,6601 | 1,6574 | 1,6557 | 1,6546 | 1,6537 | 1,6531 | 1,6526 | 1,6521 | 1,6518 |
10 000 | 1,6601 | 1,6556 | 1,6536 | 1,6525 | 1,6517 | 1,6511 | 1,6506 | 1,6503 | 1,6500 | 1,6497 |
20 000 | 1,6556 | 1,6524 | 1,6511 | 1,6502 | 1,6497 | 1,6493 | 1,6489 | 1,6487 | 1,6485 | 1,6483 |
1,6449 | 1,6449 | 1,6449 | 1,6449 | 1,6449 | 1,6449 | 1,6449 | 1,6449 | 1,6449 | 1,6449 | |
; p = 0,95)
| ||||||||||||||
n | m | |||||||||||||
1 | 2 | 3 | 4 | 50 | 6 | 7 | 8 | 9 | 10 | |||||
2 | 18,2208 | 7,1197 | 5,2743 | 4,5412 | 4,1473 | 3,9005 | 3,7308 | 3,6067 | 3,5117 | 3,4367 | ||||
3 | 6,8233 | 4,3320 | 3,7087 | 3,4207 | 3,2528 | 3,1420 | 3,0630 | 3,0038 | 2,9575 | 2,9205 | ||||
4 | 4,9127 | 3,6034 | 3,2262 | 3,0419 | 2,9311 | 2,8566 | 2,8027 | 2,7618 | 2,7297 | 2,7037 | ||||
5 | 4,1425 | 3,2544 | 2,9787 | 2,8400 | 2,7551 | 2,6972 | 2,6551 | 2,6229 | 2,5974 | 2,5768 | ||||
6 | 3,7226 | 3,0449 | 2,8245 | 2,7112 | 2,6411 | 2,5930 | 2,5577 | 2,5306 | 2,5091 | 2,4916 | ||||
7 | 3,4558 | 2,9034 | 2,7176 | 2,6208 | 2,5604 | 2,5186 | 2,4878 | 2,4641 | 2,4452 | 2,4298 | ||||
8 | 3,2699 | 2,8004 | 2,6385 | 2,5532 | 2,4996 | 2,4624 | 2,4348 | 2,4136 | 2,3966 | 2,3827 | ||||
9 | 3,1323 | 2,7216 | 2,5773 | 2,5006 | 2,4521 | 2,4182 | 2,3931 | 2,3737 | 2,3581 | 2,3454 | ||||
10 | 3,0258 | 2,6591 | 2,5282 | 2,4582 | 2,4137 | 2,3825 | 2,3593 | 2,3413 | 2,3269 | 2,3150 | ||||
11 | 2,9406 | 2,6082 | 2,4880 | 2,4232 | 2,3819 | 2,3529 | 2,3313 | 2,3145 | 2,3010 | 2,2899 | ||||
12 | 2,8707 | 2,5658 | 2,4542 | 2,3938 | 2,3552 | 2,3280 | 2,3077 | 2,2918 | 2,2791 | 2,2686 | ||||
13 | 2,8123 | 2,5298 | 2,4254 | 2,3687 | 2,3323 | 2,3066 | 2,2874 | 2,2724 | 2,2603 | 2,2503 | ||||
14 | 2,7625 | 2,4988 | 2,4006 | 2,3470 | 2,3125 | 2,2881 | 2,2699 | 2,2556 | 2,2440 | 2,2345 | ||||
15 | 2,7196 | 2,4718 | 2,3789 | 2,3280 | 2,2951 | 2,2719 | 2,2545 | 2,2408 | 2,2298 | 2,2206 | ||||
16 | 2,6821 | 2,4481 | 2,3597 | 2,3112 | 2,2798 | 2,2576 | 2,2408 | 2,2277 | 2,2171 | 2,2084 | ||||
17 | 2,6491 | 2,4270 | 2,3427 | 2,2962 | 2,2661 | 2,2448 | 2,2287 | 2,2161 | 2,2059 | 2,1974 | ||||
18 | 2,6197 | 2,4082 | 2,3274 | 2,2828 | 2,2539 | 2,2333 | 2,2178 | 2,2056 | 2,1958 | 2,1876 | ||||
19 | 2,5934 | 2,3912 | 2,3136 | 2,2707 | 2,2428 | 2,2229 | 2,2079 | 2,1962 | 2,1866 | 2,1787 | ||||
20 | 2,5697 | 2,3758 | 2,3011 | 2,2597 | 2,2327 | 2,2135 | 2,1990 | 2,1876 | 2,1783 | 2,1706 | ||||
22 | 2,5285 | 2,3490 | 2,2793 | 2,2404 | 2,2151 | 2,1970 | 2,1833 | 2,1725 | 2,1638 | 2,1565 | ||||
24 | 2,4940 | 2,3263 | 2,2607 | 2,2241 | 2,2001 | 2,1830 | 2,1700 | 2,1598 | 2,1515 | 2,1446 | ||||
26 | 2,4645 | 2,3068 | 2,2448 | 2,2100 | 2,1873 | 2,1710 | 2,1586 | 2,1489 | 2,1409 | 2,1343 | ||||
28 | 2,4390 | 2,2898 | 2,2309 | 2,1978 | 2,1761 | 2,1605 | 2,1487 | 2,1393 | 2,1317 | 2,1254 | ||||
30 | 2,4166 | 2,2749 | 2,2187 | 2,1870 | 2,1662 | 2,1513 | 2,1399 | 2,1309 | 2,1236 | 2,1175 | ||||
35 | 2,3712 | 2,2445 | 2,1937 | 2,1649 | 2,1460 | 2,1324 | 2,1220 | 2,1138 | 2,1071 | 2,1015 | ||||
40 | 2,3363 | 2,2209 | 2,1743 | 2,1478 | 2,1303 | 2,1177 | 2,1081 | 2,1005 | 2,0943 | 2,0891 | ||||
45 | 2,3084 | 2,2020 | 2,1587 | 2,1341 | 2,1178 | 2,1060 | 2,0970 | 2,0899 | 2,0841 | 2,0792 | ||||
50 | 2,2855 | 2,1864 | 2,1459 | 2,1228 | 2,1075 | 2,0964 | 2,0879 | 2,0812 | 2,0757 | 2,0711 | ||||
60 | 2,2500 | 2,1621 | 2,1260 | 2,1052 | 2,0914 | 2,0814 | 2,0737 | 2,0677 | 2,0627 | 2,0585 | ||||
70 | 2,2236 | 2,1440 | 2,1110 | 2,0920 | 2,0794 | 2,0702 | 2,0632 | 2,0576 | 2,0530 | 2,0491 | ||||
80 | 2,2029 | 2,1297 | 2,0993 | 2,0817 | 2,0699 | 2,0614 | 2,0549 | 2,0497 | 2,0454 | 2,0418 | ||||
90 | 2,1862 | 2,1182 | 2,0898 | 2,0733 | 2,0624 | 2,0544 | 2,0482 | 2,0433 | 2,0393 | 2,0360 | ||||
100 | 2,1724 | 2,1087 | 2,0819 | 2,0664 | 2,0561 | 2,0485 | 2,0427 | 2,0381 | 2,0343 | 2,0311 | ||||
150 | 2,1276 | 2,0775 | 2,0563 | 2,0439 | 2,0356 | 2,0296 | 2,0249 | 2,0212 | 2,0181 | 2,0155 | ||||
200 | 2,1022 | 2,0599 | 2,0418 | 2,0312 | 2,0241 | 2,0189 | 2,0149 | 2,0117 | 2,0090 | 2,0068 | ||||
250 | 2,0855 | 2,0482 | 2,0322 | 2,0228 | 2,0165 | 2,0119 | 2,0083 | 2,0055 | 2,0031 | 2,0011 | ||||
300 | 2,0734 | 2,0397 | 2,0253 | 2,0168 | 2,0110 | 2,0068 | 2,0036 | 2,0010 | 1,9988 | 1,9970 | ||||
400 | 2,0569 | 2,0282 | 2,0158 | 2,0085 | 2,0035 | 1,9999 | 1,9971 | 1,9949 | 1,9930 | 1,9915 | ||||
500 | 2,0458 | 2,0204 | 2,0094 | 2,0029 | 1,9986 | 1,9953 | 1,9928 | 1,9908 | 1,9892 | 1,9878 | ||||
1 000 | 2,0193 | 2,0018 | 1,9942 | 1,9897 | 1,9866 | 1,9844 | 1,9826 | 1,9812 | 1,9800 | 1,9791 | ||||
2 000 | 2,0013 | 1,9891 | 1,9838 | 1,9806 | 1,9785 | 1,9769 | 1,9757 | 1,9747 | 1,9739 | 1,9732 | ||||
5 000 | 1,9857 | 1,9782 | 1,9749 | 1,9729 | 1,9715 | 1,9705 | 1,9698 | 1,9691 | 1,9686 | 1,9682 | ||||
10 000 | 1,9781 | 1,9728 | 1,9704 | 1,9690 | 1,9681 | 1,9674 | 1,9669 | 1,9664 | 1,9661 | 1,9658 | ||||
20 000 | 1,9727 | 1,9690 | 1,9673 | 1,9664 | 1,9657 | 1,9652 | 1,9648 | 1,9645 | 1,9643 | 1,9640 | ||||
1,9600 | 1,9600 | 1,9600 | 1,9600 | 1,9600 | 1,9600 | 1,9600 | 1,9600 | 1,9600 | 1,9600 | |||||
; p = 0,99)n | m | |||||||||
1 | 2 | 3 | 4 | 5 | 6 | 7 | 8 | 9 | 10 | |
2 | 23,4235 | 9,1259 | 6,7452 | 5,7970 | 5,2861 | 4,9651 | 4,7436 | 4,5811 | 4,4565 | 4,3577 |
3 | 8,8187 | 5,5844 | 4,7723 | 4,3955 | 4,1749 | 4,0287 | 3,9242 | 3,8454 | 3,7837 | 3,7341 |
4 | 6,3722 | 4,6643 | 4,1701 | 3,9277 | 3,7814 | 3,6825 | 3,6108 | 3,5562 | 3,5131 | 3,4782 |
5 | 5,3868 | 4,2250 | 3,8628 | 3,6798 | 3,5674 | 3,4906 | 3,4344 | 3,3914 | 3,3573 | 3,3295 |
6 | 4,8498 | 3,9616 | 3,6715 | 3,5220 | 3,4291 | 3,3652 | 3,3182 | 3,2820 | 3,2532 | 3,2297 |
7 | 4,5085 | 3,7836 | 3,5389 | 3,4111 | 3,3311 | 3,2756 | 3,2347 | 3,2030 | 3,1778 | 3,1572 |
8 | 4,2707 | 3,6541 | 3,4408 | 3,3281 | 3,2572 | 3,2078 | 3,1712 | 3,1428 | 3,1202 | 3,1016 |
9 | 4,0945 | 3,5549 | 3,3646 | 3,2633 | 3,1991 | 3,1543 | 3,1210 | 3,0951 | 3,0744 | 3,0574 |
10 | 3,9580 | 3,4761 | 3,3035 | 3,2110 | 3,1521 | 3,1109 | 3,0802 | 3,0563 | 3,0371 | 3,0213 |
11 | 3,8488 | 3,4117 | 3,2533 | 3,1678 | 3,1132 | 3,0748 | 3,0462 | 3,0239 | 3,0059 | 2,9912 |
12 | 3,7591 | 3,3581 | 3,2110 | 3,1313 | 3,0803 | 3,0443 | 3,0174 | 2,9964 | 2,9795 | 2,9656 |
13 | 3,6840 | 3,3125 | 3,1750 | 3,1001 | 3,0520 | 3,0181 | 2,9927 | 2,9728 | 2,9568 | 2,9436 |
14 | 3,6201 | 3,2732 | 3,1438 | 3,0731 | 3,0275 | 2,9953 | 2,9711 | 2,9522 | 2,9370 | 2,9244 |
15 | 3,5649 | 3,2389 | 3,1165 | 3,0493 | 3,0060 | 2,9753 | 2,9522 | 2,9341 | 2,9196 | 2,9075 |
16 | 3,5166 | 3,2087 | 3,0923 | 3,0283 | 2,9869 | 2,9575 | 2,9354 | 2,9181 | 2,9041 | 2,8925 |
17 | 3,4741 | 3,1819 | 3,0708 | 3,0095 | 2,9698 | 2,9416 | 2,9204 | 2,9037 | 2,8902 | 2,8791 |
18 | 3,4362 | 3,1579 | 3,0515 | 2,9926 | 2,9545 | 2,9273 | 2,9069 | 2,8908 | 2,8778 | 2,8670 |
19 | 3,4022 | 3,1362 | 3,0340 | 2,9774 | 2,9406 | 2,9144 | 2,8946 | 2,8791 | 2,8665 | 2,8560 |
20 | 3,3716 | 3,1165 | 3,0181 | 2,9635 | 2,9279 | 2,9026 | 2,8835 | 2,8684 | 2,8562 | 2,8461 |
22 | 3,3183 | 3,0822 | 2,9903 | 2,9391 | 2,9057 | 2,8819 | 2,8639 | 2,8497 | 2,8381 | 2,8286 |
24 | 3,2736 | 3,0530 | 2,9667 | 2,9184 | 2,8869 | 2,8643 | 2,8472 | 2,8337 | 2,8228 | 2,8137 |
26 | 3,2354 | 3,0280 | 2,9464 | 2,9006 | 2,8706 | 2,8491 | 2,8328 | 2,8200 | 2,8095 | 2,8008 |
28 | 3,2023 | 3,0062 | 2,9286 | 2,8850 | 2,8564 | 2,8358 | 2,8203 | 2,8080 | 2,7980 | 2,7896 |
30 | 3,1734 | 2,9870 | 2,9130 | 2,8712 | 2,8438 | 2,8241 | 2,8092 | 2,7974 | 2,7878 | 2,7797 |
35 | 3,1143 | 2,9477 | 2,8808 | 2,8430 | 2,8180 | 2,8001 | 2,7864 | 2,7756 | 2,7668 | 2,7594 |
40 | 3,0688 | 2,9171 | 2,8558 | 2,8210 | 2,7980 | 2,7814 | 2,7687 | 2,7587 | 2,7505 | 2,7437 |
45 | 3,0325 | 2,8926 | 2,8357 | 2,8033 | 2,7818 | 2,7663 | 2,7545 | 2,7451 | 2,7375 | 2,7310 |
50 | 3,0027 | 2,8724 | 2,8191 | 2,7887 | 2,7685 | 2,7539 | 2,7428 | 2,7339 | 2,7267 | 2,7206 |
60 | 2,9564 | 2,8408 | 2,7932 | 2,7659 | 2,7477 | 2,7346 | 2,7245 | 2,7165 | 2,7099 | 2,7045 |
70 | 2,9218 | 2,8171 | 2,7737 | 2,7488 | 2,7321 | 2,7201 | 2,7108 | 2,7035 | 2,6974 | 2,6924 |
80 | 2,8947 | 2,7985 | 2,7585 | 2,7353 | 2,7199 | 2,7087 | 2,7001 | 2,6932 | 2,6876 | 2,6829 |
90 | 2,8729 | 2,7835 | 2,7461 | 2,7245 | 2,7100 | 2,6995 | 2,6914 | 2,6850 | 2,6797 | 2,6753 |
100 | 2,8548 | 2,7710 | 2,7358 | 2,7155 | 2,7018 | 2,6919 | 2,6843 | 2,6782 | 2,6732 | 2,6690 |
150 | 2,7960 | 2,7302 | 2,7023 | 2,6861 | 2,6751 | 2,6672 | 2,6610 | 2,6561 | 2,6521 | 2,6487 |
200 | 2,7627 | 2,7070 | 2,6833 | 2,6694 | 2,6600 | 2,6532 | 2,6479 | 2,6437 | 2,6402 | 2,6373 |
250 | 2,7407 | 2,6917 | 2,6707 | 2,6584 | 2,6501 | 2,6440 | 2,6393 | 2,6355 | 2,6324 | 2,6298 |
300 | 2,7249 | 2,6806 | 2,6616 | 2,6504 | 2,6429 | 2,6374 | 2,6331 | 2,6297 | 2,6269 | 2,6245 |
400 | 2,7031 | 2,6654 | 2,6491 | 2,6396 | 2,6331 | 2,6283 | 2,6246 | 2,6217 | 2,6193 | 2,6172 |
500 | 2,6886 | 2,6553 | 2,6408 | 2,6323 | 2,6265 | 2,6223 | 2,6190 | 2,6164 | 2,6142 | 2,6124 |
1 000 | 2,6538 | 2,6308 | 2,6208 | 2,6148 | 2,6108 | 2,6079 | 2,6056 | 2,6037 | 2,6022 | 2,6009 |
2 000 | 2,6301 | 2,6141 | 2,6071 | 2,6030 | 2,6002 | 2,5981 | 2,5965 | 2,5952 | 2,5941 | 2,5932 |
5 000 | 2,6097 | 2,5998 | 2,5954 | 2,5928 | 2,5910 | 2,5897 | 2,5887 | 2,5879 | 2,5872 | 2,5866 |
10 000 | 2,5996 | 2,5926 | 2,5896 | 2,5877 | 2,5865 | 2,5856 | 2,5849 | 2,5843 | 2,5838 | 2,5834 |
20 000 | 2,5926 | 2,5877 | 2,5855 | 2,5842 | 2,5834 | 2,5827 | 2,5822 | 2,5818 | 2,5815 | 2,5812 |
2,5759 | 2,5759 | 2,5759 | 2,5759 | 2,5759 | 2,5759 | 2,5759 | 2,5759 | 2,5759 | 2,5759 | |
; p = 0,90)n | m | |||||||||
1 | 2 | 3 | 4 | 5 | 6 | 7 | 8 | 9 | 10 | |
2 | 31,0923 | 8,7252 | 5,8380 | 4,7912 | 4,2571 | 3,9341 | 3,7179 | 3,5630 | 3,4468 | 3,3565 |
3 | 8,3060 | 4,5251 | 3,6939 | 3,3300 | 3,1251 | 2,9934 | 2,9017 | 2,8341 | 2,7824 | 2,7416 |
4 | 5,3681 | 3,5647 | 3,0909 | 2,8693 | 2,7400 | 2,6550 | 2,5949 | 2,5502 | 2,5157 | 2,4883 |
5 | 4,2907 | 3,1276 | 2,7925 | 2,6300 | 2,5332 | 2,4688 | 2,4229 | 2,3885 | 2,3618 | 2,3405 |
6 | 3,7326 | 2,8726 | 2,6100 | 2,4796 | 2,4009 | 2,3480 | 2,3100 | 2,2814 | 2,2592 | 2,2414 |
7 | 3,3896 | 2,7033 | 2,4852 | 2,3750 | 2,3077 | 2,2623 | 2,2294 | 2,2046 | 2,1851 | 2,1696 |
8 | 3,1561 | 2,5818 | 2,3937 | 2,2974 | 2,2381 | 2,1978 | 2,1685 | 2,1463 | 2,1289 | 2,1149 |
9 | 2,9861 | 2,4899 | 2,3234 | 2,2372 | 2,1839 | 2,1474 | 2,1208 | 2,1005 | 2,0846 | 2,0717 |
10 | 2,8564 | 2,4175 | 2,2674 | 2,1891 | 2,1403 | 2,1067 | 2,0822 | 2,0634 | 2,0487 | 2,0367 |
11 | 2,7537 | 2,3589 | 2,2217 | 2,1495 | 2,1044 | 2,0732 | 2,0503 | 2,0328 | 2,0190 | 2,0077 |
12 | 2,6703 | 2,3104 | 2,1835 | 2,1164 | 2,0742 | 2,0450 | 2,0235 | 2,0070 | 1,9939 | 1,9833 |
13 | 2,6011 | 2,2694 | 2,1512 | 2,0883 | 2,0485 | 2,0210 | 2,0006 | 1,9850 | 1,9726 | 1,9625 |
14 | 2,5425 | 2,2343 | 2,1233 | 2,0640 | 2,0264 | 2,0002 | 1,9809 | 1,9659 | 1,9541 | 1,9444 |
15 | 2,4922 | 2,2039 | 2,0991 | 2,0428 | 2,0070 | 1,9821 | 1,9636 | 1,9493 | 1,9379 | 1,9286 |
16 | 2,4486 | 2,1771 | 2,0777 | 2,0241 | 1,9899 | 1,9661 | 1,9483 | 1,9346 | 1,9237 | 1,9147 |
17 | 2,4103 | 2,1535 | 2,0588 | 2,0075 | 1,9748 | 1,9518 | 1,9348 | 1,9215 | 1,9110 | 1,9023 |
18 | 2,3764 | 2,1324 | 2,0418 | 1,9926 | 1,9612 | 1,9391 | 1,9226 | 1,9099 | 1,8996 | 1,8913 |
19 | 2,3461 | 2,1135 | 2,0266 | 1,9793 | 1,9489 | 1,9276 | 1,9117 | 1,8993 | 1,8894 | 1,8813 |
20 | 2,3188 | 2,0963 | 2,0128 | 1,9671 | 1,9378 | 1,9172 | 1,9017 | 1,8898 | 1,8801 | 1,8722 |
22 | 2,2718 | 2,0665 | 1,9887 | 1,9460 | 1,9184 | 1,8990 | 1,8844 | 1,8731 | 1,8640 | 1,8565 |
24 | 2,2325 | 2,0414 | 1,9683 | 1,9281 | 1,9020 | 1,8836 | 1,8698 | 1,8590 | 1,8503 | 1,8432 |
26 | 2,1991 | 2,0199 | 1,9509 | 1,9127 | 1,8880 | 1,8704 | 1,8573 | 1,8470 | 1,8386 | 1,8318 |
28 | 2,1703 | 2,0012 | 1,9357 | 1,8994 | 1,8758 | 1,8590 | 1,8464 | 1,8365 | 1,8285 | 1,8219 |
30 | 2,1452 | 1,9849 | 1,9225 | 1,8877 | 1,8651 | 1,8490 | 1,8369 | 1,8273 | 1,8197 | 1,8133 |
35 | 2,0943 | 1,9515 | 1,8953 | 1,8638 | 1,8432 | 1,8285 | 1,8174 | 1,8087 | 1,8016 | 1,7957 |
40 | 2,0553 | 1,9258 | 1,8743 | 1,8453 | 1,8263 | 1,8127 | 1,8024 | 1,7943 | 1,7877 | 1,7822 |
45 | 2,0244 | 1,9052 | 1,8575 | 1,8306 | 1,8128 | 1,8001 | 1,7905 | 1,7828 | 1,7767 | 1,7715 |
50 | 1,9991 | 1,8883 | 1,8437 | 1,8184 | 1,8018 | 1,7898 | 1,7807 | 1,7735 | 1,7676 | 1,7627 |
60 | 1,9599 | 1,8621 | 1,8223 | 1,7996 | 1,7846 | 1,7738 | 1,7655 | 1,7590 | 1,7537 | 1,7492 |
70 | 1,9308 | 1,8425 | 1,8062 | 1,7855 | 1,7717 | 1,7618 | 1,7542 | 1,7482 | 1,7433 | 1,7392 |
80 | 1,9082 | 1,8271 | 1,7937 | 1,7745 | 1,7617 | 1,7525 | 1,7455 | 1,7399 | 1,7353 | 1,7314 |
90 | 1,8899 | 1,8147 | 1,7835 | 1,7656 | 1,7537 | 1,7450 | 1,7384 | 1,7331 | 1,7288 | 1,7252 |
100 | 1,8749 | 1,8044 | 1,7752 | 1,7583 | 1,7470 | 1,7388 | 1,7326 | 1,7276 | 1,7235 | 1,7201 |
150 | 1,8260 | 1,7710 | 1,7478 | 1,7344 | 1,7254 | 1,7188 | 1,7137 | 1,7097 | 1,7064 | 1,7036 |
200 | 1,7985 | 1,7521 | 1,7324 | 1,7209 | 1,7132 | 1,7075 | 1,7032 | 1,6997 | 1,6968 | 1,6944 |
250 | 1,7803 | 1,7395 | 1,7221 | 1,7120 | 1,7051 | 1,7001 | 1,6962 | 1,6931 | 1,6906 | 1,6884 |
300 | 1,7673 | 1,7305 | 1,7148 | 1,7055 | 1,6993 | 1,6948 | 1,6912 | 1,6884 | 1,6861 | 1,6842 |
400 | 1,7494 | 1,7181 | 1,7046 | 1,6967 | 1,6914 | 1,6875 | 1,6844 | 1,6820 | 1,6800 | 1,6783 |
500 | 1,7374 | 1,7098 | 1,6979 | 1,6908 | 1,6861 | 1,6826 | 1,6799 | 1,6777 | 1,6760 | 1,6744 |
1 000 | 1,7088 | 1,6898 | 1,6816 | 1,6767 | 1,6734 | 1,6709 | 1,6690 | 1,6675 | 1,6663 | 1,6652 |
2 000 | 1,6894 | 1,6762 | 1,6705 | 1,6670 | 1,6647 | 1,6630 | 1,6617 | 1,6606 | 1,6598 | 1,6590 |
5 000 | 1,6726 | 1,6645 | 1,6609 | 1,6587 | 1,6573 | 1,6562 | 1,6554 | 1,6547 | 1,6542 | 1,6537 |
10 000 | 1,6644 | 1,6586 | 1,6561 | 1,6546 | 1,6536 | 1,6528 | 1,6523 | 1,6518 | 1,6514 | 1,6511 |
20 000 | 1,6586 | 1,6546 | 1,6528 | 1,6517 | 1,6510 | 1,6505 | 1,6501 | 1,6497 | 1,6495 | 1,6492 |
1,6449 | 1,6449 | 1,6449 | 1,6449 | 1,6449 | 1,6449 | 1,6449 | 1,6449 | 1,6449 | 1,6449 | |
; p = 0,95)n | m | |||||||||
1 | 2 | 3 | 4 | 5 | 6 | 7 | 8 | 9 | 10 | |
2 | 36,5193 | 10,2199 | 6,8215 | 5,5868 | 4,9552 | 4,5720 | 4,3146 | 4,1298 | 3,9907 | 3,8821 |
3 | 9,7888 | 5,3184 | 4,3321 | 3,8987 | 3,6535 | 3,4952 | 3,3844 | 3,3025 | 3,2395 | 3,1895 |
4 | 6,3411 | 4,2013 | 3,6366 | 3,3713 | 3,2157 | 3,1130 | 3,0401 | 2,9855 | 2,9432 | 2,9095 |
5 | 5,0769 | 3,6939 | 3,2936 | 3,0986 | 2,9820 | 2,9041 | 2,8482 | 2,8062 | 2,7734 | 2,7472 |
6 | 4,4222 | 3,3981 | 3,0841 | 2,9276 | 2,8327 | 2,7687 | 2,7225 | 2,6876 | 2,6603 | 2,6384 |
7 | 4,0196 | 3,2018 | 2,9408 | 2,8085 | 2,7275 | 2,6725 | 2,6326 | 2,6024 | 2,5786 | 2,5595 |
8 | 3,7456 | 3,0609 | 2,8357 | 2,7201 | 2,6488 | 2,6001 | 2,5646 | 2,5376 | 2,5163 | 2,4992 |
9 | 3,5459 | 2,9541 | 2,7548 | 2,6515 | 2,5873 | 2,5433 | 2,5111 | 2,4865 | 2,4671 | 2,4514 |
10 | 3,3935 | 2,8700 | 2,6904 | 2,5964 | 2,5377 | 2,4973 | 2,4677 | 2,4450 | 2,4271 | 2,4125 |
11 | 3,2728 | 2,8018 | 2,6376 | 2,5511 | 2,4969 | 2,4594 | 2,4318 | 2,4106 | 2,3938 | 2,3802 |
12 | 3,1747 | 2,7452 | 2,5936 | 2,5131 | 2,4625 | 2,4273 | 2,4015 | 2,3815 | 2,3657 | 2,3528 |
13 | 3,0932 | 2,6975 | 2,5561 | 2,4807 | 2,4331 | 2,4000 | 2,3755 | 2,3566 | 2,3416 | 2,3294 |
14 | 3,0242 | 2,6565 | 2,5238 | 2,4527 | 2,4077 | 2,3763 | 2,3530 | 2,3350 | 2,3207 | 2,3090 |
15 | 2,9650 | 2,6209 | 2,4957 | 2,4283 | 2,3854 | 2,3555 | 2,3333 | 2,3161 | 2,3024 | 2,2912 |
16 | 2,9135 | 2,5897 | 2,4709 | 2,4067 | 2,3658 | 2,3371 | 2,3158 | 2,2993 | 2,2862 | 2,2754 |
17 | 2,8684 | 2,5620 | 2,4488 | 2,3875 | 2,3483 | 2,3208 | 2,3003 | 2,2844 | 2,2717 | 2,2613 |
18 | 2,8283 | 2,5373 | 2,4291 | 2,3702 | 2,3326 | 2,3061 | 2,2864 | 2,2710 | 2,2587 | 2,2487 |
19 | 2,7926 | 2,5151 | 2,4113 | 2,3547 | 2,3184 | 2,2928 | 2,2738 | 2,2589 | 2,2470 | 2,2373 |
20 | 2,7604 | 2,4950 | 2,3952 | 2,3406 | 2,3055 | 2,2808 | 2,2623 | 2,2479 | 2,2364 | 2,2269 |
22 | 2,7048 | 2,4599 | 2,3670 | 2,3160 | 2,2830 | 2,2598 | 2,2423 | 2,2287 | 2,2178 | 2,2088 |
24 | 2,6583 | 2,4304 | 2,3432 | 2,2951 | 2,2640 | 2,2419 | 2,2254 | 2,2125 | 2,2021 | 2,1935 |
26 | 2,6188 | 2,4051 | 2,3227 | 2,2771 | 2,2476 | 2,2266 | 2,2108 | 2,1985 | 2,1886 | 2,1803 |
28 | 2,5847 | 2,3831 | 2,3049 | 2,2615 | 2,2333 | 2,2133 | 2,1982 | 2,1864 | 2,1768 | 2,1689 |
30 | 2,5549 | 2,3638 | 2,2893 | 2,2478 | 2,2208 | 2,2016 | 2,1871 | 2,1757 | 2,1665 | 2,1589 |
35 | 2,4946 | 2,3244 | 2,2573 | 2,2197 | 2,1952 | 2,1776 | 2,1643 | 2,1539 | 2,1455 | 2,1384 |
40 | 2,4484 | 2,2940 | 2,2326 | 2,1980 | 2,1753 | 2,1591 | 2,1468 | 2,1371 | 2,1292 | 2,1227 |
45 | 2,4117 | 2,2696 | 2,2128 | 2,1806 | 2,1594 | 2,1443 | 2,1327 | 2,1237 | 2,1163 | 2,1101 |
50 | 2,3816 | 2,2496 | 2,1964 | 2,1663 | 2,1464 | 2,1321 | 2,1212 | 2,1126 | 2,1056 | 2,0998 |
60 | 2,3351 | 2,2185 | 2,1710 | 2,1440 | 2,1261 | 2,1132 | 2,1033 | 2,0956 | 2,0892 | 2,0839 |
70 | 2,3005 | 2,1952 | 2,1520 | 2,1273 | 2,1109 | 2,0991 | 2,0900 | 2,0828 | 2,0770 | 2,0721 |
80 | 2,2736 | 2,1770 | 2,1371 | 2,1142 | 2,0990 | 2,0880 | 2,0796 | 2,0729 | 2,0675 | 2,0629 |
90 | 2,2519 | 2,1622 | 2,1251 | 2,1037 | 2,0895 | 2,0792 | 2,0713 | 2,0650 | 2,0598 | 2,0555 |
100 | 2,2339 | 2,1500 | 2,1151 | 2,0950 | 2,0815 | 2,0718 | 2,0643 | 2,0584 | 2,0535 | 2,0495 |
150 | 2,1758 | 2,1102 | 2,0826 | 2,0666 | 2,0558 | 2,0480 | 2,0420 | 2,0372 | 2,0332 | 2,0299 |
200 | 2,1430 | 2,0877 | 2,0642 | 2,0505 | 2,0413 | 2,0346 | 2,0294 | 2,0253 | 2,0219 | 2,0190 |
250 | 2,1214 | 2,0728 | 2,0520 | 2,0399 | 2,0317 | 2,0258 | 2,0212 | 2,0175 | 2,0144 | 2,0119 |
300 | 2,1058 | 2,0620 | 2,0432 | 2,0322 | 2,0248 | 2,0194 | 2,0152 | 2,0119 | 2,0091 | 2,0068 |
400 | 2,0845 | 2,0472 | 2,0312 | 2,0217 | 2,0154 | 2,0107 | 2,0071 | 2,0042 | 2,0018 | 1,9998 |
500 | 2,0703 | 2,0373 | 2,0231 | 2,0147 | 2,0091 | 2,0049 | 2,0017 | 1,9991 | 1,9970 | 1,9952 |
1 000 | 2,0362 | 2,0135 | 2,0037 | 1,9979 | 1,9939 | 1,9910 | 1,9888 | 1,9870 | 1,9855 | 1,9842 |
2 000 | 2,0130 | 1,9973 | 1,9905 | 1,9864 | 1,9836 | 1,9816 | 1,9800 | 1,9788 | 1,9777 | 1,9768 |
5 000 | 1,9930 | 1,9833 | 1,9790 | 1,9765 | 1,9748 | 1,9735 | 1,9725 | 1,9717 | 1,9710 | 1,9705 |
10 000 | 1,9832 | 1,9764 | 1,9734 | 1,9716 | 1,9704 | 1,9695 | 1,9688 | 1,9682 | 1,9677 | 1,9674 |
20 000 | 1,9763 | 1,9715 | 1,9694 | 1,9682 | 1,9673 | 1,9667 | 1,9662 | 1,9658 | 1,9655 | 1,9652 |
1,9600 | 1,9600 | 1,9600 | 1,9600 | 1,9600 | 1,9600 | 1,9600 | 1,9600 | 1,9600 | 1,9600 | |
; p = 0,99)n | m | |||||||||
1 | 2 | 3 | 4 | 5 | 6 | 7 | 8 | 9 | 10 | |
2 | 46,9445 | 13,0925 | 8,7128 | 7,1173 | 6,2983 | 5,7995 | 5,4632 | 5,2207 | 5,0372 | 4,8934 |
3 | 12,6472 | 6,8474 | 5,5623 | 4,9943 | 4,6711 | 4,4612 | 4,3133 | 4,2032 | 4,1180 | 4,0500 |
4 | 8,2207 | 5,4302 | 4,6896 | 4,3392 | 4,1324 | 3,9949 | 3,8965 | 3,8225 | 3,7647 | 3,7182 |
5 | 6,5980 | 4,7884 | 4,2614 | 4,0029 | 3,8472 | 3,7425 | 3,6668 | 3,6095 | 3,5645 | 3,5283 |
6 | 5,7578 | 4,4149 | 4,0005 | 3,7926 | 3,6657 | 3,5796 | 3,5170 | 3,4694 | 3,4320 | 3,4017 |
7 | 5,2411 | 4,1672 | 3,8223 | 3,6464 | 3,5381 | 3,4640 | 3,4100 | 3,3688 | 3,3362 | 3,3099 |
8 | 4,8893 | 3,9893 | 3,6916 | 3,5378 | 3,4424 | 3,3769 | 3,3290 | 3,2922 | 3,2632 | 3,2396 |
9 | 4,6329 | 3,8544 | 3,5909 | 3,4534 | 3,3677 | 3,3085 | 3,2651 | 3,2317 | 3,2052 | 3,1837 |
10 | 4,4370 | 3,7481 | 3,5105 | 3,3856 | 3,3073 | 3,2531 | 3,2131 | 3,1824 | 3,1580 | 3,1381 |
11 | 4,2818 | 3,6618 | 3,4447 | 3,3297 | 3,2573 | 3,2071 | 3,1700 | 3,1414 | 3,1186 | 3,1000 |
12 | 4,1556 | 3,5901 | 3,3896 | 3,2828 | 3,2152 | 3,1682 | 3,1334 | 3,1066 | 3,0852 | 3,0677 |
13 | 4,0506 | 3,5295 | 3,3426 | 3,2426 | 3,1791 | 3,1349 | 3,1021 | 3,0767 | 3,0564 | 3,0398 |
14 | 3,9617 | 3,4775 | 3,3021 | 3,2078 | 3,1478 | 3,1059 | 3,0747 | 3,0506 | 3,0313 | 3,0155 |
15 | 3,8853 | 3,4323 | 3,2667 | 3,1774 | 3,1204 | 3,0804 | 3,0507 | 3,0277 | 3,0093 | 2,9941 |
16 | 3,8189 | 3,3925 | 3,2355 | 3,1504 | 3,0960 | 3,0579 | 3,0295 | 3,0074 | 2,9897 | 2,9752 |
17 | 3,7606 | 3,3572 | 3,2077 | 3,1264 | 3,0743 | 3,0377 | 3,0104 | 2,9892 | 2,9722 | 2,9582 |
18 | 3,7089 | 3,3257 | 3,1828 | 3,1048 | 3,0548 | 3,0196 | 2,9933 | 2,9728 | 2,9564 | 2,9429 |
19 | 3,6626 | 3,2973 | 3,1603 | 3,0853 | 3,0372 | 3,0032 | 2,9778 | 2,9580 | 2,9421 | 2,9290 |
20 | 3,6210 | 3,2716 | 3,1398 | 3,0676 | 3,0211 | 2,9883 | 2,9637 | 2,9445 | 2,9291 | 2,9164 |
22 | 3,5491 | 3,2267 | 3,1041 | 3,0365 | 2,9929 | 2,9620 | 2,9389 | 2,9208 | 2,9062 | 2,8942 |
24 | 3,4888 | 3,1888 | 3,0737 | 3,0102 | 2,9690 | 2,9398 | 2,9178 | 2,9006 | 2,8868 | 2,8753 |
26 | 3,4375 | 3,1562 | 3,0476 | 2,9874 | 2,9483 | 2,9205 | 2,8996 | 2,8833 | 2,8700 | 2,8591 |
28 | 3,3933 | 3,1280 | 3,0249 | 2,9676 | 2,9303 | 2,9038 | 2,8838 | 2,8681 | 2,8554 | 2,8449 |
30 | 3,3546 | 3,1031 | 3,0049 | 2,9501 | 2,9144 | 2,8890 | 2,8698 | 2,8547 | 2,8425 | 2,8324 |
35 | 3,2762 | 3,0522 | 2,9638 | 2,9143 | 2,8818 | 2,8586 | 2,8411 | 2,8273 | 2,8161 | 2,8068 |
40 | 3,2160 | 3,0128 | 2,9320 | 2,8864 | 2,8564 | 2,8350 | 2,8188 | 2,8059 | 2,7955 | 2,7869 |
45 | 3,1680 | 2,9812 | 2,9063 | 2,8640 | 2,8361 | 2,8160 | 2,8008 | 2,7888 | 2,7791 | 2,7709 |
50 | 3,1288 | 2,9552 | 2,8852 | 2,8455 | 2,8193 | 2,8004 | 2,7861 | 2,7748 | 2,7655 | 2,7578 |
60 | 3,0681 | 2,9147 | 2,8523 | 2,8166 | 2,7931 | 2,7761 | 2,7631 | 2,7528 | 2,7445 | 2,7375 |
70 | 3,0228 | 2,8843 | 2,8275 | 2,7950 | 2,7734 | 2,7578 | 2,7459 | 2,7364 | 2,7287 | 2,7223 |
80 | 2,9876 | 2,8605 | 2,8081 | 2,7780 | 2,7580 | 2,7435 | 2,7324 | 2,7236 | 2,7164 | 2,7104 |
90 | 2,9591 | 2,8413 | 2,7924 | 2,7643 | 2,7456 | 2,7320 | 2,7216 | 2,7133 | 2,7065 | 2,7009 |
100 | 2,9356 | 2,8253 | 2,7794 | 2,7529 | 2,7352 | 2,7224 | 2,7126 | 2,7048 | 2,6984 | 2,6930 |
150 | 2,8593 | 2,7732 | 2,7369 | 2,7158 | 2,7016 | 2,6913 | 2,6834 | 2,6771 | 2,6719 | 2,6676 |
200 | 2,8163 | 2,7436 | 2,7127 | 2,6947 | 2,6826 | 2,6738 | 2,6670 | 2,6616 | 2,6571 | 2,6533 |
250 | 2,7879 | 2,7240 | 2,6968 | 2,6808 | 2,6701 | 2,6622 | 2,6562 | 2,6513 | 2,6473 | 2,6440 |
300 | 2,7675 | 2,7099 | 2,6852 | 2,6708 | 2,6610 | 2,6539 | 2,6484 | 2,6440 | 2,6404 | 2,6373 |
400 | 2,7395 | 2,6905 | 2,6694 | 2,6570 | 2,6486 | 2,6425 | 2,6377 | 2,6339 | 2,6308 | 2,6282 |
500 | 2,7208 | 2,6775 | 2,6588 | 2,6478 | 2,6403 | 2,6349 | 2,6307 | 2,6273 | 2,6245 | 2,6221 |
1 000 | 2,6760 | 2,6462 | 2,6333 | 2,6256 | 2,6205 | 2,6166 | 2,6137 | 2,6113 | 2,6094 | 2,6077 |
2 000 | 2,6455 | 2,6249 | 2,6159 | 2,6105 | 2,6069 | 2,6042 | 2,6022 | 2,6005 | 2,5991 | 2,5980 |
5 000 | 2,6193 | 2,6065 | 2,6009 | 2,5975 | 2,5952 | 2,5936 | 2,5923 | 2,5912 | 2,5904 | 2,5896 |
10 000 | 2,6064 | 2,5974 | 2,5934 | 2,5911 | 2,5895 | 2,5883 | 2,5874 | 2,5867 | 2,5860 | 2,5855 |
20 000 | 2,5973 | 2,5910 | 2,5882 | 2,5866 | 2,5855 | 2,5846 | 2,5840 | 2,5835 | 2,5830 | 2,5827 |
2,5759 | 2,5759 | 2,5759 | 2,5759 | 2,5759 | 2,5759 | 2,5759 | 2,5759 | 2,5759 | 2,5759 | |
; p = 0,90)n | m | |||||||||
1 | 2 | 3 | 4 | 5 | 6 | 7 | 8 | 9 | 10 | |
2 | 155,5690 | 19,7425 | 10,2697 | 7,4789 | 6,2048 | 5,4874 | 5,0311 | 4,7170 | 4,4884 | 4,3150 |
3 | 18,7825 | 7,0392 | 5,1183 | 4,3676 | 3,9720 | 3,7293 | 3,5660 | 3,4492 | 3,3617 | 3,2939 |
4 | 9,4162 | 4,9212 | 3,9582 | 3,5449 | 3,3166 | 3,1727 | 3,0742 | 3,0028 | 2,9489 | 2,9068 |
5 | 6,6550 | 4,0660 | 3,4311 | 3,1453 | 2,9835 | 2,8800 | 2,8086 | 2,7565 | 2,7170 | 2,6860 |
6 | 5,3832 | 3,5984 | 3,1231 | 2,9026 | 2,7757 | 2,6938 | 2,6369 | 2,5953 | 2,5636 | 2,5388 |
7 | 4,6576 | 3,3006 | 2,9183 | 2,7369 | 2,6314 | 2,5628 | 2,5149 | 2,4798 | 2,4530 | 2,4319 |
8 | 4,1887 | 3,0928 | 2,7709 | 2,6156 | 2,5244 | 2,4647 | 2,4229 | 2,3922 | 2,3687 | 2,3502 |
9 | 3,8602 | 2,9387 | 2,6590 | 2,5223 | 2,4414 | 2,3882 | 2,3507 | 2,3231 | 2,3020 | 2,2853 |
10 | 3,6167 | 2,8193 | 2,5709 | 2,4481 | 2,3748 | 2,3265 | 2,2923 | 2,2671 | 2,2477 | 2,2324 |
11 | 3,4286 | 2,7239 | 2,4994 | 2,3874 | 2,3202 | 2,2756 | 2,2440 | 2,2206 | 2,2026 | 2,1884 |
12 | 3,2786 | 2,6456 | 2,4402 | 2,3368 | 2,2744 | 2,2329 | 2,2033 | 2,1814 | 2,1645 | 2,1512 |
13 | 3,1561 | 2,5801 | 2,3902 | 2,2939 | 2,2355 | 2,1964 | 2,1686 | 2,1479 | 2,1319 | 2,1192 |
14 | 3,0538 | 2,5244 | 2,3474 | 2,2569 | 2,2019 | 2,1649 | 2,1385 | 2,1188 | 2,1036 | 2,0915 |
15 | 2,9672 | 2,4763 | 2,3102 | 2,2248 | 2,1726 | 2,1374 | 2,1122 | 2,0934 | 2,0788 | 2,0672 |
16 | 2,8926 | 2,4344 | 2,2776 | 2,1965 | 2,1468 | 2,1132 | 2,0890 | 2,0709 | 2,0569 | 2,0458 |
17 | 2,8278 | 2,3975 | 2,2488 | 2,1715 | 2,1239 | 2,0917 | 2,0684 | 2,0510 | 2,0374 | 2,0267 |
18 | 2,7708 | 2,3647 | 2,2231 | 2,1491 | 2,1034 | 2,0724 | 2,0500 | 2,0331 | 2,0200 | 2,0095 |
19 | 2,7203 | 2,3354 | 2,2000 | 2,1290 | 2,0850 | 2,0550 | 2,0334 | 2,0170 | 2,0043 | 1,9941 |
20 | 2,6752 | 2,3089 | 2,1791 | 2,1108 | 2,0683 | 2,0393 | 2,0183 | 2,0024 | 1,9900 | 1,9801 |
22 | 2,5979 | 2,2631 | 2,1429 | 2,0791 | 2,0393 | 2,0120 | 1,9921 | 1,9770 | 1,9652 | 1,9558 |
24 | 2,5340 | 2,2247 | 2,1124 | 2,0525 | 2,0148 | 1,9889 | 1,9700 | 1,9556 | 1,9443 | 1,9352 |
26 | 2,4801 | 2,1920 | 2,0864 | 2,0297 | 1,9939 | 1,9692 | 1,9511 | 1,9373 | 1,9264 | 1,9177 |
28 | 2,4340 | 2,1638 | 2,0638 | 2,0099 | 1,9758 | 1,9521 | 1,9348 | 1,9215 | 1,9110 | 1,9025 |
30 | 2,3940 | 2,1391 | 2,0441 | 1,9926 | 1,9599 | 1,9372 | 1,9205 | 1,9076 | 1,8975 | 1,8893 |
35 | 2,3137 | 2,0891 | 2,0040 | 1,9575 | 1,9277 | 1,9069 | 1,8915 | 1,8796 | 1,8702 | 1,8625 |
40 | 2,2529 | 2,0507 | 1,9732 | 1,9304 | 1,9030 | 1,8837 | 1,8693 | 1,8582 | 1,8493 | 1,8421 |
45 | 2,2050 | 2,0202 | 1,9486 | 1,9089 | 1,8833 | 1,8652 | 1,8517 | 1,8412 | 1,8328 | 1,8259 |
50 | 2,1660 | 1,9953 | 1,9285 | 1,8913 | 1,8672 | 1,8502 | 1,8374 | 1,8274 | 1,8194 | 1,8128 |
60 | 2,1063 | 1,9567 | 1,8974 | 1,8641 | 1,8424 | 1,8269 | 1,8153 | 1,8062 | 1,7989 | 1,7928 |
70 | 2,0623 | 1,9280 | 1,8742 | 1,8439 | 1,8240 | 1,8098 | 1,7990 | 1,7906 | 1,7838 | 1,7781 |
80 | 2,0282 | 1,9056 | 1,8562 | 1,8281 | 1,8097 | 1,7964 | 1,7864 | 1,7785 | 1,7721 | 1,7668 |
90 | 2,0009 | 1,8876 | 1,8416 | 1,8154 | 1,7982 | 1,7858 | 1,7763 | 1,7689 | 1,7629 | 1,7578 |
100 | 1,9784 | 1,8727 | 1,8296 | 1,8050 | 1,7887 | 1,7770 | 1,7680 | 1,7610 | 1,7552 | 1,7505 |
150 | 1,9061 | 1,8245 | 1,7906 | 1,7711 | 1,7581 | 1,7486 | 1,7414 | 1,7357 | 1,7310 | 1,7270 |
200 | 1,8657 | 1,7973 | 1,7686 | 1,7520 | 1,7409 | 1,7328 | 1,7266 | 1,7216 | 1,7176 | 1,7142 |
250 | 1,8392 | 1,7794 | 1,7541 | 1,7394 | 1,7296 | 1,7224 | 1,7168 | 1,7124 | 1,7088 | 1,7058 |
300 | 1,8202 | 1,7665 | 1,7437 | 1,7304 | 1,7214 | 1,7149 | 1,7099 | 1,7059 | 1,7026 | 1,6998 |
400 | 1,7943 | 1,7488 | 1,7293 | 1,7179 | 1,7103 | 1,7047 | 1,7003 | 1,6969 | 1,6940 | 1,6916 |
500 | 1,7771 | 1,7369 | 1,7197 | 1,7097 | 1,7029 | 1,6979 | 1,6940 | 1,6909 | 1,6884 | 1,6862 |
1 000 | 1,7359 | 1,7086 | 1,6967 | 1,6897 | 1,6850 | 1,6815 | 1,6788 | 1,6767 | 1,6749 | 1,6734 |
2 000 | 1,7081 | 1,6892 | 1,6810 | 1,6762 | 1,6729 | 1,6704 | 1,6685 | 1,6670 | 1,6658 | 1,6647 |
5 000 | 1,6842 | 1,6726 | 1,6675 | 1,6644 | 1,6624 | 1,6608 | 1,6597 | 1,6587 | 1,6579 | 1,6573 |
10 000 | 1,6725 | 1,6643 | 1,6608 | 1,6586 | 1,6572 | 1,6561 | 1,6553 | 1,6546 | 1,6541 | 1,6536 |
20 000 | 1,6643 | 1,6586 | 1,6561 | 1,6546 | 1,6535 | 1,6528 | 1,6522 | 1,6517 | 1,6513 | 1,6510 |
1,6449 | 1,6449 | 1,6449 | 1,6449 | 1,6449 | 1,6449 | 1,6449 | 1,6449 | 1,6449 | 1,6449 | |
; p = 0,95)n | m | |||||||||
1 | 2 | 3 | 4 | 5 | 6 | 7 | 8 | 9 | 10 | |
2 | 182,7201 | 23,1159 | 11,9855 | 8,7010 | 7,1975 | 6,3481 | 5,8059 | 5,4311 | 5,1573 | 4,9489 |
3 | 22,1308 | 8,2618 | 5,9854 | 5,0908 | 4,6163 | 4,3233 | 4,1249 | 3,9820 | 3,8745 | 3,7907 |
4 | 11,1178 | 5,7889 | 4,6406 | 4,1439 | 3,8673 | 3,6914 | 3,5701 | 3,4816 | 3,4143 | 3,3616 |
5 | 7,8698 | 4,7921 | 4,0321 | 3,6869 | 3,4897 | 3,3624 | 3,2737 | 3,2086 | 3,1589 | 3,1198 |
6 | 6,3735 | 4,2479 | 3,6775 | 3,4103 | 3,2552 | 3,1542 | 3,0833 | 3,0311 | 2,9911 | 2,9596 |
7 | 5,5196 | 3,9016 | 3,4420 | 3,2221 | 3,0929 | 3,0081 | 2,9484 | 2,9043 | 2,8704 | 2,8436 |
8 | 4,9677 | 3,6599 | 3,2727 | 3,0843 | 2,9726 | 2,8989 | 2,8468 | 2,8082 | 2,7784 | 2,7550 |
9 | 4,5810 | 3,4807 | 3,1443 | 2,9784 | 2,8793 | 2,8136 | 2,7670 | 2,7324 | 2,7057 | 2,6846 |
10 | 4,2942 | 3,3419 | 3,0430 | 2,8940 | 2,8045 | 2,7449 | 2,7024 | 2,6708 | 2,6464 | 2,6271 |
11 | 4,0727 | 3,2308 | 2,9608 | 2,8251 | 2,7430 | 2,6881 | 2,6489 | 2,6196 | 2,5970 | 2,5791 |
12 | 3,8959 | 3,1396 | 2,8927 | 2,7674 | 2,6913 | 2,6403 | 2,6037 | 2,5764 | 2,5552 | 2,5384 |
13 | 3,7514 | 3,0633 | 2,8350 | 2,7185 | 2,6473 | 2,5994 | 2,5650 | 2,5393 | 2,5193 | 2,5034 |
14 | 3,6309 | 2,9983 | 2,7856 | 2,6763 | 2,6093 | 2,5640 | 2,5315 | 2,5070 | 2,4881 | 2,4730 |
15 | 3,5286 | 2,9422 | 2,7427 | 2,6395 | 2,5761 | 2,5331 | 2,5021 | 2,4788 | 2,4606 | 2,4462 |
16 | 3,4406 | 2,8932 | 2,7050 | 2,6072 | 2,5468 | 2,5057 | 2,4761 | 2,4537 | 2,4364 | 2,4225 |
17 | 3,3641 | 2,8501 | 2,6716 | 2,5784 | 2,5207 | 2,4814 | 2,4529 | 2,4314 | 2,4147 | 2,4013 |
18 | 3,2968 | 2,8117 | 2,6418 | 2,5527 | 2,4973 | 2,4596 | 2,4321 | 2,4114 | 2,3952 | 2,3822 |
19 | 3,2372 | 2,7774 | 2,6150 | 2,5295 | 2,4763 | 2,4399 | 2,4134 | 2,3933 | 2,3776 | 2,3650 |
20 | 3,1838 | 2,7464 | 2,5908 | 2,5086 | 2,4572 | 2,4220 | 2,3963 | 2,3769 | 2,3616 | 2,3494 |
22 | 3,0924 | 2,6926 | 2,5486 | 2,4720 | 2,4239 | 2,3908 | 2,3666 | 2,3482 | 2,3337 | 2,3221 |
24 | 3,0168 | 2,6475 | 2,5131 | 2,4411 | 2,3957 | 2,3644 | 2,3414 | 2,3239 | 2,3101 | 2,2989 |
26 | 2,9530 | 2,6091 | 2,4826 | 2,4146 | 2,3716 | 2,3417 | 2,3198 | 2,3030 | 2,2898 | 2,2791 |
28 | 2,8984 | 2,5759 | 2,4563 | 2,3916 | 2,3506 | 2,3221 | 2,3011 | 2,2850 | 2,2722 | 2,2619 |
30 | 2,8510 | 2,5468 | 2,4332 | 2,3715 | 2,3322 | 2,3049 | 2,2846 | 2,2691 | 2,2568 | 2,2468 |
35 | 2,7558 | 2,4878 | 2,3861 | 2,3304 | 2,2947 | 2,2697 | 2,2511 | 2,2368 | 2,2254 | 2,2161 |
40 | 2,6836 | 2,4425 | 2,3498 | 2,2987 | 2,2658 | 2,2427 | 2,2254 | 2,2120 | 2,2013 | 2,1926 |
45 | 2,6267 | 2,4064 | 2,3209 | 2,2735 | 2,2428 | 2,2211 | 2,2049 | 2,1923 | 2,1822 | 2,1739 |
50 | 2,5805 | 2,3768 | 2,2971 | 2,2527 | 2,2239 | 2,2035 | 2,1881 | 2,1762 | 2,1666 | 2,1587 |
60 | 2,5095 | 2,3311 | 2,2603 | 2,2206 | 2,1947 | 2,1762 | 2,1623 | 2,1514 | 2,1426 | 2,1353 |
70 | 2,4571 | 2,2970 | 2,2329 | 2,1967 | 2,1729 | 2,1559 | 2,1431 | 2,1330 | 2,1249 | 2,1181 |
80 | 2,4165 | 2,2705 | 2,2115 | 2,1780 | 2,1560 | 2,1402 | 2,1282 | 2,1188 | 2,1112 | 2,1048 |
90 | 2,3840 | 2,2491 | 2,1942 | 2,1630 | 2,1424 | 2,1276 | 2,1163 | 2,1074 | 2,1002 | 2,0942 |
100 | 2,3573 | 2,2314 | 2,1799 | 2,1506 | 2,1311 | 2,1171 | 2,1065 | 2,0981 | 2,0912 | 2,0855 |
150 | 2,2712 | 2,1740 | 2,1336 | 2,1103 | 2,0948 | 2,0835 | 2,0749 | 2,0681 | 2,0625 | 2,0578 |
200 | 2,2231 | 2,1416 | 2,1074 | 2,0876 | 2,0743 | 2,0647 | 2,0573 | 2,0514 | 2,0465 | 2,0425 |
250 | 2,1915 | 2,1203 | 2,0901 | 2,0726 | 2,0609 | 2,0523 | 2,0457 | 2,0405 | 2,0361 | 2,0325 |
300 | 2,1689 | 2,1049 | 2,0777 | 2,0618 | 2,0512 | 2,0434 | 2,0374 | 2,0326 | 2,0287 | 2,0254 |
400 | 2,1380 | 2,0838 | 2,0606 | 2,0470 | 2,0379 | 2,0312 | 2,0261 | 2,0219 | 2,0185 | 2,0157 |
500 | 2,1175 | 2,0697 | 2,0492 | 2,0372 | 2,0291 | 2,0231 | 2,0185 | 2,0149 | 2,0118 | 2,0093 |
1 000 | 2,0684 | 2,0359 | 2,0218 | 2,0134 | 2,0078 | 2,0037 | 2,0005 | 1,9979 | 1,9958 | 1,9940 |
2 000 | 2,0353 | 2,0128 | 2,0030 | 1,9973 | 1,9933 | 1,9904 | 1,9882 | 1,9864 | 1,9849 | 1,9836 |
5 000 | 2,0069 | 1,9930 | 1,9869 | 1,9833 | 1,9808 | 1,9790 | 1,9776 | 1,9765 | 1,9755 | 1,9747 |
10 000 | 1,9929 | 1,9832 | 1,9789 | 1,9764 | 1,9746 | 1,9734 | 1,9724 | 1,9716 | 1,9709 | 1,9704 |
20 000 | 1,9831 | 1,9763 | 1,9733 | 1,9715 | 1,9703 | 1,9694 | 1,9687 | 1,9682 | 1,9677 | 1,9673 |
1,9600 | 1,9600 | 1,9600 | 1,9600 | 1,9600 | 1,9600 | 1,9600 | 1,9600 | 1,9600 | 1,9600 | |
; p = 0,99)n | m | |||||||||
1 | 2 | 3 | 4 | 5 | 6 | 7 | 8 | 9 | 10 | |
2 | 234,8775 | 29,6006 | 15,2876 | 11,0563 | 9,1134 | 8,0113 | 7,3045 | 6,8136 | 6,4531 | 6,1774 |
3 | 28,5857 | 10,6204 | 7,6599 | 6,4888 | 5,8628 | 5,4728 | 5,2065 | 5,0131 | 4,8663 | 4,7512 |
4 | 14,4054 | 7,4658 | 5,9599 | 5,3025 | 4,9324 | 4,6945 | 4,5286 | 4,4063 | 4,3126 | 4,2384 |
5 | 10,2201 | 6,1969 | 5,1946 | 4,7343 | 4,4681 | 4,2942 | 4,1716 | 4,0806 | 4,0105 | 3,9547 |
6 | 8,2916 | 5,5053 | 4,7503 | 4,3924 | 4,1820 | 4,0431 | 3,9445 | 3,8709 | 3,8140 | 3,7687 |
7 | 7,1908 | 5,0656 | 4,4559 | 4,1605 | 3,9847 | 3,8678 | 3,7844 | 3,7220 | 3,6736 | 3,6350 |
8 | 6,4791 | 4,7591 | 4,2445 | 3,9911 | 3,8389 | 3,7371 | 3,6643 | 3,6096 | 3,5670 | 3,5331 |
9 | 5,9802 | 4,5318 | 4,0843 | 3,8610 | 3,7260 | 3,6352 | 3,5700 | 3,5210 | 3,4828 | 3,4523 |
10 | 5,6102 | 4,3557 | 3,9580 | 3,7574 | 3,6354 | 3,5531 | 3,4938 | 3,4491 | 3,4142 | 3,3863 |
11 | 5,3242 | 4,2147 | 3,8554 | 3,6727 | 3,5609 | 3,4852 | 3,4305 | 3,3893 | 3,3570 | 3,3312 |
12 | 5,0960 | 4,0989 | 3,7702 | 3,6018 | 3,4983 | 3,4280 | 3,3771 | 3,3386 | 3,3085 | 3,2844 |
13 | 4,9093 | 4,0019 | 3,6982 | 3,5415 | 3,4448 | 3,3790 | 3,3312 | 3,2951 | 3,2667 | 3,2440 |
14 | 4,7535 | 3,9192 | 3,6363 | 3,4895 | 3,3986 | 3,3365 | 3,2914 | 3,2572 | 3,2303 | 3,2088 |
15 | 4,6212 | 3,8478 | 3,5825 | 3,4441 | 3,3581 | 3,2992 | 3,2564 | 3,2238 | 3,1983 | 3,1777 |
16 | 4,5074 | 3,7855 | 3,5352 | 3,4040 | 3,3223 | 3,2662 | 3,2254 | 3,1942 | 3,1698 | 3,1501 |
17 | 4,4084 | 3,7304 | 3,4933 | 3,3684 | 3,2904 | 3,2368 | 3,1976 | 3,1678 | 3,1443 | 3,1254 |
18 | 4,3212 | 3,6815 | 3,4558 | 3,3365 | 3,2618 | 3,2103 | 3,1727 | 3,1440 | 3,1213 | 3,1031 |
19 | 4,2439 | 3,6376 | 3,4220 | 3,3077 | 3,2359 | 3,1864 | 3,1501 | 3,1224 | 3,1005 | 3,0829 |
20 | 4,1748 | 3,5979 | 3,3915 | 3,2816 | 3,2124 | 3,1646 | 3,1296 | 3,1027 | 3,0816 | 3,0644 |
22 | 4,0563 | 3,5291 | 3,3381 | 3,2359 | 3,1713 | 3,1265 | 3,0935 | 3,0682 | 3,0483 | 3,0321 |
24 | 3,9581 | 3,4713 | 3,2931 | 3,1972 | 3,1364 | 3,0941 | 3,0629 | 3,0389 | 3,0199 | 3,0045 |
26 | 3,8752 | 3,4220 | 3,2545 | 3,1639 | 3,1063 | 3,0662 | 3,0365 | 3,0136 | 2,9955 | 2,9807 |
28 | 3,8042 | 3,3792 | 3,2209 | 3,1350 | 3,0801 | 3,0418 | 3,0135 | 2,9916 | 2,9742 | 2,9600 |
30 | 3,7425 | 3,3418 | 3,1915 | 3,1095 | 3,0571 | 3,0204 | 2,9932 | 2,9721 | 2,9554 | 2,9417 |
35 | 3,6185 | 3,2656 | 3,1312 | 3,0574 | 3,0099 | 2,9765 | 2,9516 | 2,9323 | 2,9169 | 2,9043 |
40 | 3,5244 | 3,2070 | 3,0847 | 3,0171 | 2,9733 | 2,9425 | 2,9194 | 2,9015 | 2,8871 | 2,8753 |
45 | 3,4502 | 3,1602 | 3,0474 | 2,9847 | 2,9440 | 2,9152 | 2,8936 | 2,8768 | 2,8632 | 2,8521 |
50 | 3,3898 | 3,1218 | 3,0167 | 2,9581 | 2,9199 | 2,8928 | 2,8724 | 2,8565 | 2,8437 | 2,8331 |
60 | 3,2970 | 3,0623 | 2,9691 | 2,9167 | 2,8824 | 2,8580 | 2,8395 | 2,8250 | 2,8133 | 2,8037 |
70 | 3,2284 | 3,0179 | 2,9334 | 2,8857 | 2,8544 | 2,8319 | 2,8150 | 2,8016 | 2,7908 | 2,7818 |
80 | 3,1753 | 2,9832 | 2,9056 | 2,8615 | 2,8325 | 2,8116 | 2,7958 | 2,7834 | 2,7732 | 2,7648 |
90 | 3,1327 | 2,9552 | 2,8831 | 2,8420 | 2,8148 | 2,7953 | 2,7804 | 2,7687 | 2,7592 | 2,7512 |
100 | 3,0976 | 2,9321 | 2,8644 | 2,8258 | 2,8002 | 2,7817 | 2,7677 | 2,7566 | 2,7475 | 2,7400 |
150 | 2,9847 | 2,8569 | 2,8038 | 2,7732 | 2,7527 | 2,7379 | 2,7266 | 2,7176 | 2,7102 | 2,7041 |
200 | 2,9215 | 2,8144 | 2,7695 | 2,7434 | 2,7260 | 2,7133 | 2,7036 | 2,6958 | 2,6894 | 2,6841 |
250 | 2,8801 | 2,7864 | 2,7468 | 2,7238 | 2,7084 | 2,6971 | 2,6884 | 2,6815 | 2,6758 | 2,6711 |
300 | 2,8504 | 2,7662 | 2,7305 | 2,7096 | 2,6956 | 2,6854 | 2,6775 | 2,6713 | 2,6661 | 2,6617 |
400 | 2,8098 | 2,7385 | 2,7080 | 2,6902 | 2,6782 | 2,6694 | 2,6627 | 2,6572 | 2,6528 | 2,6490 |
500 | 2,7828 | 2,7200 | 2,6931 | 2,6773 | 2,6666 | 2,6588 | 2,6528 | 2,6479 | 2,6440 | 2,6406 |
1 000 | 2,7184 | 2,6756 | 2,6570 | 2,6461 | 2,6387 | 2,6332 | 2,6290 | 2,6257 | 2,6229 | 2,6205 |
2 000 | 2,6748 | 2,6453 | 2,6324 | 2,6248 | 2,6197 | 2,6158 | 2,6129 | 2,6105 | 2,6086 | 2,6069 |
5 000 | 2,6374 | 2,6192 | 2,6112 | 2,6065 | 2,6032 | 2,6008 | 2,5990 | 2,5975 | 2,5963 | 2,5952 |
10 000 | 2,6191 | 2,6063 | 2,6007 | 2,5974 | 2,5951 | 2,5934 | 2,5921 | 2,5911 | 2,5902 | 2,5895 |
20 000 | 2,6062 | 2,5973 | 2,5934 | 2,5910 | 2,5894 | 2,5882 | 2,5873 | 2,5866 | 2,5860 | 2,5855 |
2,5759 | 2,5759 | 2,5759 | 2,5759 | 2,5759 | 2,5759 | 2,5759 | 2,5759 | 2,5759 | 2,5759 | |
; p = 0,90)n | m | |||||||||
1 | 2 | 3 | 4 | 5 | 6 | 7 | 8 | 9 | 10 | |
2 | 1555,7340 | 62,5942 | 22,3691 | 13,5933 | 10,1615 | 8,4070 | 7,3630 | 6,6785 | 6,1986 | 5,8452 |
3 | 59,5426 | 12,7713 | 7,8069 | 6,1415 | 5,3341 | 4,8647 | 4,5605 | 4,3485 | 4,1926 | 4,0734 |
4 | 20,4870 | 7,4872 | 5,3963 | 4,5921 | 4,1750 | 3,9224 | 3,7543 | 3,6346 | 3,5453 | 3,4760 |
5 | 12,0557 | 5,6774 | 4,4228 | 3,9067 | 3,6300 | 3,4592 | 3,3439 | 3,2610 | 3,1986 | 3,1500 |
6 | 8,7591 | 4,7730 | 3,8891 | 3,5106 | 3,3035 | 3,1742 | 3,0863 | 3,0227 | 2,9746 | 2,9369 |
7 | 7,0628 | 4,2289 | 3,5480 | 3,2483 | 3,0821 | 2,9775 | 2,9060 | 2,8541 | 2,8148 | 2,7839 |
8 | 6,0427 | 3,8639 | 3,3091 | 3,0597 | 2,9202 | 2,8318 | 2,7712 | 2,7271 | 2,6936 | 2,6672 |
9 | 5,3650 | 3,6009 | 3,1312 | 2,9167 | 2,7957 | 2,7187 | 2,6658 | 2,6272 | 2,5978 | 2,5747 |
10 | 4,8829 | 3,4016 | 2,9930 | 2,8039 | 2,6964 | 2,6279 | 2,5806 | 2,5461 | 2,5199 | 2,4992 |
11 | 4,5224 | 3,2450 | 2,8821 | 2,7122 | 2,6152 | 2,5531 | 2,5101 | 2,4788 | 2,4549 | 2,4361 |
12 | 4,2426 | 3,1183 | 2,7909 | 2,6362 | 2,5473 | 2,4902 | 2,4507 | 2,4219 | 2,3999 | 2,3826 |
13 | 4,0189 | 3,0135 | 2,7145 | 2,5719 | 2,4896 | 2,4366 | 2,3999 | 2,3730 | 2,3525 | 2,3364 |
14 | 3,8358 | 2,9253 | 2,6494 | 2,5167 | 2,4398 | 2,3902 | 2,3558 | 2,3306 | 2,3113 | 2,2962 |
15 | 3,6830 | 2,8499 | 2,5932 | 2,4689 | 2,3965 | 2,3497 | 2,3171 | 2,2933 | 2,2751 | 2,2608 |
16 | 3,5536 | 2,7845 | 2,5441 | 2,4269 | 2,3583 | 2,3139 | 2,2830 | 2,2603 | 2,2430 | 2,2294 |
17 | 3,4423 | 2,7274 | 2,5009 | 2,3897 | 2,3245 | 2,2821 | 2,2525 | 2,2309 | 2,2143 | 2,2013 |
18 | 3,3456 | 2,6769 | 2,4624 | 2,3566 | 2,2942 | 2,2536 | 2,2252 | 2,2044 | 2,1885 | 2,1760 |
19 | 3,2607 | 2,6319 | 2,4280 | 2,3268 | 2,2670 | 2,2279 | 2,2006 | 2,1805 | 2,1652 | 2,1532 |
20 | 3,1856 | 2,5916 | 2,3970 | 2,3000 | 2,2424 | 2,2046 | 2,1783 | 2,1589 | 2,1441 | 2,1324 |
22 | 3,0583 | 2,5221 | 2,3434 | 2,2533 | 2,1995 | 2,1641 | 2,1393 | 2,1210 | 2,1070 | 2,0960 |
24 | 2,9544 | 2,4644 | 2,2984 | 2,2141 | 2,1634 | 2,1299 | 2,1064 | 2,0890 | 2,0757 | 2,0652 |
26 | 2,8678 | 2,4155 | 2,2602 | 2,1807 | 2,1326 | 2,1007 | 2,0782 | 2,0616 | 2,0489 | 2,0388 |
28 | 2,7944 | 2,3736 | 2,2273 | 2,1519 | 2,1060 | 2,0755 | 2,0539 | 2,0379 | 2,0256 | 2,0159 |
30 | 2,7313 | 2,3371 | 2,1986 | 2,1267 | 2,0828 | 2,0534 | 2,0326 | 2,0171 | 2,0052 | 1,9958 |
35 | 2,6061 | 2,2636 | 2,1405 | 2,0757 | 2,0358 | 2,0088 | 1,9894 | 1,9750 | 1,9639 | 1,9551 |
40 | 2,5127 | 2,2077 | 2,0962 | 2,0368 | 1,9999 | 1,9747 | 1,9566 | 1,9430 | 1,9324 | 1,9241 |
45 | 2,4399 | 2,1636 | 2,0611 | 2,0061 | 1,9715 | 1,9478 | 1,9307 | 1,9177 | 1,9077 | 1,8996 |
50 | 2,3814 | 2,1278 | 2,0326 | 1,9810 | 1,9485 | 1,9260 | 1,9097 | 1,8973 | 1,8876 | 1,8799 |
60 | 2,2925 | 2,0727 | 1,9886 | 1,9426 | 1,9132 | 1,8927 | 1,8777 | 1,8662 | 1,8571 | 1,8499 |
70 | 2,2276 | 2,0321 | 1,9562 | 1,9142 | 1,8873 | 1,8683 | 1,8543 | 1,8435 | 1,8350 | 1,8281 |
80 | 2,1779 | 2,0006 | 1,9310 | 1,8923 | 1,8673 | 1,8496 | 1,8364 | 1,8262 | 1,8181 | 1,8115 |
90 | 2,1383 | 1,9754 | 1,9109 | 1,8748 | 1,8513 | 1,8347 | 1,8222 | 1,8125 | 1,8048 | 1,7985 |
100 | 2,1059 | 1,9546 | 1,8943 | 1,8603 | 1,8382 | 1,8224 | 1,8106 | 1,8014 | 1,7940 | 1,7879 |
150 | 2,0029 | 1,8878 | 1,8408 | 1,8140 | 1,7963 | 1,7835 | 1,7739 | 1,7662 | 1,7601 | 1,7549 |
200 | 1,9461 | 1,8504 | 1,8109 | 1,7881 | 1,7730 | 1,7621 | 1,7537 | 1,7471 | 1,7417 | 1,7372 |
250 | 1,9091 | 1,8259 | 1,7912 | 1,7711 | 1,7578 | 1,7481 | 1,7406 | 1,7347 | 1,7299 | 1,7258 |
300 | 1,8827 | 1,8083 | 1,7771 | 1,7590 | 1,7468 | 1,7380 | 1,7313 | 1,7259 | 1,7215 | 1,7178 |
400 | 1,8469 | 1,7842 | 1,7577 | 1,7423 | 1,7319 | 1,7244 | 1,7185 | 1,7139 | 1,7101 | 1,7069 |
500 | 1,8232 | 1,7682 | 1,7449 | 1,7312 | 1,7220 | 1,7153 | 1,7101 | 1,7060 | 1,7026 | 1,6997 |
1 000 | 1,7671 | 1,7300 | 1,7140 | 1,7046 | 1,6982 | 1,6936 | 1,6900 | 1,6871 | 1,6847 | 1,6827 |
2 000 | 1,7294 | 1,7040 | 1,6930 | 1,6865 | 1,6820 | 1,6788 | 1,6763 | 1,6743 | 1,6726 | 1,6712 |
5 000 | 1,6974 | 1,6817 | 1,6749 | 1,6709 | 1,6681 | 1,6661 | 1,6645 | 1,6632 | 1,6622 | 1,6613 |
10 000 | 1,6817 | 1,6708 | 1,6660 | 1,6631 | 1,6612 | 1,6598 | 1,6587 | 1,6578 | 1,6571 | 1,6564 |
20 000 | 1,6707 | 1,6631 | 1,6597 | 1,6577 | 1,6564 | 1,6554 | 1,6546 | 1,6540 | 1,6535 | 1,6530 |
1,6449 | 1,6449 | 1,6449 | 1,6449 | 1,6449 | 1,6449 | 1,6449 | 1,6449 | 1,6449 | 1,6449 | |
; p = 0,95)n | m | |||||||||
1 | 2 | 3 | 4 | 5 | 6 | 7 | 8 | 9 | 10 | |
2 | 1827,2522 | 73,2838 | 26,0939 | 15,7955 | 11,7620 | 9,6947 | 8,4608 | 7,6494 | 7,0787 | 6,6574 |
3 | 70,1538 | 14,9785 | 9,1103 | 7,1319 | 6,1666 | 5,6019 | 5,2338 | 4,9760 | 4,7860 | 4,6403 |
4 | 24,1850 | 8,7950 | 6,3062 | 5,3407 | 4,8352 | 4,5266 | 4,3198 | 4,1720 | 4,0613 | 3,9754 |
5 | 14,2518 | 6,6792 | 5,1776 | 4,5531 | 4,2145 | 4,0035 | 3,8602 | 3,7567 | 3,6785 | 3,6175 |
6 | 10,3659 | 5,6230 | 4,5609 | 4,1002 | 3,8451 | 3,6842 | 3,5740 | 3,4939 | 3,4332 | 3,3856 |
7 | 8,3658 | 4,9882 | 4,1678 | 3,8015 | 3,5958 | 3,4650 | 3,3748 | 3,3091 | 3,2592 | 3,2199 |
8 | 7,1627 | 4,5627 | 3,8928 | 3,5874 | 3,4141 | 3,3032 | 3,2265 | 3,1704 | 3,1277 | 3,0940 |
9 | 6,3633 | 4,2562 | 3,6884 | 3,4253 | 3,2747 | 3,1779 | 3,1107 | 3,0615 | 3,0240 | 2,9944 |
10 | 5,7945 | 4,0241 | 3,5298 | 3,2976 | 3,1638 | 3,0774 | 3,0174 | 2,9733 | 2,9397 | 2,9131 |
11 | 5,3691 | 3,8417 | 3,4025 | 3,1939 | 3,0730 | 2,9947 | 2,9402 | 2,9001 | 2,8695 | 2,8453 |
12 | 5,0388 | 3,6941 | 3,2979 | 3,1079 | 2,9972 | 2,9252 | 2,8751 | 2,8382 | 2,8099 | 2,7877 |
13 | 4,7747 | 3,5721 | 3,2102 | 3,0351 | 2,9327 | 2,8659 | 2,8193 | 2,7850 | 2,7587 | 2,7380 |
14 | 4,5585 | 3,4692 | 3,1354 | 2,9727 | 2,8771 | 2,8146 | 2,7709 | 2,7387 | 2,7140 | 2,6946 |
15 | 4,3780 | 3,3813 | 3,0708 | 2,9185 | 2,8286 | 2,7697 | 2,7285 | 2,6980 | 2,6747 | 2,6563 |
16 | 4,2251 | 3,3050 | 3,0144 | 2,8709 | 2,7858 | 2,7300 | 2,6909 | 2,6620 | 2,6399 | 2,6224 |
17 | 4,0936 | 3,2383 | 2,9646 | 2,8287 | 2,7479 | 2,6947 | 2,6574 | 2,6298 | 2,6086 | 2,5919 |
18 | 3,9793 | 3,1793 | 2,9204 | 2,7910 | 2,7139 | 2,6630 | 2,6272 | 2,6008 | 2,5805 | 2,5645 |
19 | 3,8789 | 3,1268 | 2,8807 | 2,7572 | 2,6833 | 2,6344 | 2,6000 | 2,5746 | 2,5551 | 2,5396 |
20 | 3,7900 | 3,0796 | 2,8449 | 2,7266 | 2,6555 | 2,6085 | 2,5753 | 2,5507 | 2,5319 | 2,5170 |
22 | 3,6394 | 2,9983 | 2,7829 | 2,6733 | 2,6071 | 2,5632 | 2,5320 | 2,5090 | 2,4912 | 2,4772 |
24 | 3,5164 | 2,9307 | 2,7309 | 2,6285 | 2,5663 | 2,5248 | 2,4954 | 2,4735 | 2,4567 | 2,4434 |
26 | 3,4138 | 2,8734 | 2,6866 | 2,5901 | 2,5313 | 2,4919 | 2,4639 | 2,4431 | 2,4270 | 2,4143 |
28 | 3,3269 | 2,8241 | 2,6483 | 2,5570 | 2,5010 | 2,4634 | 2,4366 | 2,4166 | 2,4012 | 2,3890 |
30 | 3,2521 | 2,7812 | 2,6149 | 2,5280 | 2,4745 | 2,4384 | 2,4126 | 2,3934 | 2,3785 | 2,3667 |
35 | 3,1037 | 2,6947 | 2,5471 | 2,4690 | 2,4205 | 2,3876 | 2,3638 | 2,3460 | 2,3322 | 2,3212 |
40 | 2,9928 | 2,6288 | 2,4952 | 2,4238 | 2,3791 | 2,3486 | 2,3264 | 2,3097 | 2,2967 | 2,2863 |
45 | 2,9064 | 2,5767 | 2,4540 | 2,3879 | 2,3463 | 2,3176 | 2,2967 | 2,2809 | 2,2685 | 2,2586 |
50 | 2,8368 | 2,5343 | 2,4204 | 2,3587 | 2,3195 | 2,2924 | 2,2725 | 2,2574 | 2,2456 | 2,2361 |
60 | 2,7311 | 2,4691 | 2,3686 | 2,3135 | 2,2783 | 2,2536 | 2,2355 | 2,2216 | 2,2106 | 2,2017 |
70 | 2,6540 | 2,4209 | 2,3303 | 2,2801 | 2,2478 | 2,2251 | 2,2083 | 2,1953 | 2,1849 | 2,1766 |
80 | 2,5949 | 2,3835 | 2,3005 | 2,2543 | 2,2243 | 2,2031 | 2,1873 | 2,1751 | 2,1653 | 2,1573 |
90 | 2,5478 | 2,3535 | 2,2766 | 2,2335 | 2,2054 | 2,1855 | 2,1706 | 2,1590 | 2,1497 | 2,1421 |
100 | 2,5092 | 2,3288 | 2,2569 | 2,2164 | 2,1899 | 2,1711 | 2,1569 | 2,1459 | 2,1370 | 2,1297 |
150 | 2,3865 | 2,2493 | 2,1933 | 2,1614 | 2,1402 | 2,1250 | 2,1135 | 2,1044 | 2,0970 | 2,0909 |
200 | 2,3188 | 2,2048 | 2,1577 | 2,1306 | 2,1126 | 2,0995 | 2,0896 | 2,0817 | 2,0753 | 2,0699 |
250 | 2,2748 | 2,1757 | 2,1343 | 2,1104 | 2,0945 | 2,0829 | 2,0740 | 2,0670 | 2,0612 | 2,0564 |
300 | 2,2434 | 2,1547 | 2,1175 | 2,0959 | 2,0815 | 2,0710 | 2,0629 | 2,0565 | 2,0512 | 2,0468 |
400 | 2,2007 | 2,1260 | 2,0944 | 2,0760 | 2,0637 | 2,0547 | 2,0478 | 2,0422 | 2,0377 | 2,0338 |
500 | 2,1725 | 2,1070 | 2,0791 | 2,0628 | 2,0519 | 2,0439 | 2,0377 | 2,0328 | 2,0287 | 2,0253 |
1 000 | 2,1056 | 2,0614 | 2,0423 | 2,0311 | 2,0235 | 2,0180 | 2,0137 | 2,0102 | 2,0074 | 2,0050 |
2 000 | 2,0607 | 2,0305 | 2,0173 | 2,0095 | 2,0043 | 2,0004 | 1,9974 | 1,9950 | 1,9930 | 1,9913 |
5 000 | 2,0225 | 2,0039 | 1,9958 | 1,9909 | 1,9877 | 1,9852 | 1,9834 | 1,9819 | 1,9806 | 1,9796 |
10 000 | 2,0038 | 1,9908 | 1,9851 | 1,9817 | 1,9794 | 1,9777 | 1,9764 | 1,9754 | 1,9745 | 1,9737 |
20 000 | 1,9908 | 1,9817 | 1,9777 | 1,9753 | 1,9737 | 1,9725 | 1,9716 | 1,9708 | 1,9702 | 1,9697 |
1,9600 | 1,9600 | 1,9600 | 1,9600 | 1,9600 | 1,9600 | 1,9600 | 1,9600 | 1,9600 | 1,9600 | |
; p = 0,99)n | m | |||||||||
1 | 2 | 3 | 4 | 5 | 6 | 7 | 8 | 9 | 10 | |
2 | 2348,8387 | 93,8333 | 33,2653 | 20,0444 | 14,8573 | 12,1910 | 10,5938 | 9,5391 | 8,7942 | 8,2420 |
3 | 90,6105 | 19,2385 | 11,6321 | 9,0532 | 7,7853 | 7,0373 | 6,5458 | 6,1990 | 5,9416 | 5,7433 |
4 | 31,3298 | 11,3247 | 8,0703 | 6,7950 | 6,1194 | 5,7024 | 5,4200 | 5,2164 | 5,0629 | 4,9431 |
5 | 18,5010 | 8,6194 | 6,6422 | 5,8089 | 5,3506 | 5,0612 | 4,8622 | 4,7173 | 4,6071 | 4,5206 |
6 | 13,4784 | 7,2704 | 5,8646 | 5,2452 | 4,8967 | 4,6737 | 4,5189 | 4,4055 | 4,3188 | 4,2505 |
7 | 10,8920 | 6,4607 | 5,3703 | 4,8753 | 4,5924 | 4,4096 | 4,2820 | 4,1880 | 4,1161 | 4,0592 |
8 | 9,3356 | 5,9183 | 5,0256 | 4,6112 | 4,3716 | 4,2158 | 4,1065 | 4,0258 | 3,9639 | 3,9148 |
9 | 8,3012 | 5,5280 | 4,7697 | 4,4117 | 4,2029 | 4,0663 | 3,9702 | 3,8991 | 3,8444 | 3,8010 |
10 | 7,5649 | 5,2325 | 4,5713 | 4,2549 | 4,0689 | 3,9468 | 3,8606 | 3,7968 | 3,7475 | 3,7085 |
11 | 7,0142 | 5,0002 | 4,4124 | 4,1278 | 3,9595 | 3,8486 | 3,7702 | 3,7120 | 3,6670 | 3,6314 |
12 | 6,5864 | 4,8124 | 4,2817 | 4,0223 | 3,8682 | 3,7663 | 3,6940 | 3,6403 | 3,5989 | 3,5659 |
13 | 6,2443 | 4,6570 | 4,1722 | 3,9332 | 3,7906 | 3,6960 | 3,6288 | 3,5788 | 3,5402 | 3,5095 |
14 | 5,9641 | 4,5260 | 4,0788 | 3,8568 | 3,7237 | 3,6352 | 3,5723 | 3,5254 | 3,4891 | 3,4603 |
15 | 5,7303 | 4,4139 | 3,9981 | 3,7903 | 3,6653 | 3,5820 | 3,5226 | 3,4784 | 3,4441 | 3,4169 |
16 | 5,5319 | 4,3168 | 3,9276 | 3,7319 | 3,6138 | 3,5349 | 3,4787 | 3,4366 | 3,4041 | 3,3782 |
17 | 5,3613 | 4,2317 | 3,8654 | 3,6802 | 3,5680 | 3,4930 | 3,4394 | 3,3993 | 3,3683 | 3,3436 |
18 | 5,2130 | 4,1565 | 3,8099 | 3,6339 | 3,5270 | 3,4553 | 3,4041 | 3,3657 | 3,3360 | 3,3123 |
19 | 5,0827 | 4,0894 | 3,7602 | 3,5923 | 3,4900 | 3,4213 | 3,3721 | 3,3353 | 3,3067 | 3,2840 |
20 | 4,9673 | 4,0291 | 3,7154 | 3,5546 | 3,4564 | 3,3904 | 3,3430 | 3,3075 | 3,2800 | 3,2581 |
22 | 4,7717 | 3,9252 | 3,6375 | 3,4889 | 3,3978 | 3,3362 | 3,2920 | 3,2588 | 3,2330 | 3,2125 |
24 | 4,6118 | 3,8385 | 3,5720 | 3,4335 | 3,3481 | 3,2903 | 3,2486 | 3,2173 | 3,1929 | 3,1735 |
26 | 4,4784 | 3,7650 | 3,5161 | 3,3859 | 3,3054 | 3,2507 | 3,2112 | 3,1815 | 3,1583 | 3,1398 |
28 | 4,3653 | 3,7018 | 3,4677 | 3,3447 | 3,2683 | 3,2163 | 3,1786 | 3,1502 | 3,1281 | 3,1104 |
30 | 4,2679 | 3,6466 | 3,4254 | 3,3085 | 3,2357 | 3,1860 | 3,1499 | 3,1227 | 3,1014 | 3,0844 |
35 | 4,0745 | 3,5352 | 3,3393 | 3,2347 | 3,1690 | 3,1239 | 3,0911 | 3,0661 | 3,0466 | 3,0310 |
40 | 3,9299 | 3,4501 | 3,2731 | 3,1778 | 3,1175 | 3,0759 | 3,0455 | 3,0223 | 3,0042 | 2,9895 |
45 | 3,8170 | 3,3827 | 3,2203 | 3,1323 | 3,0764 | 3,0376 | 3,0091 | 2,9873 | 2,9702 | 2,9563 |
50 | 3,7261 | 3,3277 | 3,1772 | 3,0951 | 3,0427 | 3,0061 | 2,9792 | 2,9586 | 2,9423 | 2,9291 |
60 | 3,5879 | 3,2430 | 3,1104 | 3,0374 | 2,9904 | 2,9574 | 2,9330 | 2,9141 | 2,8992 | 2,8870 |
70 | 3,4870 | 3,1802 | 3,0607 | 2,9944 | 2,9515 | 2,9213 | 2,8987 | 2,8812 | 2,8673 | 2,8559 |
80 | 3,4095 | 3,1314 | 3,0221 | 2,9610 | 2,9213 | 2,8932 | 2,8721 | 2,8557 | 2,8426 | 2,8319 |
90 | 3,3478 | 3,0923 | 2,9910 | 2,9341 | 2,8970 | 2,8706 | 2,8508 | 2,8353 | 2,8229 | 2,8127 |
100 | 3,2972 | 3,0600 | 2,9653 | 2,9119 | 2,8769 | 2,8520 | 2,8333 | 2,8186 | 2,8067 | 2,7970 |
150 | 3,1362 | 2,9559 | 2,8822 | 2,8402 | 2,8123 | 2,7923 | 2,7771 | 2,7651 | 2,7553 | 2,7472 |
200 | 3,0474 | 2,8975 | 2,8356 | 2,7999 | 2,7762 | 2,7590 | 2,7459 | 2,7355 | 2,7270 | 2,7200 |
250 | 2,9896 | 2,8592 | 2,8049 | 2,7734 | 2,7525 | 2,7372 | 2,7256 | 2,7163 | 2,7087 | 2,7024 |
300 | 2,9483 | 2,8317 | 2,7828 | 2,7544 | 2,7354 | 2,7216 | 2,7110 | 2,7026 | 2,6956 | 2,6898 |
400 | 2,8922 | 2,7940 | 2,7525 | 2,7283 | 2,7121 | 2,7003 | 2,6911 | 2,6839 | 2,6779 | 2,6729 |
500 | 2,8551 | 2,7690 | 2,7324 | 2,7110 | 2,6966 | 2,6861 | 2,6780 | 2,6715 | 2,6661 | 2,6616 |
1 000 | 2,7672 | 2,7091 | 2,6840 | 2,6693 | 2,6594 | 2,6521 | 2,6464 | 2,6419 | 2,6382 | 2,6350 |
2 000 | 2,7083 | 2,6685 | 2,6512 | 2,6410 | 2,6340 | 2,6290 | 2,6250 | 2,6219 | 2,6192 | 2,6170 |
5 000 | 2,6580 | 2,6336 | 2,6229 | 2,6165 | 2,6122 | 2,6090 | 2,6066 | 2,6046 | 2,6030 | 2,6016 |
10 000 | 2,6334 | 2,6164 | 2,6089 | 2,6044 | 2,6014 | 2,5992 | 2,5975 | 2,5961 | 2,5949 | 2,5939 |
20 000 | 2,6163 | 2,6044 | 2,5991 | 2,5960 | 2,5939 | 2,5923 | 2,5911 | 2,5901 | 2,5893 | 2,5886 |
2,5759 | 2,5759 | 2,5759 | 2,5759 | 2,5759 | 2,5759 | 2,5759 | 2,5759 | 2,5759 | 2,5759 | |
v + w | Уровень доверия 90% ![]() | Уровень доверия 95% ![]() | ||||
Доля p·100% | Доля p·100% | |||||
90 | 95 | 99 | 90 | 95 | 99 | |
1 | 22 | 45 | 230 | 29 | 59 | 299 |
2 | 38 | 77 | 388 | 46 | 93 | 473 |
3 | 52 | 105 | 531 | 61 | 124 | 628 |
4 | 65 | 132 | 667 | 76 | 153 | 773 |
5 | 78 | 158 | 798 | 89 | 181 | 913 |
6 | 91 | 184 | 926 | 103 | 208 | 1049 |
7 | 104 | 209 | 1051 | 116 | 234 | 1182 |
8 | 116 | 234 | 1175 | 129 | 260 | 1312 |
9 | 128 | 258 | 1297 | 142 | 286 | 1441 |
10 | 140 | 282 | 1418 | 154 | 311 | 1568 |
11 | 152 | 306 | 1538 | 167 | 336 | 1693 |
12 | 164 | 330 | 1658 | 179 | 361 | 1818 |
13 | 175 | 353 | 1776 | 191 | 386 | 1941 |
14 | 187 | 377 | 1893 | 203 | 410 | 2064 |
15 | 199 | 400 | 2010 | 215 | 434 | 2185 |
16 | 210 | 423 | 2127 | 227 | 458 | 2306 |
17 | 222 | 446 | 2242 | 239 | 482 | 2426 |
18 | 233 | 469 | 2358 | 251 | 506 | 2546 |
19 | 245 | 492 | 2473 | 263 | 530 | 2665 |
20 | 256 | 515 | 2587 | 275 | 554 | 2784 |
v + w | Уровень доверия 99% ![]() | Уровень доверия 99,9% ![]() | ||||
Доля p·100% | Доля p·100% | |||||
90 | 95 | 99 | 90 | 95 | 99 | |
1 | 44 | 90 | 459 | 66 | 135 | 688 |
2 | 64 | 130 | 662 | 89 | 181 | 920 |
3 | 81 | 165 | 838 | 108 | 220 | 1119 |
4 | 97 | 198 | 1001 | 126 | 257 | 1302 |
5 | 113 | 229 | 1157 | 143 | 291 | 1475 |
6 | 127 | 259 | 1307 | 159 | 324 | 1640 |
7 | 142 | 288 | 1453 | 175 | 356 | 1801 |
8 | 156 | 316 | 1596 | 190 | 387 | 1957 |
9 | 170 | 344 | 1736 | 205 | 417 | 2110 |
10 | 183 | 371 | 1874 | 220 | 447 | 2259 |
11 | 197 | 398 | 2010 | 235 | 476 | 2407 |
12 | 210 | 425 | 2144 | 249 | 505 | 2552 |
13 | 223 | 451 | 2277 | 263 | 533 | 2696 |
14 | 236 | 478 | 2409 | 277 | 562 | 2837 |
15 | 249 | 504 | 2539 | 291 | 590 | 2978 |
16 | 262 | 529 | 2669 | 305 | 617 | 3117 |
17 | 275 | 555 | 2798 | 318 | 645 | 3255 |
18 | 287 | 580 | 2925 | 332 | 672 | 3391 |
19 | 300 | 606 | 3052 | 345 | 699 | 3527 |
20 | 312 | 631 | 3179 | 358 | 726 | 3662 |
, где 
.
и
, границами которого являются v-е наименьшее наблюдение (т.е. порядковая статистика x(v)) и w-е наибольшее наблюдение (т.е. порядковая статистика x(n-w+1)), определяют, решая неравенство для биномиального распределения относительно наименьшего объема выборки n
.
.
. (G.3)
определяют, решая неравенство относительно функции гипергеометрического распределения для наименьшего объема выборки n
, (G.4)
, M = [Np] (наименьшее целое число больше или равное Np) и c = 0, если интервал соответствует дискретной случайной величине, c = 1, если интервал является односторонним, c = 2, если интервал двусторонний.Обозначение ссылочного национального стандарта | Степень соответствия | Обозначение и наименование соответствующего международного стандарта |
ГОСТ Р 50779.10-2000 (ИСО 3534-1:93) | IDT | ISO 3534-1:1993 "Статистика. Словарь и условные обозначения. Часть 1. Вероятность и основные статистические термины" |
IDT | ISO 16269-4:2010 "Статистическое представление данных. Часть 4. Выявление и обработка выбросов" | |
Примечание - В настоящей таблице использовано следующее условное обозначение степени соответствия стандартов: - IDT - идентичные стандарты. | ||
Hahn G., & Meeker W.Q. Statistical Intervals: A guide for practitioners. John Wiley & Sons, 1991 | |
Havlicek L.L., & Crain R.D. Practical Statistics for the Physical Sciences. American Chemical Society, Washington, 1988, pp. 489 | |
Garaj I., & Janiga I. Two-sided tolerance limits of normal distribution for unknown mean and variability. Vydavatel'stvo STU, Bratislava, 2002, pp. 147 | |
Garaj I., & Janiga I. Two-sided tolerance limits of normal distributions with unknown means and unknown common variability. Vydavatel'stvo STU, Bratislava, 2004, pp. 218 | |
Fountain R.L., & Chou Y.-M. Minimum Sample Sizes for Two-Sided Tolerance Intervals for Finite Populations. Journal of Quality Technology. 1991, 23 pp. 90 - 95 |