Главная // Актуальные документы // МетодикаСПРАВКА
Источник публикации
М.: Стандартинформ, 2014
Примечание к документу
Документ
введен в действие с 01.01.2015.
Название документа
"Р 50.2.086-2013. Рекомендации по метрологии. Государственная система обеспечения единства измерений. Средства измерений поляризационной модовой дисперсии в волоконно-оптических системах передачи. Методика поверки"
(утв. и введены в действие Приказом Росстандарта от 06.09.2013 N 1011-ст)
"Р 50.2.086-2013. Рекомендации по метрологии. Государственная система обеспечения единства измерений. Средства измерений поляризационной модовой дисперсии в волоконно-оптических системах передачи. Методика поверки"
(утв. и введены в действие Приказом Росстандарта от 06.09.2013 N 1011-ст)
Утверждены и введены в действие
по техническому регулированию
и метрологии
от 6 сентября 2013 г. N 1011-ст
РЕКОМЕНДАЦИИ ПО МЕТРОЛОГИИ
ГОСУДАРСТВЕННАЯ СИСТЕМА ОБЕСПЕЧЕНИЯ ЕДИНСТВА ИЗМЕРЕНИЙ
СРЕДСТВА ИЗМЕРЕНИЙ ПОЛЯРИЗАЦИОННОЙ МОДОВОЙ ДИСПЕРСИИ
В ВОЛОКОННО-ОПТИЧЕСКИХ СИСТЕМАХ ПЕРЕДАЧИ
МЕТОДИКА ПОВЕРКИ
Polarization mode dispersion measurement means
for fiber-optical waveguides. Verification methods
Р 50.2.086-2013
Дата введения
1 января 2015 года
1 РАЗРАБОТАНЫ Федеральным государственным унитарным предприятием "Всероссийский научно-исследовательский институт оптико-физических измерений" (ФГУП "ВНИИОФИ")
2 ВНЕСЕНЫ Федеральным агентством по техническому регулированию и метрологии, Техническим комитетом по стандартизации ТК 206, ПК 206.10 "Эталоны и поверочные схемы в области оптических и оптико-физических измерений"
3 УТВЕРЖДЕНЫ И ВВЕДЕНЫ В ДЕЙСТВИЕ
Приказом Федерального агентства по техническому регулированию и метрологии от 6 сентября 2013 г. N 1011-ст
4 ВВЕДЕНЫ ВПЕРВЫЕ
Правила применения настоящих рекомендаций установлены в ГОСТ Р 1.0-2012 (раздел 8). Информация об изменениях к настоящим рекомендациям публикуется в ежегодном (по состоянию на 1 января текущего года) информационном указателе "Национальные стандарты", а официальный текст изменений и поправок - в ежемесячном информационном указателе "Национальные стандарты". В случае пересмотра (замены) или отмены настоящих рекомендаций соответствующее уведомление будет опубликовано в ближайшем выпуске ежемесячного указателя "Национальные стандарты". Соответствующая информация, уведомление и тексты размещаются также в информационной системе общего пользования - на официальном сайте Федерального агентства по техническому регулированию и метрологии в сети Интернет (gost.ru).
Настоящая методика предусматривает объем и последовательность проведения операций первичной и периодической поверки для рабочих средств измерений (РСИ) поляризационной модовой дисперсии (ПМД) в волоконно-оптических системах передачи информации (далее - РСИ ПМД). Под РСИ ПМД понимается прибор или комплект приборов, состоящий из источника оптического излучения и измерительного устройства.
Межповерочный интервал - не более одного года.
В настоящих рекомендациях использованы нормативные ссылки на следующие стандарты:
ГОСТ 8.607-2012 Государственная система обеспечения единства измерений. Государственная поверочная схема для средств измерений поляризационной модовой дисперсии в оптическом волокне
ГОСТ 12.1.040-83 Система стандартов безопасности труда. Лазерная безопасность. Общие положения
Примечание - При пользовании настоящим стандартом целесообразно проверить действие ссылочных стандартов в информационной системе общего пользования - на официальном сайте Федерального агентства по техническому регулированию и метрологии в сети Интернет или по ежегодному информационному указателю "Национальные стандарты", который опубликован по состоянию на 1 января текущего года, и по выпускам ежемесячного информационного указателя "Национальные стандарты" за текущий год. Если заменен ссылочный стандарт, на который дана недатированная ссылка, то рекомендуется использовать действующую версию этого стандарта с указанием всех внесенных в данную версию изменений. Если заменен ссылочный стандарт, на который дана датированная ссылка, то рекомендуется использовать версию этого стандарта с указанным выше годом утверждения (принятия). Если после утверждения настоящего стандарта в ссылочный стандарт, на который дана датированная ссылка, внесено изменение, затрагивающее положение, на которое дана ссылка, то это положение рекомендуется применять без учета данного изменения. Если ссылочный стандарт отменен без замены, то положение, в котором дана ссылка на него, рекомендуется применять в части, не затрагивающей эту ссылку.
При проведении поверки выполняют операции, указанные в
таблице 1.
Наименование операции | Пункт рекомендации | Проведение операций при поверке: |
первичной | периодической |
Внешний осмотр | | Да | Да |
Опробование | | Да | Да |
Определение метрологических характеристик <1>: | | Да | Да |
Определение спектрального диапазона измерений ПМД (рабочих длин волн) | | Да | Нет |
Определение основной абсолютной погрешности измерений ПМД с помощью эталонной меры единицы ПМД | | Да | Да |
Определение основной абсолютной погрешности измерений ПМД с помощью рабочего эталона единицы ПМД в оптическом волокне | | Да | Да |
Определение основной абсолютной погрешности измерений ПМД с помощью Государственного первичного специального эталона единицы ПМД в оптическом волокне ГЭТ 185-2010 | | Да | Да |
Определение диапазона измерений | | Да | Нет |
Определение динамического диапазона ослабления при измерении ПМД | | Да | Нет |
<1> Государственная поверочная схема для средств измерений ПМД в оптическом волокне (ГОСТ 8.607) предусматривает три варианта проведения поверки (калибровки) РСИ ПМД ( 8.3.2 - 8.3.4): с помощью эталонной меры единицы ПМД в оптическом волокне, с помощью рабочего эталона единицы ПМД в оптическом волокне и непосредственно с помощью ГПСЭ единицы ПМД в оптическом волокне ГЭТ 185-2010 для высокоточных РСИ ПМД. |
4.1 При проведении поверки применяют средства, указанные в
таблице 2.
Пункт рекомендации | Наименование и тип средств поверки | Основные технические характеристики |
| Установка для спектральных измерений из состава рабочего эталона средней мощности в ВОСП (РЭСМ ВС) | Рабочий диапазон длин волн:  . Границы допускаемой основной погрешности градуировки монохроматора по шкале длин волн: +/- 1 нм |
| Эталонная мера единицы поляризационной модовой дисперсии в оптическом волокне | Рабочие диапазоны длин волн: 1310 +/- 10, 1550 +/- 10 нм. Диапазоны воспроизведения единицы ПМД от 0,05 пс до 120 пс (фиксированные значения). Границы допускаемой основной погрешности при воспроизведении единицы ПМД: +/- (0,012 пс + 0,005А), где А - значение ПМД |
Рабочий эталон единицы поляризационной модовой дисперсии в оптическом волокне | Рабочие диапазоны длин волн: 1310 +/- 10, 1550 +/- 10 нм. Диапазон воспроизведения единицы ПМД: от 0,05 пс до 120 пс. Границы допускаемой основной погрешности при воспроизведении единицы ПМД: +/- (0,012 пс + 0,005А), где А - значение ПМД |
Государственный первичный специальный эталон единицы поляризационной модовой дисперсии в оптическом волокне ГЭТ 185-2010 | Диапазон воспроизведения единицы ПМД: от 0,05 пс до 120 пс. Рабочие длины волн, фиксированные в диапазоне:  . Граница неисключенной систематической погрешности при воспроизведении единицы от 0,007 пс до 0,011А пс. СКО результатов измерений при воспроизведении единицы от 0,002 пс до 0,005А пс |
Аттенюатор | Диапазон вносимого ослабления 0...60 дБ |
Кабель волоконно-оптический соединительный | ШО-SM-3,0-FC/APC-FC/PC-01,0 |
4.2 Допускается применение средств измерений, метрологические характеристики которых не хуже приведенных в
таблице 2.
5 Требования к квалификации поверителей и безопасности
5.1 При проведении поверки соблюдают требования установленные правилами
[1],
[2],
[3]. При работе с лазерами соблюдают требования
ГОСТ 12.1.040 и
правил [4].
5.2 К проведению поверки допускают лиц не моложе 18 лет, аттестованных в качестве поверителей согласно
правилам [5], прошедших инструктаж по охране труда, обучение и аттестацию по работе с лазерами и на право работы с электроустановками и изучивших настоящую рекомендацию и эксплуатационную документацию на РСИ ПМД и средства их поверки.
При проведении поверки соблюдают следующие условия:
- температура окружающей среды | (20 +/- 5) °C; |
- относительная влажность воздуха | (65 +/- 15)%; |
- атмосферное давление | (100 +/- 4) кПа; |
- напряжение питающей сети | (220 +/- 22) В; |
- частота питающей сети | (50 +/- 0,5) Гц. |
7.1 Перед проведением поверки изучают Руководство по эксплуатации на поверяемое РСИ ПМД и применяемые при поверке приборы.
7.2 Все оптические детали приборов, используемых при поверке, очищают от пыли и протирают безворсовой салфеткой, смоченной в изопропиловом спирте.
7.3 Подготавливают к работе РСИ ПМД и приборы, применяемые при поверке, согласно разделам "Подготовка к работе" их Руководств по эксплуатации.
8.1.1 Комплектность РСИ ПМД должна соответствовать требованиям руководства по эксплуатации на него.
8.1.2 При внешнем осмотре убеждаются в отсутствии видимых механических повреждений, в исправности кабелей и разъемов, в исправности органов управления.
8.2.1 Подготавливают РСИ ПМД к работе согласно соответствующему разделу руководства по эксплуатации на него.
8.2.2 Включают РСИ ПМД и проверяют наличие отображения экранного меню на дисплее.
8.3 Определение метрологических характеристик
8.3.1 Определение спектрального диапазона измерений ПМД (рабочих длин волн)
8.3.1.1 Для определения рабочих длин волн РСИ ПМД поочередно подсоединяют источники излучения из состава РСИ ПМД с помощью волоконно-оптического кабеля с установкой для спектральных измерений из состава РЭСМ ВС по схеме, приведенной на
рисунке 1.
1 - источник из состава РСИ ПМД; 2 - спектральная установка
Рисунок 1 - Схема установки для измерений спектрального
диапазона РСИ ПМД
8.3.1.2 Включают поочередно источники и измеряют рабочие длины волн излучения каждого источника РСИ ПМД на спектральной установке в соответствии с руководством по эксплуатации.
8.3.1.3 Результаты поверки считают положительными, если полученные значения рабочих длин волн не выходят за границы диапазона, указанного в спецификации РСИ ПМД.
8.3.2 Определение основной абсолютной погрешности измерений ПМД с помощью эталонной меры единицы ПМД
Эталонную меру ПМД используют при проведении поверки и калибровки рабочих средств измерений ПМД в режиме слабой связи мод.
8.3.2.1 Собирают установку по схеме, приведенной на
рисунке 2. Номинальное значение ПМД эталонной меры выбирают в соответствии с минимальным измеряемым значением ПМД РСИ ПМД. Величину вносимого ослабления аттенюатора выставляют равной 0 дБ. Выбирают рабочую длину волны 1550 нм.
8.3.2.2 Измеряют ПМД меры

десять раз в соответствии с руководством по эксплуатации РСИ ПМД.
1 - источник оптического излучения из состава РСИ ПМД;
2 - эталонная мера ПМД; 3 - аттенюатор; 4 - поверяемое
РСИ ПМД
Рисунок 2 - Схема установки для измерений ПМД
эталонной меры ПМД
Примечание - При поверке РСИ ПМД, действующих по рефлектометрическому методу (источник излучения установлен внутри блока измерителя), измерения проводят с использованием отражателя, устанавливаемого на выходном торце оптического волокна эталонной меры ПМД.
8.3.2.3 Вычисляют среднее значение результатов измерений по формуле

(1)
где n - количество измерений.
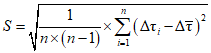
8.3.2.4 Вычисляют среднее квадратическое отклонение (СКО), S, результатов измерений по формуле

. (2)
8.3.2.5 Определяют неисключенную систематическую погрешность (НСП),

, результатов измерений по формуле

, (3)
где

- значение ПМД эталонной меры, указанное в паспорте на нее.
8.3.2.6 Определяют значение основной абсолютной погрешности,

, измерений ПМД

. (4)
8.3.2.7 Операции по
8.3.2.1
8.3.2.6 проводят для ослабления, вносимого с помощью аттенюатора, соответствующего динамическому диапазону поверяемого РСИ ПМД.
8.3.2.8 Операции по
8.3.2.1
8.3.2.6 проводят для максимального значения ПМД, измеряемой с помощью РСИ ПМД.
8.3.2.9 Операции по
8.3.2.1
8.3.2.8 проводят для всех рабочих длин волн РСИ ПМД.
8.3.2.10 Результаты поверки считают положительными, если все полученные значения основной абсолютной погрешности измерений ПМД РСИ ПМД не превышают значений погрешности, указанных в спецификации РСИ ПМД.
8.3.3 Определение основной абсолютной погрешности измерений ПМД с помощью рабочего эталона единицы ПМД в оптическом волокне
Рабочий эталон единицы поляризационной модовой дисперсии в оптическом волокне (далее - РЭ ПМД) используют при проведении поверки рабочих средств измерений ПМД в режимах слабой и сильной связи мод.
8.3.3.1 Собирают установку, схема которой приведена на
рисунке 3 с использованием компаратора-имитатора ПМД со слабой связью мод из состава РЭ ПМД. Номинальное значение компаратора-имитатора ПМД выбирают в соответствии с минимальным измеряемым значением ПМД РСИ ПМД. Выбирают рабочую длину волны 1550 нм.
8.3.3.2 Измеряют ПМД компаратора-имитатора ПМД из состава РЭ ПМД,

, десять раз с помощью РЭ ПМД в соответствии с руководством по эксплуатации РЭ ПМД.
1 - источник оптического излучения из состава РЭ ПМД;
2 - компаратор-имитатор ПМД; 3 - измерительное устройство
из состава РЭ ПМД
Рисунок 3 - Схема установки для измерений ПМД
компаратора-имитатора ПМД из состава РЭ ПМД с помощью РЭ ПМД
| | ИС МЕГАНОРМ: примечание. В официальном тексте документа, видимо, допущена опечатка: имеется в виду рисунок 4, а не 3. | |
8.3.3.3 Собирают установку, схема которой приведена на
рисунке 3. Выставляют вносимое ослабление аттенюатора, равное 0 дБ. Выбирают рабочую длину волны 1550 нм.
1 - источник излучения из состава РСИ ПМД;
2 - компаратор-имитатор ПМД из состава РЭ ПМД;
3 - аттенюатор; 4 - РСИ ПМД
Рисунок 4 - Схема установки для измерений ПМД
компаратора-имитатора ПМД с помощью РСИ ПМД
8.3.3.4 Измеряют ПМД компаратора-имитатора ПМД из состава РЭ ПМД,

, десять раз с помощью РСИ ПМД в соответствии с руководством по эксплуатации РСИ ПМД.
8.3.3.5 По результатам измерений

и

вычисляют средние значения ПМД компаратора-имитатора ПМД по формулам:

и

. (5)
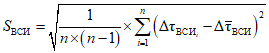
8.3.3.6 Вычисляют СКО результата измерений компаратора-имитатора ПМД с помощью РСИ ПМД по формулам:

, (6)

. (7)
8.3.3.7 Определяют НСП результатов измерений по формуле

. (8)
8.3.3.8 Определяют значение основной абсолютной погрешности измерений ПМД РСИ ПМД по формуле

, (9)
где

- НСП измерений ПМД РЭ ПМД, значение которой указано в руководстве по эксплуатации на него.
8.3.3.9 Операции по
8.3.3.3 -
8.3.3.8 проводят для ослабления, вносимого с помощью аттенюатора, соответствующего динамическому диапазону поверяемого РСИ ПМД.
8.3.3.10 Операции по
8.3.3.1 -
8.3.3.9 проводят для номинального значения компаратора-имитатора ПМД, выбранного в соответствии с максимальным измеряемым значением ПМД поверяемого РСИ ПМД.
8.3.3.11 Операции по
8.3.3.1 -
8.3.3.10 проводят для режима измерений ПМД с сильной связью мод поверяемого РСИ ПМД. Для этого используют компаратор-имитатор ПМД с сильной связью мод из состава РЭ ПМД.
8.3.3.12 Операции по
8.3.3.1 -
8.3.3.11 проводят для всех рабочих длин волн РСИ ПМД.
8.3.3.13 Результаты поверки считают положительными, если все полученные значения погрешности на всех рабочих длинах волн не превышают значений, указанных в спецификации РСИ ПМД.
8.3.4 Определение основной абсолютной погрешности измерений ПМД с помощью Государственного первичного специального эталона единицы ПМД в оптическом волокне ГЭТ 185-2010
Государственный первичный специальный эталон единицы поляризационной модовой дисперсии в оптическом волокне ГЭТ 185-2010 (далее ГЭТ 185) используют при проведении поверки и калибровки высокоточных средств измерений ПМД (ВСИ ПМД) в режимах слабой и сильной связи мод.
8.3.4.1 Собирают установку, схема которой приведена на
рисунке 5 с использованием компаратора-имитатора ПМД со слабой связью мод из состава ГЭТ 185. Номинальное значение компаратора-имитатора ПМД выбирают в соответствии с минимальным измеряемым значением ПМД ВСИ ПМД. Выбрать рабочую длину волны 1550 нм.
8.3.4.2 Измеряют ПМД компаратора-имитатора ПМД

с помощью ГЭТ 185 десять раз в соответствии с правилами хранения и применения ГЭТ 185.
1 - источник оптического излучения из состава ГЭТ 185;
2 - компаратор-имитатор ПМД; 3 - измерительное устройство
из состава ГЭТ 185
Рисунок 5 - Схема установки для измерений ПМД
компаратора-имитатора ПМД из состава ГЭТ 185
с помощью ГЭТ 185
8.3.4.3 Собирают установку, схема которой приведена на
рисунке 6. Выставляют вносимое ослабление аттенюатора, равное 0 дБ. Выбирают рабочую длину волны 1550 нм.
1 - источник излучения из состава ВСИ ПМД;
2 - компаратор-имитатор ПМД из состава ГЭТ 185;
3 - аттенюатор; 4 - ВСИ ПМД
Рисунок 6 - Схема установки для измерений ПМД
компаратора-имитатора ПМД с помощью ВСИ ПМД
8.3.4.4 Измеряют ПМД компаратора-имитатора,

, с помощью ВСИ ПМД десять раз в соответствии с руководством по эксплуатации ВСИ ПМД (n = 10).
8.3.4.5 По результатам измерений

и

вычисляют средние значения ПМД компаратора-имитатора ПМД по формулам:

и

. (10)
8.3.4.6 Вычислить СКО результата измерений компаратора-имитатора ПМД с помощью ВСИ ПМД по формуле

. (11)
8.3.4.7 Определяют НСП результатов измерений по формуле

. (12)
8.3.4.8 Определяют значение абсолютной погрешности измерений ПМД ВСИ ПМД по формуле:

, (13)
где

- НСП измерений ПМД ГЭТ 185, указанное в паспорте ГЭТ 185;
SE - СКО результатов измерений ПМД ГЭТ 185, указанное в паспорте ГЭТ 185.
8.3.4.9 Операции по
8.3.4.3 -
8.3.4.8 проводят для ослабления, вносимого с помощью аттенюатора, соответствующего динамическому диапазону поверяемого ВСИ ПМД.
8.3.4.10 Операции по
8.3.4.1 -
8.3.4.9 проводят для номинального значения компаратора-имитатора ПМД, выбранного в соответствии с максимальным измеряемым значением ПМД поверяемого ВСИ ПМД.
8.3.4.11 Операции по
8.3.4.1 -
8.3.4.10 проводят для режима измерений ПМД с сильной связью мод поверяемого ВСИ ПМД с использованием компаратора-имитатора ПМД с сильной связью мод из состава ГЭТ 185.
8.3.4.12 Операции по
8.3.4.1 -
8.3.4.11 проводят для всех рабочих длин волн ВСИ ПМД.
8.3.4.13 Результаты поверки считают положительными, если все полученные значения основной абсолютной погрешности измерений ПМД ВСИ ПМД не превышают значений погрешности, указанных в спецификации ВСИ ПМД.
8.3.5 Определение диапазона измерений ПМД
Диапазон измерений ПМД определяется максимальным и минимальным значениями ПМД, основная абсолютная погрешность измерения которых не превышает заданных пределов.
Выполняют операции по
8.3.2 (
8.3.3,
8.3.4) для минимального и максимального измеряемых значений ПМД, указанных в спецификации РСИ (ВСИ) ПМД.
Результаты поверки считают положительными, если все полученные значения основной абсолютной погрешности измерений ПМД находятся в пределах, указанных в спецификации РСИ (ВСИ) ПМД.
8.3.6 Определение динамического диапазона ослабления при измерении ПМД
Динамический диапазон ослабления при измерении ПМД определяется максимальным значением внесенного в оптический измерительный тракт ослабления, при котором основная абсолютная погрешность измерений ПМД не превышает заданных пределов.
Выполняют операции по
8.3.2 (
8.3.3,
8.3.4) при значении внесенного в оптический измерительный тракт ослабления, соответствующего значению динамического диапазона измерений ПМД, указанного в спецификации РСИ (ВСИ) ПМД.
Результаты поверки считают положительными, если все полученные значения основной абсолютной погрешности измерений ПМД не превышают значений погрешности, указанных в спецификации РСИ (ВСИ) ПМД.
9 Оформление результатов поверки
9.1 Результаты измерений при поверке заносят в протокол по форме, установленной метрологической службой, осуществляющей поверку.
9.2 При положительных результатах поверки выдают свидетельство по форме, установленной
правилами [6]. При отрицательных результатах поверки свидетельство аннулируют, РСИ (ВСИ) ПМД к эксплуатации не допускают и выдают извещение о непригодности с указанием причин в соответствии с
правилами [6].
| ПЭУ | Правила устройства электроустановок. Утверждены Приказом Минэнерго РФ от 08.07.2002 г. N 204 |
| | Правила технической эксплуатации электроустановок потребителей. Утверждены Приказом Минэнерго РФ от 13.01.2003 г. N 6 |
| | Межотраслевые правила по охране труда (правила безопасности) при эксплуатации электроустановок |
| | Санитарные нормы и правила устройства и эксплуатации лазеров [5] |
| | Государственная система обеспечения единства измерений. Порядок аттестации поверителей средств измерений |
| | Государственная система обеспечения единства измерений. Порядок проведения поверки средств измерений |
УДК 681.7.068:006.354 | |
Ключевые слова: поляризационно-модовая дисперсия, волоконно-оптическая система, средства измерений, ХД, диапазон измерений, погрешность |